Enhanced Photocatalytic Activity of Electrospun β-Ga2O3 Nanofibers via In-Situ Si Doping Using Tetraethyl Orthosilicate
Abstract
1. Introduction
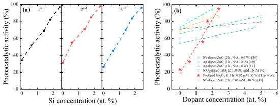
2. Results and Discussion
3. Materials and Method
4. Conclusions
Supplementary Materials
Author Contributions
Funding
Acknowledgments
Conflicts of Interest
References
- Lee, K.; Yoon, H.; Ahn, C.; Park, J.; Jeon, S. Strategies to improve the photocatalytic activity of TiO2: 3D nanostructuring and heterostructuring with graphitic carbon nanomaterials. Nanoscale 2019, 11, 7025–7040. [Google Scholar] [CrossRef] [PubMed]
- Ibusuki, T.; Takeuchi, K. Toluene oxidation on UV-irradiated titanium dioxide with and without O2, NO2 or H2O at ambient temperature. Atmos. Environ. 1967, 20, 1711–1715. [Google Scholar] [CrossRef]
- Loh, K.; Gaylarde, C.C.; Shirakawa, M.A. Photocatalytic activity of ZnO and TiO2 ‘nanoparticles’ for use in cement mixes. Constr. Build. Mater. 2018, 167, 853–859. [Google Scholar] [CrossRef]
- Hou, Y.; Wang, X.; Wu, L.; Ding, Z.; Fu, X. Efficient decomposition of benzene over a β-Ga2O3 photocatalyst under ambient conditions. Environ. Sci. 2006, 40, 5799–5803. [Google Scholar] [CrossRef]
- Hou, Y.; Wu, L.; Wang, X.; Ding, Z.; Li, Z.; Fu, X. Photocatalytic performance of α-, β-, and γ-Ga2O3 for the destruction of volatile aromatic pollutants in air. J. Catal. 2007, 250, 12–18. [Google Scholar] [CrossRef]
- Zhao, W.; Yang, Y.; Hao, R.; Liu, F.; Wang, Y.; Tan, M.; Zhao, D. Synthesis of mesoporous β-Ga2O3 nanorods using PEG as template: Preparation, characterization and photocatalytic properties. J. Hazard. Mater. 2011, 192, 1548–1554. [Google Scholar] [CrossRef]
- Tien, L.C.; Chen, W.T.; Ho, C.H. Enhanced Photocatalytic Activity in β-Ga2O3 Nanobelts. J. Am. Ceram. Soc. 2011, 94, 3117–3122. [Google Scholar] [CrossRef]
- Hwang, W.S.; Verma, A.; Peelaers, H.; Protasenko, V.; Rouvimov, S.; Xing, H.; Albrecht, M. High-voltage field effect transistors with wide-bandgap β-Ga2O3 nanomembranes. Appl. Phys. Lett. 2014, 104, 203111. [Google Scholar] [CrossRef]
- Bae, H.J.; Yoo, T.H.; Kim, S.; Choi, W.; Song, Y.S.; Kwon, D.K.; Hwang, W.S. Enhanced Photocatalytic Degradation of 2-Butanone Using Hybrid Nanostructures of Gallium Oxide and Reduced Graphene Oxide under Ultraviolet-C Irradiation. Catalysts 2019, 9, 449. [Google Scholar] [CrossRef]
- Tian, G.; Fu, H.; Jing, L.; Xin, B.; Pan, K. Preparation and characterization of stable biphase TiO2 photocatalyst with high crystallinity, large surface area, and enhanced photoactivity. J. Phys. Chem. C 2008, 112, 3083–3089. [Google Scholar] [CrossRef]
- Hou, Y.; Zhang, J.; Ding, Z.; Wu, L. Synthesis, characterization and photocatalytic activity of β-Ga2O3 nanostructures. Powder Technol. 2010, 203, 440–446. [Google Scholar] [CrossRef]
- Yoon, Y.; Han, K.I.; Kim, B.H.; Lee, I.G.; Kim, Y.; Kim, J.P.; Hwang, W.S. Formation of β-Ga2O3 nanofibers of sub-50 nm diameter synthesized by electrospinning method. Thin Solid Films 2018, 645, 358–362. [Google Scholar] [CrossRef]
- Faccini, M.; Amantia, D.; Vázquez-Campos, S.; Vaquero, C.; de Ipiña, J.L.; Aubouy, L. Nanofiber-based filters as novel barrier systems for nanomaterial exposure scenarios. J. Phys. Conf. Ser. 2011, 304, 012067. [Google Scholar] [CrossRef]
- Zhao, J.; Zhang, W.; Xie, E.; Liu, Z.; Feng, J.; Liu, Z. Photoluminescence properties of β-Ga2O3: Tb3+ nanofibers prepared by electrospinning. Mater. Sci. Eng. B 2011, 176, 932–936. [Google Scholar] [CrossRef]
- Zhao, J.; Zhang, W.; Xie, E.; Ma, Z.; Zhao, A.; Liu, Z. Structure and photoluminescence of β-Ga2O3: Eu3+ nanofibers prepared by electrospinning. Appl. Surf. Sci. 2011, 257, 4968–4972. [Google Scholar] [CrossRef]
- Huang, P.; Luan, J. Structure and photocatalytic performance of rice husk-like Ba-doped GaOOH under light irradiation. RSC Adv. 2019, 9, 19930–19939. [Google Scholar] [CrossRef]
- Yoon, Y.; Kim, S.; Lee, I.J.; Cho, B.J.; Hwang, W.S. Electrical and Photocurrent Properties of a Polycrystalline Sn-doped β-Ga2O3 Thin Film with a Thickness of 100 nm. Thin Solid Films 2019. under review. [Google Scholar]
- Lany, S. Defect phase diagram for doping of Ga2O3. APL Mater. 2018, 6, 046103. [Google Scholar] [CrossRef]
- Yu, W.; Jiang, K.; Wu, J.; Gan, J.; Zhu, M.; Hu, Z.; Chu, J. Electronic structures and excitonic transitions in nanocrystalline iron-doped tin dioxide diluted magnetic semiconductor films: An optical spectroscopic study. Phys. Chem. Chem. Phys. 2011, 13, 6211–6222. [Google Scholar] [CrossRef]
- Pethuraja, G.G.; Welser, R.E.; Sood, A.K.; Lee, C.; Alexander, N.J.; Efstathiadis, H.; Harvey, J.L. Effect of Ge incorporation on bandgap and photosensitivity of amorphous SiGe thin films. Mater. Sci. Appl. 2012, 3, 67–71. [Google Scholar] [CrossRef][Green Version]
- Jia, J.; Oka, N.; Kusayanagi, M.; Nakatomi, S.; Shigesato, Y. Origin of carrier scattering in polycrystalline Al-doped ZnO films. Appl. Phys. Express 2014, 7, 105802. [Google Scholar] [CrossRef]
- Tanemura, S.; Miao, L.; Jin, P.; Kaneko, K.; Terai, A.; Nabatova-Gabain, N. Optical properties of polycrystalline and epitaxial anatase and rutile TiO2 thin films by rf magnetron sputtering. Appl. Surf. Sci. 2003, 212, 654–660. [Google Scholar] [CrossRef]
- Mi, W.; Du, X.; Luan, C.; Xiao, H.; Ma, J. Electrical and optical characterizations of β-Ga2O3: Sn films deposited on MgO (110) substrate by MOCVD. RSC Adv. 2014, 4, 30579–30583. [Google Scholar] [CrossRef]
- Harwig, T.; Kellendonk, F. Some observations on the photoluminescence of doped β-galliumsesquioxide. J. Solid State Chem. 1978, 24, 255–263. [Google Scholar] [CrossRef]
- Nogales, E.; Méndez, B.; Piqueras, J. Cathodoluminescence from β-Ga2O3 nanowires. Appl. Phys. Lett. 2005, 86, 113112. [Google Scholar] [CrossRef]
- Shimamura, K.; Víllora, E.G.; Ujiie, T.; Aoki, K. Excitation and photoluminescence of pure and Si-doped β-Ga2O3 single crystals. Appl. Phys. Lett. 2008, 92, 201914. [Google Scholar] [CrossRef]
- Harwig, T.; Kellendonk, F.; Slappendel, S. The ultraviolet luminescence of β-galliumsesquioxide. J. Phys. Chem. Solids 1978, 39, 675–680. [Google Scholar] [CrossRef]
- Wang, B.; de Godoi, F.C.; Zheng, S.; Gentle, I.R.; Li, C. Enhanced photocatalytic properties of reusable TiO2-loaded natural porous minerals in dye wastewater purification. Powder Technol. 2016, 302, 426–433. [Google Scholar] [CrossRef]
- Ahmad, M.; Ahmed, E.; Hong, Z.L.; Iqbal, Z.; Khalid, N.R.; Abbas, T.; Ahmed, W. Structural, optical and photocatalytic properties of hafnium doped zinc oxide nanophotocatalyst. Ceram. Int. 2013, 39, 8693–8700. [Google Scholar] [CrossRef]
- Etacheri, V.; Roshan, R.; Kumar, V. Mg-doped ZnO nanoparticles for efficient sunlight-driven photocatalysis. ACS Appl. Mater. Interfaces 2012, 4, 2717–2725. [Google Scholar] [CrossRef]
- Ahmad, M.; Ahmed, E.; Zhang, Y.; Khalid, N.R.; Xu, J.; Ullah, M.; Hong, Z. Preparation of highly efficient Al-doped ZnO photocatalyst by combustion synthesis. Curr. Appl. Phys. 2013, 13, 697–704. [Google Scholar] [CrossRef]
- Khalid, N.R.; Ahmed, E.; Hong, Z.; Ahmad, M.; Zhang, Y.; Khalid, S. Cu-doped TiO2 nanoparticles/graphene composites for efficient visible-light photocatalysis. Ceram. Int. 2013, 39, 7107–7113. [Google Scholar] [CrossRef]
- Mousavi, M.; Habibi-Yangjeh, A.; Abitorabi, M. Fabrication of novel magnetically separable nanocomposites using graphitic carbon nitride, silver phosphate and silver chloride and their applications in photocatalytic removal of different pollutants using visible-light irradiation. J. Colloid Interface Sci. 2016, 480, 218–231. [Google Scholar] [CrossRef] [PubMed]
- Nasir, M.; Xi, Z.; Xing, M.; Zhang, J.; Chen, F.; Tian, B.; Bagwasi, S. Study of synergistic effect of Ce-and S-codoping on the enhancement of visible-light photocatalytic activity of TiO2. J. Phys. Chem. C 2013, 117, 9520–9528. [Google Scholar] [CrossRef]
- Zeghbroeck, B.V. Principles of Semiconductor Devices; University of Colorado: Boulder, CO, USA, 2007. [Google Scholar]
- Pirkanniemi, K.; Sillanpää, M. Heterogeneous water phase catalysis as an environmental application: A review. Chemosphere 2002, 48, 1047–1060. [Google Scholar] [CrossRef]
- Ouzzine, M.; Maciá-Agulló, J.A.; Lillo-Rodenas, M.A.; Quijada, C.; Linares-Solano, A. Synthesis of high surface area TiO2 nanoparticles by mild acid treatment with HCl or HI for photocatalytic propene oxidation. Appl. Catal. B 2014, 154, 285–293. [Google Scholar] [CrossRef]
- Houas, A.; Lachheb, H.; Ksibi, M.; Elaloui, E.; Guillard, C.; Herrmann, J.M. Photocatalytic degradation pathway of methylene blue in water. Appl. Catal. B 2001, 31, 145–157. [Google Scholar] [CrossRef]
- Yoon, H.; Joshi, B.N.; Na, S.H.; Choi, J.Y.; Yoon, S.S. Photodegradation of methylene blue of niobium-doped zinc oxide thin films produced by electrostatic spray deposition. Ceram. Int. 2014, 40, 7567–7571. [Google Scholar] [CrossRef]
- Wang, R.; Xin, J.H.; Yang, Y.; Liu, H.; Xu, L.; Hu, J. The characteristics and photocatalytic activities of silver doped ZnO nanocrystallites. Appl. Sur. Sci. 2004, 227, 312–317. [Google Scholar] [CrossRef]
- Rafaie, H.A.; Nor, R.M.; Azmina, M.S.; Ramli, N.I.T.; Mohamed, R. Decoration of ZnO microstructures with Ag nanoparticles enhanced the catalytic photodegradation of methylene blue dye. J. Environ. Chem. Eng. 2017, 5, 3963–3972. [Google Scholar] [CrossRef]
- Ahmed, M.A. Synthesis and structural features of mesoporous NiO/TiO2 nanocomposites prepared by sol–gel method for photodegradation of methylene blue dye. J. Photochem. Photobiol. A Chem. 2012, 238, 63–70. [Google Scholar] [CrossRef]
- Hsieh, S.H.; Ting, J.M. Characterization and photocatalytic performance of ternary Cu-doped ZnO/Graphene materials. Appl. Surf. Sci. 2018, 427, 465–475. [Google Scholar] [CrossRef]





© 2019 by the authors. Licensee MDPI, Basel, Switzerland. This article is an open access article distributed under the terms and conditions of the Creative Commons Attribution (CC BY) license (http://creativecommons.org/licenses/by/4.0/).
Share and Cite
Yoo, T.H.; Ryou, H.; Lee, I.G.; Cho, B.J.; Hwang, W.S. Enhanced Photocatalytic Activity of Electrospun β-Ga2O3 Nanofibers via In-Situ Si Doping Using Tetraethyl Orthosilicate. Catalysts 2019, 9, 1005. https://doi.org/10.3390/catal9121005
Yoo TH, Ryou H, Lee IG, Cho BJ, Hwang WS. Enhanced Photocatalytic Activity of Electrospun β-Ga2O3 Nanofibers via In-Situ Si Doping Using Tetraethyl Orthosilicate. Catalysts. 2019; 9(12):1005. https://doi.org/10.3390/catal9121005
Chicago/Turabian StyleYoo, Tae Hee, Heejoong Ryou, In Gyu Lee, Byung Jin Cho, and Wan Sik Hwang. 2019. "Enhanced Photocatalytic Activity of Electrospun β-Ga2O3 Nanofibers via In-Situ Si Doping Using Tetraethyl Orthosilicate" Catalysts 9, no. 12: 1005. https://doi.org/10.3390/catal9121005
APA StyleYoo, T. H., Ryou, H., Lee, I. G., Cho, B. J., & Hwang, W. S. (2019). Enhanced Photocatalytic Activity of Electrospun β-Ga2O3 Nanofibers via In-Situ Si Doping Using Tetraethyl Orthosilicate. Catalysts, 9(12), 1005. https://doi.org/10.3390/catal9121005

