Ex-Situ Electrochemical Characterization of IrO2 Synthesized by a Modified Adams Fusion Method for the Oxygen Evolution Reaction
Abstract
1. Introduction
2. Results and Discussion
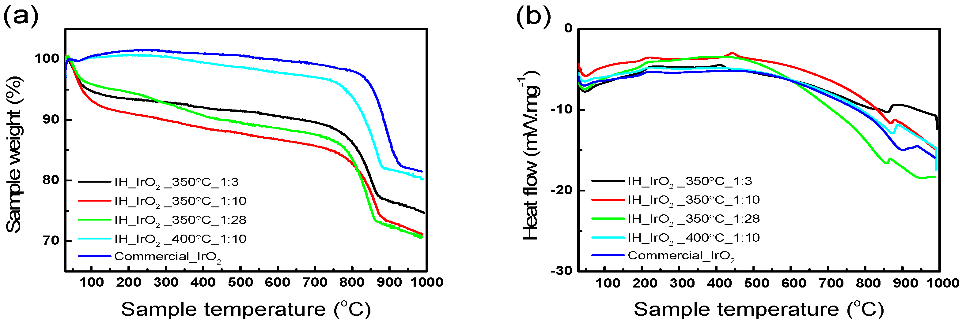
2.1. Physical Characterization
2.2. Electrochemical Characterization
2.2.1. The Effect of the H2IrCl6·xH2O to NaNO3 Mass Ratio
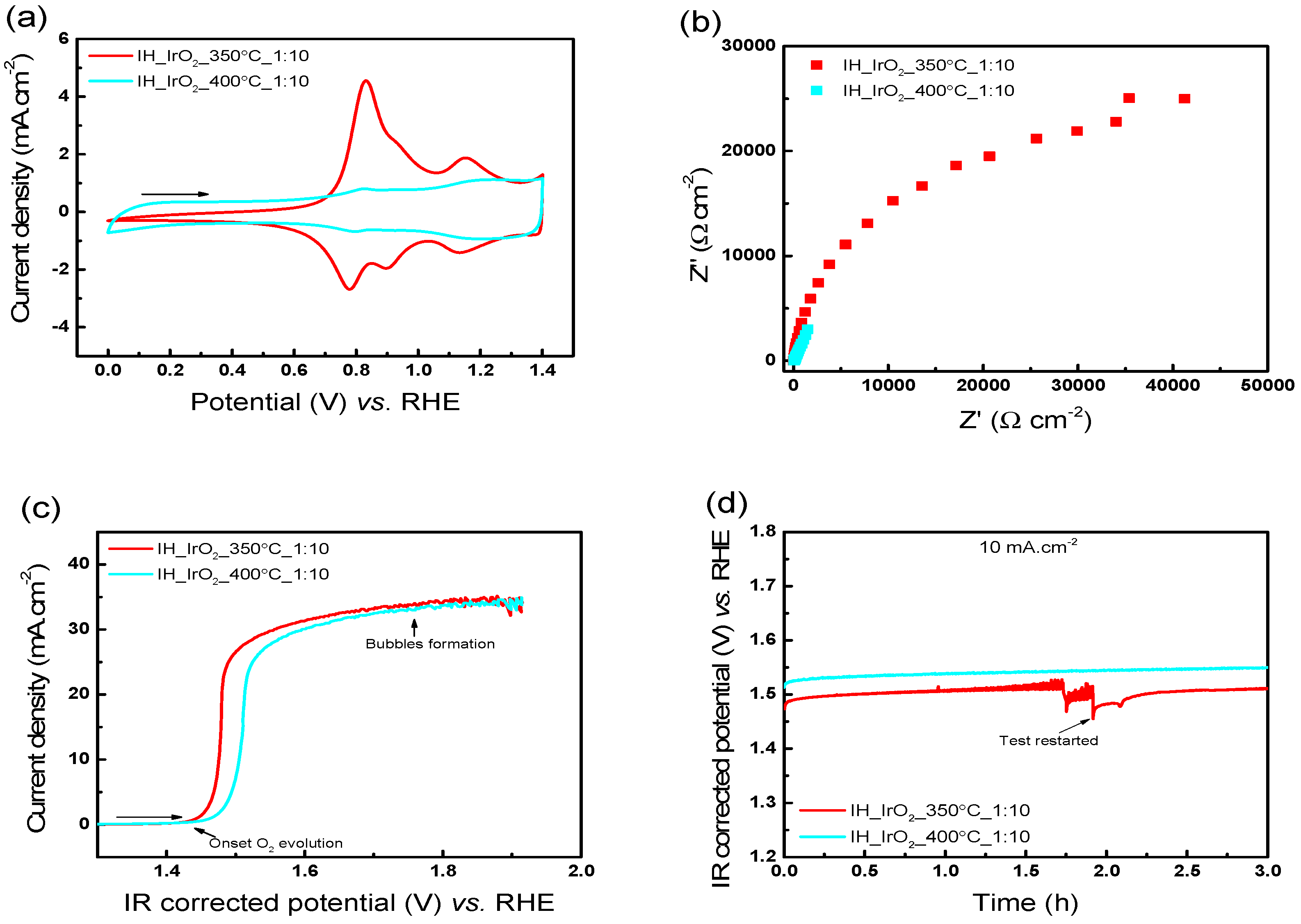
2.2.2. Effect of Synthesis Temperature
2.2.3. Determination of Electrochemical Surface Areas Estimates
2.2.4. Durability Studies of In-House IrO2 Samples
3. Materials and Methods
3.1. Electrocatalyst Synthesis
3.2. Preparation of the Working Electrode
3.3. Physical Characterization
3.4. Electrochemical Characterization
4. Conclusions
Author Contributions
Funding
Conflicts of Interest
References
- Carmo, M.; Fritz, D.L.; Mergel, J.; Stolten, D. A comprehensive review on PEM water electrolysis. Int. J. Hydrogen Energy 2013, 38, 4901–4934. [Google Scholar] [CrossRef]
- Cheng, Y.; Jiang, S.P. Advances in electrocatalysts for oxygen evolution reaction of water electrolysis—From metal oxides to carbon nanotubes. Prog. Nat. Sci. Mater. Int. 2015, 25, 545–553. [Google Scholar] [CrossRef]
- Mohammadi, A.; Mehrpooya, M. A comprehensive review on coupling different types of electrolyzer to renewable energy sources. Energy 2018, 158, 632–655. [Google Scholar] [CrossRef]
- Yu, H.; Danilovic, N.; Wang, Y.; Willis, W.; Poozhikunnath, A.; Bonville, L.; Capuano, C.; Ayers, K.; Maric, R. Nano-size IrOx catalyst of high activity and stability in PEM water electrolyzer with ultra-low iridium loading. Appl. Catal. B 2018, 239, 133–146. [Google Scholar] [CrossRef]
- Cheng, J.; Zhang, H.; Ma, H.; Zhong, H.; Zou, Y. Study of carbon-supported IrO2 and RuO2 for use in the hydrogen evolution reaction in a solid polymer electrolyte electrolyzer. Electrochim. Acta 2010, 55, 1855–1861. [Google Scholar] [CrossRef]
- Song, S.; Zhang, H.; Ma, X.; Shao, Z.; Baker, R.T.; Yi, B. Electrochemical investigation of electrocatalysts for the oxygen evolution reaction in PEM water electrolyzers. Int. J. Hydrogen Energy 2008, 33, 4955–4961. [Google Scholar] [CrossRef]
- Marshall, A.T.; Sunde, S.; Tsypkin, M.; Tunold, R. Performance of a PEM water electrolysis cell using IrxRuyTazO2 electrocatalysts for the oxygen evolution electrode. Int. J. Hydrogen Energy 2007, 32, 2320–2324. [Google Scholar] [CrossRef]
- Badam, R.; Hara, M.; Huang, H.-H.; Yoshimura, M. Synthesis and electrochemical analysis of novel IrO2 nanoparticle catalysts supported on carbon nanotube for oxygen evolution reaction. Int. J. Hydrogen Energy 2018, 43, 18095–18104. [Google Scholar] [CrossRef]
- Ma, Z.; Zhang, Y.; Liu, S.; Xu, W.; Wu, L.; Hsieh, Y.-C.; Liu, P.; Zhu, Y.; Sasaki, K.; Renner, J.N.; et al. Reaction mechanism for oxygen evolution on RuO2, IrO2, and RuO2@IrO2 core-shell nanocatalysts. J. Electroanal. Chem. 2018, 819, 296–305. [Google Scholar] [CrossRef]
- Ahmed, J.; Mao, Y. Ultrafine Iridium Oxide Nanorods Synthesized by Molten Salt Method toward Electrocatalytic Oxygen and Hydrogen Evolution Reactions. Electrochim. Acta 2016, 212, 686–693. [Google Scholar] [CrossRef]
- Chen, C.A.; Chen, Y.M.; Huang, Y.S.; Tsai, D.S.; Liao, P.C.; Tiong, K.K. Synthesis and structural characterization of twinned V-shaped IrO2 nanowedges on TiO2 nanorods via MOCVD. J. Alloy Compd. 2009, 480, 107–110. [Google Scholar] [CrossRef]
- Siracusano, S.; Baglio, V.; Stassi, A.; Ornelas, R.; Antonucci, V.; Aricò, A.S. Investigation of IrO2 electrocatalysts prepared by a sulfite-couplex route for the O2 evolution reaction in solid polymer electrolyte water electrolyzers. Int. J. Hydrogen Energy 2011, 36, 7822–7831. [Google Scholar] [CrossRef]
- Murakami, Y.; Ohkawauchi, H.; Ito, M.; Yahikozawa, K.; Takasu, Y. Preparations of ultrafine IrO2-SnO2 binary oxide particles by a sol-gel process. Electrochim. Acta 1994, 39, 2551–2554. [Google Scholar] [CrossRef]
- Marshall, A.; Børresen, B.; Hagen, G.; Tsypkin, M.; Tunold, R. Electrochemical characterisation of IrxSn1−xO2 powders as oxygen evolution electrocatalysts. Electrochim. Acta 2006, 51, 3161–3167. [Google Scholar] [CrossRef]
- Cheng, J.; Zhang, H.; Ma, H.; Zhong, H.; Zou, Y. Preparation of Ir0.4Ru0.6MoxOy for oxygen evolution by modified Adams’ fusion method. Int. J. Hydrogen Energy 2009, 34, 6609–6613. [Google Scholar] [CrossRef]
- Rasten, E.; Hagen, G.; Tunold, R. Electrocatalysis in water electrolysis with solid polymer electrolyte. Electrochim. Acta 2003, 48, 3945–3952. [Google Scholar] [CrossRef]
- Shriner, R.L.; Adams, R. The preparation of palladous oxide and its use as a catalyst in the reduction of organic compounds, VI. J. Am. Chem. Soc. 1924, 46, 1683–1693. [Google Scholar] [CrossRef]
- Zhang, Y.; Wang, C.; Mao, Z.; Wang, N. Preparation of nanometer-sized SnO2 by the fusion method. Mater. Lett. 2007, 61, 1205–1209. [Google Scholar] [CrossRef]
- Adams, R.; Shriner, R.L. Platinum oxides as a catalyst in the reduction of organic compounds. III, Preparation and properties of the oxide of platinum obtained by the fusion of chloroplatinic acid with sodium nitrate. J. Am. Chem. Soc. 1923, 45, 2171–2179. [Google Scholar] [CrossRef]
- Puthiyapura, V.K.; Mamlouk, M.; Pasupathi, S.; Pollet, B.G.; Scott, K. Physical and electrochemical evaluation of ATO supported IrO2 catalyst for proton exchange membrane water electrolyser. J. Power Sources 2014, 269, 451–460. [Google Scholar] [CrossRef]
- Hu, J.M.; Meng, H.M.; Zhang, J.Q.; Cao, C.N. Degradation mechanism of long service life Ti/IrO2–Ta2O5 oxide anodes in sulphuric acid. Corros. Sci. 2002, 44, 1655–1668. [Google Scholar] [CrossRef]
- Yoshinaga, N.; Sugimoto, W.; Takasu, Y. Oxygen reduction behavior of rutile-type iridium oxide in sulfuric acid solution. Electrochim. Acta 2008, 54, 566–573. [Google Scholar] [CrossRef]
- Grupioni, A.A.F.; Arashiro, E.; Lassali, T.A.F. Voltammetric characterization of an iridium oxide-based system: The pseudocapacitive nature of the Ir0.3Mn0.7O2 electrode. Electrochim. Acta 2002, 48, 407–418. [Google Scholar] [CrossRef]
- Lervik, I.A.; Tsypkin, M.; Owe, L.-E.; Sunde, S. Electronic structure vs. electrocatalytic activity of iridium oxide. J. Electroanal. Chem. 2010, 645, 135–142. [Google Scholar] [CrossRef]
- Abbott, D.F.; Lebedev, D.; Waltar, K.; Povia, M.; Nachtegaal, M.; Fabbri, E.; Copéret, C.; Schmidt, T.J. Iridium Oxide for the Oxygen Evolution Reaction: Correlation between Particle Size, Morphology, and the Surface Hydroxo Layer from Operando XAS. Chem. Mater. 2016, 28, 6591–6604. [Google Scholar] [CrossRef]
- Hackwood, S.; Dayem, A.H.; Beni, G. Amorphous-nonmetal-to-crystalline-metal transition in electrochromic iridium oxide films. Phys. Rev. B 1982, 26, 471–478. [Google Scholar] [CrossRef]
- Kawar, R.K.; Chigare, P.S.; Patil, P.S. Substrate temperature dependent structural, optical and electrical properties of spray deposited iridium oxide thin films. Appl. Surf. Sci. 2003, 206, 90–101. [Google Scholar] [CrossRef]
- Karimi, F.; Peppley, B.; Bazylak, A. Study of the Effect of Calcination Temperature on the Morphology and Activity of Iridium Oxide Electrocatalyst Supported on Antimony Tin Oxide (ATO) for PEM Electrolyser Technology. ECS Trans. 2015, 69, 87–98. [Google Scholar] [CrossRef]
- Felix, C.; Maiyalagan, T.; Pasupathi, S.; Bladergroen, B.; Linkov, V. Synthesis and Optimisation of IrO2 Electrocatalysts by Adams Fusion Method for Solid Polymer Electrolyte Electrolysers. Micro Nanosyst. 2012, 4, 186–191. [Google Scholar] [CrossRef]
- Liu, Y.; Wang, C.; Lei, Y.; Liu, F.; Tian, B.; Wang, J. Investigation of high-performance IrO2 electrocatalysts prepared by Adams method. Int. J. Hydrogen Energy 2018, 43, 19460–19467. [Google Scholar] [CrossRef]
- Steegstra, P.; Busch, M.; Panas, I.; Ahlberg, E. Revisiting the Redox Properties of Hydrous Iridium Oxide Films in the Context of Oxygen Evolution. J. Phys. Chem. C 2013, 117, 20975–20981. [Google Scholar] [CrossRef]
- Papaderakis, A.; Tsiplakides, D.; Balomenou, S.; Sotiropoulos, S. Electrochemical impedance studies of IrO2 catalysts for oxygen evolution. J. Electroanal. Chem. 2015, 757, 216–224. [Google Scholar] [CrossRef]
- Teles, J.J.S.; Faria, E.R.; Franco, D.V.; Da Silva, L.M. Inner and Outer Surface Areas, Electrochemical Porosity, and Morphology Factor of Mixed Oxide-Covered Mesh Electrodes with a Nominal Composition of MOME-Sn0.5IrxRu(0.5−x)O2. Int. J. Electrochem. Sci. 2017, 12, 1755–1773. [Google Scholar] [CrossRef]
- De Pauli, C.P.; Trassati, S. Electrochemical surface characterization of IrO2 + SnO2 mixed oxide electrocatalysts. J. Electroanal. Chem. 1995, 396, 161–168. [Google Scholar] [CrossRef]
- Cherevko, S.; Reier, T.; Zeradjanin, A.R.; Pawolek, Z.; Strasser, P.; Mayrhofer, K.J.J. Stability of nanostructured iridium oxide electrocatalysts during oxygen evolution reaction in acidic environment. Electrochem. Commun. 2014, 48, 81–85. [Google Scholar] [CrossRef]
- Ten Kortenaar, M.V.; Vente, J.F.; Ijdo, D.J.W.; Müller, S.; Kötz, R. Oxygen evolution and reduction on iridium oxide compounds. J. Power Sources 1995, 56, 51–60. [Google Scholar] [CrossRef]
- Hu, J.-M.; Zhang, J.-Q. Microstructure, electrochemical surface and electrocatalytic properties of IrO2 + Ta2O5 oxide electrodes. J. Mater. Sci. 2003, 36, 705–712. [Google Scholar] [CrossRef]








| Sample Name | Average Particle Size (nm) by Scherrer Formula | Average Particle Size (nm) by TEM |
|---|---|---|
| IH_IrO2_350 °C_1:3 | 3.4 | 2.6 ± 0.6 |
| IH_IrO2_350 °C_1:10 | 4.2 | 2.2 ± 0.4 |
| IH_IrO2_350 °C_1:28 | 2.9 | 2.5 ± 0.5 |
| IH_IrO2_400 °C_1:10 | 13.9 | 9.7 ± 11.5 |
| Commercial_IrO2 | 41.1 | 216.1 ± 152.46 |
| Sample Name | % Weight Loss at 100 °C | % Weight Loss at 750 °C | % Weight Loss at ~1000 °C |
|---|---|---|---|
| IH_IrO2_350 °C_1:3 | 5.3 | 11.3 | 25.3 |
| IH_IrO2_350 °C_1:10 | 6.8 | 15.1 | 29.1 |
| IH_IrO2_350 °C_1:28 | 4.2 | 13.4 | 29.6 |
| IH_IrO2_400 °C_1:10 | N/A | 3.8 | 19.6 |
| Commercial_IrO2 | N/A | 1.4 | 18.6 |
| Element | IH_IrO2_350 °C_1:3 | IH_IrO2_350 °C _1:10 | IH_IrO2_350 °C_1:28 | IH_IrO2_400 °C_1:28 | ||||
|---|---|---|---|---|---|---|---|---|
| Weight % | Atomic % | Weight % | Atomic % | Weight % | Atomic % | Weight % | Atomic % | |
| O | 16.13 | 63.69 | 14.68 | 66 | 14.71 | 62.2 | 14.82 | 66.29 |
| Ir | 81.34 | 29.58 | 82.89 | 27.39 | 81.86 | 28.82 | 84.45 | 31.35 |
| Na | 2.35 | 6.73 | 2.25 | 6.61 | 2.35 | 6.91 | 0.73 | 2.26 |
| Cl | - | - | - | - | 1.09 | 2.07 | - | - |
| Sample Name | Qt* (mC·cm−2) | Qe* (mC·cm−2) | Qi* (mC·cm−2) | Φ |
|---|---|---|---|---|
| IH_IrO2_350 °C_1:3 | 339.8 | 160.1 | 179.7 | 0.53 |
| IH_IrO2_350 °C_1:10 | 127.4 | 84.2 | 43.2 | 0.34 |
| IH_IrO2_350 °C_1:28 | 323.8 | 160.9 | 162.9 | 0.50 |
| IH_IrO2_400 °C_1:10 | 54.6 | 46.2 | 8.4 | 0.15 |
| Sample Name | Qa* (mC·cm−2) Initial | Qa* (mC·cm−2) after 1200 Cycles | Qa* (mC·cm−2) after 3000 Cycles |
|---|---|---|---|
| IH_IrO2_350 °C_1:3 | 192.4 | 191.1 (−0.7%) | 187.6 (−1.6%) |
| IH_IrO2_350 °C_1:10 | 98.1 | 83.3 (−15.1%) | 76.3 (−22.2%) |
| IH_IrO2_350 °C_1:28 | 192.8 | 167.5 (−13.1%) | 147.4 (−23.5%) |
| IH_IrO2_400 °C_1:10 | 48.1 | 45.2 (−6.0%) | 45.2 (−6.0%) |
| Sample Name | Ja (mA·cm−2) Initial | Ja (mA·cm−2) after 1200 Cycles | Ja (mA·cm−2) after 3000 Cycles |
|---|---|---|---|
| IH_IrO2_350 °C_1:3 | 31.4 | 31.8 | 31.7 |
| IH_IrO2_350 °C_1:10 | 31.3 | 31.7 | 31.3 |
| IH_IrO2_350 °C_1:28 | 30.4 | 30.4 | 30.0 |
| IH_IrO2_400 °C_1:10 | 30.3 | 29.3 | 29.3 |
© 2019 by the authors. Licensee MDPI, Basel, Switzerland. This article is an open access article distributed under the terms and conditions of the Creative Commons Attribution (CC BY) license (http://creativecommons.org/licenses/by/4.0/).
Share and Cite
Felix, C.; Bladergroen, B.J.; Linkov, V.; Pollet, B.G.; Pasupathi, S. Ex-Situ Electrochemical Characterization of IrO2 Synthesized by a Modified Adams Fusion Method for the Oxygen Evolution Reaction. Catalysts 2019, 9, 318. https://doi.org/10.3390/catal9040318
Felix C, Bladergroen BJ, Linkov V, Pollet BG, Pasupathi S. Ex-Situ Electrochemical Characterization of IrO2 Synthesized by a Modified Adams Fusion Method for the Oxygen Evolution Reaction. Catalysts. 2019; 9(4):318. https://doi.org/10.3390/catal9040318
Chicago/Turabian StyleFelix, Cecil, Bernard J. Bladergroen, Vladimir Linkov, Bruno G. Pollet, and Sivakumar Pasupathi. 2019. "Ex-Situ Electrochemical Characterization of IrO2 Synthesized by a Modified Adams Fusion Method for the Oxygen Evolution Reaction" Catalysts 9, no. 4: 318. https://doi.org/10.3390/catal9040318
APA StyleFelix, C., Bladergroen, B. J., Linkov, V., Pollet, B. G., & Pasupathi, S. (2019). Ex-Situ Electrochemical Characterization of IrO2 Synthesized by a Modified Adams Fusion Method for the Oxygen Evolution Reaction. Catalysts, 9(4), 318. https://doi.org/10.3390/catal9040318

