Abstract
The use of small organic molecules as catalysts has gained increasing importance recently. These substances, the so-called organocatalysts, present a lot of advantages, like being less toxic, less polluting, and more economically viable than the organometallic catalysts that dominate asymmetric synthesis. This work intends to briefly show some classic works and recent publications, explaining the advantages of organocatalysis and the different types of compounds used in this field, as well as their course of action.
1. Introduction
A catalyst is a substance that facilitates the course of a reaction without affecting its equilibrium position; it acts by decreasing the activation energy of the process, allowing it to happen under milder conditions [1].
Regarding their chemical composition, catalysts can be metallic, enzymatic, or organic, but for years this area has been dominated by metal catalysts. However, the use of metals or organometallic compounds present some related environmental concerns, mostly owing to their toxicity and the generation of polluting metal waste.
In this context, organocatalysis is the use of small organic molecules to activate substrates, whether these substrates are electrophiles or nucleophiles [2,3].
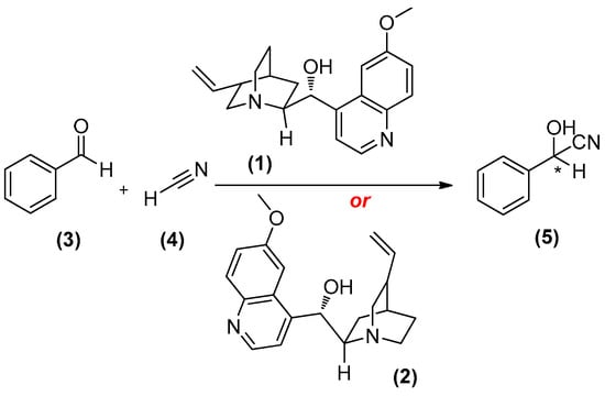
This type of methodology has existed for a long time, and one of the earliest known organocatalyzed described reactions is the use of cinchona alkaloids for the HCN (hydrogen cyanide) addition to aldehydes, published in 1912 by Breding and Fiske. In this synthesis, they observed that enantioselectivity was observed if the reaction media underwent the addition of quinine (1) or quinidine (2) (Scheme 1) [4,5].
Scheme 1.
Cinchona alkaloids quinine (1) or quinidine (2), used by Bredig and Fiske in the addition of HCN to aldehydes [4,5].
In addition to the primary advantage of the use of catalysts, which is the reduction of the activation energy of the reaction, organocatalysis is also inserted in the context of green chemistry, since the execution of reactions using catalysis is considered as one of the main points of this expanding area of chemistry [1].
Organocatalysis can be greener than traditional catalysis because:
- -
- The use of catalysts is, itself, a green chemistry principle;
- -
- It employs mild conditions, consequently saving energy;
- -
- It uses, in general, oxygen-stable reagents and does not require anhydrous conditions, reducing the cost of the synthesis [3];
- -
- It is compatible with several functional groups that could be sensitive to other processes—this reduces the need for protection groups, lowering the total number of reaction steps;
- -
- It uses less toxic and safer substances;
- -
- It prevents the formation of metallic waste and avoids traces of metals in the products, which is an essential feature for applications in medicinal chemistry.
2. Amines as Organocatalysts
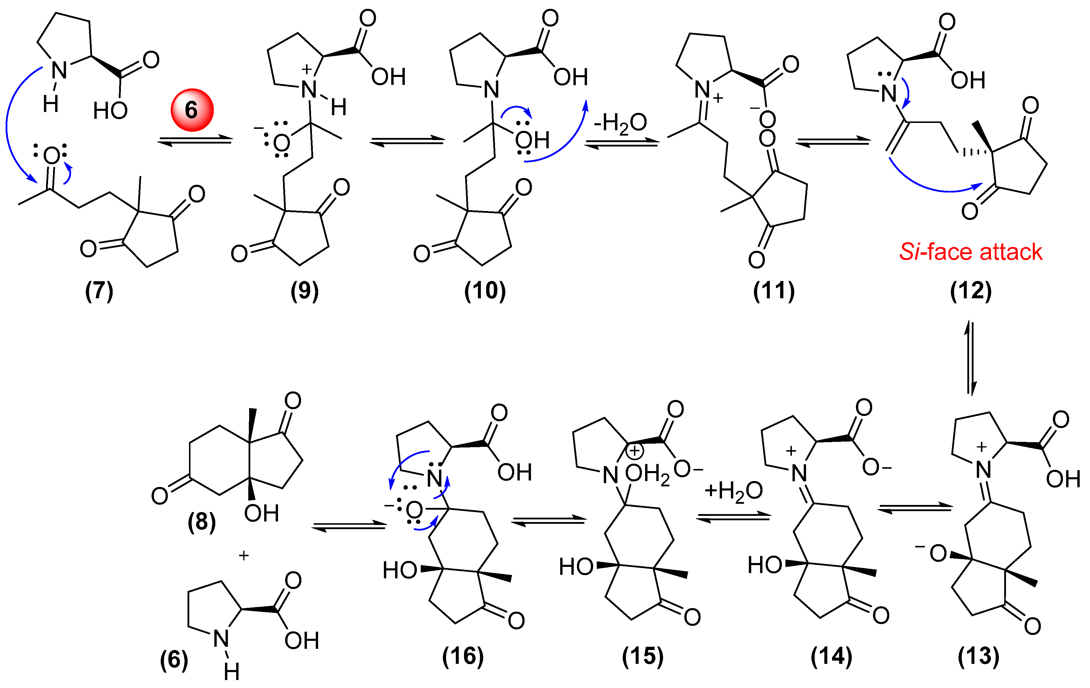
One of the main purposes of organocatalysis is the execution of stereoselective reactions [6]. A classic example is the use of l-proline (6), an aminoacid, donating a proton and functioning as a Brønsted acid. Being a secondary amine, this aminoacid can form enamines with carbonyl compounds; by having its amine group inserted into a cyclic system, l-proline (6) has rigidity and can be used in sub-stoichiometric amounts to induce the formation of one enantiomer over the other in carbonyl addition reactions.
The first reported use of l-proline (6) as a catalyst was in the process developed by Hajos and Parrish, which was patented in 1971 and published in 1974. This synthesis involves the use of organocatalysis to obtain a chiral alcohol (8) (Scheme 2) [1,7,8,9]. The use of different chiral aminoacids was also extensively studied by Eder, Sauer, and Wiechert for the synthesis of chiral fused bicycles from prochiral centers [10].
Scheme 2.
Hajos and Parrish synthesis of fused bicyclic compounds using l-proline as a catalyst.
In this reaction, proline (6) initially acts as a nucleophile, adding to the terminal carbonyl group. The formed enamine 12 reacts with one of the ring carbonyls in an aldol condensation reaction, with 100% yield of the cis addition product (13). Thereafter, the catalyst is regenerated, being available for a new catalytic cycle (Scheme 3) [2,7,8,9].
Scheme 3.
Adapted mechanism for the l-proline-catalyzed aldol condensation reaction [2].
Recently, Xu et al. showed that aminoacids are not the only molecules capable of inducing chirality in organic reactions. Using a primary amine 17 as a chiral catalyst, the Hajos-Parrish-Eder-Sauer-Wiechert reaction was made in a “one-pot” fashion with excellent enantiomeric excesses (ee) (Scheme 4) [11].
Scheme 4.
A Hajos-Parrish-Eder-Sauer-Wiechert reaction catalyzed by amine 17.
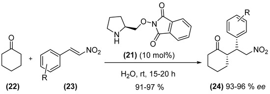
There are also reports of a proline-pyrrolidine-oxyimide organocatalyst (21) being used in the asymmetric Michael addition of ketones (22) to nitroolefins (23) (Scheme 5). This catalyst allowed the synthesis of the Michael adducts with good yields (91–97%) and high enantioselectivity (up to 96% ee) when performed in water [12].
Scheme 5.
Asymmetric Michael addition of ketones to nitroolefins.
Honarmad et al. have synthesized a nanoaliphatic ammonium salt ([(PDA)(MeSO3)]) (25) using only 1,3-diaminopropane (26) and methanesulfonic acid (27) in water at room temperature [13]. The catalyst 25 was applied to catalyze the reaction between benzaldehyde (28), malononitrile (29), and dimedone (30), affording the 2-amino-3-cyano-4H-pyran (31). The best result was obtained using 10 mol% of the catalyst at 60 °C, under solvent-free conditions (Scheme 6). When the reaction was conducted in the absence of the catalyst, a very slow rate was observed, with only 10% of the product being formed after 12 h.
Scheme 6.
Synthesis of a nanoaliphatic ammonium salt ([(PDA)(MeSO3)]) (25) and evaluation of its catalytic activity in the synthesis of 2-amino-3-cyano-4H-pyran.
They also verified the generality of this organocatalytic protocol by reacting several aldehydes bearing electron-releasing and withdrawing groups and several carbonyl compounds. They observed yields ranging from 80% to 98%.
The [(PDA)(MeSO3)] (25) could be easily recovered by dissolution in water followed by filtration of the product and evaporation of the water and reused for five cycles without loss in its catalytic activity. This reaction could also be scaled-up from a 1 mmol to a 20 mmol scale with the same yield and reaction time.
Jørgensen et al. described the use of organocatalysis in the asymmetric α-alkylation of aldehydes (32) via the 1,6-conjugated addition of enamines to p-quinone methides (33) [14]. They used a chiral secondary amine catalyst (34) to synthesize α-diarylmethine-substituted aldehydes (35) with two neighboring stereocenters (Scheme 7) with good diastereocontrol and enantioselectivity. In this case, the (diphenylmethyl)trimethylsiloxy group was proposed to shield one face of the enamine, providing enantiocontrol, while the other silyloxy moiety determines the approach of the p-quinone methide to the enamine. The use of a thiourea derivative as a Lewis acid additive (36) accelerated the reaction.
Scheme 7.
Organocatalytic asymmetric α-alkylation of aldehydes with p-quinone methides.
Another approach for the α-alkylation of aldehydes was described by Guo et al., in this case with α-amino aldehydes (37) and 3-indolylmethanols (38) as alkylating agents (Scheme 8). The amine (39) was employed as catalyst and the chiral products 40 were obtained in yields up to 99%, diastereoselectivities up to 88:12, and enantiomeric excess up to 96% [15].
Scheme 8.
α-Alkylation of α-amino aldehydes with 3-indolylmethanols.
Alexakis et al. described an enantio and diastereoselective organocatalytic domino Michael/Aldol reaction sequence. This approach was applied in the preparation of bicyclo[3.2.1] octane (41) employing bifunctional organocatalysts (42) (thiourea and tertiary amine) [16]. The reaction worked very well for several substituted β,γ-unsaturated 1,2-ketoesters (43) and cyclic 1,3-ketoesters (44). It allows for the formation of the correspondent bicyclo[3.2.1]octanes in good yields (53−98%) with enantioselectivities up to 90% ee (Scheme 9).
Scheme 9.
Domino Michael/aldol reaction of methylcyclopentanone carboxylate to β,γ-unsaturated 1,2-ketoesters catalyzed by a chiral thiourea catalyst.
The interest in the asymmetric synthesis of compounds containing the trifluoromethyl group at stereogenic centers is crescent, but not many methods are available for the enantiomerically enriched synthesis of this type of compound [17]. A possible solution to this challenge, as showed in Scheme 10, is the asymmetric conjugate addition of nitromethane to sterically congested β,β-disubstituted β-CF3 enones (45) under high-pressure using a non-covalent catalyst. In this case, the use of a chiral tertiary amine-thiourea catalyst (46) afforded a variety of γ-nitroketones containing trifluoromethylated chiral quaternary carbons in the β-position (47) (80−97%, 92−98% ee) [18].
Scheme 10.
Synthesis of trifluoromethylated products modified in the β-position.
Another important synthetic challenge is the construction of non-aromatic polycyclic skeletons due to their presence in bioative molecules. In this sense, Greck et al. reported a one-pot reaction for the direct conversion of hydroquinone derivatives (49) into enantioenriched tricyclic skeletons. The reaction takes place through an oxidative dearomatization and is catalyzed by amine 50 in a Diels-Alder/Michael cascade process (Scheme 11) [19]. The endo product (51) is obtained under these conditions with excellent control of regio and stereo-selectivity [20].
Scheme 11.
Dearomatization and trienamine/enamine activation sequence for the synthesis of enantioenriched tricyclic scaffolds.
The organocatalyzed asymmetric synthesis of a series of spirocyclobutyl oxindoles (56) was achieved based on H bond-directing dienamine activation using the amine 55 as a catalyst through a formal [2+2] cycloaddition reaction (Scheme 12). They were obtained in good yields (63–83%), excellent β,γ-regioselectivity (>19:1), and stereocontrol (up to >19:1 dr and 97% ee) [21].
Scheme 12.
Organocatalyzed [2+2] cycloaddition reaction of ethyleneindolinones to α,β-unsaturated aldehydes.
Ma et al. showed a series of electron-deficient 1-sulfonyl-1-azadienes (59) acting as regio and chemo-selective dienophiles with their 2π-participation in Normal-Electron-Demand Diels-Alder (NEDDA) reactions with 2,4-dienal (60) via trienamine activation, leading to the formation of multifunctional cycloadducts (61) (Scheme 13). These reactions ocurred in the presence of amine 62 as the catalyst [22,23].
Scheme 13.
NEDDA reactions of 4-styryl-1,2,3-benzoxathiazine-2,2-dioxides.
3. Chiral Amides as Organocatalysts
Several proline-based organocatalysts have been developed in recent years with the aim of improving the enantio and diastereo-selectivity of aldol reactions. An example is the use of prolinamides to provide double hydrogen-bonding with the corresponding substrates; here, a functionalized o-phenylenediamine prolinamide was applied as an organocatalyst (63) in the direct asymmetric aldol reaction between aromatic aldehydes (64) and cyclohexanone (65) (Scheme 14). Stable imidazolidinones (67) were observed in organic solvents, but their unwanted formation was significantly suppressed aqueous conditions. Furthermore, the catalytic activity of the prolinamides was improved, with high yields (up to 99%), good diastereoselectivity (up to >20:1 dr), and enantioselectivity (up to 95% ee) [24].
Scheme 14.
Direct asymmetric aldol reaction of substituted benzaldehydes and cyclohexanone catalyzed by prolinamides in aqueus conditions.
l-prolinamides (68) were also employed in the asymmetric Michael addition of aldehydes (69) to nitroalkenes (70), affording the products (71) under mild conditions with good yields (up to 94%) with excellent enantioselectivities (up to 99% ee) and diastereoselectivities (up to 99:1 dr) (Scheme 15) [25].
Scheme 15.
Asymmetric Michael additions of aldehydes to nitroalkenes catalyzed by l-prolinamides.
The direct construction of optically pure bispiro[γ-butyrolactone-pyrrolidin4,4′-pyrazolone] skeletons containing four contiguous new stereo-centers was conducted via a direct catalytic 1,3-dipolar cycloaddition between an α-arylidene pyrazolonone, the 4-benzyl-idene-3-methyl-1-phenyl-1-H pyrazol-5(4H)-one (72), and the α-imino γ-lactone (73) (Scheme 16). The organocatalyst used for this purpose was a bifunctional squaramide (75). The product (74) was obtained with an 85% yield and with excellent diatereo (>20:1 dr) and enantio-selectivity (94% ee) [26].
Scheme 16.
Synthesis of bispirocyclic scaffolds in high yields and excellent diastereo and enantio-selectivities.
4. Iminium
Chan et al. reported the asymmetric epoxidation of dihydroquinolines (76) by using iminium salt organocatalysts (77, 78, and 79). The formation of various 3,4-epoxytetrahydroquinoline (80) products via epoxidation with m-CPBA showed that the olefin double bond is reactive towards electrophilic oxygen sources. The products were obtained in good yields and with up to 73% ee (Scheme 17) [27].
Scheme 17.
Asymmetric epoxidation of dihydroquinoline using iminium salts.
Marcos et al. described a switchable organocatalyst based on a rotaxane (81). The use of such catalyst is important to control the degree of the Michael addition of an aliphatic thiol to trans-cinnamaldehyde [28]. Structurally, the catalyst consists of a dibenzo-24-crown-8 macrocycle containing a locked position, comprised of a dibenzylamine/ammonium moiety, characterizing the catalytic unit, and a triazolium ring.
In this work, they chose an amino-catalyst (81) to explore its efficacy as a switchable catalyst in a variety of activation modes [29]. Mechanistically, the catalyst (81) can activate carbonyl compounds through both enamine and iminium ion mechanisms, which makes this catalyst ideal for reactions where aldehydes substituted in both the α and β positions can be formed, such as in some known tandem reactions.
An example that demonstrates that this can be achieved with rotaxane (81) was reported, the addition of thiol (82) to transcinnamaldehyde (83) catalyzed by 81 via iminium formation, followed by the subsequent addition of vinyl bis-sulfone (84) via enamine catalysis to afford compound (85) (Scheme 18). Two new bonds were formed, i.e., a C–S bond via iminium ion catalysis, and a C–C bond via enamine catalysis, with a 50% yield.
Scheme 18.
Michael addition of aldehydes to a vinyl bis-sulfone promoted by catalyst (81).
5. Carbenes as Organocatalysts
Carbenes are neutral substances with a carbon atom containing only six electrons in the valence layer. This carbon is divalent and has a free pair of electrons [30].
Wilson and Chen have synthesized some furoins (86, 87, 88, and e 89) through the cross-coupling between furfural (90) and 5-hydroxymethylfurfural (91), which do not have α-hydrogens, preventing aldol condensation. To accomplish this transformation, they generated the carbene catalyst (92) in situ from the pre-catalyst 5-methoxy-1,3,4-triphenyl-4,5-dihydro-1H-1,2,4-triazoline (93). To catalyze the reaction, the carbene (92) initially adds to the furfural’s carbonyl group, generating a tetrahedral intermediate (94), which is converted to the Breslow intermediate (95) after dehydration. This intermediate then reacts with 5-hydroxymethylfurfural, followed by the elimination of the catalyst (Scheme 19) [31].
Scheme 19.
N-heterocyclic carbene-catalyzed coupling reaction of aldehydes.
Carbenes were also used in the highly enantioselective synthesis of functionalized cyclopentenes. Biju et al. developed the N-heterocyclic carbene-catalyzed enantioselective synthesis of substituted five-membered carbocycles via chiral α,β-unsaturated acyl azolium intermediates, which takes place through a Michael intramolecular aldol/β-lactonization/decarboxylation sequence [32]. To prove the efficiency of the protocol, a series of chiral cyclopentene derivatives (100) were synthesized from malonic ester derivatives (97) and 2-bromoenals (98) in the presence of triazolium salt (99) and isolated in moderate to good yields with excellent ee (99%) (Scheme 20) [33].
Scheme 20.
Synthesis and proposed mechanism of the NHC-catalyzed enantioselective synthesis of substituted cyclopentenes.
Diazepines and styryl pyrazoles are important heterocycles, since both are present in several natural products and bioactive compounds [34]. In this sense, a successful NHC-catalyzed asymmetric formal [4+3] cycloaddtion was reported for the synthesis of 1,2-diazepine heterocycles (103) in good yields and excellent enantioselectivities from enals (101) and azoalkenes (102) formed in situ. As shown in Scheme 21, a change in the NHC-catalyst led to a formal [4+1] reaction pathway, generating synthetically useful pyrazoles (104) [35]. It is important to highlight that the modest enantioselectivity in this case is probably caused by the interaction of both cyclic rings of the NHC catalyst (105 and 106).
Scheme 21.
NHC-catalyzed synthesis of 1,2-diazepines and pyrazoles.
Chi et al. reported a reductive β,β-carbon coupling of α,β-nitroalkenes catalyzed by a N-heterocyclic carbene. The reactions proceed via a single-electron transfer (SET) process mimicking nature’s TPP-mediated oxidative decarboxylation of pyruvates, but using an organic substrate instead of living systems. The reaction goes through a radical anion intermediate generated under a catalytic redox process [36].
An aldehyde molecule (107) was used to react with the NHC catalyst (108), generating intermediate (I), which has one electron removed by the nitroalkene (109), forming a nitroalkene-derived anionic radical intermediate (III). Simultaneously, the oxidation of intermediate (I) takes place giving (II), which is subsequently oxidized to form the NHC-bound intermediate (IV). The radical intermediate (III) combines with a molecule of the nitroalkene (109) to form the β,β-reductive coupling product (110) after protonation. As a consequence, intermediate IV is attacked by a methanol molecule to form the ester (111) with the regeneration of the NHC catalyst that can initiate another reaction cycle (Scheme 22).
Scheme 22.
NHC-catalyzed reductive β,β-carbon coupling of α,β-nitroalkenes.
6. Supramolecular Organocatalysis
Supramolecular catalysis is a fast-growing field that has benefited from developments from both supramolecular chemistry and homogeneous catalysis. Supramolecular organocatalysts act via hydrogen bonding and other supramolecular interactions [37]. For instance, compound (112), synthesized by Ashokkarar et al., was employed as a catalyst in the reaction between a variety of aldehydes such as 4-NO2-benzaldehyde (113) with different ketones, e.g., acetone (114), via an asymmetric List–Lerner–Barbas aldol reaction, achieving yields up to 98% with a 99% enantiomeric excess (Scheme 23). Using acetic acid as a proton donor, this catalyst can form ionic interactions and hydrogen bonds with the substrates, forcing the acetone attack on the Si face of the aldehyde [38].
Scheme 23.
Synthesis of a supramolecular organocatalyst and its use in the asymmetric List–Lerner–Barbas aldol reaction.
A straightforward route employed tunable bifunctional phosphonium salts (119) as organocatalysts in the atom-efficient synthesis of cyclic carbonates (120) from epoxides (121) and CO2 (122) (Scheme 24). In addition to the activation provided by the phosphonium salt moiety, there is a synergic effect of the hydrogen bonding arising from the terminal alcohol. The catalytic activity of this salt was evaluated in the synthesis of cyclic carbonates with excellent yields (93–99%). Furthermore, in this strategy, the catalyst could be recovered and reused up to five times [39].
Scheme 24.
Bifunctional organocatalyst for the synthesis of cyclic carbonates.
A bifunctional squaramide catalyst (123) derived from l-tert-leucine promoted the asymmetric tandem Michael/thiolysis reaction sequence between 9-methylindoline-2-thiones (124) and N-alkenoylphthalimides (125) to furnish 3,4-dihydro-9-methylthiopyrano[2¨C-b]indol-2(9H)-ones (126) in good yields and with high levels of enantioselectivity (up to 98% ee) (Scheme 25) [40].
Scheme 25.
Squaramide-catalyzed tandem Michael addition/thiolysis reaction.
Catalysts bearing multiple H-bond donors have shown great potential to generate better levels of enantio-selectivity in the reactions [41]. Taking these factors into account, Wang et al. have explored a series of bifunctional asymmetric phase-transfer catalysts bearing multiple hydrogen-bonding sites. Two quaternary ammonium compounds (127 and 128), derived from cinchona alkaloids, were synthesized and used as highly efficient catalysts for asymmetric nitro-Mannich reactions of amidosulfones (Scheme 26). When compared to previous reports, a very broad substrate generality was observed, with both enantiomers being achieved with high enantio- and diastereo-selectivity [42].
Scheme 26.
Nitro-Mannich reaction using two quaternary ammonium catalysts.
An asymmetric organocatalytic tandem process comprising a cyclization reaction followed by a transfer hydrogenation has been established, leading to the step-economical synthesis of enantio-enriched dihydroquinoxalinones from readily accessible materials with excellent enantio-selectivity (up to 99% ee). This strategy provided an easy access to biologically significant chiral N-heterocycles [43,44].
As indicated in Scheme 27, the reaction sequence consists initially in the cyclization of 1,2-phenylenediamine (133) with ethyl 2-oxo-2-phenylacetate (134), giving intermediate product I, which next undergoes a enantio-selective transfer hydrogenation step using the Hantzsch ester (135) as a hydride source in the presence of a chiral phosphoric acid (136), finally giving the desired enantio-enriched product (137) in a step-economical overall process.
Scheme 27.
Synthesis of 3,4-dihydroquinoxalinones using chiral phosphoric acids as catalysts.
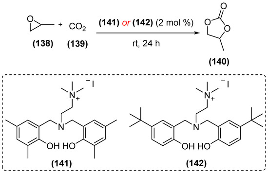
Using computer models to identify the best catalyst candidates, a series of organocatalysts was synthesized and applied in the cyclo-addition between propylene oxide (138) and carbon dioxide (139), giving propylene carbonate (140) (Scheme 28). This protocol represents one more tool in the fight against global warming, since it contributes to the fixation of the atmospheric carbon dioxide. Among the tested catalysts, compounds (141) and (142) were the best ones, with catalyst (141) giving propylene carbonate (140) in 85% yield at 10 bar, 69% at five bar, and 42% at one bar. Unlike most approaches used for this transformation, these organocatalysts could promote the cyclo-addition under solvent-free conditions at room temperature, with only a 2 mol% catalyst loading and at a low CO2 pressure [45].
Scheme 28.
Synthesis of cyclic carbonates using multifunctional catalysts.
The high activity of the catalyst arises from its ability of acting as hydrogen bond donor through its hydroxyl groups and the fact that it carries the nucleophile that promotes the epoxide ring opening, the iodide anion. It is also noteworthy to mention that the catalyst has shown a good recyclability, being recovered by precipitation and reused for five times with no significant loss in efficiency. This protocol showed a broad substrate scope, being applicable to several epoxides.
7. Immobilized Organocatalysts
An important aspect about organocatalysis is the challenge in the separation and recycling of the catalysts. Unlike some organometallic catalysts, most organocatalysts cannot be used in their solid state. In this sense, the development of heterogeneous organocatalytic processes has become a tendency, but for this kind of system to work, the immobilization of the catalyst molecules over a solid support is required. This immobilization may be accomplished by the covalent attachment of the catalyst to the carrier or via other interactions such as adsorption impregnation, i.e., through electrostatic interactions and London forces. In regards to materials for the support, the possibilities are diverse, including magnetic particles, silica, polystyrene, and dendrimers [46].
For instance, Luo et al. functionalized magnetic nanoparticles with the chiral amine 1,2-diaminocyclohexane (143), and the immobilized catalyst (145) was used in aldol reactions between an aromatic aldehyde (146) and cyclohexanone (147) in water at room temperature. The reaction yield was up to 98% with 98% ee (Scheme 29). In addition to the excellent stereo-selectivity, the catalyst could be recycled for seven times without the loss of catalytic activity [47].
Scheme 29.
Preparation of a MNP-supported chiral primary amine catalyst and its use in the asymmetric direct aldol reaction between cyclohexanone and aromatic aldehydes.
Nogrun et al. have used thiamine hydrochloride, also known as vitamin B1, to functionalize Fe2O3@SiO2 nanoparticles (149). Vitamin B1 can catalyze organic transformations, and in this case it was used to catalyze the three-component condensation between different aryl aldehydes (150), 1,3-cyclohexanediones (151a or 151b) or 4-hydroxy-coumarin (152), and malononitrile (153) or ethyl cyanoacetate (154) (Scheme 30). The challenge here was that vitamin B1 is too water soluble, which compromises its reusability, which was solved by its immobilization onto magnetic nanoparticles, facilitating the work-up and the catalyst recovery by using an external magnet. They also used ultrasound irradiation to increase the rate of the reaction and observed that it could be conducted in fifteen minutes, while six hours were required when using conventional heating [48,49].
Scheme 30.
Preparation of benzo[b]pyrans using Fe2O3@SiO2@VB1 NPs (149) as catalyst under ultrasonic condition.
Miraki et al. linked guanidine acetic acid (GAA), a metabolite of glycine, to magnetic nanoparticles through the COOH group. They have applied the Fe3O4-GAA nanoparticles (160) to perform a transamidation reaction between acetamide (161) and aniline (162) under solvent-free conditions. The guanidines can catalyze transamidation reactions via H-bonding (Scheme 31). The Fe3O4-GAA nanoparticles were the most effective catalyst when compared to other catalysts like proline, chitosan, iron, ionic liquids, and the bare Fe3O4 nanoparticles. Regarding the reaction scope, in addition to acetamide, non-primary amides such as urea, thiourea and phtalimide, and various amines including electron-donating and withdrawing substituted amines were used with good-to-excellent yields. The catalyst could be reused at least six times without treatment with no loss in catalytic activity [50].
Scheme 31.
Fe3O4-GAA nanoparticles as a catalyst in transamidation reactions.
Cho et al. have prepared hollow microporous organic polymers and functionalized them with pyrrolidines (H-MOP-P) (162) using post-synthetic modification methods. Hollow polymers were chosen because they can undergo post-synthetic modifications easier than the solid microporous ones. Furthermore, the hollow microporous catalyst has a better solvent dispersibily than the non-hollow counterpart and shorter diffusion pathways [51].
To obtain the functionalized polimers, silica spheres were prepared by the Stöber method [52] and functionalized with the tetrakis(4-ethynylphenyl) adamantane (165), followed by the reaction with 1,4-bis(trimethylsylethynyl)-2,5-dibromo-benzene (166) via a Sonogashira coupling. The terminal alkyne groups (167) were then functionalized with (S)-N-Boc-2-azidomethylpyrrolidine (168) via a click reaction. Finally, the desprotection of the Boc group was conducted using trifluoracetic acid, giving catalyst 169 (Scheme 32) [51].
Scheme 32.
Synthesis of hollow and microporous organic polymers functionalized with pyrrolidine and their use in the addition of malonate to cinnamaldehyde.
They catalytic activity of H-MOP-P was evaluated in the malonate (170) addition to cinnamaldehyde (171). After 72 hours, when using a 10 mol % loading of H-MOP-P (1,28 mmol of pyrrolidine per g), a 93% yield was observed. The non-hollow polymer catalyst gave only 30% of conversion in the same reaction time [51].
Another successful example was the inclusion complexes synthesized by Li et al. with β-cyclodextrin (β-CD) (173) as a host compound and the organic bases 1,8-diazobicyclo-[5.4.0]undec-7-ene (DBU)-based phenolates (174) as guest compound. β-CD is a highly thermally stable cyclic oligosaccharide connected by α-1,4 linkages; it has the shape of a cone, with the primary hydroxy groups of glucose units located on the narrower rim of the cone, and the secondary hydroxy groups on the large one. The β-CD’s external surface is hydrophilic, which makes it soluble in water, while its hydrophobic cavity can host a variety of organic molecules through supramolecular interactions [53].
To synthesize the salts, the phenols were neutralized (175) with DBU (176). Next, the salts were included in a β-CD’s aqueous solution, and the formed complex had its thermal stability analyzed. Decomposition events were not observed when the temperature was up to 200 °C [53]. The cycloaddition reaction between propylene oxide (177) and CO2 (178) to form propylene carbonate (179) was used as a model reaction to evaluate the catalytic performance (Scheme 33).
Scheme 33.
Synthesis of inclusion complexes and their application as catalysts in the cycloaddition reaction between propylene oxide and CO2.
The use of immobilized metal-free catalysts offers promising features for the development sustainable processes under flow conditions. Porta et al. have synthesized chiral amines through the stereo-selective reduction of imines with trichlorosilane (HSiCl3). In this case, a polystyrene-immobilized imidazolidinone-based picolinamide, a chiral Lewis base, was used as catalyst under continuous flow conditions, with no significant decrease in the catalytic efficiency when compared to batch conditions [54].
For the preparation of the supported picolinamide (180), the styrene-containing imidazolidinone (181) [55] reacted with picolinic acid and ethyl chloroformate to give picolinamide (182), which was polymerized via an AIBN-promoted radical copolymerization with divinylbenzene as co-monomer (Scheme 34). The efficiency of the supported catalyst was evaluated in the reduction of the N-PMP (p-methoxyphenyl) protected imine (183). The desired amine (184) was obtained with an (R) absolute configuration (the same of when the homogeneous catalyst was used), with a 94% yield and 97% ee.
Scheme 34.
Synthesis and catalytic evaluation of a polymer-supported picolinamide.
Additionally, by employing microreactors, Munirathinam et al. have immobilized three different chiral organocatalysts—cinchonidine, proline, and quinidine derivatives—through a covalent connection. They have used silica-containing glycidyl methacrylate polymer brushes (PGMA) as the anchoring layer. To prepare the polymeric catalysts, they initially proceeded with a ring opening in the PGMA epoxide (185) with NaN3 (Scheme 35), followed by a reaction of the azide moiety (186) with three different propargyl derivatives: O-propargylcinchonidine (187), O-propargyl proline (188), and the quinidine derivative (189). A Diels-Alder reaction between anthrone (192) and N-methylmaleimide (193) giving (194) was employed to study the catalytic activity of the alkaloids cinchonidine (190) and quinidine (191), while an aldol reaction between cyclohexanone (196) and 4-nitrobenzaldehyde (197) giving (198) and (199) was used to study the catalytic activity of the proline derivative (195) [56].
Scheme 35.
Synthesis and application of polymer-supported organocatalysts.
Based on the isomerization of E-retinal, which occurs in the eyes of mammals catalyzed by (−)-riboflavin (200), Metternich et al. developed a silica-supported (−)-riboflavin organocatalyst (201) that was able to photocatalyze the E→Z isomerization of cinnamonitrile (202) and compound (203) (Scheme 36) [57]. The nanoparticle was prepared using a methodology, stabilized by Ravoo and Du Prez [58,59], and the isomerization occurred with a quantitative yield, with a Z/E ratio of 88:12 [57].
Scheme 36.
E→Z isomerization of compounds using a silica-supported (−)-riboflavin organocatalyst.
There are also reported examples of immobilized squaramide catalysts, such as chiral squaramide catalyst (204), which is obtained from a natural aminoacid-derived chiral diamine, an aminoalkyl polystyrene, and diethyl squarate. Compound 204 was used as a catalyst in the addition of different dicarbonyl compounds as pentanedione and ethyl 2-oxocyclopentane-1-carboxylate, for example, to trans-β-nitrostyrene (205) (Scheme 37) [60].
Scheme 37.
Addition of different acyclic and cyclic nucleophiles to trans-β-nitrostyrene using a supported squaramide catalyst.
Osorio-Planes et al. developed a resin-supported catalyst (210) that was able to catalyze a Michael addition reaction between lawsone (208) and different (E)-2-nitro-3-arylallyl acetates with over 96% ee. The Michael addition products were cyclized under basic conditions to form pyranonaphthoquinones, and the reactions were conducted in a continuous flow reactor. When the (E)-2-nitro-3-phenylallyl acetate (209) was used as nitroalkene, the product (212) was obtained in 4 h with a 97% conversion in the first step, 100% conversion in the second step, 98% ee, and 87:13 dr (87% yield) (Scheme 38) [61].
Scheme 38.
Enantioselective continuous flow synthesis of the pyranonaphthoquinone using a supported squaramide catalyst.
8. Ionic Liquids
Ionic liquids are organic salts having melting points under 100 °C. They have low or insignificant vapor pressure and are chemically and thermally stable [62].
Yadav and Singh have reported the synthesis of an imidazolium-based ionic liquid from the bromoester of trans-4-hydroxy-(L)-prolinamide and N-methylimidazole with excellent catalytic activity in the direct asymmetric aldol reaction. First, trans-4-hydroxy-(S)-proline (213) was protected with a N-boc protecting group and then reacted with (S)-1-phenyl-ethylamine, resulting in N-boc-prolinamide (215). The N-boc-prolinamide (215) was esterified with 5-bromovaleric acid, which reacted with N-methyl imidazolium leading to the intermediate 217. Next, the bromide anion was exchanged by KPF6 and the N-boc group removed [63]. The organocatalyst 218 had its catalytic activity evaluated in the aldol reaction between 4-nitrobenzaldeyde (219) and cyclohexanone (220) (Scheme 39).
Scheme 39.
Synthesis of a ionic liquid catalyst and its application in the asymmetric aldol reaction between cyclohexanone and 4-nitrobenzaldehyde.
Tukhvatshin et al. have developed a novel approach for the synthesis of tertiary amine-derived supported squaramide catalysts based on the use of cyclohexane-1,2-diamine derivatives bearing linear or cyclic hydroxyalkyl groups as key precursors [64].
Starting from cyclohexane-1,2-diamine (222), the compound (224) was produced by reductive amination from dialdehyde (223) followed by de-protection with hydrochloric acid. Then, compound 224 was converted to an ionic liquid-supported catalyst (230) via condensation with squaramide (225), followed by a DCC/DMAP-promoted esterification of the hydroxyl group with 5-bromovaleric acid. Catalyst (230) was synthesized via the N-alkylation of 1-methylimidazole (229) with (228) followed by an anion exchange with the PF6− anion [64]. The scope of the developed protocol using supported catalyst (230) was examined in the asymmetric conjugate addition of acetylacetone (231) to several β-nitrostyrenes (232) bearing electron-releasing or withdrawing groups in the aromatic ring at room temperature, giving product (233) (Scheme 40).
Scheme 40.
Synthesis of catalyst (230) and its application in the asymmetric addition of acetylacetone to β-nitrostyrenes.
Javle and Kinage have synthesized a chiral aminoacid amide-based ionic liquid (237), obtained from alanine (234). To obtain the ionic liquid (237), the amidation of alanine (234) with 4-chloroaniline (235) was performed, followed by the protonation of product (236) with perchloric acid in dichloromethane (Scheme 41). The organocatalyst (237) could be reused at least three times without significant losses in yield or stereoselectivity [65].
Scheme 41.
Synthesis and application of chiral aminoacid amide-based ionic liquids in the transfer hydrogenation of acetophenone.
The ionic liquid 237 stood out as an organocatalyst, replacing chiral transition-metal catalysts in the asymmetric transfer hydrogenation of acetophenone (238) using 2-propanol (239) as hydrogen source to obtain the enantioenriched (S)-alcohol (240) [65].
9. Photoorganocatalysis
Organocatalysts have also showed to be useful in the photochemistry field. For example, p-anisaldehyde (244), a simple molecule, efficiently catalyzed the intermolecular atom-transfer radical addition (ATRA) of a variety of haloalkanes (242) to olefins (243) (Scheme 42). The reaction could be carried out under mild conditions—at ambient temperature and under illumination of a fluorescent light bulb (irradiation from a household 23 W compact fluorescente light (CFL)). Initial investigations support a mechanism whereby the aldehyde catalyst photochemically generates the reactive radical species by sensitization of the organic halides via an energy-transfer pathway [66].
Scheme 42.
Photochemical organocatalytic ATRA of olefins.
Aiming the direct and controlled C–H functionalization of Csp3-H bonds, MacMillan et al. described the photoredox-mediated coupling of benzylic ethers (249) with Schiff bases (248) [67]. They activated the benzylic C–H bond with a combination of a thiol organocatalyst and an iridium photo-catalyst. By using this methodology, a radical−radical coupling with secondary aldimines was achieved and a variety of β-amino ether products (250) were obtained in good to excellent yields (Scheme 43) [68].
Scheme 43.
Photoredox-mediated coupling of benzylic ethers with Schiff bases.
A novel method for the synthesis of α,β-unsaturated ketones and aldehydes (252) from their corresponding silyl enol ethers (251) was developed using Eosin Y, a inexpensive organic dye, as a photosensitizer involving a visible-light organocatalytic reaction and an aerobic oxidation [69]. Eosins are known to excite molecular oxygen from its triplet to its singlet state under light irradiation [70,71,72,73]. In this protocol, an ene reaction takes place between the singlet oxygen and the silyl enol ether through intermediate A (Scheme 44) to generate a hydroperoxy silyl hemiacetal B. This intermediate B might undergo an intramolecular silyl transfer to release the desired product along with hydroperoxysilane, which would decompose to form O2 and silanol [69]. This methodology, unlike the existing procedures for this synthesis, is metal-free, operates under aerobic conditions, uses ethanol as a low toxicity solvent and operates effectively at ambient temperature.
Scheme 44.
Synthesis of α,β-unsaturated ketones and aldehydes using Eosin Y as a photosensitizer.
Author Contributions
V.d.G.O. and L.d.S.M.F. have been engaged in writing the initial and final manuscript versions and have made the adequate literature search, while M.F.d.C.C. have been involved in formatting of the review and contributing with suggestions to the final version of the manuscript.
Funding
This research received no external funding.
Acknowledgments
The authors wish to thank the Coordenação de Aperfeiçoamento de Pessoal de Nível Superior (CAPES), Fundação de Amparo à Pesquisa do Estado do Rio de Janeiro (FAPERJ) and Conselho Nacional de Desenvolvimento Científico e Tecnológico (CNPQ).
Conflicts of Interest
The authors declare no conflict of interest.
References
- Shaikh, I.R. Organocatalysis: Key trends in green synthetic chemistry, challenges, scope towards Heterogenization, and importance from research and industrial point of view. J. Catal. 2014, 2014. [Google Scholar] [CrossRef]
- Govender, T.; Arvidsson, P.I.; Maguire, G.E.M.; Kruger, H.G.; Naicker, T. Enantioselective Organocatalyzed transformations of β-Ketoesters. Chem. Rev. 2016, 116, 9375–9437. [Google Scholar] [CrossRef] [PubMed]
- MacMillan, D.W.C. The advent and development of organocatalysis. Nature 2008, 455, 304–308. [Google Scholar] [CrossRef] [PubMed]
- Bredig, G.; Fiske, W.S. Beiträge zur chemischen Physiologie und Pathologie. In Biochemische Zeitschrift; Springer: Berlin, Germany, 1912; Volume 46, p. 7. [Google Scholar]
- Dias, F.R.F.; Ferreira, V.F.; Cunha, A.C. Uma visão geral dos diferentes tipos de catálise em síntese orgânica. Rev. Virtual Quím. 2012, 4, 840–871. [Google Scholar]
- Ahrendt, K.A.; Borths, C.J.; MacMillan, D.W.C. New strategies for organic catalysis: The first highly enantioselective organocatalytic diels-alder reaction. J. Am. Chem. Soc. 2000, 122, 4243–4244. [Google Scholar] [CrossRef]
- Hajos, Z.G.; Parrish, D.R. Asymmetric synthesis of bicyclic intermediates of natural product chemistry. J. Org. Chem. 1974, 39, 1615–1621. [Google Scholar] [CrossRef]
- Hajos, Z.G.; Parrish, D.R. Werkwijze Voor de Bereiding van 1,3-dioxycycloalkanen. German Patent DE 2,102,623, 12 August 1971. [Google Scholar]
- Hajos, Z.G.; Parrish, D.R. 2-Alkyl-2-(3-oxoalkyl)-1,3-cyclopentadiones. U.S. Patent 3,975,442, 9 December 1970. [Google Scholar]
- Eder, U.; Saeur, G.; Wiechert, R. New type of asymmetric cyclization to optically active steroid CD partial structures. Angew. Chem. Int. Ed. 1971, 10, 496–497. [Google Scholar] [CrossRef]
- Xu, C.; Zhang, L.; Zhou, P.; Luo, S.; Cheng, J. A practical protocol for asymmetric synthesis of Wieland-Miescher and Hajos-Parrish ketones catalyzed by a simple chiral primary amine. Synthesis 2013, 45, 1939–1945. [Google Scholar]
- Kumar, T.P.; Radhika, L.; Haribabu, K.; Kumar, V.N. Pyrrolidine-oxyimides: New chiral catalysts for enantioselective Michael addition of ketones to nitroolefins in water. Tetrahedron Asymmetry 2014, 25, 1555–1560. [Google Scholar] [CrossRef]
- Honarmand, M.; Naeimi, A.; Zahedifar, M. Nanoammonium salt: A novel and recyclable organocatalyst for one-pot threee-component synthesis of 2-amino-3-cyano-4H-pyran derivatives. J. Iran. Chem. Soc. 2017, 14, 1875–1888. [Google Scholar] [CrossRef]
- Caruana, L.; Kniep, F.; Johansen, T.K.; Poulsen, P.H.; Jørgensen, K.A. A new organocatalytic concept for asymmetric α-alkylation of aldehydes. J. Am. Chem. Soc. 2014, 136, 15929–15932. [Google Scholar] [CrossRef] [PubMed]
- Guo, Z.-L.; Xue, J.-H.; Fu, L.-N.; Zhang, S.-E.; Guo, Q.-X. The direct asymmetric alkylation of α-amino aldehydes with 3-indolylmethanols by enamine catalysis. Org. Lett. 2014, 16, 6472–6475. [Google Scholar] [CrossRef] [PubMed]
- Lefranc, A.; Gremaud, L.; Alexakis, A. Construction of bicyclo[3.2.1]octanes with four stereogenic center by organocatalytic domino Michael/Aldol reaction. Org. Lett. 2014, 16, 5242–5245. [Google Scholar] [CrossRef] [PubMed]
- Nie, J.; Guo, H.-C.; Cahard, D.; Ma, J.-A. Asymmetric construction of stereogenic carbon centers featuring a trifluoromethyl group from prochiral trifluoromethylated substrates. Chem. Rev. 2011, 111, 455–529. [Google Scholar] [CrossRef] [PubMed]
- Kwiatkowski, P.; Cholewiak, A.; Kasztelan, A. Efficient and highly enantioselective construction of trifluoromethylated quaternary stereogenic centers via high-pressure mediated organocatalytic conjugate addition of nitromethane to β,β-disubstituted enones. Org. Lett. 2014, 16, 5930–5933. [Google Scholar] [CrossRef] [PubMed]
- Portalier, F.; Bourdreux, F.; Marrot, J.; Moreau, X.; Coeffard, V.; Greck, C. Merging oxidative dearomatization and aminocatalysis: One-pot enantioselective synthesis of tricyclic architectures. Org. Lett. 2013, 15, 5642–5645. [Google Scholar] [CrossRef] [PubMed]
- Xiong, X.-F.; Zhou, Q.; Gu, J.; Dong, L.; Liu, T.-Y.; Chen, Y.-C. Trienamine catalysis with 2,4-dienones: Development and application in asymmetric Diels-Alder reactions. Angew. Chem. Int. Ed. 2012, 51, 4401–4404. [Google Scholar] [CrossRef] [PubMed]
- Qi, L.-W.; Yang, Y.; Gui, Y.-Y.; Zhang, Y.; Chen, F.; Tian, F.; Peng, L.; Wang, L.-X. Asymmetric synthesis of 3,3′-spirooxindoles fused with cyclobutanes through organocatalytic formal [2+2] cycloadditions under H-bond-directing dienamine activation. Org. Lett. 2014, 16, 6436–6439. [Google Scholar] [CrossRef] [PubMed]
- Groenendaal, B.; Ruijter, E.; Orru, R.V.A. 1-Azadienes in cycloaddition and multicomponent reactions towards N-heterocycles. Chem. Commun. 2008, 5474–5489. [Google Scholar] [CrossRef] [PubMed]
- Ma, C.; Gu, J.; Teng, B.; Zhou, Q.-Q.; Li, R.; Chen, Y.-C. 1-Azadienes as regio- and chemoselective dienophiles in aminocatalytic asymmetric DielsAlder reaction. Org. Lett. 2013, 15, 6206–6209. [Google Scholar] [CrossRef] [PubMed]
- Huang, X.-R.; Liu, Q.; Wang, J.; Xiao, J.-A.; Yang, H. Solvent-effects tuning the catalytic reactivity of prolinamides in asymmetric aldol reactions. Tetrahedron Asymmetry 2014, 25, 1590–1598. [Google Scholar] [CrossRef]
- Wang, Y.; Lin, J.; Wei, K. Aromatic l-prolinamide-catalyzed asymmetric Michael addition of aldehydes to nitroalkenes. Tetrahedron Asymmetry 2014, 25, 1599–1604. [Google Scholar] [CrossRef]
- Chen, N.; Zhu, L.; Gan, L.; Liu, Z.; Wang, R.; Cai, X.; Jiang, X. Asymmetric synthesis of bispiro-[γ-butyrolactone-pyrrolidin-4,4’-pyrazolone] scaffolds containing two quaternary spirocenters via an organocatalytic 1,3-dipolar cycloaddition. Eur. J. Org. Chem. 2018, 2018, 2939–2943. [Google Scholar] [CrossRef]
- Page, P.C.B.; Day, D.P.; Chan, Y. Enantioselective epoxidation of dihydroquinolines by using iminium salt organocatalysts. Eur. J. Org. Chem. 2014, 2014, 8029–8034. [Google Scholar] [CrossRef]
- Blanco, V.; Carlone, A.; Hänni, K.D.; Leigh, D.A.; Lewandowski, B. A rotaxane-based switchable organocatalyst. Angew. Chem. Int. Ed. 2012, 51, 5166–5169. [Google Scholar] [CrossRef] [PubMed]
- Blanco, V.; Leigh, D.A.; Lewandowska, U.; Lewandowski, B.; Marcos, V. Exploring the activation modes of a rotaxane-based switchable organocatalyst. J. Am. Chem. Soc. 2014, 136, 15775–15780. [Google Scholar] [CrossRef] [PubMed]
- Arduengo, A.J.; Harlow, R.L.; Hline, M. A stable crystalline carbene. J. Am. Chem. Soc. 1991, 113, 361–363. [Google Scholar] [CrossRef]
- Wilson, J.; Chen, E.Y.X. Organocatalytic cross-coupling of biofuranic to multifunctional difuranic C11 building blocks. ACS Sustain. Chem. Eng. 2016, 4, 4927–4936. [Google Scholar] [CrossRef]
- Mondal, S.; Yetra, S.R.; Patra, A.; Kunte, S.S.; Gonnadeb, R.G.; Biju, A.T. N-Heterocyclic carbene-catalyzed enantioselective synthesis of functionalized cyclopentenes via a,b-unsaturated acyl azoliums. Chem. Commun. 2014, 50, 14539–14542. [Google Scholar] [CrossRef] [PubMed]
- Struble, J.R.; Bode, J.W. Synthesis of a N-mesityl substituted aminoindanol-derived triazolium salt [(5aS,10bR)-5a,10b-Dihydro-2-(2,4,6-trimethylphenyl)-4H,6H-indeno[2,1-b]-1,2,4-triazolo[4,3-d]-1,4-oxazinium chloride]. Org. Synth. 2010, 87, 362–376. [Google Scholar]
- Szucs, T. Cilazapril. A review. Drugs 1991, 41, 18–24. [Google Scholar] [CrossRef] [PubMed]
- Guo, C.; Sahoo, B.; Daniliuc, C.G.; Glorius, F. N-heterocyclic carbene catalyzed switchable reactions of enals with azoalkenes: Formal [4+3] and [4+1] annulations for the synthesis of 1,2-diazepines and pyrazoles. J. Am. Chem. Soc. 2014, 136, 17402–17405. [Google Scholar] [CrossRef] [PubMed]
- Du, Y.; Wang, Y.; Li, X.; Shao, Y.; Li, G.; Webster, R.D.; Chi, Y.R. N-heterocyclic carbene organocatalytic reductive β,β-coupling reactions of nitroalkenes via radical intermediates. Org. Lett. 2014, 16, 5678–5681. [Google Scholar] [CrossRef] [PubMed]
- Raynal, M.; Ballester, P.; Vidal-Ferran, A.; van Leeuwen, P.W.N.M. Supramolecular catalysis. Part 1: Non-covalent interactions as a tool for building and modifying homogeneous catalysts. Chem. Soc. Rev. 2014, 43, 1660–1733. [Google Scholar] [CrossRef] [PubMed]
- Ashokkumar, V.; Chithiraikumar, C.; Siva, A. Binaphthyl-based chiral bifunctional organocatalysts for water mediates asymmetric List-Lerner-Barbas aldol reactions. Org. Biomol. Chem. 2016, 14, 9021–9032. [Google Scholar] [CrossRef] [PubMed]
- Werner, T.; Buttner, H. Phosphorus-based bifunctional organocatalysts for the addition of carbon dioxide and epoxides. ChemSusChem 2014, 7, 3268–3271. [Google Scholar] [CrossRef] [PubMed]
- Chen, S.; Pan, J.; Wang, Y.; Zhou, Z. Stereocontrolled construction of the 3,4-dihydrothiacarbazol-2(9H)-one skeleton by using bifunctional squaramide-catalyzed cascade reactions. Eur. J. Org. Chem. 2014, 35, 7940–7947. [Google Scholar] [CrossRef]
- Sherrington, D.C.; Taskinen, K.A. Self-assembly in synthetic macromolecular systems via multiple hydrogen bonding interactions. Chem. Soc. Rev. 2001, 30, 83–93. [Google Scholar] [CrossRef]
- Wang, B.; Liu, Y.; Sun, C.; Wei, Z.; Cao, J.; Liang, D.; Lin, Y.; Duan, H. Asymmetric phase-transfer catalysts bearing multiple hydrogen-bonding donors: Highly efficient catalysts for enantio- and diastereoselective nitro-Mannich reaction of amidosulfones. Org. Lett. 2014, 16, 6432–6435. [Google Scholar] [CrossRef] [PubMed]
- Shi, F.; Tan, W.; Zhang, H.-H.; Li, M.; Ye, Q.; Ma, G.-H.; Tu, S.-J.; Lib, G. Asymmetric organocatalytic tandem cyclization/transfer hydrogenation: A synthetic strategy for enantioenriched nitrogen heterocycles. Adv. Synth. Catal. 2013, 355, 3715–3726. [Google Scholar] [CrossRef]
- Zheng, C.; You, S.-L. Transfer hydrogenation with hantzsch esters and related organic hydride donors. Chem. Soc. Rev. 2012, 41, 2498–2518. [Google Scholar] [CrossRef] [PubMed]
- Hong, M.; Kim, J.; Him, H.; Cho, H.J.; Baik, M.; Kim, Y. Scorpionate catalysts for coupling CO2 and epoxides to cyclic carbonates: A rational design approach for organocatalysts. J. Org. Chem. 2018, 83, 9370–9380. [Google Scholar] [CrossRef] [PubMed]
- Mrówczynski, R.; Nan, A.; Liebscher, J. Magnetic nanoparticle-supported organocatalysts- na eficiente way of recycling and use. RSC Adv. 2014, 4, 5927–5952. [Google Scholar] [CrossRef]
- Luo, S.Z.; Zheng, X.X.; Cheng, J.P. Asymmetric bifunctional primary aminocatalysis on magnetic nanoparticles. Chem. Commun. 2008, 5719–5721. [Google Scholar] [CrossRef] [PubMed]
- Nongrum, R.; Nongthombam, G.S.; Kharkongor, M.; Rani, J.W.S.; Rahman, N.; Kathing, C.; Myrboh, B.; Nongkhlaw, R. A nano-organo catalyzed route towards the efficient synthesis of benzo[b]pyran derivatives under ultrasonic irradiation. RSC Adv. 2016, 6, 108384–108392. [Google Scholar] [CrossRef]
- Singh, N.G.; Lily, M.; Devi, S.P.; Rahman, N.; Ahmed, A.; Chandra, A.K.; Nongkhlaw, R. Synthetic, mechanistic and kinetic studies on the organo-nanocatalyzed synthesis of oxygen and nitrogen containing spiro compounds under ultrasonic conditions. Green Chem. 2016, 18, 4216–4227. [Google Scholar] [CrossRef]
- Miraki, M.K.; Arefi, M.; Yazdani, E.; Abbasi, S.; Karimi, M.; Azizi, K.; Heydari, A. Guanidine acetic acid functionalized magnetic nanoparticles: Recoverable green catalyst for transamidation. Chem. Sel. 2016, 1, 6328–6333. [Google Scholar]
- Cho, K.; Yoo, J.; Noh, H.; Lee, S.M.; Kim, H.J.; Ko, Y.; Jang, H.; Son, S. Hollow structural effect of microporous organocatalytic polymers with pyrrolidines: Dramatic enhancement of catalytic performance. J. Mater. Chem. A 2017, 5, 8922–8926. [Google Scholar] [CrossRef]
- Stöber, W.; Fink, A.; Bonh, E. Controlled growth of monodispersed silica spheres in the micro size range. J. Colloid Interface Sci. 1968, 26, 62–69. [Google Scholar] [CrossRef]
- Li, K.; Wu, X.; Gu, Q.; Zhao, X.; Yuan, M.; Ma, W.; Ni, W.; Hou, Z. Inclusion complexes of organic salts with β-cyclodextrin as organocatalysts for CO2 cycloaddition with epoxides. RSC Adv. 2017, 7, 14721–14732. [Google Scholar] [CrossRef]
- Porta, R.; Benaglia, M.; Annunziata, R.; Puglisi, A.; Celentano, G. Solid supported chiral n-picolylimi dazolidinones: Recyclable catalysts fot the enantioselective, metal- and hydrogen-free reduction of imines in batch and in flow mode. Adv. Synth. Catal. 2017, 359, 2375–2382. [Google Scholar] [CrossRef]
- Porta, R.; Benaglia, M.; Puglisi, A.; Mandoli, A.; Gualandi, A.; Cozzi, P.G. A catalytic reactor for the organocatalyzed enantioselective continuous flow alkylation of aldehydes. ChemSusChem 2014, 7, 3534–3540. [Google Scholar] [CrossRef] [PubMed]
- Munirathinam, R.; Leoncini, A.; Huskens, J.; Wormeester, H.; Verboom, W. Wall-coated polymer brushes as support for chiral organocatalysts in microreactors. J. Flow Chem. 2015, 5, 37–42. [Google Scholar] [CrossRef]
- Metternich, J.B.; Sagebiel, S.; Lückener, A.; Lamping, S.; Ravoo, B.J.; Gilmour, R. Covalent immobilization of (−)-riboflavin on polymer functionalized silica particles: Application in the photocatalytic E/Z isomerization of polarized alkenes. Chem. Eur. J. 2018, 24, 4228–4233. [Google Scholar] [CrossRef] [PubMed]
- Sagebiel, S.; Stricker, L.; Engel, S.; Ravoo, B.J. Self-assembly of colloidal molecules that respond to light and a magnetic field. Chem. Commun. 2017, 53, 9296–9299. [Google Scholar] [CrossRef] [PubMed]
- Billiet, S.; De Bruycker, K.; Driessen, F.; Goossens, H.; van Speybroeck, V.; Winne, J.M.; Du Prez, F.E. Triazolinediones enable ultrafast and reversible click chemistry for the design of dynamic polymer systems. Nat. Chem. 2014, 6, 815–821. [Google Scholar] [CrossRef] [PubMed]
- Andrés, J.M.; Losada, J.; Maestro, A.; Rodríguez-Ferrer, P.; Pedrosa, R. Supported and unsupported chiral squaramides as organocatalysts fpr steroselective Miachel additions: Synthesis of eantiopure chromenes and spirochromanes. J. Org. Chem. 2017, 82, 8444–8454. [Google Scholar] [CrossRef] [PubMed]
- Osorio-planes, L.; Rodriguez-Escrich, C.; Pericás, M.A. Removing the superfluous: A supportedsquaramide catalyst with a minimalistic linker applied to the enantioselective flow synthesis of pyranonaphthoquinones. Cat. Sci. Technol. 2016, 6, 4686–4689. [Google Scholar] [CrossRef]
- Neves, C.M.S.S.; Silva, A.M.S.; Fernandes, A.M.; Coutinho, J.A.P.; Freire, M.G. Toward an understanding of the mechanisms behind the formation of liquid-liquid systems formed by two ionic liquids. J. Phys. Chem. Lett. 2017, 8, 3015–3019. [Google Scholar] [CrossRef] [PubMed]
- Yadav, G.D.; Singh, S. (L)-Prolinamide imidazolium hexafluorophosphate ionic liquid as an efficient reusable organocatalyst for direct asymmetric aldol reaction in solvent-free condition. RSC Adv. 2016, 6, 100459–100466. [Google Scholar] [CrossRef]
- Tukhvatshin, R.S.; Kucherenko, A.S.; Nelyubina, Y.V.; Zlotin, G. Tertiary amine-derived ionic liquid supported squaramide as a recyclable organocatalyst for noncovalent “on water” catalysis. ACS Catal. 2017, 7, 2981–2989. [Google Scholar] [CrossRef]
- Javle, B.R.; Kinage, A.K. Chiral amino-acid-amide based ionic liquids as a stereoselective organocatalyst in asymmetric transfer hydrogenation of acetophenone at room-temperature. Chem. Sel. 2018, 3, 2623–2625. [Google Scholar] [CrossRef]
- Arceo, E.; Montroni, E.; Melchiorre, P. Photo-organocatalysis of atom-transfer radical additions to alkenes. Angew. Chem. Int. Ed. 2014, 53, 12064–12068. [Google Scholar] [CrossRef] [PubMed]
- Bergman, R.G. Organometallic chemistry: C–H activation. Nature 2007, 446, 391–393. [Google Scholar] [CrossRef] [PubMed]
- Hager, D.; MacMillan, D.W.C. Activation of C–H Bonds via the merger of photoredox and organocatalysis: A coupling of benzylic ethers with schiff bases. J. Am. Chem. Soc. 2014, 136, 16986–16989. [Google Scholar] [CrossRef] [PubMed]
- Zhang, J.; Wang, L.; Liu, Q.; Yang, Z.; Huang, Y. Synthesis of a,b-unsaturated carbonyl compounds via a visible-light-promoted organocatalytic aerobic oxidation. Chem. Commun. 2013, 49, 11662–11664. [Google Scholar] [CrossRef] [PubMed]
- DeRosa, M.C.; Crutchley, R.J. Photosensitized singlet oxygen and its applications. Coord. Chem. Rev. 2002, 233, 351–371. [Google Scholar] [CrossRef]
- Stracke, F.; Heupel, M.; Thiel, E. Singlet molecular oxygen photosensitized by Rhodamine dyes: Correlation with photophysical properties of the sensitizers. J. Photochem. Photobiol. A 1999, 126, 51–58. [Google Scholar] [CrossRef]
- Srivastava, V.P.; Yadav, A.K.; Yadav, L.D.S. Eosin Y catalyzed visible-light-driven aerobic oxidative cyclization of thioamides to 1,2,4-thiadiazoles. Synlett 2013, 24, 465–470. [Google Scholar] [CrossRef]
- Hari, D.P.; König, B. Eosin Y catalyzed visible light oxidative C–C and C–P bond formation. Org. Lett. 2011, 13, 3852–3855. [Google Scholar] [CrossRef] [PubMed]
© 2018 by the authors. Licensee MDPI, Basel, Switzerland. This article is an open access article distributed under the terms and conditions of the Creative Commons Attribution (CC BY) license (http://creativecommons.org/licenses/by/4.0/).











































