Next Article in Journal
Formic Acid Oxidation over Hierarchical Porous Carbon Containing PtPd Catalysts
Next Article in Special Issue
An Ionic Liquid Solution of Chitosan as Organocatalyst
Previous Article in Journal
Catalysts Supported on Carbon Materials for the Selective Hydrogenation of Citral
Previous Article in Special Issue
Sulfonate Ionic Liquid as a Stable and Active Catalyst for Levoglucosenone Production from Saccharides via Catalytic Pyrolysis
 
 
Due to scheduled maintenance work on our servers, there may be short service disruptions on this website between 11:00 and 12:00 CEST on March 28th.
Font Type:
Arial Georgia Verdana
Font Size:
Aa Aa Aa
Line Spacing:
Column Width:
Background:
Review

Ionic Liquids: The Synergistic Catalytic Effect in the Synthesis of Cyclic Carbonates

1
Beijing Key Laboratory of Ionic Liquids Clean Process, Key Laboratory of Green Process and Engineering, Institute of Process Engineering, Chinese Academy of Sciences, Beijing 100190, China
2
University of Chinese Academy of Sciences, Beijing 100049, China
3
Department of Chemical Engineering, University of Waterloo, 200 University Avenue West, Waterloo N2L 3G1, Canada
*
Authors to whom correspondence should be addressed.
Catalysts 2013, 3(4), 878-901; https://doi.org/10.3390/catal3040878
Submission received: 19 August 2013 / Revised: 27 September 2013 / Accepted: 8 October 2013 / Published: 22 October 2013
(This article belongs to the Special Issue Ionic Liquids in Catalysis)

Abstract

:
This review presents the synergistic effect in the catalytic system of ionic liquids (ILs) for the synthesis of cyclic carbonate from carbon dioxide and epoxide. The emphasis of this review is on three aspects: the catalytic system of metal-based ionic liquids, the catalytic system of hydrogen bond-promoted ionic liquids and supported ionic liquids. Metal and ionic liquids show a synergistic effect on the cycloaddition reactions of epoxides. The cations and anions of ionic liquids show a synergistic effect on the cycloaddition reactions. The functional groups in cations or supports combined with the anions have a synergistic effect on the cycloaddition reactions. Synergistic catalytic effects of ILs play an important role of promoting the cycloaddition reactions of epoxides. The design of catalytic system of ionic liquids will be possible if the synergistic effect on a molecular level is understood.

1. Introduction

Carbon dioxide, more than 30 billion tons [1] of which is annually released to the atmosphere, is believed to be responsible for global warming and climate change [2,3,4,5,6,7]. Meanwhile, it is also a nontoxic, abundant, inexpensive, nonflammable and sustainable C1 resource. From the viewpoint of environmental protection and resource utilization, it is important to transform CO2 into useful chemicals efficiently, not only in academia but also for industrial applications. Cyclic carbonates have widely been used for various purposes, such as polar aprotic solvents, intermediates in organic synthesis, monomers for synthesizing polycarbonate, agricultural chemical, alkylating agents, electrolytic elements of lithium secondary batteries and chemical ingredients for preparing medicines [8,9,10,11]. As cycloaddition of CO2 with epoxides are 100% atom-economical reactions, the synthesis of cyclic carbonates has received increasing attention [3,12,13]. It is desirable to find a new type of material for catalyzing the cycloaddition of epoxides and CO2 although numerous catalysts including both homogeneous and heterogeneous catalysts have already been developed [14,15,16,17,18,19,20,21,22,23,24,25,26,27,28,29,30]. Ionic liquids (ILs) have only attracted considerable attention as promising catalysts in the last two decades, although they have been known for almost a century [31]. In comparison with the traditional organic catalysts, a main advantage of the ILs is their structural diversity, which allows tuning of their properties. The tunable structures of the ILs by combination of different cations with anions make them highly promising candidates for tailored catalysts [32]. In 2001, Peng et al. first successfully employed ILs to catalyze cycloaddition of carbon dioxide for the synthesis of cyclic carbonates [33]. Many scientists have made a concentrated effort to improve the performance of the ILs catalysts during the past decade [2,31,34,35,36,37,38,39,40,41]. Most research was focused on adding metal compounds into ILs catalytic system, synthesis of task-specific ionic liquids with functional groups and synthesis of supported ionic liquids. The performance of an IL can strongly depend on the catalytic system in which it is implemented. ILs combining with metal compounds can promote the cycloaddition reactions of epoxides. The combination of functional groups (such as -OH, -COOH) of cations with anions of ILs can accelerate cycloaddition reactions. Functional groups in cations or in the supports for ILs can combine with the anions of supported ILs resulting in a synergistic effect on the ring-opening of epoxides. Synergistic catalytic effects of ILs catalytic system play an important role of promoting the cycloaddition reactions of epoxides. However, due to the diversity of different anion–cation combinations and the diversity of metal compounds, solvents and supports it is difficult to make generalizations about synergistic effects, as there are homogeneous catalytic systems, supported ILs, multiphase catalytic systems and aqueous catalytic systems based on ILs. More importantly, it is necessary to move ahead to a rational design of catalytic systems based on ILs. Normally, ILs are tunable as they are generally composed of flexible ions with different sizes and shapes. In most cases, design of the catalytic ILs systems usually takes a trial-and-error approach because theoretical treatment and interpretations are complicated involving different types of dominant interactions. It is difficult to predict the performance of ILs in a given set of reaction conditions. Therefore, it is important to have a better understanding of synergistic catalytic effects of anions and cation of ILs, and ILs with other species such as metal ions, functional groups of solvents and various supports.
This review focuses on the most representative developments and progress on synergistic catalytic effects based on ionic liquids in the synthesis of cyclic carbonates. This review covers the different catalytic systems involving synergistic effects from homogenous catalytic system to heterogeneous catalytic system. More specifically, the following are reported: (i) metal-based ionic liquids: a synergistic effect of different metal compounds with ILs, (ii) hydrogen bond-promoted ionic liquids: a synergistic effect of functional groups of cations and anions, and (iii) supported ionic liquids: a synergistic effect of functional groups (in cations or supports) and anions.

2. Metal-Based Ionic Liquids

Many metal salts or complexes (such as Co, Ca, Fe, Ni) containing anions of ILs have been found to be very active for the coupling of CO2 with epoxides. The activities of ILs could be greatly improved by adding metal salts or complexes for the synthesis of cyclic carbonates. Furthermore, synergistic effects on promoting the cycloaddition reactions of epoxides have been reported [31,34,35,36,37,38,39,40,42,43,44,45,46,47,48,49,50,51,52].
Kossev et al. [53] studied the influence of CaCl2 as a Lewis acid on the synthesis of cyclic carbonates from epoxides and CO2. The reaction was carried out in the system consisting of tetraalkylammonium or phosphonium halide and CaCl2. The cycloaddition reactions of different terminal epoxides with CO2 were investigated. Using triethylbenzylammonium chloride (TEBACl) as a catalyst, the yields of the corresponding cyclic carbonates were very low (4.6%–36.1%). But in a catalytic system comprised of [TEBA][Cl] and CaCl2 with a mole ratio of 2:1, above 95% yields of the corresponding cyclic carbonates can be achieved. For the cycloaddition reaction of CO2 with propylene oxide (PO) under a pressure of 4MPa and 170 °C within 4 h, the highest yield of propylene carbonate (PC) reached 96.9% over a CaCl2 based [TEBA][Cl] system, compared with a PC yield of 8.9% over a [TEBA][Cl] system alone. In comparison with the CaCl2 or [TEBA][Cl] used as a sole catalyst, the [TEBA][Cl]—CaCl2 catalytic system led to a sharp increase of the yields of carbonates. Thus, the CaCl2 and [TEBA][Cl] system showed a synergistic effect on promoting the cycloaddition reactions of epoxides.
Sibaouih et al. [54] combined Co(II) salts with onium (ammonium, phosphonium, and imidazolium) salts as catalytic system for the coupling reaction of CO2 and epoxides. The catalytic reactions were carried out at the conditions of 120 °C with 10 bar of CO2 within 1 h. Activities of onium salts were moderate while CoCl2 alone was inactive in the reaction. However, in a catalytic system comprised of tetrabutyl ammonium chloride ([TBA][Cl]) and CoCl2, cyclic carbonates were produced at high turnover frequencies (TOF) and selectivity. For the coupling reaction of CO2 and propylene oxide using [TBA][Cl] and CoCl2 as a co-catalyst, the highest TOF was up to 2223 h−1. Sibaouih et al. [54] and Kossev et al. [53] found a significant synergistic effect of the Co(II) salt together with the anions of onium salts. It was interesting that chloride as a IL anion was more advantageous than Br and I in terms of the tetrabutyl ammonium salts bearing different anions. It was found that phosphonium salts were more active than ammonium salts, while the imidazolium-based ILs were the least active.
Zn (II) halide complexes have been known to be active catalysts for cycloaddition reaction for a long time [42,43,44,45]. Kim reported a simple catalytic system consisting of ZnBr2 and imidazolium-based ILs [48]. Cycloaddition reactions were carried out at 100 °C and 3.5 MPa of CO2 for 1 h. When IL (1-butyl-3-methylimidazolium chloride or 1-butyl-3-methylimidazolium bromide) was used alone as a catalyst for the coupling reaction of CO2 and ethylene oxide (EO), the TOF value was less than 100 h−1. Meanwhile ZnBr2 was completely inactive. However, the TOF value was more than 3500 h−1 when ZnBr2 was added to the above imidazolium-based ILs. ZnBr2 and imidazolium-based ILs turned out to be very active for the cycloaddition reaction under mild conditions. The dissociation of bromide ion and the following attack on the carbon atom of an epoxide may take place more easily than that of the chloride ion.
Palgunadi et al. [55] reported a series of bis(1-alkyl-3-methylimidazolium) tetrahalide Zn complexes for the coupling of CO2 with various epoxides. The influence of halides on the reaction was investigated. It was found that a higher bromide content had a beneficial influence on the activity which is in agreement with the conclusions of Kim [48]. The reason may be that the nucleophilicity of bromide is higher than that of the chloride. The results also showed that bulkier epoxides were more difficult to convert to the corresponding carbonates.
Fujita et al. [56] also reported that they employed the IL/Zn halide based catalyst systems where the cations of ILs were tetrabutylammonium cation([NBu4]+), 1-butyl-3-methylimidazolium cation ([BMIm]+), 1-butylpyridinium cation ([BPy]+ ) and choline cation ([Chol]+). The general formula was ILnZnX2Yn where X and Y are halides in the catalyst systems. The yield of styrene carbonate was 94% over [NBu4]2ZnBr2Br2 as catalyst at 80 °C and 50 bar of CO2 for 30 min by using the substrate styrene oxide. The activity of different cations varied in the order: [NBu4]+ > [BPy]+ > [BMIm]+ >> [Chol]+. The influence of the Zn halide salt on the activity was in the following order: ZnBr2> ZnI2> ZnCl2. It was found that the halide originating from ZnX2 had a higher effect on the activity than the halide originating from the IL ([IL]Y) in the synthesis. This effect was not clear although a possible reaction mechanism was discussed by the authors. The ratio of IL cation to Zn (n = [IL]/Zn) had different effect on the activity based on the different cation used. The activity continued to increase linearly at least up to n = 4 for [BMIm]+, while the activity did not increase further at n > 4 for[NBu4]+ under the given conditions. It was attributed to the cooperative activation of epoxide molecules by the bi-functionality of zinc based ionic liquid. Sun et al. [57] employed a series of metal bromide salts together with imidazolium-based ILs as cocatalysts for the synthesis of styrene carbonate from the corresponding epoxide and CO2. The activities of different catalysts with different metal cations, imidazolium alkyl chain length and IL anion, were investigated. It was revealed that ZnBr2/[BMIm][Cl] was the best catalyst for the reaction under the given conditions. The activity of the catalysts was found to be dependent on the Lewis-acidity of the metal cation to some extent. The catalytic activity with [BF4] or [PF6] as IL anions decreased compared to that of Cl. The activity was found to be dependent on temperature and CO2 pressure. Higher yields were obtained at higher temperature and an optimal CO2 pressure. The authors proposed a similar reaction mechanism (the acid attacks the oxygen atom of the epoxide ring, while the base attacks the carbon atom to open the ring), which is in good agreement with that published by Ramin and Sun previously [58,59].
Li et al. [60] reported zinc compounds based on [BMIm][Br] (1-butyl-3-methylimidazolium bromine) catalyst systems for the synthesis of cyclic carbonates from CO2 and epoxides. Cycloaddition reactions were carried out at 100 °C and 1.5 MPa of CO2 for 1 h. The catalytic activity of [BMIm][Br] by itself was very low (8% yield) (Table 1, Entry 1). When ZnCl2was added as a co-catalyst in the system, 95% yield of propylene carbonate was obtained and TOF value reached 5410 h−1 (Table 1, Entry 4). The molar ratio of [BMIm][Br]: ZnCl2 had an influence on the TOF. A series of different anions with 1-butyl-3-methylimidazolium cation were investigated (Table 1, Entries 5–7). It was found that the anions BF4 and PF6 were inactive in the reaction. The reaction with the Cl anion showed low activity and only 38% yield of propylene carbonate was obtained while Br exhibited good performance. These results illustrated that anions play an important role in the catalytic activity. Among the zinc compounds (Table 1, Entries 4,8,9), the combination of ZnBr2 and [BMIm]Br efficiently co-catalyzed the cycloaddition reactions.
Table 1. Effects of different zinc compounds combined with [BMIm][X] on the coupling reaction of CO2 and PO a [60].
Table 1. Effects of different zinc compounds combined with [BMIm][X] on the coupling reaction of CO2 and PO a [60].
EntryCatalystAmount of [BMIm]X(mmol)Yield b(%)TOF
1[BMIm][Br] 0.38 45
2ZnCl2/[BMIm] [Br]0.160 3417
3ZnCl2/[BMIm] [Br]0.279 4500
4ZnCl2/[BMIm] [Br]0.395 5410
5ZnCl2/[BMIm][Cl]0.338 1564
6ZnCl2/[BMIm][BF4]0.3Tr
7ZnCl2/[BMIm][PF6]0.3Tr
8ZnBr2/[BMIm] [Br]0.398 5580
9Zn(OAc)2/[BMIm] [Br]0.364 3636
a Reaction condition: ZnCl2 (6.8 mg, 0.05 mmol), propylene oxide (20 mL, 0.285 mol), CO2 reaction pressure 1.5 MPa, reaction time 1h. b Isolated yield.
Phosphonium halides are more thermally stable [61,62,63,64,65,66] when compared with the ammonium halides. Moreover, they could be separated easily from the products since they have little potential interaction with the products [67]. Sun et al. [68] studied the effect of the different zinc compounds combined with phosphonium salts as Lewis acid/base catalyst on the synthesis of cyclic carbonates from epoxides and CO2. The catalytic reactions were carried out at the conditions of 120 °C with 1.5 MPa of CO2 in 1 h. The effects of different phosphonium halides on the formation of PC were investigated (Table 2). The activity of ZnCl2/KBr was very low (Table 2, Entry 2). In the ZnCl2/[PPh3C6H13][Br] catalytic system, 96% yield with over 99% selectivity of PC was obtained and the corresponding TOF value was 4718.4 h−1 (Table 2, Entry 1). The activity of phosphonium salts was affected by their structure, which probably also influences the behavior of anions. A possible role of cations was tested on this reaction. The catalytic activity increased with the increase in the phosphonium cations molecular weight ([PPh3CnH2n+1]+, n = 2~10, Table 2, Entries 1,3–6,9–11), and the selectivity kept constant for all the cases. In the ZnCl2/[PPh3C10H21][Br] catalytic system, a 98.5% yield and 4841.2 h−1 TOF value, which were the highest among the tested catalysts were obtained. The reason was that the nucleophilic attack of halide anion on the PO is accelerated by the less electrostatic interaction between the halide anion and the larger phosphonium cation. The activity of different halide ions varied in the order: I ≥ Br > Cl (Table 2, Entries 4,10,12). A possible reason may be that dissociation of I ion is more facile than Br and Cl. The effect of the different zinc compounds such as ZnSO4, Zn(CH3COO)2 and Zn(NO3)2 on the catalytic activity was also investigated. The results showed that Zn(NO3)2/[PPh3C6H13][Br] exhibited higher catalytic activity than the others (Table 2, Entries 14–16). The number of moles of ZnCl2 of the catalytic system was kept constant while the molar ratio of ZnCl2: [PPh3C6H13][Br] varied (Table 2, Entries 1,17–19). The yield of PC increased with the increasing molar ratio of ZnCl2: [PPh3C6H13][Br]. The highest PC yield was obtained when the molar ratio of ZnCl2:[PPh3C6H13][Br] was 1:8.
Table 2. Effects of different zinc compounds combined with phosphonium salts on the coupling reaction of CO2 and PO a [68].
Table 2. Effects of different zinc compounds combined with phosphonium salts on the coupling reaction of CO2 and PO a [68].
EntryCatalytic system Yield (%)Selectivity (%)TOF c(h−1)
1ZnCl2/[PPh3C6H13][Br]96.0>99.04718.4
2 bZnCl2/KBrTrace--
3ZnCl2/[PPh3C2H5][Br]93.0>99.04570.9
4ZnCl2/[PPh3C4H9][Br]95.0>99.04669.2
5ZnCl2/[PPh3C8H17][Br]97.1>99.04767.5
6ZnCl2/[PPh3C10H21][Br]98.5>99.04841.2
7ZnCl2/[P(Bu)4][Br]79.0>99.03882.8
8ZnCl2/[PPh3iso-C4H9][Br]94.2>99.04629.8
9ZnCl2/[PPh3C3H7][Cl]65.0>99.03194.7
10ZnCl2/[PPh3C4H9][Cl]67.0>99.03293.1
11ZnCl2/[PPh3C5H11][Cl]70.0>99.03440.5
12ZnCl2/[PPh3C4H9][I]95.1>99.04674.1
13ZnCl2/[P(Bu)3C14H29][Cl]75.2>99.03696.1
14ZnSO4/[PPh3C6H13][Br]60.0>99.02949.0
15Zn(Ac)2/[PPh3C6H13][Br]67.1>99.03298.0
16Zn(NO3)2/[PPh3C6H13][Br]86.9>98.04271.1
17 dZnCl2/ [PPh3C6H13][Br]72.0>99.03538.8
18 eZnCl2/ [PPh3C6H13][Br]87.2>99.04285.9
19 fZnCl2/ [PPh3C6H13][Br]97.0>99.04767.6
a Reaction conditions: PO (20.0 mL at 25 °C, 0.29 mol); The molar ratio of ionic liquid/zinc salt (1:6); Temperature: 120 °C; CO2 Pressure: 1.5 MPa; Reaction time: 1 h. b KBr (0.35 mmol). c Moles of PC/moles of ZnCl2/hour. d The molar ratio of ZnCl2/[ PPh3C6H13][Br] (1:2). e The molar ratio of ZnCl2/ [PPh3C6H13][Br] (1:4). f The molar ratio of ZnCl2/ [PPh3C6H13][Br] (1:8).
Cheng et al. [69] explored the metal halide catalyst systems based on choline chloride (CH), which are simple, efficient and biodegradable for the synthesis of cyclic carbonates from CO2 and epoxides under solventless condition. The performance of choline chloride with different metal halide catalysts was investigated (Table 3). Choline chloride alone was inactive in the reaction. The behavior of CH with different Lewis acid catalysts varied considerably. The yield was unsatisfactory with CuCl2∙2H2O/CH, FeCl3/CH, NaCl/CH or AlCl3/CH (Table 3, Entries 6–9), while the reaction did not take place over CH with K+ or Mg2+ (Table 3, Entries 3–5). It is interesting to observe that the activities of zinc halide based on CH increased sharply (Table 3, Entries 10,11). The highest yield of propylene carbonate reached 99% over ZnBr2-based CH at 110 °C and 1.5 MPa of CO2 for 1 h. When tetramethylammonium chloride (TMAC) without -OH group was substituted for CH, the corresponding catalyst system showed very low activity compared to the ZnBr2-based CH system (Table 3, Entry 12). This result indicated that the -OH group of CH promoted the reaction. The tentative mechanism was proposed and shown schematically in Scheme 1. Firstly the Lewis acid (Zn2+) and -OH group of CH attack the oxygen atom of the epoxide ring, while the Lewis base (Br) attacks the carbon atom coordinatively. The coordination of the zinc atom and -OH group with the oxygen atom of epoxide through a donor-acceptor bond resulted in the polarization of C–O bonds, while the nucleophilic attack by Br on the less bulky β-carbon atom of the epoxide occurred at the same time. As a result, the ring of the epoxide was easily opened. Then the oxygen anion interacted with CO2 to form the intermediate. Lastly, the intermediate would be transformed into a cyclic carbonate by the intramolecular substitution of bromide. The -OH group of CH and Zn2+ play an important function on the ring-opening of epoxy, which indicates a synergistic effect on promoting the cycloaddition reactions of epoxides. The molar ratio of CH to ZnBr2 also had significant influence on catalytic activity. The yield of PC increased with an increase of molar ratios of CH to ZnBr2 from 1 to 5 (Table 3, Entries 11,13–16), then decreased with a further increase of molar ratio (Table 3, Entry 16). Moreover, the catalyst can be reused 5 times without the decrease in the yield of PC.
Table 3. Effects of different metal compounds combined with choline chloride (CH) on the coupling reaction of CO2 and PO a [69].
Table 3. Effects of different metal compounds combined with choline chloride (CH) on the coupling reaction of CO2 and PO a [69].
EntryCatalystRatio bYield c(%)TOF d
1CH0TraceTrace
2ZnBr215
3KCl/CH1:5TraceTrace
4KBr/CH1:5TraceTrace
5MgCl2∙6H2O/CH1:5TraceTrace
6CuCl2∙2H2O/CH1:5525
7FeCl3/CH1:51470
8NaCl/CH1:521106
9AlCl3/CH1:533166
10ZnCl2/CH1:590451
11ZnBr2/CH1:599494
12ZnBr2/TMAC1:51 6
13ZnBr2/CH1:131155
14ZnBr2/CH1:386430
15ZnBr2/CH1:491455
16ZnBr2/CH1:694470
17 eZnBr2/CH1:599494
18 fZnBr2/CH1:598490
19 gZnBr2/CH1:599494
20 hZnBr2/CH1:599494
a Reaction condition: PO (140 mmol), CH (1.4 mmol), 110 °C, 60 min. b The molar ratio of metal compounds/CH. c Isolated yield. d Moles of propylene carbonate produced per mole of catalyst per hour. e The second run of the catalyst. f The third run of the catalyst. g The forth run of the catalyst. h The fifth run of the catalyst.
Scheme 1. Mechanism for the coupling of epoxides with CO2 catalyzed by ZnBr2-based CH [69].
Scheme 1. Mechanism for the coupling of epoxides with CO2 catalyzed by ZnBr2-based CH [69].
Catalysts 03 00878 g003

3. Hydrogen Bond-Promoted Ionic Liquids

Han et al. [70] reported several betaine(Bet)-based catalysts for the cycloaddition of CO2 with epoxides. The catalyst systems were composed of betaine cation and Cl, Br, I, BF4, or PF6. Coupling of CO2 and propylene oxide was carried out at 140 °C and 8 MPa of CO2 for 8 h. The betaine (Bet) itself was inactive (Table 4, Entry 1). The yields of PC increased when the anions were Cl, BF4, or PF6 (Table 4, Entries 2,5,6). The yields of PC were in the order of Cl > BF4 > PF6 which is consistent with the order of the nucleophilicity of the anions. The highest yield was achieved when [Hbet][I] was used as catalyst (Table 4, Entry 6). But the order of activity of the catalysts containing halide elements was [Hbet][I] > [Hbet][Cl] > [Hbet][Br] (Table 4, Entries 2–4), which was different from the order of their nucleophilicity. The catalytic activity of the betaine-based salts was compared with that of the conventional catalysts. The [Hbet][I] with a carboxylic acid group had higher catalytic activity than n-tetrabutyl ammonium bromide (Table 4, Entry 7). The carboxylic acid group, which is a Brønsted acid and a hydrogen bonding donor, could accelerate the ring opening of epoxides and showed a co-operative effect with halide anions.
Table 4. Synthesis of propylene carbonate (PC) catalyzed by betaine(Bet)-based catalysts a [70].
Table 4. Synthesis of propylene carbonate (PC) catalyzed by betaine(Bet)-based catalysts a [70].
EntryCatalystYield b(%)
1Bet 0
2[Hbet][Cl] 94
3[Hbet][Br] 76
4[Hbet][I] 98
5[Hbet][BF4] 74
6[HbetP][F6] 20
7[N(Bu)4][Br] 88
8[N(Me)4][Cl]l 2
9 bN(Bu)4Br/CH3COOH 91
a Reaction condition: 10 mmol of PO with 2.5 mol% catalyst; temperature, 140 °C; pressure, 8 MPa; time, 8 h. b 2.5 mol% CH3COOH.
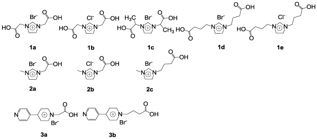
The acid-base bifunctional imidazolium(im) or methylimidazolium(mim) ILs with a carboxylic acid group were synthesized (Scheme 2) [71]. They were used to catalyze the reaction of propylene oxide and CO2 (Table 5). The 1-ethyl-3-methylimidazolium bromide ([emim][Br]) as a traditional ionic liquid is not efficient (Table 5, Entry 1). However, most acid-base bifunctional imidazolium ILs with a carboxylic acid group exhibited high activities. Among the catalysts, [{(CH2)3CO2H}2im][Br] was the best one with 99% conversion and 98% yield. The structure of the cation has a strong effect on catalytic activity. For imidazolium, the activity orders were: [{(CH2)3CO2H}2im]+ > [{CH(CH3)CO2H}2im]+ > [(CH2CO2H)2im]+ (Table 5, Entries 5,7,8), and [{(CH2)3CO2H}mim]+ > [(CH2CO2H)mim]+, respectively (Table 5, Entries 10,12). For bipyridinium, the activity of cations were in the order: [{(CH2)3CO2H}bpy]+ > [(CH2CO2H)bpy]+ (Table 5, Entries 13–14). Hydrogen bonding has a positive effect on the ring-opening of epoxide to promote the synthesis of cyclic carbonate, while it may also weaken the nucleophilicity of the anions by limiting their movements to some extent. The anions also have a strong effect on catalytic activity. The activity order of anion is Br > Cl, which is consistent with the order of their nucleophilicity (Table 5, Entries 5,6,8–11). Moreover, the activity of [emim][Br] could be greatly improved in the presence of equal amount of CH3CO2H (Table 5, Entry 2). The carboxylic acid could effectively activate epoxide through a synergistic effect. Moreover, the catalyst exhibited good stability.
Table 5. Synthesis of PC catalyzed by acid-base bifunctional catalysts catalyst a [71].
Table 5. Synthesis of PC catalyzed by acid-base bifunctional catalysts catalyst a [71].
EntryCatalystsConversion (%)Yield b (%)
1[emim][Br]6059
2 cCH3CO2H/[emim][Br]8078
32CH3CO2H/[emim] [Br] 9188
4 d2CH3CH2OH /[emim] [Br] 8483
5[(CH2CO2H)2im] [Br] (1a)7877
6[(CH2CO2H)2im][Cl] (1b)1211
7[{CH(CH3)CO2H}2im] [Br] (1c)8988
8[{(CH2)3CO2H}2im]Br (1d)9998
9[{(CH2)3CO2H}2im][Cl] (1e)3029
10[(CH2CO2H)mim] [Br] (2a)6665
11[(CH2CO2H)mim][Cl] (2b)109
12[{(CH2)3CO2H}mim] [Br] (2c)9291
13[(CH2CO2H)bpy] [Br] (3a)6059
14[{(CH2)3CO2H}bpy] [Br] (3b)8483
15 e[{(CH2)3CO2H}2im] [Br] (1d)9998
16 f[{(CH2)3CO2H}2im] [Br] (1d)9898
17 g[{(CH2)3CO2H}2im] [Br] (1d)9897
18 h[{(CH2)3CO2H}2im] [Br] (1d)9897
a Reaction conditions: PO (0.2 mol), catalyst (1 mol%), 398 K, 2.0 MPa, 1 h. b GC yield. c [emim][Br] (2 mmol), CH3CO2H (2 mmol). d[emim] [Br] (2 mmol), CH3CH2OH (4 mmol). e The second run of the catalyst. f The third run of the catalyst. g The forth run of the catalyst. h The fifth run of the catalyst.
Scheme 2. Acid-base bifunctional type catalysts [71].
Scheme 2. Acid-base bifunctional type catalysts [71].
Catalysts 03 00878 g004
Compared to the traditional ILs, functionalized ionic liquids (FILs) containing ether or alcohol on the alkyl chains, show additional advantages such as tunable polarity, lower viscosity, higher solubility of inorganic salts and have received much attention in the fields of organic synthesis and catalysis [72,73,74,75,76]. Sun et al. [77,78] explored the hydroxyl-functionalized ionic liquids (HFILs) as catalysts for the synthesis of cyclic carbonate as the OH group has a positive effect on the ring-opening of epoxy (Scheme 3). The HFILs showed higher reactivity (Table 6, Entries 1,7,8,10) in comparison with ionic salts which did not have a OH group, such as [EMIM][Br] (1-ethyl-3-methylimidazolium bromine), TBAB (tetrabutylammonium bromide), and PPh3EtBr (triphenyl(ethyl)phosphonium bromide) (Table 6, Entries 2,9,11). Among the HFILs catalysts, 1-(2-hydroxyl-ethyl)-3-methylimdazolium bromide (HEMIMB) (Table 6, Entry 1) was the most effective catalyst. Interestingly, [EMIM][Br] could also show high activity in the presence of OH group containing chemicals such as H2O or C2H5OH (Table 6, Entries 3,4), but exhibited low activity in the presence of non-OH group containing chemicals such as DMC (dimethyl carbonate) and DMF (N, N-dimethylformamide) (Table 6, Entries 5,6). A synergistic effect from the OH group and Lewis basic site of the ionic liquid apparently played an important role in accelerating the cycloaddition reactions CO2 with of epoxides. The HEMIMB catalyst, which was a functionalized ionic liquid, could be used to catalyze reactions to a variety of terminal epoxides (Table 7, epoxides 1a–f). Aromatic epoxide 1e and aliphatic epoxides 1a, 1b, 1d, except 1f which has the higher hindrance originated from the two rings, were the preferred substrates for the reaction.
Reaction medium such as water had a significant effect on the activities of ILs for the synthesis of cyclic carbonate (Table 8) [79]. Activities of ILs are considerably increased in the presence of water compared with the results without water. The reaction ratio could be about 5–6 times higher in the presence than that in the absence of water. The activity order of cations is PPh3Bu+ > Bu4N+, BMIM+ (Table 8, Entries 1,4,9) in the presence of water. The activity of the anions varied in the order I > Br > Cl > PF6, BF4 (Table 8, Entries 4–8). Low PO conversion and PC selectivity were obtained by using catalysts such as 1-butyl-3-methyl-imidazolium hexafluorophosphate ([BMIM][PF6]), and 1-buthyl-3-methyl-imidazolium tetrafluoroborate ([BMIM][BF4]) (Table 8, Entries 2,5,7,8,10) due to the low nucleophilic nature of PF6 and BF4 anions [80]. In aqueous system, 100% conversion of PO with 96.8% selectivity toward PC was obtained by using the best catalyst [PPh3Bu][I] after 1 h of reaction time at 125 °C and 2.0 MPa.
Wang et al. [81] investigated the hydrogen bond donors mechanism (HBD) through density functional theory (DFT) studies. The reaction mechanisms of [Bu4N][Br]/H2O-catalyzed process, non-catalytic process and Bu4NBr-catalyzed process for the fixation of CO2 with ethylene oxide respectively were showed in Figure 1. The hydrogen bond indeed played an important role in all the intermediates and transition states. The [Bu4N][Br]/H2O-catalyzed process via hydrogen bond interaction has a much lower energy barrier compared to a non-catalytic process or a Bu4NBr-catalyzed process for the rate-determining step (Figure 2). The results showed that H2O improved the cycloaddition process compared with only [Bu4N][Br] (Table 9, Entry 1 versus 2). For different chain length of alcohols or halogen substituted alcohols as HBD, the PO conversion was nearly at the same level (Table 9, Entries 2–10). For a stronger HBD such as phenol, acid, PC selectivity decreased sharply due to the side products though the PO conversion was remarkably enhanced (Table 9, Entries 11,12). DMF was not effective in this catalytic system. 1,2-benzenediol was found to have excellent catalytic activity (Table 9, Entry 16), which was due to the appropriate hydrogen bond strength. Therefore, the presence of HBD could remarkably reduce the activation energy and the proper choice of HBD was crucial for the reaction.
Scheme 3. Hydroxyl-functionalized ionic liquids (HFILs) [77,78].
Scheme 3. Hydroxyl-functionalized ionic liquids (HFILs) [77,78].
Catalysts 03 00878 g005
Table 6. Synthesis of PC catalyzed by Hydroxyl-functionalized ionic liquids (HFILs) catalyst a [77,78].
Table 6. Synthesis of PC catalyzed by Hydroxyl-functionalized ionic liquids (HFILs) catalyst a [77,78].
EntryCatalystsConversion (%)Yield b(%)
1HEMIMB99.2 99.0
2[EMIM][Br]8382.4
3[EMIM][Br]/H2O c9392.1
4[EMIM][Br]/C2H5OH c9291.3
5[EMIM][Br]/DMC c8483.8
6[EMIM][Br]/DMF c8584.7
7HETBAB95.8 95.0
8HETEAB87.8 87.1
9TBAB73.6 73.1
10HETPPB96.296.0
11[PPh3Et][Br] 50.150.0
12HEMIMC7877.5
a Reaction conditions: PO (0.2 mol), catalyst (3.2 mmol), temperature: 125 °C, CO2 pressure: 2.0 MPa, reaction time: 1 h. b GC yield. c Equal catalysis amount (3.2 mmol).
Table 7. Synthesis of different cyclic carbonates catalyzed by HEMIMB a [77,78].
Table 7. Synthesis of different cyclic carbonates catalyzed by HEMIMB a [77,78].
EntryEpoxideConversion (%)Yield b(%)
1 c Catalysts 03 00878 i001 1a10099
2 Catalysts 03 00878 i002 1b99.299
3 d Catalysts 03 00878 i003 1c10092
4 Catalysts 03 00878 i004 1d10099
5 Catalysts 03 00878 i005 1e10099
6 e Catalysts 03 00878 i006 1f10099
a Reaction conditions: Epoxide (0.2 mol), HEMIMB (3.2 mmol), temperature: 125 °C, CO2 pressure: 2.0 MPa, reaction time: 1 h. b GLC yield. c Temperature: 110 °C, reaction time: 0.7 h. d reaction time: 0.33 h. e reaction time: 5 h.
Table 8. Comparison of cycloaddition of PO to PC catalyzed by ILs with and without water a [79].
Table 8. Comparison of cycloaddition of PO to PC catalyzed by ILs with and without water a [79].
EntryCatalystWith waterWithout water
Conversion (%)Selectivity (%)TOF b(h−1)Conversion (%)Selectivity (%)TOF (h−1)
1[Bu4N][Br]94.593.21755699.5111.4
2[Bu4N][Cl]69.97097.863.999126.5
3[Bu4N][I]95.194.5185.226.799.553.1
4[BMIM][Br]93.995.4180.452.399.5104.1
5[BMIM][Cl]6470.674.845.698.890.1
6[BMIM][I]96.594.6184.452.9 99.5105.3
7[BMIM][BF4]3.3100.66trace99.5trace
8[BMIM][PF6]106.31.22.799.55.4
9[PPh3Bu][Br]95.994.1176.654.299.6107.9
10[PPh3Bu][Cl]71.674.889.865.399.9130.5
11[PPh3Bu][I]10096.8193.624.599.648.8
12[PPh3Et][Br]94.7 91.6173.450100100
13[PPh3He][Br]97 93.7181.660.899.9121.5
a Reaction conditions: PO (0.2 mol), H2O (0.067 mol), catalyst (1.0 mmol), CO2 pressure (2.0 MPa), 125 °C, 1 h. b Mole of PC per mole of catalyst per hour.
Figure 1. Potential energy surface profiles of [Bu4N][Br]/H2O-catalyzed process [81]. Acknowledgements to be used by RSC authors.
Figure 1. Potential energy surface profiles of [Bu4N][Br]/H2O-catalyzed process [81]. Acknowledgements to be used by RSC authors.
Catalysts 03 00878 g001
Figure 2. Comparison of relative energy for the rate-determining step for the fixation of CO2 with ethylene oxide [81]. Acknowledgements to be used by RSC authors.
Figure 2. Comparison of relative energy for the rate-determining step for the fixation of CO2 with ethylene oxide [81]. Acknowledgements to be used by RSC authors.
Catalysts 03 00878 g002
Table 9. Cycloaddition of PO to PC catalyzed by [Bu4N][Br] with different HBDs a [81].
Table 9. Cycloaddition of PO to PC catalyzed by [Bu4N][Br] with different HBDs a [81].
EntryHBDConversion b(%)Selectivity b(%)
1None2496
2H2O4992
3CH3OH4998
4CH3CH2OH58100
5CH3CH2CH2OH50100
6CH3(CH2)3OH5398
7CH3(CH2)5OH4798
8OHCH2CH2OH4698
9BrCH2CH2OH45100
10ClCH2CH2CH2OH4698
11PhOH9541
12CH3COOH811
13HCON(CH3)23897
14NH2CONH217100
15Methyl salicylate62100
16 c1,2-Benzenediol92100
17 c2-t-Butyl-1,4-di-hydroxybenzene84100
a Reaction condition: PO (1 mL, 14.3 mmol), Bu4NBr (46 mg, 0.143 mmol), HBD (14.3 mmol), 3 MPa, 100 °C, 30 min. b Conversion and selectivity were determined by GC. c HBD (0.715 mmol).

4. Supported Ionic Liquids

Immobilized IL-based catalysts offer a promising approach for the cycloaddition of CO2 to epoxides due to the advantages of easy product separation by filtration and the high dispersion of active species. As the design of functional ILs for the synthesis of immobilized IL is possible, such catalysts show much potential application in industry. The catalytic species consisted of ammonium, phosphonium, and imidazolium-based ILs. The support materials included silicas [50,51,52,82,83,84,85], oxides [51], resins [82,83,84,85,86], zeolites [87,88], and chitosan [89].
The first report of immobilized IL-based catalysts was reported by Wang et al., who employed tetrabutylammonium halides immobilized on SiO2 by a simple adsorption method [90]. The activity of the catalyst was comparatively low, as good PC yield could be obtained only after 10 h at 150 °C and 8 MPa CO2 pressure. Different halides anions and various ammonium cations were screened as catalysts. The halides except iodide increased the activity in agreement with their nucleophilicity. However, the alkyl chain length of the cations had little effect on the activity. Thereafter, Wang et al. extended tetrabutylammonium halides catalysts to imidazolium-based ILs supported on SiO2 [91]. No obvious difference in the activity of catalysts was observed among [BMIm][BF4]/SiO2, [BMIm][ PF6] /SiO2 and [BMIm] [Br]/SiO2. The optimized reaction conditions (10 h at 150 oC and 8MPa) were obtained after parametric studies including temperature, pressure, and reaction time. Various carbonates were synthesized using [BMIm][BF4]/SiO2.
Sakai et al. [51] reported a Al2O3 supported phosphonium bromide for the cycloaddition of CO2 and 1,2-epoxyhexane. The activity of Al2O3 supported phosphonium bromide catalyst was very low (52% yield) compared to that of SiO2 supported phosphonium bromide catalyst after 6 h at 90 oC and 1MPa CO2 pressure. The reason was that the OH groups on Al2O3 are much less than that on SiO2, as there is the synergistic effect of the OH group and phosphonium bromide on the surface of the supports on catalytic activity.
The molecular sieve such as SBA-15, which has special pore structures, high surface area and abundant surface hydroxyl groups [92,93], is a good support with high thermal stability. Meanwhile, ideal candidates of ILs should have groups such as tertiary nitrogen, which could activate CO2. Cheng et al. [94] explored the activities of a series of SBA-15 supported1,2,4-triazolium-based ILs (TRILs) (Scheme 4) in the cycloadditon reaction of CO2 with PO (Table 10). Performances of the SBA-15 supported TRILs with -OH groups or -COOH groups were compared with that of the catalysts without functional groups (Table 10, Entries 3,5,6). The activity of SBA-15-IL3Br without functional group was much lower than that of SBA-15-IL1Br and SBA-15-IL2Br, which has -OH group or -COOH group. The activity of anion of SBA-15 supported TRILs was in the order of I > Br > Cl. The possible reason may be that anions are further away from the 1,2,4-triazolium cation in the order of I > Br > Cl as a result of their radius [68]. For the same Br, the TOF value was in the order of SBA-15-IL2Br > SBA-15-IL1Br > SBA-15-IL3Br. In comparison SBA-15 with polystyrene (PS), the catalytic activity of SBA-15-IL1Br was significantly higher than that of PS-IL1Br (Table 10, Entry 7), although the loading amount of TRILs on SBA-15 was less than that of PS. The main reason was the abundant surface hydroxyl groups on SBA-15, which provided a synergistic catalysis role in the reaction. Moreover, solvents containing -OH group such as water, ethanol and acetic acid also play a synergistic catalytic role. The activity of SBA-15-IL3Br without -OH group could be remarkably enhanced using water, ethanol or acetic acid as co-catalyst (Table 10, Entries 8–10).
Table 10. Synthesis of PC catalyzed by SBA-15 supported1,2,4-triazolium-based ILs a [94].
Table 10. Synthesis of PC catalyzed by SBA-15 supported1,2,4-triazolium-based ILs a [94].
EntryCatalystConversion (%)Selectivity (%)TOF b(h−1)
1SBA-151399-
2SBA-15-IL1Cl749742.5
3SBA-15-IL1Br859953.9
4SBA-15-IL1I889959.4
5SBA-15-IL2Br7098104.1
6SBA-15-IL3Br719729.5
7PS-IL1Br659917.5
8 cSBA-15-IL3Br-H2O849234.7
9 cSBA-15-IL3Br-C2H5OH829833.9
10 cSBA-15-IL3Br-CH3COOH859735.1
11 dSBA-15-IL4Br719739.0
a Reaction conditions: PO (0.071 mol), catalyst (0.5g), 110 °C, CO2 pressure 2.0 MPa, 2 h. b TOF: mole of synthesized PC per mole of catalyst per hour. c The amount of H2O, ethanol and acetic acid is the same as immobilized IL. d The 1,2,4-triazolium was replaced by imidazolium.
Scheme 4. Structure of SBA-15 supported 1,2,4-triazolium-based ILs [94].
Scheme 4. Structure of SBA-15 supported 1,2,4-triazolium-based ILs [94].
Catalysts 03 00878 g006
The mechanism for the reaction catalyzed by SBA-15 supported TRILs was proposed (Scheme 5). The ethylene oxide was activated by hydrogen bond interaction, which facilitated the ring opening step (step I). The epoxide was polarized after hydrogen bond formation with the -OH group of ILs because the length of C-O bond was increased from 1.435 Å to 1.445 Å through density functional theory calculation. Then, the ring of the epoxide opened via nucleophilic attack at the less sterically hindered carbon atom (step II). Next, the activated CO2 by SBA-15 supported triazolium-based ionic liquids was inserted (step III). The bond angle of CO2 was changed to 179 oC from a linear molecule after interaction with triazolium, which polarized and activate the CO2 to a certain extent. Lastly, cyclization via an intramolecular nucleophilic attack (step IV) led to the cyclic carbonate and the regeneration of the catalyst. The -OH or -COOH group and N atom in the TRIL cation combining with the halide anions have a synergistic effect on accelerating the reactions.
Scheme 5. The proposed mechanism for fixation of CO2 into ethylene carbonate [94].
Scheme 5. The proposed mechanism for fixation of CO2 into ethylene carbonate [94].
Catalysts 03 00878 g007
The polymer-supported hydroxyl-functionalized ionic liquids (PSHFILs) were developed by Sun et al. [86] as catalysts for the synthesis of cyclic carbonate. Hydroxyl-imidazolium based ILs were covalently anchored on highly crosslinked polystyrene (PS) resin. The PSHFILs showed higher reactivity in comparison with PS-supported ILs, which did not have the -OH group. Among the PSHFILs catalysts, 1-(2-hydroxyl-ethyl)-imidazolium bromide (PS-HEIMBr) was the most effective. At the conditions of 120 °C with 2.5 MPa of CO2 within 4 h, 98% PO conversion with 99% PC selectivity was obtained. The PS-HEIMBr catalyst could be reused five times without obvious loss of its catalytic activity and was found to be applicable to a variety of terminal epoxides to produce the corresponding cyclic carbonates. The -OH group of PSHFILs could substitute for Lewis acid to accelerate the reactions and showed a synergistic effect with halide anions. Shortly thereafter, Chen et al. [95] improved the performance of PSHFILs. The supported diethanolamine based ILs such as diethanolamine ethyl bromide (PS-DHEEAB) and trithanolamine ethyl bromide (PS-THEEAB) were synthesized for the synthesis of cyclic carbonates (Scheme 6). The catalytic activities of PS supported diethanolamine based ILs with -OH groups were much higher than that without -OH group (Table 11, Entries 2,5–7). PS-DHEEAB and PS-THEAB showed higher activities than PS-HEIMB due to the presence of more -OH groups (Table 11, Entries 2,5,6). PS-THEAB exhibited a little lower activity than PS-DHEEAB. The reason was that the two -OH groups in the cation of PS-DHEEAB could form two hydrogen bonding effect with the O atom of the epoxide which promoted the ring opening of epoxide, but the excess -OH group in the cation of PS-THEAB might prefer to form intramolecular hydrogen bond with halide anion, by which the nucleophilic behavior of the anion was weakened [96,97,98]. These results showed the synergistic catalysis role of -OH groups. Moreover, the catalyst can be reused five times and the conversion of PC did not decrease.
Scheme 6. Structures of the PS supported diethanolamine based ILs catalysts [95].
Scheme 6. Structures of the PS supported diethanolamine based ILs catalysts [95].
Catalysts 03 00878 g008
Table 11. Synthesis of PC catalyzed by PS supported diethanolamine based ILs catalyst a [95].
Table 11. Synthesis of PC catalyzed by PS supported diethanolamine based ILs catalyst a [95].
EntryCatalystConversion b(%) Selectivity b(%)
1DHEDEAB8699
2PS-DHEEAB6999
3 cPS-DHEEAB 9299
4 dPS-DHEEAB 9999
5PS-THEAB6599
6PS-HEIMB5299
7PS-EIMB3599
8 ePS-DHEEAB 9199
9 fPS-DHEEAB9199
10 gPS-DHEEAB9299
11 hPS-DHEEAB9199
a Reaction conditions: PO (0.1 mol), catalyst (2.0 mmol), temperature: 110oC, CO2 pressure: 2.0 MPa, reaction time: 2 h. b Determined by Gas Chromatography. c Reaction time: 3h. d Reaction time: 4h. e The second run of the catalyst. f The third run of the catalyst. g The forth run of the catalyst. h The fifth run of the catalyst.
Chitosan (CS), one of the most abundant natural biopolymers with many -OH groups, was used to synthesize chemically supported ILS catalysts [84,99,100,101,102,103,104]. A series of CS chemically supported 1-ethyl-3-methyl imidazolium halide catalysts (CS-[EMIm][X], X = Cl, Br) were investigated for the synthesis of cyclic carbonates [105]. The CS-[EMIm][Br] catalyst showed high activity, which was comparable to that of the homogeneous EMImBr catalyst. The reason was the synergistic catalysis effect of hydroxyl groups and tertiary amine groups in CS on the reaction. The CS-[EMIm][Br] catalyst could be reused five times with high activity and selectivity. In summary, CS not only played the role of the hydrogen bond-assisted ring-opening of epoxide but also the nucleophilic tertiary nitrogen-induced activation of CO2.

5. Conclusions and Outlook

In this review, the research on catalytic systems based on ionic liquids, including metal-based ionic liquids, hydrogen bond-promoted ionic liquids and supported ionic liquids, has been summarized and discussed. For the catalytic system of metal-based ionic liquids, cations of metals and ionic liquids show a synergistic effect on promoting the cycloaddition reactions of epoxides. For the catalytic system of hydrogen bond-promoted ionic liquids, the combination of functional groups (such as -OH, -COOH) of cations or solvents and anions can accelerate cycloaddition reactions. For the catalytic system of supported ionic liquids, functional groups in cations combining with the anions have a synergistic effect on the ring-opening of epoxide. In summary, cations of metals or functional groups of ILs combining with the anions of ILs play an important role of promoting the cycloaddition reactions of epoxides. Yet, much more research is necessary to fully understand the synergistic effect on a molecular level by using density functional theory (DFT) studies and in situ characterization. Significant developments in IL catalysts design and optimal process development for the synthesis of cyclic carbonates will occur in the future with the prediction of the synergetic effect based on ILs.

Acknowledgments

The authors are grateful for the support by the National Science Fund of China (21003129 and 20936005).

Conflicts of Interest

The authors declare no conflict of interest.

References

  1. Renemable Energy Industry. Available online: http://www.renewable-energy-industry.com/press-releases/press-releases_detail.php?changeLang=cn_CN&newsid=4338 (accessed on 14 October 2013).
  2. Brennecke, J.F.; Maginn, E.J. Ionic liquids: Innovative fluids for chemical processing. AlChE J. 2001, 47, 2384–2389. [Google Scholar] [CrossRef]
  3. Sakakura, T.; Choi, J.-C.; Yasuda, H. Transformation of carbon dioxide. Chem. Rev. 2007, 107, 2365–2387. [Google Scholar] [CrossRef]
  4. Anastas, P.T. Meeting the challenges to sustainability through green chemistry. Green Chem. 2003, 5, G29–G34. [Google Scholar] [CrossRef]
  5. Williamson, T.; Kirchhoff, M.; Anastas, P. Advances in green chemistry recognized in the United States. Green Chem. 2000, 2, G85–G96. [Google Scholar] [CrossRef]
  6. Anastas, P.T.; Lankey, R.L. Life cycle assessment and green chemistry: The yin and yang of industrial ecology. Green Chem. 2000, 2, 289–295. [Google Scholar] [CrossRef]
  7. Clark, J.H. Green chemistry: Challenges and opportunities. Green Chem. 1999, 1, 1–8. [Google Scholar] [CrossRef]
  8. Shaikh, A.-A.G.; Sivaram, S. Organic carbonates. Chem. Rev. 1996, 96, 951–976. [Google Scholar] [CrossRef]
  9. Yoshida, M.; Ihara, M. Novel methodologies for the synthesis of cyclic carbonates. Chem. Eur. J. 2004, 10, 2886–2893. [Google Scholar] [CrossRef]
  10. Clements, J.H. Reactive applications of cyclic alkylene carbonates. Ind. Eng. Chem. Res. 2003, 42, 663–674. [Google Scholar] [CrossRef]
  11. Parrish, J.P.; Salvatore, R.N.; Jung, K.W. Perspectives on alkyl carbonates in organic synthesis. Tetrahedron 2000, 56, 8207–8237. [Google Scholar] [CrossRef]
  12. Leitner, W. The coordination chemistry of carbon dioxide and its relevance for catalysis: A critical survey. Coord. Chem. Rev. 1996, 153, 257–284. [Google Scholar] [CrossRef]
  13. North, M.; Pasquale, R.; Young, C. Synthesis of cyclic carbonates from epoxides and CO2. Green Chem. 2010, 12, 1514–1539. [Google Scholar] [CrossRef]
  14. Sakakura, T.; Kohno, K. The synthesis of organic carbonates from carbon dioxide. Chem. Commun. 2009, 1312–1330. [Google Scholar] [CrossRef]
  15. Yamaguchi, K.; Ebitani, K.; Yoshida, T.; Yoshida, H.; Kaneda, K. Mg-Al mixed oxides as highly active acid-base catalysts for cycloaddition of carbon dioxide to epoxides. J. Am. Chem. Soc. 1999, 121, 4526–4527. [Google Scholar] [CrossRef]
  16. Yasuda, H.; He, L.-N.; Takahashi, T.; Sakakura, T. Non-halogen catalysts for propylene carbonate synthesis from CO2 under supercritical conditions. Appl. Catal. A 2006, 298, 177–180. [Google Scholar] [CrossRef]
  17. Tu, M.; Davis, R.J. Cycloaddition of CO2 to epoxides over solid base catalysts. J. Catal. 2001, 199, 85–91. [Google Scholar] [CrossRef]
  18. Doskocil, E.J. Ion-exchanged ETS-10 catalysts for the cycloaddition of carbon dioxide to propylene oxide. Microporous Mesoporous Mater. 2004, 76, 177–183. [Google Scholar] [CrossRef]
  19. Xie, Y.; Zhang, Z.; Jiang, T.; He, J.; Han, B.; Wu, T.; Ding, K. CO2 cycloaddition reactions catalyzed by an ionic liquid grafted onto a highly cross - linked polymer matrix. Angew. Chem. 2007, 119, 7393–7396. [Google Scholar] [CrossRef]
  20. He, J.; Wu, T.; Zhang, Z.; Ding, K.; Han, B.; Xie, Y.; Jiang, T.; Liu, Z. Cycloaddition of CO2 to epoxides catalyzed by polyaniline salts. Chem. Eur. J. 2007, 13, 6992–6997. [Google Scholar] [CrossRef]
  21. Du, Y.; Cai, F.; Kong, D.-L.; He, L.-N. Organic solvent-free process for the synthesis of propylene carbonate from supercritical carbon dioxide and propylene oxide catalyzed by insoluble ion exchange resins. Green Chem. 2005, 7, 518–523. [Google Scholar] [CrossRef]
  22. Kawanami, H.; Ikushima, Y. Chemical fixation of carbon dioxide to styrene carbonateunder supercritical conditions with DMF in the absence of any additional catalysts. Chem. Commun. 2000, 2089–2090. [Google Scholar] [CrossRef]
  23. Barbarini, A.; Maggi, R.; Mazzacani, A.; Mori, G.; Sartori, G.; Sartorio, R. Cycloaddition of CO2 to epoxides over both homogeneous and silica-supported guanidine catalysts. Tetrahedron Lett. 2003, 44, 2931–2934. [Google Scholar] [CrossRef]
  24. Shen, Y.M.; Duan, W.L.; Shi, M. Phenol and organic bases Co-catalyzed chemical fixation of carbon dioxide with terminal epoxides to form cyclic carbonates. Adv. Synth. Catal. 2003, 345, 337–340. [Google Scholar] [CrossRef]
  25. Ratzenhofer, M.; Kisch, H. Metal—Catalyzed Synthesis of Cyclic Carbonates from Carbon Dioxide and Oxiranes. Angew. Chem. Int. Ed. Engl. 1980, 19, 317–318. [Google Scholar] [CrossRef]
  26. Nishikubo, T.; Kameyama, A.; Yamashita, J.; Tomoi, M.; Fukuda, W. Insoluble polystyrene-bound quaternary onium salt catalysts for the synthesis of cyclic carbonates by the reaction of oxiranes with carbon dioxide. J. Polym. Sci. A 1993, 31, 939–947. [Google Scholar] [CrossRef]
  27. Kisch, H.; Millini, R.; Wang, I.J. Bifunktionelle Katalysatoren zur Synthese cyclischer Carbonate aus Oxiranen und Kohlendioxid. Chem. Ber. 1986, 119, 1090–1094. [Google Scholar] [CrossRef]
  28. Aida, T.; Inoue, S. Activation of carbon dioxide with aluminum porphyrin and reaction with epoxide. Studies on (tetraphenylporphinato) aluminum alkoxide having a long oxyalkylene chain as the alkoxide group. J. Am. Chem. Soc. 1983, 105, 1304–1309. [Google Scholar] [CrossRef]
  29. Ji, D.; Lu, X.; He, R. Syntheses of cyclic carbonates from carbon dioxide and epoxides with metal phthalocyanines as catalyst. Appl. Catal. A 2000, 203, 329–333. [Google Scholar] [CrossRef]
  30. Paddock, R.L.; Nguyen, S.T. Chemical CO2 fixation: Cr (III) salen complexes as highly efficient catalysts for the coupling of CO2 and epoxides. J. Am. Chem. Soc. 2001, 123, 11498–11499. [Google Scholar] [CrossRef]
  31. Welton, T. Room-temperature ionic liquids. Solvents for synthesis and catalysis. Chem. Rev. 1999, 99, 2071–2084. [Google Scholar] [CrossRef]
  32. Rogers, R.D. Materials science: Reflections on ionic liquids. Nature 2007, 447, 917–918. [Google Scholar] [CrossRef]
  33. Peng, J.; Deng, Y. Cycloaddition of carbon dioxide to propylene oxide catalyzed by ionic liquids. New J. Chem. 2001, 25, 639–641. [Google Scholar] [CrossRef]
  34. Keskin, S.; Kayrak-Talay, D.; Akman, U.; Hortaçsu, Ö. A review of ionic liquids towards supercritical fluid applications. J. Supercrit. Fluid. 2007, 43, 150–180. [Google Scholar] [CrossRef]
  35. Muldoon, M.J. Modern multiphase catalysis: New developments in the separation of homogeneous catalysts. Dalton Trans. 2010, 39, 337–348. [Google Scholar] [CrossRef]
  36. Olivier-Bourbigou, H.; Magna, L.; Morvan, D. Ionic liquids and catalysis: recent progress from knowledge to applications. Appl. Catal. A 2010, 373, 1–56. [Google Scholar] [CrossRef]
  37. Riisager, A.; Fehrmann, R.; Haumann, M.; Wasserscheid, P. Supported Ionic Liquid Phase (SILP) Catalysis: An Innovative Concept for Homogeneous Catalysis in Continuous Fixed - Bed Reactors. Eur. J. Inorg. Chem. 2006, 2006, 695–706. [Google Scholar]
  38. Riisagera, A.; Fehrmanna, R.; Haumannb, M.; Wasserscheidb, P. Supported ionic liquids: versatile reaction and separation media. Top. Catal. 2006, 40, 91–102. [Google Scholar]
  39. Wasserscheid, P. Continuous reactions using ionic liquids as catalytic phase. J. Ind. Eng. Chem. 2007, 13, 325. [Google Scholar]
  40. Wasserscheid, P.; Keim, W. Ionic liquids-new “solutions” for transition metal catalysis. Angew. Chem. 2000, 39, 3772–3789. [Google Scholar] [CrossRef]
  41. Wasserscheid, P.; Welton, T. Ionic Liquids in Synthesis; Wiley Online Library: Weinheim, Germany, 2008; Volume 1. [Google Scholar]
  42. Ion, A.; Parvulescu, V.; Jacobs, P.; De Vos, D. Sc and Zn-catalyzed synthesis of cyclic carbonates from CO2 and epoxides. Appl. Catal. A 2009, 363, 40–44. [Google Scholar] [CrossRef]
  43. Kim, H.S.; Kim, J.J.; Lee, B.G.; Jung, O.S.; Jang, H.G.; Kang, S.O. Isolation of a pyridinium alkoxy ion bridged dimeric zinc complex for the coupling reactions of CO2 and epoxides. Angew. Chem. 2000, 39, 4096–4098. [Google Scholar] [CrossRef]
  44. Kim, H.S.; Kim, J.J.; Lee, S.D.; Lah, M.S.; Moon, D.; Jang, H.G. New mechanistic insight into the coupling reactions of CO2 and epoxides in the presence of zinc complexes. Chem. Eur. J. 2003, 9, 678–686. [Google Scholar] [CrossRef]
  45. Ramin, M.; Grunwaldt, J.-D.; Baiker, A. Behavior of homogeneous and immobilized zinc-based catalysts in cycloaddition of CO2 to propylene oxide. J. Catal. 2005, 234, 256–267. [Google Scholar] [CrossRef]
  46. Ramin, M.; van Vegten, N.; Grunwaldt, J.-D.; Baiker, A. Simple preparation routes towards novel Zn-based catalysts for the solventless synthesis of propylene carbonate using dense carbon dioxide. J. Mol. Catal. A 2006, 258, 165–171. [Google Scholar] [CrossRef]
  47. Shen, Y.-M.; Duan, W.-L.; Shi, M. Chemical fixation of carbon dioxide catalyzed by binaphthyldiamino Zn, Cu, and Co salen-type complexes. J. Org. Chem. 2003, 68, 1559–1562. [Google Scholar] [CrossRef]
  48. Kim, H.S.; Kim, J.J.; Kim, H.; Jang, H.G. Imidazolium zinc tetrahalide-catalyzed coupling reaction of CO2 and ethylene oxide or propylene oxide. J. Catal. 2003, 220, 44–46. [Google Scholar] [CrossRef]
  49. Qiao, K.; Ono, F.; Bao, Q.; Tomida, D.; Yokoyama, C. Efficient synthesis of styrene carbonate from CO2 and styrene oxide using zinc catalysts immobilized on soluble imidazolium–styrene copolymers. J. Mol. Catal. A 2009, 303, 30–34. [Google Scholar] [CrossRef]
  50. Han, L.; Park, S.-W.; Park, D.-W. Silica grafted imidazolium-based ionic liquids: efficient heterogeneous catalysts for chemical fixation of CO2 to a cyclic carbonate. Energy Environ. Sci. 2009, 2, 1286–1292. [Google Scholar] [CrossRef]
  51. Sakai, T.; Tsutsumi, Y.; Ema, T. Highly active and robust organic–inorganic hybrid catalyst for the synthesis of cyclic carbonates from carbon dioxide and epoxides. Green Chem. 2008, 10, 337–341. [Google Scholar] [CrossRef]
  52. Shim, H.-L.; Udayakumar, S.; Yu, J.-I.; Kim, I.; Park, D.-W. Synthesis of cyclic carbonate from allyl glycidyl ether and carbon dioxide using ionic liquid-functionalized amorphous silica. Catal. Today 2009, 148, 350–354. [Google Scholar] [CrossRef]
  53. Kossev, K.; Koseva, N.; Troev, K. Calcium chloride as co-catalyst of onium halides in the cycloaddition of carbon dioxide to oxiranes. J. Mol. Catal. A 2003, 194, 29–37. [Google Scholar] [CrossRef]
  54. Sibaouih, A.; Ryan, P.; Leskelä, M.; Rieger, B.; Repo, T. Facile synthesis of cyclic carbonates from CO2 and epoxides with cobalt (II)/onium salt based catalysts. Appl. Catal. A 2009, 365, 194–198. [Google Scholar] [CrossRef]
  55. Palgunadi, J.; Kwon, O.; Lee, H.; Bae, J.Y.; Ahn, B.S.; Min, N.-Y.; Kim, H.S. Ionic liquid-derived zinc tetrahalide complexes: structure and application to the coupling reactions of alkylene oxides and CO2. Catal. Today 2004, 98, 511–514. [Google Scholar] [CrossRef]
  56. Fujita, S.; Nishiura, M.; Arai, M. Synthesis of styrene carbonate from carbon dioxide and styrene oxide with various zinc halide-based ionic liquids. Catal. Lett. 2010, 135, 263–268. [Google Scholar] [CrossRef]
  57. Sun, J.; Fujita, S.; Zhao, F.; Arai, M. Synthesis of styrene carbonate from styrene oxide and carbon dioxide in the presence of zinc bromide and ionic liquid under mild conditions. Green Chem. 2004, 6, 613–616. [Google Scholar] [CrossRef]
  58. Ramin, M.; Grunwaldt, J.-D.; Baiker, A. IR spectroscopy and phase behavior studies of the catalytic synthesis of propylene carbonate: Expanded liquid versus supercritical fluid. Appl. Catal. A 2006, 305, 46–53. [Google Scholar] [CrossRef]
  59. Sun, J.; Fujita, S.-I.; Zhao, F.; Arai, M. A highly efficient catalyst system of ZnBr2/n-Bu4NI for the synthesis of styrene carbonate from styrene oxide and supercritical carbon dioxide. Appl. Catal. A 2005, 287, 221–226. [Google Scholar] [CrossRef]
  60. Li, F.; Xiao, L.; Xia, C.; Hu, B. Chemical fixation of CO2 with highly efficient ZnCl2/[BMIm] Br catalyst system. Tetrahedron Lett. 2004, 45, 8307–8310. [Google Scholar]
  61. Karodia, N.; Guise, S.; Newlands, C.; Andersen, J.-A. Clean catalysis with ionic solvents—phosphonium tosylates for hydroformylation. Chem. Commun. 1998, 2341–2342. [Google Scholar]
  62. Kaufmann, D.E.; Nouroozian, M.; Henze, H. Molten salts as an efficient medium for palladium catalyzed CC coupling reactions. Synlett 1996, 1996, 1091–1092. [Google Scholar] [CrossRef]
  63. McNulty, J.; Capretta, A.; Wilson, J.; Dyck, J.; Adjabeng, G.; Robertson, A. Suzuki cross-coupling reactions of aryl halides in phosphonium salt ionic liquid under mild conditions. Chem. Commun. 2002, 1986–1987. [Google Scholar]
  64. Quin, L.D.; Duke, J.B. A Guide to Organophosphorus Chemistry; Wiley: New York, NY, USA, 2000; Volume 2. [Google Scholar]
  65. Del Sesto, R.E.; Corley, C.; Robertson, A.; Wilkes, J.S. Tetraalkylphosphonium-based ionic liquids. J. Organomet. Chem. 2005, 690, 2536–2542. [Google Scholar] [CrossRef]
  66. Henderson, W.A., Jr.; Buckler, S.A. The nucleophilicity of phosphines. J. Am. Chem. Soc. 1960, 82, 5794–5800. [Google Scholar] [CrossRef]
  67. Avent, A.G.; Chaloner, P.A.; Day, M.P.; Seddon, K.R.; Welton, T. Evidence for hydrogen bonding in solutions of 1-ethyl-3-methylimidazolium halides, and its implications for room-temperature halogenoaluminate (III) ionic liquids. Dalton Trans. 1994, 3405–3413. [Google Scholar]
  68. Sun, J.; Wang, L.; Zhang, S.; Li, Z.; Zhang, X.; Dai, W.; Mori, R. ZnCl2/phosphonium halide: An efficient Lewis acid/base catalyst for the synthesis of cyclic carbonate. J. Mol. Catal. A 2006, 256, 295–300. [Google Scholar] [CrossRef]
  69. Cheng, W.; Fu, Z.; Wang, J.; Sun, J.; Zhang, S. ZnBr2-based choline chloride ionic liquid for efficient fixation of CO2 to cyclic carbonate. Synth. Commun. 2012, 42, 2564–2573. [Google Scholar] [CrossRef]
  70. Zhou, Y.; Hu, S.; Ma, X.; Liang, S.; Jiang, T.; Han, B. Synthesis of cyclic carbonates from carbon dioxide and epoxides over betaine-based catalysts. J. Mol. Catal. A 2008, 284, 52–57. [Google Scholar] [CrossRef]
  71. Sun, J.; Han, L.; Cheng, W.; Wang, J.; Zhang, X.; Zhang, S. Efficient acid–base bifunctional catalysts for the fixation of CO2 with epoxides under metal—and solvent—free conditions. ChemSusChem 2011, 4, 502–507. [Google Scholar] [CrossRef]
  72. Dzyuba, S.V.; Bartsch, R.A. Expanding the polarity range of ionic liquids. Tetrahedron Lett. 2002, 43, 4657–4659. [Google Scholar] [CrossRef]
  73. Branco, L.C.; Rosa, J.N.; Moura Ramos, J.J.; Afonso, C.A. Preparation and characterization of new room temperature ionic liquids. Chem. Eur. J. 2002, 8, 3671–3677. [Google Scholar] [CrossRef]
  74. Fraga-Dubreuil, J.; Famelart, M.-H.; Bazureau, J.P. Ecofriendly fast synthesis of hydrophilic poly (ethyleneglycol)-ionic liquid matrices for liquid-phase organic synthesis. Org. Process Res. Dev. 2002, 6, 374–378. [Google Scholar] [CrossRef]
  75. Mi, X.; Luo, S.; Xu, H.; Zhang, L.; Cheng, J.-P. Hydroxyl ionic liquid (HIL)-immobilized quinuclidine for Baylis–Hillman catalysis: Synergistic effect of ionic liquids as organocatalyst supports. Tetrahedron 2006, 62, 2537–2544. [Google Scholar] [CrossRef]
  76. Pernak, J.; Sobaszkiewicz, K.; Foksowicz-Flaczyk, J. Ionic Liquids with Symmetrical Dialkoxymethyl - Substituted Imidazolium Cations. Chem. Eur. J. 2004, 10, 3479–3485. [Google Scholar] [CrossRef]
  77. Sun, J.; Zhang, S.; Cheng, W.; Ren, J. Hydroxyl-functionalized ionic liquid: A novel efficient catalyst for chemical fixation of CO2 to cyclic carbonate. Tetrahedron Lett. 2008, 49, 3588–3591. [Google Scholar] [CrossRef]
  78. Sun, J. Study on the synthesis of cyclic carbonates catalyzed by ionic liquids. Ph.D. Thesis, University of Chinese Academy of Sciences, Beijing, China, May 2009. [Google Scholar]
  79. Sun, J.; Ren, J.; Zhang, S.; Cheng, W. Water as an efficient medium for the synthesis of cyclic carbonate. Tetrahedron Lett. 2009, 50, 423–426. [Google Scholar] [CrossRef]
  80. Huang, J.-W.; Shi, M. Chemical fixation of carbon dioxide by NaI/PPh3/PhOH. J. Org. Chem. 2003, 68, 6705–6709. [Google Scholar] [CrossRef]
  81. Wang, J.-Q.; Sun, J.; Cheng, W.-G.; Dong, K.; Zhang, X.-P.; Zhang, S.-J. Experimental and theoretical studies on hydrogen bond-promoted fixation of carbon dioxide and epoxides in cyclic carbonates. Phys. Chem. Chem. Phys. 2012, 14, 11021–11026. [Google Scholar] [CrossRef]
  82. Takahashi, T.; Watahiki, T.; Kitazume, S.; Yasuda, H.; Sakakura, T. Synergistic hybrid catalyst for cyclic carbonate synthesis: Remarkable acceleration caused by immobilization of homogeneous catalyst on silica. Chem. Commun. 2006, 1664–1666. [Google Scholar]
  83. Udayakumar, S.; Raman, V.; Shim, H.-L.; Park, D.-W. Cycloaddition of carbon dioxide for commercially-imperative cyclic carbonates using ionic liquid-functionalized porous amorphous silica. Appl. Catal. A 2009, 368, 97–104. [Google Scholar] [CrossRef]
  84. Xiao, L.-F.; Li, F.-W.; Peng, J.-J.; Xia, C.-G. Immobilized ionic liquid/zinc chloride: Heterogeneous catalyst for synthesis of cyclic carbonates from carbon dioxide and epoxides. J. Mol. Catal. A 2006, 253, 265–269. [Google Scholar] [CrossRef]
  85. Zhang, X.; Wang, D.; Zhao, N.; Al-Arifi, A.S.; Aouak, T.; Al-Othman, Z.A.; Wei, W.; Sun, Y. Grafted ionic liquid: Catalyst for solventless cycloaddition of carbon dioxide and propylene oxide. Catal. Commun. 2009, 11, 43–46. [Google Scholar]
  86. Sun, J.; Cheng, W.; Fan, W.; Wang, Y.; Meng, Z.; Zhang, S. Reusable and efficient polymer-supported task-specific ionic liquid catalyst for cycloaddition of epoxide with CO2. Catal. Today 2009, 148, 361–367. [Google Scholar] [CrossRef]
  87. Udayakumar, S.; Lee, M.-K.; Shim, H.-L.; Park, D.-W. Functionalization of organic ions on hybrid MCM-41 for cycloaddition reaction: The effective conversion of carbon dioxide. Appl. Catal. A 2009, 365, 88–95. [Google Scholar] [CrossRef]
  88. Udayakumar, S.; Park, S.-W.; Park, D.-W.; Choi, B.-S. Immobilization of ionic liquid on hybrid MCM-41 system for the chemical fixation of carbon dioxide on cyclic carbonate. Catal. Commun. 2008, 9, 1563–1570. [Google Scholar] [CrossRef]
  89. Zhao, Y.; Tian, J.-S.; Qi, X.-H.; Han, Z.-N.; Zhuang, Y.-Y.; He, L.-N. Quaternary ammonium salt-functionalized chitosan: An easily recyclable catalyst for efficient synthesis of cyclic carbonates from epoxides and carbon dioxide. J. Mol. Catal. A 2007, 271, 284–289. [Google Scholar] [CrossRef]
  90. Wang, J.-Q.; Kong, D.-L.; Chen, J.-Y.; Cai, F.; He, L.-N. Synthesis of cyclic carbonates from epoxides and carbon dioxide over silica-supported quaternary ammonium salts under supercritical conditions. J. Mol. Catal. A 2006, 249, 143–148. [Google Scholar] [CrossRef]
  91. Wang, J.-Q.; Yue, X.-D.; Cai, F.; He, L.-N. Solventless synthesis of cyclic carbonates from carbon dioxide and epoxides catalyzed by silica-supported ionic liquids under supercritical conditions. Catal. Commun. 2007, 8, 167–172. [Google Scholar]
  92. Zhao, D.; Feng, J.; Huo, Q.; Melosh, N.; Fredrickson, G.H.; Chmelka, B.F.; Stucky, G.D. Triblock copolymer syntheses of mesoporous silica with periodic 50 to 300 angstrom pores. Science 1998, 279, 548–552. [Google Scholar] [CrossRef]
  93. Zhao, D.; Huo, Q.; Feng, J.; Chmelka, B.F.; Stucky, G.D. Nonionic triblock and star diblock copolymer and oligomeric surfactant syntheses of highly ordered, hydrothermally stable, mesoporous silica structures. J. Am. Chem. Soc. 1998, 120, 6024–6036. [Google Scholar] [CrossRef]
  94. Cheng, W.; Chen, X.; Sun, J.; Wang, J.; Zhang, S. SBA-15 supported triazolium-based ionic liquids as highly efficient and recyclable catalysts for fixation of CO2 with epoxides. Catal. Today 2013, 200, 117–124. [Google Scholar] [CrossRef]
  95. Chen, X.; Sun, J.; Wang, J.; Cheng, W. Polystyrene-bound diethanolamine based ionic liquids for chemical fixation of CO2. Tetrahedron Lett. 2012, 53, 2684–2688. [Google Scholar] [CrossRef]
  96. Xie, H.; Zhang, S.; Li, S. Chitin and chitosan dissolved in ionic liquids as reversible sorbents of CO2. Green Chem. 2006, 8, 630–633. [Google Scholar] [CrossRef]
  97. Yamaguchi, M. Hemibonding of hydroxyl radical and halide anion in aqueous solution. J. Phys. Chem. A 2011, 115, 14620–14628. [Google Scholar] [CrossRef]
  98. Liang, S.; Liu, H.; Jiang, T.; Song, J.; Yang, G.; Han, B. Highly efficient synthesis of cyclic carbonates from CO2 and epoxides over cellulose/KI. Chem. Commun. 2011, 47, 2131–2133. [Google Scholar] [CrossRef]
  99. Chtchigrovsky, M.; Primo, A.; Gonzalez, P.; Molvinger, K.; Robitzer, M.; Quignard, F.; Taran, F. Functionalized chitosan as a green, recyclable, biopolymer-supported catalyst for the [3+2] huisgen cycloaddition. Angew. Chem. 2009, 121, 6030–6034. [Google Scholar]
  100. Alesi, S.; Di Maria, F.; Melucci, M.; Macquarrie, D.J.; Luque, R.; Barbarella, G. Microwave-assisted synthesis of oligothiophene semiconductors in aqueous media using silica and chitosan supported Pd catalysts. Green Chem. 2008, 10, 517–523. [Google Scholar] [CrossRef]
  101. Baudoux, J.; Perrigaud, K.; Madec, P.-J.; Gaumont, A.-C.; Dez, I. Development of new SILP catalysts using chitosan as support. Green Chem. 2007, 9, 1346–1351. [Google Scholar] [CrossRef]
  102. Primo, A.; Quignard, F. Chitosan as efficient porous support for dispersion of highly active gold nanoparticles: design of hybrid catalyst for carbon–carbon bond formation. Chem. Commun. 2010, 46, 5593–5595. [Google Scholar] [CrossRef]
  103. Ricci, A.; Bernardi, L.; Gioia, C.; Vierucci, S.; Robitzer, M.; Quignard, F. Chitosan aerogel: a recyclable, heterogeneous organocatalyst for the asymmetric direct aldol reaction in water. Chem. Commun. 2010, 46, 6288–6290. [Google Scholar]
  104. Guibal, E. Heterogeneous catalysis on chitosan-based materials: A review. Prog. Polym. Sci. 2005, 30, 71–109. [Google Scholar] [CrossRef]
  105. Sun, J.; Wang, J.; Cheng, W.; Zhang, J.; Li, X.; Zhang, S.; She, Y. Chitosan functionalized ionic liquid as a recyclable biopolymer-supported catalyst for cycloaddition of CO2. Green Chem. 2012, 14, 654–660. [Google Scholar] [CrossRef]

Share and Cite

MDPI and ACS Style

Cheng, W.; Su, Q.; Wang, J.; Sun, J.; Ng, F.T.T. Ionic Liquids: The Synergistic Catalytic Effect in the Synthesis of Cyclic Carbonates. Catalysts 2013, 3, 878-901. https://doi.org/10.3390/catal3040878

AMA Style

Cheng W, Su Q, Wang J, Sun J, Ng FTT. Ionic Liquids: The Synergistic Catalytic Effect in the Synthesis of Cyclic Carbonates. Catalysts. 2013; 3(4):878-901. https://doi.org/10.3390/catal3040878

Chicago/Turabian Style

Cheng, Weiguo, Qian Su, Jinquan Wang, Jian Sun, and Flora T.T. Ng. 2013. "Ionic Liquids: The Synergistic Catalytic Effect in the Synthesis of Cyclic Carbonates" Catalysts 3, no. 4: 878-901. https://doi.org/10.3390/catal3040878

APA Style

Cheng, W., Su, Q., Wang, J., Sun, J., & Ng, F. T. T. (2013). Ionic Liquids: The Synergistic Catalytic Effect in the Synthesis of Cyclic Carbonates. Catalysts, 3(4), 878-901. https://doi.org/10.3390/catal3040878

Article Metrics

Back to TopTop