Highly Active Catalysts Based on the Rh4(CO)12 Cluster Supported on Ce0.5Zr0.5 and Zr Oxides for Low-Temperature Methane Steam Reforming
Abstract
1. Introduction
2. Results
2.1. Preparation and Characterization of the Supported Catalysts
2.2. Catalytic Tests on Cluster-Derived Catalysts
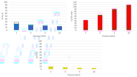
2.2.1. Cluster-Based Catalyst with High Rh Loading
2.2.2. Catalytic Tests with Low Rh Loading
- Rh0.05-CL-N-CZOm (the cluster-based catalyst deposited on CZOm was heated under nitrogen before the tests).
- Rh0.05-CL-R-CZOm (like the previous catalyst, also treated under H2).
- Rh0.05-CL-N-ZOm (the cluster-based catalyst deposited on ZOm was heated under nitrogen before the tests).
- Rh0.05-CL-R-ZOm (like the previous catalyst, also treated under H2).
2.2.3. Investigation on Deactivation
3. Materials and Methods
3.1. Catalysts Synthesis
3.2. Catalyst Characterization
3.3. Catalytic Tests
4. Conclusions
Author Contributions
Funding
Acknowledgments
Conflicts of Interest
References
- Rostrup-Nielsen, J.R. Catalytic Steam Reforming. In Catalysis: Science and Technology; Anderson, J.R., Boudart, M., Eds.; Catalysis; Springer: Berlin/Heidelberg, Germany, 1984; Volume 5, pp. 1–117. ISBN 978-3-642-93247-2. [Google Scholar]
- Rostrup-Nielsen, J.R.; Christiansen, L.J.; Bak Hansen, J.-H. Activity of steam reforming catalysts: Role and assessment. Appl. Catal. 1988, 43, 287–303. [Google Scholar] [CrossRef]
- Trimm, D.L. The Steam Reforming of Natural Gas: Problems and Some Solutions. In Studies in Surface Science and Catalysis; Bibby, D.M., Chang, C.D., Howe, R.F., Yurchak, S., Eds.; Methane Conversion; Elsevier: Amsterdam, The Netherlands, 1988; Volume 36, pp. 39–50. [Google Scholar]
- El-Temtamy, S.A.; El-Salamony, R.A.; Ghoneim, S.A. Review on Innovative Catalytic Reforming of Natural Gas to Syngas. World J. Eng. Technol. 2016, 4, 720–726. [Google Scholar]
- Taji, M.; Farsi, M.; Keshavarz, P. Real time optimization of steam reforming of methane in an industrial hydrogen plant. Int. J. Hydrog. Energy 2018, 43, 13110–13121. [Google Scholar] [CrossRef]
- Azancot, L.; Bobadilla, L.F.; Santos, J.L.; Córdoba, J.M.; Centeno, M.A.; Odriozola, J.A. Influence of the preparation method in the metal-support interaction and reducibility of Ni-Mg-Al based catalysts for methane steam reforming. Int. J. Hydrog. Energy 2019, 44, 19827–19840. [Google Scholar] [CrossRef]
- Berlier, G. Low Temperature Steam Reforming Catalysts for Enriched Methane Production. In Enriched Methane: The First Step Towards the Hydrogen Economy; De Falco, M., Basile, A., Eds.; Green Energy and Technology; Springer International Publishing: Cham, Switzerland, 2016; pp. 53–74. ISBN 978-3-319-22192-2. [Google Scholar]
- Dincer, I.; Acar, C. Review and evaluation of hydrogen production methods for better sustainability. Int. J. Hydrog. Energy 2015, 40, 11094–11111. [Google Scholar] [CrossRef]
- Yoko, A.; Fukushima, Y.; Shimizu, T.; Kikuchi, Y.; Shimizu, T.; Guzman-Urbina, A.; Ouchi, K.; Hirai, H.; Seong, G.; Tomai, T.; et al. Process assessments for low-temperature methane reforming using oxygen carrier metal oxide nanoparticles. Chem. Eng. Process. Process Intensif. 2019, 142, 107531. [Google Scholar] [CrossRef]
- LeValley, T.L.; Richard, A.R.; Fan, M. The progress in water gas shift and steam reforming hydrogen production technologies–A review. Int. J. Hydrog. Energy 2014, 39, 16983–17000. [Google Scholar] [CrossRef]
- Kim, H.-M.; Jang, W.-J.; Yoo, S.-Y.; Shim, J.-O.; Jeon, K.-W.; Na, H.-S.; Lee, Y.-L.; Jeon, B.-H.; Bae, J.W.; Roh, H.-S. Low temperature steam reforming of methane using metal oxide promoted Ni-Ce0.8Zr0.2O2 catalysts in a compact reformer. Int. J. Hydrog. Energy 2018, 43, 262–270. [Google Scholar] [CrossRef]
- Stefanidis, G.D.; Vlachos, D.G. High vs. low temperature reforming for hydrogen production via microtechnology. Chem. Eng. Sci. 2009, 64, 4856–4865. [Google Scholar] [CrossRef]
- Iulianelli, A.; Liguori, S.; Wilcox, J.; Basile, A. Advances on methane steam reforming to produce hydrogen through membrane reactors technology: A review. Catal. Rev. 2016, 58, 1–35. [Google Scholar] [CrossRef]
- Mendes, D.; Mendes, A.; Madeira, L.M.; Iulianelli, A.; Sousa, J.M.; Basile, A. The water-gas shift reaction: From conventional catalytic systems to Pd-based membrane reactors—A review. Asia-Pac. J. Chem. Eng. 2010, 5, 111–137. [Google Scholar] [CrossRef]
- Basile, F.; Fasolini, A.; Lombardi, E. CHAPTER 7 Membrane Processes for Pure Hydrogen Production from Biomass. In Membrane Engineering for the Treatment of Gases: Volume 2: Gas-Separation Issues Combined with Membrane Reactors (2); The Royal Society of Chemistry: Cambridge, UK, 2018; Volume 2, pp. 212–246. ISBN 978-1-78262-875-0. [Google Scholar]
- Basile, F.; Fornasari, G.; Gazzano, M.; Vaccari, A. Rh, Ru and Ir catalysts obtained by HT precursors: Effect of the thermal evolution and composition on the material structure and use. J. Mater. Chem. 2002, 12, 3296–3303. [Google Scholar] [CrossRef]
- Wang, S.; Lu, G.Q.; Millar, G.J. Carbon Dioxide Reforming of Methane to Produce Synthesis Gas over Metal-Supported Catalysts: State of the Art. Energy Fuels 1996, 10, 896–904. [Google Scholar] [CrossRef]
- Hernandez, A.D.; Kaisalo, N.; Simell, P.; Scarsella, M. Effect of H2S and thiophene on the steam reforming activity of nickel and rhodium catalysts in a simulated coke oven gas stream. Appl. Catal. B Environ. 2019, 258, 117977. [Google Scholar] [CrossRef]
- Qi, A.; Wang, S.; Ni, C.; Wu, D. Autothermal reforming of gasoline on Rh-based monolithic catalysts. Int. J. Hydrog. Energy 2007, 32, 981–991. [Google Scholar] [CrossRef]
- Wang, Y.; Chin, Y.H.; Rozmiarek, R.T.; Johnson, B.R.; Gao, Y.; Watson, J.; Tonkovich, A.Y.L.; Vander Wiel, D.P. Highly active and stable Rh/MgOAl2O3 catalysts for methane steam reforming. Catal. Today 2004, 98, 575–581. [Google Scholar] [CrossRef]
- Kikuchi, E.; Tanaka, S.; Yamazaki, Y.; Morita, Y. Steam Reforming of Hydrocarbons on Noble Metal Catalysts (Part 1). Bull. Jpn. Pet. Inst. 1974, 16, 95–98. [Google Scholar] [CrossRef][Green Version]
- Martinengo, S.; Chini, P.; Giordano, G. Improved synthesis of dodecacarbonyltetrarhodium at atmospheric pressure. J. Organomet. Chem. 1971, 27, 389–391. [Google Scholar] [CrossRef]
- Ojima, I.; Donovan, R.J.; Clos, N. Rhodium and cobalt carbonyl clusters Rh4 (CO) 12, Co2Rh2 (CO) 12, and Co3Rh (CO) 12 as effective catalysts for hydrosilylation of isoprene, cyclohexanone, and cyclohexenone. Organometallics 1991, 10, 2606–2610. [Google Scholar] [CrossRef]
- Li, C.; Widjaja, E.; Garland, M. Rh4 (CO) 12-catalyzed hydroformylation of cyclopentene promoted with HMn (CO) 5. Another example of Rh4 (CO) 12/HMn (CO) 5 bimetallic catalytic binuclear elimination. Organometallics 2004, 23, 4131–4138. [Google Scholar] [CrossRef]
- Basini, L.; Guarinoni, A.; Aragno, A. Molecular and Temperature Aspects in Catalytic Partial Oxidation of Methane. J. Catal. 2000, 190, 284–295. [Google Scholar] [CrossRef]
- Grunwaldt, J.-D.; Basini, L.; Clausen, B.S. In Situ EXAFS Study of Rh/Al2O3 Catalysts for Catalytic Partial Oxidation of Methane. J. Catal. 2001, 200, 321–329. [Google Scholar] [CrossRef]
- Basini, L.; Marchionna, M.; Aragno, A. Drift and mass spectroscopic studies on the reactivity of rhodium clusters at the surface of polycrystalline oxides. J. Phys. Chem. 1992, 96, 9431–9441. [Google Scholar] [CrossRef]
- Basile, F.; Mafessanti, R.; Fasolini, A.; Fornasari, G.; Lombardi, E.; Vaccari, A. Effect of synthetic method on CeZr support and catalytic activity of related Rh catalyst in the oxidative reforming reaction. J. Eur. Ceram. Soc. 2019, 39, 41–52. [Google Scholar] [CrossRef]
- Xu, Y.; Harimoto, T.; Wang, L.; Hirano, T.; Kunieda, H.; Hara, Y.; Miyata, Y. Effect of steam and hydrogen treatments on the catalytic activity of pure Ni honeycomb for methane steam reforming. Chem. Eng. Process. -Process Intensif. 2018, 129, 63–70. [Google Scholar] [CrossRef]
- Iglesias, I.; Baronetti, G.; Alemany, L.; Mariño, F. Insight into Ni/Ce1−xZrxO2−δ support interplay for enhanced methane steam reforming. Int. J. Hydrog. Energy 2019, 44, 3668–3680. [Google Scholar] [CrossRef]
- Goula, M.A.; Charisiou, N.D.; Siakavelas, G.; Tzounis, L.; Tsiaoussis, I.; Panagiotopoulou, P.; Goula, G.; Yentekakis, I.V. Syngas production via the biogas dry reforming reaction over Ni supported on zirconia modified with CeO2 or La2O3 catalysts. Int. J. Hydrog. Energy 2017, 42, 13724–13740. [Google Scholar] [CrossRef]
- Tabanelli, T.; Paone, E.; Blair Vásquez, P.; Pietropaolo, R.; Cavani, F.; Mauriello, F. Transfer Hydrogenation of Methyl and Ethyl Levulinate Promoted by a ZrO2 Catalyst: Comparison of Batch vs Continuous Gas-Flow Conditions. ACS Sustain. Chem. Eng. 2019, 7, 9937–9947. [Google Scholar] [CrossRef]
- Chuah, G.K. An investigation into the preparation of high surface area zirconia. Catal. Today 1999, 49, 131–139. [Google Scholar] [CrossRef]
- Chuah, G.K.; Jaenicke, S.; Cheong, S.A.; Chan, K.S. The influence of preparation conditions on the surface area of zirconia. Appl. Catal. A Gen. 1996, 145, 267–284. [Google Scholar] [CrossRef]
- Srinivasan, R.; Harris, M.B.; Simpson, S.F.; Angelis, R.J.D.; Davis, B.H. Zirconium oxide crystal phase: The role of the pH and time to attain the final pH for precipitation of the hydrous oxide. J. Mater. Res. 1988, 3, 787–797. [Google Scholar] [CrossRef]
- Song, W.; Popa, C.; Jansen, A.P.J.; Hensen, E.J.M. Formation of a Rhodium Surface Oxide Film in Rhn/CeO2(111) Relevant for Catalytic CO Oxidation: A Computational Study. J. Phys. Chem. C 2012, 116, 22904–22915. [Google Scholar] [CrossRef]
- Velasquez, M.; Batiot-Dupeyrat, C.; Gallego, J.; Santamaria, A. Chemical and morphological characterization of multi-walled-carbon nanotubes synthesized by carbon deposition from an ethanol–glycerol blend. Diam. Relat. Mater. 2014, 50, 38–48. [Google Scholar] [CrossRef]
- Charisiou, N.D.; Tzounis, L.; Sebastian, V.; Hinder, S.J.; Baker, M.A.; Polychronopoulou, K.; Goula, M.A. Investigating the correlation between deactivation and the carbon deposited on the surface of Ni/Al2O3 and Ni/La2O3-Al2O3 catalysts during the biogas reforming reaction. Appl. Surf. Sci. 2019, 474, 42–56. [Google Scholar] [CrossRef]
- Carrero, A.; Calles, J.; Vizcaíno, A. Effect of Mg and Ca addition on coke deposition over Cu–Ni/SiO2 catalysts for ethanol steam reforming. Chem. Eng. J. 2010, 163, 395–402. [Google Scholar] [CrossRef]
- Galetti, A.E.; Gomez, M.F.; Arrúa, L.A.; Abello, M.C. Hydrogen production by ethanol reforming over NiZnAl catalysts: Influence of Ce addition on carbon deposition. Appl. Catal. A Gen. 2008, 348, 94–102. [Google Scholar] [CrossRef]
- Fornasiero, P.; Kašpar, J.; Sergo, V.; Graziani, M. Redox Behavior of High-Surface-Area Rh-, Pt-, and Pd-Loaded Ce0.5Zr0.5O2Mixed Oxide. J. Catal. 1999, 182, 56–69. [Google Scholar] [CrossRef]
- Mamontov, E.; Brezny, R.; Koranne, M.; Egami, T. Nanoscale Heterogeneities and Oxygen Storage Capacity of Ce0.5Zr0.5O2. J. Phys. Chem. B 2003, 107, 13007–13014. [Google Scholar] [CrossRef]
- Lemaux, S.; Bensaddik, A.; van der Eerden, A.M.J.; Bitter, J.H.; Koningsberger, D.C. Understanding of Enhanced Oxygen Storage Capacity in Ce0.5Zr0.5O2: The Presence of an Anharmonic Pair Distribution Function in the Zr−O2 Subshell as Analyzed by XAFS Spectroscopy. J. Phys. Chem. B 2001, 105, 4810–4815. [Google Scholar] [CrossRef]
- Luo, M.-F.; Zheng, X.-M. Redox behaviour and catalytic properties of Ce0.5Zr0.5O2-supported palladium catalysts. Appl. Catal. A Gen. 1999, 189, 15–21. [Google Scholar] [CrossRef]
- Ligthart, D.; Van Santen, R.; Hensen, E. Influence of particle size on the activity and stability in steam methane reforming of supported Rh nanoparticles. J. Catal. 2011, 280, 206–220. [Google Scholar] [CrossRef]
- Kusakabe, K.; Sotowa, K.-I.; Eda, T.; Iwamoto, Y. Methane steam reforming over Ce–ZrO2-supported noble metal catalysts at low temperature. Fuel Process. Technol. 2004, 86, 319–326. [Google Scholar] [CrossRef]
- Angeli, S.D.; Turchetti, L.; Monteleone, G.; Lemonidou, A.A. Catalyst development for steam reforming of methane and model biogas at low temperature. Appl. Catal. B Environ. 2016, 181, 34–46. [Google Scholar] [CrossRef]
- Fasolini, A.; Abate, S.; Barbera, D.; Centi, G.; Basile, F. Pure H2 production by methane oxy-reforming over Rh-Mg-Al hydrotalcite-derived catalysts coupled with a Pd membrane. Appl. Catal. A Gen. 2019, 581, 91–102. [Google Scholar] [CrossRef]





















| Surface Area (m2/g) | Pore Vol. (cm3/g) | Avg. Pore Diam (nm) | |
|---|---|---|---|
| CZOm | 48.8 | 0.08 | 5.8 |
| ZOm | 40.7 | 0.07 | 10.8 |
| Catalyst | T (°C) | S/C | GHSV (h−1) | P (atm) | TOF [molCH4/(molRh*s)] |
|---|---|---|---|---|---|
| Rh0.05-CL-N-ZOm | 500 | 1.5 | 30,000 | 1 | 1.47 |
| Rh0.05-CL-R-ZOm | 500 | 1.5 | 30,000 | 1 | 0.70 |
| Rh0.05-CL-N-CZOm | 500 | 1.5 | 30,000 | 1 | 1.32* |
| Rh0.05-CL-R-CZOm | 500 | 1.5 | 30,000 | 1 | 0.73* |
© 2019 by the authors. Licensee MDPI, Basel, Switzerland. This article is an open access article distributed under the terms and conditions of the Creative Commons Attribution (CC BY) license (http://creativecommons.org/licenses/by/4.0/).
Share and Cite
Fasolini, A.; Ruggieri, S.; Femoni, C.; Basile, F. Highly Active Catalysts Based on the Rh4(CO)12 Cluster Supported on Ce0.5Zr0.5 and Zr Oxides for Low-Temperature Methane Steam Reforming. Catalysts 2019, 9, 800. https://doi.org/10.3390/catal9100800
Fasolini A, Ruggieri S, Femoni C, Basile F. Highly Active Catalysts Based on the Rh4(CO)12 Cluster Supported on Ce0.5Zr0.5 and Zr Oxides for Low-Temperature Methane Steam Reforming. Catalysts. 2019; 9(10):800. https://doi.org/10.3390/catal9100800
Chicago/Turabian StyleFasolini, Andrea, Silvia Ruggieri, Cristina Femoni, and Francesco Basile. 2019. "Highly Active Catalysts Based on the Rh4(CO)12 Cluster Supported on Ce0.5Zr0.5 and Zr Oxides for Low-Temperature Methane Steam Reforming" Catalysts 9, no. 10: 800. https://doi.org/10.3390/catal9100800
APA StyleFasolini, A., Ruggieri, S., Femoni, C., & Basile, F. (2019). Highly Active Catalysts Based on the Rh4(CO)12 Cluster Supported on Ce0.5Zr0.5 and Zr Oxides for Low-Temperature Methane Steam Reforming. Catalysts, 9(10), 800. https://doi.org/10.3390/catal9100800

