Mo(VI) Complexes Immobilized on SBA-15 as an Efficient Catalyst for 1-Octene Epoxidation
Abstract
:1. Introduction
2. Results and Discussion
2.1. Characterization of Functionalized SBA-15 Materials and Mo(VI) Supported Catalyst
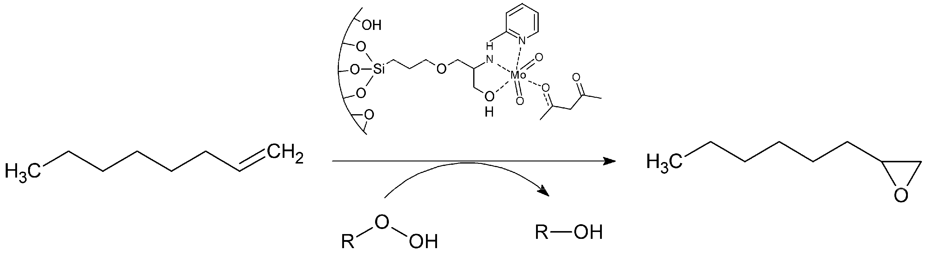
2.2. Catalytic Performance in 1-Octene Epoxidation
2.2.1. Influence of the Catalyst Loading
2.2.2. Influence of the Solvent
2.2.3. Influence of the Oxidant
2.3. Catalyst Reusability
3. Materials and Methods
3.1. Synthesis of Mo(VI) Containing-SBA-15 Catalyst
3.2. Samples Characterization
3.3. Catalytic Tests
4. Conclusions
Author Contributions
Conflicts of Interest
References
- Lane, S.L.; Burgess, K. Metal-Catalyzed Epoxidations of Alkenes with Hydrogen Peroxide. Chem. Rev. 2003, 103, 2457–2474. [Google Scholar] [CrossRef] [PubMed]
- Ambroziak, K.; Mbeleck, R.; Saha, B.; Sherrington, D.C. Greener and Sustainable Method for Alkene Epoxidations by Polymer-Supported Mo(VI) Catalysts. Int. J. Chem. React. Eng. 2010, 8, 1–13. [Google Scholar] [CrossRef]
- Yang, Y.; Chattopadhyay, S.; Shibata, T.; Ren, Y.; Lee, S.; Kan, Q. Covalent heterogenization of discrete bis(8-quinolinolato)dioxomolybdenum(VI) and dioxotungsten(VI) complexes by a metal-template/metal-exchange method: Cyclooctene epoxidation catalysts with enhanced performances. J. Mol. Catal. A-Chem. 2014, 392, 134–142. [Google Scholar] [CrossRef]
- Kollar, J. Halcon. U.S. Patent No. 3,351,635, 7 November 1967. [Google Scholar]
- Dusi, M.; Mallat, T.; Baiker, A. Epoxidation on Functionalized Olefins over Solid Catalysts. Catal. Rev. Sci.-Eng. 2000, 42, 213–278. [Google Scholar] [CrossRef]
- Fan, W.; Shi, D.; Feng, B. Immobilizing of oxo-molybdenum complex on cross-linked copolymer and its catalytic activity for epoxidation reactions. Catal. Commun. 2016, 74, 1–4. [Google Scholar] [CrossRef]
- Corma, A.; Fuerte, A.; Iglesias, M.; Sánchez, F. Preparation of new chiral dioxomolybdenum complexes heterogenised on modified USY-zeolites. Efficient catalysts for selective epoxidation of allylic alcohols. J. Mol. Catal. A-Chem. 1996, 107, 225–234. [Google Scholar] [CrossRef]
- Niederer, J.P.M.; Hölderich, W.F. Oxidation capabilities of BEA isomorphously substituted with molybdenum, vanadium and titanium: An explorative study. Appl. Catal. A-Gen. 2002, 229, 51–64. [Google Scholar] [CrossRef]
- Sakthivel, A.; Zhao, J.; Künh, F.E. Cyclopentadienyl molybdenum complexes grafted on zeolites—Synthesis and catalytic application. Catal. Lett. 2005, 102, 115–119. [Google Scholar] [CrossRef]
- Mbeleck, R.; Ambroziak, K.; Saha, B.; Sherrington, D.C. Stability and recycling of polymer-supported Mo(VI) alkene epoxidation catalysts. React. Funct. Polym. 2007, 67, 1448–1457. [Google Scholar] [CrossRef]
- Ambroziak, K.; Mbeleck, R.; He, Y.; Saha, B.; Sherrington, D.C. Investigation of Batch Alkene Epoxidations Catalyzed by Polymer-Supported Mo(VI) Complexes. Ind. Eng. Chem. Res. 2009, 48, 3293–3302. [Google Scholar] [CrossRef]
- Melero, J.A.; Iglesias, J.; Arsuaga, J.M.; Sainz-Pardo, J.; de Frutos, P.; Blázquez, S. Synthesis, characterization and catalytic activity of highly dispersed Mo-SBA-15. Appl. Catal. A-Gen. 2007, 331, 84–94. [Google Scholar] [CrossRef]
- Monteiro, B.; Balula, S.S.; Gago, S.; Grosso, C.; Figueiredo, S.; Lopes, A.D.; Valente, A.A.; Pillinger, M.; Lourenço, J.P.; Gonçalves, I.S. Comparison of liquid-phase olefin epoxidation catalysed by dichlorobis-(dimethylformamide)dioxomolybdenum(VI) in homogeneous phase and grafted onto MCM-41. J. Mol. Catal. A-Chem. 2009, 297, 110–117. [Google Scholar] [CrossRef]
- Tangestaninejad, S.; Moghadam, M.; Mirkhani, V.; Mohammadpoor-Baltork, I.; Ghani, K. MoO2(acac)2 supported on silica functionalized imidazole as a highly efficient and reusable catalyst for alkene epoxidation with tert-BuOOH. Inorg. Chem. Commun. 2008, 11, 270–274. [Google Scholar] [CrossRef]
- Moreno, J.; Iglesias, J.; Melero, J.A.; Sherrington, D.C. Synthesis and characterisation of (hydroxypropyl)-2-aminomethyl pyridine containing hybrid polymer–silica SBA-15 materials supporting Mo(VI) centres and their use as heterogeneous catalysts for oct-1-ene epoxidation. J. Mater. Chem. 2011, 21, 6725–6735. [Google Scholar] [CrossRef]
- Sharma, R.K.; Pandey, A.; Gulati, S. Silica-supported molybdenum complex: A novel, selective, reusable organic-inorganic hybrid catalyst for eco-friendly oxidation of sulfides and olefins. Polyhedron 2012, 45, 86–94. [Google Scholar] [CrossRef]
- Balula, S.S.; Bruno, S.M.; Gomes, A.C.; Valente, A.A.; Pilinger, M.; Gonçalves, I.S.; Macquarrie, D.J.; Clark, J.H. Epoxidation of olefins using a dichlorodioxomolybdenum(VI)-pyridylimine complex as catalyst. Inorg. Chim. Acta 2012, 387, 234–239. [Google Scholar] [CrossRef]
- Kooti, M.; Afshari, M. Molybdenum Schiff Base Complex Covalently Anchored to Silica-Coated Cobalt Ferrite Nanoparticles as Novel Heterogeneous Catalyst for the Oxidation of Alkenes. Catal. Lett. 2012, 142, 319–325. [Google Scholar] [CrossRef]
- Morales-de la Rosa, S.; Campos-Martín, J.M.; Terreros, P.; Fierro, J.L.G. Catalytic Epoxidation of Cyclohexene with Tert-butylhydroperoxide Using an Immobilized Molybdenum Catalyst. Top. Catal. 2015, 58, 325–333. [Google Scholar] [CrossRef]
- Bagherzadeh, M.; Zare, M.; Amini, M.; Salemnoush, T.; Akbayrak, T.; Özkar, S. Epoxidation of olefins catalyzed by a molybdenum-Schiff base complex anchored in the pores of SBA-15. J. Mol. Catal. A-Chem. 2014, 395, 470–480. [Google Scholar] [CrossRef]
- Zarea, M.; Moradi-Shoeili, Z.; Ashouri, F.; Bagherzadeh, M. Heterogeneous SBA-15-supported Oxoperoxomolybdenum(VI) complex for enhanced olefin epoxidation. Catal. Commun. 2017, 88, 9–12. [Google Scholar] [CrossRef]
- Coates, J. Interpretation of Infrared Spectra, A Practical Approach. In Encyclopedia of Analytical Chemistry; Meyers, R.A., Ed.; John Wiley & Sons Ltd.: Chichester, UK, 2000; pp. 10815–10837. [Google Scholar]
- Miao, Y.; Lu, G.; Liu, X.; Guo, Y.; Wang, Y.; Guo, Y. Mo-functionalized MCF meso-material and its catalytic performance for epoxidation of propylene by cumene hydroperoxide. Microporous Mesoporous Mater. 2009, 122, 55–60. [Google Scholar] [CrossRef]
- Farook, A.; Iqbal, A. Silica supported amorphous molybdenum catalysts prepared via sol–gel method and its catalytic activity. Microporous Mesoporous Mater. 2011, 141, 119–127. [Google Scholar] [CrossRef]
- Zhang, J.; Jiang, P.; Shen, Y.; Zhang, W.; Bian, G. Covalent anchoring of Mo(VI) base complex into SBA-15 as a novel heterogeneous catalyst for enhanced alkene epoxidation. J. Porous Mater. 2016, 23, 431–440. [Google Scholar] [CrossRef]
- Künh, F.Z.; Groarke, M.; Bencze, E.; Herdtweck, E.; Prazeres, A.; Santos, A.M.; Calhorda, M.J.; Romao, C.C.; Gonçalves, I.S.; Lopes, A.D.; et al. Octahedral Bipyridine and Bipyrimidine Dioxomolybdenum(VI) Complexes: Characterization, Application in Catalytic Epoxidation, and Density Functional Mechanistic Study. Chem. Eur. J. 2002, 8, 2370–2383. [Google Scholar] [CrossRef]
- Acharya, S.; Hanna, T.A. Epoxidation of alkenes catalyzed by some molybdenum(0) and molybdenum(IV) complexes. Polyhedron 2016, 107, 113–123. [Google Scholar] [CrossRef]
- Sheldon, R.A.; Van Doorn, J.A.; Schram, C.W.A.; De Jong, A.J. Metal-Catalyzed Epoxidation of Olefins with Organic Hydroperoxides. II. The Effect of Solvent and Hydroperoxide Structure. J. Catal. 1973, 31, 438–443. [Google Scholar] [CrossRef]
- Choi, J.-G.; Thompson, L.T. XPS study of as-prepared and reduced molybdenum oxides. Appl. Surf. Sci. 1996, 2, 143–149. [Google Scholar] [CrossRef]
- Barrio, L.; Campos-Martín, J.M.; Pilar de Frutos, M.; Fierro, J.L.G. Alkene Epoxidation with Ethylbenzene Hydroperoxides Using Molybdenum Heterogeneous Catalysts. Ind. Eng. Chem. Res. 2008, 47, 8016–8024. [Google Scholar] [CrossRef]
- Zhao, D.Y.; Huo, Q.S.; Feng, J.L.; Chmelka, B.F.; Stucky, G.D. Nonionic Triblock and Star Diblock Copolymer and Oligomeric Surfactant Syntheses of Highly Ordered, Hydrothermally Stable, Mesoporous Silica Structures. J. Am. Chem. Soc. 1998, 120, 6024–6036. [Google Scholar] [CrossRef]













| Sample | SBET 1 | Dp 2 | Vp 3 | C 4 | H 4 | N 4 | Mo 5 |
|---|---|---|---|---|---|---|---|
| S1 (SBA-15 parent material) | 623 | 77 | 0.97 | - | - | - | - |
| S2 (SBA + GLY) | 508 | 69 | 0.73 | 8.3 | - | 0.36 | - |
| S3 (SBA + GLY + AMP) | 463 | 68 | 0.68 | 6.4 | 1.04 | 0.54 | - |
| S4 (SBA + GLY + AMP + Mo) | 429 | 66 | 0.61 | 9.6 | 0.98 | 0.83 | 3.56 |
© 2017 by the authors. Licensee MDPI, Basel, Switzerland. This article is an open access article distributed under the terms and conditions of the Creative Commons Attribution (CC BY) license (http://creativecommons.org/licenses/by/4.0/).
Share and Cite
Moreno, J.; Iglesias, J.; Melero, J.A. Mo(VI) Complexes Immobilized on SBA-15 as an Efficient Catalyst for 1-Octene Epoxidation. Catalysts 2017, 7, 215. https://doi.org/10.3390/catal7070215
Moreno J, Iglesias J, Melero JA. Mo(VI) Complexes Immobilized on SBA-15 as an Efficient Catalyst for 1-Octene Epoxidation. Catalysts. 2017; 7(7):215. https://doi.org/10.3390/catal7070215
Chicago/Turabian StyleMoreno, Jovita, Jose Iglesias, and Juan Antonio Melero. 2017. "Mo(VI) Complexes Immobilized on SBA-15 as an Efficient Catalyst for 1-Octene Epoxidation" Catalysts 7, no. 7: 215. https://doi.org/10.3390/catal7070215
APA StyleMoreno, J., Iglesias, J., & Melero, J. A. (2017). Mo(VI) Complexes Immobilized on SBA-15 as an Efficient Catalyst for 1-Octene Epoxidation. Catalysts, 7(7), 215. https://doi.org/10.3390/catal7070215
