Abstract
Catalytic ozonation is believed to belong to advanced oxidation processes (AOPs). Over the past decades, heterogeneous catalytic ozonation has received remarkable attention as an effective process for the degradation of refractory organics in wastewater, which can overcome some disadvantages of ozonation alone. Metal oxides, metals, and metal oxides supported on oxides, minerals modified with metals, and carbon materials are widely used as catalysts in heterogeneous catalytic ozonation processes due to their excellent catalytic ability. An understanding of the application can provide theoretical support for selecting suitable catalysts aimed at different kinds of wastewater to obtain higher pollutant removal efficiency. Therefore, the main objective of this review article is to provide a summary of the accomplishments concerning catalytic ozonation to point to the major directions for choosing the catalysts in catalytic ozonation in the future.
1. Introduction
As we know, water is commonly used in many industries as a solvent or reaction medium. In recent years, a significant number of chemical industries were likely to discharge untreated or partially-treated industrial wastewater in order to get a maximum profit, leading to an increase of wastewater volume. The organics in bulk solution, including refractory, toxic, carcinogenic and mutagenic organic compounds, have been increasing, which are harmful to humans, the environment, animals, etc. It is difficulty for those organic compounds to find ways to convert into innoxious substances, because most organics are chemically stable and non-biodegradable. Water demand is increasing day-by-day, thus solving percent conversion of organic compounds has become a severe problem and a priority [1].
At present, numerous chemical manufacturing industries use conventional wastewater treatment techniques, such as adsorption, coagulation, flocuulation, incineration, biological oxidation, etc. to treat wastewater. However, it was reported that conventional treatment methods have some limitations, which may lead to an inefficient removal efficiency in the treatment of recalcitrant organics. These conventional treatment methods are also costly due to the large space requirement and long degradation time [2]. Facing those limitations, many scientific fraternities try their best to explore more advanced technologies to completely degrade refractory organic compounds.
Advanced oxidation processes (AOPs) have received increasing attention and are applied to degrade various organic compounds. AOPs refer to the generation of hydroxyl radicals (HO·), which are powerful, non-selective chemical oxidants and have a high efficiency in removing organic compounds from various kinds of wastewater at a laboratory scale. Among all AOPs, Fenton or Fenton-like, hydrogen peroxide [3], ozone based, photocatalysis [3], electrochemical oxidation (EAOP), catalytic wet peroxide oxidation (CWPO), and hydrodynamic and acoustic cavitation combined with AOPs [4] are extensively used. Ozonation processes promote only the partial oxidation of organic compounds in wastewater and sometimes it produces toxic intermediates [5]. Therefore, ozonation is put into practice in the presence of a catalyst, which is called catalytic ozonation, and has emerged as an effective treatment technology to achieve a higher degradation efficiency for all types of organic matters in the effluent [6].
In catalytic ozonation processes, many metal oxides, metals or metal oxides on supports, activated carbon and minerals are used as catalysts to improve the removal efficiency of the organic contaminants. This review paper emphasizes the application of catalysts in the catalytic ozonation processes to point to the major directions for choosing the catalyst in the catalytic ozonation for the future.
2. Advanced Oxidation Processes (AOPs)
Advanced oxidation processes (AOPs) are defined as oxidation of organic compounds occur primarily through reactions with hydroxyl radicals (HO·) [7]. AOPs have many of advantages than these other advanced treatment processes are short of degrading organic compounds in water. Table 1 presents a summary of advantages and disadvantages of AOPs [8].
Table 1.
Advantages and disadvantages of AOPs for treatment of organic contaminants in wastewater.
Hydroxyl radicals have a higher oxidizing capacity than other oxidizing agents (Table 2) [9], which could react rapidly with most organic compounds from wastewater. However, among those AOPs technologies, many technologies have some limitations, such as photo-catalytic oxidation has a low reaction rate, and it is costly due to the irradiation of catalysts being uniform, which results in a significant loss of energy. The catalysts in wet air oxidation reactions [10] are likely to deactivate due to poisoning, coke deposition, metal leaching [11], and electrocoagulation requires minimum solution conductivity [12]. Hence, ozone based AOPs are increasing popular, attractive, and promising. There are some advantages and disadvantages of different reinforcement ozone oxidation technologies and applications. The H2O2/O3 process has a high efficiency in removing pollutants and has no by-products, but it consumes a high energy and there exists H2O2 residual [13,14]. The low utilization rate of energy and a lesser treatment volume exist in ultrasonic/O3 system. In cavitation-based processes, there are some advantages, such as a high disinfecting rate and disadvantages, such as cavitation erosion [15,16,17]. Catalytic ozonation processes have emerged as an efficient treatment method to make wastewater biodegradable and less toxic, but the catalyst life and recyclability are problems.
Table 2.
A comparison of the oxidizing potential of various oxidants.
3. Heterogeneous Catalytic Ozonation
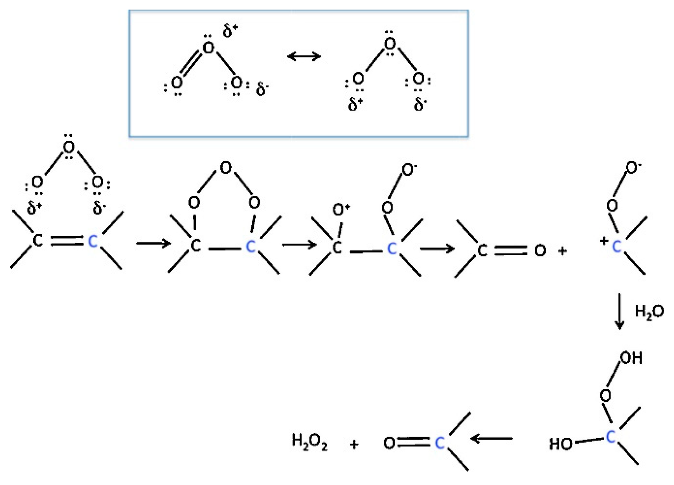
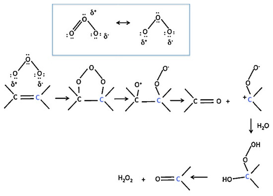
Ozone is an effective oxidant (E° = +2.07 eV), which can selectively oxidize unsaturated double bonds [18] (Figure 1) and aromatic structures [19]. Moreover, ozone may react with water and produce hydroxyl radicals which have a higher oxidation potential (E° = +2.8 eV). In general, ozone attacks organic compounds via two rates: A direct molecular ozone reaction and an indirect pathway.
Figure 1.
Schematic representation of direct O3 reaction with unsaturated bond.
However, ozonation alone is inadequate for completely degrading organic pollutants due to its selectivity when it attacks some organic compounds [5]. The low solubility and instability of ozone in water leads to the low utilization rate.
As a consequence, ozonation is carried out with the addition of homogeneous or heterogeneous catalysts, called catalytic ozonation processes (COPs). COPs have emerged as an efficient treatment method to enhance the removal efficiency for all types of organic pollutants from the effluent [6]. The ozonation in the presence of a catalyst promotes the decomposition of ozone to generate hydroxyl radicals [20]. Various catalysts are utilized in organic compound treatments in COPs, such as alumina [21], activated carbon [22], natural minerals [23], and metal oxides [24,25,26]. These catalysts can accelerate the decomposition of ozone to form free radicals (such as OH·), which further stimulates oxidation due to the high reaction rate [27,28]. Compared with homogeneous catalytic ozonation [29], heterogeneous catalytic ozonation is advantageous due to the sustained reactions via an active surface that does not require a continuous supply of reagents, and it is generally easy to retrieve the solid catalyst after a treatment. Therefore, seeking an active and stable catalyst is a vital task for environmental purposes and intensive studies have been made in recent years.
A variety of solid catalysts has been studied in the literatures. Among these catalysts, those that are widely used in heterogeneous catalytic ozonation are as follows:
- Metal oxides
- Metal or metal oxides on supports
- Carbon materials
- Minerals modified with metals
4. Metal Oxides
Various metal oxides play an important role in heterogeneous catalytic ozonation. Among them, Al2O3, TiO2, MnO2, FeOOH, and bimetallic oxides are studied as possible catalysts in heterogeneous catalytic ozonation. However, different studies suggested different ozonation mechanisms. The catalytic efficiency depends to a great extent on the catalyst and its surface properties and the pH of the solution that influences the properties of the surface-active sites (such as Lewis acid sites and Bronsted acid sites). Metal oxide surfaces have many hydroxyl groups, which effect the amount and the properties of hydroxyl. Figure 2 shows the variation of the surface hydroxyl species concentration with the surface pH [30].
Figure 2.
Variation of the surface hydroxyl species concentration with with the surface pH.
4.1. Manganese Oxide
Manganese oxide-based catalysts are considered to be the most effective metal oxide with a strong ability to react with gas phase ozone and they are promising active catalysts for heterogeneous catalytic ozonation in aqueous solutions [31,32,33,34,35,36,37]. Catalytic ozonation studies carried out using manganese oxide as catalyst are summarized in Table 3. Manganese oxide-based catalysts are believed to be effective and economical for ozone decomposition mainly due to their peculiar properties including high redox potential, low water solubility, environmental friendliness, ease of manufacture, low cost, diverse crystallographic structures, and different oxidation states [38,39]. Previous researchers reported [40] that commercial MnO2 was not active in catalytic ozonation, but Luo et al. [41] reported that commercial MnO2 had a catalytic effect on the degradation of Bisphenol A, but it played a certain inhibiting effect in the degradation of ibuprofen. The same result had been observed by Nawaz et al. [42] for the catalytic ozonation of 4-nitrophenol.
Table 3.
Manganese oxide for catalytic ozonation studies.
Nawaz et al. [43] used three different catalysts (MnO2, Mn2O3, and Mn3O4) for the degradation of phenol (Ph), p-cresol (Ph-CH3), and p-chlorophenol (Ph-Cl). At 60 min, all phenols could be completely decomposed over three catalysts. The degradation rates of all the phenols followed the order of Mn3O4 < Mn2O3 < MnO2. MnO2 was the most active among the three catalysts because of its higher surface hydroxyl groups and higher electron transfer ability. However, in the catalytic ozonation of benzene and toluene, the activity followed the order MnO2 < Mn2O3 < Mn3O4, which was considered to be related to the surface area and oxygen mobility of manganese oxides. In the heterogeneous activation of peroxymonosulfate for the remove of phenol, the order was MnO2 < Mn3O4 < Mn2O3, and this was considered to be connected with the redox potential of manganese oxides [44]. In the different kinds of wastewater, the same catalyst had different catalytic performances. They also found that superoxide radical (1O2), singlet oxygen (·O2−), and molecular ozone were mainly responsible for phenol degradation in bulk solution.
Tong et al. [40] investigated the heterogeneous catalytic ozonation of sulfosalicylic acid (SSal) and propionic acid (PPA) in aqueous solution, they found that the dependence of catalytic activity of MnO2 on the pH of solutions and organic compounds, but it was independent of the type of MnO2. For SSal, no catalytic activities of both MnO2 (β-MnO2 and γ-MnO2) were observed at pH 6.8 and 8.5. When the value of pH was higher than zero point of charge (pHzpc), MnO2 almost had no catalytic efficiency during oxalic acid ozonation, which had been confirmed by Andreozzi et al. [45]. For PPA, no catalytic efficiency of different kinds of MnO2 was observed at pH 1.0 and 6.8. Furthermore, they found that there was no direct relationship between the efficiency of metal oxide catalytic decomposition of ozone and that of its catalytic ozonation for the degradation of organic compounds.
Nawaz et al. [46] investigated the catalytic ozonation of 4-nitrophenol (4-NP) using six phases of MnO2 (α-, β-, δ-, γ-, λ- and ε-) as catalyst. The removal efficiency of 4-NP and total organic carbon(TOC) increased in the order of α-MnO2 (99.3%) > δ-MnO2 (96.6%) > γ-MnO2 (93.3%) > λ-MnO2 (90.0%) > ε-MnO2 (89.8%) > β-MnO2 (86.4%), α-MnO2 (82.4%) > δ-MnO2 (73.5%) > γ-MnO2 (64.2%) > λ-MnO2 (61.8%) > ε-MnO2 (60.1%) > β-MnO2 (50.1%) respectively. They found that α-MnO2 was the most active catalyst among six kinds of MnO2 for removing both 4-NP and TOC at neutral pH. Similarly, Liang et al. [47] found that the catalytic activity of catalysts increased in the order of β-MnO2 < γ-MnO2 < δ-MnO2 ≈ α-MnO2. Saputra et al. [48] observed the activation of ozone to produce sulfate radicals to degrade phenol, and the catalytic activity analogous order of β-MnO2 < γ-MnO2 < α-MnO2.
Dong et al. [49] reported β-MnO2 as catalyst in the degradation of COD in wastewater. They found that the presence of β-MnO2 nanowires accelerated the removal of COD remarkably (27.1%). Moreover, this experiment showed that β-MnO2 nanowires were beneficial for the adsorption and decomposition of ozone.
Nawaz et al. [42] investigated the catalytic ozonation of 4-nitrophenol (4-NP) using α-MnO2 and found that superoxide radicals, rather than hydroxyl radicals, make a great contribution to the degradation of 4-NP. An ozone molecule attached with α-MnO2 on its active sites detaches with another ozone molecule to produce oxygen and superoxide free radicals [50,51]. Zhao et al. [52] studied the α-MnO2 catalytic ozonation of phenol in water. The results showed that 94.9% of phenol was removed in α-MnO2/O3, which was less than two times higher than phenol removal (52.4%) by single ozonation. Moreover, the *O, ·OH, O2−, and *O2 were not mainly involved in the catalytic ozonation of phenol. Electrons from the surface Mn (III) improved ozone decomposition to some active species and the oxidation of lattice oxygen enhanced the reversion of Mn (IV) to Mn (III). The balance between O (−II)/O (0) and Mn (III)/Mn (IV) was the primary factor for the catalytic performance of MnO2 (Equations (1)–(3)).
4.2. Titanium Dioxide
Titanium dioxide (TiO2) has been used for a large variety of applications, including the photocatalytic hydrogen production from water, the decomposition and synthesis of organic chemicals, the removal of pollutants from the environment, the reduction of CO2 to chemical fuel, the oxidation of CO, in electron conductors in dye-sensitized solar cells, rechargeable batteries, super-capacitors, sensors, and biomedical devices [54,55,56]. TiO2 is one of the most widely used and intensely studied materials in photocatalysis. The photoexcitation of semiconductor particles promotes an electron from the valence band to the conduction band to generate a positive hole. Both reductive and oxidative processes can occur at/or near the surface of the photo excited semiconductor particle. Moreover, it is known to be a popular catalyst for ozonation reactions [57,58], due to its low cost, nontoxicity, and high stability in different environments. It can accelerate the ozonation process for the degradation of different kinds of pollutants [59,60] (Table 4).
Table 4.
Titanium dioxide for catalytic ozonation studies.
The TiO2/O3 process was used for the degradation of nitrobenzene (NB) [58]. It was found that the removal efficiency of NB was significantly improved in the presence of a catalyst, compared with non-catalytic ozonation. The catalytic activity of rutile was better than anatase. Moreover, an increase in the initial NB concentration enhanced NB removal by ozonation and catalytic ozonation.
Rosal et al. [57] studied the use of the TiO2 catalyst for the degradation of naproxen and carbamazepine. Compared with 62% of TOC removal efficiency of naproxen and 73% for carbamazepine that was obtained in pH 5, under the same conditions, 50% of naproxen and carbamazepine were removed by ozonation alone at pH 7. They found that the TiO2 promoted the decomposition of ozone during catalytic ozonation under acidic conditions, while at neutral pH it acted as an inhibitor of the ozone decomposition. The catalyst enhanced the mineralization of naproxen and carbamazepine especially in acidic conditions. In another report [61], the authors used TiO2 catalytic ozonation of clofibric acid from aqueous solution and found similar results. A set of stopped-flow experiments showed that the effect of the catalyst was probably due to the adsorption of organics on catalytic sites rather than the promotion of ozone decomposition.
Song et al. [62] reported TiO2 for the degradation of phenol in water and found that the surface OH groups were responsible for the degradation of phenol. The use of BET, XRD, and TEM analyses showed that TiO2 had high catalytic activities due to their specific surfaces and crystallite phases, whereas the morphology had very little influence on the process. Different crystal phases had different quantities of oxygen vacancy sites, which contributed to the performance of the catalytic ozonation [63,64,65,66]. There were a number of surface OH groups due to greater oxygen vacancy sites located in the rutile rather than other crystallite phases of TiO2. However, it was found that the pH of the solution was not controlled in this study. They thought the degradation of phenol relayed strongly on the concentration of surface OH.
4.3. Iron Oxides
Iron oxide catalysts have been widely used in wastewater treatment (Table 5), like dyes [68], phenol [69], p-chlorobenzoic acid [70], nitrobenzene [71], and the tertiary treatment of industrial wastewater [72]. They have received increasing attention due to their advantages, such as (1) abundance; (2) non-toxicity; (3) and their own special performances—magnetite (Fe3O4) possesses magnetic properties and iron oxyhydroxide (FeOOH) has a high density of hydroxyl groups; (4) their biocompatibility and recyclability.
Table 5.
Iron oxides for catalytic ozonation studies.
An Fe-based catalyst was used as a heterogeneous catalyst for the ozonation of industrial wastewater [73]. The authors found that the total organic carbon (TOC) removal was high, at 78.7%, which was two times higher than the TOC removal efficiency (31.6%) by ozonation alone. In this process, pH was a key operational parameter. Fe-based catalyst could possess a high activity at pH 6–9 [74,75,76]. On the contrary, at pH 6, many molecular ozone and little CO32− existed in the weakly acidic solution, which led to better COD removal.
Wang et al. [77] proposed three prepared-FeOOH catalysts (SO42−-FeOOH, Cl—FeOOH, and NO3−-FeOOH) for improving the ozonation effectiveness of ibuprofen (IBU). Among them, the degradation rate of IBU was reduced following the order SO42−-FeOOH (40.2%) > NO3−-FeOOH (35.7%) > Cl−-FeOOH (34.6%). The water pH was a vital factor that determined the charge properties of surface hydroxyl groups at oxide/water interface (Equations (4) and (5)) [78]. From this experiment, they found the pHzpc of SO42−-FeOOH (7.12) was closer to the pH value of the ibuprofen solution (7.05) than of the other two precursor syntheses. SO42−-FeOOH had the highest catalytic activity among three kinds of catalysts. Furthermore, SO42−-FeOOH owned more hydroxyl groups which improved the catalytic activity by forming hydroxyl radical. Sui et al. [72] reported that FeOOH could effectively promote the production of hydroxyl radicals (·OH) at pH 4.0 and 7.0, promoting the degradation efficiency of oxalic acid. At pH 4.0, almost all the hydroxyl groups existed in the form of –OH2+, and −OH was the predominant species at pH 7.0. Figure 3 shows the variation of surface hydroxyl species of FeOOH in different solution pH [79]. Both the positive charge state of Me–OH2+ (Equations (6)–(8) [80,81]) and neutral state of Me–OH (Equations (9)–(11) [66,81,82]) were beneficial to activate ozone to generate hydroxyl radicals.
Figure 3.
Distribution of different surface hydroxyl species on FeOOH as a function of pH.
Zhang et al. [83] investigated the relationship between the surface hydroxyl groups of FeOOH and the generation of the hydroxyl radical (OH·). They compared with α-FeOOH, β-FeOOH, and γ-FeOOH and found that not all surface hydroxyl groups possessed high catalytic activity, and the weak surface MeO–H bonds were favorable sites for the generation of OH·. More importantly, they found that a stronger electrophilic H and nucleophilic O would facilitate the interaction between the surface hydroxyl group and the dipole molecule of ozone to promote OH· generation due to a weaker surface Me–O bond. Zhang et al. [71] used synthetic goethite (FeOOH) for the degradation of Nitrobenzene (NB). They found that catalytic ozonation with FeOOH could improve NB degradation, which was about two times higher than that in uncatalyzed ozonation. In this experiment, the protonated and deprotonated surface hydroxyl group were a disadvantage for the production of OH·, and the nearly neutral surface hydroxyl groups were beneficial for producing OH· to improve the ozonation of NB. Figure 4 illustrates the possible pathway of hydroxyl radical generation induced by the surface hydroxyl groups of the FeOOH [71]. They also found that the higher surface hydroxyl densities of FeOOH (0.502 mmolg−1) contributed to its activity in the catalytic ozonation of NB. However, Zhang et al. [83] reported that no correlation could be established between the surface hydroxyl densities and the catalytic activities. As for α-FeOOH, β-FeOOH, and γ-FeOOH, their surface hydroxyl densities followed the decreasing order of β-FeOOH > γ-FeOOH > α-FeOOH, but their catalytic activities followed the decreasing order of α-FeOOH > β-FeOOH > γ-FeOOH. There was a relation between the catalytic activity of the oxo-hydroxides and some specific properties of their surface hydroxyl groups.
Figure 4.
The possible pathway of hydroxyl radical generation.
As reported by Zhu et al. [84], the ordered mesoporous Fe3O4 catalyst presented high catalytic activity for removing atrazine (ATZ) compared with conventional Fe3O4 nanoparticles. The ATZ removal with the om-Fe3O4 catalyst, nano-Fe3O4, ozonation alone could reach 82.0%, 25.0%, and 9.1%, respectively. The plausible mechanism of ATZ ozonation by ordered mesoporous Fe3O4 and the most popular reactions could be described in Equations (12)–(18). The redox cycles of Fe2+/Fe3+ were responsible for hydroxyl radical (OH·) generation.
4.4. Aluminum Oxides
Alumina-based catalysts have been studied in the catalytic ozonation of different organic contaminants because of their high catalytic activities (Table 6). As reported in several studies, aluminum oxides might enhance the generation of ·OH.
Table 6.
Aluminum oxides for catalytic ozonation studies.
Aghaeinejad-Meybodi et al. [86] reported that γ-Al2O3 dramatically improved the removal rate of Fluoxetine, up to 96.14%. The removal efficiency enhanced when the molar ratio of O3 to Fluoxetine decreased (13 to 4) while the efficiency declined with a further decrease of the molar ratio. They found that the effective parameters of the removal efficiency of Fluoxetine with both ANN and CCD models followed this order: Initial Fluoxetine concentration < nano-γ-Al2O3 catalyst dosage < ozone concentration < reaction time. Keykavoos et al. [87] studied the catalytic activity of alumina for the ozonation of bisphenol A (BPA). They found that the degradation efficiency for BPA was higher in catalytic ozonation (90%) as compared to ozonation alone (35%). The presence of a catalyst in the ozonation system was more effective than the combination of ozonation and catalyst as an adsorbent for ultimate by-products.
Vittene et al. [88] used γ-Al2O3 as a catalyst for the degradation of 2,4-dimethylphenol (2,4-DMP) without pH adjustment. The degradation efficiency for 2,4-DMP was found to be more than four times higher than without a catalyst. Three carboxylic acids were mainly formed during 2,4-DMP ozonation in the following decreasing amount: Oxalic acid < formic acid < acetic acid. γ-Al2O3 was an amphoteric solid with Lewis acid AlOH (H+) sites and basic Al-OH sites (Figure 5) [18]. A part of the carboxylic acid was adsorbed on the basic sites of γ-Al2O3, resulting in a decrease of catalytic activity. They also found that sodium ions could prevent carboxylates adsorption on γ-Al2O3.
Figure 5.
Expected interaction of O3 with (a) acid and (b) basic sites of γ-Al2O3. (b) Hypothesis for adsorption mechanism of carboxylic acids with the basic sites of γ-Al2O3 during ozonation.
Qi et al. [88] used γ-AlOOH (HAO) and γ-Al2O3 (RAO) for the degradation of 2-isopropyl-3-meth-oxypyrazine (IPMP). In neutral water pH, the removal efficiency of IPMP in the presence of HAO and RAO were over 90.0%. The catalytic activities of both HAO and RAO were insignificant under lower pH. They found that OH· produced in water with the presence of HAO and OH· mainly generated around the surface of RAO. HAO and RAO presented different reaction mechanisms [88] (Figure 6). In another report, Qi et al. [89] also studied the effect of inorganic ions on ozone decomposition catalyzed by the aluminum oxides that was related to hydroxyl groups on the surfaces of the catalysts.
Figure 6.
Proposed reaction pathway in catalytic ozonation by γ-AlOOH (A) or γ-Al2O3 (B).
4.5. Magnesium Oxide
MgO has been given considerable attention as it has shown good catalytic ozonation performances for the degradation of several types of compounds including phenol [92], 4-chlorophenol [93], formaldehyde [94], and dyes [95] due to its unique features, such as a highly efficient activity and reactivity, a high structural stability in many surface basic sites [96], destructive adsorbance [97], a high specific surface area [98], environment friendliness, low toxicity [92,98,99,100,101], and it is hard and almost non-soluble in water. The catalytic ozonation studies are summarized in Table 7.
Table 7.
Magnesium oxide for catalytic ozonation studies.
Zhu et al. [102] studied the catalytic activity of the nano-MgO catalyst for the degradation of quinoline present in the biologically pretreated coal gasification wastewater. Under the same conditions, they found that 90.7% of quinoline was removed after 15 min. It was found that the hydroxyl radical generated due to decomposition of ozone on the nano-MgO catalyst was responsible for the degradation and mineralization of quinoline, thereby, improving degradation efficiency for quinoline. The results showed the small adsorption could be neglected. Detailed proposed mechanisms in this experiment are revealed in Figure 7 [102].
Figure 7.
Mechanism of quinoline degradation in catalytic ozonation.
Mashayekh-Salehi et al. [103] prepared MgO powder via a novel thermal/sol-gel method and used it for enhancing the ozonation effectiveness of acetaminophen. They found that MgO had a high catalytic activity. The basic surface functional groups played a vital role in promoting the transformation of ozone to OH·. With the addition of MgO, the reaction between the O3 molecules and both the O and H atoms of the hydroxyl groups existed on the surface of MgO. The reaction between OH· and ACT molecules occurred in the bulk solution. When releasing OH· to the solution, MgO adsorbed H2O molecules and dissociated them into OH· and H+, which enhanced the OH· generation from water [104,105]. A mechanism for degradation of ACT was proposed and given in Equations (19)–(26).
- Direct oxidation with O3 molecules on MgO surface:
- Radical type catalytic oxidation on MgO surface:
- Direct oxidation with O3 molecules in the bulk solution:
- Radical type catalytic oxidation in the bulk solution:
Chen et al. [93] synthesized three different types of crystal facet of (111), (110), and (200) of MgO and compared the catalytic capabilities among them by the catalytic ozonation of 4-chlorophenol. It was found that different dosages generated the same surface area of MgO, their catalytic capabilities were in the following order: MgO (200) < MgO (110) < MgO (111). This indicated that crystal facet played an important role in catalytic activity. Because of the edges, steps, and kinks, each facet increased in the order of MgO (200) < MgO (110) < MgO (111). The use of radical scavengers tert-butanol (TBA) showed that the hydroxyl radicals were responsible for the degradation of 4-chlorophenol.
Moussavi et al. [92] reported MgO for the COD removal and degradation of phenol from saline wastewater, particularly those containing inhibitory and toxic compounds and studied the influence of several variables, such as the dose of MgO, pH, and NaCl concentration on the efficiency of the catalytic process. The concentration of NaCl had no adverse effect on the phenol degradation. At neutral pH, they found that 70% of the COD and 96% of the phenol were removed in the catalytic ozonation process (COP) and 39% of a synergistic influence for phenol degradation in the COP. In other report [106], they also used MgO for the degradation of reactive red 198 azo dye. With addition of MgO catalyst, the rate of RR198 degradation greatly increased, thereby reducing the reaction time compared to single ozonation. At pH 8, the reaction time of the complete removal of color as short as 9 min, while the time at ozonation alone was 30 min.
4.6. Bimetallic Oxides
An increasing number of bimetallic catalysts are becoming popular in heterogeneous catalytic ozonation (Table 8), as bimetallic oxides usually present high catalytic activity and stability compared with monometallic oxides [110,111]. Spinel type oxides act as AB2O4 (where A and B are metal ions), and have received increasing attention due to their availability, low-cost, structure, valence states, morphologies, and surface defects. Such properties have illustrated that their good catalytic abilities could be competitive with noble metals [112].
Table 8.
Bimetallic oxides for catalytic ozonation studies.
Xu et al. [113] prepared CuAl2O4 and used it for the catalytic ozonation of dye solution. They found that near 100% of color and 87.2% of COD removal of the dye solution were removed in mixed oxide/O3 process within 25 min at neutral pH due to the better textural properties and a higher density of active sites. It was worth mentioning that surface adsorbed HO· and O2•− played a vital role in the organic’s degradation. They also measured the reaction rate value of CuAl2O4/O3, CuO/O3 and Al2O3/O3, 0.112 min−1, 0.071 min−1, and 0.074 min−1 respectively. Notably, the reaction rate value of CuAl2O4/O3 was higher than others. The superior catalytic activity of CuAl2O4 due to the synergistic effect of active sites on the surface ≡Cu2+ and ≡Al3+. Moreover, they proposed a possible mechanism of radical generation for the catalytic ozonation process over CuAl2O4 (Equations (27)–(39)).
Liu et al. [114] studied the catalytic ozonation of dimethyl phthalate (DMP) using Cu-Fe-O nanoparticles (CFO NPs) as catalyst. They found the great DMP removal efficiency was achieved in a wide range of pH from 3 to 9 and the amount of OH· was much higher than that of non-catalytic ozonation at pH 5.7. From this study, we known that the OH· played an important role in removing DMP. It was found that the potential of ≡Fe (III)/≡Fe (II) and ≡Cu (II)/≡Cu (I) cycles greatly influenced the production of OH·, but which was found to be negligible. They also proposed the reaction mechanisms for O3/CFO NPs catalytic ozonation (Equations (40)–(49)).
Liu et al. [115] successfully prepared four kinds of magnetic spinel ferrite, such as CoFe2O4, CuFe2O4, NiFe2O4, and ZnFe2O4 and applied them to treat the practical shale gas produced water in catalytic ozonation. From the results, they found that the magnetic spinel ferrite promoted the B [Spsbackslash] C ratio from less than 0.1 to over 0.3 and enhanced the AOC concentration to 5 times. The catalytic performances followed the order of CuFe2O4 > NiFe2O4 > CoFe2O4 > ZnFe2O4. By Scatchard model and Weber–Morris model, they found that the catalytic capacity depended on surface property. Zhang et al. [116] also synthesized four kinds of magnetic spinel ferrite and studied the catalytic activities of them for ozonation of oxalic acid. They found that the CoFe2O4 had higher catalytic performance than others (CoFe2O4 > NiFe2O4 > CuFe2O4 > ZnFe2O4) in catalyzing oxalic acid mineralization, 68.3% of TOC was removed within 120 min. The results showed that these spinel ferrites owned the reducibility and the electron donating capacity. Moreover, they proposed the radical-based mechanistic pathways, which included the interaction of surface hydroxyl groups and surface metal ions with ozone. The removal efficiency of N, N-dimethylacetamide (DMAC) using CuFe2O4 as catalyst in catalytic ozonation was reported by Zhang et al. [117]. They found that 95.4% of DMAC, 30.1% of COD, and 22.3% of TOC were removed in CuFe2O4/O3 process after 120 min. The reaction mechanism of the catalytic ozonation consisted of three different parts, such as heterogeneous catalytic ozonation, homogeneous catalytic ozonation, ozonation alone [117] (Figure 8).
Figure 8.
Possible reaction mechanism of the CuFe2O4/O3 process.
Bai et al. [118] used Ce0.1Fe0.9OOH as catalyst in the ozonation of sulfamethazine (SMT) and found that acidic and neutral pH were responsible for the SMT mineralization. More importantly, they presented the possible reaction pathways for the oxidation of SMT by ozone mixed Ce0.1Fe0.9OOH [118] (Figure 9).
Figure 9.
Schematic of possible catalytic mechanisms.
5. Metal or Metal Oxides on Supports
Metal oxides are loaded on supports, and they act as catalysts for promoting the degradation of organic compounds due to the increase of the surface area and active sites of catalysts [104,127,128]. They have a high catalytic performance in catalytic ozonation processes to remove contaminants in wastewater (Table 9).
Table 9.
Metals or metal oxides supported on oxides for catalytic ozonation studies.
Sun et al. [129] investigated the oxidation of clofibric acid (CA) by ozone mixed MnOx/SBA-15. Compared with single ozonation, the removal efficiency of CA was scarcely enhanced, while the removal of TOC was surprisingly improved by catalytic ozonation. It was worth mentioning that the adsorption of CA and TOC on MnOx/SBA-15 were found to be negligible. In O3/MnOx/SBA-15 process, they found that Mn–OH2+ acted as the main catalytic sites, where more ·OH were formed and transferred into the aqueous solution. They also [35] studied the MnOx/SBA-15 catalytic ozonation of oxalic acid (OA) and found that MnOx/SBA-15 had a high catalytic ozonation capacity and adsorption ability for OA. The protonated surface Mn-OH2+ greatly affected OA adsorption and ·OH initiation. This study followed the mechanism of OH· oxidation. Higher multi-valent MnOx (Mn (III)/Mn (IV)) benefited OA removal due to the promotion of electron transfer. The probable reaction pathway was proposed in Figure 10 for the ozonation of OA using MnOx/SBA-15 as catalyst [35]. Huang et al. [130] reported that the MnOx/sewage sludge-derived activated carbon (MnOx/SAC) exhibited the strongest catalytic activity at pH 3.5, while inhibited the oxalic acid removal at alkaline pH. Through the addition of hydroxyl radical scavenger and the analysis of the surface composition of catalyst, the results showed that the reaction mechanism involved two parts, such as surface reactions and reactions between the organic matters and hydroxyl radicals in the bulk water, but dominantly surface reactions [130] (Figure 11).
Figure 10.
Proposed reaction route for oxalic acid (OA) removal in O3/MnOx/SBA-15.
Figure 11.
Mechanism of heterogeneous catalytic ozonation with MnOx/SAC.
Li et al. [131] synthesized mesoporous MCM-48 and Ce loaded MCM-48 (Ce/MCM-48) to improve the ozonation effectiveness of clofibric acid in aqueous solution. They compared the catalytic capability among Ce/MCM-48, Ce/MCM-41 and MCM-48 by catalytic ozonation of Total Organic Carbon (TOC) and found that the removal efficiency followed the order of Ce/MCM-48 (64%) > Ce/MCM-41 (54%) > MCM-48 (24%) > single ozonation (23%). They found that the active sites were surface protonated hydroxyl groups from the influence of initial pH and Ce/MCM-48 catalysts generated more hydroxyl radicals than Ce/MCM-41. Moreover, they investigated the degradation pathway of CA at different pH [131] (Figure 12). Roshani et al. [132] studied the catalytic ozonation of benzotriazole (BTZ) using Mn/Al2O3, Cu/Al2O3 and Mn-Cu/Al2O3 as catalyst, respectively, they found that a higher level of mineralization of BTZ rather than in uncatalyzed ozonation over a wide range of pH values. In deionized water, the catalytic activity followed the order of Cu/Al2O3 > Mn-Cu/Al2O3 > Mn/Al2O3 > Ozone. At pH 2, the order of catalytic activities was as follows: Mn/Al2O3 > Mn-Cu/Al2O3 > Cu/Al2O3 > Ozone. At pH 10, the catalytic activities obeyed the order of Mn-Cu/Al2O3 > Mn/Al2O3 > Ozone > Cu/Al2O3.
Figure 12.
The probable reaction route of Ce/MCM-48 among different pH.
6. Carbon Materials
To our best knowledge, activated carbon combined with ozone can provide better a removal efficiency of organic pollutes (Table 10). Active carbon behaves as the adsorbent and catalyst in promoting ozone oxidation. As said before, several authors have reported that activated carbon enhanced the decomposition of ozone [149,150,151,152,153]. The interest in the use of this material in ozonation processes has been increasing recently due to the good results observed [154,155,156,157]. The mechanism of catalytic ozonation behaves as a combination of bulk and surface reactions due to the presence of carbon materials by the addition of the radical scavenger tert-butanol [158,159].
Table 10.
Carbon materials for catalytic ozonation studies.
In water, ozone decomposes into hydroxyl radicals (Equation (50)). The reactions between ozone, organic matter, catalyst, and aqueous solution in the presence of carbon materials (CMs) are as follows (Equations (51)–(57)) [160]:
Gu et al. [161] investigated the oxidation of p-nitrophenol (PNP) by ozonation integrated with granular activated carbon (GAC). They found that the removal of organics was considerably enhanced due to the joint effect of oxidation and adsorption. Moreover, the results indicated that the mechanism was different at various pH. When at acidic conditions, the adsorption effect predominated in removing organics. On the contrary, when at basic conditions, the catalytic oxidation contributed primarily in organics removal. A sketch map of the main reaction on GAC at different pH conditions is shown in Figure 13 [161].
Figure 13.
Sketch map of the main reaction on granular activated carbon (GAC) surface: (A) acidic conditions; (B) basic conditions.
Faria et al. [158] reported activated carbon (AC) for the degradation of oxamic and oxalic acids and found that a synergistic effect was observed in combing ozonation and AC for the oxidation of oxalic acid. To our best knowledge, AC enhanced the ozonation of both carboxylic acids due to its higher basicity, leading to a higher mineralization. At pH 3, the oxidation occurred mainly through reactions on the surface of the AC. While at pH 7, oxidation was included on surface reactions and bulk reactions. Moreover, with the increase of solution pH, the ozonation effectiveness of oxamic and oxalic acids decreased. At least in part, this was because of a higher solubility of solutes at neutral and basic and a consequent lower affinity of the AC surface. In other literature [22], the authors studied the catalytic ozonation of sulfonated aromatic compounds using AC as catalyst and found that the addition of AC enhanced the removal of sulfonated aromatic compounds due to the direct ozone reactions, adsorption and free radicals mechanisms.
Leili et al. [162] studied the catalytic ozonation of furfural in wastewater using granular activated carbon as catalyst, they found that 80.2% of furfural was removed via hydroxyl radical, while only 42.4% of furfural was removed by single ozonation. Moreover, the results shown that the degradation reaction of furfural occurred on the surface of the catalyst rather than in the solution. Guzman–Perez et al. [163] investigated the oxidation of atrazine by ozone mixed AC and found the reaction mainly occurred in the bulk liquid phase due to the inhibition effect of tert-butyl alcohol.
Wang et al. [164] prepared reduced graphene oxide (rGO) and used it for the catalytic ozonation of organic pollutants due to the higher defective level of rGO. Ozone molecules could decompose into active oxygen species on the structural vacancies and edges of rGO. Moreover, they found that the phenolic pollutants were vulnerable to direct ozone attacking, superoxide radicals and singlet oxygen and aliphatic organic pollutants were vulnerable to hydroxyl radicals.
7. Minerals Modified with Metals
Low cost natural solid minerals, such as sand, soils, zeolites, red mud, and goethite have been recently used in the heterogeneous catalytic ozonation of organic pollutants (Table 11).
Table 11.
Minerals modified with metals for catalytic ozonation studies.
Chen et al. [169] investigated the catalytic ozonation of nitrobenzene using ZSM5 zeolites loaded with metallic (Ce, Fe, or Mn) oxides as catalyst. The removal efficiency of total organic carbon (TOC) with NaZSM5-38, HZSM5-38, and NaZSM5-100 was 45.9%, 62.3%, 59.0%, while the removal (39.2%) by single ozonation. The Ce/NaZ38 zeolite had the highest catalytic activity in removing TOC (86.3%) among all ZSM5 zeolites studies. However, Ikhlaq et al. [170] found that the zeolites with low SiO2/Al2O3 ratios owned a high adsorption capacity in removing ibuprofen. At acidic pH, the catalyst had the highest activity for ibuprofen, while it was ineffective for removing acetic acid. It was found that catalytic ozonation of organic pollutants using ZSM-5 zeolites occurred via the direct reactions of molecular ozone with pollutants [170] (Figure 14). In other work, Ikhlaq et al. [28] proved again the ability to adsorb ozone and coumarin of ZSM-5 zeolites. Zeolites acted as reservoirs of ozone and adsorbents of organic compounds [171]. More importantly, they found that the activity was independent of zeolite acidity and dependent on the hydrophobicity of the zeolite.
Figure 14.
Proposed mechanism of catalytic ozonation on ZSM-5 zeolites (P, Pollutants).
Valdés et al. [172] reported that the acid treatment improved the catalytic ozonation activity of natural zeolite for methylene blue (MB) due to the decrease the pHPZC and increase the Brønsted acidity. It was found that Brønsted acid sites played an important role in catalytic ozonation.
Yuan et al. [173] investigated the catalytic ozonation of p-chloronitrobenzene (p-CNB) using Fe/pumice as catalyst, they found that the addition of Fe/pumice increased the removal efficiency of p-CNB. In the ozonation reaction, the main oxide species were hydroxyl radicals. The uncharged surfaces hydroxyl groups were beneficial to the catalytic activity of the Fe/pumice [28]. Gao et al. [174] reported that 73.3% of diclofenac (DCF) was removed in iron silicate-loaded pumice (FSO/PMC)/O3 process due to the FSO/PMC which enhanced the mass transfer and solubility of aqueous ozone, and accelerated the production of · OH radicals.
Xu et al. [175] studied the cobalt-loaded red mud (RM) catalytic ozonation of bezafibrate (BZF) degradation. The contributions of 39.22% of molecular ozone, 45.20% of hydroxyl radicals, and 15.57% of surface adsorption to BZF degradation were identified, confirming that radical oxidation played an important role in the catalytic ozonation. Li et al. [176] studied the efficiency, intermediates, and toxicity in this process. Xu et al. [177] reported cerium-modified red mud (RM) catalysts in the catalytic ozonation of BZF. Ce (IV)/RM-p showed the best performance for removing BZF due to the hydroxyl radical, and superoxide ions were a vital key for ozone decomposition in catalytic ozonation using Ce (IV)/RM-p.
8. Conclusions and Future Perspective
The review presented the application of catalysts in ozonation processes, and the removal efficiency of pollutants in aqueous media was summarized. Now, many materials modified with metals, metal oxides, bimetals, minerals, activated carbon, different precursors or a combination of these should be tried out in order to analyze their effect on the degradation or mineralization of contaminant. The quality of water, kind of organic pollutant, type of catalyst, its surface performance, performance of the surface-active sites, the pH of the solution effect, and the reaction of ozone decomposition in solutions play an important role in removing contaminants from wastewater. It is worth mentioning that every group of catalysts should be investigated, analyzed, and discussed separately in catalytic ozonation due to the variety of surface performances of the catalysts and interactions of the catalysts, ozone, and organic pollutants. However, the reaction mechanism of catalytic ozonation is not clear. Its applications were mainly limited to the laboratory field. In many papers, researchers have failed to control pH after adding the catalyst into the water and neglected the competing adsorption of water molecules on the ozone decomposition sites.
In order to deeply and judiciously analyze the application of catalytic ozonation process and provide theoretical support for its commercial application, the use of catalysts in ozonation processes could rely on practical situations. Environmental friendliness, better catalytic activity and good stability, and heterogeneous catalysts are an absolute need. Deeper knowledge of the application of catalysts in ozonation processes is important to design a suitable catalyst to promote the mineralization of the organic contaminants.
Author Contributions
Project administration, B.W.; writing—original draft preparation, H.Z.; writing—review and editing, F.W. and X.X.; comments and suggestions, B.W.; data curation—K.T., Y.S. and T.Y.
Funding
This research was funded by Open Fund of State Key Laboratory of Oil and Gas Reservoir Geology and Exploitation (Southwest Petroleum University), grant number PLN1125 and the National Science and Technology Major Project of China, grant number 2016ZX05062.
Acknowledgments
This work was carried out with the financial supports of Open Fund of State Key Laboratory of Oil and Gas Reservoir Geology and Exploitation (Southwest Petroleum University) (Grant No. PLN1125) and the National Science and Technology Major Project of China (Grant No. 2016ZX05062).
Conflicts of Interest
The authors declare no conflict of interest.
References
- Akar, S.T.; Uysal, R. Untreated clay with high adsorption capacity for effective removal of C.I. Acid Red 88 from aqueous solutions: Batch and dynamic flow mode studies. Chem. Eng. J. 2010, 162, 591–598. [Google Scholar] [CrossRef]
- Martínez, F.; Melero, J.A.; Botas, J.Á.; Pariente, M.I.; Molina, R. Treatment of Phenolic Effluents by Catalytic Wet Hydrogen Peroxide Oxidation over Fe2O3/SBA-15 Extruded Catalyst in a Fixed-Bed Reactor. Ind. Eng. Chem. Res. 2007, 46, 4396–4405. [Google Scholar] [CrossRef]
- Boczkaj, G.; Fernandes, A. Wastewater treatment by means of advanced oxidation processes at basic pH conditions: A review. Chem. Eng. J. 2017, 320, 608–633. [Google Scholar] [CrossRef]
- Gągol, M.; Przyjazny, A.; Boczkaj, G. Wastewater treatment by means of advanced oxidation processes based on cavitation—A Review. Chem. Eng. J. 2018, 338, 599–627. [Google Scholar] [CrossRef]
- Shokri, A.; Mahanpoor, K. Degradation of ortho-toluidine from aqueous solution by the TiO2/O3 process. Int. J. Ind. Chem. 2017, 8, 101–108. [Google Scholar] [CrossRef]
- Wang, J.L.; Lou, Y.Y.; Xu, C.; Song, S.; Liu, W.P. Magnetic lanthanide oxide catalysts: An application and comparison in the heterogeneous catalytic ozonation of diethyl phthalate in aqueous solution. Sep. Purif. Technol. 2016, 159, 57–67. [Google Scholar] [CrossRef]
- Glaze, W.H.; Kang, J.W.; Chapin, D.H. The Chemistry of Water Treatment Processes Involving Ozone, Hydrogen Peroxide and Ultraviolet Radiation. Ozone Sci. Eng. 1987, 9, 335–352. [Google Scholar] [CrossRef]
- Linden, K.G.; Mohseni, M. 2.8-Advanced Oxidation Processes: Applications in Drinking Water Treatment. Compr. Water Q. Purif. 2014, 2, 148–172. [Google Scholar]
- Ameta, S.C.; Ameta, R. Introduction. In Advanced Oxidation Processes for Waste Water Treatment; Ameta, S.C., Ed.; Udaipur: Rajasthan, India, 2018; pp. 1–12. ISBN 978-0-12-810499-6. [Google Scholar]
- Gogate, P.R.; Pandit, A.B. A review of imperative technologies for wastewater treatment I: Oxidation technologies at ambient conditions. Adv. Environ. Res. 2004, 8, 501–551. [Google Scholar] [CrossRef]
- Kim, K.H.; Ihm, S.K. Heterogeneous catalytic wet air oxidation of refractory organic pollutants in industrial wastewaters: A review. J. Hazard. Mater. 2011, 186, 16–34. [Google Scholar] [CrossRef]
- Khandegar, V.; Saroha, A.K. Electrocoagulation for the treatment of textile industry effluent-A review. J. Environ. Manag. 2013, 128, 949–963. [Google Scholar] [CrossRef] [PubMed]
- Boczkaj, G.; Fernandes, A.; Makoś, P. Study of Different Advanced Oxidation Processes for Wastewater Treatment from Petroleum Bitumen Production at Basic pH. Ind. Eng. Chem. Res. 2017, 56, 8806–8814. [Google Scholar] [CrossRef]
- Fernandes, A.; Makoś, P.; Khan, J.A.; Boczkaj, G. Pilot scale degradation study of 16 selected volatile organic compounds by hydroxyl and sulfate radical based advanced oxidation processes. J. Clean. Prod. 2019, 208, 54–64. [Google Scholar] [CrossRef]
- Gągol, M.; Przyjazny, A.; Boczkaj, G. Highly effective degradation of selected groups of organic compounds by cavitation based AOPs under basic pH conditions. Ultrason. Sonochem. 2018, 45, 257–266. [Google Scholar] [CrossRef] [PubMed]
- Gągol, M.; Przyjazny, A.; Boczkaj, G. Effective method of treatment of industrial effluents under basic pH conditions using acoustic cavitation-A comprehensive comparison with hydrodynamic cavitation processes. Chem. Eng. Process.-Process 2018, 128, 103–113. [Google Scholar] [CrossRef]
- Boczkaj, G.; Gągol, M.; Klein, M.; Przyjazny, A. Effective method of treatment of effluents from production of bitumens under basic pH conditions using hydrodynamic cavitation aided by external oxidants. Ultrason. Sonochem. 2018, 40, 969–979. [Google Scholar] [CrossRef] [PubMed]
- Vittenet, J.; Aboussaoud, W.; Mendret, J.; Pic, J.S.; Debellefontaine, H.; Lesage, N.; Faucher, K.; Manero, M.H.; Thibault-Starzyk, F.; Leclerc, H. Catalytic ozonation with γ-Al2O3 to enhance the degradation of refractory organics in water. Appl. Catal. A Gen. 2014, 504, 519–532. [Google Scholar] [CrossRef]
- Maddila, S.; Dasireddy, V.D.B.C.; Jonnalagadda, S.B. Dechlorination of tetrachloro-o-benzoquinone by ozonation catalyzed by cesium loaded metal oxides. Appl. Catal. B Environ. 2013, 138–139, 149–160. [Google Scholar] [CrossRef]
- Faria, P.C.C.; Monteiro, D.C.M.; Órfão, J.J.M.; Pereira, M.F.R. Cerium, manganese and cobalt oxides as catalysts for the ozonation of selected organic compounds. Chemosphere 2009, 74, 818–824. [Google Scholar] [CrossRef] [PubMed]
- He, Z.Q.; Zhang, A.L.; Song, S.; Liu, Z.W.; Chen, J.M.; Xu, X.H.; Liu, W.P. γ-Al2O3 Modified with Praseodymium: An Application in the Heterogeneous Catalytic Ozonation of Succinic Acid in Aqueous Solution. Ind. Eng. Chem. Res. 2010, 49, 12345–12351. [Google Scholar] [CrossRef]
- Faria, P.C.C.; Órfão, J.J.M.; Pereira, M.F.R. Catalytic ozonation of sulfonated aromatic compounds in the presence of activated carbon. Appl. Catal. B Environ. 2008, 83, 150–159. [Google Scholar] [CrossRef]
- Wu, J.; Ma, L.M.; Chen, Y.L.; Cheng, Y.Q.; Liu, Y.; Zha, X.S. Catalytic ozonation of organic pollutants from bio-treated dyeing and finishing wastewater using recycled waste iron shavings as a catalyst: Removal and pathways. Water Res. 2016, 92, 140–148. [Google Scholar] [CrossRef] [PubMed]
- Wang, J.L.; Bai, Z.Y. Fe-based catalysts for heterogeneous catalytic ozonation of emerging contaminants in water and wastewater. Chem. Eng. J. 2016, 312, 79–98. [Google Scholar] [CrossRef]
- Radhakrishnan, R.; Oyama, S.T. Ozone Decomposition over Manganese Oxide Supported on ZrO2 and TiO2: A Kinetic Study Using in Situ Laser Raman Spectroscopy. J. Catal. 2001, 199, 282–290. [Google Scholar] [CrossRef]
- Hu, C.; Xing, S.T.; Qu, J.H.; He, H. Catalytic Ozonation of Herbicide 2,4-D over Cobalt Oxide Supported on Mesoporous Zirconia. J. Phys. Chem. C 2008, 112, 5978–5983. [Google Scholar] [CrossRef]
- Ikhlaq, A.; Kasprzyk-Hordern, B. Catalytic ozonation of chlorinated VOCs on ZSM-5 zeolites and alumina: Formation of chlorides. Appl. Catal. B Environ. 2017, 200, 274–282. [Google Scholar] [CrossRef]
- Ikhlaq, A.; Brown, D.R.; Kasprzyk-Hordern, B. Mechanisms of catalytic ozonation on alumina and zeolites in water: Formation of hydroxyl radicals. Appl. Catal. B Environ. 2012, 123–124, 94–106. [Google Scholar] [CrossRef]
- Xiao, H.; Liu, R.P.; Zhao, X.; Q, J.H. Effect of manganese ion on the mineralization of 2,4-dichlorophenol by ozone. Chemosphere 2008, 72, 1006–1012. [Google Scholar] [CrossRef]
- Nawrocki, J.; Rigney, M.; Mccormick, A.; Carr, P.W. Chemistry of zirconia and its use in chromatography. J. Chromatogr. A 1993, 657, 229–282. [Google Scholar] [CrossRef]
- Yang, L.; Hu, C.; Nie, Y.L.; Q, J.H. Catalytic ozonation of selected pharmaceuticals over mesoporous alumina-supported manganese oxide. Environ. Sci. Technol. 2009, 43, 2525–2529. [Google Scholar] [CrossRef]
- Ma, J.; Sui, M.H.; Chen, Z.L.; Wang, L.N. Degradation of Refractory Organic Pollutants by Catalytic Ozonation-Activated Carbon and Mn-Loaded Activated Carbon as Catalysts. Ozone Sci. Eng. 2004, 26, 3–10. [Google Scholar] [CrossRef]
- Wang, Y.X.; Xie, Y.B.; Sun, H.Q.; Xiao, J.D.; Cao, H.B.; Wang, S.B. 2D/2D nano-hybrids of γ-MnO2 on reduced graphene oxide for catalytic ozonation and coupling peroxymonosulfate activation. J. Hazard. Mater. 2016, 301, 56–64. [Google Scholar] [CrossRef] [PubMed]
- Li, G.; Lu, Y.T.; Lu, C.; Zhu, M.S.; Zhai, C.Y.; Du, Y.K.; Yang, P. Efficient catalytic ozonation of bisphenol-A over reduced graphene oxide modified sea urchin-like α-MnO2 architectures. J. Hazard. Mater. 2015, 294, 201–208. [Google Scholar] [CrossRef] [PubMed]
- Sun, Q.Q.; Li, L.S.; Yan, H.H.; Hong, X.T.; Hui, K.S.; Pan, Z.Q. Influence of the surface hydroxyl groups of MnOx/SBA-15 on heterogeneous catalytic ozonation of oxalic acid. Chem. Eng. J. 2014, 242, 348–356. [Google Scholar] [CrossRef]
- Rosal, R.; Gonzalo, M.S.; Rodríguez, A.; García-Calvo, E. Catalytic ozonation of fenofibric acid over alumina-supported manganese oxide. J. Hazard. Mater. 2010, 183, 271–278. [Google Scholar] [CrossRef] [PubMed]
- Chen, J.; Wen, W.J.; Kong, L.J.; Tian, S.H.; Ding, F.C.; Xiong, Y. Magnetically Separable and Durable MnFe2O4 for Efficient Catalytic Ozonation of Organic Pollutants. Ind. Eng. Chem. Res. 2014, 53, 6297–6306. [Google Scholar] [CrossRef]
- Ma, J.; Wang, C.X.; Hong, H. Transition metal doped cryptomelane-type manganese oxide catalysts for ozone decomposition. Appl. Catal. B Environ. 2017, 201, 503–510. [Google Scholar] [CrossRef]
- Xu, H.M.; Yan, N.Q.; Qu, Z.; Liu, W.; Mei, J.; Huang, W.J.; Zhao, S.J. Gaseous Heterogeneous Catalytic Reactions over Mn-based Oxides for Environmental Applications-A Critical Review. Environ. Sci. Technol. 2017, 51, 8879–8892. [Google Scholar] [CrossRef]
- Tong, S.P.; Liu, W.P.; Leng, W.H.; Zhang, Q.Q. Characteristics of MnO2 catalytic ozonation of sulfosalicylic acid and propionic acid in water. Chemosphere 2003, 50, 1359–1364. [Google Scholar] [CrossRef]
- Luo, K.; Zhao, S.X.; Wang, Y.F.; Zhao, S.J.; Zhang, X.H. Synthesis of petal-like δ- MnO2 and its catalytic ozonation performance. New J. Chem. 2018, 42, 6770–6777. [Google Scholar] [CrossRef]
- Nawaz, F.; Xie, Y.B.; Cao, H.B.; Xiao, J.D.; Wang, Y.Q.; Zhang, X.H.; Li, M.J.; Duan, F. Catalytic ozonation of 4-nitrophenol over an mesoporous α-MnO2 with resistance to leaching. Catal. Today 2015, 258, 595–601. [Google Scholar] [CrossRef]
- Nawaz, F.; Xie, Y.; Xiao, J.D.; Cao, H.B.; Ghazi, Z.A.; Guo, Z.; Chen, Y. The influence of the substituent to phenol oxidation rate and reactive species in cubic MnO2 catalytic ozonation. Catal. Sci. Technol. 2016, 6, 7875–7884. [Google Scholar] [CrossRef]
- Saputra, E.; Muhammad, S.; Sun, H.Q.; Ang, H.M.; Tadé, M.O.; Wang, S.B. Manganese oxides at different oxidation states for heterogeneous activation of peroxymonosulfate for phenol degradation in aqueous solutions. Appl. Catal. B Environ. 2013, 142–143, 729–735. [Google Scholar] [CrossRef]
- Andreozzi, R.; Insola, A.; Caprio, V.; Marotta, R.; Tufano, V. The use of manganese dioxide as a heterogeneous catalyst for oxalic acid ozonation in aqueous solution. Appl. Catal. A Gen. 1996, 138, 75–81. [Google Scholar] [CrossRef]
- Nawaz, F.; Cao, H.B.; Xie, Y.B.; Xiao, J.D.; Chen, Y.; Ghazi, Z.A. Selection of active phase of MnO2 for catalytic ozonation of 4-nitrophenol. Chemosphere 2017, 168, 1457–1466. [Google Scholar] [CrossRef] [PubMed]
- Liang, S.H.; Teng, F.; Bulgan, G.; Zong, R.L.; Zhu, Y.F. Effect of Phase Structure of MnO2 Nanorod Catalyst on the Activity for CO Oxidation. J. Phys. Chem. C 2008, 112, 5307–5315. [Google Scholar] [CrossRef]
- Saputra, E.; Muhammad, S.; Sun, H.Q.; Ang, H.M.; Tadé, M.O.; Wang, S.B. Different crystallographic one-dimensional MnO2 nanomaterials and their superior performance in catalytic phenol degradation. Environ. Sci. Technol. 2013, 47, 5882–5887. [Google Scholar] [CrossRef] [PubMed]
- Dong, Y.M.; Yang, H.X.; He, K.; Song, S.Q.; Zhang, A.M. β-MnO2 nanowires: A novel ozonation catalyst for water treatment. Appl. Catal. B Environ. 2009, 85, 155–161. [Google Scholar] [CrossRef]
- Kapteijn, F.; Vanlangeveld, A.D.V.; Moulijn, J.A.; Andreini, A.; Vuurman, M.A.; Turek, A.M.; Jehng, J.M.; Wachs, I.E. Alumina-Supported Manganese Oxide Catalysts: I. Characterization: Effect of Precursor and Loading. J. Catal. 1994, 150, 94–104. [Google Scholar] [CrossRef]
- Yin, M.C.; Li, Z.S.; Kou, J.H.; Zou, Z.G. Mechanism Investigation of Visible Light-Induced Degradation in a Heterogeneous TiO2/Eosin Y/Rhodamine B System. Environ. Sci. Technol. 2009, 43, 8361–8366. [Google Scholar] [CrossRef]
- Zhao, H.; Dong, Y.M.; Jiang, P.P.; Wang, G.L.; Zhang, J.J.; Li, K.; Feng, C.Y. An α-MnO2 nanotube used as a novel catalyst in ozonation: Performance and the mechanism. New J. Chem. 2014, 38, 1743–1750. [Google Scholar] [CrossRef]
- Tan, X.Q.; Wan, Y.F.; Huang, Y.J.; He, C.; Zhang, Z.L.; He, Z.Y.; Hu, L.L.; Zeng, J.W.; Shu, D. Three-dimensional MnO2 porous hollow microspheres for enhanced activity as ozonation catalysts in degradation of bisphenol A. J. Hazard. Mater. 2017, 321, 162–172. [Google Scholar] [CrossRef] [PubMed]
- Liu, L.J.; Li, Y. Understanding the Reaction Mechanism of Photocatalytic Reduction of CO2 with H2O on TiO2-Based Photocatalysts: A Review. Aerosol Air Q. Res. 2014, 14, 453–469. [Google Scholar] [CrossRef]
- Liu, L.M.; Li, S.C.; Cheng, H.Z.; Diebold, U.; Selloni, A. Growth and organization of an organic molecular monolayer on TiO2: Catechol on anatase (101). J. Am. Chem. Soc. 2011, 133, 7816–7823. [Google Scholar] [CrossRef] [PubMed]
- Indrakanti, V.P.; Kubicki, J.D.; Schobert, H.H. Photoinduced activation of CO2 on Ti-based heterogeneous catalysts: Current state, chemical physics-based insights and outlook. Energy Environ. Sci. 2009, 2, 745–758. [Google Scholar] [CrossRef]
- Rosal, R.; Rodríguez, A.; Gonzalo, M.S.; García-Calvo, E. Catalytic ozonation of naproxen and carbamazepine on titanium dioxide. Appl. Catal. B Environ. 2008, 84, 48–57. [Google Scholar] [CrossRef]
- Yang, Y.X.; Ma, J.; Qin, Q.D.; Zhai, X.D. Degradation of nitrobenzene by nano-TiO2 catalyzed ozonation. J. Mol. Catal. A Chem. 2007, 267, 41–48. [Google Scholar] [CrossRef]
- Farbod, M.; Khademalrasool, M. Synthesis of TiO2 nanoparticles by a combined sol–gel ball milling method and investigation of nanoparticle size effect on their photocatalytic activities. Powder Technol. 2011, 214, 344–348. [Google Scholar] [CrossRef]
- Saliby, I.E.; Okour, Y.; Shon, H.K.; Kandasamy, J.; Lee, W.E.; Kim, J.H. TiO2 nanoparticles and nanofibres from TiCl4 flocculated sludge: Characterisation and photocatalytic activity. J. Ind. Eng. Chem. 2012, 18, 1033–1038. [Google Scholar] [CrossRef]
- Rosal, R.; Gonzalo, M.S.; Rodríguez, A.; García-Calvo, E. Ozonation of clofibric acid catalyzed by titanium dioxide. J. Hazard. Mater. 2009, 169, 411–418. [Google Scholar] [CrossRef]
- Song, S.; Liu, Z.H.; He, Z.Q.; Zhang, A.L.; Chen, J.M. Impacts of morphology and crystallite phases of titanium oxide on the catalytic ozonation of phenol. Environ. Sci. Technol. 2010, 44, 3913–3918. [Google Scholar] [CrossRef] [PubMed]
- Trancik, J.E.; Barton, S.C.; Hone, J. Transparent and catalytic carbon nanotube films. Nano Lett. 2008, 8, 982–987. [Google Scholar] [CrossRef] [PubMed]
- Roscoe, J.M.; Abbatt, J.P.D. Diffuse reflectance FTIR study of the interaction of alumina surfaces with ozone and water vapor. J. Phys. Chem. A 2005, 109, 9028–9034. [Google Scholar] [CrossRef] [PubMed]
- Ernst, M.; Lurot, F.; Schrotter, J.C. Catalytic ozonation of refractory organic model compounds in aqueous solution by aluminum oxide. Appl. Catal. B Environ. 2004, 47, 15–25. [Google Scholar] [CrossRef]
- Hernández-Alonso, M.D.; Coronado, J.M.; Soria, J.; Conesa, J.C.; Loddo, V.; Addamo, M.; Augugliaro, V. EPR and kinetic investigation of free cyanide oxidation by photocatalysis and ozonation. Res. Chem. Intermed. 2007, 33, 205–224. [Google Scholar] [CrossRef]
- Anandan, S.; Wu, J.J. Effective Degradation of Fipronil Using Combined Catalytic Ozonation Processes. Ozone Sci. Eng. 2015, 37, 186–190. [Google Scholar] [CrossRef]
- Ye, M.M.; Chen, Z.L.; Zhang, T.Q.; Shao, W.Y. Effect of calcination temperature on the catalytic activity of nanosized TiO2 for ozonation of trace 4-chloronitrobenzene. Water Sci. Technol. 2012, 66, 479–486. [Google Scholar] [CrossRef]
- Shahamat, Y.D.; Farzadkia, M.; Nasseri, S.; Mahvi, A.H.; Gholami, M.; Esrafili, A. Magnetic heterogeneous catalytic ozonation: A new removal method for phenol in industrial wastewater. J. Environ. Health Sci. Eng. 2014, 12, 50. [Google Scholar] [CrossRef]
- Lan, B.Y.; Huang, R.H.; Li, L.S.; Yan, H.H.; Liao, G.Z.; Wang, X.; Zhang, Q.Y. Catalytic ozonation of p-chlorobenzoic acid in aqueous solution using Fe-MCM-41 as catalyst. Chem. Eng. J. 2013, 219, 346–354. [Google Scholar] [CrossRef]
- Zhang, T.; Ma, J. Catalytic ozonation of trace nitrobenzene in water with synthetic goethite. J. Mol. Catal. A Chem. 2008, 279, 82–89. [Google Scholar] [CrossRef]
- Zhuang, H.F.; Han, H.J.; Hou, B.L.; Jia, S.Y.; Zhao, Q. Heterogeneous catalytic ozonation of biologically pretreated Lurgi coal gasification wastewater using sewage sludge based activated carbon supported manganese and ferric oxides as catalysts. Bioresour. Technol. 2014, 166, 178–186. [Google Scholar] [CrossRef] [PubMed]
- Li, X.F.; Chen, W.Y.; Ma, L.M.; Wang, H.W.; Fan, J.H. Industrial wastewater advanced treatment via catalytic ozonation with an Fe-based catalyst. Chemosphere 2017, 195, 336–343. [Google Scholar] [CrossRef] [PubMed]
- Oputu, O.; Chowdhury, M.; Nyamayaro, K.; Fatoki, O.; Fester, V. Catalytic activities of ultra-small β-FeOOH nanorods in ozonation of 4-chlorophenol. J. Environ. Sci. 2015, 35, 83–90. [Google Scholar] [CrossRef] [PubMed]
- Ghasemi, Z.; Younesi, H.; Zinatizadeh, A.A. Preparation, characterization and photocatalytic application of TiO2/Fe-ZSM-5 nanocomposite for the treatment of petroleum refinery wastewater: Optimization of process parameters by response surface methodology. Chemosphere 2016, 159, 552–564. [Google Scholar] [CrossRef] [PubMed]
- Hadavifar, M.; Younesi, H.; Zinatizadeh, A.A.; Mahdad, F.; Li, Q.; Ghasemi, Z. Application of integrated ozone and granular activated carbon for decolorization and chemical oxygen demand reduction of vinasse from alcohol distilleries. J. Environ. Manag. 2016, 170, 28–36. [Google Scholar] [CrossRef]
- Wang, C.; Li, A.M.; Shuang, C.D. The effect on ozone catalytic performance of prepared-FeOOH by different precursors. J. Environ. Manag. 2018, 228, 158–164. [Google Scholar] [CrossRef]
- Stumm, W. Introduction. In Chemistry of the Solid-Water Interface: Processes at the Mineral-Water and Particle-Water Interface in Natural Systems; WILEY-VCH Verlag GmbH & Co.: Zurich, Switzerland, 1992; pp. 13–41. ISBN 978-0-471-57672-3. [Google Scholar]
- Sui, M.H.; Sheng, L.; Lu, K.X.; Tian, F. FeOOH catalytic ozonation of oxalic acid and the effect of phosphate binding on its catalytic activity. Appl. Catal. B Environ. 2010, 96, 94–100. [Google Scholar] [CrossRef]
- Zhao, L.; Sun, Z.Z.; Ma, J. Novel relationship between hydroxyl radical initiation and surface group of ceramic honeycomb supported metals for the catalytic ozonation of nitrobenzene in aqueous solution. Environ. Sci. Technol. 2009, 43, 4157–4163. [Google Scholar] [CrossRef]
- Buhler, R.E.; Staehelin, J.; Hoigne, J. Ozone Decompositlon in Water Studied by Pulse Radiolysis. 1. HO2/O2− and HO3/O3− as Intermediates. J. Phys. Chem. 1984, 88, 2560–2564. [Google Scholar] [CrossRef]
- Zhao, L.; Ma, L.; Sun, Z.Z.; Liu, H.L. Mechanism of heterogeneous catalytic ozonation of nitrobenzene in aqueous solution with modified ceramic honeycomb. Appl. Catal. B Environ. 2009, 89, 326–334. [Google Scholar] [CrossRef]
- Zhang, T.; Li, C.J.; Ma, J.; Tian, H.; Qiang, Z.M. Surface hydroxyl groups of synthetic α-FeOOH in promoting ·OH generation from aqueous ozone: Property and activity relationship. Appl. Catal. B Environ. 2008, 82, 131–137. [Google Scholar] [CrossRef]
- Zhu, S.M.; Dong, B.Z.; Yu, Y.H.; Bu, L.J.; Deng, J.; Zhou, S.Q. Heterogeneous catalysis of ozone using ordered mesoporous Fe3O4 for degradation of atrazine. Chem. Eng. J. 2017, 328, 527–535. [Google Scholar] [CrossRef]
- Xiong, Z.K.; Lai, B.; Yuan, Y.; Cao, J.Y.; Yang, P.; Zhou, Y.X. Degradation of p-nitrophenol (PNP) in aqueous solution by a micro-size Fe0/O3 process (mFe0/O3): Optimization, kinetic, performance and mechanism. Chem. Eng. J. 2016, 302, 137–145. [Google Scholar] [CrossRef]
- Yin, R.L.; Guo, W.Q.; Zhou, X.J.; Zheng, H.S.; Du, J.S.; Wu, Q.L.; Chang, J.S.; Ren, N.Q. Enhanced sulfamethoxazole ozonation based on magnetic Fe3O4 nanoparticles by noble-metal-free catalysis: Catalytic performance and degradation mechanism. RSC Adv. 2016, 6, 19265–19270. [Google Scholar] [CrossRef]
- Aghaeinejad-Meybodi, A.; Ebadi, A.; Shafiei, S.; Khataee, A.; Kiadehi, A.D. Degradation of Fluoxetine using catalytic ozonation in aqueous media in the presence of nano-γ-alumina catalyst: Experimental, modeling and optimization study. Sep. Purif. Technol. 2019, 211, 551–563. [Google Scholar] [CrossRef]
- Keykavoos, R.; Mankidy, R.; Ma, H.; Jones, P.; Soltan, J. Mineralization of bisphenol A by catalytic ozonation over alumina. Sep. Purif. Technol. 2013, 107, 310–317. [Google Scholar] [CrossRef]
- Qi, F.; Xu, B.; Chen, Z.; Feng, L.; Zhang, L.; Sun, D. Catalytic ozonation of 2-isopropyl-3-methoxypyrazine in water by γ-AlOOH and γ-Al2O3: Comparison of removal efficiency and mechanism. Chem. Eng. J. 2013, 219, 527–536. [Google Scholar] [CrossRef]
- Kiadehi, A.D.; Ebadi, A.; Aghaeinejad-Meybodi, A. Removal of methyl tert-butyl ether (MTBE) from aqueous medium in the presence of nano-perfluorooctyl alumina (PFOAL): Experimental study of adsorption and catalytic ozonation processes. Sep. Purif. Technol. 2017, 182, 238–246. [Google Scholar] [CrossRef]
- Qi, F.; Xu, B.B.; Chen, Z.L.; Ma, J. Catalytic ozonation for degradation of 2, 4, 6-trichloroanisole in drinking water in the presence of gamma-AlOOH. Water Environ. Res. A Res. Publ. Water Environ. Fed. 2009, 81, 592–597. [Google Scholar]
- Moussavi, G.; Khavanin, A.; Alizadeh, R. The integration of ozonation catalyzed with MgO nanocrystals and the biodegradation for the removal of phenol from saline wastewater. Appl. Catal. B Environ. 2010, 97, 160–167. [Google Scholar] [CrossRef]
- Chen, J.; Tian, S.H.; Lu, J.; Xiong, Y. Catalytic performance of MgO with different exposed crystal facets towards the ozonation of 4-chlorophenol. Appl. Catal. A Gen. 2015, 506, 118–125. [Google Scholar] [CrossRef]
- Moussavi, G.; Yazdanbakhsh, A.; Heidarizad, M. The removal of formaldehyde from concentrated synthetic wastewater using O3/MgO/H2O2 process integrated with the biological treatment. J. Hazard. Mater. 2009, 171, 907–913. [Google Scholar] [CrossRef] [PubMed]
- Moussavi, G.; Khosravi, R.; Omran, N.R. Development of an efficient catalyst from magnetite ore: Characterization and catalytic potential in the ozonation of water toxic contaminants. Appl. Catal. A Gen. 2012, 445-446, 42–49. [Google Scholar] [CrossRef]
- Richards, R.; Mulukutla, R.S.; Mishakov, I.; Chesnokov, V.; Volodin, A.; Zaikovski, V.; Sun, N.J.; Klabunde, K.J. Nanocrystalline ultra high surface area magnesium oxide as a selective base catalyst. Scr. Mater. 2001, 44, 1663–1666. [Google Scholar] [CrossRef]
- Mishakov, I.V.; Bedilo, A.F.; Richards, R.M.; Chesnokov, V.V.; Volodin, A.M.; Zaikovskii, V.I.; Buyanov, R.A.; Klabunde, K.J. Nanocrystalline MgO as a dehydrohalogenation catalyst. J. Catal. 2002, 206, 40–48. [Google Scholar] [CrossRef]
- Nawrocki, J.; Kasprzyk-Hordern, B. The efficiency and mechanisms of catalytic ozonation. Appl. Catal. B Environ. 2010, 99, 27–42. [Google Scholar] [CrossRef]
- Moussavi, G.; Khavanin, A.; Alizadeh, R. The investigation of catalytic ozonation and integrated catalytic ozonation/biological processes for the removal of phenol from saline wastewaters. J. Hazard. Mater. 2009, 171, 175–181. [Google Scholar] [CrossRef] [PubMed]
- Gulková, K.; Šolcová, O.; Zdražil, M. Preparation of MgO catalytic support in shaped mesoporous high surface area form. Microporous Mesoporous Mater. 2004, 76, 137–149. [Google Scholar] [CrossRef]
- Moussavi, G.; Mahmoudi, M. Removal of azo and anthraquinone reactive dyes from industrial wastewaters using MgO nanoparticles. J. Hazard. Mater. 2009, 168, 806–812. [Google Scholar] [CrossRef] [PubMed]
- Zhu, H.; Ma, W.C.; Han, H.J.; Han, Y.X.; Ma, W.W. Catalytic ozonation of quinoline using Nano-MgO: Efficacy, pathways, mechanisms and its application to real biologically pretreated coal gasification wastewater. Chem. Eng. J. 2017, 327, 91–99. [Google Scholar] [CrossRef]
- Mashayekh-Salehi, A.; Moussavi, G.; Yaghmaeian, K. Preparation, characterization and catalytic activity of a novel mesoporous nanocrystalline MgO nanoparticle for ozonation of acetaminophen as an emerging water contaminant. Chem. Eng. J. 2017, 310, 157–169. [Google Scholar] [CrossRef]
- Joseph, Y.; Ranke, W.; Weiss, W. Water on FeO (111) and Fe3O4 (111): Adsorption behavior on different surface terminations. J. Phys. Chem. 2000, 104, 3224–3236. [Google Scholar] [CrossRef]
- Ma, J.; Graham, N.J.D. Degradation of atrazine by manganese-catalysed ozonation: Influence of humic substances. Water Res. 1999, 33, 785–793. [Google Scholar] [CrossRef]
- Moussavi, G.; Mahmoudi, M. Degradation and biodegradability improvement of the reactive red 198 azo dye using catalytic ozonation with MgO nanocrystals. Chem. Eng. J. 2009, 152, 1–7. [Google Scholar] [CrossRef]
- Mohammadi, L.L.; Bazrafshan, E.; Noroozifar, M.; Ansari-Moghaddam, A.; Barahuie, F.; Balarak, D. Removing 2,4-Dichlorophenol from aqueous environments by heterogeneous catalytic ozonation process using synthetized MgO nanoparticles. Water Sci. Technol. 2017, 76, 3054–3068. [Google Scholar] [CrossRef] [PubMed]
- Kermani, M.; Asl, F.B.; Farzadkia, M.; Esrafili, A.; Arian, S.S.; Khazaei, M.; Shahamat, Y.D.; Zeynalzadeh, D. Heterogeneous catalytic ozonation by Nano-MgO is better than sole ozonation for metronidazole degradation, toxicity reduction, and biodegradability improvement. Desalin. Water Treat. 2015, 57, 16435–16444. [Google Scholar] [CrossRef]
- Chen, J.; Tian, S.D.; Kong, L.J.; Tu, Y.T.; Lu, J.; Xiong, Y. Efficient degradation of nitrobenzene by an integrated heterogeneous catalytic ozonation and membrane separation system with active MgO(111) catalyst. Desalin. Water Treat. 2014, 56, 2168–2180. [Google Scholar] [CrossRef]
- Zhang, T.; Zhu, H.B.; Croué, J.P. Production of sulfate radical from peroxymonosulfate induced by a magnetically separable CuFe2O4 spinel in water: Efficiency, stability, and mechanism. Environ. Sci. Technol. 2013, 47, 2784–2791. [Google Scholar] [CrossRef]
- Xu, Y.; Ai, J.; Zhang, H. The mechanism of degradation of bisphenol A using the magnetically separable CuFe2O4/peroxymonosulfate heterogeneous oxidation process. J. Hazard. Mater. 2016, 309, 87–96. [Google Scholar] [CrossRef]
- Zhao, Q.; Yan, Z.H.; Chen, C.C. Spinels: Controlled Preparation, Oxygen Reduction/Evolution Reaction Application, and Beyond. Chem. Rev. 2017, 117, 10121–10211. [Google Scholar] [CrossRef]
- Xu, Y.; Lin, Z.Y.; Zheng, Y.Y.; Dacquin, J.P.; Royer, S.; Zhang, H. Mechanism and kinetics of catalytic ozonation for elimination of organic compounds with spinel-type CuAl2O4 and its precursor. Sci. Total Environ. 2019, 651, 2585–2596. [Google Scholar] [CrossRef] [PubMed]
- Liu, Y.; Wu, D.L.; Peng, S.H.; Feng, Y.; Liu, Z.G. Enhanced mineralization of dimethyl phthalate by heterogeneous ozonation over nanostructured Cu-Fe-O surfaces: Synergistic effect and radical chain reactions. Environ. Pollut. 2019, 209, 588–597. [Google Scholar] [CrossRef]
- Liu, P.X.; Ren, Y.M.; Ma, W.J.; Ma, J.; Du, Y.C. Degradation of shale gas produced water by Magnetic porous MFe2O4 (M = Cu, Ni, Co and Zn) heterogeneous catalyzed ozone. Chem. Eng. J. 2018, 345, 98–106. [Google Scholar] [CrossRef]
- Zhang, F.Z.; Wei, C.H.; Wu, K.Y.; Zhou, H.T.; Hu, Y.; Preis, S. Mechanistic evaluation of ferrite AFe2O4 (A = Co, Ni, Cu, and Zn) catalytic performance in oxalic acid ozonation. Appl. Catal. A Gen. 2017, 547, 60–68. [Google Scholar] [CrossRef]
- Zhang, H.; Ji, F.Z.; Zhang, Y.H.; Pan, Z.C.; Lai, B. Catalytic ozonation of N,N-dimethylacetamide (DMAC) in aqueous solution using nanoscaled magnetic CuFe2O4. Chem. Eng. J. 2018, 193, 368–377. [Google Scholar] [CrossRef]
- Bai, Z.Y.; Yang, Q.; Wang, J.L. Catalytic ozonation of sulfamethazine using Ce0.1Fe0.9OOH as catalyst: Mineralization and catalytic mechanisms. Chem. Eng. J. 2016, 300, 169–176. [Google Scholar] [CrossRef]
- Dai, Q.Z.; Zhang, Z.; Zhan, T.T.; Hu, Z.T.; Chen, J.M. Catalytic Ozonation for the Degradation of 5-Sulfosalicylic Acid with Spinel-Type ZnAl2O4 Prepared by Hydrothermal, Sol-Gel, and Coprecipitation Methods: A Comparison Study. ACS Omega 2018, 3, 6506–6512. [Google Scholar] [CrossRef] [PubMed]
- Zhao, H.; Dong, Y.M.; Jiang, P.P.; Wang, G.L.; Zhang, J.J.; Zhang, C. ZnAl2O4 as a novel high-surface-area ozonation catalyst: One-step green synthesis, catalytic performance and mechanism. Chem. Eng. J. 2015, 260, 623–630. [Google Scholar] [CrossRef]
- Lu, J.; Wei, X.D.; Yu, C.; Tian, S.H.; Xiong, Y. Role of Mg in Mesoporous MgFe2O4 for Efficient Catalytic Ozonation of Acid Orange II. J. Chem. Technol. Biotechnol. 2015, 91, 985–993. [Google Scholar] [CrossRef]
- Wang, Y.X.; Xie, Y.B.; Sun, H.Q.; Xiao, J.D.; Cao, H.B.; Wang, S.B. Hierarchically shape-controlled mixed-valence calcium manganites for catalytic ozonation of aqueous phenolic compounds. Catal. Sci. Technol. 2015, 6, 2918–2929. [Google Scholar] [CrossRef]
- Xing, S.T.; Lu, X.Y.; Ren, L.M.; Ma, Z.C. Characterization and reactivity of Mn-Ce-O composites for catalytic ozonation of antipyrine. RSC Adv. 2015, 5, 60279–60285. [Google Scholar] [CrossRef]
- Zhao, H.; Dong, Y.M.; Wang, G.L.; Jiang, P.P.; Zhang, J.J.; Wu, L.N.; Li, K. Novel magnetically separable nanomaterials for heterogeneous catalytic ozonation of phenol pollutant: NiFe2O4 and their performances. Chem. Eng. J. 2013, 219, 295–302. [Google Scholar] [CrossRef]
- Liu, X.Y.; Zhou, Z.M.; Jing, G.H.; Fang, J.H. Catalytic ozonation of Acid Red B in aqueous solution over a Fe-Cu-O catalyst. Sep. Purif. Technol. 2013, 115, 129–135. [Google Scholar] [CrossRef]
- Wu, J.J.; Muruganandham, M.; Chang, L.T.; Lee, G.J.; Batalova, V.N.; Mokrousov, G.M. Catalytic Ozonation of Oxalic Acid Using SrTiO3 Catalyst. Ozone Sci. Eng. 2011, 33, 74–79. [Google Scholar] [CrossRef]
- Bing, J.S.; Li, L.S.; Lan, B.Y.; Liao, G.Z.; Zeng, J.Y.; Zhang, Q.Y.; Li, X.K. Synthesis of cerium-doped MCM-41 for ozonation of p -chlorobenzoic acid in aqueous solution. Appl. Catal. B Environ. 2012, 115–116, 16–24. [Google Scholar] [CrossRef]
- Huang, R.H.; Yan, H.H.; Li, L.S.; Deng, D.Y.; Shu, Y.H.; Zhang, Q.Y. Catalytic activity of Fe/SBA-15 for ozonation of dimethyl phthalate in aqueous solution. Appl. Catal. B Environ. 2011, 106, 264–271. [Google Scholar] [CrossRef]
- Sun, Q.Q.; Wang, Y.; Li, L.S.; Bing, J.S.; Wang, Y.X.; Yan, H.H. Mechanism for enhanced degradation of clofibric acid in aqueous by catalytic ozonation over MnOx/SBA-15. J. Hazard. Mater. 2015, 286, 276–284. [Google Scholar] [CrossRef]
- Huang, Y.X.; Sun, Y.; Xu, Z.H.; Luo, M.Y.; Zhu, C.L.; Li, L. Removal of aqueous oxalic acid by heterogeneous catalytic ozonation with MnOx/sewage sludge-derived activated carbon as catalysts. Sci. Total Environ. 2017, 575, 50–57. [Google Scholar] [CrossRef]
- Li, S.Y.; Tang, Y.M.; Chen, W.R.; Hu, Z.; Li, X.K.; Li, L.S. Heterogeneous catalytic ozonation of clofibric acid using Ce/MCM-48: Preparation, reaction mechanism, comparison with Ce/MCM-41. J. Colloid Interface Sci. 2017, 504, 238–246. [Google Scholar] [CrossRef]
- Roshani, B.; Mcmaster, I.; Rezaei, E.; Soltan, J. Catalytic ozonation of benzotriazole over alumina supported transition metal oxide catalysts in water. Sep. Purif. Technol. 2014, 135, 158–164. [Google Scholar] [CrossRef]
- Bing, J.S.; Hu, C.; Nie, Y.L.; Yang, M.; Qu, J.H. Mechanism of catalytic ozonation in Fe2O3/Al2O3@SBA-15 aqueous suspension for destruction of ibuprofen. Environ. Sci. Technol. 2015, 49, 1690–1697. [Google Scholar] [CrossRef] [PubMed]
- Wang, J.L.; Lou, Y.Y.; Zhuang, X.W.; Song, S.; Liu, W.P.; Xu, C. Magnetic Pr6O11/SiO2 @Fe3O4 particles as the heterogeneous catalyst for the catalytic ozonation of acetochlor: Performance and aquatic toxicity. Sep. Purif. Technol. 2018, 197, 63–69. [Google Scholar] [CrossRef]
- Wang, Z.M.; Ma, H.; Zhang, C.; Feng, J.; Pu, S.Y.; Ren, Y.M.; Wang, Y. Enhanced catalytic ozonation treatment of dibutyl phthalate enabled by porous magnetic Ag-doped ferrospinel MnFe2O4 materials: Performance and mechanism. Chem. Eng. J. 2018, 354, 42–52. [Google Scholar] [CrossRef]
- Xiong, Z.K.; Cao, J.Y.; Lai, B.; Yang, P. Comparative study on degradation of p-nitrophenol in aqueous solution by mFe0/Cu/O3 and mFe0/O3 processes. J. Ind. Eng. Chem. 2018, 59, 196–207. [Google Scholar] [CrossRef]
- Peng, J.L.; Lai, L.D.; Jiang, X.; Jiang, W.J.; Lai, B. Catalytic ozonation of succinic acid in aqueous solution using the catalyst of Ni/Al2O3 prepared by electroless plating-calcination method. Sep. Purif. Technol. 2018, 195, 138–148. [Google Scholar] [CrossRef]
- Li, X.K.; Chen, W.R.; Li, L.S. Catalytic Ozonation of Oxalic Acid in the Presence of Fe2O3-Loaded Activated Carbon. Ozone Sci. Eng. 2018, 40, 448–456. [Google Scholar] [CrossRef]
- Chen, W.R.; Li, X.K.; Pan, Z.Q.; Ma, S.S.; Li, L.S. Synthesis of MnOx/SBA-15 for Norfloxacin degradation by catalytic ozonation. Sep. Purif. Technol. 2017, 173, 99–104. [Google Scholar] [CrossRef]
- Shen, T.D.; Wang, Q.W.; Tong, S.P. Solid Base MgO/Ceramic Honeycomb Catalytic Ozonation of Acetic Acid in Water. Ind. Eng. Chem. Res. 2017, 56, 10965–10971. [Google Scholar] [CrossRef]
- Huang, Y.J.; Xu, W.J.; Hu, L.L.; Zeng, J.W.; He, C.; Tan, X.Q.; He, Z.Y.; Zhang, Q.; Shu, D. Combined adsorption and catalytic ozonation for removal of endocrine disrupting compounds over MWCNTs/Fe3O4 composites. Catal. Today 2017, 297, 143–150. [Google Scholar] [CrossRef]
- Bai, Z.Y.; Yang, Q.; Wang, J.L. Catalytic ozonation of dimethyl phthalate using Fe3O4/multi-wall carbon nanotubes. Environ. Technol. 2016, 38, 2048–2057. [Google Scholar] [CrossRef]
- Liu, Y.F.; Li, G.X.; Zhang, Z.L.; Gao, X.; Niu, J.R.; Zhao, J.N.; Li, Z.X. Catalytic Ozonation of Bisphenol A in Aqueous Medium by Mn-Fe/Al2O3 Catalyst. J. Adv. Oxid. Technol. 2016, 19, 358–365. [Google Scholar] [CrossRef]
- Lu, X.H.; Zhang, Q.Y.; Yang, W.Q.; Li, X.K.; Zeng, L.X.; Li, L.S. Catalytic ozonation of 2,4-dichlorophenoxyacetic acid over novel Fe-Ni/AC. RSC Adv. 2015, 5, 10537–10545. [Google Scholar] [CrossRef]
- Bibiana, B.C.; Jafar, S.; Gustavo, A.P. Mineralization of Ibuprofen and Humic Acid through Catalytic Ozonation. Ozone Sci. Eng. 2015, 38, 203–210. [Google Scholar]
- Li, Z.X.; Zhao, J.N.; Zhong, W.Z.; Duan, E.; Li, G.X.; Liu, Y.F.; Gao, X. Efficiency and Kinetics of Catalytic Ozonation of Acid Red B over Cu-Mn/γ-Al2O3 Catalysts. Ozone Sci. Eng. 2014, 37, 287–293. [Google Scholar] [CrossRef]
- Qi, L.I.; Yao, J.; You, H.; Zhang, R.; Feng, C.H.; Agtmaal, S.V. Oxidation products and degradation pathways of 4-chlorophenol by catalytic ozonation with MnOx/γ-Al2O3/TiO2 as catalyst in aqueous solution. J. Environ. Sci. Health Part A 2014, 49, 327–337. [Google Scholar] [CrossRef] [PubMed]
- Rodríguez, J.L.; Poznyak, T.; Valenzuela, M.A.; Tiznado, H.; Chairez, I. Surface interactions and mechanistic studies of 2,4-dichlorophenoxyacetic acid degradation by catalytic ozonation in presence of Ni/TiO2. Chem. Eng. J. 2013, 222, 426–434. [Google Scholar] [CrossRef]
- Alvárez, P.M.; García-Araya, J.F.; Beltrán, F.J.; Giráldez, I.; Jaramillo, J.; Gómez-Serrano, V. The influence of various factors on aqueous ozone decomposition by granular activated carbons and the development of a mechanistic approach. Carbon 2006, 44, 3102–3112. [Google Scholar] [CrossRef]
- Beltrán, F.J.; Rivas, J.; Álvarez, P.; Montero-de-Espinosa, R. Kinetics of Heterogeneous Catalytic Ozone Decomposition in Water on an Activated Carbon. Ozone Sci. Eng. 2002, 24, 227–237. [Google Scholar] [CrossRef]
- Faria, P.C.C.; Órfão, J.J.M.; Pereira, M.F.R. Ozone Decomposition in Water Catalyzed by Activated Carbon: Influence of Chemical and Textural Properties. Ind. Eng. Chem. Res. 2006, 45, 2715–2721. [Google Scholar] [CrossRef]
- Jans, U.; Hoigné, J. Activated Carbon and Carbon Black Catalyzed Transformation of Aqueous Ozone into OH-Radicals. Ozone Sci. Eng. 1998, 20, 67–90. [Google Scholar] [CrossRef]
- Sánchez-Polo, M.; Gunten, U.V.; Rivera-Utrilla, J. Efficiency of activated carbon to transform ozone into OH radicals: Influence of operational parameters. Water Res. 2005, 39, 3189–3198. [Google Scholar] [CrossRef] [PubMed]
- Gonçalves, A.G.; Órfão, J.J.M.; Pereira, M.F.R. Catalytic ozonation of sulphamethoxazole in the presence of carbon materials: Catalytic performance and reaction pathways. J. Hazard. Mater. 2012, 239–240, 167–174. [Google Scholar] [CrossRef] [PubMed]
- Gonçalves, A.G.; Órfão, J.J.M.; Pereira, M.F.R. Ozonation of sulfamethoxazole promoted by MWCNT. Catal. Commun. 2013, 35, 82–87. [Google Scholar] [CrossRef]
- Gonçalves, A.G.; Figueiredo, J.L.; Órfão, J.J.M.; Pereira, M.F.R. Influence of the surface chemistry of multi-walled carbon nanotubes on their activity as ozonation catalysts. Carbon 2010, 48, 4369–4381. [Google Scholar] [CrossRef]
- Liu, Z.Q.; Ma, J.; Cui, Y.H.; Zhang, B.P. Effect of ozonation pretreatment on the surface properties and catalytic activity of multi-walled carbon nanotube. Appl. Catal. B Environ. 2009, 92, 301–306. [Google Scholar] [CrossRef]
- Faria, P.C.C.; Órfão, J.J.M.; Pereira, M.F.R. Activated carbon catalytic ozonation of oxamic and oxalic acids. Appl. Catal. B Environ. 2008, 79, 237–243. [Google Scholar] [CrossRef]
- Beltrán, F.J.; Pocostales, J.P.; Alvarez, P.M.; Jaramillo, J. Mechanism and kinetic considerations of TOC removal from the powdered activated carbon ozonation of diclofenac aqueous solutions. J. Hazard. Mater. 2009, 169, 532–538. [Google Scholar] [CrossRef]
- Restivo, J.; Órfão, J.J.M.; Pereira, M.F.R.; Vanhaecke, E.; Rönning, M.; Iouranova, T.; Kiwi-Minsker, L.; Armenise, S.; Garcia-Bordejé, E. Catalytic ozonation of oxalic acid using carbon nanofibres on macrostructured supports. Water Sci. Technol. 2012, 65, 1854–1862. [Google Scholar] [CrossRef]
- Gu, L.; Zhang, X.W.; Lei, L.C. Degradation of Aqueous p-Nitrophenol by Ozonation Integrated with Activated Carbon. Ind. Eng. Chem. Res. 2008, 47, 6809–6815. [Google Scholar] [CrossRef]
- Leili, M.; Moussavi, G.; Naddafi, K. Degradation and mineralization of furfural in aqueous solutions using heterogeneous catalytic ozonation. Desalin. Water Treat. 2013, 51, 6789–6797. [Google Scholar] [CrossRef]
- Guzman-Perez, C.A.; Soltan, J.; Robertson, J. Kinetics of catalytic ozonation of atrazine in the presence of activated carbon. Sep. Purif. Technol. 2011, 79, 8–14. [Google Scholar] [CrossRef]
- Wang, Y.X.; Cao, H.B.; Chen, L.I.; Chen, C.M.; Duan, X.G.; Xie, Y.B.; Song, W.Y.; Sun, H.Q.; Wang, S.B. Tailored synthesis of active reduced graphene oxides from waste graphite: Structural defects and pollutant-dependent reactive radicals in aqueous organics decontamination. Appl. Catal. B Environ. 2018, 229, 71–80. [Google Scholar] [CrossRef]
- Wang, Y.X.; Xie, Y.B.; Sun, H.Q.; Xiao, J.D.; Cao, H.B.; Wang, S.B. Efficient Catalytic Ozonation over Reduced Graphene Oxide for p-Hydroxylbenzoic Acid (PHBA) Destruction: Active Site and Mechanism. ACS Appl. Mater. Interfaces 2016, 8, 9710–9720. [Google Scholar] [CrossRef] [PubMed]
- Tizaoui, C.; Mohammad-Salim, H.; Suhartono, J. Multi-walled carbon nanotubes for heterogeneous nanocatalytic ozonation. Ozone Sci. Eng. 2015, 37, 269–278. [Google Scholar] [CrossRef]
- Soares, O.S.G.P.; Gonçalves, A.G.; Delgado, J.J.; Órfão, J.J.M.; Pereira, M.F.R. Modification of carbon nanotubes by ball-milling to be used as ozonation catalysts. Catal. Today 2015, 249, 199–203. [Google Scholar] [CrossRef]
- Liu, Z.Q.; Ma, J.; Cui, Y.H.; Zhao, L.; Zhang, B.P. Factors affecting the catalytic activity of multi-walled carbon nanotube for ozonation of oxalic acid. Sep. Purif. Technol. 2011, 78, 147–153. [Google Scholar] [CrossRef]
- Chen, C.M.; Yan, X.; Yoza, B.A.; Zhou, T.T.; Li, Y.; Zhan, Y.L.; Wang, Q.H.; Li, Q.X. Efficiencies and mechanisms of ZSM5 zeolites loaded with cerium, iron, or manganese oxides for catalytic ozonation of nitrobenzene in water. Sci. Total Environ. 2018, 612, 1424–1432. [Google Scholar] [CrossRef] [PubMed]
- Ikhlaq, A.; Brown, D.R.; Kasprzyk-Hordern, B. Catalytic ozonation for the removal of organic contaminants in water on ZSM-5 zeolites. Appl. Catal. B Environ. 2014, 154–155, 110–122. [Google Scholar] [CrossRef]
- Ikhlaq, A.; Brown, D.R.; Kasprzyk-Hordern, B. Mechanisms of catalytic ozonation: An investigation into superoxide ion radical and hydrogen peroxide formation during catalytic ozonation on alumina and zeolites in water. Appl. Catal. B Environ. 2013, 129, 437–449. [Google Scholar] [CrossRef]
- Valdés, H.; Tardón, R.F.; Zaror, C.A. Role of surface hydroxyl groups of acid-treated natural zeolite on the heterogeneous catalytic ozonation of methylene blue contaminated waters. Chem. Eng. J. 2012, 211–212, 388–395. [Google Scholar] [CrossRef]
- Yuan, L.; Shen, J.M.; Chen, Z.L.; Yu, L. Pumice-catalyzed ozonation degradation of p-chloronitrobenzene in aqueous solution. Adv. Mater. Res. 2012, 117–118, 414–419. [Google Scholar] [CrossRef]
- Gao, G.Y.; Shen, J.M.; Chu, W.; Chen, Z.L.; Yuan, L. Mechanism of enhanced diclofenac mineralization by catalytic ozonation over iron silicate-loaded pumice. Sep. Purif. Technol. 2017, 173, 55–62. [Google Scholar] [CrossRef]
- Xu, B.B.; Qi, F.; Zhang, J.Z.; Li, H.N.; Sun, D.Z.; Robert, D.; Chen, Z.L. Cobalt modified red mud catalytic ozonation for the degradation of bezafibrate in water: Catalyst surface properties characterization and reaction mechanism. Chem. Eng. J. 2016, 284, 942–952. [Google Scholar] [CrossRef]
- Li, H.N.; Xu, B.B.; Qi, F.; Sun, D.Z.; Chen, Z.L. Degradation of bezafibrate in wastewater by catalytic ozonation with cobalt doped red mud: Efficiency, intermediates and toxicity. Appl. Catal. B Environ. 2014, 152–153, 342–351. [Google Scholar] [CrossRef]
- Xu, B.B.; Qi, F.; Sun, D.Z.; Chen, Z.L.; Robert, D. Cerium doped red mud catalytic ozonation for bezafibrate degradation in wastewater: Efficiency, intermediates, and toxicity. Chemosphere 2016, 146, 22–31. [Google Scholar] [CrossRef] [PubMed]
- Zhang, Y.T.; Xia, Y.J.; Li, Q.W.; Qi, F.; Xu, B.B.; Chen, Z.L. Synchronously Degradation Benzotriazole and Elimination Bromate by Perovskite Oxides Catalytic Ozonation: Performance and Reaction Mechanism. Sep. Purif. Technol. 2018, 197, 261–270. [Google Scholar] [CrossRef]
- Wang, D.; Xu, H.D.; Ma, J.; Lu, X.H.; Qi, J.Y.; Song, S. Strong promoted catalytic ozonation of atrazine at low temperature using tourmaline as catalyst: Influencing factors, reaction mechanisms and pathways. Chem. Eng. J. 2018, 354, 113–125. [Google Scholar] [CrossRef]
- Peng, J.L.; Yan, J.F.; Chen, Q.X.; Jiang, X.; Yao, G.; Lai, B. Natural mackinawite catalytic ozonation for N, N-dimethylacetamide (DMAC) degradation in aqueous solution: Kinetic, performance, biotoxicity and mechanism. Chemosphere 2018, 210, 831–842. [Google Scholar] [CrossRef]
- Wang, Y.D.; Ma, W.F.; Yoza, B.A.; Xu, Y.Y.; Li, Q.X.; Chen, C.M.; Wang, Q.H.; Gao, Y.; Guo, S.H.; Zhan, Y. L Investigation of Catalytic Ozonation of Recalcitrant Organic Chemicals in Aqueous Solution over Various ZSM-5 Zeolites. Catalysts 2018, 8, 128. [Google Scholar] [CrossRef]
- Ikhlaq, A.; Waheed, S.; Joya, K.S.; Kazmi, M. Catalytic ozonation of paracetamol on zeolite A: Non-radical mechanism. Catal. Commun. 2018, 112, 15–20. [Google Scholar] [CrossRef]
- Khataee, A.; Rad, T.S.; Fathinia, M. The role of clinoptilolite nanosheets in catalytic ozonation process: Insights into the degradation mechanism, kinetics and the toxicity. J. Taiwan Inst. Chem. Eng. 2017, 77, 205–215. [Google Scholar] [CrossRef]
- Yuan, L.; Shen, J.M.; Chen, Z.L.; Guan, X.H. Role of Fe/pumice composition and structure in promoting ozonation reactions. Appl. Catal. B Environ. 2016, 180, 707–714. [Google Scholar] [CrossRef]
- Qi, F.; Li, H.H.; Xu, B.B.; Sun, D.Z. Heating activated red mud catalytic ozonation for degradation nitrobenzene from aqueous solution: Performance and influence of preparation factors. J. Nanosci. Nanotechnol. 2014, 14, 6984–6990. [Google Scholar] [CrossRef] [PubMed]
- Qi, F.; Xu, B.B.; Chen, Z.L.; Ma, J.; Sun, D.Z.; Zhang, L.Q.; Wu, F.C. Ozonation catalyzed by the raw bauxite for the degradation of 2,4,6-trichloroanisole in drinking water. J. Hazard. Mater. 2009, 168, 246–252. [Google Scholar] [CrossRef] [PubMed]
- Dong, Y.M.; Yang, H.X.; He, K.; Wu, X.; Zhang, A.M. Catalytic activity and stability of Y zeolite for phenol degradation in the presence of ozone. Appl. Catal. B Environ. 2008, 82, 163–168. [Google Scholar] [CrossRef]
© 2019 by the authors. Licensee MDPI, Basel, Switzerland. This article is an open access article distributed under the terms and conditions of the Creative Commons Attribution (CC BY) license (http://creativecommons.org/licenses/by/4.0/).













