Next Article in Journal
Glycerol Electro-Oxidation in Alkaline Media and Alkaline Direct Glycerol Fuel Cells
Previous Article in Journal
Synthesis of Fatty Acid Methyl Esters from Pomace Oil Catalyzed by Zinc Stearate: A Kinetic Study of the Transesterification and Esterification Reactions
 
 
Font Type:
Arial Georgia Verdana
Font Size:
Aa Aa Aa
Line Spacing:
Column Width:
Background:
Article

Lanthanum Exchanged Keggin Structured Heteropoly Compounds for Biodiesel Production

by
Badriah Al-Shammari
,
Qana A. Alsulami
and
Katabathini Narasimharao
*
Department of Chemistry, Faculty of Science, King Abdulaziz University, P.O. Box 80203, Jeddah 21589, Saudi Arabia
*
Author to whom correspondence should be addressed.
Catalysts 2019, 9(12), 979; https://doi.org/10.3390/catal9120979
Submission received: 23 October 2019 / Revised: 15 November 2019 / Accepted: 19 November 2019 / Published: 21 November 2019
(This article belongs to the Section Nanostructured Catalysts)

Abstract

:
La-exchanged 12-tungstophosphoric acid (LaxTPA) and 12-molybdophosphoric acid (LaxMPA) salts (x = 0.25, 0.50, 0.75 and 1.00) were prepared via an ion exchange method. The physico-chemical characteristics of the materials were analyzed by using elemental analysis, X-ray diffraction (XRD), Fourier transformed infrared (FT-IR) spectroscopy, scanning electron microscopy (SEM), N2-physical adsorption, X-ray photoelectron spectroscopy (XPS), and acidity-basicity measurements. The results indicated that La was introduced into the secondary structure of heteropolyacid (HPA) and have not influenced the primary structure, which effectively improved the surface area and pore size. Acidity-basicity studies indicated that incorporation of La resulted in a decrease in the number of acid sites and an increase in the number of basic sites. The catalytic activity of samples was studied in transesterification of glyceryl tributyrate with methanol and LaxTPA samples which exhibited high activity compared to LaxMPA samples due to having more active basic sites and a larger surface area. Calcined LaxTPA samples showed excellent stability, outstanding recyclability, and high activity for one pot transesterification and esterification processes. This outcome was attributed to the presence of balanced acidic and basic sites.

Graphical Abstract

1. Introduction

The growth in demand for conventional petroleum based fuels, particularly diesel, has resulted in enormous concern regarding increased greenhouse gas emissions from the consumption of diesel [1,2]. It is well known that the emission of greenhouse gases is responsible for global warming [3]. In this context, researchers have been exploring different ways to develop sustainable and renewable alternative fuels or fuel additives for partial or total replacement of petroleum diesel. Biodiesel is considered as a renewable fuel and can be utilized in cycle engines and also in stationary motors [4]. Biodiesel could be obtained by a chemical reaction between different triglycerides presented in vegetable oils, animal fats, and alcohol [5]. Production of methyl esters (biodiesel) by transesterification involves a triglyceride reaction with methanol in presence of a catalyst, forming biodiesel [6].
Acidic catalysts have an edge in the production of biodiesel due to providing both esterification of fatty acids and transesterification of triglycerides processes. Vieira et al. [7] evaluated the use of La2O3, sulfated La2O3, HZSM-5, and SO42−/La2O3/HZSM-5 as heterogeneous catalysts for biodiesel production. The heteropolyacids (HPAs) catalysts are considered to be economically feasible catalysts for biodiesel production, and they showed an ability to promote the esterification and transesterification process more efficiently than H2SO4 [8]. Cao et al. [9] used an H3PW12O40 6H2O catalyst for transesterification of waste cooking oil. In the presence of free fatty acids, H3PW12O40/Ta2O5 exhibited superior performance for both esterification and transesterification [10].
Cesium salts of TPA were used for transesterification of vegetable oil and superior catalytic performance was observed as shown in the case of homogeneous catalysts (NaOH or H2SO4) with additional advantages of easy separation of the catalyst from the reaction mixture and its reuse [11]. Narasimharao et al. [12] synthesized CsxH3xPW12O40 (x = 0.9–3.0) salts and the authors observed that Cs salts of TPA are active catalysts for esterification of palmitic acid and transesterification of glyceryl tributyrate, which are essential reactions for biodiesel production. It was observed that incorporation of metal cations such as Cs+ in place of H+ cations resulted in interesting effects on the surface area, pore structure, and solubility. These properties are significant for any catalyst, as they play a role in the resistance against deactivation through solvents and thus improve their recycling potential [13]. It is worth mentioning that employing heterogeneous catalysts for biodiesel production based on HPAs is timely and extremely important, because these catalysts can be used in industry [14] for greener fuels [15] with easy separation between the target (biodiesel) and byproducts (mainly glycerol). Zhao et al. [16] synthesized La-modified 12-molybdophosphoric acid samples with various La/Mo ratios and utilized them as catalysts for a fructose to lactic acid reaction. Li et al. [17] synthesized La3+/H3PW12O40 material through the hydrothermal method and used it as a photocatalyst for effectual solar light-driven photocatalytic degradation of methyl orange and rhodamine B dyes. However, there is no report in the current literature on the application of La exchanged HPAs as catalysts for biodiesel production.
In the present work, we synthesized La-exchanged 12-tungstophosphoric acid and 12-molybdophosphoric acid catalysts. We then effectively used them for transesterification of glyceryl tributyrate with methanol. The influence of reaction conditions over the performance of catalysts was also studied by changing the reaction time, temperature, and catalyst loading. The synthesized materials were analyzed by using Inductive coupled plasma-atomic emission spectroscopy (ICP-AES), X-ray diffraction (XRD), Scanning electron microscopy (SEM), N2-physisorption, X-ray photoelectron spectroscopy (XPS), and acid-base properties with Fourier transformed infrared (FT-IR) spectroscopy techniques. The correlation between the catalytic performance and physico-chemical characteristics of the catalysts was also studied.

2. Results and Discussion

The phase composition and crystal structure of the synthesized materials were studied using a powder XRD technique. The XRD patterns of both LaxTPA and LaxMPA samples are shown in Figure 1. The pure TPA sample, which was calcined at 300 °C, showed all the reflections corresponding to a cubic Pn3m space group [JCPDS PDF#50-0657]. The XRD pattern of La0.25TPA sample exhibited a new set of sharp reflections. The reflections corresponding to pure TPA disappeared as the La atom composition increased beyond 0.50 (La0.75TPA and La1.0TPA samples). The shift in 2θ positions of reflections towards lower angles in the LaxTPA samples is consistent with the previously reported results [16,17]. The XRD patterns of calcined MPA and LaxMPA samples are also shown in Figure 1.
The reflections of the calcined MPA sample are similar to the characteristics of the monoclinic Keggin structure. After incorporating the La, the reflections due to MPA disappeared and new reflections due to lanthanum salt of MPA appeared in all La exchanged MPA samples. It is interesting to note that the XRD patterns of LaxMPA samples also exhibited few broad humps due to the presence of an unknown amorphous material, which was not observed in the case of LaxTPA samples. This is probably due to the fact that MPA thermal stability is lower than TPA and a slight amount of Keggin compound was decomposed into oxides when LaxMPA samples were used. The sharp reflections observed in all the materials revealed that synthesized LaxTPA and LaxMPA are highly crystalline. The most intense XRD reflections for bulk TPA, MPA, and La exchanged salts were used to determine the crystallite size by applying the Scherrer equation, and the results are presented in Table 1. The results show that the crystallite size decreased from 50 nm to 20 nm as the La composition increased to La0.25TPA, and the crystallite size increased to 25 nm for La1.0TPA material, demonstrating the formation of agglomerates in the case of La1.0TPA.
To study the structural features of synthesized samples, FT-IR analysis was also performed. The FT-IR spectra of LaxTPA and LaxMPA samples are shown in Figure 2. The FT-IR spectrum of the TPA sample showed Keggin structure characteristic bands at 1080 cm−1 (P-Oi), 965 cm−1 (W-Ot), 885 cm−1 (W-Oc-W), and 755 cm−1 (W-Oe-W), where i, t, c, and e represent the precise position of oxygen atoms (internal, terminal, corner, and edge-shared) in the Keggin structure [12]. It is clear that all the LaxTPA samples exhibited characteristic bands of the Keggin structure, which is an indication that the original structure was intact after the La exchange. However, it is interesting to note that position of the band corresponding to W-Oe-W stretching mode shifted from 755 cm−1 to 782 cm−1, 786 cm−1, 790 cm−1, and 800 cm−1 for La0.25TPA, La0.5TPA, La0.75TPA, and La1.0TPA, respectively.
The Keggin ion in pure calcined MPA sample shows FT-IR bands at 1060 cm−1, 960 cm−1, 870 cm−1, and 750 cm−1 corresponds to P-Oi, Mo-Ot, Mo-Oc-Mo, and Mo-Oe-Mo bonds, respectively [18]. All the FT-IR bands corresponding to Keggin ion appeared in LaxMPA samples, and also a shift in the peak position of Mo-Oe-Mo stretching mode was observed in these samples. The interaction between the Keggin anion [PW12O40]3− or [PMo12O40]3− and the Lewis acid La3+ ions forms La-O-W bonds. This synergistic effect could change some characteristic peak positions. However, it is important to understand the location of La ions. It is well known that incorporated foreign metal ion in the Keggin structure could induce variations in the FT-IR spectra of samples [19]. It was previously reported that incorporated metal ion reduced the symmetry of [PO4]3− ion, which resulted in a split in the P-O stretching band [18]. The FT-IR spectra of LaxTPA and LaxMPA materials did not exhibit any peaks at 1080 cm−1 or 1060 cm−1 after La exchange. These results revealed that La atoms did not replace the W or Mo in peripheral positions of the Keggin ion, but they do act as cations in the secondary structure.
The structural aspects of the synthesized La exchanged TPA and MPA samples were investigated further with the DR UV-vis technique. The DR UV-vis spectra of LaxTPA and LaxMPA materials are presented in Figure 3. The edge energy values were determined from the wavelength of the UV-vis absorption edge. The pure TPA and MPA samples clearly showed a representative weak absorption band at 260 nm (4.76 eV), which could be assigned to an O-W charge transfer in the Keggin ion [20]. A wide peak centered at 365 nm (3.39 eV) was also observed which was due to the ligand-metal charge transfer from O to W6+ in the Keggin anion; these observations are in agreement with a previous research report [17]. The LaxTPA samples exhibited similar absorption peaks to that of the bulk TPA sample. However, the adsorption edge for La1.00TPA samples was shifted to 3.54 eV, indicating that incorporation of La ions resulted in the shifting of the edge energy towards the visible-light region. Also, an increase of the La content resulted in an increase in the peak intensity, indicating that La concentration affected the optical absorption properties. The La1.00TPA sample showed better optical absorption ability compared to La0.25TPA and other synthesized samples. The DR UV-vis absorption spectra of MPA and LaxMPA samples were similar to that of TPA and LaxTPA samples. The wide absorption peak (due to LMCT) wavelength value of MPA and LaxMPA was higher than for TPA and LaxTPA samples. It was observed that the bulk MPA exhibited an energy edge at 2.47 eV which was shifted to 2.75 eV for the LaxMPA samples. These results indicated that the LaxMPA samples possessed an energy edge in the visible light region.
The morphology and microstructure of the investigated samples were studied by SEM analysis. Figure S1 exhibits the SEM micrographs of investigated samples. The SEM images of TPA and La0.25TPA samples revealed that these samples consisted of nanoparticles with an average pore width of around 35 nm. An increase of the La content resulted in an increase of particle size. It was observed that the large size irregular particles were formed by the aggregation of smaller particles. The largest size particles (with an average particle size of 115 nm) were observed for the La1.00TPA sample. The XRD results are in good agreement that the reflection that La exchanged TPA samples are sharper compared to the TPA sample. The SEM micrographs of MPA and LaxMPA samples revealed that these samples are composed of spherical particles. Large-sized particles were observed in the case of LaxMPA samples which were similar to that of LaxTPA samples.
It is clear that the amount of La had a significant influence on the HPA particle size, however similar morphology of LaxTPA and LaxMPA samples indicated that the La content did not change the morphology of the samples. The SEM analysis results indicated that LaxTPA and LaxMPA materials were formed due to the self-assembly of several smaller HPA particles. The textural characteristics of the LaxTPA and LaxMPA samples were obtained from the N2 physisorption results. The nitrogen adsorption-desorption isotherms of the investigated samples are depicted in Figure S2. The nitrogen adsorption-desorption isotherms of TPA and LaxTPA samples are similar, and both show a slight increase with any increases of P/P0. The isotherms clearly belong to Type II isotherms [21], which are generally due to a single to multi-layer reversible adsorption process occurring on non-porous or macroporous solid surfaces. The observed results indicate that the samples possessed macro size pores, consistent with the measurement of the pore size.
Similar results were observed in the case of MPA and LaxMPA samples, as shown in Figure S2 in the Supplementary Materials. The SBET values increased from 2.5 m2g−1 (for TPA) to 36 m2g−1 (for the La1.00TPA sample). The observed results are in accordance with morphological changes of the samples, and previous reports also reported similar observations [22] suggesting that metal salts of TPA have higher surface areas compared to TPA. The pore size distribution measurements revealed an increase in the average pore width from 50 Å to 62 Å with an increase of the La amount (Table 1). It was reported that large voids exist among the micro crystallites of the metal exchanged HPA salts [23], as closely packed particles aggregates could form mesoporous voids. Inter particle spaces between micro crystallites are responsible for the increase in the average pore width for the La exchanged TPA and MPA samples.
Figure 4 represents the deconvoluted XP spectra of representative samples. The La 3d photoelectron spectra for La0.25TPA, La1.00TPA, La0.25MPA, and La1.00MPA samples can be seen in Figure 6. It was reported that La 3d core spectrum splits into 3d5/2 and 3d3/2 lines because of spin-orbit interaction. The La exchanged HPA samples showed XPS peaks at around 836.6 eV, 839.7 eV, 853.3 eV, and 856.3 eV related to La 3d5/2 and La 3d3/2 components, respectively. And the two peaks in each line could be assigned to main and satellite peaks due to 3d0 4f0 and 3d0 4f1L configurations [24]. It was observed that different types of La compounds exhibit satellite peaks at different binding energies [25]. It was previously observed that the pure La2O3 displayed peaks at 835.8 eV and 839.3 eV related to La 3d5/2 components (La+3 species) [26]. From the XP spectra, it is clear that La 3d5/2 and La 3d3/2 peaks were observed at higher binding energy values, which is mainly due to the strong interaction of La3+ with O moieties from the Keggin anion.
The W4f XP peaks for La0.25TPA sample appeared at 35.8 eV and 37.9 eV and were related to W 4f7/2 and W 4f5/2 contributions. It was reported that pure TPA sample (W6+) exhibits W4f7/2 and W4f5/2 peaks at 35.8 eV and 37.8 eV [27], respectively. Therefore, the surface characteristics of La0.25TPA could be very similar to the TPA sample, as a very small amount of La was incorporated into the HPA structure. On other hand, the La1.00TPA sample exhibited two different W4f7/2 and W4f5/2 contributions corresponding to W6+ and W5+ species (33.9 eV and 36.0 eV). This mainly due to the presence of some oxygen defect sites in La1.00TPA, so some part of W6+ is reduced to W5+. It was observed that both La0.25MPA and La1.00MPA materials show two sets of Mo3d5/2 and Mo3d3/2 species corresponding to Mo6+ and Mo5+, while Mo3d5/2 peaks observed at 232.2 eV and 231.0 eV can be attributed to Mo6+ and Mo5+ species of the HPA [28]. It is well known that Mo based HPAs are more easily reducible than the W based HPAs, while electron localization occurs in a reduced Mo or W Keggin structure.
A single broad P 2p XP peak was observed in case of all the investigated La exchanged HPA samples. It was previously reported that in a well crystallized HPA structure consists of a single XP peak between 133–134 eV [28] and also the FWHM of peaks appears to be almost the same. These observations suggest that there is no collapse of the Keggin structure of the HPA. The XP spectra of the samples showed three O 1s peaks at 531.2 eV, 532.6 eV, and 534.1 eV, respectively. The peak at 531.2 eV could be assigned to W-O-W or Mo-O-Mo species [29]. The peak at 532.6 eV is attributed to W-O-P or Mo-O-P species. The third peak at 534 eV could be attributed to O-La species on the surface of the sample. There is a clear possibility for the presence of water molecules to seen on the sample surface, however these samples are calcined at 300 °C and a previous XPS study revealed that the binding energy of O 1s in water appears at around 535.5 eV [30].
The bulk and surface composition of LaxTPA and LaxMPA materials were studied by ICP-AES and XPS techniques, respectively. A good agreement between theoretical and actual La concentration was observed across the investigated range La0.25–La1.00 (Table 2). The surface La concentration is marginally lesser than the bulk concentration, indicating that the surface of catalyst has La-depletion. It was observed that there is a considerable difference between the surface and bulk La/W(Mo) ratios in the case of La0.25TPA and La0.25MPA samples. The observed deviation could be due to the formation of La exchanged salt, during which LaxPW12O40/LaxPMo12O40 crystals were covered by a surface layer of TPA or MPA, while a similar phenomenon was observed in the case of potassium salt from the heteropolyacid catalyst [31]. In order to understand the type of acidic sites presented in the investigated catalysts, the samples were analyzed by the pyridine infrared adsorption method, and the results are shown in Figure 5. It is well known that there are three major bands with respect to pyridine adsorption over the surface acid sites. The band that appeared at 1450 cm−1 was due to the coordinately bonded pyridine over the Lewis (L) acid sites and the band that appeared at 1545 cm−1 was mainly caused by pyridinium ion over the Brönsted (B) acid sites. The third IR band that appeared at 1505 cm−1 was due to the pyridine molecules that bonded with both L and B acid sites [32]. From Figure 5, it is clear that LaxTPA and LaxMPA materials possessed both B and L acid sites. The B acid sites of the samples are created by the dissociation of H2O molecules over La3+ HPA structure; [La(H2O)n]3+[PW12O40] or [La(OH)(H2O)n-1]2+H+[PW12O40].
The pure TPA and MPA possess the largest number of acid sites compared to the La exchanged samples and increase of La content led to a decrease in both B and L acid sites. The reason for the differences in the total number of acid sites of LaxTPA and LaxMPA samples and bulk HPAs was that the La exchanged samples possessed extra L acid sites due to the presence of La3+ and also unsaturated Mo6+ or W6+ cations, whereas the B acid sites had unexchanged protons [33]. To evaluate the basic properties of the La exchanged TPA and MPA samples, the H-donor pyrrole was used as a reacting molecule. The main features of FT-IR spectra of pyrrole adsorbed samples are presented in Figure 5. Researchers utilized the ν(NH) stretching frequencies in the NH-O hydrogen bridge to measure the basic strength of zeolites and metal oxides [32]. It was previously reported that the pyrrole adsorbed samples exhibits different types of narrow and broad bands due to the pyrrole adsorbed on basic sites [34]. The La exchanged TPA and MPA samples exhibited five different new bands at 3678 cm−1 (small), 3470 cm−1 (broad), 1620 cm−1 (sharp), 1450 cm−1 (small), and 1375 cm−1 (small) compared to bulk TPA and MPA samples. It was well reported that the several peaks appear in the range of 3560–2850 cm−1 as combination bands, which are associated with strong basic sites [35]. The bands that appeared at 1630 cm−1 and 1450 cm−1 are very similar for liquid pyrrole and are suggestive of pyrrole being chemisorbed on basic sites [36]. The results from the figure clearly indicated that the intensity of the peaks due to basic sites increased with an increase of the La content in the HPA structure. The total acidic and basic sites per unit surface area values were calculated and presented in Table S1. As expected, the La1.0TPA sample possessed a large number of basic sites per unit surface area.
Transesterification of glyceryl tributyrate with methanol is a reversible chemical reaction to produce methyl-esters (also known as biodiesel) and glycerin, and this process comprises three different elementary reactions [12]. In the first elementary step, a reaction between triglycerides and methanol yields methyl-esters and diglycerides. In the subsequent step [Equation (1)], the reaction between diglycerides and methanol obtains methyl-esters and monoglycerides. In the last step, the monoglycerides turn into methyl-esters and glycerin.
Triglyceride + Methanol→Diglyceride + Methyl ester
Diglyceride + Methanol→Monoglyceride + Methyl ester
Monoglyceride + Methanol→Glycerol + Methyl ester
Catalytic transesterification activity measurements over LaxTPA and LaxMPA materials were performed to obtain the proper reaction conditions by changing different parameters such as the reaction temperature, reaction time, amount of catalyst, and the methanol/glyceryl tributyrate molar ratio. To evaluate the effect of La3+ ions in HPA structure on the transesterification activity, both LaxTPA and LaxMPA samples were tested for their reactions.
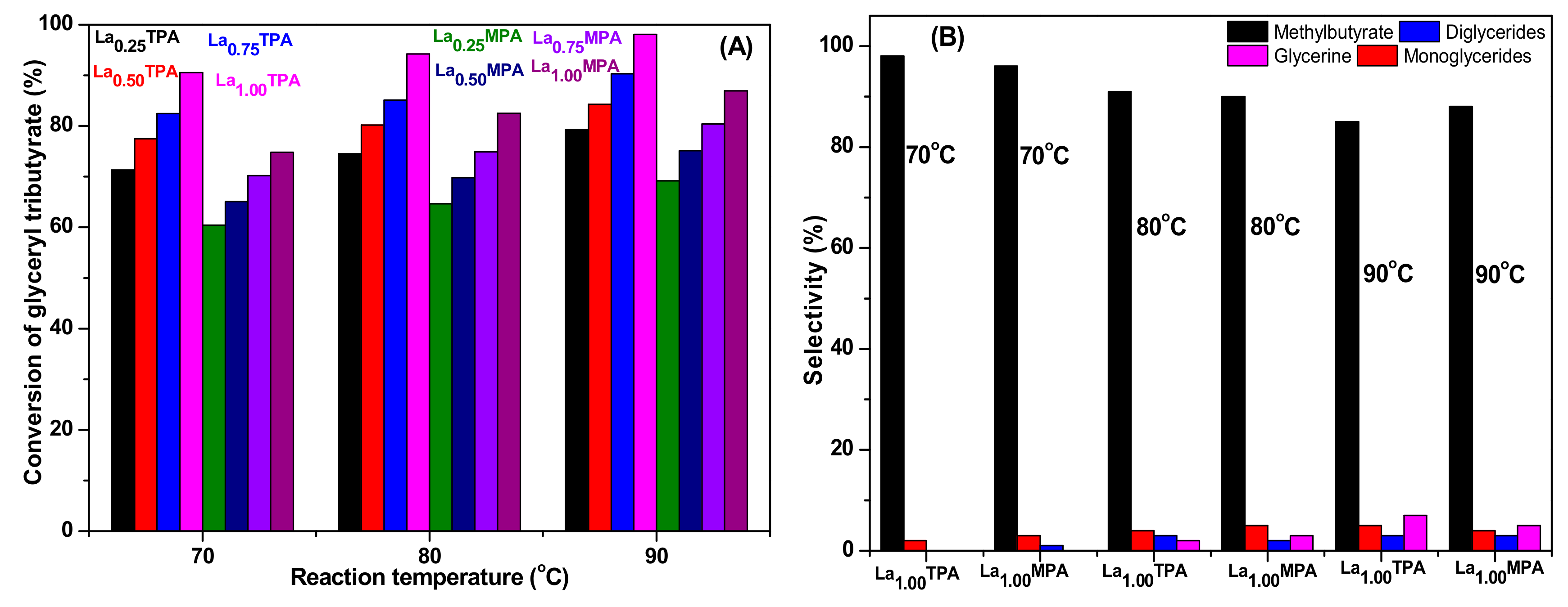
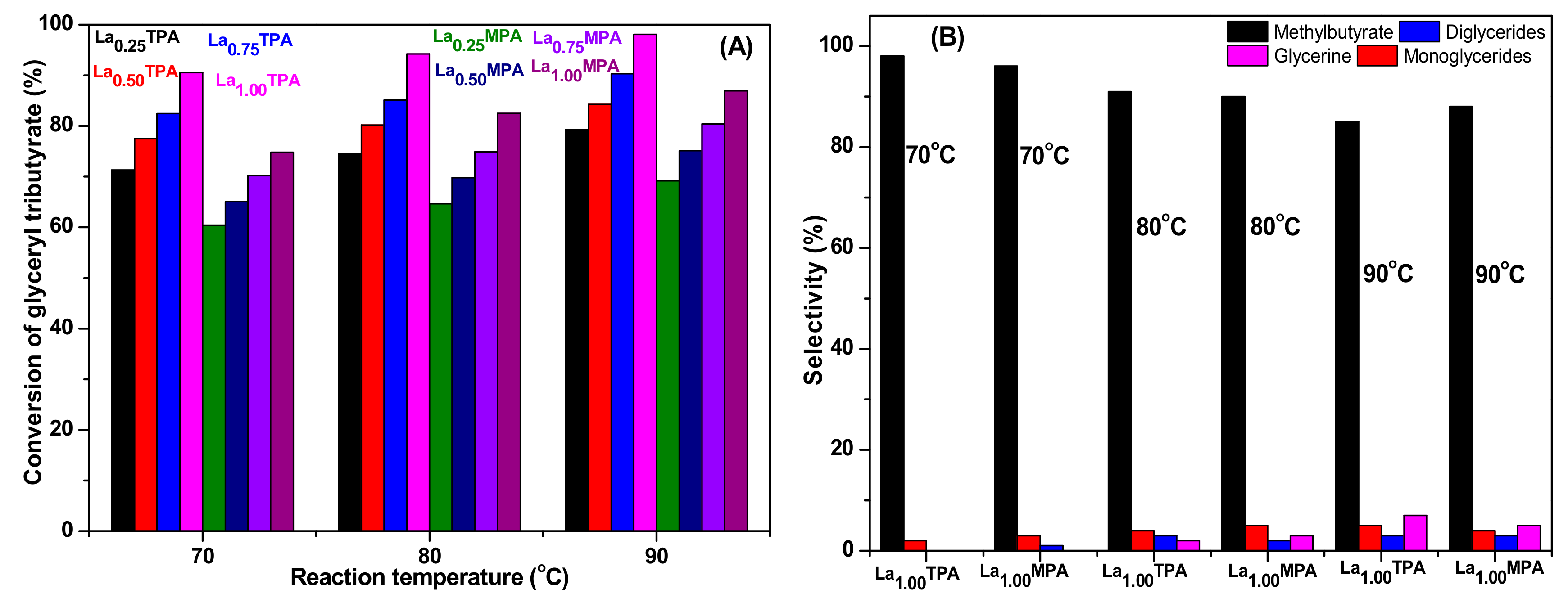
Figure 6 represents the conversion of glyceryl tributyrate and selectivities of different products obtained at three different reaction temperatures (70, 80, and 90 °C) using LaxTPA and LaxMPA materials. The obtained results clearly indicated that LaxTPA samples are efficient catalysts for transesterification compared to LaxMPA samples. The conversion of glyceryl tributyrates were enhanced with an increase of the reaction temperature in all catalyst samples. The La1.00TPA sample exhibited 90.5%, 94.2%, and 98.1% of glyceryl tributyrate conversion at 70 °C, 80 °C, and 90 °C, respectively, after 150 min of reaction time. On other hand, the La1.00MPA sample exhibited 74.8%, 82.5%, and 86.9% under same reaction conditions. The selectivities of transesterification products were also changed when the reaction temperature was altered for both series of LaxTPA and LaxMPA samples.
The selectivities of the products observed are in accordance with different reaction steps of transesterification of glyceryl tributyrate, as shown in Equations (1)–(3). It was clear that initially the triglycerides converts into diglycerides, and subsequently into monoglycerides and glycerin. At low conversions, the selectivity to methyl butyrate is between 96% and 98% in the case of highly active La1.00TPA and La1.00MPA catalysts. The selectivity to methyl butyrate was slightly lowered at high reaction temperatures, due to the formation of more glycerin. Low selectivity to monoglyceride was observed due to the fact that monoglyceride has a tendency to convert into methyl butyrate and glycerin. It was observed that a maximum of 7% selectivity to glycerin occurred for La1.0TPA sample.
The influence of a reaction time over the conversion of glyceryl tributyrate and selectivity towards methyl butyrate for all the synthesized catalysts was studied at 90 °C and the results are shown in Figure 7. Initially, the glyceryl tributyrate conversion levels increased linearly until they reached 120 min and reached a peak at 140 min. A further increase of the reaction time has not affected the conversion levels, indicating that the equilibrium was established at 120 min. This is mainly due to the fact that the transesterification continues via a stepwise reaction of the triglycerides, which led to the production of intermediate diglycerides and monoglycerides, which finally transformed into biodiesel and glycerin.
As observed in the FT-IR spectral analysis of pyrrole adsorbed LaxHPA samples, any increase in the La3+ concentration (from 0.25 to 1.00) resulted in an increase in the number of basic sites of LaxHPA samples, which subsequently influenced the transesterification activity. Figure 6 and Figure 7 indicate that an increase of the La3+ ion composition from 0.25 to 1.00 led to continuous enhancing of the activity, as the highest activity was found in the case of the catalyst that contained a La3+ composition of 1.00. However, we have not increased the La3+ composition beyond the stoichiometry of Keggin ion, due to the fact that incorporation of more counter cations could decompose the Keggin ion structure to form its oxides. The observed results are in accordance with the previous findings that basic sites of catalysts play a crucial role in transesterification. Among the synthesized catalysts, La1.00TPA was found to exhibit the highest catalytic activity towards the transesterification under optimized reaction conditions. The superior performance of the La1.0TPA sample could be related to its superior physico-chemical characteristics such as high surface area and a large number of basic sites per unit surface area.
The role of the methanol to glyceryl tributyrate molar ratio on the transesterification activity of the most active La1.00TPA catalyst was also studied (Figure S3). The transesterification reactions were conducted by changing the methanol to glyceryl tributyrate molar ratios of 3:1, 6:1, 9:1, and 12:1 for 1 h. The conversion of glyceryl tributyrate increased from 24% to 98% after increasing the methanol to glyceryl tributyrate ratio from 3:1 to 18:1. This result is consistent with a previous observation that the utilization of large molar ratios of methanol to glyceryl tributyrate is advantageous to obtain higher methyl ester yields [4,5]. This mainly due to the fact that excess alcohol does enhance the rate of transesterification and also assists in desorption of product molecules from the surface of the catalyst.
Further, we also studied the effect of loading of catalyst into the reaction mixture (Figure S4). Several transesterification experiments were performed at 90 °C for 140 min using a methanol to glyceryl tributyrate 12:1 molar ratio in the presence of different loadings of La1.00TPA catalyst (1, 3, 5, and 7 wt.%). It is clear that glyceryl tributyrate conversion was enhanced with an increase of the catalyst amount. A complete conversion of glyceryl tributyrate was observed in 150 min, when 5 wt.% catalyst loading was used, and longer reaction times were required when 1 and 3 wt.% loading was utilized. However, higher catalyst loading (greater than 5 wt.%) resulted in a minor diminution in glyceryl tributyrate conversion. This is mainly because of the fact that the reaction mixture becomes viscous at higher catalyst loading, which could lower the rate of diffusion of reactants and products.
Having demonstrated that the LaxTPA samples possessed both acid and base sites, we performed simultaneous transesterification and esterification of palmitic acid reaction over La1.00TPA catalyst to determine whether glyceryl tributyrate transesterification could take place in the presence of free fatty acid. This aspect is important as many biodiesel feedstocks consist of free fatty acids and the catalyst should able to work for one pot transesterification of triglycerides and esterification of free fatty acids.
The TOF values for La exchanged TPA and MPA samples along with bulk TPA and MPA catalysts are depicted in Table 3. The bulk TPA and MPA samples showed lower activity for transesterification of glyceryl tributyrate. Incorporation of low amounts of La (La0.25 and La0.50) in TPA or MPA resulted in an increase in activity for tributyrate transesterification. It is interesting to note that further La incorporation (La0.75 and La1.00) resulted in enhanced performance with the highest TOF obtained in the case of a La1.00TPA sample. The highest transesterification rate of 12.8 mmol h−1 g−1 obtained in the La1.00TPA sample coincides with the conventional basic MgO catalyst, which offered 15 mmol h−1 g−1 under similar reaction conditions. However, the La1.00TPA catalyst underperformed compared to the previously reported Li-doped CaO and Mg-Al layered double hydroxides catalysts [37]. It is well reported that the transesterification activity of solid base catalysts depends on the strength of the basic sites. Formation of stronger and more basic sites in La1.00TPA due to maximum La incorporation could be the responsible factor for the higher activity of La1.00TPA. Moreover, HPAs are known to possess a very good resistance towards water and did not lose activity, in contrast to pure alkali and alkaline metal oxides.
It was also observed that the transesterification conversion was not affected due to the presence of palmitic acid, as the catalyst effectively converted the palmitic acid into its methyl ester in just 30 min of reaction time at a reaction temperature of 90 °C. It was reported that HPAs have a unique characteristic property where they could absorb the molecules into their bulk [38], which allows the reactions to happen in the bulk as well as on the surface [39]. The synthesized LaxTPA samples clearly possessed the Keggin HPA structure with balanced acid-base centers. Therefore, the reactant molecules could be migrating on the surface and bulk of HPA to undergo transesterification and/or esterification, with the subsequent products transported to the surface to desorb.
It is also known that some HPAs could dissolve in polar and non-solvents, therefore we performed a leaching test to determine whether any soluble HPAs were dissolved in the reactant components. As anticipated, the HPA samples which contained less La (La0.25 and La0.50) showed slight dissolution in hot methanol during the reaction. However, the samples which contained more La ions (La0.75 and La1.00) were stable during methanol reflux. Further, we studied the reusability of the synthesized LaxHPA catalysts. The transesterification of glyceryl tributyrate was carried out under studied reaction conditions. After the each cycle, catalyst was centrifuged and dried at 110 °C. The dried La1.00TPA sample was used for five continual cycles under the identical reaction parameters described in the experimental section. The data obtained from recycle experiments was presented in Figure 8. It was observed that the La1.00TPA sample offered a very similar conversion of glyceryl tributyrate without any significant loss. However, after the fourth cycle there was a slight decrease in the conversion of glyceryl tributyrate, this is possibly because of a loss of catalyst amount throughout the recovery and regeneration steps.

3. Experimental

3.1. Materials

Pure 12-tungstophosphoric acid [H3PW12O40. nH2O], 12-molybdophosphoric acid [H3PMo12O40. nH2O], lanthanum chloride [LaCl3], glyceryl tributyrate [C15H26O6], methanol [CH3OH] and hexyl ether [C12H26O] were obtained from Aldrich and used as received.

3.2. Preparation of La Exchanged TPA and MPA Salts

A simple ion exchange method was adapted to synthesize La-modified HPA catalysts. To synthesize LaxTPA (x = 0.25, 0.50, 0.75 and 1.00) powders, a calculated amount of TPA (dried at 110 °C) was dissolved in 100 mL of solvent (90 mL of ethanol and 10 mL of distilled water) by stirring to obtain a clear solution. The calculated amount of LaCl3 nH2O corresponding to La ratio was added to 50 mL of solvent under stirring. A white precipitate was obtained by dropwise addition of LaCl3 solution to TPA solution and the formed precipitate was centrifugally separated and washed four times with distilled water. The obtained precipitate was dried at 100 °C for 6 h. The LaxMPA powders were also synthesized by following the similar procedure. Finally, all the dried samples were thermally treated at 300 °C for 4 h. Bulk TPA and MPA samples were prepared by calcining the 12-tungstophosphoric acid and 12-molybdophosphoric acid samples in muffle furnace at 300 °C for 4 h.

3.3. Materials Characterization

The elemental composition of LaxTPA and LaxMPA materials was determined by using an ICP-AES (Optima 7300 DV, Perkin-Elmer) instrument (Waltham, MA, USA). Powder XRD patterns of samples were collected using a PANalytical XpertPro diffractometer (Almelo, The Netherlands). The crystallite sizes of synthesized samples were determined by applying the Scherer equation.
The DR UV-vis spectra of LaxTPA and LaxMPA materials were obtained using a Thermo- Scientific evolution spectrophotometer in the range of 200–800 nm. The SEM images of the samples were obtained using a JEOL Model JSM-6390LV microscope (Peabody, MA, USA). The FT-IR spectra of calcined materials were obtained using a Bruker vertex 70 FT-IR spectrometer. The acidic and basic characteristics of LaxTPA and LaxMPA samples were investigated by obtaining the FT-IR spectra of pyridine and pyrrole adsorbed samples, respectively [40]. A calculated amount of the catalyst sample was placed in an electric oven at 100 °C under vacuum for 2 h to remove the physiosorbed air constituents, including moisture. Then, the sample was exposed to pyridine or pyrrole vapor in a sealed desiccator and was heated at 100 °C under vacuum for 2 h to remove physically adsorbed pyridine or pyrrole before analyzing the sample. The analysis time in the ATR-IR technique is less than two minutes and the extent of moisture adsorption on the catalyst surface was reduced. The FT-IR spectra of samples was assessed before and after probe molecules adsorption, and we subtracted the spectrum of the sample before adsorption from the spectrum of the sample after adsorption using software. The amounts of Bronsted and Lewis acid sites were calculated via integration of the area of the absorption bands showing the maximum values of intensity at 1450 cm−1 and 1545 cm−1, respectively. Integrated absorbance of each band was obtained using the relevant software by applying the corresponding extinction coefficient, which was normalized by the weight of the sample. The XPS spectra of synthesized materials were obtained by using a Kratos Axis Nova spectrometer. The textural properties of the samples were obtained by carrying out the N2-physical adsorption experiments using a Quantachrome ASiQ unit (Pleasanton, CA, USA).

3.4. Transesterification of Glyceryl Tributyrate with Methanol

The catalyst evaluation for glyceryl tributyrate transesterification was accomplished using two neck RB flasks fitted with a magnetic stirrer, condenser, and paraffin oil bath. Glyceryl tributyrate and methanol with an optimized concentration (1:12 mmol) were first placed in the RB flask along with hexyl ether (internal standard, 2.5 mmol). Then, the flask was heated using an oil bath to the desired reaction temperature, then a calculated amount of catalyst (5.0 wt.% relative to tributyrate weight) was added to initiate the reaction. The liquid samples were withdrawn periodically to determine the product distribution using Shimadzu GC17A gas chromatograph integrated with DB-1 capillary column and flame ionization detector.

4. Conclusions

A simple ion exchange technique was adapted to synthesize La exchanged TPA and MPA salts (LaxTPA and LaxMPA, x = 0.25, 0.50, 0.75 and 1.00). The obtained samples have been utilized as catalysts for transesterification glyceryl tributyrate mixed with methanol to produce biodiesel. A detailed characterization of the synthesized materials suggested that LaxTPA and LaxMPA materials composed of Keggin structure with La situated in the secondary structure. The XPS reveals that most of the samples possessed two environments (W6+/W5+ or Mo6+/Mo5+), indicating existence of a surface layer of HPA with reduced W5+ or Mo5+ ions. The FTIR analysis of pyrrole adsorbed samples and N2-physisorption results disclosed that number of basic sites were increased with an increase of La loadings from 0.25 to 1.00. The highest number of accessible surface basic sites was observed in the case of a La1.00TPA sample. The highest glyceryl tributyrate conversion, 98% was obtained at 90 °C, the molar ratio of glyceryl tributyrate and methanol is 1:12, while the reaction time is 140 min. The LaxTPA and LaxMPA materials with x > 0.25 did not show any leaching and were reused several times without substantial reductions in their performance. The synthesized La exchanged HPA samples can be utilized for one pot of transesterification glyceryl tributyrate, palmitic acid esterification, and reactions due to the presence of balanced acid and base sites.

Supplementary Materials

The following are available online at https://www.mdpi.com/2073-4344/9/12/979/s1, Figure S1: FESEM images of LaxTPA and LaxMPA samples., Figure S2: Nitrogen adsorption-desorption and pore size distribution patterns of samples, Figure S3: Influence of methanol and glyceryl tributyrate ratio on the catalytic performance of La1.00TPA catalyst Figure S4: Influence of catalyst amount on the catalytic performance of La1.00TPA catalyst, Table S1: Quantification of acidic and basic sites presented in the catalysts.

Author Contributions

B.A.-S. carried out all the experiments, analyzed the data and the mainly responsible for writing-original draft of the paper; K.N. and Q.A.A. writing-review and editing; K.N. conceived the research project and designed the experiments; K.N. and Q.A.A. supervised and directed the research project.

Funding

This research was funded by the Deanship of Scientific Research (DSR) of King Abdulaziz University, Jeddah, Saudi Arabia (grant number DF-082-130-1441).

Acknowledgments

This work was supported by the Deanship of Scientific Research (DSR), King Abdulaziz University, Jeddah under grant number DF-082-130-1441. The authors, therefore, gratefully acknowledge DSR technical and financial support.

Conflicts of Interest

The authors declare no conflict of interest.

References

  1. Kim, H.J.; Kang, B.S.; Kim, M.J.; Park, Y.M.; Kim, D.K.; Lee, J.S.; Lee, K.Y. Transesterification of Vegetable Oil to Biodiesel Using Heterogeneous Base Catalyst. Catal. Today 2004, 93, 315–320. [Google Scholar] [CrossRef]
  2. Knothe, G.; Sharp, C.A.; Ryan, T.W. Exhaust Emissions of Biodiesel, Petrodiesel, Neat Methyl Esters, and Alkanes in a New Technology Engine. Energy Fuels 2006, 20, 403–408. [Google Scholar] [CrossRef]
  3. Lotero, E.; Liu, Y.; Lopez, D.E.; Suwannakarn, K.; Bruce, D.A.; Goodwin, J.G. Synthesis of Biodiesel Via Acid Catalysis. Ind. Eng. Chem. Res. 2005, 44, 5353–5363. [Google Scholar] [CrossRef]
  4. Ma, F.; Milford, A.H. Biodiesel Production: A Review. Bioresour. Technol. 1999, 70, 1–15. [Google Scholar] [CrossRef]
  5. Meher, L.C.; Sagar, D.V.; Naik, S.N. Technical Aspects of Biodiesel Production by Transesterification—A Review. Renew. Sustain. Energy Rev. 2006, 10, 248–268. [Google Scholar] [CrossRef]
  6. Nabi, M.N.; Akhter, M.S.; Shahadat, M.M.Z. Improvement of Engine Emissions with Conventional Diesel Fuel and Diesel–Biodiesel Blends. Bioresour. Technol. 2006, 97, 372–378. [Google Scholar] [CrossRef]
  7. Vieira, S.S.; Magriotis, Z.M.; Santos, N.A.; Saczk, A.A.; Hori, C.E.; Arroyo, P.A. Biodiesel Production by Free Fatty Acid Esterification Using Lanthanum (La3+) and Hzsm-5 Based Catalysts. Bioresour. Technol. 2013, 133, 248–255. [Google Scholar] [CrossRef]
  8. Rashid, U.; Anwar, F.; Ashraf, M.; Saleem, M.; Yusup, S. Application of Response Surface Methodology for Optimization of Biodiesel Production by Transesterification of Soybean Oil with Ethanol. Fuel Process. Technol. 2011, 92, 407–413. [Google Scholar]
  9. Cao, F.; Chen, Y.; Zhai, F.; Li, J.; Wang, J.; Wang, X.; Wang, S.; Zhu, W. Biodiesel Production from High Acid Value Waste Frying Oil Catalyzed by Superacid Heteropolyacid. Biotechnol. Bioeng. 2008, 101, 93–100. [Google Scholar] [CrossRef]
  10. Alsalme, A.; Kozhevnikova, E.F.; Kozhevnikov, I.V. Heteropoly Acids as Catalysts for Liquid-Phase Esterification and Transesterification. Appl. Catal. A Gen. 2008, 349, 170–176. [Google Scholar] [CrossRef]
  11. Chai, F.; Cao, F.; Zhai, F.; Chen, Y.; Wang, X.; Su, Z. Transesterification of Vegetable Oil to Biodiesel Using a Heteropolyacid Solid Catalyst. Adv. Synth. Catal. 2007, 349, 1057–1065. [Google Scholar] [CrossRef]
  12. Narasimharao, K.; Brown, D.R.; Lee, A.F.; Newman, A.D.; Siril, P.F.; Tavener, S.J.; Wilson, K. Structure–Activity Relations in Cs-Doped Heteropolyacid Catalysts for Biodiesel Production. J. Catal. 2007, 248, 226–234. [Google Scholar] [CrossRef]
  13. Zieba, A.; Matachowski, L.; Gurgul, J.; Bielanska, E.; Drelinkiewicz, A. Transesterification reaction of triglycerides in the presence of Ag-doped H3PW12O40. J. Mol. Catal. A Chem. 2010, 316, 30–44. [Google Scholar] [CrossRef]
  14. Fontalvo Gómez, M.; Johnson Restrepo, B.; Stelzer, T.; Romañach, R.J. Process Analytical Chemistry and Nondestructive Analytical Methods: The Green Chemistry Approach for Reaction Monitoring, Control, and Analysis. Handb. Green Chem. Online 2010. [Google Scholar] [CrossRef]
  15. Mazivila, S.J. Trends of non-destructive analytical methods for identification of biodiesel feedstock in diesel-biodiesel blend according to European Commission Directive 2012/0288/EC and detecting diesel-biodiesel blend adulteration: A brief review. Talanta 2018, 180, 239–247. [Google Scholar] [CrossRef]
  16. Zhao, B.; Yue, X.; Li, H.; Li, J.; Liu, C.; Xu, C.; Dong, W.S. Lanthanum-Modified Phosphomolybdic Acid as an Efficient Catalyst for the Conversion of Fructose to Lactic Acid. React. Kinet. Mech. Catal. 2018, 125, 55–69. [Google Scholar] [CrossRef]
  17. Kozhevnikov, I.V. Catalysis by Heteropoly Acids and Multicomponent Polyoxometalates in Liquid-Phase Reactions. Chem. Rev. 1998, 98, 171–198. [Google Scholar] [CrossRef]
  18. Binet, C.; Jadi, A.; Lamotte, J.; Lavalley, J.C. Use of Pyrrole as an Ir Spectroscopic Molecular Probe in a Surface Basicity Study of Metal Oxides. J. Chem. Soc. Faraday Trans. 1996, 92, 123–129. [Google Scholar] [CrossRef]
  19. Rocchiccioli-Deltcheff, C.; Aouissi, A.; Bettahar, M.M.; Launay, S.; Fournier, M. Catalysis by 12-Molybdophosphates: 1. Catalytic Reactivity of 12-Molybdophosphoric Acid Related to Its Thermal Behavior Investigated through Ir, Raman, Polarographic, and X-Ray Diffraction Studies: A Comparison with 12-Molybdosilicic Acid. J. Catal. 1996, 164, 16–27. [Google Scholar] [CrossRef]
  20. Lingaiah, N.; Reddy, K.M.; Nagaraju, P.; Prasad, P.S.; Wachs, I.E. Influence of Vanadium Location in Titania Supported Vanadomolybdophosphoric Acid Catalysts and Its Effect on the Oxidation and Ammoxidation Functionalities. J. Phys. Chem. C 2008, 112, 8294–8300. [Google Scholar] [CrossRef]
  21. Rao, G.R.; Rajkumar, T. Interaction of Keggin Anions of 12-Tungstophosphoric Acid with CexZr1-xO2 Solid Solutions. J. Colloid Interface Sci. 2008, 324, 134–141. [Google Scholar] [CrossRef] [PubMed]
  22. Sing, K.S.W. Reporting Physisorption Data for Gas/Solid Systems with Special Reference to the Determination of Surface Area and Porosity. Pure Appl. Chem. 1984, 603, 1985. [Google Scholar] [CrossRef]
  23. Su, F.; Wu, Q.; Song, D.; Zhang, X.; Wang, M.; Guo, Y. Pore Morphology-Controlled Preparation of Zro 2-Based Hybrid Catalysts Functionalized by Both Organosilica Moieties and Keggin-Type Heteropoly Acid for the Synthesis of Levulinate Esters. J. Mater. Chem. A 2013, 1, 13209–13221. [Google Scholar] [CrossRef]
  24. Bera, M.K.; Ellis, R.J.; Burton-Pye, B.P.; Antonio, M.R. Structural Aspects of Heteropolyacid Microemulsions. Phys. Chem. Chem. Phys. 2014, 16, 22566–22574. [Google Scholar] [CrossRef] [PubMed]
  25. Sunding, M.F.; Hadidi, K.; Diplas, S.; Løvvik, O.M.; Norby, T.E.; Gunnæs, A.E. Xps Characterisation of in Situ Treated Lanthanum Oxide and Hydroxide Using Tailored Charge Referencing and Peak Fitting Procedures. J. Electron Spectrosc. Relat. Phenom. 2011, 184, 399–409. [Google Scholar] [CrossRef]
  26. Dallera, C.; Giarda, K.; Ghiringhelli, G.; Tagliaferri, A.; Braicovich, L.; Brookes, N.B. Charge-Transfer Excitations in Lanthanum Compounds Measured by Resonant Inelastic X-Ray Scattering at the M 5 edge. Phys. Rev. B 2001, 64, 153104. [Google Scholar] [CrossRef]
  27. Rida, K.; Peña, M.A.; Sastre, E.; Martinez-Arias, A. Effect of Calcination Temperature on Structural Properties and Catalytic Activity in Oxidation Reactions of LaNiO3 Perovskite Prepared by Pechini Method. J. Rare Earths 2012, 30, 210–216. [Google Scholar] [CrossRef]
  28. Moulder, J.F.; Stickle, W.F.; Sobol, P.E.; Bomben, K.D. Handbook of X-ray Photoelectron Spectroscopy; Perkin-Elmer Corporation: Eden Prairie, MN, USA, 1992. [Google Scholar]
  29. Akimoto, M.; Shima, K.; Echigoya, E. X-Ray Photoelectron Spectroscopy, X-Ray Auger Electron Spectroscopy and Electron Spin Resonance Studies of the Reduction of Some Solid Metal 12-Molybdophosphates. J. Chem. Soc. Faraday Trans. 1 Phys. Chem. Condens. Phases 1983, 79, 2467–2474. [Google Scholar]
  30. Jalil, P.A.; Faiz, M.; Tabet, N.; Hamdan, N.M.; Hussain, Z. A Study of the Stability of Tungstophosphoric Acid, H3PW12O40, Using Synchrotron XPS, Xanes, Hexane Cracking, Xrd, and Ir Spectroscopy. J. Catal. 2003, 217, 292–297. [Google Scholar] [CrossRef]
  31. Stoychev, D.; Valov, I.; Stefanov, P.; Atanasova, G.; Stoycheva, M.; Marinova, T. Electrochemical Growth of Thin La2O3 Films on Oxide and Metal Surfaces. Mater. Sci. Eng. C 2003, 23, 123–128. [Google Scholar] [CrossRef]
  32. Haber, J.; Matachowski, L.; Mucha, D.; Stoch, J.; Sarv, P. New Evidence on the Structure of Potassium Salts of 12-Tungstophosphoric Acid, KxH3-xPW12O40. Inorg. Chem. 2005, 44, 6695–6703. [Google Scholar] [CrossRef] [PubMed]
  33. Narasimharao, K.; Ali, T.T. Catalytic Oxidative Cracking of Propane over Nanosized Gold Supported Ce0.5Zr0.5O2 Catalysts. Catal. Lett. 2013, 143, 1074–1084. [Google Scholar] [CrossRef]
  34. Pizzio, L.R.; Caceres, C.V.; Blanco, M.N. Acid Catalysts Prepared by Impregnation of Tungstophosphoric Acid Solutions on Different Supports. Appl. Catal. A Gen. 1998, 167, 283–294. [Google Scholar] [CrossRef]
  35. Murphy, D.; Massiani, P.; Franck, R.; Barthomeuf, D. Basic Site Heterogeneity and Location in Alkali Cation Exchanged Emt Zeolite. An Ir Study Using Adsorbed Pyrrole. J. Phys. Chem. 1996, 100, 6731–6738. [Google Scholar] [CrossRef]
  36. Huang, M.; Kaliaguine, S. Zeolite Basicity Characterized by Pyrrole Chemisorption: An Infrared Study. J. Chem. Soc. Faraday Trans. 1992, 88, 751–758. [Google Scholar] [CrossRef]
  37. Cantrell, D.G.; Gillie, L.J.; Lee, A.F.; Wilson, K. Structure-Reactivity Correlations in Mgal Hydrotalcite Catalysts for Biodiesel Synthesis. Appl. Catal. A Gen. 2005, 287, 183–190. [Google Scholar] [CrossRef]
  38. Komaya, T.; Misono, M. Activity Patterns of H3PMo12O40 and Its Alkali Salts for Oxidation Reactions. Chem. Lett. 1983, 12, 1177–1780. [Google Scholar] [CrossRef]
  39. Misono, M. Heterogeneous Catalysis by Heteropoly Compounds of Molybdenum and Tungsten. Catal. Rev. 1987, 29, 269–321. [Google Scholar] [CrossRef]
  40. Li, T.; Li, Q.; Yan, J.; Li, F. Photocatalytic Degradation of Organic Dyes by La3+/Ce3+-H3Pw12O40 under Different Light Irradiation. Dalton Trans. 2014, 43, 9061–9069. [Google Scholar] [CrossRef]
Figure 1. XRD patterns of (A) LaxTPA and (B) LaxMPA samples
Figure 1. XRD patterns of (A) LaxTPA and (B) LaxMPA samples
Catalysts 09 00979 g001
Figure 2. FT-IR spectra of (A) LaxTPA and (B) LAxMPA samples
Figure 2. FT-IR spectra of (A) LaxTPA and (B) LAxMPA samples
Catalysts 09 00979 g002
Figure 3. DR UV-vis spectra of LaxTPA and LaxMPA samples.
Figure 3. DR UV-vis spectra of LaxTPA and LaxMPA samples.
Catalysts 09 00979 g003
Figure 4. Deconvoluted X-ray photoelectron spectra for La0.25TPA, La1.00TPA, La0.25MPA, and La1.00MPA samples.
Figure 4. Deconvoluted X-ray photoelectron spectra for La0.25TPA, La1.00TPA, La0.25MPA, and La1.00MPA samples.
Catalysts 09 00979 g004
Figure 5. Acidity and basicity measurements using probe molecules and FTIR spectroscopy: (A,B)-pyridine adsorbed samples, (C,D)-pyrrole adsorbed samples.
Figure 5. Acidity and basicity measurements using probe molecules and FTIR spectroscopy: (A,B)-pyridine adsorbed samples, (C,D)-pyrrole adsorbed samples.
Catalysts 09 00979 g005
Figure 6. Influence of reaction temperature over (A) conversion of glyceryl tributyrate (B) selectivities of transesterification products.
Figure 6. Influence of reaction temperature over (A) conversion of glyceryl tributyrate (B) selectivities of transesterification products.
Catalysts 09 00979 g006
Figure 7. Influence of the reaction time on the conversion of glyceryl tributyrate over LaxTPA and LaxMPA catalysts.
Figure 7. Influence of the reaction time on the conversion of glyceryl tributyrate over LaxTPA and LaxMPA catalysts.
Catalysts 09 00979 g007
Figure 8. Reusability of La1.00TPA catalyst.
Figure 8. Reusability of La1.00TPA catalyst.
Catalysts 09 00979 g008
Table 1. Data obtained from XRD and N2-physisorption measurements.
Table 1. Data obtained from XRD and N2-physisorption measurements.
SampleCrystallite Size (nm)BET Surface Area (m2g−1)Average Pore Width (Å)Average Pore Volume (cm3g−1)
La0.25TPA1108.5500.009
La0.50TPA12512.3510.023
La0.75TPA13716.4540.054
La1.00TPA15021.4620.075
La0.25MPA906.2480.008
La0.50MPA10310.5500.020
La0.75MPA11513.0560.050
La1.00MPA12015.8600.070
Table 2. Bulk and surface elemental composition of La exchanged TPA and MPA samples.
Table 2. Bulk and surface elemental composition of La exchanged TPA and MPA samples.
Catalyst Bulk Composition (Atom %)Surface Composition (Atom %)
LaWMoOPLa/WLa/MoLaWMoOP
La0.25TPA1.918.2-77.62.30.10-1.816.3-79.72.1
La0.50TPA3.816.4 77.82.00.23-3.615.4-79.11.9
La0.75TPA6.515.1-76.61.80.43-6.114.5-77.51.7
La1.00TPA8.613.6-75.91.90.63-8.212.6-77.51.7
La0.25MPA1.8-17.179.31.8-0.101.4-15.281.61.6
La0.50MPA3.9-16.277.92.0-0.243.4-14.480.31.9
La0.75MPA7.0-13.577.52.0-0.516.4-12.878.81.9
La1.00MPA8.1-13.077.11.8-0.626.9-12.079.41.5
Table 3. TOFs of transesterification of glyceryl tributyrate and palmitic acid esterification over the synthesized catalysts.
Table 3. TOFs of transesterification of glyceryl tributyrate and palmitic acid esterification over the synthesized catalysts.
CatalystTOF of Transesterification (mmol h−1 g−1 cat)TOF of Esterification (mmol h−1 g−1 cat)
La0.25TPA8.228
La0.50TPA9.624
La0.75TPA10.419
La1.00TPA12.813
La0.25MPA6.320
La0.50MPA7.516
La0.75MPA8.312
La1.00MPA9.88

Share and Cite

MDPI and ACS Style

Al-Shammari, B.; A. Alsulami, Q.; Narasimharao, K. Lanthanum Exchanged Keggin Structured Heteropoly Compounds for Biodiesel Production. Catalysts 2019, 9, 979. https://doi.org/10.3390/catal9120979

AMA Style

Al-Shammari B, A. Alsulami Q, Narasimharao K. Lanthanum Exchanged Keggin Structured Heteropoly Compounds for Biodiesel Production. Catalysts. 2019; 9(12):979. https://doi.org/10.3390/catal9120979

Chicago/Turabian Style

Al-Shammari, Badriah, Qana A. Alsulami, and Katabathini Narasimharao. 2019. "Lanthanum Exchanged Keggin Structured Heteropoly Compounds for Biodiesel Production" Catalysts 9, no. 12: 979. https://doi.org/10.3390/catal9120979

APA Style

Al-Shammari, B., A. Alsulami, Q., & Narasimharao, K. (2019). Lanthanum Exchanged Keggin Structured Heteropoly Compounds for Biodiesel Production. Catalysts, 9(12), 979. https://doi.org/10.3390/catal9120979

Note that from the first issue of 2016, this journal uses article numbers instead of page numbers. See further details here.

Article Metrics

Back to TopTop