Adsorption Performance of Methyl Violet via α-Fe2O3@Porous Hollow Carbonaceous Microspheres and Its Effective Regeneration through a Fenton-Like Reaction
Abstract
:1. Introduction
2. Results and Discussion
2.1. SEM
2.2. Adsorption Studies
2.2.1. Influence of Adsorption Parameters
2.2.2. Adsorption Isotherm
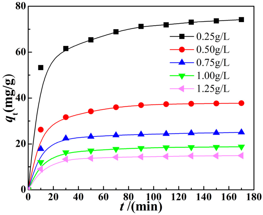
2.2.3. Adsorption Kinetics
2.2.4. Adsorption Thermodynamics
2.3. Regeneration of α-Fe2O3@PHCMs
3. Experimental Section
3.1. Materials
3.2. Synthesis of α-Fe2O3@PHCMs
3.3. Batch Adsorption Experiments
3.4. Regeneration Studies
4. Conclusions
Acknowledgements
Author Contributions
Conflicts of Interest
References
- Lia, J.; Ng, D.H.L.; Song, P.; Kong, C.; Song, Y. Synthesis of SnO2-activated carbon fiber hybrid catalyst for theremoval of methyl violet from water. Mater. Sci. Eng. B 2015, 194, 1–8. [Google Scholar] [CrossRef]
- Pal, J.; Deb, M.; Deshmukh, D.; Sen, B. Microwave-assisted synthesis of platinum nanoparticles and their catalytic degradation of methyl violet in aqueous solution. Appl. Nanosci. 2014, 4, 61–65. [Google Scholar] [CrossRef]
- Saji, M.; Taguchi, S.; Uchiyama, K.; Osono, E.; Hayama, N.; Ohkuni, H. Efficacy of gentian violet in the eradication of methicillin-resistant Staphylococcus aureus from skin lesions. J. Hosp. Infect. 1995, 31, 225–228. [Google Scholar] [CrossRef]
- Li, P.; Su, Y.J.; Wang, Y.; Liu, B.; Sun, L.M. Bioadsorption of methyl violet from aqueous solution onto Pu-erh tea powder. J. Hazard. Mater. 2010, 179, 43–48. [Google Scholar] [CrossRef] [PubMed]
- Bonetto, L.R.; Ferrarini, F.; de Marco, C.; Crespo, J.S.; Guégan, R.; Giovanela, M. Removal of methyl violet 2B dye from aqueous solution using a magnetic composite as an adsorbent. J. Water Process. Eng. 2015, 6, 11–20. [Google Scholar] [CrossRef]
- Wu, J.; Eiteman, M.A.; Law, S.E. Evaluation of membrane filtration and ozonation processes for treatment of reactive-dye wastewater. J. Environ. Eng. 1998, 124, 272–277. [Google Scholar] [CrossRef]
- Vimonses, V.; Lei, S.; Jin, B.; Chow, C.W.K.; Saint, C. Kinetic study and equilibrium isotherm analysis of Congo Red adsorption by clay materials. Chem. Eng. J. 2009, 148, 354–364. [Google Scholar] [CrossRef]
- Moghaddam, S.S.; Moghaddam, M.R.A.; Arami, M. Coagulation/flocculation process for dye removal using sludge from water treatment plant: optimization through response surface methodology. J. Hazard. Mater. 2010, 175, 651–657. [Google Scholar] [CrossRef] [PubMed]
- Hisaindee, S.; Meetani, M.A.; Rauf, M.A. Application of LC-MS to the analysis of advanced oxidation process (AOP) degradation of dye products and reaction mechanisms. TrAC Trends Anal. Chem. 2013, 49, 31–44. [Google Scholar] [CrossRef]
- Turhan, K.; Durukan, I.; Ozturkcan, S.A.; Turgut, Z. Decolorization of textile basic dye in aqueous solution byozone. Dyes Pigments 2012, 92, 897–901. [Google Scholar] [CrossRef]
- Wang, L.; Zhang, J.; Zhao, R.; Li, C.; Li, Y.; Zhang, C. Adsorption of basic dyes on activated carbon prepared from Polygonum orientale Linn: Equilibrium, kinetic and thermodynamic studies. Desalination 2010, 254, 68–74. [Google Scholar] [CrossRef]
- Rahchamani, J.; Mousavi, H.Z.; Behzad, M. Adsorption of methyl violet from aqueous solution by polyacrylamide as an adsorbent: Isotherm and kinetic studies. Desalination 2011, 267, 256–260. [Google Scholar] [CrossRef]
- Ni, D.; Wang, L.; Sun, Y.; Guan, Z.; Yang, S.; Zhou, K. Amphiphilic hollow carbonaceous microspheres with permeable shells. Angew. Chem. Int. Ed. Engl. 2010, 49, 4223–4227. [Google Scholar] [CrossRef] [PubMed]
- Mahmoodi, N.M. Binary catalyst system dye degradation using photocatalysis. Fibers Polym. 2014, 15, 73–280. [Google Scholar] [CrossRef]
- Li, C.; Dong, Y.; Yang, J.; Li, Y.; Huang, C. Modified nano-graphite/Fe3O4 composite as efficient adsorbent for the removal of methyl violet from aqueous solution. J. Mol. Liq. 2014, 196, 348–356. [Google Scholar] [CrossRef]
- Zheng, P.; Zhang, K.; Dang, Y.; Bai, B.; Guan, W.; Suo, Y. Adsorption of organic dyes by TiO2@yeast-carbon composite microspheres and their in situ regeneration evaluation. J. Nanomater. 2015, 198304, 1–13. [Google Scholar]
- Saikia, J.; Sikdar, Y.; Saha, B.; Das, G. Malachite nanoparticle: A potent surface for the adsorption of xanthene dyes. J. Environ. Chem. Eng. 2013, 1, 1166–1173. [Google Scholar] [CrossRef]
- Mahmoud, D.K.; Salleh, M.A.M.; Karim, W.A.; Idris, A.; Abidin, Z.Z. Batch adsorption of basic dye using acid treated kenaf fibre char: Equilibrium, kinetic and thermodynamic studies. Chem. Eng. J. 2012, 181, 449–457. [Google Scholar] [CrossRef]
- Tian, Y.; Jia, C.; Zhao, M.; Xu, M.; Zhang, Y.; Wang, R. Preparation and characterization of baker’s yeast modified by nano-Fe3O4: Application of biosorption of methyl violet in aqueous solution. Chem. Eng. J. 2010, 165, 474–481. [Google Scholar] [CrossRef]
- Hameed, B.H. Equilibrium and kinetic studies of methyl violet sorption by agricultural waste. J. Hazard. Mater. 2008, 154, 204–212. [Google Scholar] [CrossRef] [PubMed]
- Duan, J.M.; Liu, R.C.; Chen, T.; Zhang, B.; Liu, A.D. Halloysite nanotube-Fe3O4 composite for removal of methyl violet from aqueous solutions. Desalination 2012, 293, 46–52. [Google Scholar] [CrossRef]
- Xu, R.K.; Xiao, S.C.; Yuan, J.H.; Zhao, A.Z. Adsorption of methyl violet from aqueous solutions by the biochars derived from crop residues. Bioresource Technol. 2011, 102, 10293–10298. [Google Scholar] [CrossRef] [PubMed]
- Çelekli, A.; Birecikligil, S.S.; Geyik, F.; Bozkurt, H. Prediction of removal efficiency of Lanaset Red G on walnut husk using artificial neural network model. Bioresour. Technol. 2012, 103, 64–70. [Google Scholar] [CrossRef] [PubMed]
- Kumar, P.S.; Ramalingam, S.; Senthamarai, C.; Niranjanaa, M.; Vijayalakshmi, P.; Sivanesan, S. Adsorption of dye from aqueous solution by cashew nut shell: Studies on equilibrium isotherm, kinetics and thermodynamics of interactions. Desalination 2010, 261, 52–60. [Google Scholar] [CrossRef]
- Ahmad, M.A.; Alrozi, R. Removal of malachite green dye from aqueous solution using rambutan peel-based activated carbon: Equilibrium, kinetic and thermodynamic studies. Chem. Eng. J. 2011, 171, 510–516. [Google Scholar] [CrossRef]
- Chen, L.; Bai, B. Equilibrium, Kinetic, Thermodynamic, and in situ Regeneration Studies about Methylene Blue Adsorption by the Raspberry-like TiO2@yeast Microspheres. Ind. Eng. Chem. Res. 2013, 52, 15568–15577. [Google Scholar] [CrossRef]
- Wu, Q.; Feng, C.; Wang, C.; Wang, Z. A facile one-pot solvothermal method to produce superparamagnetic grapheme-Fe3O4 nanocomposite and its application in the removal of dye from aqueous solution. Colloids Surf. B 2013, 101, 210–214. [Google Scholar] [CrossRef] [PubMed]
- Kalur, G.C.; Frounfelker, B.D.; Cipriano, B.H.; Norman, A.I.; Raghavan, S.R. Viscosity Increase with Temperature in Cationic Surfactant Solutions Due to the Growth of Wormlike Micelles. Langmuir 2005, 21, 10998–11004. [Google Scholar] [CrossRef] [PubMed]
- Chowdhury, S.; Mishra, R.; Saha, P.; Kushwaha, P. Adsorption thermodynamics, kinetics and isosteric heat of adsorption of malachite green onto chemically modified rice husk. Desalination 2011, 265, 159–168. [Google Scholar] [CrossRef]
- Langmuir, I. The constitution and fundamental properties of solids and liquids. Part I. solids. J. Am. Chem. Soc. 1916, 38, 2221–2295. [Google Scholar] [CrossRef]
- Weber, T.W.; Chakravorti, R.K. Pore and solid diffusion models for fixed-bed adsorbers. AIChE J. 1974, 20, 228–238. [Google Scholar] [CrossRef]
- Freundlich, H.M.F. Over the adsorption in solution. J. Phys. Chem. 1906, 57, 1100–1107. [Google Scholar]
- Chen, S.; Zhang, J.; Zhang, C.; Yue, Q.; Li, Y.; Li, C. Equilibrium and kinetic studies of methyl orange and methyl violet adsorption on activated carbon derived from Phragmites australis. Desalination 2010, 252, 149–156. [Google Scholar] [CrossRef]
- Temkin, M.I.; Pyzhev, V. Kinetics of ammonia synthesis on promoted iron catalysts. Acta Physiochim. URSS 1940, 12, 217–222. [Google Scholar]
- Sips, R. Combined form of Langmuir and Freundlich equations. J. Chem. Phys. 1948, 16, 490–495. [Google Scholar] [CrossRef]
- Wu, J.S.; Liu, C.H.; Chu, K.H.; Suen, S.Y. Removal of cationic dye methyl violet 2B from water by cation exchange membranes. J. Membr. Sci. 2008, 309, 239–245. [Google Scholar] [CrossRef]
- Ofomaja, A.E. Kinetic study and sorption mechanism of methylene blue and methyl violet onto mansonia (Mansonia altissima) wood sawdust. Chem. Eng. J. 2008, 143, 85–95. [Google Scholar] [CrossRef]
- Musyoka, S.M.; Mittal, H.; Mishra, S.B.; Ngila, J.C. Effect of functionalization on the adsorption capacity of cellulose for the removal of methyl violet. Int. J. Biological Macromol. 2014, 65, 389–397. [Google Scholar] [CrossRef] [PubMed]
- Liu, R.; Zhang, B.; Mei, D.; Zhang, H.; Liu, J. Adsorption of methyl violet from aqueous solution by halloysite nanotubes. Desalination 2011, 268, 111–116. [Google Scholar]
- Lagergren, S. About the theory of so-called adsorption of soluble substances. Kungliga Svenska Vetenskapsakademiens Handlingar 1898, 24, 1–39. [Google Scholar]
- Ho, Y.S.; McKay, G. Kinetic models for the sorption of dye from aqueous solution by wood. Process. Saf. Environ. 1998, 76, 183–191. [Google Scholar] [CrossRef]
- Hameed, B.H. Spent tea leaves: A new non-conventional and low-cost adsorbent for removal of basic dye from aqueous solutions. J. Hazard. Mater. 2009, 161, 753–759. [Google Scholar] [CrossRef] [PubMed]
- Ai, L.; Li, M.; Li, L. Adsorption of methylene blue from aqueous solution with activated carbon/cobalt ferrite/alginate composite beads: Kinetics, isotherms, and thermodynamics. J. Chem. Eng. Data 2011, 56, 3475–3483. [Google Scholar] [CrossRef]
- Weber, W.J.; Morris, J.C. Kinetics of adsorption on carbon from solution. J. Sanit. Eng. Div. ASCE 1963, 89, 31–60. [Google Scholar]
- Ding, L.L.; Zou, B.; Gao, W.; Liu, Q.; Wang, Z.C.; Guo, Y.P.; Wang, X.F.; Liu, Y.H. Adsorption of Rhodamine-B from aqueous solution using treated rice husk-based activated carbon. Colloids Surf. A 2014, 446, 1–7. [Google Scholar] [CrossRef]
- Konicki, W.; Cendrowski, K.; Chen, X.; Mijowska, E. Application of hollow mesoporous carbon nanospheres as an high effective adsorbent for the fast removal of acid dyes from aqueous solutions. Chem. Eng. J. 2013, 228, 824–833. [Google Scholar] [CrossRef]
- Gokulakrishnan, N.; Pandurangan, A.; Sinha, P.K. Catalytic wet peroxide oxidation technique for the removal of decontaminating agents ethylenediaminetetraacetic acid and oxalic acid from aqueous solution using efficient Fenton type Fe-MCM-41 mesoporous materials. Ind. Eng. Chem. Res. 2009, 48, 1556–1561. [Google Scholar] [CrossRef]
- Panda, N.; Sahoo, H.; Mohapatra, S. Decolourization of Methyl Orange using Fenton-like mesoporous Fe2O3-SiO2 composite. J. Hazard. Mater. 2011, 185, 359–365. [Google Scholar] [CrossRef] [PubMed]
- Haber, F.; Weiss, J. The catalytic decomposition of hydrogen peroxide by iron salts. Proc. R. Soc. Lond. Ser. A 1934, 147, 332–351. [Google Scholar] [CrossRef]
- Tiya-Djowe, A.; Acayanka, E.; Lontio-Nkouongfo, G.; Laminsi, S.; Gaigneaux, E.M. Enhanced discolouration of methyl violet 10B in a gliding arc plasma reactor by the maghemite nanoparticles used as heterogeneous catalyst. J. Environ. Chem. Eng. 2015, 3, 953–960. [Google Scholar] [CrossRef]












| Isotherm Models | Parameters | Temperature (K) | ||
|---|---|---|---|---|
| 293.15 K | 303.15 K | 313.15 K | ||
| Langmiur | qmax (mg/g) | 297.8 | 344.9 | 539.8 |
| b (L/mg) | 0.1271 | 0.1243 | 0.07552 | |
| R2 | 0.9958 | 0.9887 | 0.9821 | |
| RL | 0.1359 | 0.1386 | 0.2094 | |
| Freundlich | Kf (mg/g) | 29.91 | 32.76 | 42.84 |
| 1/n | 0.7718 | 0.8281 | 0.8073 | |
| R2 | 0.9377 | 0.9427 | 0.9729 | |
| Temkin | A (L/mg) | 2.512 | 2.703 | 3.471 |
| B | 40.39 | 42.72 | 38.12 | |
| R2 | 0.9535 | 0.9490 | 0.8919 | |
| Sips | KS | 38.28 | 38.87 | 47.29 |
| aS | 0.1690 | 0.2121 | 0.3793 | |
| βS | 0.9771 | 0.9578 | 0.9645 | |
| R2 | 0.9952 | 0.9884 | 0.9812 | |
| Adsorbent | qmax (mg·g−1) | Reference |
|---|---|---|
| Cation exchange membranes | 10.1 | Wu et al. [36] |
| Mansonia wood sawdust | 16.1 | Ofomaja et al. [37] |
| HNT-Fe3O4 composite | 20.0 | Bonetto et al. [5] |
| Sunflower seed hull | 92.59 | Hameed et al. [20] |
| Functionalized cellulose | 106.38 | Musyoka et al. [38] |
| Halloysite nanotubes | 113.64 | Liu et al. [39] |
| SnO2/activated carbon fiber | 135 | Lia et al. [1] |
| α-Fe2O3@PHCMs | 539.8 | This study |
| Kinetic Model | Kinetic Constant | Initial Concentration (mg/L) | ||||
|---|---|---|---|---|---|---|
| 10 | 20 | 30 | 40 | 50 | ||
| Pseudo-first-order | k1 × 10−2 (min−1) | 3.730 | 4.549 | 2.930 | 3.607 | 3.320 |
| qe,exp (mg/g) | 17.83 | 37.09 | 57.42 | 75.12 | 95.05 | |
| qe,cal (mg/g) | 7.204 | 21.54 | 24.79 | 38.57 | 38.24 | |
| R2 | 0.9102 | 0.9317 | 0.9178 | 0.9114 | 0.9188 | |
| Pseudo-second-order | k2 × 10−3 (g/mg·min) | 30.11 | 17.09 | 7.639 | 6.400 | 5.198 |
| qe,exp (mg/g) | 17.83 | 37.09 | 57.42 | 75.12 | 95.05 | |
| qe,cal (mg/g) | 17.96 | 37.34 | 57.74 | 75.59 | 95.69 | |
| h (mg/g·min) | 9.576 | 23.51 | 25.18 | 36.11 | 46.96 | |
| Initial Concentration (mg/L) | Intraparticle Diffusion Model | |||
|---|---|---|---|---|
| Kid,1 (mg/g·min1/2) | Kid,2 (mg/g·min1/2) | C | R2 | |
| 10 | 0.1726 | 0.08712 | 15.94 | 0.8144 |
| 20 | 1.383 | 0.1376 | 34.09 | 0.8816 |
| 30 | 2.561 | 0.2820 | 50.98 | 0.9743 |
| 40 | 2.791 | 0.4295 | 65.64 | 0.9097 |
| 50 | 3.133 | 0.4300 | 85.44 | 0.9562 |
| T (K) | K0 | ΔG0 (kJ/mol) | ΔH0 (kJ/mol) | ΔS0 (J/mol·K) |
|---|---|---|---|---|
| 293.15 | 3.604 | −3.135 | - | - |
| 303.15 | 3.683 | −3.296 | 2.739 | 19.96 |
| 313.15 | 3.873 | −3.537 | - | - |
© 2016 by the authors; licensee MDPI, Basel, Switzerland. This article is an open access article distributed under the terms and conditions of the Creative Commons by Attribution (CC-BY) license (http://creativecommons.org/licenses/by/4.0/).
Share and Cite
Tong, Z.; Zheng, P.; Bai, B.; Wang, H.; Suo, Y. Adsorption Performance of Methyl Violet via α-Fe2O3@Porous Hollow Carbonaceous Microspheres and Its Effective Regeneration through a Fenton-Like Reaction. Catalysts 2016, 6, 58. https://doi.org/10.3390/catal6040058
Tong Z, Zheng P, Bai B, Wang H, Suo Y. Adsorption Performance of Methyl Violet via α-Fe2O3@Porous Hollow Carbonaceous Microspheres and Its Effective Regeneration through a Fenton-Like Reaction. Catalysts. 2016; 6(4):58. https://doi.org/10.3390/catal6040058
Chicago/Turabian StyleTong, Zhiqing, Pei Zheng, Bo Bai, Honglun Wang, and Yourui Suo. 2016. "Adsorption Performance of Methyl Violet via α-Fe2O3@Porous Hollow Carbonaceous Microspheres and Its Effective Regeneration through a Fenton-Like Reaction" Catalysts 6, no. 4: 58. https://doi.org/10.3390/catal6040058
APA StyleTong, Z., Zheng, P., Bai, B., Wang, H., & Suo, Y. (2016). Adsorption Performance of Methyl Violet via α-Fe2O3@Porous Hollow Carbonaceous Microspheres and Its Effective Regeneration through a Fenton-Like Reaction. Catalysts, 6(4), 58. https://doi.org/10.3390/catal6040058
