Electrochemical Analysis of Aqueous Benzalkonium Chloride Micellar Solution and Its Mediated Electrocatalytic De-Chlorination Application
Abstract
1. Introduction
2. Results and Discussion
2.1. Selection of Redox Couple
2.2. cmc and Solubilization Constant Evaluation of BKC by CV using [Co(II)(bpy)3]2+/[Co(III)(bpy)3]3+ Redox Couple
2.3. Partition Coefficient and Association Constant by Diffusion Coefficient of the Co(II)/Co(III) Redox Couple
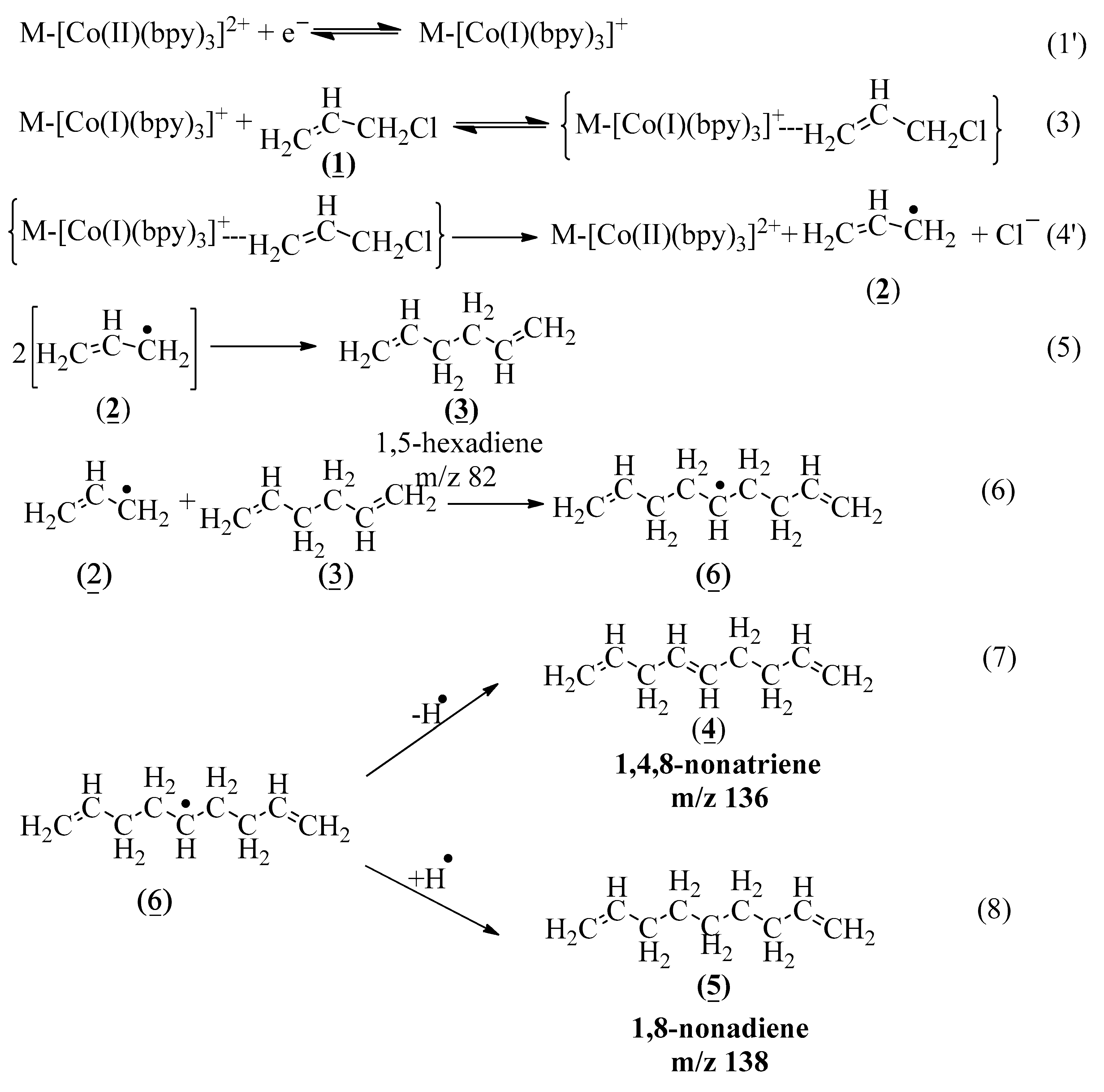
2.4. BKC Effect on Catalysis by Product Analysis
3. Material and methods
3.1. Chemicals
3.2. Electrochemical Studies
4. Conclusions
Author Contributions
Funding
Conflicts of Interest
References
- Mc Cay, P.H.; Ocampo-Sosa, A.A.; Fleming, G.T.A. Effect of subinhibitory concentrations of benzalkonium chloride on the competitiveness of Pseudomonas aeruginosa grown in continuous culture. Microbiology 2010, 156, 30–38. [Google Scholar] [CrossRef] [PubMed]
- Thorrold, C.A.; Letsoalo, M.E.; Dusé, A.G.; Marais, E. Efflux pump activity in fluoroquinolone and tetracycline resistant Salmonella and E. coli implicated in reduced susceptibility to household antimicrobial cleaning agents. Int. J. Food Microbiol. 2007, 113, 315–320. [Google Scholar] [CrossRef] [PubMed]
- Guo, L.; Zhu, S.; Zhang, S. Experimental and theoretical studies of benzalkonium chloride as an inhibitor for carbon steel corrosion in sulfuric acid. J. Ind. Eng. Chem. 2015, 24, 174–180. [Google Scholar] [CrossRef]
- Tamborini, L.H.; Casco, M.E.; Militello, M.P.; Silvestre-Albero, J.; Barbero, C.A.; Acevedo, D.F. Successful application of a commercial cationic surfactant mixture (benzalkonium chloride) as porosity stabilizer in porous carbons fabrication. Colloids Surf. A 2016, 509, 449–456. [Google Scholar] [CrossRef]
- Ohta, K.; Kawamoto, M.; Mizuno, T.; Lowy, D.A. Electrochemical reduction of carbon dioxide in methanol at ambient temperature and pressure. J. Appl. Electrochem. 1998, 28, 717–724. [Google Scholar] [CrossRef]
- Naitoh, A.; Ohta, K.; Mizuno, T.; Yoshida, H.; Sakai, M.; Noda, H. Electrochemical reduction of carbon dioxide in methanol at low temperature. Electrochim. Acta 1993, 38, 2177–2179. [Google Scholar] [CrossRef]
- Parr, A.C.S.; Smith, M.J.; Beveridge, C.M.; Kerr, A.; Cowling, M.J.; Hodgkiess, T. Optical assessment of a fouling-resistant surface (PHEMA/ benzalkonium chloride) after exposure to a marine environment. Adv. Mater. Opt. Electr. 1998, 8, 187–193. [Google Scholar] [CrossRef]
- Cowling, M.J. Marine Sciences and Technologies; Weydert, M., Ed.; European Commission: Luxembourg, 1995; Volume 2, pp. 1045–1058. [Google Scholar]
- Smith, T.J.; Wang, C.; Abbott, N.L. Influence of Self-Assembling Redox Mediators on Charge Transfer at Hydrophobic Electrodes. Langmuir 2015, 31, 10638–10648. [Google Scholar] [CrossRef] [PubMed]
- Liu, J.; Lu, G.W.; Sandoval, M.; Ciringh, Y.; Xue, G.; Jaeger, D.; Kompanik, K.; Jiao, J.; Gelotte, K.M. Determination of benzalkonium chloride partition in micelle solutions using ultrafiltration method. AAPS PharmSciTech 2009, 10, 1216–1223. [Google Scholar] [CrossRef] [PubMed]
- Park, J.Y.; Rippie, E.G. Micellar Distribution Equilibria: Ultracentrifugal Study of Apparent Partition Coefficients. J. Pharm. Sci. 1977, 66, 858–861. [Google Scholar] [CrossRef] [PubMed]
- Rosen, M.J. Surfactants and Interfacial Phenomena, 2nd ed.; John Wiley and Sons: New York, NY, USA, 1989. [Google Scholar]
- Rusling, J.F. Electroanalytical Chemistry; Bard, A.J., Ed.; Marcel Dekker: New York, NY, USA, 1994; Volume 19, pp. 1–88. [Google Scholar]
- Valencia, D.P.; González, F.J. Estimation of diffusion coefficients by using a linear correlation between the diffusion coefficient and molecular weight. J. Electroanal. Chem. 2012, 681, 121–126. [Google Scholar] [CrossRef]
- Macpherson, J.V.; Unwin, P.R. Determination of the Diffusion Coefficient of Hydrogen in Aqueous Solution Using Single and Double Potential Step Chronoamperometry at a Disk Ultramicroelectrode. Anal. Chem. 1997, 69, 2063–2069. [Google Scholar] [CrossRef] [PubMed]
- Leventis, N.; Gao, X. Steady-State Voltammetry with Stationary Disk Millielectrodes in Magnetic Fields: Nonlinear Dependence of the Mass-Transfer Limited Current on the Electron Balance of the Faradaic Process. J. Phys. Chem. B 1999, 103, 5832–5840. [Google Scholar] [CrossRef]
- Ferreira, T.L.; Sato, B.M.; El Seoud, O.A.; Bertotti, M. Application of Microelectrode Voltammetry to Study the Properties of Surfactant Solutions: Alkyltrimethylammonium Bromides. J. Phys. Chem. B 2010, 114, 857–862. [Google Scholar] [CrossRef] [PubMed]
- Rusling, J.F.; Shi, C.-N.; Gosser, D.K.; Shukla, S.S. Electrocatalytic reactions in organized assemblies: Part I. Reduction of 4-bromobiphenyl in cationic and non-ionic micelles. J. Electroanal. Chem. 1988, 240, 201–216. [Google Scholar] [CrossRef]
- Kamau, G.N.; Rusling, J.F. Electrocatalytic reactions in organized assemblies: Part III. Reduction of allyl halides by bipyridyl derivatives of cobalt in anionic and cationic micelles. J. Electroanal. Chem. 1988, 240, 217–226. [Google Scholar] [CrossRef]
- Shi, C.; Rusling, J.F.; Wang, Z.; Willis, W.S.; Winiecki, A.M.; Suib, S.L. Electrocatalytic reactions in organized assemblies. 6. Electrochemical and spectroscopic studies of catalytic clay micelle electrodes. Langmuir 1989, 5, 650–660. [Google Scholar] [CrossRef]
- Iwunze, M.O.; Rusling, J.F. Aqueous lamellar surfactant system for mediated electrolytic dechlorination of polychlorinated biphenyls. J. Electroanal. Chem. 1989, 266, 197–201. [Google Scholar] [CrossRef]
- He, W.Y.; Fontmorin, J.M.; Hapiot, P.; Soutrel, I.; Floner, D.; Fourcade, F.; Amrane, A.; Geneste, F. A new bipyridyl cobalt complex for reductive dechlorination of pesticides. Electrochim. Acta 2016, 207, 313–320. [Google Scholar] [CrossRef]
- Muthuraman, G.; Chandrasekara Pillai, K. Surfactant effects on mediated electrocatalytic dechlorination of allylchloride. J. Mol. Catal. A Chem. 2001, 169, 137–146. [Google Scholar] [CrossRef]
- Muthuraman, G.; Chandrasekara Pillai, K. Dechlorination of β-methylallyl chloride by electrogenerated [Co(I)(bipyridine)3]+: An electrochemical study in the presence of cationic surfactants. J. Colloid Interface Sci. 2006, 297, 687–695. [Google Scholar] [CrossRef]
- Pillai, K.C.; Muthuraman, G.; Moon, I.-S. Surfactant structural effects on mediated electrocatalytic dechlorination: Links between the micellar enhancement of dechlorination reactions and micellar properties. J. Colloid Interface Sci. 2018, 512, 871–881. [Google Scholar] [CrossRef] [PubMed]
- Georges, J.; Desmettre, S. Electrochemistry of ferrocene in anionic, cationic and nonionic micellar solutions. Effet of the micelle solubilization of the half-wave potentials. Electrochim. Acta 1984, 29, 521–525. [Google Scholar] [CrossRef]
- Kaifer, A.E.; Bard, A.J. Micellar effects on the reductive electrochemistry of methylviologen. J. Phys. Chem. 1985, 89, 4876–4880. [Google Scholar] [CrossRef]
- Zana, R.; Mackay, R.A. Polargographic measurement of micellar diffusion coefficients. Langmuir 1986, 2, 109–113. [Google Scholar] [CrossRef]
- Kamau, G.N.; Leipert, T.; Shukla, S.S.; Rusling, J.F. Electrochemistry of bipyridyl derivatives of cobalt in solutions of anionic and cationic micelles. J. Electroanal. Chem. 1987, 233, 173–187. [Google Scholar] [CrossRef]
- Davies, K.; Hussam, A. Electrochemical studies of metal complexes in sodium dodecyl sulfate micellar solution. Langmuir 1993, 9, 3270–3276. [Google Scholar] [CrossRef]
- Myers, S.A.; Mackay, R.A.; Brajter-Toth, A. Solution microstructure and electrochemical reactivity. Effect of probe partitioning on electrochemical formal potentials in microheterogeneous solutions. Anal. Chem. 1993, 65, 3447–3453. [Google Scholar] [CrossRef]
- Bard, A.J.; Faulkner, L.R. Electrochemical Methods, Fundamentals and Applications; Wiley-Interscience: New York, NY, USA, 1980. [Google Scholar]
- Corrin, M.L.; Harkins, W.D. Determination of the Critical Concentration for Micelle Formation in Solutions of Colloidal Electrolytes by the Spectral Change of a Dye1. J. Am. Chem. Soc. 1947, 69, 679–683. [Google Scholar] [CrossRef]
- Okano, L.T.; Quina, F.H.; El Seoud, O.A. Fluorescence and Light-Scattering Studies of the Aggregation of Cationic Surfactants in Aqueous Solution: Effects of Headgroup Structure. Langmuir 2000, 16, 3119–3123. [Google Scholar] [CrossRef]
- Rusling, J.F.; Shi, C.N.; Kumosinski, T.F. Diffusion of micelle-bound molecules to electrodes in solutions of ionic surfactants. Anal. Chem. 1988, 60, 1260–1267. [Google Scholar] [CrossRef] [PubMed]
- Doherty, A.P.; Scott, K. Interaction of cetyltrimethylammonium chloride micelles under static and hydrodynamic conditions. J. Chem. Soc. Faraday Trans. 1996, 92, 4541–4545. [Google Scholar] [CrossRef]
- Evans, D.H. Multicomponent diffusion with chemical reactions and its effect in voltammetry. J. Electroanal. Chem. 1989, 258, 451–456. [Google Scholar] [CrossRef]
- McIntire, G.L.; Chiappardi, D.M.; Casselberry, R.L.; Blount, H.N. Electrochemistry in ordered systems. 2. Electrochemical and spectroscopic examination of the interactions between nitrobenzene and anionic, cationic, and nonionic micelles. J. Phys. Chem. 1982, 86, 2632–2640. [Google Scholar] [CrossRef]
- Mandal, A.B.; Nair, B.U. Cyclic voltammetric technique for the determination of the critical micelle concentration of surfactants, self-diffusion coefficient of micelles, and partition coefficient of an electrochemical probe. J. Phys. Chem. 1991, 95, 9008–9013. [Google Scholar] [CrossRef]
- Smith, M.J.; Flowers, T.H.; Cowling, M.J.; Duncan, H.J. Method for the measurement of the diffusion coefficient of benzalkonium chloride. Water Res. 2002, 36, 1423–1428. [Google Scholar] [CrossRef]
- Wang, M.; Zhou, J.; Mao, G.; Zheng, X. Synthesis of TS-1 from an Inorganic Reactant System and Its Catalytic Properties for Allyl Chloride Epoxidation. Ind. Eng. Chem. Res. 2012, 51, 12730–12738. [Google Scholar] [CrossRef]
- Rios-Castillo, A.G.; Umana, F.F.; Rodriguez-Jerez, J.J. Long-term antibacterial efficacy of disinfectants based on benzalkonium chloride and sodium hypochlorite tested on surfaces against resistant gram-positive bacteria. Food Control 2018, 93, 219–225. [Google Scholar] [CrossRef]
- Ledbetter, J.W.; Bowen, J.R. Integral spectrophotometric titrations using eosin for the determination of the critical micelle concentration of alkyldimethylbenzylammonium chlorides. Anal. Chem. 1971, 43, 773–774. [Google Scholar] [CrossRef]
- Burstall, F.H.; Nyholm, R.S. Studies in co-ordination chemistry. Part XIII. Magnetic moments and bond types of transition-metal complexes. J. Chem. Soc. 1952, 681, 3570–3579. [Google Scholar] [CrossRef]








| cBKC/mM | DM-W2/3/10−6 cm2 s−1 | Fb a | Ff b | KCo(II) c |
|---|---|---|---|---|
| 0.00 | 3.42 | - | - | - |
| 0.01 | 3.29 | 0.05 | 0.96 | 0.04 |
| 0.022 | 3.63 | −0.07 | 1.07 | −0.06 |
| 0.048 | 3.43 | −0.04 | 1.00 | −0.04 |
| 0.10 | 3.29 | 0.04 | 0.96 | 0.04 |
| 0.22 | 3.03 | 0.12 | 0.88 | 0.14 |
| 0.48 | 2.97 | 0.14 | 0.86 | 0.17 |
| 1.00 | 2.82 | 0.19 | 0.81 | 0.24 |
| 2.20 | 2.01 | 0.45 | 0.55 | 0.83 |
© 2019 by the authors. Licensee MDPI, Basel, Switzerland. This article is an open access article distributed under the terms and conditions of the Creative Commons Attribution (CC BY) license (http://creativecommons.org/licenses/by/4.0/).
Share and Cite
Muthuraman, G.; Chandrasekara Pillai, K.; Moon, I.-S. Electrochemical Analysis of Aqueous Benzalkonium Chloride Micellar Solution and Its Mediated Electrocatalytic De-Chlorination Application. Catalysts 2019, 9, 99. https://doi.org/10.3390/catal9010099
Muthuraman G, Chandrasekara Pillai K, Moon I-S. Electrochemical Analysis of Aqueous Benzalkonium Chloride Micellar Solution and Its Mediated Electrocatalytic De-Chlorination Application. Catalysts. 2019; 9(1):99. https://doi.org/10.3390/catal9010099
Chicago/Turabian StyleMuthuraman, G., K. Chandrasekara Pillai, and Il-Shik Moon. 2019. "Electrochemical Analysis of Aqueous Benzalkonium Chloride Micellar Solution and Its Mediated Electrocatalytic De-Chlorination Application" Catalysts 9, no. 1: 99. https://doi.org/10.3390/catal9010099
APA StyleMuthuraman, G., Chandrasekara Pillai, K., & Moon, I.-S. (2019). Electrochemical Analysis of Aqueous Benzalkonium Chloride Micellar Solution and Its Mediated Electrocatalytic De-Chlorination Application. Catalysts, 9(1), 99. https://doi.org/10.3390/catal9010099
