Next Article in Journal
Exploration of Light-Controlled Chemical Behavior and Mechanism in a Macrocyclic Copper Complex Catalyst–Acetone–Glucose–Bromate–Sulfuric Acid Oscillation System
Next Article in Special Issue
Preparation of Amylose-Carboxymethyl Cellulose Conjugated Supramolecular Networks by Phosphorylase-Catalyzed Enzymatic Polymerization
Previous Article in Journal
Review of Anodic Catalysts for SO2 Depolarized Electrolysis for “Green Hydrogen” Production
Previous Article in Special Issue
Efficient Physisorption of Candida Antarctica Lipase B on Polypropylene Beads and Application for Polyester Synthesis
 
 
Font Type:
Arial Georgia Verdana
Font Size:
Aa Aa Aa
Line Spacing:
Column Width:
Background:
Article

A Novel High-Throughput Assay Enables the Direct Identification of Acyltransferases

by
Lukas Reisky
,
Vishnu S. T. Srinivasamurthy
,
Chris P. S. Badenhorst
,
Simon P. Godehard
and
Uwe T. Bornscheuer
*
Department of Biotechnology and Enzyme Catalysis, Institute of Biochemistry, Greifswald University, Felix-Hausdorff-Str. 4, 17487 Greifswald, Germany
*
Author to whom correspondence should be addressed.
Catalysts 2019, 9(1), 64; https://doi.org/10.3390/catal9010064
Submission received: 16 December 2018 / Revised: 28 December 2018 / Accepted: 4 January 2019 / Published: 9 January 2019
(This article belongs to the Special Issue Biocatalytic Polymer Synthesis)

Abstract

Acyltransferases are enzymes that are capable of catalyzing the transesterification of non-activated esters in an aqueous environment and therefore represent interesting catalysts for applications in various fields. However, only a few acyltransferases have been identified so far, which can be explained by the lack of a simple, broadly applicable high-throughput assay for the identification of these enzymes from large libraries. Here, we present the development of such an assay that is based on the enzymatic formation of oligocarbonates from dimethyl carbonate and 1,6-hexanediol. In contrast to the monomers used as substrates, the oligomers are not soluble in the aqueous environment and form a precipitate which is used to detect enzyme activity by the naked eye, by absorbance or by fluorescence measurements. With activity detected and thus confirmed for the enzymes Est8 and MsAcT, the assay enabled the first identification of acyltransferases that act on carbonates. It will thus allow for the discovery of further efficient acyltransferases or of more efficient variants via enzyme engineering.

Graphical Abstract

1. Introduction

Esterases and lipases catalyze the hydrolysis of esters under physiological conditions. However, their popularity as biocatalysts for the chemical industry is also based on their ability to catalyze transesterification reactions in anhydrous organic solvents. While lipases are activated at the interface of water-insoluble substrates like triglycerides, esterases tend to hydrolyze soluble esters. The availability of a large number of esterases and lipases is based on the presence of various high-throughput assays, which enable their discovery in metagenome libraries or optimization via enzyme engineering. These assays target the natural hydrolase activity and are based on e.g., halo formation in agar plates, detection of the carboxylic acid released, or formation of a chromophore or fluorophore [1,2]. Furthermore, the large number of characterized esterases and lipases allows for the reliable in silico prediction of novel hydrolases from the steadily growing number of sequenced organisms and metagenomes.
Until now only a few hydrolases, so-called acyltransferases, were shown to catalyze the transesterification of non-activated esters in an aqueous environment. Most of the characterized acyltransferases belong to the group related to Pseudozyma antarctica lipase A, formerly known as Candida antarctica lipase A (CAL-A) [3]. As the hydrolysis reaction is thermodynamically favored, the accumulation of a transesterified product is only transient (Scheme 1). Acyltransferases enable a higher increase in the reaction rate of the transesterification reaction compared to the hydrolysis reaction. Efficient acyltransferases catalyze transesterification more than 1000 times faster than hydrolysis [4].
As acyltransferases allow for the direct transesterification reaction in aqueous media, they enable novel reaction concepts in biocatalysis. Transesterification steps can be included in enzyme cascades that demand the use of aqueous media due to the involvement of other enzymes [5]. Furthermore, transesterifications with highly polar compounds e.g., sugars, that are not sufficiently soluble in the typical non-polar organic solvents, could be established. Toxic organic solvents like toluene, which are frequently used in lipase-catalyzed transesterification reactions, could be replaced by water.
The few currently known acyltransferases were identified from a pool of known hydrolases, as homologs thereof or discovered by accident [6,7,8]. Direct screening for novel acyltransferases from large libraries, e.g., from metagenome libraries, is unfeasible as typical acyltransferase assays are laborious and time-consuming, and thereby limit throughput [4,9]. If a collection of pre-selected hydrolases is screened to reduce library size, the identified acyltransferases will by definition have substantial hydrolase activity. This fact complicates the discovery of very efficient acyltransferases, which should exhibit very low or no hydrolase activity, and also explains the limited number of acyltransferases known today. These drawbacks could be overcome by a high-throughput assay suitable for the identification of new acyltransferases from large libraries. Such an acyltransferase assay could enable the identification of acyltransferases with very low or even no detectable hydrolase activity, also leading to the discovery of acyltransferases that are not related to the CAL-A group.
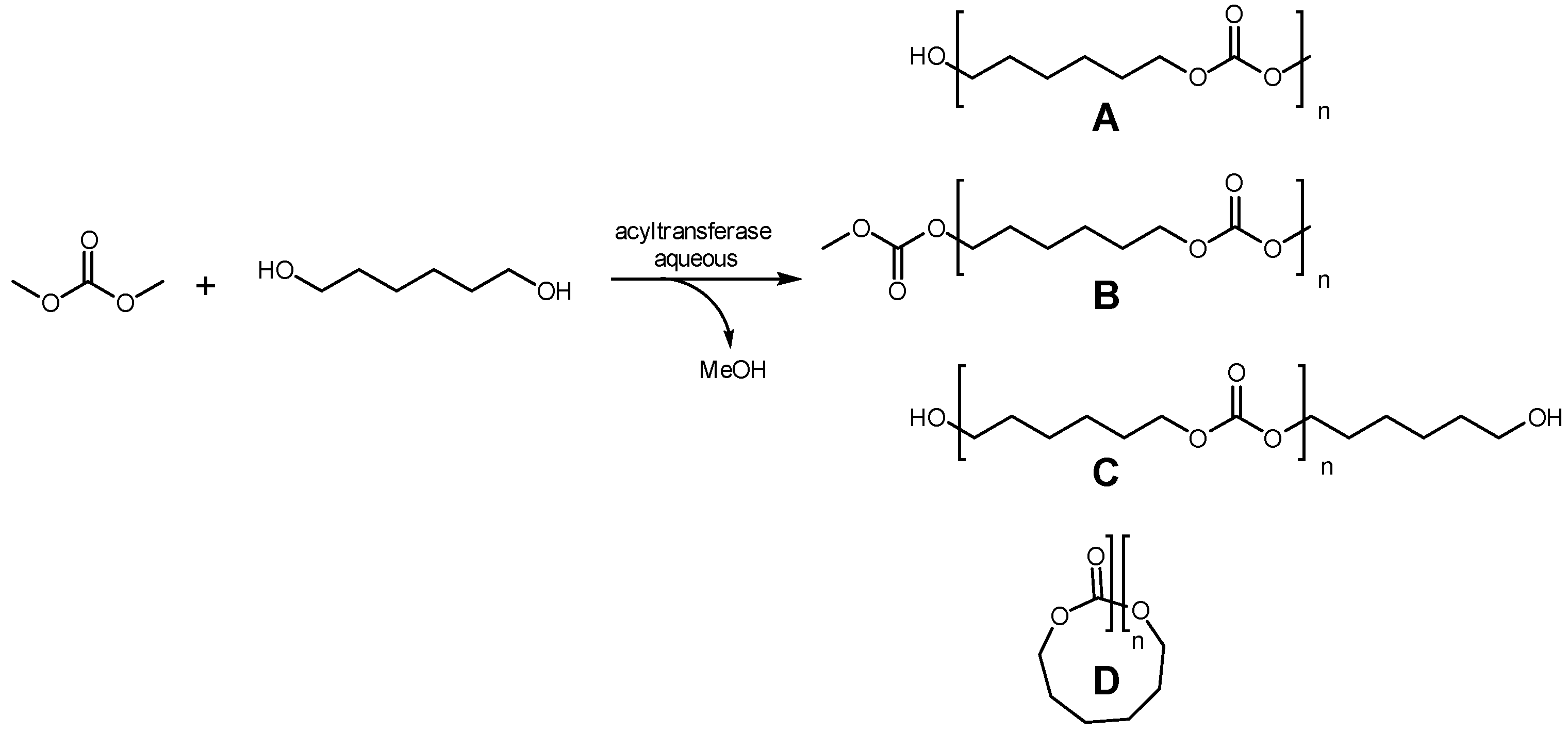
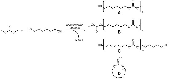
In this contribution, a new high-throughput screening method for acyltransferases, based on the enzymatic synthesis of insoluble poly/oligoesters from water-soluble monomers is envisioned. Acyltransferase activity would lead to product precipitation, which was demonstrated previously and is easily detectable [10]. When the formation of insoluble oligomers is used as an indicator for acyltransferase activity, the complete solubility of a suitable starting monomer in an aqueous environment is required. The use of a monophasic system is also important as it was shown that typical lipases such as CAL-B can exhibit strong acyltransferase activity in aqueous environments when a second phase is present [11,12,13]. There are several options for monomers to realize the envisioned oligomer formation assay. Besides small lactones for ring-opening-polymerization, also a polycondensation approach with diesters and diols seemed possible. However, a drawback in the formation of oligoesters is that an undesired hydrolysis event would split the growing oligoester chain and generate a carboxylic acid end which can potentially acidify the reaction medium. As this is the thermodynamically favored reaction, the chains will not be joined again. The formation of these ‘dead ends’ can be prevented by the use of a carbonate-based system where highly water-soluble dimethyl carbonate (DMC) is transesterified with a water-soluble diol like 1,6-hexanediol (HD) to form insoluble oligocarbonate particles (Scheme 2). If a carbonate group within a growing oligomer is hydrolyzed, the carbonic acid monoester formed rapidly decomposes to CO2 and the alcohol ends. The two terminal alcohol groups (OH ends) can subsequently be joined together by an additional acyl transfer step with another DMC molecule (Scheme S1). Therefore, this system is more likely to also detect acyltransferases despite some degree of hydrolase activity. The lipase-catalyzed transesterification of DMC with diols has already been demonstrated under anhydrous conditions [14].
Here, we describe the first high-throughput assay for acyltransferases that is based on the formation of insoluble oligocarbonate particles from a monophasic aqueous system. The applicability is demonstrated by the first identification of a novel acyltransferase capable of forming oligocarbonates in water.

2. Results

2.1. Initial Screening

To establish the high-throughput acyltransferase assay, a 96-well microtiter plate format was chosen. This allows many enzymes to be screened in parallel and the formation of insoluble oligomers is easily monitored by eye, by absorbance or by light scattering measurements in a plate reader. In a first trial, known hydrolases from our collection were screened for the formation of oligocarbonates, using DMC and HD as monomers. To verify that the precipitate formed was indeed produced by transesterification, controls omitting either of the two substrates were included. One previously characterized esterase from a metagenome (Est8) [15,16] led to the significant formation of white precipitate that was not produced when either DMC or HD was omitted from the reaction (Figure 1).

2.2. Analysis of the Carbonate Product

The precipitate formed by Est8 (Figure 2a) could be stained with Nile Red (Figure 2b), indicating the hydrophobic character of the product, which is characteristic for oligocarbonates. This fluorescent staining allows an alternative detection, as the Nile Red becomes highly fluorescent upon binding to a hydrophobic phase. The absorbance and fluorescence spectra of Nile Red vary depending on the hydrophobicity of the environment [17]. This is revealed by the blue color of Nile Red dissolved in the aqueous phase of a negative control without Est8, which changes to pink when binding to the Est8-generated product particles (Figure 2b). Fluorescence microscopy revealed that the precipitate consists of small droplets of a second liquid phase that has a strong tendency to absorb Nile Red (Figure 2d). Shortly after the addition of Est8 to the substrate solution, small spheres start to form, which grow in size and merge to larger droplets over time. This is not observed in the control without an enzyme (Figure 2c) and is a clear indication of oligocarbonate formation. To test if the precipitation was indeed caused by the expected oligocarbonate, the reaction was repeated in larger scale to isolate the product. It was analyzed by APCI-MS showing the expected m/z values for oligocarbonates of different lengths (Figure 3). The detection of all possible linear carbonate intermediates up to a degree of polymerization of seven demonstrates that Est8 is capable of extending the ends of various oligocarbonates until their solubility in the aqueous medium is exceeded, leading to precipitation. The isolated product was also analyzed by 1H-NMR showing a new signal at 4.14 ppm, which is typical for the -CH2-OC(O)O- group in carbonate diesters [18] (Figure S1). This is, to the best of our knowledge, the first demonstration of enzymatic oligocarbonate formation in an aqueous environment.

2.3. Optimization of Assay Conditions

After it was shown that the transesterification of DMC with HD is suitable as a screening assay for the identification of novel acyltransferases, the influence of the substrate concentrations on the absorbance signal intensity was evaluated. While DMC was varied from 0 to 10% (v/v), HD was used from 0 to 14% (w/v). The newly identified acyltransferase Est8 was used as a model enzyme for optimizing the assay conditions for precipitate formation, and the reaction was monitored over time. Already 30 min after the addition of the enzyme, heavy precipitate formation was observed in the wells with the highest DMC concentrations (Figure S2). While reactions at 8% (v/v) DMC still produced a significant amount of precipitate, lower concentrations were not suitable for generating a substantial amount of insoluble oligocarbonate. In contrast to DMC, HD showed the best results when applied at lower concentrations (Figure S2). While 4% HD led to a faster onset of precipitate formation, 6% HD generated precipitate with a higher stability over time. The optimal substrate ratio for fast precipitation (10% (v/v) DMC and 4% (w/v) HD) is expected to favor the synthesis of oligocarbonates with terminal carbonate groups (product B in Scheme 2) [18]. As these products are more hydrophobic than their OH end counterparts, they would tend to precipitate earlier, perhaps explaining the above-mentioned optimal substrate ratio.
As all known acyltransferases, including Est8, also show hydrolase activity to some extent, the transesterification product will be hydrolyzed after a longer reaction time (Scheme 1). When a carbonate moiety is hydrolyzed, CO2 is generated, which was evident by the noticeable buildup of pressure when the Est8 reactions were performed in closed tubes. Besides CO2 formation, the disappearance of the precipitated oligocarbonate after longer incubation times is also a sign of hydrolase activity. The time courses for reactions at optimal HD or DMC concentration are displayed in Figure S3. While the absorbance increases relatively fast over the first hour, the oligocarbonate is slowly hydrolyzed afterwards, reaching almost the turbidity level of the negative controls after 5 h of incubation.
Furthermore, we tested if the assay could also be adapted for product detection by fluorescence measurement. As shown in Figure 2, the oligocarbonate product can be stained with Nile Red and the dye changes its spectral properties upon binding to the oligocarbonate. To identify the optimal wavelength for the planned measurements, excitation and emission spectra of the oligocarbonate-bound Nile Red were measured (Figure S4). The optimal excitation wavelength was determined to be 560 nm while the optimal emission wavelength was 630 nm. It was also shown that the Nile Red-stained controls, without the addition of Est8, exhibited much lower fluorescence, making it possible to detect the Est8-catalyzed formation of insoluble oligocarbonates by Nile Red staining. The increase in fluorescence in the Est8 reaction with Nile Red was compared to the increase in absorbance (Figure 4a). The fluorescence signal already starts to increase before the onset of the absorbance increase. Very small oligocarbonate particles that are formed at the beginning will bind Nile Red from the aqueous environment and activate its fluorescence. While this represents an advantage for the sensitivity at lower product concentrations, the fluorescence decreases over time, which is likely caused by photobleaching of Nile Red.

2.4. Investigation of Known Acyltransferases with the New Assay

Finally, we tested whether previously identified acyltransferases also show activity in the newly developed assay. Together with the CAL-A-related acyltransferases originating from yeasts [4] and the acyltransferase from Mycobacterium smegmatis (MsAcT) [19], the esterases from Bacillus stearothermophilus (BsteE) [20] and Pseudomonas fluorescens (PFEQ) [21] were tested as controls. Besides Est8, MsAcT also shows detectable formation of oligocarbonates, revealing that the assay is not limited to detecting the acyltransferase activity of Est8 (Figure 4b). Compared to Est8, the onset of precipitate formation with MsAcT is observed later and only half of the absorbance intensity is reached. On the other hand, the precipitate seems to be stable over the whole measurement while the precipitate formed by Est8 is almost completely hydrolyzed after 8 h. This shows that it is necessary to monitor the oligocarbonate formation periodically over a longer time in order to not miss the transient product formation that can occur with some enzymes.

3. Discussion

While previously described acyltransferase assays demand time-consuming gas chromatography (GC) measurements to detect the carboxylic acid esters formed [22] or depend on the use of an additional enzyme reporter system [9], the herein described screening method can be applied in microtiter plates and active enzymes can be identified by the naked eye or by absorbance and fluorescence measurements. This new concept enables the direct detection of acyltransferase activity from larger libraries. The assay is based on the formation of oligocarbonates which precipitate from an aqueous solution and can also be easily adapted to fluorescence readout by staining of the oligocarbonates with Nile Red. The reaction conditions were optimized with the newly identified acyltransferase Est8 as a model enzyme. This enzyme was previously only known for its esterase activity [16,23] which is in agreement with the observed disappearance of the transesterification product after longer incubation times and the formation of CO2 in these reactions. As the presented assay allows continuous measurement of product formation, in contrast to previously reported end-point measurements, e.g. by GC, the chance of missing the potentially short time span of transient product accumulation is greatly reduced. Finally, it was demonstrated that the assay is also applicable to other acyltransferases.
While previously described acyltransferase assays utilize carboxylic acid esters [4,19], this study presents the first example of an aqueous acyltransferase reaction involving a carbonate moiety. Besides extending the scope of acyltransferase-generated products, the use of carbonates has advantages for screening approaches. An undesired hydrolysis step during the oligocarbonate synthesis results in the formation of CO2, which easily escapes the reaction, instead of forming a carboxylic acid, which would strongly acidify the medium, potentially leading to enzyme inactivation. Another advantage is the possibility to again combine two OH ends generated by an unwanted hydrolysis event within the carbonate chain (Scheme S1). These characteristics of the oligocarbonate-based assay allow for the identification of acyltransferases spanning a range of residual hydrolase activity. This is desired for an initial screening where only a few hits are expected and identified acyltransferases will be analyzed in detail afterwards.
As the new assay allows for the direct screening of large libraries for acyltransferase activity, it has the potential to identify novel enzymes e.g., from metagenomes. Since the enzymes identified from metagenome libraries would not have been previously identified by hydrolase activity assays, it might be possible to identify very efficient acyltransferases with very low hydrolase activity.
It has been shown that our new assay is also applicable to other acyltransferases as MsAcT also led to oligocarbonate formation. Interestingly, none of the CAL-A-related enzymes were active (as judged by precipitate formation) under the conditions tested. The reason for this could be their typical activity on large hydrophobic substrates such as fatty acid esters or triglycerides [4,9]. As these substrates are poorly soluble in aqueous media, they form a second organic phase that is known to strongly promote acyltransferase activity [11,13]. This potential activating phase was intentionally avoided in our screening, perhaps explaining the lack of activity using the CAL-A-related enzymes. Furthermore, in our assay the comparably small acyl donor DMC is transesterified with the larger alcohol HD, which is different from the typical reaction system for CAL-A-related acyltransferases where larger acyl donors (fatty acid esters) are combined with smaller alcohols (like methanol or ethanol) [4]. On this background it is not surprising that for MsAcT, which was previously demonstrated to utilize smaller acyl donors like ethyl acetate [19], activity could indeed be detected in our assay.
The enzymatic formation of oligocarbonates in aqueous environments could also have broader applications in other research areas. As the oligomers precipitate, they are easily separated from the bulk aqueous phase. These oligomers represent a prime starting material for further water-free, enzymatic polymerization which is described in the literature [18]. This pre-polymerization will remove most of the co-product methanol that would reduce the molecular weight of the following polymerization step. This could replace the typically used two-step polymerization where the high-boiling oligomers need to be produced in an initial step before the final polymerization under lower pressure can be performed.

4. Materials and Methods

4.1. Chemicals

Extra dry dimethyl carbonate (>99%) was obtained from Acros (Schwerte, Germany), 1,6-hexanediol (99%) was bought from Aldrich (Darmstadt, Germany) and Nile Red (pure) was bought from Roth (Karlsruhe, Germany). Solvents used were HPLC grade. CAL-A and CAL-B lyophilizate were obtained from c-LEcta (Leipzig, Germany).

4.2. Acyltransferase Assay

For the initial screening, the enzyme preparations were dissolved at a concentration of around 10 g L−1 in 50 mM NaPi, pH 7.4. Insoluble particles were removed by centrifugation at 12,000 g. Fifty microliters of the enzyme solutions were added to a 200 µL substrate solution which consisted of 10% (v/v) DMC and 10% (w/v) HD in the same buffer. The plates were sealed with a transparent plastic film and incubated at room temperature. Controls either without DMC or without HD were conducted.
Later, the formation of insoluble oligocarbonate was monitored by absorbance measurement at 600 nm. All reactions were carried out in 50 mM NaPi, pH 7.4 at room temperature if not stated otherwise. Continuous absorbance or fluorescence measurements in a plate reader could only be performed between 24 °C and 28 °C due to the heat generated by the reader during the measurement. Reactions in 96-well plates consisted of 270 µL reaction mixture to which 30 µL of enzyme solution (10 g L−1) was added to start the reaction. The given substrate concentrations refer to the concentrations in the substrate mixture before enzyme addition if not stated otherwise.

4.3. Production of Enzymes

Est8 was heterologously expressed in Escherichia coli BL21(DE3) from pET26_Est8. The overnight culture was grown at 37 °C in LB with 50 mg L−1 kanamycin and 1% (w/v) glucose. TB medium supplemented with 50 mg L−1 kanamycin was inoculated from the overnight culture and incubated at 37 °C at 180 rpm until the culture reached an OD600 of 1.0. Then the culture was cooled to 20 °C and induced with 0.5 mM IPTG for 24 h. Cells were harvested by centrifugation at 4,500 g and 4 °C for 1 h. Cells were washed with 50 mM NaPi, pH 7.4 before they were resuspended in the same buffer containing 5 mg L−1 DNase and lysed by one passage through a French press. Insolubles were removed by centrifugation at 10,000 g and 4 °C for 30 min, and the lysate was passed through a 0.45 µm filter before it was frozen and lyophilized. MsAcT was expressed as described in the literature [19]. The clarified and lyophilized lysate was stored at 4 °C.
The expression of the CAL-A-related acyltransferases was performed according to the literature [4]. Briefly, sequences of CaLIP4, CalLAc5 and CalLAc8 were obtained using accession numbers AF191317, XP_717001.1 and XP_711685, respectively. For cloning into pPICZαB (via FastCloning), natural signal peptides were replaced by Saccharomyces cerevisiae α-mating factor provided in the plasmid. After transformation into Pichia pastoris X-33, colonies expressing active enzyme were selected via lipase activity indicator plates. Five milliliters of YPD medium containing 100 mg L−1 zeocin were inoculated with a Pichia pastoris strain harboring the expression plasmid. After 24 h at 30 °C, 50 mL BMGY medium with 100 mg L−1 zeocin was inoculated and incubated for 24 h at 180 rpm and 30 °C. The cell cultures were then centrifuged (10,000 g, 4 °C, 15 min) and the cell pellets were used to innoculate 50 mL BMMY media. The cells were cultured at 30 °C at 180 rpm for 120 h. One percent (v/v) methanol was added every 24 h to induce protein expression. Later, cell cultures were centrifuged at 10,000 g and 4 °C for 15 min to separate the cells from the supernatant. The supernatant, rich in the secreted enzyme, was filtered through a 0.2 μm filter, frozen at −80 °C, and lyophilized.

4.4. Preparative Production of Oligocarbonate

To obtain the enzyme-generated oligocarbonates, the reaction was scaled up to 50 mL. DMC (50 mmol) and HD (50 mmol) were dissolved in 50 mM NaPi, pH 7.4. Est8 lyophilizate was added to a final concentration of 3.2 g L−1, and the reaction was performed for 23.5 h at room temperature. After cooling at 4 °C for 3 h, the precipitate was collected by centrifugation. The raw product was extracted four times with 4 mL dichloromethane, and the combined organic phases were dried over anhydrous Na2SO4. After evaporation of the solvent, 443 mg of oligocarbonate was obtained as a slightly viscous liquid which solidified at 4 °C.
The masses of the oligomers were determined using the Advion expressionL CMS. The direct analysis probe, otherwise known as ASAP® (Atmospheric Solid Analysis Probe, Advion Ltd., Harlow, UK) mode was used for the measurement. The analysis was performed under “high temperature and low fragmentation” conditions to minimize the fragmentation of the oligomers. Vaporized methanol was used as an additional running solvent to carry the organic compound. Firstly, the empty ASAP® probe capillary was injected into the CMS to record the blank or background noise for 30–60 s. Subsequently, the probe was immersed into the sample and injected into the CMS. The data was analyzed using the Data Express software provided by Advion. The 1H-NMR spectrum of the isolated oligocarbonates was recorded on a 300 MHz Avance II (Bruker Daltonik GmbH, Bremen, Germany) in CDCl3.

4.5. Fluorescent Staining

Nile Red was used to fluorescently stain the enzymatically formed oligocarbonate particles. As the emission and excitation wavelengths of Nile Red are highly variable depending on the surrounding environment [17], spectral scans were performed to identify the optimal wavelengths for oligocarbonate-bound Nile Red. Nile Red was added from a 1 mg mL−1 stock solution in DMSO. In the final reaction, the concentration was 1 µg mL−1. Excitation was realized at 560 nm, and emission was recorded at 630 nm. Particles stained with Nile Red were also visualized by fluorescence microscopy using a ZEISS Axio Vert.A1 inverted microscope with a 20x objective. For excitation, a 540-580 nm LED module was used with a 545/25 nm bandpass filter, and emitted light was passed through a 605/70 nm bandpass filter. This combination of an LED module and filter set resembled the optics used for fluorescence measurements in 96-well plates.

5. Conclusions

We here describe a screening method for the identification of novel acyltransferases. Unlike previous methods, acyltransferases were identified directly by their transesterification activity and not by hydrolysis activity. The assay method can be widely applied for high-throughput screening of mutant or metagenome libraries. Using this method, esterase Est8 could be identified to have substantial acyltransferase activity.

Supplementary Materials

The following are available online at https://www.mdpi.com/2073-4344/9/1/64/s1, Scheme S1: Acyltransferase/hydrolase activity with carbonate system, Figure S1: 1H-NMR-spectra of the isolated oligocarbonate, Figure S2: Optimization of the substrate concentrations, Figure S3: Time course of the formation of oligocarbonate at optimal substrate concentrations, Figure S4: Determination of optimal excitation and emission wavelength for Nile Red bound to oligocarbonate particles.

Author Contributions

Conceptualization, L.R.; investigation, L.R., V.S.T.S., C.P.S.B. and S.P.G.; resources, U.T.B.; writing—original draft preparation, L.R.; writing—review and editing, all authors; visualization, L.R.; supervision, U.T.B.; project administration, U.T.B.

Funding

This research received no external funding.

Acknowledgments

We thank the B.R.A.I.N. AG (Zwingenberg, Germany) for providing the expression plasmid for Est8 and Ulf Hanefeld (TU Delft, The Netherlands) for providing the expression plasmid for MsAcT. We thank Christian Stanetty (TU Wien, Austria) for discussion.

Conflicts of Interest

The authors declare no conflict of interest.

References

  1. Bornscheuer, U. Microbial carboxyl esterases: Classification, properties and application in biocatalysis. FEMS Microbiol. Rev. 2002, 26, 73–81. [Google Scholar] [CrossRef] [PubMed]
  2. Schmidt, M.; Bornscheuer, U.T. High-throughput assays for lipases and esterases. Biomol. Eng. 2005, 22, 51–56. [Google Scholar] [CrossRef] [PubMed]
  3. Jan, A.-H.; Dubreucq, E.; Drone, J.; Subileau, M. A glimpse into the specialization history of the lipases/acyltransferases family of CpLIP2. Biochim. Biophys. Acta Proteins Proteomics 2017, 1865, 1105–1113. [Google Scholar] [CrossRef] [PubMed]
  4. Jan, A.-H.; Dubreucq, É.; Subileau, M. Revealing the roles of subdomains in the catalytic behavior of lipases/acyltransferases homologous to CpLIP2 through rational design of chimeric enzymes. ChemBioChem 2017, 18, 941–950. [Google Scholar] [CrossRef] [PubMed]
  5. Land, H.; Hendil-Forssell, P.; Martinelle, M.; Berglund, P. One-pot biocatalytic amine transaminase/acyl transferase cascade for aqueous formation of amides from aldehydes or ketones. Catal. Sci. Technol. 2016, 11, 1–4. [Google Scholar] [CrossRef]
  6. Subileau, M.; Jan, A.-H.; Drone, J.; Rutyna, C.; Perrier, V.; Dubreucq, E. What makes a lipase a valuable acyltransferase in water abundant medium? Catal. Sci. Technol. 2017, 7, 2566–2578. [Google Scholar] [CrossRef]
  7. Riaublanc, A.; Ratomahenina, R.; Galzy, P.; Nicolas, M. Peculiar properties of lipase from Candida parapsilosis (Ashford) langeron and talice. J. Am. Oil Chem. Soc. 1993, 70, 497–500. [Google Scholar] [CrossRef]
  8. Mathews, I.; Soltis, M.; Saldajeno, M.; Ganshaw, G.; Sala, R.; Weyler, W.; Cervin, M.A.; Whited, G.; Bott, R. Structure of a novel enzyme that catalyzes acyl transfer to alcohols in aqueous conditions. Biochemistry 2007, 46, 8969–8979. [Google Scholar] [CrossRef]
  9. Müller, J.; Fredrich, B.; Kohlmann, C.; Maksym, L.; Bornscheuer, U.T. A high-throughput assay for the determination of acyltransferase activity of lipase CAL-A. Eur. J. Lipid Sci. Technol. 2014, 116, 232–236. [Google Scholar] [CrossRef]
  10. Schmidt, S.; Scherkus, C.; Muschiol, J.; Menyes, U.; Winkler, T.; Hummel, W.; Gröger, H.; Liese, A.; Herz, H.-G.; Bornscheuer, U.T. An enzyme cascade synthesis of ε-caprolactone and its oligomers. Angew. Chem. Int. Ed. 2015, 54, 2784–2787. [Google Scholar] [CrossRef]
  11. Inprakhon, P.; Panlawan, P.; Pongtharankul, T.; Marie, E.; Wiemann, L.O.; Durand, A.; Sieber, V. Toward one-pot lipase-catalyzed synthesis of poly(ɛ-caprolactone) particles in aqueous dispersion. Colloids Surf. B Biointerfaces 2014, 113, 254–260. [Google Scholar] [CrossRef] [PubMed]
  12. Målberg, S.; Finne-Wistrand, A.; Albertsson, A.-C. The environmental influence in enzymatic polymerization of aliphatic polyesters in bulk and aqueous mini-emulsion. Polymer (Guildf) 2010, 51, 5318–5322. [Google Scholar] [CrossRef]
  13. Panlawan, P.; Luangthongkam, P.; Wiemann, L.O.; Sieber, V.; Marie, E.; Durand, A.; Inprakhon, P. Lipase-catalyzed interfacial polymerization of ω-pentadecalactone in aqueous biphasic medium: A mechanistic study. J. Mol. Catal. B Enzym. 2013, 88, 69–76. [Google Scholar] [CrossRef]
  14. Heise, A.; Nijenhuis, A.J.; Schaafsma, A.E. Process for the Preparation of an Aliphatic Polycarbonate. WO2005098013 A1, 20 October 2005. [Google Scholar]
  15. Brüsehaber, E.; Böttcher, D.; Liebeton, K.; Eck, J.; Naumer, C.; Bornscheuer, U.T. Asymmetric synthesis of cis-3,5-diacetoxycyclopent-1-ene using metagenome-derived hydrolases. Tetrahedron Asymmetry 2008, 19, 730–732. [Google Scholar] [CrossRef]
  16. Fernández-Álvaro, E.; Kourist, R.; Winter, J.; Böttcher, D.; Liebeton, K.; Naumer, C.; Eck, J.; Leggewie, C.; Jaeger, K.; Streit, W.; et al. Enantioselective kinetic resolution of phenylalkyl carboxylic acids using metagenome-derived esterases. Microb. Biotechnol. 2010, 3, 59–64. [Google Scholar] [CrossRef] [PubMed]
  17. Greenspan, P.; Mayer, E.P.; Fowler, S.D. Nile red: A selective fluorescent stain for intracellular lipid droplets. J. Cell Biol. 1985, 100, 965–973. [Google Scholar] [CrossRef] [PubMed]
  18. Jiang, Z.; Liu, C.; Xie, W.; Gross, R.A. Controlled lipase-catalyzed synthesis of poly(hexamethylene carbonate). Macromolecules 2007, 40, 7934–7943. [Google Scholar] [CrossRef]
  19. De Leeuw, N.; Torrelo, G.; Bisterfeld, C.; Resch, V.; Mestrom, L.; Straulino, E.; van der Weel, L.; Hanefeld, U. Ester synthesis in water: Mycobacterium smegmatis acyl transferase for kinetic resolutions. Adv. Synth. Catal. 2018, 360, 242–249. [Google Scholar] [CrossRef]
  20. Henke, E.; Bornscheuer, U.T. Esterases from Bacillus subtilis and B. stearothermophilus share high sequence homology but differ substantially in their properties. Appl. Microbiol. Biotechnol. 2002, 60, 320–326. [Google Scholar] [CrossRef]
  21. Schließmann, A.; Hidalgo, A.; Berenguer, J.; Bornscheuer, U.T. Increased enantioselectivity by engineering bottleneck mutants in an esterase from Pseudomonas fluorescens. ChemBioChem 2009, 10, 2920–2923. [Google Scholar] [CrossRef]
  22. Jan, A.-H.; Subileau, M.; Deyrieux, C.; Perrier, V.; Dubreucq, É. Elucidation of a key position for acyltransfer activity in Candida parapsilosis lipase/acyltransferase (CpLIP2) and in Pseudozyma antarctica lipase A (CAL-A) by rational design. Biochim. Biophys. Acta Proteins Proteomics 2016, 1864, 187–194. [Google Scholar] [CrossRef] [PubMed]
  23. Kourist, R.; Nguyen, G.-S.; Strübing, D.; Böttcher, D.; Liebeton, K.; Naumer, C.; Eck, J.; Bornscheuer, U.T. Hydrolase-catalyzed stereoselective preparation of protected α,α-dialkyl-α-hydroxycarboxylic acids. Tetrahedron Asymmetry 2008, 19, 1839–1843. [Google Scholar] [CrossRef]
Scheme 1. Acyltransferase/hydrolase reaction. The acyltransferase activity allows for the transesterification of an ester with an alcohol in an aqueous environment. The hydrolase activity, which is also present to a certain degree in these enzymes, can lead to direct hydrolysis of the starting ester or the transesterification product. The carboxylic acid produced is deprotonated at neutral pH in the aqueous phase. As the hydrolysis is thermodynamically favored, the accumulation of the transesterification product is only transient.
Scheme 1. Acyltransferase/hydrolase reaction. The acyltransferase activity allows for the transesterification of an ester with an alcohol in an aqueous environment. The hydrolase activity, which is also present to a certain degree in these enzymes, can lead to direct hydrolysis of the starting ester or the transesterification product. The carboxylic acid produced is deprotonated at neutral pH in the aqueous phase. As the hydrolysis is thermodynamically favored, the accumulation of the transesterification product is only transient.
Catalysts 09 00064 sch001
Scheme 2. Different oligocarbonates potentially produced by acyltransferases. The transesterification of dimethyl carbonate with 1,6-hexanediol could generally produce several oligocarbonates with different end groups. These oligomers exhibit low solubility in the aqueous environment and form a precipitate which is detected as an indication for acyltransferase activity.
Scheme 2. Different oligocarbonates potentially produced by acyltransferases. The transesterification of dimethyl carbonate with 1,6-hexanediol could generally produce several oligocarbonates with different end groups. These oligomers exhibit low solubility in the aqueous environment and form a precipitate which is detected as an indication for acyltransferase activity.
Catalysts 09 00064 sch002
Figure 1. Initial acyltransferase screening. Several hydrolases from our collection were screened for the transesterification of dimethyl carbonate and 1,6-hexanediol in 50 mM NaPi, pH 7.4. Both substrates were used at a final concentration of 8% (v/v) or (w/v), respectively. At these concentrations the monomers were completely soluble in the buffer. Enzyme preparations were first dissolved in reaction buffer and insoluble particles were removed by centrifugation prior to the addition of the substrate solution. Negative controls omitting either DMC (rows C and D) or HD (rows E and F) were included. The plate was sealed with a transparent plastic film and photographed after 2 h incubation at room temperature. Oligocarbonate formation by Est8 can be seen in well B10.
Figure 1. Initial acyltransferase screening. Several hydrolases from our collection were screened for the transesterification of dimethyl carbonate and 1,6-hexanediol in 50 mM NaPi, pH 7.4. Both substrates were used at a final concentration of 8% (v/v) or (w/v), respectively. At these concentrations the monomers were completely soluble in the buffer. Enzyme preparations were first dissolved in reaction buffer and insoluble particles were removed by centrifugation prior to the addition of the substrate solution. Negative controls omitting either DMC (rows C and D) or HD (rows E and F) were included. The plate was sealed with a transparent plastic film and photographed after 2 h incubation at room temperature. Oligocarbonate formation by Est8 can be seen in well B10.
Catalysts 09 00064 g001
Figure 2. Formation of insoluble oligocarbonate particles. Est8 was used to produce oligocarbonate from dimethyl carbonate and 1,6-hexanediol in 50 mM NaPi, pH 7.4. Both substrates were used at 8% (v/v) or (w/v), respectively. At these concentrations the monomers were completely soluble in the buffer. Samples without the addition of an enzyme were used as negative control. Picture (a) shows the reactions after 1 hour at room temperature while picture (b) shows the same samples after Nile Red staining for 30 min. Fluorescence microscopic images (540–580 nm excitation LED; 605/70 nm emission filter) of the Nile Red-stained samples without addition of enzyme (c) and with Est8 (d) were taken after 1 hour of incubation. In the enzyme reaction, it was observed that the fluorescent spheres grow over time and tend to merge after longer incubation.
Figure 2. Formation of insoluble oligocarbonate particles. Est8 was used to produce oligocarbonate from dimethyl carbonate and 1,6-hexanediol in 50 mM NaPi, pH 7.4. Both substrates were used at 8% (v/v) or (w/v), respectively. At these concentrations the monomers were completely soluble in the buffer. Samples without the addition of an enzyme were used as negative control. Picture (a) shows the reactions after 1 hour at room temperature while picture (b) shows the same samples after Nile Red staining for 30 min. Fluorescence microscopic images (540–580 nm excitation LED; 605/70 nm emission filter) of the Nile Red-stained samples without addition of enzyme (c) and with Est8 (d) were taken after 1 hour of incubation. In the enzyme reaction, it was observed that the fluorescent spheres grow over time and tend to merge after longer incubation.
Catalysts 09 00064 g002
Figure 3. APCI-MS of the oligocarbonates formed by Est8. The products were extracted with dichloromethane before measurement. All possible, linear oligomers up to a size of n=3 were detected as the protonated form. For the structures of the different forms (A, B, C) see Scheme 2.
Figure 3. APCI-MS of the oligocarbonates formed by Est8. The products were extracted with dichloromethane before measurement. All possible, linear oligomers up to a size of n=3 were detected as the protonated form. For the structures of the different forms (A, B, C) see Scheme 2.
Catalysts 09 00064 g003
Figure 4. Monitoring acyltransferase activity over time. (a) Comparison between absorbance and fluorescence measurements. Est8 was used to produce oligocarbonate from 10% (v/v) dimethyl carbonate and 4% (w/v) 1,6-hexanediol in 50 mM NaPi, pH 7.4 with 1 µg mL−1 Nile Red. The absorbance was measured at 600 nm while Nile Red fluorescence was measured at 630 nm (excitation at 560 nm). Measurements were performed in triplicates and error bars represent standard deviation. (b) Screening of known acyltransferases. Several acyltransferases from our collection were tested in duplicates in the newly developed assay with 10% (v/v) dimethyl carbonate and 4% (w/v) 1,6-hexanediol in 50 mM NaPi, pH 7.4. The absorbance at 600 nm was monitored over time. The uneven absorbance course in the reaction with MsAcT likely results from uneven precipitate sedimentation and bubble formation. For all assays, a final concentration of 1 g L−1 enzyme preparation was used.
Figure 4. Monitoring acyltransferase activity over time. (a) Comparison between absorbance and fluorescence measurements. Est8 was used to produce oligocarbonate from 10% (v/v) dimethyl carbonate and 4% (w/v) 1,6-hexanediol in 50 mM NaPi, pH 7.4 with 1 µg mL−1 Nile Red. The absorbance was measured at 600 nm while Nile Red fluorescence was measured at 630 nm (excitation at 560 nm). Measurements were performed in triplicates and error bars represent standard deviation. (b) Screening of known acyltransferases. Several acyltransferases from our collection were tested in duplicates in the newly developed assay with 10% (v/v) dimethyl carbonate and 4% (w/v) 1,6-hexanediol in 50 mM NaPi, pH 7.4. The absorbance at 600 nm was monitored over time. The uneven absorbance course in the reaction with MsAcT likely results from uneven precipitate sedimentation and bubble formation. For all assays, a final concentration of 1 g L−1 enzyme preparation was used.
Catalysts 09 00064 g004

Share and Cite

MDPI and ACS Style

Reisky, L.; Srinivasamurthy, V.S.T.; Badenhorst, C.P.S.; Godehard, S.P.; Bornscheuer, U.T. A Novel High-Throughput Assay Enables the Direct Identification of Acyltransferases. Catalysts 2019, 9, 64. https://doi.org/10.3390/catal9010064

AMA Style

Reisky L, Srinivasamurthy VST, Badenhorst CPS, Godehard SP, Bornscheuer UT. A Novel High-Throughput Assay Enables the Direct Identification of Acyltransferases. Catalysts. 2019; 9(1):64. https://doi.org/10.3390/catal9010064

Chicago/Turabian Style

Reisky, Lukas, Vishnu S. T. Srinivasamurthy, Chris P. S. Badenhorst, Simon P. Godehard, and Uwe T. Bornscheuer. 2019. "A Novel High-Throughput Assay Enables the Direct Identification of Acyltransferases" Catalysts 9, no. 1: 64. https://doi.org/10.3390/catal9010064

APA Style

Reisky, L., Srinivasamurthy, V. S. T., Badenhorst, C. P. S., Godehard, S. P., & Bornscheuer, U. T. (2019). A Novel High-Throughput Assay Enables the Direct Identification of Acyltransferases. Catalysts, 9(1), 64. https://doi.org/10.3390/catal9010064

Note that from the first issue of 2016, this journal uses article numbers instead of page numbers. See further details here.

Article Metrics

Back to TopTop