Immobilization of Pyrroloquinoline Quinone-Dependent Alcohol Dehydrogenase with a Polyion Complex and Redox Polymer for a Bioanode
Abstract
:1. Introduction
2. Results and Discussion
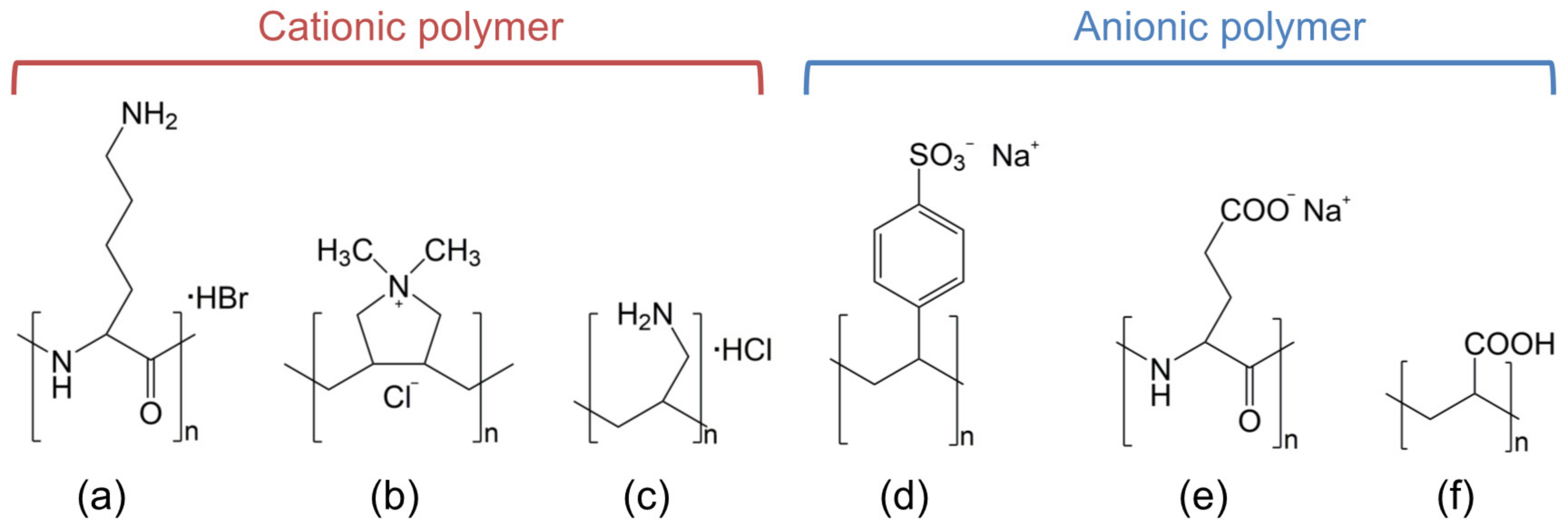
2.1. Optimization of the Polyion Complex for Immobilizing PpADH on the Electrode
2.2. Preparation of the Aminoferrocene-Attached Poly-l-glutamic Acid
2.3. Electrochemical Measurements of the PpADH-Modified Electrode Using PIC and PGA-AmFc
2.4. PpADH Modified Nanostructured Electrode Using PIC and PGA-AmFc
3. Materials and Methods
3.1. Materials
3.2. Preparation of PGA-AmFc
3.3. Electrode Preparation
3.4. Electrochemical Measurements
4. Conclusions
Supplementary Materials
Acknowledgments
Author Contributions
Conflicts of Interest
References
- Palmore, G.T.R.; Whitesides, G.M. Microbial and enzymatic biofuel cells. ACS Symp. Ser. 1994, 566, 271–290. [Google Scholar]
- Shleev, S.; Tkac, J.; Christenson, A.; Ruzgas, T.; Yaropolov, A.I.; Whittaker, J.W.; Gorton, L. Direct electron transfer between copper-containing proteins and electrodes. Biosens. Bioelectron. 2005, 20, 2517–2554. [Google Scholar] [CrossRef] [PubMed]
- Scherbahn, V.; Putze, M.T.; Dietzel, B.; Heinlein, T.; Schneider, J.J.; Lisdat, F. Biofuel cells based on direct enzyme-electrode contacts using PQQ-dependent glucose dehydrogenase/bilirubin oxidase and modified carbon nanotube materials. Biosens. Bioelectron. 2014, 61, 631–638. [Google Scholar] [CrossRef] [PubMed]
- Neto, S.A.; Milton, R.D.; Hickey, D.P.; De Andrade, A.R.; Minteer, S.D. Membraneless enzymatic ethanol/O2 fuel cell: Transitioning from an air-breathing Pt-based cathode to a bilirubin oxidase-based biocathode. J. Power Sources 2016, 324, 208–214. [Google Scholar] [CrossRef]
- Tuurala, S.; Lau, C.; Atanassov, P.; Smolander, M.; Minteer, S.D. Characterization and stability study of immobilized PQQ-dependent aldose dehydrogenase bioanodes. Electroanalysis 2012, 24, 229–238. [Google Scholar] [CrossRef]
- Palmore, G.T.R.; Bertschy, H.; Bergens, S.H.; Whitesides, G.M. A methanol/dioxygen biofuel cell that uses NAD+-dependent dehydrogenases as catalysts: Application of an electro-enzymatic method to regenerate nicotinamide adenine dinucleotide at low overpotentials. J. Electroanal. Chem. 1998, 443, 155–161. [Google Scholar] [CrossRef]
- Arechederra, R.L.; Minteer, S.D. Complete oxidation of glycerol in an enzymatic biofuel cell. Fuel Cells. 2009, 9, 63–69. [Google Scholar] [CrossRef]
- Xu, S.; Minteer, S.D. Enzymatic biofuel cell for oxidation of glucose to CO2. ACS Catal. 2012, 2, 91–94. [Google Scholar] [CrossRef]
- Arechederra, R.L.; Treu, B.L.; Minteer, S.D. Development of glycerol/O2 biofuel cell. J. Power Sources. 2007, 173, 156–161. [Google Scholar] [CrossRef]
- Sakuta, R.; Takeda, K.; Igarashi, K.; Ohno, H.; Nakamura, N. Enzymes suitable for biorefinery to coproduce hexaric acids and electricity from hexuronic acids derived from biomass. Energy Technol. 2017, 25. [Google Scholar] [CrossRef]
- Takeda, K.; Matsumura, H.; Ishida, T.; Samejima, M.; Igarashi, K.; Nakamura, N.; Ohno, H. The two-step electrochemical oxidation of alcohols using a novel recombinant PQQ alcohol dehydrogenase as a catalyst for a bioanode. Bioelectrochemistry 2013, 94, 75–78. [Google Scholar] [CrossRef] [PubMed]
- Eddowes, M.J.; Hill, H.A.O. Novel method for investigation of electrochemistry of metalloproteins: Cytochrome c. J. Chem. Soc. Chem. Commun. 1977, 771–772. [Google Scholar] [CrossRef]
- Williams, D.L.; Doig, A.R., Jr.; Korosi, A. Electrochemical-enzymatic analysis of blood glucose and lactate. Anal. Chem. 1970, 42, 118–121. [Google Scholar] [CrossRef] [PubMed]
- Kim, J.; Jia, H.F.; Wang, P. Challenges in biocatalysis for enzyme-based biofuel cells. Biotechnol. Adv. 2006, 24, 296–308. [Google Scholar] [CrossRef] [PubMed]
- Yu, E.H.; Scott, K. Enzymatic biofuel cells-fabrication of enzyme electrodes. Energies 2010, 3, 23–42. [Google Scholar] [CrossRef]
- Arya, S.K.; Datta, M.; Malhotra, B.D. Recent advances in cholesterol biosensor. Biosens. Bioelectron. 2008, 23, 1083–1100. [Google Scholar] [CrossRef] [PubMed]
- Choi, M.M.F. Progress in enzyme-based biosensors using optical transducers. Microchim. Acta 2004, 148, 107–132. [Google Scholar] [CrossRef]
- Sassolas, A.; Blum, L.J.; Leca-Bouvier, B.D. Immobilization strategies to develop enzymatic biosensors. Biotechnol. Adv. 2012, 30, 489–511. [Google Scholar] [CrossRef] [PubMed]
- Yabuki, S. Polyelectrolyte complex membranes for immobilizing biomolecules, and their applications to bio-analysis. Anal. Sci. 2011, 27, 695–702. [Google Scholar] [CrossRef] [PubMed]
- Katsuno, E.; Yabuuchi, N.; Komaba, S. Double-layered polyion complex for application to biosensing electrodes. Electrochem. Commun. 2014, 47, 88–91. [Google Scholar] [CrossRef]
- Mizutani, F.; Yabuki, S.; Hirata, Y. Amperometric l-lactate-sensing electrode based on a polyion complex layer containing lactate oxidase. Application to serum and milk samples. Anal. Chim. Acta 1995, 314, 233–239. [Google Scholar] [CrossRef]
- Sakai, H.; Nakagawa, T.; Tokita, Y.; Hatazawa, T.; Ikeda, T.; Tsujimura, S.; Kano, K. A high-power glucose/oxygen biofuel cell operating under quiescent conditions. Energy Environ. Sci. 2009, 2, 133–138. [Google Scholar] [CrossRef]
- Komaba, S.; Mitsuhashi, T.; Shiraishi, S. Polyion complex nanocomposite electrode incorporating enzyme and carbon nanotube for biofuel cells. Electrochemistry 2008, 76, 55–58. [Google Scholar] [CrossRef]
- Yabuki, S.; Hirata, Y. Enzyme and mediator-coadsorbed carbon felt electrode for electrochemical detection of glucose covered with polymer layers based on layer-by-layer technique. Anal. Sci. 2015, 31, 693–697. [Google Scholar] [CrossRef] [PubMed]
- Hou, C.T.; Lang, Q.L.; Liu, A.H. Tailoring 1,4-naphthoquinone with electron-withdrawing group: Toward developing redox polymer and FAD-GDH based hydrogel bioanode for efficient electrocatalytic glucose oxidation. Electrochim. Acta 2016, 211, 663–670. [Google Scholar] [CrossRef]
- Osman, M.H.; Shah, A.A.; Walsh, F.C. Recent progress and continuing challenges in bio-fuel cells. Part I: Enzymatic cells. Biosens. Bioelectron. 2011, 26, 3087–3102. [Google Scholar] [CrossRef] [PubMed]
- Degani, Y.; Heller, A. Electrical communication between redox centers of glucose oxidase and electrodes via electrostatically and covalently bound redox polymers. J. Am. Chem. Soc. 1989, 111, 2357–2358. [Google Scholar] [CrossRef]
- Kwon, C.H.; Lee, S.-H.; Choi, Y.-B.; Lee, J.A.; Kim, S.H.; Kim, H.-H.; Spinks, G.M.; Wallace, G.G.; Lima, M.D.; Kozlov, M.E.; et al. High-power biofuel cell textiles from woven biscrolled carbon nanotube yarns. Nat. Commun. 2014, 5, 3928. [Google Scholar] [CrossRef] [PubMed]
- Hodak, J.; Etchenique, R.; Calvo, E.J.; Singhal, K.; Bartlett, P.N. Layer-by-layer self-assembly of glucose oxidase with a poly(allylamine)ferrocene redox mediator. Langmuir 1997, 13, 2708–2716. [Google Scholar] [CrossRef]
- Little, W.F.; Clark, A.K. Ferrocenylazobenzenes. Resonance interaction of ferrocene with substrates. J. Org. Chem. 1960, 25, 1979–1982. [Google Scholar] [CrossRef]
- Tarr, A.M.; Wiles, D.M. Electronic absorption spectra and photodecomposition of some substituted ferrocenes. Can. J. Chem. 1968, 46, 2725–2731. [Google Scholar] [CrossRef]
- Kuwana, T.; Bublitz, D.E.; Hoh, G. Chronopotentiometric studies on the oxidation of ferrocene, ruthenocene, osmocene and some of their derivatives. J. Am. Chem. Soc. 1960, 82, 5811–5817. [Google Scholar] [CrossRef]
- Barton, S.C.; Gallaway, J.; Atanassov, P. Enzymatic biofuel cells for implantable and microscale devices. Chem. Rev. 2004, 104, 4867–4886. [Google Scholar] [CrossRef] [PubMed]
- Suzuki, M.; Murata, K.; Nakamura, N.; Ohno, H. The effect of particle size on the direct electron transfer reactions of metalloproteins using au nanoparticle-modified electrodes. Electrochemistry 2012, 80, 337–339. [Google Scholar] [CrossRef]
- Frens, G. Controlled nucleation for the regulation of the particle size in monodisperse gold suspensions. Nat. Phys. Sci. 1973, 20, 20–22. [Google Scholar] [CrossRef]
- Murata, K.; Kajiya, K.; Nukaga, M.; Suga, Y.; Watanabe, T.; Nakamura, N.; Ohno, H. A simple fabrication method for three-dimensional gold nanoparticle electrodes and their application to the study of the direct electrochemistry of cytochrome c. Electroanalysis 2010, 22, 185–190. [Google Scholar] [CrossRef]
- Takeda, K.; Ishida, T.; Igarashi, K.; Samejima, M.; Nakamura, N.; Ohno, H. Effect of amines as activators on the alcohol-oxidizing activity of pyrroloquinoline quinone-dependent quinoprotein alcohol dehydrogenase. Biosci. Biotechnol. Biochem. 2014, 78, 1195–1198. [Google Scholar] [CrossRef] [PubMed]








© 2017 by the authors. Licensee MDPI, Basel, Switzerland. This article is an open access article distributed under the terms and conditions of the Creative Commons Attribution (CC BY) license (http://creativecommons.org/licenses/by/4.0/).
Share and Cite
Sakurada, Y.; Takeda, K.; Ohno, H.; Nakamura, N. Immobilization of Pyrroloquinoline Quinone-Dependent Alcohol Dehydrogenase with a Polyion Complex and Redox Polymer for a Bioanode. Catalysts 2017, 7, 296. https://doi.org/10.3390/catal7100296
Sakurada Y, Takeda K, Ohno H, Nakamura N. Immobilization of Pyrroloquinoline Quinone-Dependent Alcohol Dehydrogenase with a Polyion Complex and Redox Polymer for a Bioanode. Catalysts. 2017; 7(10):296. https://doi.org/10.3390/catal7100296
Chicago/Turabian StyleSakurada, Yuki, Kouta Takeda, Hiroyuki Ohno, and Nobuhumi Nakamura. 2017. "Immobilization of Pyrroloquinoline Quinone-Dependent Alcohol Dehydrogenase with a Polyion Complex and Redox Polymer for a Bioanode" Catalysts 7, no. 10: 296. https://doi.org/10.3390/catal7100296
APA StyleSakurada, Y., Takeda, K., Ohno, H., & Nakamura, N. (2017). Immobilization of Pyrroloquinoline Quinone-Dependent Alcohol Dehydrogenase with a Polyion Complex and Redox Polymer for a Bioanode. Catalysts, 7(10), 296. https://doi.org/10.3390/catal7100296
