Catalytic Oxidation Processes for the Upgrading of Terpenes: State-of-the-Art and Future Trends
Abstract
1. Introduction
2. Epoxidation of Terpenes
2.1. Using Homogeneous Complexes
2.1.1. Noble and Semi-Noble Metals
2.1.2. First-Row Metals
2.1.3. Post-Transition Metals
2.1.4. Miscellaneous Metals
2.2. Using Heterogeneous Complexes
2.2.1. Transition Metal–Free Catalysts
2.2.2. Noble and Semi-Noble Metals
2.2.3. First-Row Metals
2.2.4. Miscellaneous Metals
2.3. Catalysts Comparison and Conclusions
3. Allylic Oxidation of Terpenic Olefins
3.1. Using Homogeneous Complexes Based on Noble Metals
3.2. Using Heterogeneous Catalysts
3.2.1. Chromium-Based Catalysts
3.2.2. Noble Metals
3.2.3. First Row Transition Metals
3.3. Aqueous Suspensions of Ruthenium Nanoparticles
3.4. Conclusions
4. Conclusions and Perspectives
Funding
Acknowledgments
Conflicts of Interest
References and Note
- Berger, R.G. Flavours and Flagrances—Chemistry, Bioprocessing and Sustainability; Springer: Berlin/Heidelberg, Germany, 2007. [Google Scholar]
- Ciriminna, R.; Lomeli-Rodriguez, M.; Demma Cara, P.; Lopez-Sanchez, J.A.; Pagliaro, M. Limonene: A versatile chemical of the bioeconomy. Chem. Commun. 2014, 50, 15288–15296. [Google Scholar] [CrossRef]
- Surburg, H.; Panten, J. Common Fragrance and Flavor Materials: Preparation, Properties and Uses, 5th ed.; Wiley-VCH: Weinheim, Germany, 2006. [Google Scholar]
- Schwab, W.; Fuchs, C.; Huang, F.-C. Transformation of terpenes into fine chemicals. Eur. J. Lipid Sci. Technol. 2013, 115, 3–8. [Google Scholar] [CrossRef]
- Swift, K.A.D. Catalytic Transformations of the Major Terpene Feedstocks. Top. Catal. 2004, 27, 143–155. [Google Scholar] [CrossRef]
- Ravasio, N.; Zaccheria, F.; Guidotti, M.; Psaro, R. Mono- and Bifunctional Heterogeneous Catalytic Transformation of Terpenes and Terpenoids. Top. Catal. 2004, 27, 157–168. [Google Scholar] [CrossRef]
- Golets, M.; Ajaikumar, S.; Mikkola, J.-P. Catalytic Upgrading of Extractives to Chemicals: Monoterpenes to “EXICALS”. Chem. Rev. 2015, 115, 3141–3169. [Google Scholar] [CrossRef] [PubMed]
- Anastas, P.T.; Crabtree, R.H. Green Chemistry; Wiley-VCH: Weinheim, Germany, 2009. [Google Scholar]
- Busacca, C.A.; Fandrick, D.R.; Song, J.J.; Senanayake, C.H. The Growing Impact of Catalysis in the Pharmaceutical Industry. Adv. Synth. Catal. 2011, 353, 1825–1864. [Google Scholar] [CrossRef]
- Bicas, J.L.; Dionísio, A.P.; Pastore, G.M. Bio-oxidation of Terpenes: An Approach for the Flavor Industry. Chem. Rev. 2009, 109, 4518–4531. [Google Scholar] [CrossRef] [PubMed]
- Caovilla, M.; Caovilla, A.; Pergher, S.B.C.; Esmelindro, M.C.; Fernandes, C.; Dariva, C.; Bernardo-Gusmão, K.; Oestreicher, E.G.; Antunes, O.A.C. Catalytic oxidation of limonene, α-pinene and β-pinene by the complex [FeIII(BPMP)Cl(μ-O)FeIIICl3] biomimetic to MMO enzyme. Catal. Today 2008, 133, 695–698. [Google Scholar] [CrossRef]
- Robles-Dutenhefner, P.A.; Brandão, B.B.N.S.; De Sousa, L.F.; Gusevskaya, E.V. Solvent-free chromium catalyzed aerobic oxidation of biomass-based alkenes as a route to valuable fragrance compounds. Appl. Catal. A 2011, 399, 172–178. [Google Scholar] [CrossRef]
- Adolfsson, H. Transition metal-catalyzed epoxidation of alkenes. In Modern Oxidation Methods, 2nd ed.; Baeckvall, J.-E., Ed.; Wiley-VCH Verlag GmbH & Co. KGaA: Weinheim, Germany, 2010; pp. 37–84. [Google Scholar]
- Yudin, A.K. Aziridines and Epoxides in Organic Synthesis; Wiley-VCH Verlag GmbH & Co. KGaA: Weinheim, Germany, 2006. [Google Scholar]
- Gusevskaya, E.; Robles-Dutenhefner, P.A.; Ferreira, V.C.M.S. Palladium-catalyzed oxidation of bicyclic monoterpenes by hydrogen peroxide. Appl. Catal. A 1998, 174, 177–186. [Google Scholar] [CrossRef]
- De Oliveira, A.A.; Da Silva, M.L.; Da Silva, M.J. Palladium-Catalysed Oxidation of Bicycle Monoterpenes by Hydrogen Peroxide in Acetonitrile Solutions: A Metal Reoxidant-Free and Environmentally Benign Oxidative Process. Catal. Lett. 2009, 130, 424–431. [Google Scholar] [CrossRef]
- Yamazaki, S. An effective procedure for the synthesis of acid-sensitive epoxides: Use of 1-methylimidazole as the additive on methyltrioxorhenium-catalyzed epoxidation of alkenes with hydrogen peroxide. Org. Biomol. Chem. 2010, 8, 2377–2385. [Google Scholar] [CrossRef] [PubMed]
- Yamazaki, S. An efficient organic solvent-free methyltrioxorhenium-catalyzed epoxidation of alkenes with hydrogen peroxide. Tetrahedron 2008, 64, 9253–9257. [Google Scholar] [CrossRef]
- Egorova, K.S.; Ananikov, V.P. Toxicity of Metal Compounds: Knowledge and Myths. Organometallics 2017, 36, 4071–4090. [Google Scholar] [CrossRef]
- Manganese price in 2018 was 2.06 $/kg.
- Enghag, P. Encyclopedia of the Elements; Wiley-VCH Verlag GmbH & Co. KGaA: Weinheim, Germany, 2004. [Google Scholar]
- Cubillos, J.; Vásquez, S.; Montes de Correa, C. Salen manganese(III) complexes as catalysts for R-(+)-limonene oxidation. Appl. Catal. A 2010, 373, 57–65. [Google Scholar] [CrossRef]
- Dong, J.J.; Saisaha, P.; Meinds, T.G.; Alsters, P.L.; Ijpeij, E.G.; Van Summeren, R.P.; Mao, B.; Fañanás-Mastral, M.; De Boer, J.W.; Hage, R. Oxidation of Alkenes with H2O2 by an in-Situ Prepared Mn(II)/Pyridine-2-carboxylic Acid Catalyst and the Role of Ketones in Activating H2O2. ACS Catal. 2012, 2, 1087–1096. [Google Scholar] [CrossRef]
- Mandelli, D.; Kozlov, Y.N.; Da Silva, C.A.R.; Carvalho, W.A.; Pescarmona, P.P.; Cella, D.D.A.; De Paiva, P.T.; Shul’pin, G.B. Oxidation of olefins with H2O2 catalyzed by gallium(III) nitrate and aluminum(III) nitrate in solution. J. Mol. Catal. A 2016, 422, 216–220. [Google Scholar] [CrossRef]
- Novikov, A.S.; Kuznetsov, M.L.; Pombeiro, A.J.L.; Bokach, N.A.; Shul’pin, G.B. Generation of HO• Radical from Hydrogen Peroxide Catalyzed by Aqua Complexes of the Group III Metals [M(H2O)n]3+ (M = Ga, In, Sc, Y, or La): A Theoretical Study. ACS Catal. 2013, 3, 1195–1208. [Google Scholar] [CrossRef]
- Kon, Y.; Ono, Y.; Matsumoto, T.; Sato, K. An Effective Catalytic Epoxidation of Terpenes with Hydrogen Peroxide under Organic Solvent-Free Conditions. Synlett 2009, 2009, 1095–1098. [Google Scholar] [CrossRef]
- Clerici, M.G.; Kholdeeva, O.A. Liquid Phase Oxidation via Heterogeneous Catalysis: Organic Synthesis and Industrial Applications; Wiley: Hoboken, NJ, USA, 2013. [Google Scholar]
- Bonon, A.J.; Kozlov, Y.N.; Bahú, J.O.; Filho, R.M.; Mandelli, D.; Shul’pin, G.B. Limonene epoxidation with H2O2 promoted by Al2O3: Kinetic study, experimental design. J. Catal. 2014, 319, 71–86. [Google Scholar] [CrossRef]
- Cao, Y.; Li, Y.; Yu, H.; Peng, F.; Wang, H. Aerobic oxidation of -pinene catalyzed by carbon nanotubes. Catal. Sci. Technol. 2015, 5, 3935–3944. [Google Scholar] [CrossRef]
- Yu, N.; Ding, Y.; Lo, A.-Y.; Huang, S.-J.; Wu, P.-H.; Liu, C.; Yin, D.; Fu, Z.; Yin, D.; Hung, C.-T. Gold nanoparticles supported on periodic mesoporous organosilicas for epoxidation of olefins: Effects of pore architecture and surface modification method of the supports. Microporous Mesoporous Mater. 2011, 143, 426–434. [Google Scholar] [CrossRef]
- Betz, D.; Boland, W.; Hudson, A.; Jimenez-Aleman, G.H.; Kuhn, F.E. The Handbook of Reagents for Organic Synthesis: Catalytic Oxidation Reagents; Fuchs, P.L., Ed.; John Wiley & Sons Ltd.: Chichester, UK, 2013; Volumes 396–407. [Google Scholar]
- Zhou, M.-D.; Jain, K.R.; Günyar, A.; Baxter, P.N.W.; Herdtweck, E.; Kühn, F.E. Bidentate Lewis Base Adducts of Methyltrioxidorhenium(VII): Ligand Influence on Catalytic Performance and Stability. Eur. J. Inorg. Chem. 2009, 2009, 2907–2914. [Google Scholar] [CrossRef]
- Saladino, R.; Andreoni, A.; Neri, V.; Crestini, C. A novel and efficient catalytic epoxidation of olefins and monoterpenes with microencapsulated Lewis base adducts of methyltrioxorhenium. Tetrahedron 2005, 61, 1069–1075. [Google Scholar] [CrossRef]
- Abu-Dief, A.M.; Mohamed, I.M.A. A review on versatile applications of transition metal complexes incorporating Schiff bases. Beni-Suef Univ. J. Basic Appl. Sci. 2015, 4, 119–133. [Google Scholar] [CrossRef]
- Canali, L.C.; Sherrington, D. Utilisation of homogeneous and supported chiral metal(salen) complexes in asymmetric catalysis. Chem. Soc. Rev. 1999, 28, 85–93. [Google Scholar] [CrossRef]
- Saikia, L.; Srinivas, D.; Ratnasamy, P. Comparative catalytic activity of Mn(Salen) complexes grafted on SBA-15 functionalized with amine, thiol and sulfonic acid groups for selective aerial oxidation of limonene. Microporous Mesoporous Mater. 2007, 104, 225–235. [Google Scholar] [CrossRef]
- Oliveira, P.; Machado, A.; Ramos, A.M.; Fonseca, I.; Fernandes, F.M.B.; Rego, A.M.B.D.; Vital, J. MCM-41 anchored manganese salen complexes as catalysts for limonene oxidation. Microporous Mesoporous Mater. 2009, 120, 432–440. [Google Scholar] [CrossRef]
- Qi, Y.; Luan, Y.; Yu, J.; Peng, X.; Wang, G. Nanoscaled Copper Metal–Organic Framework (MOF) Based on Carboxylate Ligands as an Efficient Heterogeneous Catalyst for Aerobic Epoxidation of Olefins and Oxidation of Benzylic and Allylic Alcohols. Chem. Eur. J. 2015, 21, 1589–1597. [Google Scholar] [CrossRef]
- Lajunen, M.K. Co(II) catalysed oxidation of α-pinene by molecular oxygen: Part III. J. Mol. Catal. A 2001, 169, 33–40. [Google Scholar] [CrossRef]
- Patil, M.V.; Yadav, M.K.; Jasra, R.V. Catalytic epoxidation of α-pinene with molecular oxygen using cobalt (II)-exchanged zeolite Y-based heterogeneous catalysts. J. Mol. Catal. A 2007, 277, 72–80. [Google Scholar] [CrossRef]
- Islam, S.M.; Ghosh, K.; Molla, R.A.; Roy, A.S.; Salam, N.; Iqubal, M.A. Synthesis of a reusable polymer anchored cobalt(II) complex for the aerobic oxidation of alkyl aromatics and unsaturated organic compounds. J. Organomet. Chem. 2014, 774, 61–69. [Google Scholar] [CrossRef]
- Marino, D.; Gallegos, N.G.; Bengoa, J.F.; Alvarez, A.M.; Cagnoli, M.V.; Casuscelli, S.G.; Herrero, E.R.; Marchetti, S.G. Ti-MCM-41 catalysts prepared by post-synthesis methods: Limonene epoxidation with H2O2. Catal. Today 2008, 133, 632–638. [Google Scholar] [CrossRef]
- Rocha, G.M.S.R.O.; Domingues, R.M.A.; Simões, M.M.Q.; Silva, A.M.S. Catalytic activity of tetravalent metal phosphates and phosphonates on the oxidation of (+)-3-carene. Appl. Catal. A 2009, 353, 236–242. [Google Scholar] [CrossRef]
- Selvaraj, M.; Kawi, S.; Park, D.W.; Ha, C.S. A Merit Synthesis of Well-Ordered Two-Dimensional Mesoporous Niobium Silicate Materials with Enhanced Hydrothermal Stability and Catalytic Activity. J. Phys. Chem. C 2009, 113, 7743–7749. [Google Scholar] [CrossRef]
- Ivanchikova, I.D.; Maksimchuka, N.V.; Skobelev, I.Y.; Kaichev, V.V.; Kholdeeva, O.A. Mesoporous niobium-silicates prepared by evaporation-induced self-assembly as catalysts for selective oxidations with aqueous H2O2. J. Catal. 2015, 332, 138–148. [Google Scholar] [CrossRef]
- Sundaravel, B.; Babu, C.M.; Vinodh, R.; SeogCha, W.; Jang, H.-T. Synthesis of campholenic aldehyde from α-pinene using bi-functional PrAlPO-5 molecular sieves. J. Taiwan Instit. Chem. Eng. 2016, 63, 157–165. [Google Scholar] [CrossRef]
- Stekrova, M.; Kumar, N.; Mäki-Arvela, P.; Aho, A.; Linden, J.; Volcho, K.P.; Salakhutdinov, N.F.; Murzin, D.Y. Opening of monoterpene epoxide to a potent anti-Parkinson compound of para-menthane structure over heterogeneous catalysts. React. Kinet. Mech. Catal. 2013, 110, 449–458. [Google Scholar] [CrossRef]
- Prat, D.; Hayler, J.; Wells, A. A survey of solvent selection guides. Green Chem. 2014, 16, 4546–4551. [Google Scholar] [CrossRef]
- Mouret, A.; Leclercq, L.; Mühlbauer, A.; Nardello-Rataj, V. Eco-friendly solvents and amphiphilic catalytic polyoxometalate nanoparticles: A winning combination for olefin epoxidation. Green Chem. 2014, 16, 269–278. [Google Scholar] [CrossRef]
- Da Silva, J.M.D.S.; Vinhado, F.S.; Mandelli, D.; Schuchardt, U.; Rinaldi, R. The chemical reactivity of some terpenes investigated by alumina catalyzed epoxidation with hydrogen peroxide and by DFT calculations. J. Mol. Catal. A 2006, 252, 186–193. [Google Scholar] [CrossRef]
- Weidmann, V.; Maison, W. Allylic Oxidations of Olefins to Enones. Synthesis 2013, 45, 2201–2221. [Google Scholar]
- Gonçalves, J.A.; Bueno, A.C.; Gusevskaya, E.V. Palladium-catalyzed oxidation of monoterpenes: Highly selective syntheses of allylic ethers from limonene. J. Mol. Catal. A 2006, 252, 5–11. [Google Scholar] [CrossRef]
- Parreira, L.A.; Menini, L.; Gusevskaya, E.V. Palladium catalyzed oxidation of renewable terpenes with molecular oxygen: Oxidation of -bisabolol under chloride-free conditions. Catal. Sci. Technol. 2014, 4, 2016–2022. [Google Scholar] [CrossRef]
- Catino, A.J.; Forslund, R.E.; Doyle, M.P. Dirhodium (II) Caprolactamate: An Exceptional Catalyst for Allylic Oxidation. J. Am. Chem. Soc. 2004, 126, 13622–13623. [Google Scholar] [CrossRef]
- McLaughlin, E.C.; Choi, H.; Wang, K.; Chiou, G.; Doyle, M.P. Allylic Oxidations Catalyzed by Dirhodium Caprolactamate via Aqueous tert-Butyl Hydroperoxide: The Role of the tert-Butylperoxy Radical. J. Org. Chem. 2009, 74, 730–738. [Google Scholar] [CrossRef]
- Zalatan, D.N.; Du Bois, J. Understanding the Differential Performance of Rh2(esp)2 as a Catalyst for C−H Amination. J. Am. Chem. Soc. 2009, 131, 7558–7559. [Google Scholar] [CrossRef]
- Wang, Y.; Kuang, Y.; Wang, Y. Rh2(esp)2-catalyzed allylic and benzylic oxidations. Chem. Commun. 2015, 51, 5852–5855. [Google Scholar] [CrossRef]
- Kholdeeva, O.A. Liquid-phase selective oxidation catalysis with metal-organic frameworks. Catal. Today 2016, 278, 22–29. [Google Scholar] [CrossRef]
- Maksimchuk, N.V.; Kovalenko, K.A.; Fedin, V.P.; Kholdeeva, O.A. Heterogeneous Selective Oxidation of Alkenes to α,β- Unsaturated Ketones over Coordination Polymer MIL-101. Adv. Synth. Catal. 2010, 352, 2943–2948. [Google Scholar] [CrossRef]
- Selvaraj, M.; Kandaswamy, M.; Park, D.W.; Ha, C.S. Highly efficient and clean synthesis of verbenone over well ordered two-dimensional mesoporous chromium silicate catalysts. Catal. Today 2010, 158, 286–295. [Google Scholar] [CrossRef]
- Skobelev, I.Y.; Kovalenko, K.A.; Fedin, V.P.; Sorokin, A.B.; Kholdeeva, O.A. Allylic oxdation of alkenes with molecular oxygen catalyzed by porous coordination polymers Fe-MIL-101 and Cr-MIL-101. Kinet. Catal. 2013, 54, 607–614. [Google Scholar] [CrossRef]
- Skobelev, I.Y.; Sorokin, A.B.; Kovalenko, K.A.; Fedin, V.P.; Kholdeeva, O.A. Solvent-free allylic oxidation of alkenes with O2 mediated by Fe- and Cr-MIL-101. J. Catal. 2013, 298, 61–69. [Google Scholar] [CrossRef]
- Kholdeeva, O.A.; Skobelev, I.Y.; Ivanchikova, I.D.; Kovalenko, K.A.; Fedin, V.P.; Sorokin, A.B. Hydrocarbon oxidation over Fe- and Cr-containing metal-organic frameworks MIL-100 and MIL-101–a comparative study. Catal. Today 2014, 238, 54–61. [Google Scholar] [CrossRef]
- Godhani, D.R.; Nakum, H.D.; Parmar, D.K.; Mehta, J.P.; Desai, N.C. Zeolite Y encaged Ru(III) and Fe(III) complexes for oxidation of styrene, cyclohexene, limonene, and α-pinene: An eye-catching impact of H2SO4 on product selectivity. J. Mol. Catal. A 2017, 426, 223–237. [Google Scholar] [CrossRef]
- Ajaikumar, S.; Ahlkvist, J.; Larsson, W.; Shchukarev, A.; Leino, A.R.; Kordas, K.; Mikkola, J.P. Oxidation of α-pinene over gold containing bimetallic nanoparticles supported on reducible TiO2 by deposition-precipitation method. Appl. Catal. A 2011, 392, 11–18. [Google Scholar] [CrossRef]
- Młodzik, J.; Wróblewska, A.; Makuch, E.; Wróbel, R.J.; Michalkiewicz, B. Fe/EuroPh catalysts for limonene oxidation to 1,2-epoxylimonene, its diol, carveol, carvone and perillyl alcohol. Catal. Today 2016, 268, 111–120. [Google Scholar] [CrossRef]
- Becerra, J.-A.; González, L.-M.; Villa, A.-L. Kinetic study of α-pinene allylic oxidation over FePcCl16-NH2-SiO2 catalyst. J. Mol. Catal. A 2016, 423, 12–21. [Google Scholar] [CrossRef]
- Romanenko, E.P.; Taraban, E.A.; Tkachev, A.V. Catalytic oxidation of α-pinene with tert-butyl hydroperoxide in the presence of Fe-pillared montmorillonite. Russ. Chem. Bull. 2006, 55, 993–998. [Google Scholar] [CrossRef]
- Serra, S. MnO2/TBHP: A Versatile and User-Friendly Combination of Reagents for the Oxidation of Allylic and Benzylic Methylene Functional Groups. Eur. J. Org. Chem. 2015, 2015, 6472–6478. [Google Scholar] [CrossRef]
- Pal, P.; Pahari, S.K.; Giri, A.K.; Pal, S.; Bajaj, H.C.; Panda, A.B. Hierarchically order porous lotus shaped nano-structured MnO2 through MnCO3: Chelate mediated growth and shape dependent improved catalytic activity. J. Mater. Chem. A 2013, 1, 10251–10258. [Google Scholar] [CrossRef]
- Lajunen, M.; Koskinen, A.M.P. Co(II)-catalysed allylic oxidation of α-pinene by molecular oxygen; synthesis of verbenone. Tetrahedron Lett. 1994, 35, 4461–4464. [Google Scholar] [CrossRef]
- Lajunen, M.K.; Maunula, T.; Koskinen, A.M.P. Co(II) Catalysed Oxidation of α-Pinene by Molecular Oxygen. Part 2. Tetrahedron 2000, 56, 8167–8171. [Google Scholar] [CrossRef]
- Lajunen, M.K.; Myllykoski, M.; Asikkala, J. Co(II)-catalysed oxidation of α-pinene by molecular oxygen. J. Mol. Catal. A 2003, 198, 223–229. [Google Scholar] [CrossRef]
- Menini, L.; Pereira, M.C.; Parreira, L.A.; Fabris, J.D.; Gusevskaya, E.V. Cobalt- and manganese-substituted ferrites as efficient single-site heterogeneous catalysts for aerobic oxidation of monoterpenic alkenes under solvent-free conditions. J. Catal. 2008, 254, 355–364. [Google Scholar] [CrossRef]
- Maksimchuk, N.V.; Melgunov, M.S.; Chesalov, Y.A.; Mrowiec-Białoń, J.; Jarzębski, A.B.; Kholdeeva, O.A. AEROBIC OXIDATIONS of α-pinene over cobalt-substituted polyoxometalate supported on amino-modified mesoporous silicates. J. Catal. 2007, 246, 241–248. [Google Scholar] [CrossRef]
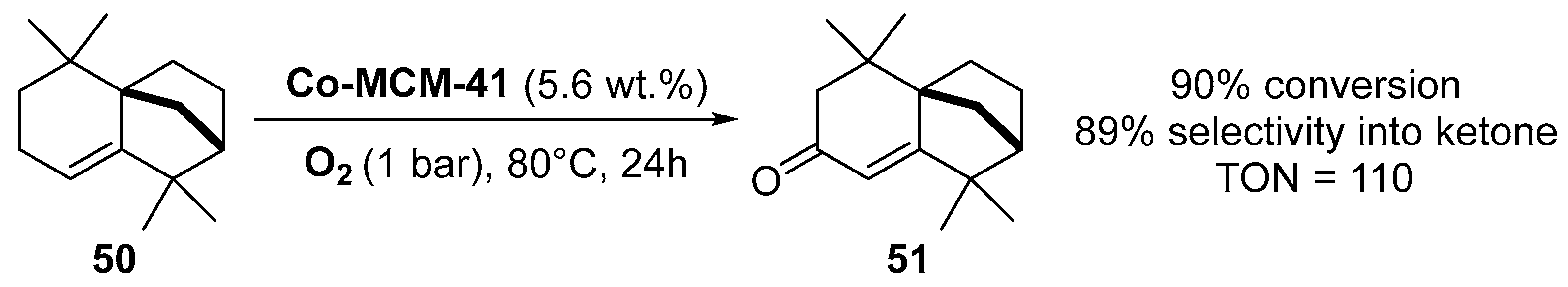
- Robles-Dutenhefner, P.A.; Da Silva Rocha, K.A.; Sousa, E.M.B.; Gusevskaya, E.V. Cobalt-catalyzed oxidation of terpenes: Co-MCM-41 as an efficient shape-selective heterogeneous catalyst for aerobic oxidation of isolongifolene under solvent-free conditions. J. Catal. 2009, 265, 72–79. [Google Scholar] [CrossRef]
- Li, J.; Li, Z.; Zi, G.; Yao, Z.; Luo, Z.; Wang, Y.; Xue, D.; Wang, B.; Wang, J. Synthesis, characterizations and catalytic allylic oxidation of limonene to carvone of cobalt doped mesoporous silica templated by reed leaves. Catal. Commun. 2015, 59, 233–237. [Google Scholar] [CrossRef]
- Islam, M.; Hossain, D.; Mondal, P.; Roy, A.S.; Mondal, S.; Mobarak, M. Selective oxidation of olefins catalyzed by polymer-anchored nickel(II) complex in water medium. Bull. Korean Chem. Soc. 2010, 31, 3765–3770. [Google Scholar] [CrossRef]
- Sun, X.; Zhao, X.; Jiang, Y.; Xu, B. Synthesis of (−)-3-Carene-2,5-dione via Allylic Oxidation of (+)-3-Carene. J. Chin. Chem. Soc. 2013, 60, 103–107. [Google Scholar] [CrossRef]
- García-Cabeza, A.L.; Marín-Barrios, R.; Moreno-Dorado, F.J.; Ortega, M.J.; Massanet, G.M.; Guerra, F.M. Allylic Oxidation of Alkenes Catalyzed by a Copper–Aluminum Mixed Oxide. Org. Lett. 2014, 16, 1598–1601. [Google Scholar] [CrossRef] [PubMed]
- Hartmann, M.; Kevan, L. Transition-Metal Ions in Aluminophosphate and Silicoaluminophosphate Molecular Sieves: Location, Interaction with Adsorbates and Catalytic Properties. Chem. Rev. 1999, 99, 635–664. [Google Scholar] [CrossRef] [PubMed]
- Timofeeva, M.N.; Hasan, Z.; Panchenko, V.N.; Prosvirin, I.P.; Jhung, S.H. Vanadium-containing nickel phosphate molecular sieves as catalysts for α-pinene oxidation with molecular oxygen: A study of the effect of vanadium content on activity and selectivity. J. Mol. Catal. A 2012, 363, 328–334. [Google Scholar] [CrossRef]
- Cánepa, A.L.; Chanquía, C.M.; Vaschetti, V.M.; Eimer, G.A.; Casuscelli, S.G. Biomass toward fine chemical products: Oxidation of α-pinene over sieves nanostructured modified with vanadium. J. Mol. Catal. A 2015, 404, 65–73. [Google Scholar] [CrossRef]
- Desai, N.C.; Chudasama, J.A.; Patel, B.Y.; Jadeja, K.A.; Karkar, T.J.; Mehta, J.P.; Godhani, D.R. Catalysis by the entangled complexes in matrix structure of zeolite-Y over α-pinene. Microporous Mesoporous Mater. 2017, 242, 245–255. [Google Scholar] [CrossRef]
- Casuscelli, S.G.; Eimer, G.A.; Canepa, A.; Heredia, A.C.; Poncio, C.E.; Crivello, M.E.; Perez, C.F.; Aguilar, A.; Herrero, E.R. Ti-MCM-41 as catalyst for α-pinene oxidation: Study of the effect of Ti content and H2O2 addition on activity and selectivity. Catal. Today 2008, 133, 678–683. [Google Scholar] [CrossRef]
- Astruc, D. Nanoparticles and Catalysis; Wiley-VCH Verlag GmbH & Co. KGaA: Weinheim, Germany, 2008. [Google Scholar]
- Lei, J.; Lu, X.-H.; Zhang, J.-L.; Wei, X.-L.; Zhou, D.; Xia, Q.-H. Epoxidation of mixed biolefins with air over nanosized Co3O4 assisted by ultrasonic waves. Indian J. Chem. 2013, 52A, 709–716. [Google Scholar]
- Genin, E.; Michelet, V. Water as Solvent and Solvent-free Reactions. In Green Process Engineering. From Concepts to Industrial Applications; Martine, P., Patrick, C., Gourdon, C., Eds.; CRC Press: New York, NY, USA, 2015; pp. 292–324. [Google Scholar]
- Simon, M.-O.; Li, C.-J. Green chemistry oriented organic synthesis in water. Chem. Soc. Rev. 2012, 41, 1415–1427. [Google Scholar] [CrossRef]
- Rauchdi, M.; Ait Ali, M.; Roucoux, A.; Denicourt-Nowicki, A. Novel access to verbenone via ruthenium nanoparticles-catalyzed oxidation of -pinene in neat water. Appl. Catal. A 2018, 550, 266–273. [Google Scholar] [CrossRef]
- Zviely, M. Molecule of the month: Nootkatone. Perfum. Flavorist 2009, 34, 20–22. [Google Scholar]
- Jordan, R.A.; Schulze, T.L.; Dolan, M.C. Efficacy of plant-derived and synthetic compounds on clothing as repellents against Ixodes scapularis and Amblyomma americanum. J. Med. Entomol. 2012, 49, 101–106. [Google Scholar] [CrossRef] [PubMed]
- Silvestre, A.J.D.; Gandini, A. Monomers, Polymers and Composites from Renewable Resources; Belgacem, M.N., Gandini, A., Eds.; Elsevier: Oxford, UK, 2008. [Google Scholar]
- Marín, F.R.; Soler-Rivas, C.; Benavente-García, O.; Castillo, J.; Pérez-Alvarez, J.A. By-products from different citrus processes as a source of customized functional fibers. Food Chem. 2007, 100, 736–741. [Google Scholar] [CrossRef]
- Corma, A.; Iborra, S.; Velty, A. Chemical Routes for the Transformation of Biomass into Chemicals. Chem. Rev. 2007, 107, 2411–2502. [Google Scholar] [CrossRef] [PubMed]


































| Entry | PdCl2 (mmol) | Initial H2O2 (mmol) | Conv. into Oxidation Products b (%) | Conv. into Other Products b,c (%) | Selectivity b (%) | ||
|---|---|---|---|---|---|---|---|
| 19 | 20 d | 21 | |||||
| 1 e | 0 | 3.0 | 10 | 8 | 10 | - | - |
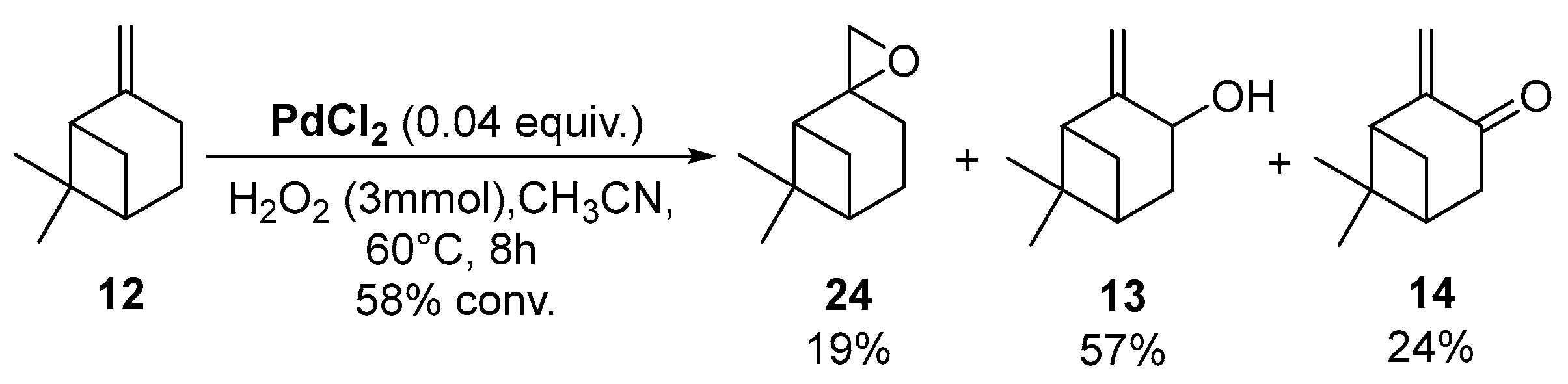
| 2 | 0.1 | 1.5 | 32 | 8 | 90 | 5 | 5 |
| 3 | 0.1 | 3.0 | 78 | 15 | 8 | 49 | 43 |
| 4 | 0.1 | 6.0 | 60 | 27 | 5 | 35 | 60 |
| 5 f | 0.3 | 3.0 | 86 | 11 | 2 | 67 | 31 |
| 6 f | 0.4 | 3.0 | 90 | 10 | 3 | 64 | 33 |
| Entry | Substrate | MTO (%) | Additive b | Solvent | Time (h) | Conv. (%) c | Epoxide | Yield (%) |
|---|---|---|---|---|---|---|---|---|
| 1 | ![]() | 0.2 | A | - d | 3 | >99 | ![]() | >99 |
| 2 | 0.2 | B | - d | 3 | 98 | 35 | ||
| 3 | ![]() | 0.1 | A | CH2Cl2 | 2 | >99 | ![]() | >99 |
| 4 | 0.1 | B | CH2Cl2 | 2 | >99 | 99 | ||
| 5 | 0.3 e | A | - d | 6 | >99 | >99 | ||
| 6 | 0.2 | A | CH2Cl2 | 2.5 | >99 | 94 | ||
| 7 | ![]() | 0.2 | A | CH2Cl2 | 4 | >99 | ![]() | 91 |
| 8 | ![]() | 0.2 | A | CH2Cl2 | 4 | >99 | ![]() | 91 |
| 9 f | ![]() | 0.2 | B | - d | 3 | 97 | ![]() | 83 g, 14 h |
| 10 f | 0.2 | B | CH2Cl2 | 8 | 100 | 1 g, 98 h |

| Entry | Catalyst | Conv. (%) | Product Selectivity b (%) | E/A c Ratio | |||
|---|---|---|---|---|---|---|---|
| Epoxide 5 | Verbenone 8 | Verbenol 32 | Verbenyl Hydroperoxide 33 | ||||
| 1 | Blank d | 10.3 | 24.5 | 11.7 | 15.0 | 40.4 | 0.9 |
| 2 | CNTs | 24.6 | 33.8 | 7.9 | 6.1 | 37.9 | 2.4 |
| 3 | NCNTs e | 54.5 | 37.8 | 14.1 | 17.5 | 15.3 | 1.2 |
| 4 | NCNTs f | 51.0 | 40.6 | 17.1 | 13.8 | 16.4 | 1.3 |
| 5 | NCNTs g | 61.4 | 41.1 | 18.7 | 13.4 | 15.9 | 1.3 |

| Entry | Catalyst b | Surface Area (m2·g−1) | Pore Size (nm) | NPs Size (nm) | Conv. c (%) | Selectivity (%) c | ||
|---|---|---|---|---|---|---|---|---|
| Epoxide | Allylic Oxidation Products | Others | ||||||
| 1 | AuNP@MSU-2.0 | 474 | 3.4 | 4.7–20 | 62 | 53 | 27 | 20 |
| 2 | AuNP@M41-2.1 | 366 | 2.2 | 2.1 | 73 | 81 | 14 | 5 |
| 3 | AuNP@S15-2.1 | 531 | 7.5 | 2.0 | 86 | 79 | 16 | 5 |
| 4 | AuNP@S15P-1.4 | 329 | 6.3 | 1.6 | 82 | 95 | 5 | - |
| Entry | Substrate | Catalyst b | Time (h) | Conversion (%) | Epoxide Yield (%) |
|---|---|---|---|---|---|
| 1 | ![]() | III | 0.5 | >98 | >98 |
| 2 | mIII | 0.5 | >98 | >98 | |
| 3 | ![]() | mII | 2.0 | 98 | 98 |
| 4 | III | 1.0 | 95 | 98 | |
| 5 | mIII | 2.5 | 96 | 98 | |
| 6 | ![]() | III | 1.0 | >98 | >98 |
| 7 | mIII | 1.0 | >98 | >98 |
| Entry | Catalyst | Conv. b (%) | TOF (h−1) | Selectivity (%) b | |||
|---|---|---|---|---|---|---|---|
| 6 c | 30 c | 25 c | Allylic Oxidation Products d | ||||
| 1 | “Neat” Mn(Salen)Cl | 69.2 | 7.0 | 74.2 | 7.2 | 6.2 | 12.4 |
| 2 | SBA-15-pr-NH2-Mn(Salen)Cl | 75.9 | 35.4 | 80.2 | 6.4 | 7.2 | 6.2 |
| 3 | SBA-15-pr-SO3H-Mn(Salen)Cl | 60 | 17.8 | 82.0 | 8.0 | 2.6 | 7.4 |
| 4 | SBA-15-pr-SH-Mn(Salen)Cl | 64.1 | 58.9 | 100 | 0 | 0 | 0 |
| Entry | Complex | Method | % MnICP b | Conv. c (%) | TOF (h−1) | Selectivity (%) c | ||
|---|---|---|---|---|---|---|---|---|
| Limonene Oxide 6 | Allylic Oxidation Products | Others | ||||||
| 1 | Mn(4-OHSalen) | OHTPS-DIC | 0.21 | 6.0 | 0.4 | 19.5 | 17.8 | 62.7 |
| 2 | Mn(4-OHSalhd) | OHTPS-DIC | 5.27 | 80.5 | 1.4 | 2.2 | 3.7 | 94.1 |
| 3 | Mn(4-OHSalhd) | DIC | 1.84 | 51.4 | 1.7 | 3.8 | 2.2 | 93 |
| 4 | Mn(4-OHSalophen) | OHTPS-DIC | 0.48 | 84.1 | 14.7 | 10.6 | 6.9 | 82.5 |
| 5 | Mn(4-OHSalophen) | DIC | 0.2 | 60.0 | 17.1 | 10.0 | 8.4 | 81.6 |
| Entry | Catalyst | Chemical Composition (on Dry Basis) | Conv. b(%) | TOF (h−1) | Selectivity (%) b | ||
|---|---|---|---|---|---|---|---|
| Epoxide 5 | Allylic Oxidation Products 8 + 32 | Trans-Carveol 17 | |||||
| 1 | NaCoY66 | Na10Co10Al30Si162O384 | 32 | 7.2 | 66 | 28 | 6 |
| 2 | NaCoY86 | Na4Co13Al30Si162O384 | 40 | 7.0 | 69 | 28 | 3 |
| 3 | NaCoY93 | Na2Co14Al30Si162O384 | 45 | 7.3 | 71 | 28 | 1 |
| 4 | NaKCoY33 | Na10Co5K10Al30Si162O384 | 34 | 17 | 62 | 31 | 7 |
| 5 | NaCsCoY20 | Na6Co3Cs18Al30Si162O384 | 47 | 49.1 | 61 | 32 | 7 |
| 6 | NaMgCoY33 | Na8Co8Mg3Al30Si162O384 | 43 | 12.5 | 61 | 31 | 8 |
| 7 | NaSrCoY33 | Na10Co5Sr5Al30Si162O384 | 41 | 18.0 | 60 | 30 | 10 |
| 8 | NaBaCoY26 | Na10Co4Ba6Al30Si162O384 | 48 | 23.9 | 62 | 30 | 8 |
| Entry | Catalyst | % TiO2 (w/w) | χL b (% max) | TOF c (h−1) | Efficiency H2O2 d | Product Selectivity e (%) | ||
|---|---|---|---|---|---|---|---|---|
| 6 + 30 f | 9 + 17 | Others g | ||||||
| 1 | WN1 | 1.8 | 50 | 3.4 | 68 | 46 | 34 | 20 |
| 2 | W1 | 7.3 | 48 | 0.9 | 59 | 50 | 31 | 19 |
| 3 | HT | 1.8 | 52 | 4.5 | 65 | 58 | 22 | 20 |

| Entry | Catalyst | Solvent | Conv. (%) | Selectivity (%) | ||
|---|---|---|---|---|---|---|
| 7 | 34 | 35 | ||||
| 1 | NaZrPA | AcOH | 31.6 | 61.4 | 38.3 | - |
| 2 | KZrPA | AcOH | 36.1 | 58.2 | 33.5 | - |
| 3 | NaZrPA | CH2Cl2/AcOH (1/1) | 57.5 | 58.3 | 20.7 | 7.9 |
| 4 | KZrPA | CH2Cl2/AcOH (1/1) | 50.4 | 48.3 | 21.5 | 16.1 |
| 5 | ScZrPA | CH2Cl2/CH3CN/AcOH (1/1/0.2) | 20.7 | 100 | - | - |
| 6 | ZrPPA | CH2Cl2/CH3CN/AcOH (1/1/0.2) | 14.6 | 100 | - | - |
| Entry | Substrate | Catalyst | Solvent | Time b (h) | Conv. c (%) | Epoxide Selectivity d (%) | Exo/Endo Ratio e |
|---|---|---|---|---|---|---|---|
| 1 | ![]() | A | CH3CN | 2 | 20 | >99 | - |
| 2 | B | CH3CN | 1 | 26 | >99 | - | |
| 4 | ![]() | A | CH3CN | 2 | 29 | 73 | n.d f |
| 5 | B | CH3CN | 2 | 28 | 71 | 2.7 | |
| 6 | B | MeOH | 2 | 12 | 90 | 0.5 | |
| 7 | B | Dimethyl carbonate | 2 | 10 | 43 | 2 |
| Entry | Substrate | Solvent | Selectivity b (%) | TOF0 (h−1) |
|---|---|---|---|---|
| 1 c | ![]() | CPME | 49 | 23.5 |
| 2-Me-THF | 51 | 30.0 | ||
| 2 c | ![]() | CPME | 43 | 35.4 |
| 2-Me-THF | 45 | 32.3 | ||
| 3 d | ![]() | CPME | 65 e | 53.0 |
| 2-Me-THF | 73 e | 61.0 | ||
| 4 d | ![]() | CPME | 68 | 56.2 |
| 2-Me-THF | 72 | 49.7 |

| Entry | [Pd] | PTSA (M) | T (°C) | Time (h) | Conv. b (%) | % 36 b | % 37 b |
|---|---|---|---|---|---|---|---|
| 1 | Pd(OAc)2 | 0.02 | 25 | 2 | 80 | 98 | - |
| 2 | Pd(OAc)2 | 0.04 | 25 | 2 | 94 | 97 | - |
| 3 | Pd(OAc)2 | 0.04 | 25 | 3 | 98 | 97 | - |
| 4 | Na2PdCl4 | 0.02 | 80 | 4 | 99 | 6 | 55 |
| 5 | Pd(acac)2 | 0.06 | 25 | 1 | 28 | 95 | - |
| 6 | Pd(acac)2 | 0.06 | 25 | 20 | 98 | 95 | - |

| Entry | [BQ] (mol·L−1) | [Cu(OAc)2] (mol·L−1) | T (°C) | Time (h) | Conv. (%) b | Selectivity b (%) | |||
|---|---|---|---|---|---|---|---|---|---|
| 39 | 40 | 41 | Total | ||||||
| 1 | 0.2 | None | 60 | 5 | 58 | 46 | 32 | 12 | 90 |
| 2 | 0.05 | 0.05 | 80 | 12 | 90 | 27 | 21 | 42 | 90 |
| 3 | 0.05 | 0.025 | 80 | 12 | 85 | 30 | 23 | 27 | 80 |
| 4 | 0.02 | 0.025 | 80 | 1 | 25 | 45 | 28 | 2 | 75 |
| 5 | 0.02 | 0.025 | 80 | 4 | 50 | 39 | 28 | 22 | 78 |
| 6 | 0.02 | 0.025 | 80 | 8 | 70 | 32 | 24 | 18 | 74 |
| 7 c | 0.02 | None | 80 | 7 | 80 | 38 | 24 | 18 | 80 |
![]() | ![]() | ||
| Entry | Substrate | Product | Yield b (%) |
| 1 | ![]() | ![]() | 78 |
| 2 | ![]() | ![]() | 71 |
| 3 C | ![]() | ![]() | 43 |
| 4 C | ![]() | ![]() | 60 |
| Entry | Catalyst | Cr (mmol) | Oxidant | Solvent | T (°C) | Conv. (%) | Enone Selectivity (%) | Ref. |
|---|---|---|---|---|---|---|---|---|
| 1 a | Cr-SBA15(8) | n.d. c | t-BHP | Chlorobenzene | 85 | 91.5 | 88.2 | [61] |
| 2 b | Cr-SBA15(8) | n.d. c | t-BHP | Chlorobenzene | 85 | 85.2 | 80.1 | [61] |
| 3 a | Cr-MIL-101 | 0.006 | t-BHP | Benzene | 50 | 87 | 89 | [62] |
| 4 b | Cr-MIL-101 | 0.006 | t-BHP | Benzene | 50 | 90 | 87 | [62] |
| 5 | Cr-MCM41 | 0.02 | O2 (1 bar) | Solventless | 60 | 40 | 26 | [12] |
| 6 | Cr-SiO2 | 0.02 | O2 (1 bar) | Solventless | 60 | 45 | 16 | [12] |
| 7 | Cr-MIL-101 | 0.1 | O2 (10 bar) | Solventless | 60 | 26 | 39 | [63] |
| Entry | Metal | Support | T (°C) | Conv. (%) | Product Selectivity (%) | ||
|---|---|---|---|---|---|---|---|
![]() | ![]() | ![]() | ![]() | ||||
| 1a | Cr | MIL-101 | 60 | 22 | 32 | 23 | 27 |
| 1b | Fe | MIL-101 | 40 | 13 | 57 | - | - |
| 1c | Cr | MIL-100 | 60 | 18 | 20 | 2 | 33 |
| 1d | Fe | MIL-100 | 40 | 12 | 64 | - | 10 |
![]() | ![]() | ![]() | ![]() | ||||
| 2a | Cr | MIL-101 | 60 | 26 | 31 | 39 | 8 |
| 2b | Fe | MIL-101 | 40 | 12 | 33 | - | 33 |
| 2c | Cr | MIL-100 | 60 | 20 | 15 | 30 | 9 |
| 2d | Fe | MIL-100 | 40 | 9 | 32 | - | 15 |
![]() | ![]() | ![]() | ![]() | ||||
| 3a | Cr | MIL-101 | 60 | 13 | 2 | 21 | 38 |
| 3b | Fe | MIL-101 | 40 | 6 | 16 | 12 | 35 |
| Entry | Catalyst | Conversion (%) b | Selectivity (%) b | ||
|---|---|---|---|---|---|
| Verbenone 8 | Verbenol 32 | Epoxide 5 | |||
| 1 | - | 62 | 21.6 | 12.8 | 19.2 |
| 2 | AuCu/TiO2 | 97 | 47.9 | 12.1 | 6.5 |
| 3 | AuCo/TiO2 | 88 | 28.2 | 13.2 | 6.3 |
| 4 | AuRu/TiO2 | 73 | 32.1 | 22.1 | 5.7 |
| 5 | Au/TiO2 | 78 | 24.6 | 17.5 | 4.6 |
| 6 | Cu/TiO2 | 80 | 22.8 | 8.8 | 8.5 |
| Entry | Fe Content (%) | Oxidant | Selectivity b (%) | ||||
|---|---|---|---|---|---|---|---|
| 9 (%) | 17 (%) | 48 (%) | 6 (%) | 31 (%) | |||
| 1 | 0.68 | H2O2 | 28 | - | 50 | - | 22 |
| 2 | 1.32 | H2O2 | 22 | - | 44 | - | 34 |
| 3 | 2.64 | H2O2 | - | - | 37 | - | 63 |
| 4 | 0.68 | t-BHP | 24 | - | 76 | - | - |
| 5 | 1.32 | t-BHP | 18 | 10 | 72 | - | - |
| 6 | 2.64 | t-BHP | - | - | 73 | 27 | - |
| Entry | Morphology | d(XRD) b (nm) | SBET c (m2 g−1) | Conversion d (%) | Selectivty e (%) |
|---|---|---|---|---|---|
| 1 | Lotus | 7 | 145 | 94 | 87 |
| 2 | Rods | 7.3 | 92 | 80 | 70 |
| 3 | Spheres | 7.5 | 109 | 86 | 79 |
| 4 | Agglomerates | 6.5 | 56.9 | 81 | 87.5 |
| 5 | Bulk | - | 3 | 64 | 59 |
| Entry | Substrate | Catalyst | Conversion b (%) | Sallyl b (%) | SEpox b (%) | TON c |
|---|---|---|---|---|---|---|
| 1a | ![]() | Co-Fe3O4 | 40 | 64 | 26 | 100 |
| 1b | Mn-Fe3O4 | 32 | 60 | 28 | 83 | |
| 2a | ![]() | Co-Fe3O4 | 37 | 95 | - | 103 |
| 2b | Mn-Fe3O4 | 30 | 94 | - | 78 | |
| 3a | ![]() | Co-Fe3O4 | 40 | 71 | 4 | 111 |
| 3b | Mn-Fe3O4 | 30 | 67 | 5 | 78 | |
| 4a | ![]() | Co-Fe3O4 | 40 | 47 | 34 | 111 |
| 4b | Mn-Fe3O4 | 38 | 48 | 33 | 98 |
| Entry | Catalyst | With 2-Methylpropanal at 25 °C b | Without 2-Methylpropanal at 50 °C | ||||
|---|---|---|---|---|---|---|---|
| Conv. (%) | Yield c (%) | Conv. (%) | Yield c (%) | ||||
| Campholenic Aldehyde | α-Pinene Epoxide | Verbenone | Verbenol | ||||
| 1 | Co-POM | 77 | 8 (10) | 67 (87) | 45 | 16 (36) | 11 (24) |
| 2 | Co-POM/NH2-SBA-15 | 95 | 15 (16) | 72 (76) | 46 | 12 (26) | 6 (13) |
| 3 | Co-POM/NH2-MCF | 96 d | 8 (8) | 90 (94) | 43 | 10 (23) | 6 (14) |
| Entry | Substrate | Conversion b (%) | Product (Selectivity %) b | TOF (h−1) |
|---|---|---|---|---|
| 1 | ![]() | 69 | Verbenone (76) Verbenol (24) | 205.4 |
| 2 | ![]() | 58 | Carvone (87) Carveol (12) | 172.6 |
| Entry | Catalyst | NLAS/NBAS (mol·mol−1) b | Conv. c (%) | Selectivity c (mol %) | |
|---|---|---|---|---|---|
| Epoxidation | Allylic Oxidation | ||||
| 1 | VSB-5 | 1.8 | 3 | 38 | 48 |
| 2 | 1.1% V-VSB-5 | 1.3 | 12 | 38 | 45 |
| 3 | 1.7% V-VSB-5 | 0.9 | 18 | 35 | 48 |
| Entry | Catalyst | Conv. b (%) | H2O2 Conv. c (mol %) | H2O2 Efficiency d (mol %) | Selectivity e (%) | ||||
|---|---|---|---|---|---|---|---|---|---|
![]() | ![]() | ![]() | ![]() | ![]() | |||||
| 1 | V-M(20) | 10 | 91.3 | 38.3 | 33.7 | 12.2 | 21.8 | 4.1 | 9.1 |
| 2 | V-M(60) | 12.8 | 84.5 | 53.2 | 13.4 | 15.9 | 36.3 | 11.4 | 7.8 |
| 3 | V-M(240) | 11.4 | 79.7 | 57.2 | 24.1 | 3.7 | 5.3 | 14.1 | 46.0 |
© 2019 by the authors. Licensee MDPI, Basel, Switzerland. This article is an open access article distributed under the terms and conditions of the Creative Commons Attribution (CC BY) license (http://creativecommons.org/licenses/by/4.0/).
Share and Cite
Denicourt-Nowicki, A.; Rauchdi, M.; Ait Ali, M.; Roucoux, A. Catalytic Oxidation Processes for the Upgrading of Terpenes: State-of-the-Art and Future Trends. Catalysts 2019, 9, 893. https://doi.org/10.3390/catal9110893
Denicourt-Nowicki A, Rauchdi M, Ait Ali M, Roucoux A. Catalytic Oxidation Processes for the Upgrading of Terpenes: State-of-the-Art and Future Trends. Catalysts. 2019; 9(11):893. https://doi.org/10.3390/catal9110893
Chicago/Turabian StyleDenicourt-Nowicki, Audrey, Mariem Rauchdi, Mustapha Ait Ali, and Alain Roucoux. 2019. "Catalytic Oxidation Processes for the Upgrading of Terpenes: State-of-the-Art and Future Trends" Catalysts 9, no. 11: 893. https://doi.org/10.3390/catal9110893
APA StyleDenicourt-Nowicki, A., Rauchdi, M., Ait Ali, M., & Roucoux, A. (2019). Catalytic Oxidation Processes for the Upgrading of Terpenes: State-of-the-Art and Future Trends. Catalysts, 9(11), 893. https://doi.org/10.3390/catal9110893





















































