Improved CO-PROX Performance of CuO/CeO2 Catalysts by Using Nanometric Ceria as Support
Abstract
1. Introduction
2. Results
2.1. Catalysts Characterization
2.1.1. ICP-MS, XRD, SEM/EDS, and BET
2.1.2. H2 Temperature Programmed Reduction (TPR)
2.1.3. CO2 Temperature Programmed Desorption (TPD)
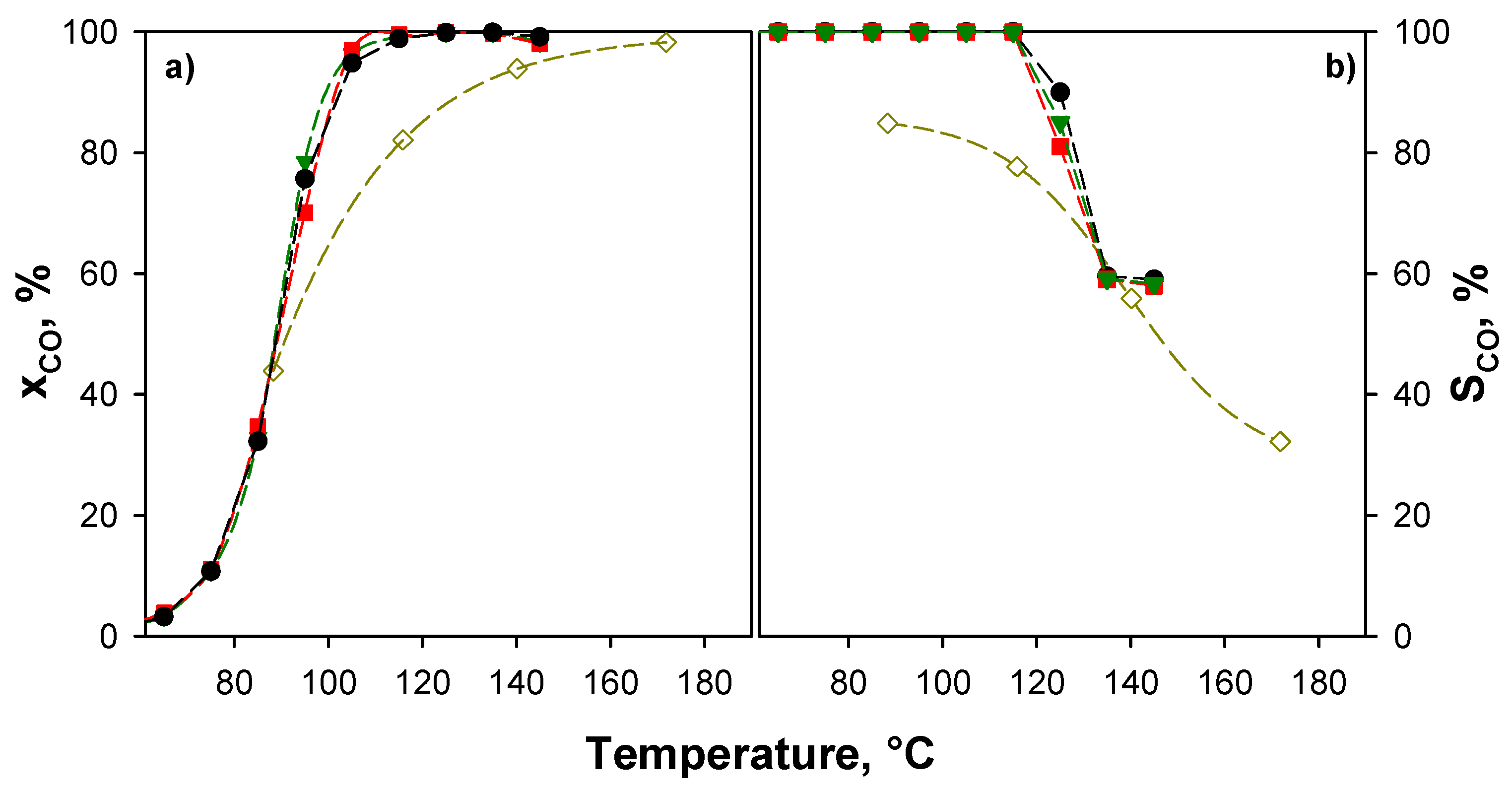
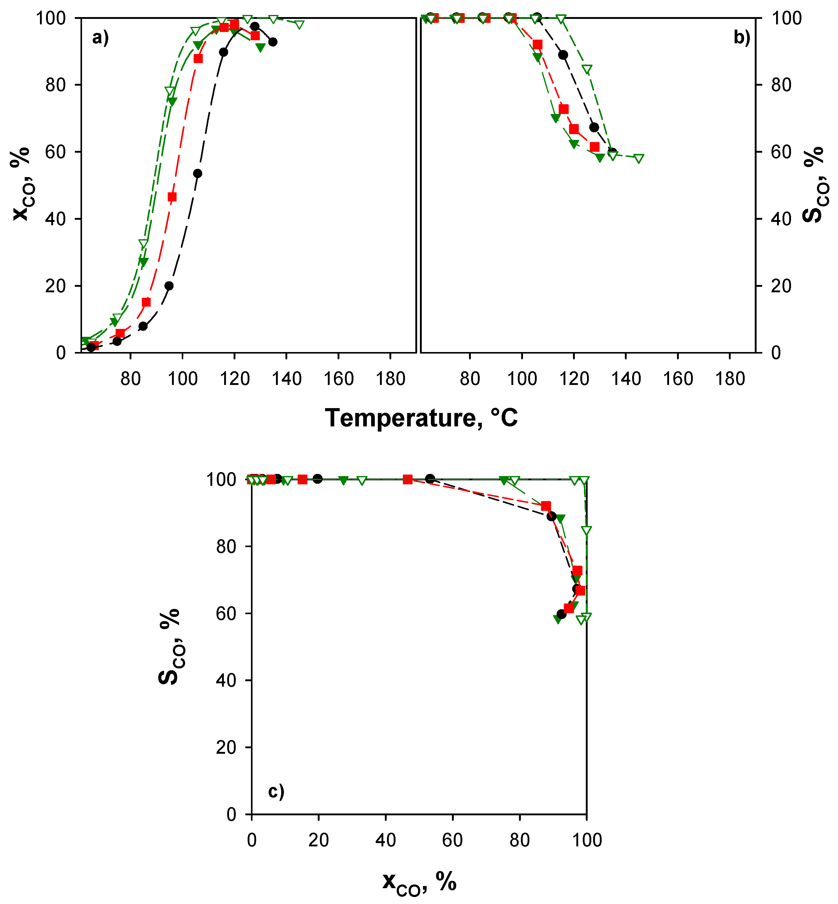
2.2. Activity Tests
2.3. Relevance of Mass Transfer Resistance in the Catalytic Tests
3. Discussion
4. Materials and Methods
4.1. Catalyst Preparation
4.2. Catalytic Tests
4.3. Catalyst Characterization
5. Conclusions
Author Contributions
Acknowledgments
Conflicts of Interest
Appendix A

Appendix A1. Interparticle Diffusion
| SAMPLE | τ g∙s∙cm−3 | T °C | k/(km∙av) | Φ | η |
|---|---|---|---|---|---|
| 4CuCe | 0.027 | 120 | 0.00012 | 0.28 | 0.98 |
| 0.040 | 0.005 | 0.27 | 0.98 | ||
| 0.027 | 90 | 0.00011 | 0.09 | 0.99 | |
| 0.040 | 0.0004 | 0.028 | 0.99 | ||
| 8CuCe | 0.027 | 120 | 0.005 | 0.44 | 0.97 |
| 0.054 | 0.006 | 0.34 | 0.985 | ||
| 0.027 | 90 | 0.0002 | 0.023 | 0.99 | |
| 0.054 | 0.000045 | 0.03 | 0.99 | ||
| 10CuCe | 0.027 | 120 | 0.008 | 0.7 | 0.95 |
| 0.054 | 0.0078 | 0.43 | 0.97 | ||
| 0.027 | 90 | 0.01 | 0.07 | 0.99 | |
| 0.054 | 0.03 | 0.03 | 0.98 |
Appendix A2. Intraparticle Diffusion
References
- Trimm, D.L.; Önsan, Z.I. Onboard Fuel Conversion for Hydrogen-Fuel-Cell-Driven Vehicles. Catal. Rev. Sci. Eng. 2001, 43, 31–84. [Google Scholar] [CrossRef]
- Zhao, Z.; Lin, X.; Jin, R.; Dai, Y.; Wang, G. High catalytic activity in CO PROX reaction of low cobalt-oxide loading catalysts supported on nano-particulate CeO2-ZrO2 oxides. Catal. Commun. 2011, 12, 1448–1451. [Google Scholar] [CrossRef]
- López, I.; Valdés-Solís, T.; Marbán, G. An attempt to rank copper-based catalysts used in the CO-PROX reaction. Int. J. Hydrogen Energy 2008, 33, 197–205. [Google Scholar] [CrossRef]
- Sedmak, G.; Hočevar, S.; Levec, J. Kinetics of selective CO oxidation in excess of H2 over the nanostructured Cu0.1Ce0.9O2−y catalyst. J. Catal. 2003, 213, 135–150. [Google Scholar] [CrossRef]
- Caputo, T.; Lisi, L.; Pirone, R.; Russo, G.; Ii, F. Kinetics of the Preferential Oxidation of CO over CuO/CeO2 Catalysts in H2-Rich. Ind. Eng. Chem. Res. 2007, 46, 6793–6800. [Google Scholar] [CrossRef]
- Martínez-Arias, A.; Hungría, A.B.; Fernández-García, M.; Conesa, J.C.; Munuera, G. Preferential oxidation of CO in a H2-rich stream over CuO/CeO2 and CuO/(Ce,M)Ox (M = Zr, Tb) catalysts. J. Power Sources 2005, 151, 32–42. [Google Scholar] [CrossRef]
- Martínez-Arias, A.; Hungría, A.B.; Munuera, G.; Gamarra, D. Preferential oxidation of CO in rich H2 over CuO/CeO2: Details of selectivity and deactivation under the reactant stream. Appl. Catal. B Environ. 2006, 65, 207–216. [Google Scholar] [CrossRef]
- Arango-Díaz, A.; Cecilia, J.A.; Moretti, E.; Talon, A.; Núñez, P.; Marrero-Jerez, J.; Jiménez-Jiménez, J.; Jiménez-López, A.; Rodríguez-Castellón, E. Comparative study of CuO supported on CeO2, Ce0.8Zr0.2O2 and Ce0.8Al0.2O2 based catalysts in the CO-PROX reaction. Int. J. Hydrogen Energy 2014, 39, 4102–4108. [Google Scholar] [CrossRef]
- Avgouropoulos, G.; Ioannides, T.; Matralis, H. Influence of the preparation method on the performance of CuO-CeO2 catalysts for the selective oxidation of CO. Appl. Catal. B Environ. 2005, 56, 87–93. [Google Scholar] [CrossRef]
- Reddy, L.H.; Reddy, G.K.; Devaiah, D.; Reddy, B.M. A rapid microwave-assisted solution combustion synthesis of CuO promoted CeO2-MxOy (M = Zr, La, Pr and Sm) catalysts for CO oxidation. Appl. Catal. A Gen. 2012, 445–446, 297–305. [Google Scholar] [CrossRef]
- Avgouropoulos, G.; Ioannides, T. Selective CO oxidation over CuO-CeO2 catalysts prepared via the ureanitrate combustion method. Appl. Catal. A Gen. 2003, 244, 155–167. [Google Scholar] [CrossRef]
- Gurbani, A.; Ayastuy, J.L.; González-Marcos, M.P.; Gutiérrez-Ortiz, M.A. CuO-CeO2 catalysts synthesized by various methods: Comparative study of redox properties. Int. J. Hydrogen Energy 2010, 35, 11582–11590. [Google Scholar] [CrossRef]
- Marban, G.; Fuertes, A.B. Highly active and selective CuOx/CeO2 catalyst prepared by a single-step citrate method for preferential oxidation of carbon monoxide. Appl. Catal. B Environ. 2005, 57, 43–53. [Google Scholar] [CrossRef]
- Hu, T.; Yang, J.; Zhao, J.; Wang, D.; Song, H.; Chou, L. Preparation of a Cu-Ce-O catalyst by urea combustion for removing CO from hydrogen. Chin. J. Catal. 2007, 28, 844–846. [Google Scholar] [CrossRef]
- Barbato, P.S.; Colussi, S.; Di Benedetto, A.; Landi, G.; Lisi, L.; Llorca, J.; Trovarelli, A. Origin of High Activity and Selectivity of CuO/CeO2 Catalysts Prepared by Solution Combustion Synthesis in CO-PROX Reaction. J. Phys. Chem. C 2016, 120, 13039–13048. [Google Scholar] [CrossRef]
- Landi, G.; Di Benedetto, A.; Colussi, S.; Barbato, P.S.; Lisi, L. Effect of carbon dioxide and water on the performances of an iron-promoted copper/ceria catalyst for CO preferential oxidation in H2-rich streams. Int. J. Hydrogen Energy 2016, 41, 7332–7341. [Google Scholar] [CrossRef]
- Barbato, P.S.; Colussi, S.; Di Benedetto, A.; Landi, G.; Lisi, L.; Llorca, J.; Trovarelli, A. CO preferential oxidation under H2-rich streams on copper oxide supported on Fe promoted CeO2. Appl. Catal. A Gen. 2015, 506, 268–277. [Google Scholar] [CrossRef]
- Wang, J.; Deng, L.; He, D.; Lu, J.; He, S.; He, S.; Luo, Y. A facile and rapid route to synthesize CuOx/Ce0.8Zr0.2O2 catalysts with high performance for CO preferential oxidation (CO-PROX). Int. J. Hydrogen Energy 2015, 40, 12478–12488. [Google Scholar] [CrossRef]
- Davó-Quiñonero, A.; Navlani-García, M.; Lozano-Castelló, D.; Bueno-López, A.; Anderson, J.A. Role of Hydroxyl Groups in the Preferential Oxidation of CO over Copper Oxide-Cerium Oxide Catalysts. ACS Catal. 2016, 6, 1723–1731. [Google Scholar] [CrossRef]
- Lee, H.C.; Kim, D.H. Kinetics of CO and H2 oxidation over CuO-CeO2 catalyst in H2 mixtures with CO2 and H2O. Catal. Today 2008, 132, 109–116. [Google Scholar] [CrossRef]
- Di Benedetto, A.; Landi, G.; Lisi, L.; Russo, G. Role of CO2 on CO preferential oxidation over CuO/CeO2 catalyst. Appl. Catal. B Environ. 2013, 142–143, 169–177. [Google Scholar] [CrossRef]
- Wang, J.B.; Lin, S.C.; Huang, T.J. Selective CO oxidation in rich hydrogen over CuO/samaria-doped ceria. Appl. Catal. A Gen. 2002, 232, 107–120. [Google Scholar] [CrossRef]
- Kotobuki, M.; Watanabe, A.; Uchida, H.; Yamashita, H.; Watanabe, M. Reaction mechanism of preferential oxidation of carbon monoxide on Pt, Fe, and Pt-Fe/mordenite catalysts. J. Catal. 2005, 236, 262–269. [Google Scholar] [CrossRef]
- Korotkikh, O.; Farrauto, R. Selective catalytic oxidation of CO in H2: Fuel cell applications. Catal. Today 2000, 62, 249–254. [Google Scholar] [CrossRef]
- Landon, P.; Ferguson, J.; Solsona, B.E.; Garcia, T.; Carley, A.F.; Herzing, A.A.; Kiely, C.J.; Golunski, S.E.; Hutchings, G.J. Selective oxidation of CO in the presence of H2, H2O and CO2 via gold for use in fuel cells. Chem. Commun. 2005, 3385. [Google Scholar] [CrossRef] [PubMed]
- Scirè, S.; Crisafulli, C.; Minicò, S.; Condorelli, G.G.; Di Mauro, A. Selective oxidation of CO in H2-rich stream over gold/iron oxide: An insight on the effect of catalyst pretreatment. J. Mol. Catal. A Chem. 2008, 284, 24–32. [Google Scholar] [CrossRef]
- Snytnikov, P.V.; Sobyanin, V.A.; Belyaev, V.D.; Tsyrulnikov, P.G.; Shitova, N.B.; Shlyapin, D.A. Selective oxidation of carbon monoxide in excess hydrogen over Pt-, Ru- and Pd-supported catalysts. Appl. Catal. A Gen. 2003, 239, 149–156. [Google Scholar] [CrossRef]
- Avgouropoulos, G.; Ioannides, T.; Papadopoulou, C.; Batista, J.; Hocevar, S.; Matralis, H.K. A comparative study of Pt/γ-Al2O3, Au/α-Fe2O3 and CuO-CeO2 catalysts for the selective oxidation of carbon monoxide in excess hydrogen. Catal. Today 2002, 75, 157–167. [Google Scholar] [CrossRef]
- Kim, D.H.; Lim, M.S. Kinetics of selective CO oxidation in hydrogen-rich mixtures on Pt/alumina catalysts. Appl. Catal. A Gen. 2002, 224, 27–38. [Google Scholar] [CrossRef]
- Kim, Y.H.; Park, E.D.; Lee, H.C.; Lee, D.; Lee, K.H. Preferential CO oxidation over supported noble metal catalysts. Catal. Today 2009, 146, 253–259. [Google Scholar] [CrossRef]
- Mariño, F.; Descorme, C.; Duprez, D. Noble metal catalysts for the preferential oxidation of carbon monoxide in the presence of hydrogen (PROX). Appl. Catal. B Environ. 2004, 54, 59–66. [Google Scholar] [CrossRef]
- Fonseca, J.D.S.L.; Ferreira, H.S.; Bion, N.; Pirault-Roy, L.; Rangel, M.D.C.; Duprez, D.; Epron, F. Cooperative effect between copper and gold on ceria for CO-PROX reaction. Catal. Today 2012, 180, 34–41. [Google Scholar] [CrossRef]
- Gu, D.; Jia, C.J.; Bongard, H.; Spliethoff, B.; Weidenthaler, C.; Schmidt, W.; Schüth, F. Ordered mesoporous Cu-Ce-O catalysts for CO preferential oxidation in H2-rich gases: Influence of copper content and pretreatment conditions. Appl. Catal. B Environ. 2014, 152–153, 11–18. [Google Scholar] [CrossRef]
- Moretti, E.; Lenarda, M.; Riello, P.; Storaro, L.; Talon, A.; Frattini, R.; Reyes-Carmona, A.; Jiménez-López, A.; Rodríguez-Castellón, E. Influence of synthesis parameters on the performance of CeO2-CuO and CeO2-ZrO2-CuO systems in the catalytic oxidation of CO in excess of hydrogen. Appl. Catal. B Environ. 2013, 129, 556–565. [Google Scholar] [CrossRef]
- Ayastuy, J.L.; Gurbani, a.; González-Marcos, M.P.; Gutiérrez-Ortiz, M.A. Selective CO oxidation in H2 streams on CuO/CexZr1−xO2 catalysts: Correlation between activity and low temperature reducibility. Int. J. Hydrogen Energy 2012, 37, 1993–2006. [Google Scholar] [CrossRef]
- Firsova, A.A.; Il’ichev, A.N.; Khomenko, T.I.; Gorobinskii, L.V.; Maksimov, Y.V.; Suzdalev, I.P.; Korchak, V.N. Selective oxidation of CO in the presence of hydrogen on CuO/CeO2 catalysts modified with Fe and Ni oxides. Kinet. Catal. 2007, 48, 282–291. [Google Scholar] [CrossRef]
- Sirichaiprasert, K.; Luengnaruemitchai, A.; Pongstabodee, S. Selective oxidation of CO to CO2 over Cu-Ce-Fe-O composite-oxide catalyst in hydrogen feed stream. Int. J. Hydrogen Energy 2007, 32, 915–926. [Google Scholar] [CrossRef]
- Ma, S.; Lu, G.; Shen, Y.; Guo, Y.; Wang, Y.; Guo, Y. Effect of Fe doping on the catalytic performance of CuO–CeO2 for low temperature CO oxidation. Catal. Sci. Technol. 2011, 1, 669. [Google Scholar] [CrossRef]
- Lendzion-Bielun, Z.; Bettahar, M.M.; Monteverdi, S. Fe-promoted CuO/CeO2 catalyst: Structural characterization and CO oxidation activity. Catal. Commun. 2010, 11, 1137–1142. [Google Scholar] [CrossRef]
- Zou, H.; Chen, S.; Liu, Z.; Lin, W. Selective CO oxidation over CuO-CeO2 catalysts doped with transition metal oxides. Powder Technol. 2011, 207, 238–244. [Google Scholar] [CrossRef]
- Ayastuy, J.L.; Fernández-Puertas, E.; González-Marcos, M.P.; Gutiérrez-Ortiz, M.A. Transition metal promoters in CuO/CeO2 catalysts for CO removal from hydrogen streams. Int. J. Hydrogen Energy 2012, 37, 7385–7397. [Google Scholar] [CrossRef]
- Iglesias-González, A.; Ayastuy, J.L.; González-Marcos, M.P.; Gutiérrez-Ortiz, M.A. CuO/CexSn1−xO2 catalysts with low tin content for CO removal from H2-rich streams. Int. J. Hydrogen Energy 2014, 39, 5213–5224. [Google Scholar] [CrossRef]
- Kydd, R.; Ferri, D.; Hug, P.; Scott, J.; Teoh, W.Y.; Amal, R. Temperature-induced evolution of reaction sites and mechanisms during preferential oxidation of CO. J. Catal. 2011, 277, 64–71. [Google Scholar] [CrossRef]
- Araújo, V.D.; Bellido, J.D.A.; Bernardi, M.I.B.; Assaf, J.M.; Assaf, E.M. CuO-CeO2 catalysts synthesized in one-step: Characterization and PROX performance. Int. J. Hydrogen Energy 2012, 37, 5498–5507. [Google Scholar] [CrossRef]
- Chuang, K.-H.; Shih, K.; Lu, C.-Y.; Wey, M.-Y. Copper catalysts prepared via microwave-heated polyol process for preferential oxidation of CO in H2-rich streams. Int. J. Hydrogen Energy 2013, 38, 100–108. [Google Scholar] [CrossRef]
- Jampa, S.; Wangkawee, K.; Tantisriyanurak, S.; Changpradit, J.; Jamieson, A.M.; Chaisuwan, T.; Luengnaruemitchai, A.; Wongkasemjit, S. High performance and stability of copper loading on mesoporous ceria catalyst for preferential oxidation of CO in presence of excess of hydrogen. Int. J. Hydrogen Energy 2017, 42, 5537–5548. [Google Scholar] [CrossRef]
- Meng, M.; Liu, Y.; Sun, Z.; Zhang, L.; Wang, X. Synthesis of highly-dispersed CuO-CeO2 catalyst through a chemisorption-hydrolysis route for CO preferential oxidation in H2-rich stream. Int. J. Hydrogen Energy 2012, 37, 14133–14142. [Google Scholar] [CrossRef]
- Maciel, C.G.; Belgacem, M.N.; Assaf, J.M. Performance of CuO-CeO2 Catalysts with Low Copper Content in CO Preferential Oxidation Reaction. Catal. Lett. 2011, 141, 316–321. [Google Scholar] [CrossRef]
- Moretti, E.; Storaro, L.; Talon, A.; Lenarda, M. One-pot mesoporous Al-Ce-Cu oxide systems as catalysts for the preferential carbon monoxide oxidation (CO-PROX). Catal. Commun. 2009, 10, 522–527. [Google Scholar] [CrossRef]
- Martínez-Arias, A.; Gamarra, D.; Fernández-García, M.; Hornés, A.; Bera, P.; Koppány, Z.; Schay, Z. Redox-catalytic correlations in oxidised copper-ceria CO-PROX catalysts. Catal. Today 2009, 143, 211–217. [Google Scholar] [CrossRef]
- Gamarra, D.; Munuera, G.; Hungría, A.B.; Fernández-García, M.; Conesa, J.C.; Midgley, P.A.; Wang, X.Q.; Hanson, J.C.; Rodríguez, J.A.; Martínez-Arias, A. Structure-activity relationship in nanostructured copper-ceria-based preferential CO oxidation catalysts. J. Phys. Chem. C 2007, 111, 11026–11038. [Google Scholar] [CrossRef]
- Caputo, T.; Lisi, L.; Pirone, R.; Russo, G. On the role of redox properties of CuO/CeO2 catalysts in the preferential oxidation of CO in H2-rich gases. Appl. Catal. A Gen. 2008, 348, 42–53. [Google Scholar] [CrossRef]
- Chung, L.-C.; Yeh, C.-T. Synthesis of highly active CuO-CeO2 nanocomposites for preferential oxidation of carbon monoxide at low temperatures. Catal. Commun. 2008, 9, 670–674. [Google Scholar] [CrossRef]
- Landi, G.; Barbato, P.S.; Di Benedetto, A.; Lisi, L. Optimization of the preparation method of CuO/CeO2 structured catalytic monolith for CO preferential oxidation in H2-rich streams. Appl. Catal. B Environ. 2016, 181, 727–737. [Google Scholar] [CrossRef]
- Barbato, P.S.; Di Benedetto, A.; Landi, G.; Lisi, L. Structuring CuO/CeO2 Catalyst as Option to Improve Performance Towards CO-PROX. Top. Catal. 2016, 59, 1371–1382. [Google Scholar] [CrossRef]
- Dudfield, C.D.; Chen, R.; Adcock, P.L. A carbon monoxide PROX reactor for PEM fuel cell automotive application. Int. J. Hydrogen Energy 2001, 26, 763–775. [Google Scholar] [CrossRef]
- Xu, D.; Cheng, F.; Lu, Q.; Dai, P. Microwave Enhanced Catalytic Degradation of Methyl Orange in Aqueous Solution over CuO/CeO2 Catalyst in the Absence and Presence of H2O2. Ind. Eng. Chem. Res. 2014, 53, 2625–2632. [Google Scholar] [CrossRef]
- Xu, J.F.; Ji, W.; Shen, Z.X.; Tang, S.H.; Ye, X.R.; Jia, D.Z.; Xin, X.Q. Preparation and Characterization of CuO Nanocrystals. J. Solid State Chem. 1999, 147, 516–519. [Google Scholar] [CrossRef]
- Zimmer, P.; Tschöpe, A.; Birringer, R. Temperature-programmed reaction spectroscopy of ceria- and Cu/ceria-supported oxide catalyst. J. Catal. 2002, 205, 339–345. [Google Scholar] [CrossRef]
- Boaro, M.; Vicario, M.; De Leitenburg, C.; Dolcetti, G.; Trovarelli, A. The use of temperature-programmed and dynamic/transient methods in catalysis: Characterization of ceria-based, model three-way catalysts. Catal. Today 2003, 77, 407–417. [Google Scholar] [CrossRef]
- Wang, W.-W.; Du, P.-P.; Zou, S.-H.; He, H.-Y.; Wang, R.-X.; Jin, Z.; Shi, S.; Huang, Y.-Y.; Si, R.; Song, Q.-S.; et al. Highly Dispersed Copper Oxide Clusters as Active Species in Copper-Ceria Catalyst for Preferential Oxidation of Carbon Monoxide. ACS Catal. 2015, 5, 2088–2099. [Google Scholar] [CrossRef]
- Kundakovic, L.; Flytzani-Stephanopoulos, M. Reduction characteristics of copper oxide in cerium and zirconium oxide systems. Appl. Catal. A Gen. 1998, 171, 13–29. [Google Scholar] [CrossRef]
- Cecilia, J.A.; Arango-Díaz, A.; Franco, F.; Jiménez-Jiménez, J.; Storaro, L.; Moretti, E.; Rodríguez-Castellón, E. CuO-CeO2 supported on montmorillonite-derived porous clay heterostructures (PCH) for preferential CO oxidation in H2-rich stream. Catal. Today 2015, 253, 126–136. [Google Scholar] [CrossRef]
- Barbato, P.S.; Di Benedetto, A.; Landi, G.; Lisi, L. CuO/CeO2 based monoliths for CO preferential oxidation in H2-rich streams. Chem. Eng. J. 2015, 279, 983–993. [Google Scholar] [CrossRef]
- Du, L.; Wang, W.; Yan, H.; Wang, X.; Jin, Z.; Song, Q.; Si, R.; Jia, C. Copper-ceria sheets catalysts: Effect of copper species on catalytic activity in CO oxidation reaction. J. Rare Earths 2017, 35, 1186–1196. [Google Scholar] [CrossRef]
- Guo, X.; Zhou, R. Identification of the nano/micro structure of CeO2(rod) and the essential role of interfacial copper-ceria interaction in CuCe(rod) for selective oxidation of CO in H2-rich streams. J. Power Sources 2017, 361, 39–53. [Google Scholar] [CrossRef]
- Gong, X.; Liu, B.; Kang, B.; Xu, G.; Wang, Q.; Jia, C.; Zhang, J. Boosting Cu-Ce interaction in CuxO/CeO2nanocube catalysts for enhanced catalytic performance of preferential oxidation of CO in H2-rich gases. Mol. Catal. 2017, 436, 90–99. [Google Scholar] [CrossRef]
- Di Benedetto, A.; Landi, G.; Lisi, L. CO reactive adsorption at low temperature over CuO/CeO2 structured catalytic monolith. Int. J. Hydrogen Energy 2017, 42, 12262–12275. [Google Scholar] [CrossRef]
- Gamarra, D.; Belver, C.; Fernández-García, M.; Martínez-Arias, A. Selective CO oxidation in excess H2 over copper-ceria catalysts: Identification of active entities/species. J. Am. Chem. Soc. 2007, 129, 12064–12065. [Google Scholar] [CrossRef] [PubMed]
- Zhu, C.; Ding, T.; Gao, W.; Ma, K.; Tian, Y.; Li, X. CuO/CeO2 catalysts synthesized from Ce-UiO-66 metal-organic framework for preferential CO oxidation. Int. J. Hydrogen Energy 2017, 42, 17457–17465. [Google Scholar] [CrossRef]
- Gamarra, D.; Martínez-Arias, A. Preferential oxidation of CO in rich H2over CuO/CeO2: Operando-DRIFTS analysis of deactivating effect of CO2 and H2O. J. Catal. 2009, 263, 189–195. [Google Scholar] [CrossRef]
- Park, J.W.; Jeong, J.H.; Yoon, W.L.; Rhee, Y.W. Selective oxidation of carbon monoxide in hydrogen-rich stream over Cu-Ce/γ-Al2O3 catalysts promoted with cobalt in a fuel processor for proton exchange membrane fuel cells. J. Power Sources 2004, 132, 18–28. [Google Scholar] [CrossRef]
- Mariño, F.; Descorme, C.; Duprez, D. Supported base metal catalysts for the preferential oxidation of carbon monoxide in the presence of excess hydrogen (PROX). Appl. Catal. B Environ. 2005, 58, 175–183. [Google Scholar] [CrossRef]
- Satterfield, C.N.; Sherwood, T.K. The Role of Diffusion in Catalysis; Addison-Wesley Pub. Co.: Boston, MA, USA, 1963. [Google Scholar]




8CuCe;
10CuCe;
4%CuO/CeO2 [15].
8CuCe;
10CuCe;
4%CuO/CeO2 [15].
8CuCe;
10CuCe;
10CuCe at τ = 0.054 g·s·cm−3 and CO/H2/O2/N2 = 0.5/50/0.9/balance.
8CuCe;
10CuCe;
10CuCe at τ = 0.054 g·s·cm−3 and CO/H2/O2/N2 = 0.5/50/0.9/balance.
8CuCe;
10CuCe;
10CuCe (CO/H2/O2/N2 = 0.5/50/0.9/balance); ¯ 4%CuO/CeO2 (CO/H2/O2/CO2/H2O/N2 = 0.5/50/0.9/15/10/balance).
8CuCe;
10CuCe;
10CuCe (CO/H2/O2/N2 = 0.5/50/0.9/balance); ¯ 4%CuO/CeO2 (CO/H2/O2/CO2/H2O/N2 = 0.5/50/0.9/15/10/balance).
| Sample | Nominal CuO Content, wt % | Nominal Cu Content, wt % | BET Area, m2/g | Surface Cu Content, wt % a |
|---|---|---|---|---|
| 4CuCe | 4 | 3.2 | 83.4 | 3.7 |
| 8CuCe | 8 | 6.4 | 61.4 | 8.8 |
| 10CuCe | 10 | 8.0 | 57.8 | 6.1 |
| Sample | Total H2 Uptake, µmol/g | Peak | Peak Temperature, °C | Peak Area, µmol/g | H2/Cu | CO2, µmol/g |
|---|---|---|---|---|---|---|
| CeO2 | 361 | |||||
| 4CuCe | 971 | α’ | 121 | 57.0 (6.1%) | 1.5 | 436 |
| α | 166 | 418 (44.5%) | ||||
| β + γ | 224 | 465 (49.5%) | ||||
| 8CuCe | 1618 | α | 175 | 800 (49.5%) | 1.3 | 328 |
| β + γ | 214 | 818 (50.5%) | ||||
| 10CuCe | 1750 | α | 166 | 838 (47.9%) | 1.1 | 326 |
| β + γ | 214 | 912 (52.1%) |
| Sample | CuO, | τ, | τ’, | T99, | Feed Composition | Ref. | ||
|---|---|---|---|---|---|---|---|---|
| % | g∙s∙cm−3 | s (×103) | °C | CO a | O2 b | H2 b | ||
| CuCe-2b | 7.5 | 0.003 | 9.4 | 170 | 300 | 0.03 | 1 | [13] |
| 5CuCe nano-sheet | 6.2 | 0.045 | 3.5 | 122 | 10,000 | 20 | - | [65] |
| 0.04CuCe from Ce-UiO-66 | 10.9 | 0.3 | 41.1 | 105 | 10,000 | 1 | 50 | [70] |
| CuCe(rod)-48h | 8.7 | 0.06 | 6.6 | 90 | 10,000 | 1 | 50 | [66] |
| 10CuCe-2OH-ILs | 12 | 0.06 | 9.1 | 130 | 10,000 | 1 | 50 | [67] |
| 4%CuO/CeO2 | 4 | 0.054 | 5.4 | 170 | 5000 | 0.9 | 50 | [15] |
| 4%CuO/CeO2 by SCS | 4 | 0.054 | 5.4 | 150 | 5000 | 0.9 | 50 | [15] |
| xCuCe | 4, 8, 10 | 0.054 | 5.4–13.6 | 115 | 5000 | 0.9 | 50 | This work |
| 10CuCe | 10 | 0.027 | 6.8 | 115 | 5000 | 0.5 | 50 | This work |
| Sample | CuO, wt % | τ, g∙s∙cm−3 | τ’, s (×103) | T, °C | k, cm3∙s−1∙g−1 | TOF, s−1 | Ref. |
|---|---|---|---|---|---|---|---|
| 0.5CuCe | 0.6 | 0.03 | 0.4 | 100 | 3.1 | 6.7 | [52] |
| 4CuCe | 4.2 | 0.03 | 3.2 | 100 | 17.6 | 5.4 | [52] |
| 8CuCe | 8.2 | 0.03 | 6.2 | 100 | 16.7 | 2.6 | [52] |
| 4CuCe | 4 | 0.054 | 5.4 | 95 | 32.3 | 10.6 | This work |
| 8CuCe | 8 | 0.054 | 10.9 | 95 | 27.6 | 4.5 | This work |
| 10CuCe | 10 | 0.054 | 13.6 | 95 | 35.2 | 4.6 | This work |
| 4CuCe | 4 | 0.027 | 2.7 | 95 | 10.1 | 3.3 | This work |
| 8CuCe | 8 | 0.027 | 5.4 | 95 | 28.6 | 4.7 | This work |
| 10CuCe | 10 | 0.027 | 6.8 | 95 | 64.0 | 8.4 | This work |
© 2018 by the authors. Licensee MDPI, Basel, Switzerland. This article is an open access article distributed under the terms and conditions of the Creative Commons Attribution (CC BY) license (http://creativecommons.org/licenses/by/4.0/).
Share and Cite
Di Benedetto, A.; Landi, G.; Lisi, L. Improved CO-PROX Performance of CuO/CeO2 Catalysts by Using Nanometric Ceria as Support. Catalysts 2018, 8, 209. https://doi.org/10.3390/catal8050209
Di Benedetto A, Landi G, Lisi L. Improved CO-PROX Performance of CuO/CeO2 Catalysts by Using Nanometric Ceria as Support. Catalysts. 2018; 8(5):209. https://doi.org/10.3390/catal8050209
Chicago/Turabian StyleDi Benedetto, Almerinda, Gianluca Landi, and Luciana Lisi. 2018. "Improved CO-PROX Performance of CuO/CeO2 Catalysts by Using Nanometric Ceria as Support" Catalysts 8, no. 5: 209. https://doi.org/10.3390/catal8050209
APA StyleDi Benedetto, A., Landi, G., & Lisi, L. (2018). Improved CO-PROX Performance of CuO/CeO2 Catalysts by Using Nanometric Ceria as Support. Catalysts, 8(5), 209. https://doi.org/10.3390/catal8050209
