Transition Metal-Catalyzed Ternary Polymerization of Olefins
Abstract
1. Introduction
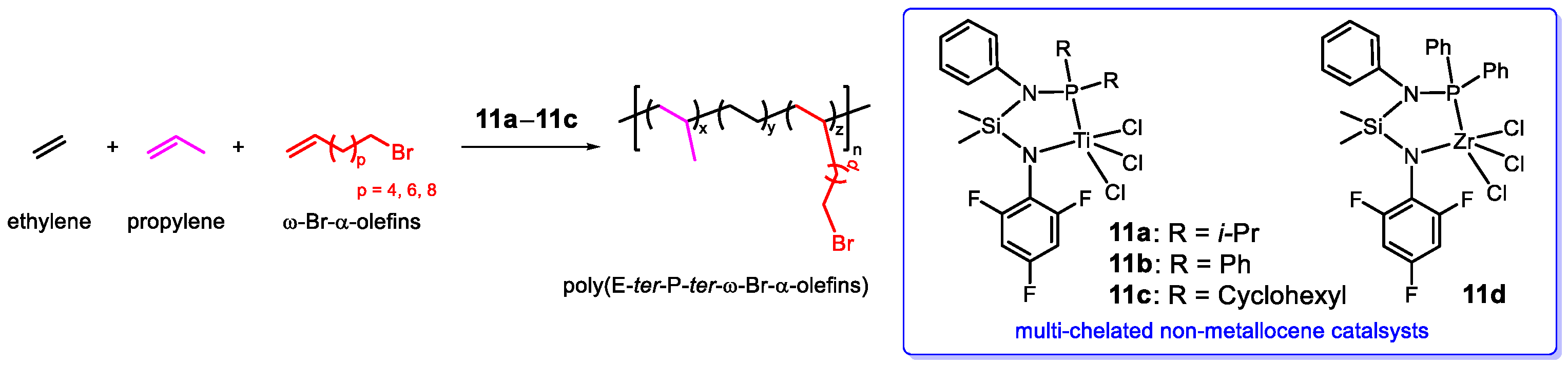
2. Ternary Polymerization of All-Hydrocarbon/Non-Polar Olefins
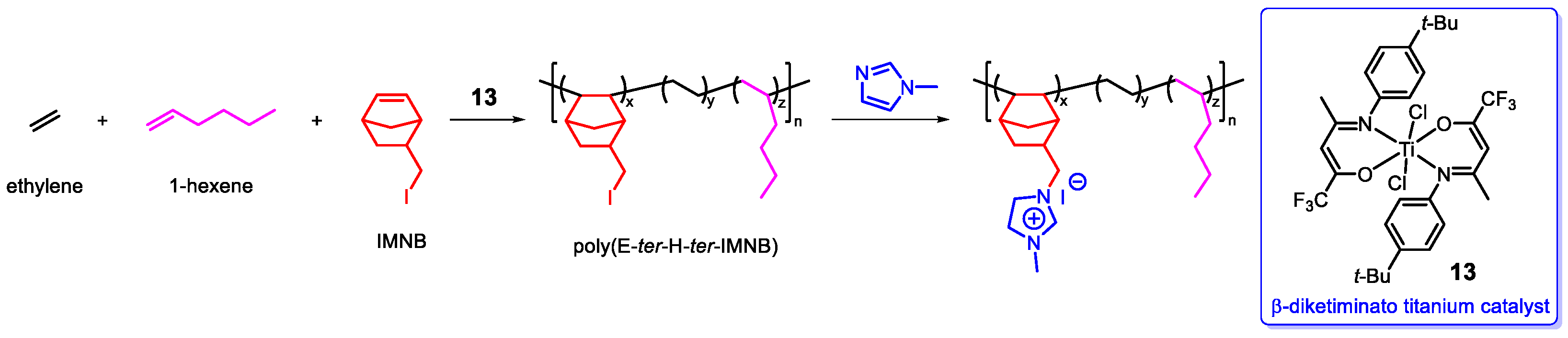
3. Ternary Polymerization of Olefins with a Polar Monomer
4. Ternary Polymerization of an Olefin with Two Polar/Functionalized Monomers
5. Ternary Polymerization of Olefins with Carbon Monoxide
6. Conclusions and Outlook
Author Contributions
Funding
Data Availability Statement
Acknowledgments
Conflicts of Interest
References
- Stürzel, M.; Mihan, S.; Mülhaupt, R. From Multisite Polymerization Catalysis to Sustainable Materials and All-Polyolefin Composites. Chem. Rev. 2016, 116, 1398–1433. [Google Scholar] [CrossRef]
- Millet, H.; Vangheluwe, P.; Block, C.; Sevenster, A.; Garcia, L.; Antonopoulos, R. Plastics and the Environment; Harrison, R.M., Hester, R.E., Eds.; The Royal Society of Chemistry: London, UK, 2018; pp. 1–20. [Google Scholar] [CrossRef]
- Hero, D.; Kali, G. Free- and reversible deactivation radical (co)polymerization of isobutylene in water under environmentally benign conditions. Eur. Polym. J. 2021, 147, 110336. [Google Scholar] [CrossRef]
- Boaen, N.K.; Hillmyer, M.A. Post-polymerization functionalization of polyolefins. Chem. Soc. Rev. 2005, 34, 267–275. [Google Scholar] [CrossRef]
- Gahleitner, M.; Resconi, L.; Doshev, P. Heterogeneous Ziegler-Natta, metallocene, and post-metallocene catalysis: Successes and challenges in industrial application. MRS Bull. 2013, 38, 229–233. [Google Scholar] [CrossRef]
- Walsh, D.J.; Hyatt, M.G.; Miller, S.A.; Guironnet, D. Recent trends in catalytic polymerizations. ACS Catal. 2019, 9, 11153–11188. [Google Scholar] [CrossRef]
- Chen, C. Designing catalysts for olefin polymerization and copolymerization: Beyond electronic and steric tuning. Nat. Rev. Chem. 2018, 2, 6–14. [Google Scholar] [CrossRef]
- Tan, C.; Chen, M.; Chen, C. Catalyst + X Strategies for Ttransition Metal-catalyzed Olefin-polar Monomer Copolymerization. Trends Chem. 2023, 5, 147–159. [Google Scholar] [CrossRef]
- Piovano, A.; Wada, T.; Amodio, A.; Takasao, G.; Ikeda, T.; Zhu, D.; Terano, M.; Chammingkwan, P.; Groppo, E.; Taniike, T. Formation of Highly Active Ziegler−Natta Catalysts Clarified by a Multifaceted Characterization Approach. ACS Catal. 2021, 11, 13782–13796. [Google Scholar] [CrossRef]
- Kumawat, J.; Gupta, V.K. Fundamental aspects of heterogeneous Ziegler−Natta olefin polymerization catalysis: An experimental and computational overview. Polym. Chem. 2020, 11, 6107–6128. [Google Scholar] [CrossRef]
- Tritto, I.; Boggioni, L.; Ferro, D.R. Metallocene catalyzed ethene- and propene co-norbornene polymerization: Mechanisms from a detailed microstructural analysis. Coord. Chem. Rev. 2006, 250, 212–241. [Google Scholar] [CrossRef]
- Resconi, L.; Cavallo, L.; Fait, A.; Piemontesi, F. Selectivity in Propene Polymerization with Metallocene Catalysts. Chem. Rev. 2000, 100, 1253–1346. [Google Scholar] [CrossRef] [PubMed]
- Baier, M.C.; Zuideveld, M.A.; Mecking, S. Post-metallocenes in the industrial production of polyolefins. Angew. Chem. Int. Ed. 2014, 53, 9722–9744. [Google Scholar] [CrossRef] [PubMed]
- Wang, C.; Li, X.; Chen, S.; Shan, T. Advances in High-Temperature Non-Metallocene Catalysts for Polyolefin Elastomers. Materials 2025, 18, 1334. [Google Scholar] [CrossRef] [PubMed]
- Tan, C.; Chen, M.; Zou, C.; Chen, C. Potentially Practical Catalytic Systems for Olefin-Polar Monomer Coordination Copolymerization. CCS Chem. 2024, 6, 882–897. [Google Scholar] [CrossRef]
- Tan, C.; Zou, C.; Chen, C. Material Properties of Functional Polyethylenes from Transition-Metal-Catalyzed Ethylene-Polar Monomer Copolymerization. Macromolecules 2023, 56, 2388–2396. [Google Scholar] [CrossRef]
- Chen, J.; Gao, Y.; Marks, T.J. Early Transition Metal Catalysis for Olefin-Polar Monomer Copolymerization. Angew. Chem. Int. Ed. 2020, 59, 14726–14735. [Google Scholar] [CrossRef]
- Wang, C.; Luo, G.; Nishiura, M.; Song, G.; Yamamoto, A.; Luo, Y.; Hou, Z. Heteroatom-assisted olefin polymerization by rare-earth metal catalysts. Sci. Adv. 2017, 3, e1701011. [Google Scholar] [CrossRef]
- Luckham, S.L.J.; Nozaki, K. Toward the Copolymerization of Propylene with Polar Comonomers. Acc. Chem. Res. 2020, 54, 344–355. [Google Scholar] [CrossRef]
- Nakano, R.; Chung, L.W.; Watanabe, Y.; Okuno, Y.; Okumura, Y.; Ito, S.; Morokuma, K.; Nozaki, K. Elucidating the Key Role of Phosphine−Sulfonate Ligands in Palladium-Catalyzed Ethylene Polymerization: Effect of Ligand Structure on the Molecular Weight and Linearity of Polyethylene. ACS Catal. 2016, 6, 6101–6113. [Google Scholar] [CrossRef]
- Carrow, B.P.; Nozaki, K. Transition-Metal-Catalyzed Functional Polyolefin Synthesis: Effecting Control through Chelating Ancillary Ligand Design and Mechanistic Insights. Macromolecules 2014, 47, 2541–2555. [Google Scholar] [CrossRef]
- Guo, L.; Dai, S.; Sui, X.; Chen, C. Palladium and Nickel Catalyzed Chain Walking Olefin Polymerization and Copolymerization. ACS Catal. 2015, 6, 428–441. [Google Scholar] [CrossRef]
- Tan, C.; Si, G.; Zou, C.; Chen, C. Functional Polyolefins and Composites. Angew. Chem. Int. Ed. 2025, 64, e202424529. [Google Scholar] [CrossRef] [PubMed]
- Wang, F.; Chen, C. A continuing legend: The Brookhart-type α-diimine nickel and palladium catalysts. Polym. Chem. 2019, 10, 2354–2369. [Google Scholar] [CrossRef]
- Zhang, Y.; Zhang, Y.; Hu, X.; Wang, C.; Jian, Z. Advances on Controlled Chain Walking and Suppression of Chain Transfer in Catalytic Olefin Polymerization. ACS Catal. 2022, 12, 14304–14320. [Google Scholar] [CrossRef]
- Li, K.; Mu, H.; Jian, Z. Aqueous Catalytic Olefin Polymerization with Nickel and Palladium Catalysts. Chem. Eur. J. 2025, 31, e202404797. [Google Scholar] [CrossRef]
- Mu, H.; Zhou, G.; Hu, X.; Jian, Z. Recent advances in nickel mediated copolymerization of olefin with polar monomers. Coord. Chem. Rev. 2021, 435, 213802. [Google Scholar] [CrossRef]
- Zhou, G.; Cui, L.; Mu, H.; Jian, Z. Custom-made polar monomers utilized in nickel and palladium promoted olefin copolymerization. Polym. Chem. 2021, 12, 3878–3892. [Google Scholar] [CrossRef]
- Mahmood, Q.; Hu, Z.; Ren, G.; Sun, W.-H. Recent advances in nickel Catalysis for thermoplastic polyethylene elastomers: Synthesis strategies, properties, and future perspectives. Coord. Chem. Rev. 2025, 541, 216833. [Google Scholar] [CrossRef]
- Suo, H.; Solan, G.A.; Ma, Y.; Sun, W.-H. Developments in compartmentalized bimetallic transition metal ethylene polymerization catalysts. Coord. Chem. Rev. 2018, 372, 101–116. [Google Scholar] [CrossRef]
- Wang, W.; Qu, S.; Li, X.; Chen, J.; Guo, Z.; Sun, W.-H. Transition metal complex catalysts promoting copolymers of cycloolefin with propylene/higher olefins. Coord. Chem. Rev. 2023, 494, 215351. [Google Scholar] [CrossRef]
- Wang, Y.; Lai, J.; Gou, Q.; Gao, R.; Zheng, G.; Zhang, R.; Song, Z.; Yue, Q.; Guo, Z. Development of well-defined olefin block (co)polymers achieved by late transition metal catalysts: Catalyst, synthesis and characterization. Coord. Chem. Rev. 2025, 522, 216195. [Google Scholar] [CrossRef]
- Wu, R.; Klingler Wu, W.; Stieglitz, L.; Gaan, S.; Rieger, B.; Heuberger, M. Recent advances on α-diimine Ni and Pd complexes for catalyzed ethylene (Co)polymerization: A comprehensive review. Coord. Chem. Rev. 2023, 474, 214844. [Google Scholar] [CrossRef]
- Marconi, R.; Boggioni, L.; Ravasio, A.; Di Colo, F.; Tritto, I.; Stehling, U.M. Terpolymerization of Linear and Alicyclic α-Olefins with Norbornene and Ethylene by ansa-Metallocene Catalysts. Macromolecules 2011, 44, 795–804. [Google Scholar] [CrossRef]
- Apisuk, W.; Suzuki, N.; Kim, H.J.; Kim, D.H.; Kitiyanan, B.; Nomura, K. Efficient terpolymerization of ethylene and styrene with α-olefins by aryloxo-modified half-titanocene-based catalysts and cocatalyst systems. J. Polym. Sci. Part A Polym. Chem. 2013, 51, 2565–2574. [Google Scholar] [CrossRef]
- Apisuk, W.; Nomura, K. Efficient Terpolymerization of Ethylene and Styrene with 1,7-Octadiene by Aryloxo Modified Half-Titanocenes–Cocatalyst Systems: Efficient Introduction of the Reactive Functionality. Macromol. Chem. Phys. 2014, 215, 1785–1791. [Google Scholar] [CrossRef]
- Apisuk, W.; Kitiyanan, B.; Joon Kim, H.; Hyun Kim, D.; Nomura, K. Introduction of reactive functionality by the incorporation of divinylbiphenyl in ethylene copolymerization with styrene or 1-hexene using aryloxo-modified half-titanocenes and MAO catalysts. J. Polym. Sci. Part A Polym. Chem. 2013, 51, 2581–2587. [Google Scholar] [CrossRef]
- Boggioni, L.; Harakawa, H.; Losio, S.; Nomura, K.; Tritto, I. Synthesis of ethylene-norbornene-1-octene terpolymers with high 1-octene contents, molar masses, and tunable Tg values, in high yields using half-titanocene catalysts. Polym. Chem. 2021, 12, 4372–4383. [Google Scholar] [CrossRef]
- Tanaka, R.; Kamei, I.; Cai, Z.; Nakayama, Y.; Shiono, T. Ethylene-propylene copolymerization behavior of ansa-dimethylsilylene(fluorenyl)(amido)dimethyltitanium complex: Application to ethylene-propylene-diene or ethylene-propylene-norbornene terpolymers. J. Polym. Sci. Part A Polym. Chem. 2014, 53, 685–691. [Google Scholar] [CrossRef]
- Fernández-Delgado, S.; García-Peñas, A.; Serrano, D.; Cerrada, M.L.; Gómez-Elvira, J.M. Detailed microstructure analysis through monomeric insertion modes of poly(propylene-co-norbornene) copolymers and poly(propylene-co-ethylene-co-norbornene) terpolymers with low norbornene contents. Polym. Test. 2023, 124, 108081. [Google Scholar] [CrossRef]
- Faingol’d, E.E.; Saratovskikh, S.L.; Zhukov, S.A.; Panin, A.N.; Zharkov, I.V.; Babkina, O.N.; Lashmanov, N.N.; Bravaya, N.M. Ethylene/Propylene Copolymerization and Their Terpolymerization with 5-Ethylidene-2-norbornene over Catalytic Systems Based on Half-Sandwich Titanium Complexes with Organoaluminum and Organoboron Activators. Petrol. Chem. 2024, 64, 500–510. [Google Scholar] [CrossRef]
- Chen, Q.; Sun, Y.; He, X. Effect of Borate Co-Catalyst on Ethylene-Propylene Binary/Ternary Copoly-Merization with Bisindenyl Zirconocene. Macromol. Chem. Phys. 2025, 226, e00140. [Google Scholar] [CrossRef]
- Faingol’d, E.E.; Saratovskikh, S.L.; Panin, A.N.; Babkina, O.N.; Zharkov, I.V.; Kapasharov, A.T.; Bubnova, M.L.; Shilov, G.V.; Bravaya, N.M. Synthesis and Properties of Ethylene/propylene and Ethylene/propylene/5-ethylidene-2-norbornene Copolymers Obtained on Rac-Et(2-MeInd)2ZrMe2/Isobutylaluminium Aryloxide Catalytic Systems. Polymers 2023, 15, 487. [Google Scholar] [CrossRef] [PubMed]
- Mazhar, H.; Shehzad, F.; Hong, S.-G.; Al-Harthi, M.A. Thermal Degradation Kinetics Analysis of Ethylene-Propylene Copolymer and EP-1-Hexene Terpolymer. Polymers 2022, 14, 634. [Google Scholar] [CrossRef] [PubMed]
- Bahar, M.K.; Mazhar, H.; Khan, W.U.; Al-Harthi, M.A. Thermal behaviour and crystallization analysis of ethylene-propylene (EP) copolymer and EP-styrene terpolymer. Can. J. Chem. Eng. 2023, 101, 5291–5299. [Google Scholar] [CrossRef]
- Tanaka, R.; Matsuzaki, R.; Nakayama, Y.; Shiono, T. Synthesis of highly thermostable norbornene-isoprene-1-octene terpolymer with titanium catalyst. J. Polym. Sci. Part A Polym. Chem. 2017, 55, 2136–2140. [Google Scholar] [CrossRef]
- Ali, A.; Moradian, J.M.; Naveed, A.; Uz-Zaman Haider, S.N.; Lu, J.; Shah, S.S.A.; Ahmed Keerio, H.; Ahmad Qureshi, W.; Naz, H.; Wahab, R.; et al. Capability of isoprene and butadiene as comonomers under metallocene catalysis: Activating active sites with the addition of 1-hexene and propylene. J. Catal. 2024, 438, 115729. [Google Scholar] [CrossRef]
- Leone, G.; Zanchin, G.; Di Girolamo, R.; De Stefano, F.; Lorber, C.; De Rosa, C.; Ricci, G.; Bertini, F. Semibatch Terpolymerization of Ethylene, Propylene, and 5-Ethylidene-2-norbornene: Heterogeneous High-Ethylene EPDM Thermoplastic Elastomers. Macromolecules 2020, 53, 5881–5894. [Google Scholar] [CrossRef]
- Cheng, P.; Wang, Y.; Zha, H.; Xing, G.; Zhang, S.; Wu, Y. Synthesis and characterization of ultra-high-molecular-weight ethylene–propylene polar elastomers with high functional degree. Clean Energy 2025, 9, 149–158. [Google Scholar] [CrossRef]
- Palucci, B.; Zanchin, G.; Ricci, G.; Vendier, L.; Lorber, C.; Leone, G. Vanadium-Catalyzed Terpolymerization of α, ω-Dienes with Ethylene and Cyclic Olefins: Ready Access to Polar-Functionalized Polyolefins. Macromolecules 2021, 54, 10700–10711. [Google Scholar] [CrossRef]
- Guo, F.; Nishiura, M.; Koshino, H.; Hou, Z. Cycloterpolymerization of 1,6-Heptadiene with Ethylene and Styrene Catalyzed by a THF-Free Half-Sandwich Scandium Complex. Macromolecules 2011, 44, 2400–2403. [Google Scholar] [CrossRef]
- Guo, F.; Nishiura, M.; Koshino, H.; Hou, Z. Scandium-Catalyzed Cyclocopolymerization of 1,5-Hexadiene with Styrene and Ethylene: Efficient Synthesis of Cyclopolyolefins Containing Syndiotactic Styrene-Styrene Sequences and Methylene-1,3-cyclopentane Units. Macromolecules 2011, 44, 6335–6344. [Google Scholar] [CrossRef]
- Sun, B.; Wu, C.; Cui, D. Coordination Terpolymerization of Ethylene, Butadiene, and Styrene Using Thioanisole-Modified Rare-Earth Catalysts. Macromolecules 2025, 58, 12528–12538. [Google Scholar] [CrossRef]
- Wang, L.; Dong, S.; Tian, H.; Gong, G.; Wang, B.; Wu, C.; Cui, D. Terpolymerization of ethylene, norbornene and dicyclopentadiene catalyzed by modified cyclopentadienyl scandium complexes. Polym. Chem. 2023, 14, 3110–3116. [Google Scholar] [CrossRef]
- Zhao, Y.; Cui, L.; Zhang, Y.; Jian, Z. High-refractive-index ethylene/cyclic olefin/octene terpolymers with high optical transparency. Polymer 2025, 322, 128147. [Google Scholar] [CrossRef]
- Yang, F.; Pan, L.; Ma, Z.; Lou, Y.; Li, Y.; Li, Y. Highly elastic, strong, and reprocessable cross-linked polyolefin elastomers enabled by boronic ester bonds. Polym. Chem. 2020, 11, 3285–3295. [Google Scholar] [CrossRef]
- Mao, X.; Pu, M.; Liu, Y.; Ma, Z.; Pan, L.; Li, Y. Robust cyclic olefin thermoplastic elastomer with excellent mechanical and thermal performance. Chem. Eng. J. 2025, 519, 165489. [Google Scholar] [CrossRef]
- Shao, P.; Liu, X.; Gao, H.; Liao, Y.; Pan, L.; Li, Y.; Ma, Z. Influences of ethylene and butene Co-units on crystallization of polypropylene copolymers and terpolymers. Polymer 2025, 337, 128933. [Google Scholar] [CrossRef]
- Wang, J.; He, L.; Nan, F.; Wang, F.; Li, H.; Wang, J.; Liu, D.; Lei, M.; Li, L.; Huang, Q.; et al. Investigation on terpolymer of ethylene/propylene/ω-bromo-α-olefins catalyzed by titanium complexes. J. Mater. Sci. 2017, 52, 5981–5991. [Google Scholar] [CrossRef]
- Zhao, X.; Li, H.; Liu, J.; Wang, K.; Zhang, S.; Dou, T.; Li, J.; Yu, J.; Li, H.; Wang, J.; et al. One-Step Synthesis of Multi-Block Copolymers of Isotactic Polypropylene (iPP) and Theoretical Studies on the Regioselectivity and Stereoselectivity of Polypropylene. J. Polym. Sci. 2025, 63, 1407–1418. [Google Scholar] [CrossRef]
- Losio, S.; Tritto, I.; Boggioni, L.; Mancini, G.; Luciano, G.; Tofani, L.; Viglianisi, C.; Menichetti, S.; Sacchi, M.C.; Stagnaro, P. Fully consistent terpolymeric non-releasing antioxidant additives for long lasting polyolefin packaging materials. Polym. Degrad. Stabil. 2017, 144, 167–175. [Google Scholar] [CrossRef]
- Wang, A.; Niu, H.; He, Z.; Li, Y. Thermoreversible cross-linking of ethylene/propylene copolymer rubbers. Polym. Chem. 2017, 8, 4494–4502. [Google Scholar] [CrossRef]
- Jing, Y.; Niu, H.; Li, Y. Improved ethylene-propylene rubber/silica interface via in-situ polymerization. Polymer 2019, 172, 117–125. [Google Scholar] [CrossRef]
- Bando, Y.; Kihara, S.-I.; Fujii, H.; Nakayama, Y.; Shiono, T.; Tanaka, R. Commodity Rubber Material with Reversible Cross-linking Ability: Application of Boroxine Cross-links to Ethylene-Propylene Rubber. Macromolecules 2024, 57, 7565–7574. [Google Scholar] [CrossRef]
- Zhang, J.; Mao, X.; Ma, Z.; Pan, L.; Wang, B.; Li, Y. High-Performance Polyethylene-Ionomer-Based Thermoplastic Elastomers Exhibiting Counteranion-Mediated Mechanical Properties. Macromolecules 2023, 56, 4219–4230. [Google Scholar] [CrossRef]
- Zhao, Y.; Zhang, Y.; Cui, L.; Jian, Z. Cyclic Olefin Terpolymers with High Refractive Index and High Optical Transparency. ACS Macro Lett. 2023, 12, 395–400. [Google Scholar] [CrossRef]
- Kitphaitun, S.; Yan, Q.; Nomura, K. The Effect of SiMe3 and SiEt3Para Substituents for High Activity and Introduction of a Hydroxy Group in Ethylene Copolymerization Catalyzed by Phenoxide-Modified Half-Titanocenes. Angew. Chem. Int. Ed. 2020, 59, 23072–23076. [Google Scholar] [CrossRef]
- Cai, H.; Cheng, Y.; Zhang, Z.; Pan, L.; Zhang, K.; Li, Y. Toughening poly(lactic acid) with novel polyolefin-graft-poly(lactic acid) copolymers maintaining high transparency and stiffness. Giant 2024, 18, 2666–5425. [Google Scholar] [CrossRef]
- Wang, Q.; Chen, M.; Zou, C.; Chen, C. Direct Synthesis of Polar-Functionalized Polyolefin Elastomers. Angew. Chem. Int. Ed. 2025, 64, e202423814. [Google Scholar] [CrossRef]
- Zhong, Y.; Wang, B.; Cui, D. The yttrium-catalyzed heteroatom-assisted terpolymerization of ortho-alkoxystyrene, isoprene and butadiene with high regio- and stereoselectivity. Polym. Chem. 2021, 12, 4576–4582. [Google Scholar] [CrossRef]
- Dong, S.; Duan, X.; Nan, T.; Lin, C.; Liu, B.; Cui, D. Substituent Effect of Styryl Monomers on Composition and Property Enhancement of Dicyclopentadiene-Based Cycloolefin Copolymers. Macromolecules 2023, 56, 8912–8919. [Google Scholar] [CrossRef]
- Mu, X.; Leng, X.; Liu, C.; Yao, Q.; Li, Y. Terpolymerization of Ethylene with Hexene and Styrene Derivatives by Half-Sandwich Scandium Catalyst. Polymers 2024, 16, 2290. [Google Scholar] [CrossRef] [PubMed]
- Na, Y.; Dai, S.; Chen, C. Direct Synthesis of Polar-Functionalized Linear Low-Density Polyethylene (LLDPE) and Low-Density Polyethylene (LDPE). Macromolecules 2018, 51, 4040–4048. [Google Scholar] [CrossRef]
- Na, Y.; Chen, C. Catechol-Functionalized Polyolefins. Angew. Chem. Int. Ed. 2020, 59, 7953–7959. [Google Scholar] [CrossRef] [PubMed]
- Zou, C.; Chen, C. Polar-Functionalized, Crosslinkable, Self-Healing, and Photoresponsive Polyolefins. Angew. Chem. Int. Ed. 2019, 59, 395–402. [Google Scholar] [CrossRef]
- Qu, W.; Bi, Z.; Zou, C.; Chen, C. Light, Heat, and Force-Responsive Polyolefins. Adv. Sci. 2023, 11, 2307568. [Google Scholar] [CrossRef]
- Yang, Y.; Wang, H.; Huang, L.; Nishiura, M.; Higaki, Y.; Hou, Z. Terpolymerization of Ethylene and Two Different Methoxyaryl-Substituted Propylenes by Scandium Catalyst Makes Tough and Fast Self-Healing Elastomers. Angew. Chem. Int. Ed. 2021, 60, 26192–26198. [Google Scholar] [CrossRef]
- Huang, L.; Yang, Y.; Shao, J.; Xiong, G.; Wang, H.; Nishiura, M.; Hou, Z. Synthesis of Tough and Fluorescent Self-Healing Elastomers by Scandium-Catalyzed Terpolymerization of Pyrenylethenylstyrene, Ethylene, and Anisylpropylene. J. Am. Chem. Soc. 2024, 146, 2718–2727. [Google Scholar] [CrossRef]
- Zhang, H.; Huang, L.; Wu, X.; Chi, M.; Wang, H.; Nishiura, M.; Higaki, Y.; Murahashi, T.; Hou, Z. Synthesis of Self-Healing Elastomers by Scandium-Catalyzed Terpolymerization of Ethylene, Styrene, and Dimethylaminophenyl-Substituted Propylene. Macromolecules 2024, 57, 7219–7226. [Google Scholar] [CrossRef]
- Jian, Z.; Falivene, L.; Boffa, G.; Sánchez, S.O.; Caporaso, L.; Grassi, A.; Mecking, S. Direct Synthesis of Telechelic Polyethylene by Selective Insertion Polymerization. Angew. Chem. Int. Ed. 2016, 55, 14378–14383. [Google Scholar] [CrossRef]
- Song, J.; He, J.; Hu, J.; Ma, J.; Jiang, H.; Hu, S.; Ye, H.; Xu, L. A Universal Strategy for Producing Fluorescent Polymers Based on Designer Hyperbranched Polyethylene Ternary Copolymers. Macromolecules 2022, 55, 2085–2095. [Google Scholar] [CrossRef]
- Brubaker, M.M.; Coffman, D.D.; Hoehn, H.H. Synthesis and characterization of ethylene/carbon monoxide copolymers, a new class of polyketones. J. Am. Chem. Soc. 1952, 74, 1509−1515. [Google Scholar] [CrossRef]
- Drent, E.; Budzelaar, P.H.M. Palladium-Catalyzed Alternating Copolymerization of Alkenes and Carbon Monoxide. Chem. Rev. 1996, 96, 663−681. [Google Scholar] [CrossRef] [PubMed]
- Sommazzi, A.; Garbassi, F. Olefin-carbon monoxide copolymers. Prog. Polym. Sci. 1997, 22, 1547−1605. [Google Scholar] [CrossRef]
- Lim, Y.N.; Noh, H.-W.; Cheong, Y.-J.; Kang, S.Y.; Lee, B.Y.; Son, S.U.; Jang, H.-Y. Self-Organized Nanosalts of Pd(II)-Ammonium-Tethered Carboxylic Acid for the Synthesis of Antifouling Polyketones. ACS Sustain. Chem. Eng. 2017, 5, 9657–9661. [Google Scholar] [CrossRef]
- Lo, S.-Y.; Folster, C.P.; Harkins, R.P.; Anderson, R.J.; Lien, Y.-L.; Chiu, H.-C.; Carpenter, A.E.; Tonks, I.A. Carbonylative Co- and Terpolymerizations of 10-Undecen-1-ol: A Route to Polyketoesters with Tunable Compositions. ACS Catal. 2022, 12, 14629–14636. [Google Scholar] [CrossRef]
- Chen, S.Y.; Ren, B.H.; Li, S.H.; Song, Y.H.; Jiao, S.; Zou, C.; Chen, C.; Lu, X.B.; Liu, Y. Cationic P, O-Coordinated Nickel(II) Catalysts for Carbonylative Polymerization of Ethylene: Unexpected Productivity via Subtle Electronic Variation. Angew. Chem. Int. Ed. 2022, 61, e202204126. [Google Scholar] [CrossRef]
- Li, S.-H.; Chen, S.-Y.; Lu, X.-B.; Liu, Y. Favorable Propylene-Incorporated Terpolymerization of Ethylene with CO Mediated by Cationic [P,O]-Pd and Ni Complexes. Inorg. Chem. 2023, 62, 2228–2235. [Google Scholar] [CrossRef]
- Zhu, L.; Li, J.; Chen, W.-Y.; Ziegler, C.J.; Takahashi, K.; Nozaki, K.; Jia, L. Aliphatic Polyketones from Alternating Copolymerization of CO and Olefins: Phosphinoamidate Nickel Catalyst, Polymerization Study, Mechanical Properties and Degradations. ACS Appl. Polym. Mater. 2024, 6, 9829–9836. [Google Scholar] [CrossRef]
- Jiao, S.; Zhang, W.-L.; Fan, M.-M.; Li, S.-H.; Chen, S.-Y.; Lu, X.-B.; Liu, Y. Scalable Nickel Catalysts for Carbonylative Terpolymerization of Ethylene/α-Olefin with High Efficiency. J. Am. Chem. Soc. 2024, 146, 34560–34567. [Google Scholar] [CrossRef]
- De Stefano, F.; Baur, M.; De Rosa, C.; Mecking, S. Keto-Polyethylenes with Controlled Crystallinity and Materials Properties from Catalytic Ethylene-CO-Norbornene Terpolymerization. Macromolecules 2024, 57, 1072–1079. [Google Scholar] [CrossRef]
- Wang, C.; Xia, J.; Zhang, Y.; Hu, X.; Jian, Z. Photodegradable polar-functionalized polyethylenes. Natl Sci. Rev. 2023, 10, nwad039. [Google Scholar] [CrossRef]
- Song, C.; Yang, D.; Wang, C.; Tang, Z.; Long, Y.; Zhang, Y.; Jian, Z. Aldehyde End-Capped Degradable Polyethylenes from Hydrogen-Controlled Ethylene/CO Copolymerization. Angew. Chem. Int. Ed. 2024, 63, e202410885. [Google Scholar] [CrossRef]
























Disclaimer/Publisher’s Note: The statements, opinions and data contained in all publications are solely those of the individual author(s) and contributor(s) and not of MDPI and/or the editor(s). MDPI and/or the editor(s) disclaim responsibility for any injury to people or property resulting from any ideas, methods, instructions or products referred to in the content. |
© 2026 by the authors. Licensee MDPI, Basel, Switzerland. This article is an open access article distributed under the terms and conditions of the Creative Commons Attribution (CC BY) license.
Share and Cite
Fang, Y.; Chen, L.; Sun, J.; Cai, Z.; Li, M. Transition Metal-Catalyzed Ternary Polymerization of Olefins. Catalysts 2026, 16, 224. https://doi.org/10.3390/catal16030224
Fang Y, Chen L, Sun J, Cai Z, Li M. Transition Metal-Catalyzed Ternary Polymerization of Olefins. Catalysts. 2026; 16(3):224. https://doi.org/10.3390/catal16030224
Chicago/Turabian StyleFang, Yueting, Long Chen, Junfen Sun, Zhengguo Cai, and Mingyuan Li. 2026. "Transition Metal-Catalyzed Ternary Polymerization of Olefins" Catalysts 16, no. 3: 224. https://doi.org/10.3390/catal16030224
APA StyleFang, Y., Chen, L., Sun, J., Cai, Z., & Li, M. (2026). Transition Metal-Catalyzed Ternary Polymerization of Olefins. Catalysts, 16(3), 224. https://doi.org/10.3390/catal16030224

