Hydrophobic Surface Modification of Microporous and Mesoporous Titanosilicates and Its Impact on Catalytic Performance in Epoxidation Reactions: A Review
Abstract
1. Introduction
2. Overview of the Topic
2.1. Types of Titanosilicates: Active Site, Acidity, and Textural Properties
2.1.1. Active Sites of Titanosilicates
2.1.2. Acidity of Titanosilicates
2.1.3. Titanosilicates Based on Zeolite Frameworks (Ti-Zeolite)
2.1.4. Titanosilicates Without Zeolite Frameworks (Ti-SiO2)
2.2. Description of the Hydrophobization Methodologies and Techniques for Measuring the Hydrophobicity of Titanosilicates
2.2.1. Hydrophobicity Basics
2.2.2. Methodologies for Hydrophobization of Titanosilicates
Control of Silanol Surface Density
Organic Surface Functionalization
2.2.3. Determination of Hydrophobicity of Titanosilicates
Contact Angle Measurement
Thermogravimetric Analysis (TGA)
Infrared Spectroscopy (IR)
Adsorption Isotherms
Calorimetric Techniques
Solid State Nuclear Magnetic Resonance (Solid-State NMR)
3. Discussion
3.1. General Considerations on Hydrophobicity in Titanosilicates-Catalyzed Epoxidation
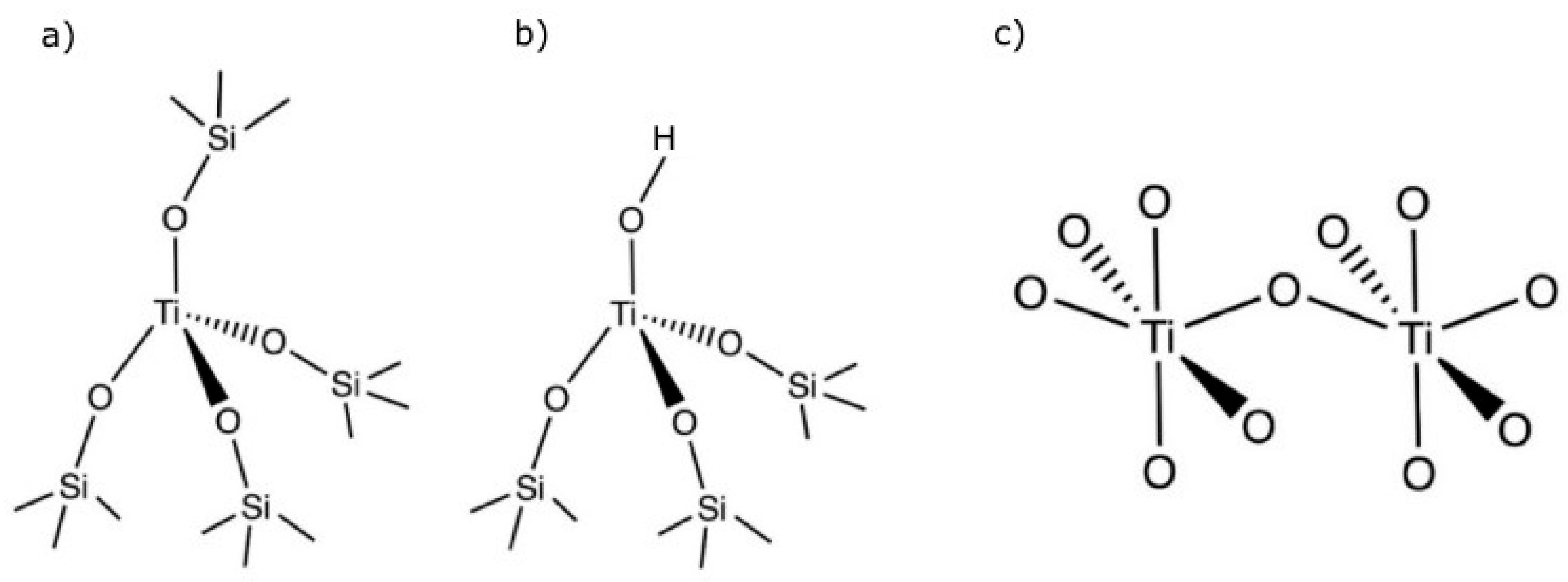
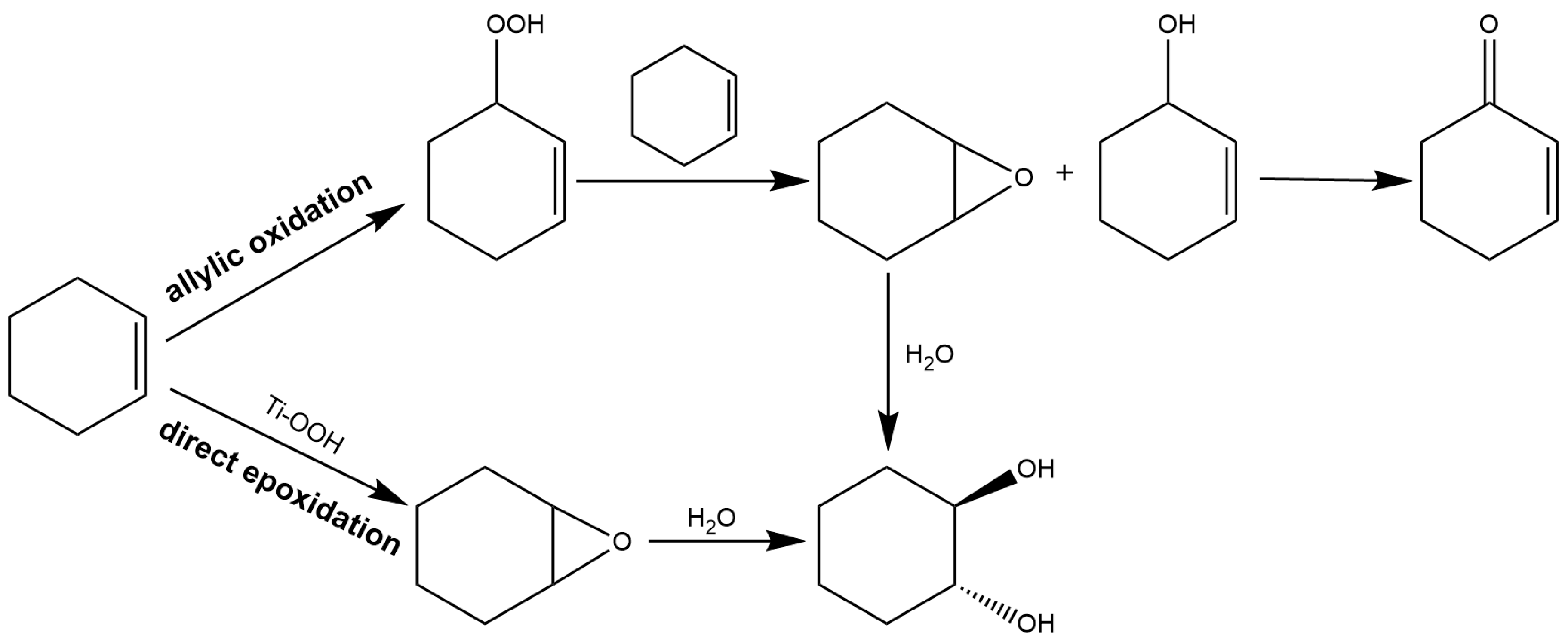
3.1.1. Nature of Ti-Peroxo Species, Competitive Pathways, Solvent and Water Effects
3.1.2. Stability Metrics, Regeneration Strategies, and Structure-Stability Relationships
3.2. Discernment of the Results of the Effect of the Hydrophobic Modification on the Catalytic Activity of Titanosilicates
4. Current Needs in the Research Area
4.1. Discussion of Current Challenges in Understanding the Effect of the Hydrophobization of Titanosilicates on Their Catalytic Activity
4.2. Broader Catalytic Relevance of Hydrophobicity Beyond Epoxidation
Supplementary Materials
Author Contributions
Funding
Data Availability Statement
Acknowledgments
Conflicts of Interest
References
- Vayssilov, G.N. Structural and Physicochemical Features of Titanium Silicalites. Catal. Rev. 1997, 39, 209–251. [Google Scholar] [CrossRef]
- Přech, J. Catalytic Performance of Advanced Titanosilicate Selective Oxidation Catalysts—A Review. Catal. Rev.-Sci. Eng. 2018, 60, 71–131. [Google Scholar] [CrossRef]
- Hutter, R.; Dutoit, D.C.M.; Mallat, T.; Schneider, M.; Baiker, A. Novel Mesoporous Titania-Silica Aerogels Highly Active for the Selective Epoxidation of Cyclic Olefins. J. Chem. Soc. Chem. Commun. 1995, 163–164. [Google Scholar] [CrossRef]
- Ward, D.A.; Ko, E.I. Preparing Catalytic Materials by the Sol-Gel Method. Ind. Eng. Chem. Res. 1995, 34, 421–433. [Google Scholar] [CrossRef]
- Keshavaraja, A.; Ramaswamy, V.; Soni, H.S.; Ramaswamy, A.V.; Ratnasamy, P. Synthesis, Characterization, and Catalytic Properties of Micro-Mesoporous, Amorphous Titanosilicate Catalysts. J. Catal. 1995, 157, 501–511. [Google Scholar] [CrossRef]
- Fan, W.; Wu, P.; Tatsumi, T. Unique Solvent Effect of Microporous Crystalline Titanosilicates in the Oxidation of 1-Hexene and Cyclohexene. J. Catal. 2008, 256, 62–73. [Google Scholar] [CrossRef]
- Liu, Z.F.; Tabora, J.; Davis, R.J. Relationships between Microstructure and Surface Acidity of Ti-Si Mixed Oxide Catalysts. J. Catal. 1994, 149, 117–126. [Google Scholar] [CrossRef]
- Liu, Z.; Crumbaugh, G.M.; Davis, R.J. Effect of Structure and Composition on Epoxidation of Hexene Catalyzed by Microporous and Mesoporous Ti-Si Mixed Oxides. J. Catal. 1996, 159, 83–89. [Google Scholar] [CrossRef]
- Kochkar, H.; Figueras, F. Synthesis of Hydrophobic TiO2–SiO2Mixed Oxides for the Epoxidation of Cyclohexene. J. Catal. 1997, 171, 420–430. [Google Scholar] [CrossRef]
- Smeets, V.; Boissière, C.; Sanchez, C.; Gaigneaux, E.M.; Peeters, E.; Sels, B.F.; Dusselier, M.; Debecker, D.P. Aerosol Route to TiO2–SiO2 Catalysts with Tailored Pore Architecture and High Epoxidation Activity. Chem. Mater. 2019, 31, 1610–1619. [Google Scholar] [CrossRef]
- Manangon-Perugachi, L.E.; Smeets, V.; Vivian, A.; Kainthla, I.; Eloy, P.; Aprile, C.; Debecker, D.P.; Gaigneaux, E.M. Mesoporous Methyl-Functionalized Titanosilicate Produced by Aerosol Process for the Catalytic Epoxidation of Olefins. Catalysts 2021, 11, 196. [Google Scholar] [CrossRef]
- Xu, H.; Wu, P. Recent Progresses in Titanosilicates. Chin. J. Chem. 2017, 35, 836–844. [Google Scholar] [CrossRef]
- Kong, Z.; Yue, B.; Deng, W.; Zhu, K.; Yan, M.; Peng, Y.; He, H. Direct Synthesis of Hierarchically Porous TS-1 through a Solvent-Evaporation Route and Its Application as an Oxidation Catalyst. Appl. Organomet. Chem. 2014, 28, 239–243. [Google Scholar] [CrossRef]
- Drago, R.S.; Dias, S.C.; McGilvray, J.M.; Mateus, A.L.M.L. Acidity and Hydrophobicity of TS-1. J. Phys. Chem. B 1998, 102, 1508–1514. [Google Scholar] [CrossRef]
- Bellussi, G.; Carati, A.; Clerici, M.G.; Maddinelli, G.; Millini, R. Reactions of Titanium Silicalite with Protic Molecules and Hydrogen Peroxide. J. Catal. 1992, 133, 220–230. [Google Scholar] [CrossRef]
- Xia, Q.-H.; Chen, X.; Tatsumi, T. Epoxidation of Cyclic Alkenes with Hydrogen Peroxide and Tert-Butyl Hydroperoxide on Na-Containing Tiβ Zeolites. J. Mol. Catal. A Chem. 2001, 176, 179–193. [Google Scholar] [CrossRef]
- Ouyang, X.; Hwang, S.-J.; Xie, D.; Rea, T.; Zones, S.I.; Katz, A. Heteroatom-Substituted Delaminated Zeolites as Solid Lewis Acid Catalysts. ACS Catal. 2015, 5, 3108–3119. [Google Scholar] [CrossRef]
- Boronat, M.; Corma, A.; Renz, M.; Viruela, P.M. Predicting the Activity of Single Isolated Lewis Acid Sites in Solid Catalysts. Chem.-A Eur. J. 2006, 12, 7067–7077. [Google Scholar] [CrossRef]
- Boronat, M.; Concepción, P.; Corma, A.; Renz, M.; Valencia, S. Determination of the Catalytically Active Oxidation Lewis Acid Sites in Sn-Beta Zeolites, and Their Optimisation by the Combination of Theoretical and Experimental Studies. J. Catal. 2005, 234, 111–118. [Google Scholar] [CrossRef]
- Boronat, M.; Concepción, P.; Corma, A.; Navarro, M.T.; Renz, M.; Valencia, S. Reactivity in the Confined Spaces of Zeolites: The Interplay between Spectroscopy and Theory to Develop Structure–Activity Relationships for Catalysis. Phys. Chem. Chem. Phys. 2009, 11, 2876–2884. [Google Scholar] [CrossRef]
- Jenzer, G.; Mallat, T.; Maciejewski, M.; Eigenmann, F.; Baiker, A. Continuous Epoxidation of Propylene with Oxygen and Hydrogen on a Pd–Pt/TS-1 Catalyst. Appl. Catal. A Gen. 2001, 208, 125–133. [Google Scholar] [CrossRef]
- Ratnasamy, P.; Srinivas, D.; Knözinger, H. Active Sites and Reactive Intermediates in Titanium Silicate Molecular Sieves. Adv. Catal. 2004, 48, 196702692. [Google Scholar]
- Burtch, N.C.; Jasuja, H.; Walton, K.S. Water Stability and Adsorption in Metal-Organic Frameworks. Chem. Rev. 2014, 114, 10575–10612. [Google Scholar] [CrossRef]
- Chen, X.; Qian, P.; Zhang, T.; Xu, Z.; Fang, C.; Xu, X.; Chen, W.; Wu, P.; Shen, Y.; Li, S.; et al. Catalyst Surfaces with Tunable Hydrophilicity and Hydrophobicity: Metal–Organic Frameworks toward Controllable Catalytic Selectivity. Chem. Commun. 2018, 54, 3936–3939. [Google Scholar] [CrossRef]
- Jayaramulu, K.; Geyer, F.; Schneemann, A.; Kment, Š.; Otyepka, M.; Zboril, R.; Vollmer, D.; Fischer, R.A. Hydrophobic Metal–Organic Frameworks. Adv. Mater. 2019, 31, 1900820. [Google Scholar] [CrossRef]
- Wang, C.; Guo, H.; Leng, S.; Yu, J.; Feng, K.; Cao, L.; Huang, J. Regulation of Hydrophilicity/Hydrophobicity of Aluminosilicate Zeolites: A Review. Crit. Rev. Solid State Mater. Sci. 2020, 46, 330–348. [Google Scholar] [CrossRef]
- Ruddy, D.A.; Brutchey, R.L.; Tilley, T.D. The Influence of Surface Modification on the Epoxidation Selectivity and Mechanism of TiSBA15 and TaSBA15 Catalysts with Aqueous Hydrogen Peroxide. Top. Catal. 2008, 48, 99–106. [Google Scholar] [CrossRef]
- Figueras, F.; Kochkar, H.; Caldarelli, S. Crystallization of Hydrophobic Mesoporous Titano-Silicates Useful as Epoxidation Catalysts. Microporous Mesoporous Mater. 2000, 39, 249–256. [Google Scholar] [CrossRef]
- Sheldon, R.A.; Dakka, J. Heterogeneous Catalytic Oxidations in the Manufacture of Fine Chemicals. Catal. Today 1994, 19, 215–245. [Google Scholar] [CrossRef]
- Bregante, D.T.; Flaherty, D.W. Periodic Trends in Olefin Epoxidation over Group IV and V Framework-Substituted Zeolite Catalysts: A Kinetic and Spectroscopic Study. J. Am. Chem. Soc. 2017, 139, 6888–6898. [Google Scholar] [CrossRef]
- Corma, A.; Domine, M.; Gaona, J.A.; Jordá, J.L.; Navarro, M.T.; Rey, F.; Pérez-Pariente, J.; Tsuji, J.; McCulloch, B.; Nemeth, L.T. Strategies to Improve the Epoxidation Activity and Selectivity of Ti-MCM-41. Chem. Commun. 1998, 2211–2212. [Google Scholar] [CrossRef]
- Brutchey, R.L.; Ruddy, D.A.; Andersen, L.K.; Tilley, T.D. Influence of Surface Modification of Ti−SBA15 Catalysts on the Epoxidation Mechanism for Cyclohexene with Aqueous Hydrogen Peroxide. Langmuir 2005, 21, 9576–9583. [Google Scholar] [CrossRef]
- Fan, W.; Duan, R.-G.; Yokoi, T.; Wu, P.; Kubota, Y.; Tatsumi, T. Synthesis, Crystallization Mechanism, and Catalytic Properties of Titanium-Rich TS-1 Free of Extraframework Titanium Species. J. Am. Chem. Soc. 2008, 130, 10150–10164. [Google Scholar] [CrossRef] [PubMed]
- D’Amore, M.B.; Schwarz, S. Trimethylsilylation of Ordered and Disordered Titanosilicates: Improvements in Epoxidation with Aqueous H2O2 from Micro- to Meso-Pores and Beyond. Chem. Commun. 1999, 121–122. [Google Scholar] [CrossRef]
- Corma, A.; Esteve, P.; Martinez, A.; Valencia, S. Oxidation of Olefins with Hydrogen Peroxide and Tert-Butyl Hydroperoxide on Ti-Beta Catalyst. J. Catal. 1995, 152, 18–24. [Google Scholar] [CrossRef]
- Blasco, T.; Camblor, M.A.; Corma, A.; Esteve, P.; Martínez, A.; Prieto, C.; Valencia, S. Unseeded Synthesis of Al-Free Ti-β Zeolite in Fluoride Medium: A Hydrophobic Selective Oxidation Catalyst. Chem. Commun. 1996, 2367–2368. [Google Scholar] [CrossRef]
- Blasco, T.; Camblor, M.A.; Corma, A.; Esteve, P.; Guil, J.M.; Martínez, A.; Perdigón-Melón, J.A.; Valencia, S. Direct Synthesis and Characterization of Hydrophobic Aluminum-Free Ti−Beta Zeolite. J. Phys. Chem. B 1998, 102, 75–88. [Google Scholar] [CrossRef]
- Bregante, D.T.; Johnson, A.M.; Patel, A.Y.; Ayla, E.Z.; Cordon, M.J.; Bukowski, B.C.; Greeley, J.; Gounder, R.; Flaherty, D.W. Cooperative Effects between Hydrophilic Pores and Solvents: Catalytic Consequences of Hydrogen Bonding on Alkene Epoxidation in Zeolites. J. Am. Chem. Soc. 2019, 141, 7302–7319. [Google Scholar] [CrossRef]
- Igarashi, N.; Kidani, S.; Ahemaito, R.; Hashimoto, K.; Tatsumi, T. Direct Organic Functionalization of Ti–MCM-41: Synthesis Condition, Organic Content, and Catalytic Activity. Microporous Mesoporous Mater. 2005, 81, 97–105. [Google Scholar] [CrossRef]
- Igarashi, N.; Hashimoto, K.; Tatsumi, T. Catalytical Studies on Trimethylsilylated Ti-MCM-41 and Ti-MCM-48 Materials. Microporous Mesoporous Mater. 2007, 104, 269–280. [Google Scholar] [CrossRef]
- Tatsumi, T.; Koyano, K.A.; Igarashi, N. Remarkable Activity Enhancement by Trimethylsilylation in Oxidation of Alkenes and Alkanes with H2O2 Catalyzed by Titanium-Containing Mesoporous Molecular Sieves. Chem. Commun. 1998, 325–326. [Google Scholar] [CrossRef]
- Bu, J.; Rhee, H.-K. Improvement in Hydrophobicity of Ti-MCM-41 Using a New Silylation Agent MSTFA. Catal. Lett. 2000, 65, 141–145. [Google Scholar] [CrossRef]
- Bu, J.; Rhee, H.-K. Silylation of Ti-MCM-41 by Trimethylsilyl-Imidazole and Its Effect on the Olefin Epoxidation with Aqueous H2O2. Catal. Lett. 2000, 66, 245–249. [Google Scholar] [CrossRef]
- Manangon-Perugachi, L.E.; Vivian, A.; Eloy, P.; Debecker, D.P.; Aprile, C.; Gaigneaux, E.M. Hydrophobic Titania-Silica Mixed Oxides for the Catalytic Epoxidation of Cyclooctene. Catal. Today 2019, 363, 128–136. [Google Scholar] [CrossRef]
- Müller, C.A.; Deck, R.; Mallat, T.; Baiker, A. Hydrophobic Titania-Silica Aerogels: Epoxidation of Cyclic Compounds. Top. Catal. 2000, 11, 369–378. [Google Scholar]
- Müller, C.A.; Maciejewski, M.; Mallat, T.; Baiker, A. Organically Modified Titania-Silica Aerogels for the Epoxidation of Olefins and Allylic Alcohols. J. Catal. 1999, 184, 280–293. [Google Scholar] [CrossRef]
- Smeets, V.; Ben Mustapha, L.; Schnee, J.; Gaigneaux, E.M.; Debecker, D.P. Mesoporous SiO2-TiO2 Epoxidation Catalysts: Tuning Surface Polarity to Improve Performance in the Presence of Water. Mol. Catal. 2018, 452, 123–128. [Google Scholar] [CrossRef]
- Guo, Y.; Hwang, S.-J.; Katz, A. Hydrothermally Robust Ti/SiO2 Epoxidation Catalysts via Surface Modification with Oligomeric PMHS. Mol. Catal. 2019, 477, 110509. [Google Scholar] [CrossRef]
- Lozada, A.B.; Sango, A.; Sangurima-Cedillo, A.; Debut, A.; Endara, D.; de la Torre, E.; Gaigneaux, E.M.; Manangon-Perugachi, L.E. Mesoporous Titanosilicate-Silica-Coated Cobalt Ferrite Core-Shell Catalysts for the Oxidation of Styrene. Catal. Today 2024, 430, 114513. [Google Scholar] [CrossRef]
- Notari, B. Microporous Crystalline Titanium Silicates; Eley, D.D., Haag, W.O., Gates, B.B.T., Eds.; Advances in Catalysis; Academic Press: Cambridge, MA, USA, 1996; Volume 41, pp. 253–334. ISBN 0360-0564. [Google Scholar]
- Taramasso, M.; Perego, G.; Notari, B. Preparation of Porous Crystalline Synthetic Material Comprised of Silicon and Titanium Oxides US 4410501, 18 October 1983.
- Lamberti, C.; Bordiga, S.; Zecchina, A.; Artioli, G.; Marra, G.; Spanò, G. Ti Location in the MFI Framework of Ti−Silicalite-1: A Neutron Powder Diffraction Study. J. Am. Chem. Soc. 2001, 123, 2204–2212. [Google Scholar] [CrossRef] [PubMed]
- Millini, R.; Previde Massara, E.; Perego, G.; Bellussi, G. Framework Composition of Titanium Silicalite-1. J. Catal. 1992, 137, 497–503. [Google Scholar] [CrossRef]
- Clerici, M.G.; Ingallina, P. Epoxidation of Lower Olefins with Hydrogen Peroxide and Titanium Silicalite. J. Catal. 1993, 140, 71–83. [Google Scholar] [CrossRef]
- Notari, B. Titanium Silicalite: A New Selective Oxidation Catalyst. In Chemistry of Microporous Crystals; Inui, T., Namba, S., Tatsumi, T., Eds.; Studies in Surface Science and Catalysis; Elsevier: Amsterdam, The Netherlands, 1991; Volume 60, pp. 343–352. ISBN 0167-2991. [Google Scholar]
- Corma, A.; Camblor, M.A.; Esteve, P.; Martinez, A.; Perezpariente, J. Activity of Ti-Beta Catalyst for the Selective Oxidation of Alkenes and Alkanes. J. Catal. 1994, 145, 151–158. [Google Scholar] [CrossRef]
- Blasco, T.; Corma, A.; Navarro, M.T.; Pariente, J.P. Synthesis, Characterization, and Catalytic Activity of Ti-MCM-41 Structures. J. Catal. 1995, 156, 65–74. [Google Scholar] [CrossRef]
- Yu, Y.; Wang, R.; Liu, W.; Chen, Z.; Liu, H.; Huang, X.; Tang, Z.; Liu, Y.; He, M. Control of Ti Active-Site Microenvironment in Titanosilicate Catalysts and Its Effect on Oxidation Pathways. Appl. Catal. A Gen. 2021, 610, 117953. [Google Scholar] [CrossRef]
- Wang, Y.; Wang, K.; Wang, F.; Zhai, Y.; Bing, C.; Fan, X.; Shen, Q.; Zhang, X. A Review on the Active Sites for Titanium Species in Zeolites: Coordination Structure, Synthetic Strategies and Activity. Mater. Chem. Front. 2025, 9, 8–29. [Google Scholar] [CrossRef]
- Davis, M.E.; Lobo, R.F. Zeolite and Molecular Sieve Synthesis. Chem. Mater. 1992, 4, 756–768. [Google Scholar] [CrossRef]
- Li, Y.; Li, L.; Yu, J. Applications of Zeolites in Sustainable Chemistry. Chem 2017, 3, 928–949. [Google Scholar] [CrossRef]
- Chen, N.Y. Hydrophobic Properties of Zeolites. J. Phys. Chem. 1976, 80, 60–64. [Google Scholar] [CrossRef]
- Cundy, C.S.; Cox, P.A. The Hydrothermal Synthesis of Zeolites: History and Development from the Earliest Days to the Present Time. Chem. Rev. 2003, 103, 663–702. [Google Scholar] [CrossRef] [PubMed]
- Gounder, R. Hydrophobic Microporous and Mesoporous Oxides as Brønsted and Lewis Acid Catalysts for Biomass Conversion in Liquid Water. Catal. Sci. Technol. 2014, 4, 2877–2886. [Google Scholar] [CrossRef]
- Young, G.J. Interaction of Water Vapor with Silica Surfaces. J. Colloid Sci. 1958, 13, 67–85. [Google Scholar] [CrossRef]
- Arca, V.; Boscolo Boscoletto, A.; Fracasso, N.; Meda, L.; Ranghino, G. Epoxidation of Propylene on Zn-Treated TS-1 Catalyst. J. Mol. Catal. A Chem. 2006, 243, 264–277. [Google Scholar] [CrossRef]
- Lin, W.; Frei, H. Photochemical and FT-IR Probing of the Active Site of Hydrogen Peroxide in Ti Silicalite Sieve. J. Am. Chem. Soc. 2002, 124, 9292–9298. [Google Scholar] [CrossRef] [PubMed]
- Klinyod, S.; Yomthong, K.; Suttipat, D.; Pornsetmetakul, P.; Kidkhunthod, P.; Choojun, K.; Namuangruk, S.; Sooknoi, T.; Wattanakit, C. Tailoring the First Coordination Shell of Isolated Ti(IV) Active Sites in Zeolite Frameworks Boosting Catalytic Activity in Epoxidation. ChemCatChem 2025, 17, e202401862. [Google Scholar] [CrossRef]
- Leofanti, G.; Tozzola, G.; Padovan, M.; Petrini, G.; Bordiga, S.; Zecchina, A. Catalyst Characterization: Characterization Techniques. Catal. Today 1997, 34, 307–327. [Google Scholar] [CrossRef]
- Moliner, M.; Corma, A. Advances in the Synthesis of Titanosilicates: From the Medium Pore TS-1 Zeolite to Highly-Accessible Ordered Materials. Microporous Mesoporous Mater. 2014, 189, 31–40. [Google Scholar] [CrossRef]
- Bai, R.; Song, Y.; Bai, R.; Yu, J. Creation of Hierarchical Titanosilicate TS-1 Zeolites. Adv. Mater. Interfaces 2020, 8, 2001095. [Google Scholar] [CrossRef]
- Sasaki, M.; Sato, Y.; Tsuboi, Y.; Inagaki, S.; Kubota, Y. Ti-YNU-2: A Microporous Titanosilicate with Enhanced Catalytic Performance for Phenol Oxidation. ACS Catal. 2014, 4, 2653–2657. [Google Scholar] [CrossRef]
- Ge, T.; Hua, Z.; Lv, J.; Zhou, J.; Guo, H.; Zhou, J.; Shi, J. Hydrophilicity/Hydrophobicity Modulated Synthesis of Nano-Crystalline and Hierarchically Structured TS-1 Zeolites. CrystEngComm 2017, 19, 1370–1376. [Google Scholar] [CrossRef]
- Wang, B.; Lu, L.; Ge, B.; Chen, S.; Zhu, J.; Wei, D. Hydrophobic and Hierarchical Modification of TS-1 and Application for Propylene Epoxidation. J. Porous Mater. 2019, 26, 227–237. [Google Scholar] [CrossRef]
- Koyano, K.A.; Tatsumi, T. Synthesis of Titanium-Containing Mesoporous Molecular Sieves with a Cubic Structure. In Studies in Surface Science and Catalysis; Chon, H., Ihm, S.-K., Uh, Y.S., Eds.; Elsevier: Amsterdam, The Netherlands, 1996; Volume 105, pp. 93–100. ISSN 0167-2991, ISBN 9780444823441. [Google Scholar] [CrossRef]
- Camblor, M.A.; Corma, A.; Pérez-Pariente, J. Synthesis of Titanoaluminosilicates Isomorphous to Zeolite Beta, Active as Oxidation Catalysts. Zeolites 1993, 13, 82–87. [Google Scholar] [CrossRef]
- Wu, P.; Komatsu, T.; Yashima, T. Characterization of Titanium Species Incorporated into Dealuminated Mordenites by Means of IR Spectroscopy and 18O-Exchange Technique. J. Phys. Chem. 1996, 100, 10316–10322. [Google Scholar] [CrossRef]
- Přech, J.; Čejka, J. UTL Titanosilicate: An Extra-Large Pore Epoxidation Catalyst with Tunable Textural Properties. Catal. Today 2016, 277, 2–8. [Google Scholar] [CrossRef]
- Luan, H.; Xu, C.; Wu, Q.; Xiao, F.-S. Recent Advances in the Synthesis of TS-1 Zeolite. Front. Chem. 2022, 10, 1080554. [Google Scholar] [CrossRef]
- Na, K.; Jo, C.; Kim, J.; Ahn, W.-S.; Ryoo, R. MFI Titanosilicate Nanosheets with Single-Unit-Cell Thickness as an Oxidation Catalyst Using Peroxides. ACS Catal. 2011, 1, 901–907. [Google Scholar] [CrossRef]
- Wu, P.; Nuntasri, D.; Ruan, J.; Liu, Y.; He, M.; Fan, W.; Terasaki, O.; Tatsumi, T. Delamination of Ti-MWW and High Efficiency in Epoxidation of Alkenes with Various Molecular Sizes. J. Phys. Chem. B 2004, 108, 19126–19131. [Google Scholar] [CrossRef]
- Chen, H.L.; Li, S.W.; Wang, Y.M. Synthesis and Catalytic Properties of Multilayered MEL-Type Titanosilicate Nanosheets. J. Mater. Chem. A 2015, 3, 5889–5900. [Google Scholar] [CrossRef]
- Corma, A.; Diaz, U.; Domine, M.E.; Fornés, V. New Aluminosilicate and Titanosilicate Delaminated Materials Active for Acid Catalysis, and Oxidation Reactions Using H2O2. J. Am. Chem. Soc. 2000, 122, 2804–2809. [Google Scholar] [CrossRef]
- Wang, J.; Zhao, Y.; Yokoi, T.; Kondo, J.N.; Tatsumi, T. High-Performance Titanosilicate Catalyst Obtained through Combination of Liquid-Phase and Solid-Phase Transformation Mechanisms. ChemCatChem 2014, 6, 2719–2726. [Google Scholar] [CrossRef]
- Chen, L.Y.; Chuah, G.K.; Jaenicke, S. Propylene Epoxidation with Hydrogen Peroxide Catalyzed by Molecular Sieves Containing Framework Titanium. J. Mol. Catal. A Chem. 1998, 132, 281–292. [Google Scholar] [CrossRef]
- Corma, A.; Esteve, P.; Martínez, A. Solvent Effects during the Oxidation of Olefins and Alcohols with Hydrogen Peroxide on Ti-Beta Catalyst: The Influence of the Hydrophilicity–Hydrophobicity of the Zeolite. J. Catal. 1996, 161, 11–19. [Google Scholar] [CrossRef]
- Wang, J.; Yokoi, T.; Kondo, J.N.; Tatsumi, T.; Zhao, Y. Titanium(IV) in the Organic-Structure-Directing-Agent-Free Synthesis of Hydrophobic and Large-Pore Molecular Sieves as Redox Catalysts. ChemSusChem 2015, 8, 2476–2480. [Google Scholar] [CrossRef]
- Fan, W.; Wu, P.; Namba, S.; Tatsumi, T. Synthesis and Catalytic Properties of a New Titanosilicate Molecular Sieve with the Structure Analogous to MWW-Type Lamellar Precursor. J. Catal. 2006, 243, 183–191. [Google Scholar] [CrossRef]
- Wang, J.; Duan, N.; Li, P.; Liu, Y.; Wu, X.; Li, B. Recent Advances in the Synthesis and Application of TS-1 Zeolite for Green Catalytic Oxidation. Adv. Sustain. Syst. 2025, 9, 2400719. [Google Scholar] [CrossRef]
- Yang, J.; Liu, S.; Liu, Y.; Zhou, L.; Wen, H.; Wei, H.; Shen, R.; Wu, X.; Jiang, J.; Li, B. Review and Perspectives on TS-1 Catalyzed Propylene Epoxidation. iScience 2024, 27, 109064. [Google Scholar] [CrossRef] [PubMed]
- Xue, Y.; Liu, S.; Wang, J.; Zhang, H.; Wei, H.; Liu, Y.; Wang, X.; Tian, J.; Jiang, J.; Li, B. A Review on Understanding and Strengthening of Active Species in Titanium Silicalite-1 (TS-1) Catalysts. Adv. Sci. 2025, 12, e12531. [Google Scholar] [CrossRef] [PubMed]
- Wulff, H.P. Process for the Oxidation of Olefins to Olefin Oxides. UK Patent 1 249 079, 6 October 1971. [Google Scholar]
- Hutter, R.; Mallat, T.; Baiker, A. Titania-Silica Mixed Oxides: III. Epoxidation of α-Isophorone with Hydroperoxides. J. Catal. 1995, 157, 665–675. [Google Scholar] [CrossRef]
- Calvino, J.J.; Cauqui, M.A.; Gatica, J.M.; Perez, J.A.; Rodriguez-Izquierdo, J.M. Development of Acidity on Sol-Gel Prepared TiO2-SiO2 Catalysts. In Proceedings of the Materials Research Society Symposium Proceedings; PN: Pittsburgh, PA, USA, 1994; Volume 346, pp. 685–690. [Google Scholar]
- Neumann, R.; Chava, M.; Levin, M. Hydrogen Peroxide Oxidations Catalysed by Metallosilicalite Xerogels. J. Chem. Soc. Chem. Commun. 1993, 1685–1687. [Google Scholar] [CrossRef]
- Hutter, R.; Mallat, T.; Baiker, A. Titania Silica Mixed Oxides: II. Catalytic Behavior in Olefin Epoxidation. J. Catal. 1995, 153, 177–189. [Google Scholar] [CrossRef]
- Dutoit, D.C.M.; Schneider, M.; Hutter, R.; Baiker, A. Titania-Silica Mixed Oxides: IV. Influence of Ti Content and Aging on Structural and Catalytic Properties of Aerogels. J. Catal. 1996, 161, 651–658. [Google Scholar] [CrossRef]
- Itoh, M.; Hattori, H.; Tanabe, K. The Acidic Properties of TiO2-SiO2 and Its Catalytic Activities for the Amination of Phenol, the Hydration of Ethylene and the Isomerization of Butene. J. Catal. 1974, 35, 225–231. [Google Scholar] [CrossRef]
- Ko, E.I.; Chen, J.-P.; Weissman, J.G. A Study of Acidic Titania/Silica Mixed Oxides and Their Use as Supports for Nickel Catalysts. J. Catal. 1987, 105, 511–520. [Google Scholar] [CrossRef]
- Nakabayashi, H. Properties of Acid Sites on TiO2–SiO2 and TiO2–Al2O3 Mixed Oxides Measured by Infrared Spectroscopy. Bull. Chem. Soc. Jpn. 1992, 65, 914–916. [Google Scholar] [CrossRef]
- Sohn, J.R.; Jang, H.J. Correlation between the Infrared Band Frequency of the Silanol Bending Vibration in TiO2-SiO2 Catalysts and Activity for Acid Catalysis. J. Catal. 1991, 132, 563–565. [Google Scholar] [CrossRef]
- Radu, D.C.; Pârvulescu, V.I.; Câmpeanu, V.; Bartha, E.; Jonas, A.; Grange, P. Chemoselective Oxidation of 2-Thiomethyl-4,6-Dimethyl-Pyrimidine and 2-Thiobenzyl-4,6-Dimethyl-Pyrimidine over Titania-Silica Catalysts. Appl. Catal. A Gen. 2003, 242, 77–84. [Google Scholar] [CrossRef]
- Gisler, A.; Bürgi, T.; Baiker, A. Epoxidation on Titania-Silica Aerogel Catalysts Studied by Attenuated Total Reflection Fourier Transform Infrared and Modulation Spectroscopy. Phys. Chem. Chem. Phys. 2003, 5, 3539–3548. [Google Scholar] [CrossRef]
- Beck, C.; Mallat, T.; Baiker, A. Epoxidation of Allylic Alcohols with TiO2-SiO2: Hydroxy-Assisted Mechanism and Dynamic Structural Changes during Reaction. Catal. Lett. 2003, 88, 203–209. [Google Scholar] [CrossRef]
- Lorret, O.; Lafond, V.; Mutin, P.H.; Vioux, A. One-Step Synthesis of Mesoporous Hybrid Titania−Silica Xerogels for the Epoxidation of Alkenes. Chem. Mater. 2006, 18, 4707–4709. [Google Scholar] [CrossRef]
- Gao, X.; Wachs, I.E. Titania-Silica as Catalysts: Molecular Structural Characteristics and Physico-Chemical Properties. Catal. Today 1999, 51, 233–254. [Google Scholar] [CrossRef]
- Clerici, M.G.; Kholdeeva, O.A. Liquid Phase Oxidation via Heterogeneous Catalysis: Organic Synthesis and Industrial Applications; Wiley: Hoboken, NJ, USA, 2013; ISBN 9781118356753. [Google Scholar]
- Dusi, M.; Mallat, T.; Baiker, A. Titania-Silica Mixed Oxides: Influence of Reaction Additives on the Epoxidation of (E)-2-Hexen-1-Ol. J. Catal. 1998, 173, 423–432. [Google Scholar] [CrossRef]
- Gisler, A.; Müller, C.A.; Schneider, M.; Mallat, T.; Baiker, A. Synthesis of Organically Modified Titania-Silica Aerogels: Application for Epoxidation of Cyclohexenol. Stud. Surf. Sci. Catal. 2000, 130, 1637–1642. [Google Scholar] [CrossRef]
- Murata, C.; Yoshida, H.; Hattori, T. Titania-Silica Catalysts Prepared by Sol-Gel Method for Photoepoxidation of Propene with Molecular Oxygen. Stud. Surf. Sci. Catal. 2000, 143, 845–853. [Google Scholar]
- Müller, C.A.; Schneider, M.; Gisler, A.; Mallat, T.; Baiker, A. Titania-Silica Epoxidation Catalysts Modified by Acetoxypropyl Groups. Catal. Lett. 2000, 64, 9–14. [Google Scholar] [CrossRef]
- Müller, C.A.; Schneider, M.; Mallat, T.; Baiker, A. Titania-Silica Epoxidation Catalysts Modified by Polar Organic Functional Groups. J. Catal. 2000, 189, 221–232. [Google Scholar] [CrossRef]
- Berlini, C.; Ferraris, G.; Guidotti, M.; Moretti, G.; Psaro, R.; Ravasio, N. A Comparison between [Ti]-MCM-41 and Amorphous Mesoporous s Ilica Silica-Titanica as Catalysts for the Epoxidation of Bulky Unsaturated Alcohols. Microporous Mesoporous Mater. 2001, 44–45, 595–602. [Google Scholar] [CrossRef]
- Davis, R.J.; Liu, Z. Titania-Silica: A Model Binary Oxide Catalyst System. Chem. Mater. 1997, 9, 2311–2324. [Google Scholar] [CrossRef]
- Mariscal, R.; López-Granados, M.; Fierro, J.L.G.; Sotelo, J.L.; Martos, C.; Van Grieken, R. Morphology and Surface Properties of Titania-Silica Hydrophobic Xerogels. Langmuir 2000, 16, 9460–9467. [Google Scholar] [CrossRef]
- Beck, C.; Mallat, T.; Bürgi, T.; Baiker, A. Nature of Active Sites in Sol-Gel TiO2-SiO2 Epoxidation Catalysts. J. Catal. 2001, 204, 428–439. [Google Scholar] [CrossRef]
- Beck, C.; Mallat, T.; Baiker, A. On the Limited Selectivity of Silica-Based Epoxidation Catalysts. Catal. Lett. 2001, 75, 131–136. [Google Scholar] [CrossRef]
- Mohamed, M.M.; Salama, T.M.; Yamaguchi, T. Synthesis, Characterization and Catalytic Properties of Titania-Silica Catalysts. Colloids Surfaces A Physicochem. Eng. Asp. 2002, 207, 25–32. [Google Scholar] [CrossRef]
- Pabón, E.; Retuert, J.; Quijada, R.; Zarate, A. TiO2-SiO2 Mixed Oxides Prepared by a Combined Sol-Gel and Polymer Inclusion Method. Microporous Mesoporous Mater. 2004, 67, 195–203. [Google Scholar] [CrossRef]
- Cao, S.; Yao, N.; Yeung, K.L. Synthesis of Freestanding Silica and Titania-Silica Aerogels with Ordered and Disordered Mesopores. J. Sol-Gel Sci. Technol. 2008, 46, 323–333. [Google Scholar] [CrossRef]
- Gisler, A.; Müller, C.A.; Schneider, M.; Mallat, T.; Baiker, A. Titania-Silica Epoxidation Catalysts Modified by Mono- and Bidentate Organic Functional Groups. Top. Catal. 2001, 15, 247–255. [Google Scholar] [CrossRef]
- Hu, S.; Willey, R.J.; Notari, B. An Investigation on the Catalytic Properties of Titania-Silica Materials. J. Catal. 2003, 220, 240–248. [Google Scholar] [CrossRef]
- Gläser, R.; Weitkamp, J. Surface Hydrophobicity or Hydrophilicity of Porous Solids. Handb. Porous Solids 2002, 395–431. [Google Scholar]
- Blokzijl, W.; Engberts, J.B.F.N. Hydrophobic Effects. Opinions and Facts. Angew. Chem. Int. Ed. Engl. 1993, 32, 1545–1579. [Google Scholar] [CrossRef]
- Kinloch, A.J. The Science of Adhesion. J. Mater. Sci. 1980, 15, 2141–2166. [Google Scholar] [CrossRef]
- Wang, L.; Xiao, F.-S. The Importance of Catalyst Wettability. ChemCatChem 2014, 6, 3048–3052. [Google Scholar] [CrossRef]
- Iglesias, J.; Melero, J.A.; Sainz-Pardo, J. Direct Synthesis of Organically Modified Ti-SBA-15 Materials. J. Mol. Catal. A Chem. 2008, 291, 75–84. [Google Scholar] [CrossRef]
- Lin, K.; Pescarmona, P.P.; Houthoofd, K.; Liang, D.; Van Tendeloo, G.; Jacobs, P.A. Direct Room-Temperature Synthesis of Methyl-Functionalized Ti-MCM-41 Nanoparticles and Their Catalytic Performance in Epoxidation. J. Catal. 2009, 263, 75–82. [Google Scholar] [CrossRef]
- Parker, W.O.; Millini, R. Ti Coordination in Titanium Silicalite-1. J. Am. Chem. Soc. 2006, 128, 1450–1451. [Google Scholar] [CrossRef]
- Csicsery, S.M. Catalysis by Shape Selective Zeolites-Science and Technology. Pure Appl. Chem. 1986, 58, 841–856. [Google Scholar] [CrossRef]
- Takeuchi, M.; Kimura, T.; Hidaka, M.; Rakhmawaty, D.; Anpo, M. Photocatalytic Oxidation of Acetaldehyde with Oxygen on TiO2/ZSM-5 Photocatalysts: Effect of Hydrophobicity of Zeolites. J. Catal. 2007, 246, 235–240. [Google Scholar] [CrossRef]
- Sano, T.; Yamashita, N.; Iwami, Y.; Takeda, K.; Kawakami, Y. Estimation of Dealumination Rate of ZSM-5 Zeolite by Adsorption of Water Vapor. Zeolites 1996, 16, 258–264. [Google Scholar] [CrossRef]
- Zhang, K.; Lively, R.P.; Noel, J.D.; Dose, M.E.; McCool, B.A.; Chance, R.R.; Koros, W.J. Adsorption of Water and Ethanol in MFI-Type Zeolites. Langmuir 2012, 28, 8664–8673. [Google Scholar] [CrossRef] [PubMed]
- Zhao, X.S.; Lu, G.Q.; Whittaker, A.K.; Millar, G.J.; Zhu, H.Y. Comprehensive Study of Surface Chemistry of MCM-41 Using 29Si CP/MAS NMR, FTIR, Pyridine-TPD, and TGA. J. Phys. Chem. B 1997, 101, 6525–6531. [Google Scholar] [CrossRef]
- Camblor, M.A.; Costantini, M.; Corma, A.; Gilbert, L.; Esteve, P.; Martínez, A.; Valencia, S. Synthesis and Catalytic Activity of Aluminium-Free Zeolite Ti-β Oxidation Catalysts. Chem. Commun. 1996, 1339–1340. [Google Scholar] [CrossRef]
- Camblor, M.A.; Corma, A.; Valencia, S. Spontaneous Nucleation and Growth of Pure Silica Zeolite-β Free of Connectivity Defects. Chem. Commun. 1996, 2365–2366. [Google Scholar] [CrossRef]
- Gounder, R.; Davis, M.E. Beyond Shape Selective Catalysis with Zeolites: Hydrophobic Void Spaces in Zeolites Enable Catalysis in Liquid Water. AIChE J. 2013, 59, 3349–3358. [Google Scholar] [CrossRef]
- Camblor, M.A.; Corma, A.; Valencia, S. Synthesis in Fluoride Media and Characterisation of Aluminosilicate Zeolite Beta. J. Mater. Chem. 1998, 8, 2137–2145. [Google Scholar] [CrossRef]
- Bregante, D.T.; Potts, D.S.; Kwon, O.; Ayla, E.Z.; Tan, J.Z.; Flaherty, D.W. Effects of Hydrofluoric Acid Concentration on the Density of Silanol Groups and Water Adsorption in Hydrothermally Synthesized Transition-Metal-Substituted Silicalite-1. Chem. Mater. 2020, 32, 7425–7437. [Google Scholar] [CrossRef]
- Li, B.; Iyoki, K.; Techasarintr, P.; Elangovan, S.P.; Simancas, R.; Okubo, T.; Yokoi, T.; Wakihara, T. Hydrophobicity Manipulation of Titanium Silicalite-1 with Enhanced Catalytic Performance via Liquid-Mediated Defect Healing Treatment. ACS Catal. 2023, 13, 15155–15163. [Google Scholar] [CrossRef]
- Roy, S.K.; Dutta, D.; Talukdar, A.K. Highly Effective Methylated Ti MCM-41 Catalyst for Cyclohexene Oxidation. Mater. Res. Bull. 2018, 103, 38–46. [Google Scholar] [CrossRef]
- Fraile, J.M.; García, J.I.; Mayoral, J.A.; Vispe, E. Effect of the Reaction Conditions on the Epoxidation of Alkenes with Hydrogen Peroxide Catalyzed by Silica-Supported Titanium Derivatives. J. Catal. 2001, 204, 146–156. [Google Scholar] [CrossRef]
- Debecker, D.P. Innovative Sol-Gel Routes for the Bottom-Up Preparation of Heterogeneous Catalysts. Chem. Rec. 2018, 18, 662–675. [Google Scholar] [CrossRef] [PubMed]
- Lin, K.; Wang, L.; Meng, F.; Sun, Z.; Yang, Q.; Cui, Y.; Jiang, D.; Xiao, F.-S. Formation of Better Catalytically Active Titanium Species in Ti-MCM-41 by Vapor-Phase Silylation. J. Catal. 2005, 235, 423–427. [Google Scholar] [CrossRef]
- Silvestre-Alberó, J.; Domine, M.E.; Jordá, J.L.; Navarro, M.T.; Rey, F.; Rodríguez-Reinoso, F.; Corma, A. Spectroscopic, Calorimetric, and Catalytic Evidences of Hydrophobicity on Ti-MCM-41 Silylated Materials for Olefin Epoxidations. Appl. Catal. A Gen. 2015, 507, 14–25. [Google Scholar] [CrossRef]
- Marmur, A.; Della Volpe, C.; Siboni, S.; Amirfazli, A.; Drelich, J.W. Contact Angles and Wettability: Towards Common and Accurate Terminology. Surf. Innov. 2017, 5, 3–8. [Google Scholar] [CrossRef]
- Young, T., III. An Essay on the Cohesion of Fluids. Philos. Trans. R. Soc. Lond. 1805, 95, 65–87. [Google Scholar] [CrossRef]
- Subedi, D. Contact Angle Measurement for the Surface Characterization of Solids. Himal. Phys. 2011, 2, 1–4. [Google Scholar] [CrossRef]
- Amirfazli, A.; Neumann, A.W. Status of the Three-Phase Line Tension: A Review. Adv. Colloid Interface Sci. 2004, 110, 121–141. [Google Scholar] [CrossRef]
- Drelich, J. The Significance and Magnitude of the Line Tension in Three-Phase (Solid-Liquid-Fluid) Systems. Colloids Surf. A Physicochem. Eng. Asp. 1996, 116, 43–54. [Google Scholar] [CrossRef]
- Schimmele, L.; Napiórkowski, M.; Dietrich, S. Conceptual Aspects of Line Tensions. J. Chem. Phys. 2007, 127, 164715. [Google Scholar] [CrossRef]
- Dingle, N.M.; Harris, M.T. A Robust Algorithm for the Simultaneous Parameter Estimation of Interfacial Tension and Contact Angle from Sessile Drop Profiles. J. Colloid Interface Sci. 2005, 286, 670–680. [Google Scholar] [CrossRef]
- Espinoza, D.N.; Santamarina, J.C. Water-CO2-Mineral Systems: Interfacial Tension, Contact Angle, and Diffusion—Implications to CO2 Geological Storage. Water Resour. Res. 2010, 46, W07537. [Google Scholar] [CrossRef]
- Promraksa, A.; Chen, L.-J. Modeling Contact Angle Hysteresis of a Liquid Droplet Sitting on a Cosine Wave-like Pattern Surface. J. Colloid Interface Sci. 2012, 384, 172–181. [Google Scholar] [CrossRef]
- Iglauer, S.; Pentland, C.H.; Busch, A. CO2 Wettability of Seal and Reservoir Rocks and the Implications for Carbon Geo-Sequestration. Water Resour. Res. 2015, 51, 729–774. [Google Scholar] [CrossRef]
- Schmitt, M.; Groß, K.; Grub, J.; Heib, F. Detailed Statistical Contact Angle Analyses; “Slow Moving” Drops on Inclining Silicon-Oxide Surfaces. J. Colloid Interface Sci. 2015, 447, 229–239. [Google Scholar] [CrossRef]
- Arif, M.; Al-Yaseri, A.Z.; Barifcani, A.; Lebedev, M.; Iglauer, S. Impact of Pressure and Temperature on CO2–Brine–Mica Contact Angles and CO2–Brine Interfacial Tension: Implications for Carbon Geo-Sequestration. J. Colloid Interface Sci. 2016, 462, 208–215. [Google Scholar] [CrossRef]
- AlRatrout, A.; Raeini, A.Q.; Bijeljic, B.; Blunt, M.J. Automatic Measurement of Contact Angle in Pore-Space Images. Adv. Water Resour. 2017, 109, 158–169. [Google Scholar] [CrossRef]
- Scanziani, A.; Singh, K.; Blunt, M.J.; Guadagnini, A. Automatic Method for Estimation of in Situ Effective Contact Angle from X-Ray Micro Tomography Images of Two-Phase Flow in Porous Media. J. Colloid Interface Sci. 2017, 496, 51–59. [Google Scholar] [CrossRef]
- Andrew, M.; Menke, H.; Blunt, M.J.; Bijeljic, B. The Imaging of Dynamic Multiphase Fluid Flow Using Synchrotron-Based X-Ray Microtomography at Reservoir Conditions. Transp. Porous Media 2015, 110, 1–24. [Google Scholar] [CrossRef]
- Khishvand, M.; Alizadeh, A.H.; Oraki Kohshour, I.; Piri, M.; Prasad, R.S. In Situ Characterization of Wettability Alteration and Displacement Mechanisms Governing Recovery Enhancement Due to Low-Salinity Waterflooding. Water Resour. Res. 2017, 53, 4427–4443. [Google Scholar] [CrossRef]
- Sun, C.; McClure, J.E.; Mostaghimi, P.; Herring, A.L.; Berg, S.; Armstrong, R.T. Probing Effective Wetting in Subsurface Systems. Geophys. Res. Lett. 2020, 47, e2019GL086151. [Google Scholar] [CrossRef]
- Santini, M.; Guilizzoni, M.; Fest-Santini, S. X-Ray Computed Microtomography for Drop Shape Analysis and Contact Angle Measurement. J. Colloid Interface Sci. 2013, 409, 204–210. [Google Scholar] [CrossRef]
- Mascini, A.; Cnudde, V.; Bultreys, T. Event-Based Contact Angle Measurements inside Porous Media Using Time-Resolved Micro-Computed Tomography. J. Colloid Interface Sci. 2020, 572, 354–363. [Google Scholar] [CrossRef]
- Blunt, M.J.; Lin, Q.; Akai, T.; Bijeljic, B. A Thermodynamically Consistent Characterization of Wettability in Porous Media Using High-Resolution Imaging. J. Colloid Interface Sci. 2019, 552, 59–65. [Google Scholar] [CrossRef]
- Akai, T.; Alhammadi, A.M.; Blunt, M.J.; Bijeljic, B. Modeling Oil Recovery in Mixed-Wet Rocks: Pore-Scale Comparison Between Experiment and Simulation. Transp. Porous Media 2019, 127, 393–414. [Google Scholar] [CrossRef]
- Gabbott, P. Principles and Applications of Thermal Analysis; Wiley: Hoboken, NJ, USA, 2008; ISBN 9780470698129. [Google Scholar]
- Ng, E.-P.; Mintova, S. Nanoporous Materials with Enhanced Hydrophilicity and High Water Sorption Capacity. Microporous Mesoporous Mater. 2008, 114, 1–26. [Google Scholar] [CrossRef]
- Cavuoto, D.; Zaccheria, F.; Ravasio, N. Some Critical Insights into the Synthesis and Applications of Hydrophobic Solid Catalysts. Catalysts 2020, 10, 1337. [Google Scholar] [CrossRef]
- Anderson, M.W.; Klinowski, J. Zeolites Treated with Silicon Tetrachloride Vapour. Part 1.—Preparation and Characterisation. J. Chem. Soc. Faraday Trans. 1 Phys. Chem. Condens. Phases 1986, 82, 1449–1469. [Google Scholar] [CrossRef]
- Giaya, A.; Thompson, R.W.; Denkewicz, R., Jr. Liquid and Vapor Phase Adsorption of Chlorinated Volatile Organic Compounds on Hydrophobic Molecular Sieves. Microporous Mesoporous Mater. 2000, 40, 205–218. [Google Scholar] [CrossRef]
- Mueller, R.; Kammler, H.K.; Wegner, K.; Pratsinis, S.E. OH Surface Density of SiO2 and TiO2 by Thermogravimetric Analysis. Langmuir 2003, 19, 160–165. [Google Scholar] [CrossRef]
- Vansant, E.F.; Van Der Voort, P.; Vrancken, K.C. Characterization and Chemical Modification of the Silica Surface; Elsevier Science: Amsterdam, The Netherlands, 1995; ISBN 9780080528953. [Google Scholar]
- Fripiat, J.J.; Uytterhoeven, J. Hydroxyl Content in Silica Gel “Aerosil”. J. Phys. Chem. 1962, 66, 800–805. [Google Scholar] [CrossRef]
- Peri, J.B. Infrared Study of OH and NH2 Groups on the Surface of a Dry Silica Aerogel. J. Phys. Chem. 1966, 70, 2937–2945. [Google Scholar] [CrossRef]
- Hambleton, F.H.; Hockey, J.A.; Taylor, J.A.G. Investigation by Infra-Red Spectroscopic Methods of Deuterium Exchange Properties of Aerosil Silicas. Trans. Faraday Soc. 1966, 62, 801–807. [Google Scholar] [CrossRef]
- Hockey, J.A.; Pethica, B.A. Surface Hydration of Silicas. Trans. Faraday Soc. 1961, 57, 2247–2262. [Google Scholar] [CrossRef]
- Wei, Y.; Li, G.; Liu, J.; Yi, Y.; Guo, H. Organic Groups-Regulated High-Efficiency Catalysis of Hybrid Ti-Containing Mesoporous Silicates for Bi-Phase Interfacial Epoxidation. Microporous Mesoporous Mater. 2021, 310, 110668. [Google Scholar] [CrossRef]
- Li, X.; Shi, B.; Li, M.; Mao, L. Synthesis of Highly Ordered Alkyl-Functionalized Mesoporous Silica by Co-Condensation Method and Applications in Surface Coating with Superhydrophilic/Antifogging Properties. J. Porous Mater. 2015, 22, 201–210. [Google Scholar] [CrossRef]
- Bui, T.V.; Umbarila, S.J.; Wang, B.; Sooknoi, T.; Li, G.; Chen, B.; Resasco, D.E. High-Temperature Grafting Silylation for Minimizing Leaching of Acid Functionality from Hydrophobic Mesoporous Silicas Used as Catalysts in the Liquid Phase. Langmuir 2019, 35, 6838–6852. [Google Scholar] [CrossRef]
- Barczak, M.; Dąbrowski, A.; Iwan, M.; Rzączyńska, Z. Mesoporous Organosilicas Functionalized by Alkyl Groups: Synthesis, Structure and Adsorption Properties. J. Phys. Conf. Ser. 2009, 146, 12002. [Google Scholar] [CrossRef]
- Pires, J.; Pinto, M.; Estella, J.; Echeverría, J.C. Characterization of the Hydrophobicity of Mesoporous Silicas and Clays with Silica Pillars by Water Adsorption and DRIFT. J. Colloid Interface Sci. 2008, 317, 206–213. [Google Scholar] [CrossRef]
- Olson, D.H.; Haag, W.O.; Borghard, W.S. Use of Water as a Probe of Zeolitic Properties: Interaction of Water with HZSM-5. Microporous Mesoporous Mater. 2000, 35–36, 435–446. [Google Scholar] [CrossRef]
- Weitkamp, J.; Kleinschmit, P.; Kiss, A.; Berke, C.H. The Hydrophobicity Index—A Valuable Test for Probing the Surface Properties of Zeolitic Adsorbents or Catalysts; von Ballmoos, R., Higgins, J.B., Treacy, M.M.J.B.T., Eds.; Proceedings from the Ninth International Zeolite Conference; Butterworth-Heinemann: Oxford, UK, 1993; pp. 79–87. ISBN 978-1-4832-8383-8. [Google Scholar]
- Rübner, K.; Balköse, D.; Robens, E. Methods of Humidity Determination Part I: Hygrometry. J. Therm. Anal. Calorim. 2008, 94, 669. [Google Scholar] [CrossRef][Green Version]
- Silvestre-Albero, J.; Gómez de Salazar, C.; Sepúlveda-Escribano, A.; Rodríguez-Reinoso, F. Characterization of Microporous Solids by Immersion Calorimetry. Colloids Surf. A Physicochem. Eng. Asp. 2001, 187–188, 151–165. [Google Scholar] [CrossRef]
- Piraján, J.C.M. Calorimetry: Design, Theory and Applications in Porous Solids; IntechOpen: London, UK, 2018; ISBN 9781789234381. [Google Scholar]
- Rule, G.S.; Hitchens, T.K. Fundamentals of Protein NMR Spectroscopy; Focus on Structural Biology; Springer: Dordrecht, The Netherlands, 2006; ISBN 9781402035005. [Google Scholar]
- Koutcher, J.A.; Burt, C.T. Principles of Nuclear Magnetic Resonance. J. Nucl. Med. 1984, 25, 101–111. [Google Scholar] [CrossRef]
- Vivian, A.; Fusaro, L.; Debecker, D.P.; Aprile, C. Mesoporous Methyl-Functionalized Sn-Silicates Generated by the Aerosol Process for the Sustainable Production of Ethyl Lactate. ACS Sustain. Chem. Eng. 2018, 6, 14095–14103. [Google Scholar] [CrossRef]
- Grosso-Giordano, N.A.; Schroeder, C.; Okrut, A.; Solovyov, A.; Schöttle, C.; Chassé, W.; Marinković, N.; Koller, H.; Zones, S.I.; Katz, A. Outer-Sphere Control of Catalysis on Surfaces: A Comparative Study of Ti(IV) Single-Sites Grafted on Amorphous versus Crystalline Silicates for Alkene Epoxidation. J. Am. Chem. Soc. 2018, 140, 4956–4960. [Google Scholar] [CrossRef]
- Wang, L.; Sun, J.; Meng, X.; Zhang, W.; Zhang, J.; Pan, S.; Shen, Z.; Xiao, F.-S. A Significant Enhancement of Catalytic Activities in Oxidation with H2O2 over the TS-1 Zeolite by Adjusting the Catalyst Wettability. Chem. Commun. 2014, 50, 2012–2014. [Google Scholar] [CrossRef]
- Wu, L.; Tang, Z.; Yu, Y.; Yao, X.; Liu, W.; Li, L.; Yan, B.; Liu, Y.; He, M. Facile Synthesis of a High-Performance Titanosilicate Catalyst with Controllable Defective Ti(OSi)3OH Sites. Chem. Commun. 2018, 54, 6384–6387. [Google Scholar] [CrossRef]
- Laha, S.C.; Kumar, R. Selective Epoxidation of Styrene to Styrene Oxide over TS-1 Using Urea–Hydrogen Peroxide as Oxidizing Agent. J. Catal. 2001, 204, 64–70. [Google Scholar] [CrossRef]
- Wu, H.; Lin, H.; Jin, Y.; Liu, D.; Yu, Y.; Liu, Y. Efficient Allylic Oxidation of Cyclohexene Catalyzed by Ti-MCM-41 Using H2O2 as Oxidant. Microporous Mesoporous Mater. 2024, 378, 113263. [Google Scholar] [CrossRef]
- Bonino, F.; Damin, A.; Ricchiardi, G.; Ricci, M.; Spanò, G.; D’Aloisio, R.; Zecchina, A.; Lamberti, C.; Prestipino, C.; Bordiga, S. Ti-Peroxo Species in the TS-1/H2O2/H2O System. J. Phys. Chem. B 2004, 108, 3573–3583. [Google Scholar] [CrossRef]
- Deng, X.; Xu, Y.; Liu, J.; Lin, D.; Zong, Z.; Yuan, J.; Li, Z.; Zhao, G.; Zhang, Y.; Liu, Y.; et al. Regulating the Coordination Mode of Ti Atoms in the Beta Zeolite Framework to Enhance the 1-Hexene Epoxidation. Ind. Eng. Chem. Res. 2024, 63, 3817–3826. [Google Scholar] [CrossRef]
- Jorda, E.; Tuel, A.; Teissier, R.; Kervennal, J. Synthesis, Characterization, and Activity in the Epoxidation of Cyclohexene with Aqueous H2O2 of Catalysts Prepared by Reaction of TiF4 with Silica. J. Catal. 1998, 175, 93–107. [Google Scholar] [CrossRef]
- Yao, Y.; Yang, Z.; Zheng, P.; Diao, Z. Enhancing the Accessible TiO6 Concentration and the Hydrophobicity of Hierarchical TS-1 Zeolites for Alkene Epoxidation and Oxidative Desulfurization. Chem. Eng. J. 2023, 475, 146053. [Google Scholar] [CrossRef]
- Cordon, M.J.; Harris, J.W.; Vega-Vila, J.C.; Bates, J.S.; Kaur, S.; Gupta, M.; Witzke, M.E.; Wegener, E.C.; Miller, J.T.; Flaherty, D.W.; et al. Dominant Role of Entropy in Stabilizing Sugar Isomerization Transition States within Hydrophobic Zeolite Pores. J. Am. Chem. Soc. 2018, 140, 14244–14266. [Google Scholar] [CrossRef]
- Gounder, R.; Davis, M.E. Monosaccharide and Disaccharide Isomerization over Lewis Acid Sites in Hydrophobic and Hydrophilic Molecular Sieves. J. Catal. 2013, 308, 176–188. [Google Scholar] [CrossRef]
- Inagaki, S.; Takeyama, M.; Asanuma, K.; Yokose, Y.; Zhang, S.; Okuda, T.; Nakamura, K.; Nishi, Y.; Kubota, Y. Preparation of Hydrophobic Ti-Beta Catalyst Derived from Al-Rich Zeolite Beta Synthesized without Using Organic Structure-Directing Agent and Its Enhanced Catalytic Performance for Phenol Oxidation. Microporous Mesoporous Mater. 2022, 346, 112323. [Google Scholar] [CrossRef]
- Yang, Z.; Yu, Q.; Wang, H.; Ge, Q.; Zhu, X. Ketonization of Propionic Acid over TS-1 and Ti-Beta Zeolites: Mechanism and Effects of Topology and Hydrophobicity. J. Catal. 2024, 429, 115247. [Google Scholar] [CrossRef]
- Di Iorio, J.R.; Johnson, B.A.; Román-Leshkov, Y. Ordered Hydrogen-Bonded Alcohol Networks Confined in Lewis Acid Zeolites Accelerate Transfer Hydrogenation Turnover Rates. J. Am. Chem. Soc. 2020, 142, 19379–19392. [Google Scholar] [CrossRef]
- Crisci, A.J.; Tucker, M.H.; Lee, M.-Y.; Jang, S.G.; Dumesic, J.A.; Scott, S.L. Acid-Functionalized SBA-15-Type Silica Catalysts for Carbohydrate Dehydration. ACS Catal. 2011, 1, 719–728. [Google Scholar] [CrossRef]
- Shi, W.; Cao, L.; Zhang, H.; Zhou, X.; An, B.; Lin, Z.; Dai, R.; Li, J.; Wang, C.; Lin, W. Surface Modification of Two-Dimensional Metal–Organic Layers Creates Biomimetic Catalytic Microenvironments for Selective Oxidation. Angew. Chemie Int. Ed. 2017, 56, 9704–9709. [Google Scholar] [CrossRef]
- Shi, K.; Ren, Z.; Meng, Z.; Feng, X. Hydrophilic or Hydrophobic? Optimizing the Catalyst Microenvironment for Gas-Involving Electrocatalysis. ChemCatChem 2024, 16, e202301308. [Google Scholar] [CrossRef]
- Zhang, C.; Xu, Z.; Han, N.; Tian, Y.; Kallio, T.; Yu, C.; Jiang, L. Superaerophilic/Superaerophobic Cooperative Electrode for Efficient Hydrogen Evolution Reaction via Enhanced Mass Transfer. Sci. Adv. 2026, 9, eadd6978. [Google Scholar] [CrossRef]
- Kim, C.; Bui, J.C.; Luo, X.; Cooper, J.K.; Kusoglu, A.; Weber, A.Z.; Bell, A.T. Tailored Catalyst Microenvironments for CO2 Electroreduction to Multicarbon Products on Copper Using Bilayer Ionomer Coatings. Nat. Energy 2021, 6, 1026–1034. [Google Scholar] [CrossRef]










[141],
[46],
[128],
[40],
[39]; Ti-MCM-48
[40]) and cyclooctene (Ti-SiO2
[44],
,
[47]) at 333 K using methyl-functionalized catalysts. Pristine catalysts are shown with open symbols, while functionalized materials are shown with filled symbols. The shaded region is a guide to the eye, highlighting the positive organic functionalization rather than strict statistical boundaries.
[141],
[46],
[128],
[40],
[39]; Ti-MCM-48
[40]) and cyclooctene (Ti-SiO2
[44],
,
[47]) at 333 K using methyl-functionalized catalysts. Pristine catalysts are shown with open symbols, while functionalized materials are shown with filled symbols. The shaded region is a guide to the eye, highlighting the positive organic functionalization rather than strict statistical boundaries.
[128]), 1-octene (
,
[144]) and terpineol (
[40]) using Ti-MCM-41 and Ti-MCM-48 (
[40]), and 1-hexene (
,
,
,
[140]) using amorphous TS-1, at 333 K. Pristine catalysts are shown with open symbols, while functionalized materials are shown with filled symbols. The arrows indicate the general trend showing how TOF increases relative to epoxide yield under the corresponding conditions.
[128]), 1-octene (
,
[144]) and terpineol (
[40]) using Ti-MCM-41 and Ti-MCM-48 (
[40]), and 1-hexene (
,
,
,
[140]) using amorphous TS-1, at 333 K. Pristine catalysts are shown with open symbols, while functionalized materials are shown with filled symbols. The arrows indicate the general trend showing how TOF increases relative to epoxide yield under the corresponding conditions.
| Group | Sub-Group | Ring Pores | Diameter (Å) |
|---|---|---|---|
| Medium-pore | 10 | 4.5–5.5 | |
| Conventional Ti-zeolites | Large-pore | 12 | 5.5–7.0 |
| Extra-large-pore | 14 | >7.0 |
| Functional Group | Occurrence | |
|---|---|---|
| Hydroxyl | -OH | Oxides, hydroxides |
| Carboxyl | -COOH | Carbons |
| Carbonyl | -C=O | Carbons |
| Ether | -O- | Oxides, carbons |
| Ionic species (i.e., H+, Na+, Mg+2, Cl−) | Ion exchanger |
| Material | Hydrophobization Technique | |||
|---|---|---|---|---|
| Improvement of Crystallization/Ti Insertion | Synthesis in Fluoride (F−) Medium | One-Pot Synthesis | Post-Grafting | |
| TS-1 | [33] * | [139,140] | [6] | |
| Ti-Beta | [36,37,38] | |||
| Ti-MCM-41 | [39,128,141] | [40,41,144,145] | ||
| Ti-MCM-48 | [40,41] | |||
| Ti-SBA-15 | [27,32] | |||
| Ti-SiO2 | [11,44,45,46,47] | [47,48] | ||
| Characterization Technique | Measurement | References |
|---|---|---|
| Thermogravimetric Analysis (TGA) | Mass losses of catalysts under controlled temperature | [11,32,33,41,44,45,46,47,128,141] |
| Infrared Spectroscopy (IR) | OH− adsorption band (isolated and hydrogen bonding), and Si-CHx vibration band in the IR spectrum | [11,32,33,37,38,40,44,46,47,111,139,140,141,144] |
| Adsorption Isotherms | Water adsorption capacity | [11,32,37,38,39,40,44,47,128,139,186] |
| Calorimetric Techniques | Heat of immersion (heat of wetting or immersion enthalpy) | [145] |
| Solid State Nuclear Magnetic Resonance (Solid-State NMR) | Hydrophilic sites (-OH) and organic moieties bonded to Si atoms of 29Si NMR and 1H NMR spectra 1H and 29Si NMR for TS-1 | [11,33,37,38,39,40,44,46,111,128,139,144] [129] |
Disclaimer/Publisher’s Note: The statements, opinions and data contained in all publications are solely those of the individual author(s) and contributor(s) and not of MDPI and/or the editor(s). MDPI and/or the editor(s) disclaim responsibility for any injury to people or property resulting from any ideas, methods, instructions or products referred to in the content. |
© 2026 by the authors. Licensee MDPI, Basel, Switzerland. This article is an open access article distributed under the terms and conditions of the Creative Commons Attribution (CC BY) license.
Share and Cite
Lozada, A.B.; Villacrés, A.; Endara, D.; de la Torre, E.; Gaigneaux, E.M.; Manangon-Perugachi, L.E. Hydrophobic Surface Modification of Microporous and Mesoporous Titanosilicates and Its Impact on Catalytic Performance in Epoxidation Reactions: A Review. Catalysts 2026, 16, 299. https://doi.org/10.3390/catal16040299
Lozada AB, Villacrés A, Endara D, de la Torre E, Gaigneaux EM, Manangon-Perugachi LE. Hydrophobic Surface Modification of Microporous and Mesoporous Titanosilicates and Its Impact on Catalytic Performance in Epoxidation Reactions: A Review. Catalysts. 2026; 16(4):299. https://doi.org/10.3390/catal16040299
Chicago/Turabian StyleLozada, Ana Belen, Ayleen Villacrés, Diana Endara, Ernesto de la Torre, Eric M. Gaigneaux, and Lucia E. Manangon-Perugachi. 2026. "Hydrophobic Surface Modification of Microporous and Mesoporous Titanosilicates and Its Impact on Catalytic Performance in Epoxidation Reactions: A Review" Catalysts 16, no. 4: 299. https://doi.org/10.3390/catal16040299
APA StyleLozada, A. B., Villacrés, A., Endara, D., de la Torre, E., Gaigneaux, E. M., & Manangon-Perugachi, L. E. (2026). Hydrophobic Surface Modification of Microporous and Mesoporous Titanosilicates and Its Impact on Catalytic Performance in Epoxidation Reactions: A Review. Catalysts, 16(4), 299. https://doi.org/10.3390/catal16040299

