Constructing Spatially Separated Ru Nanoparticles on Basic Support for the Hydrogenation of Ethyl Levulinate to γ-Valerolactone
Abstract
1. Introduction
2. Results and Discussion
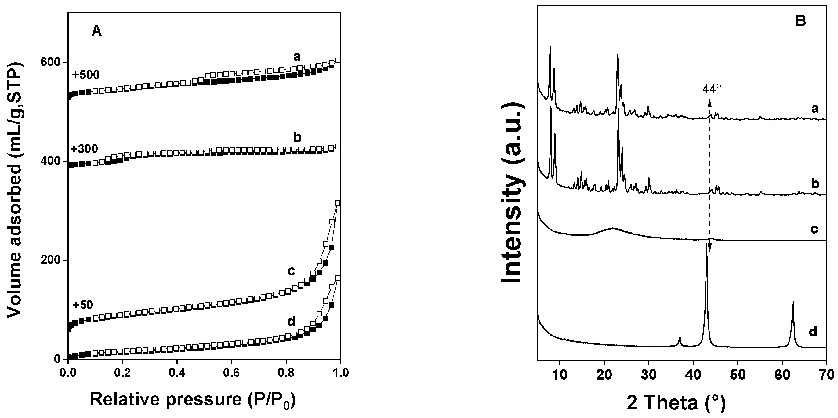
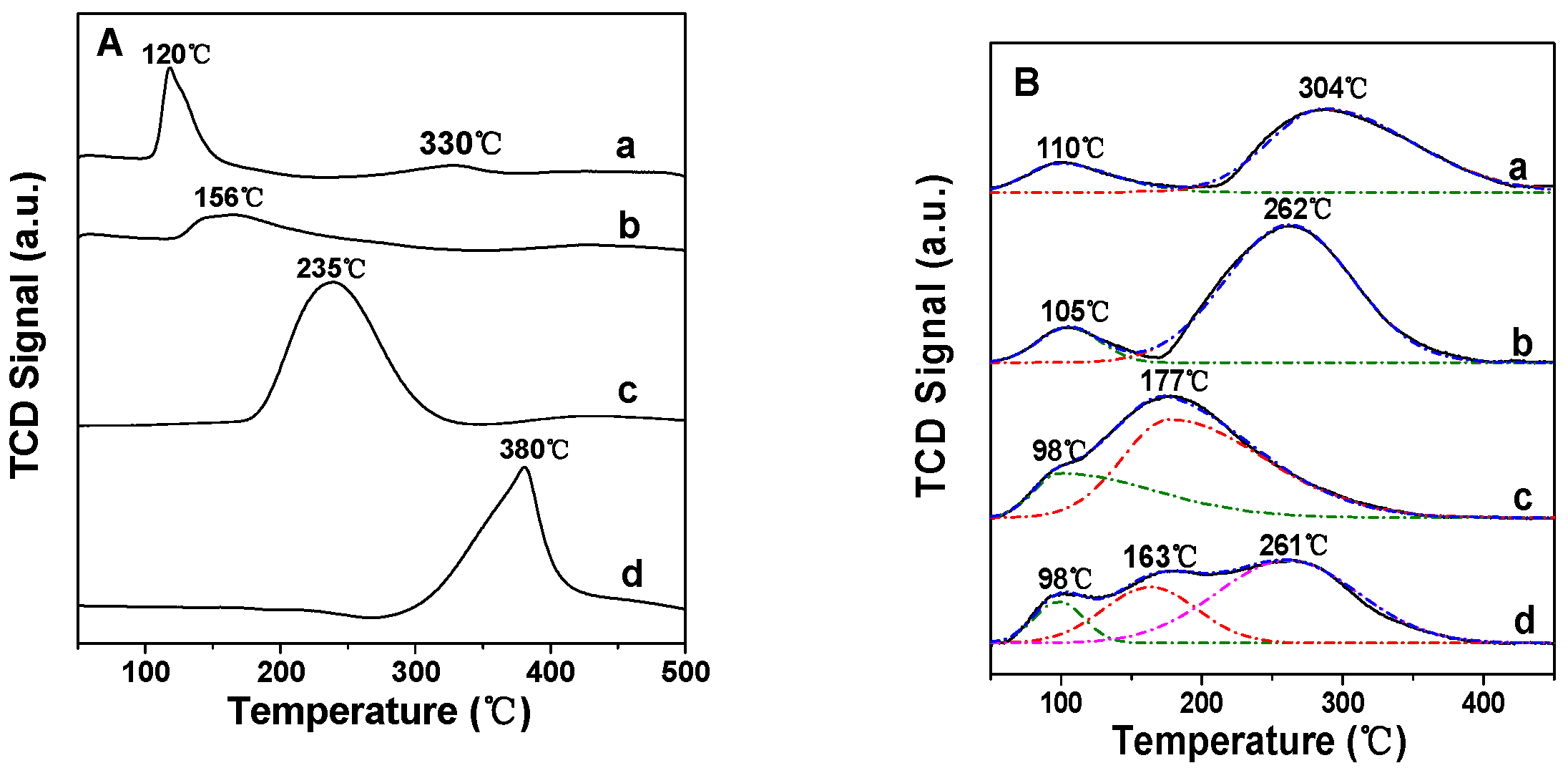
2.1. The Characterization of the Ru Catalysts
2.2. The Catalytic Activities of the Ru Catalysts in the Hydrogenation of EL
3. Materials and Methods
3.1. Synthesis of the Ru Catalysts
3.1.1. Synthesis of the Bifunctional Catalyst 5%MgSiO3@2%Ru@MFI
3.1.2. Synthesis of 2%Ru/MgO, 2%Ru/SiO2 and 2%Ru/5%MgO/SiO2
3.2. Characterization of the Ru Catalysts
3.3. Catalytic Activity Measurements
4. Conclusions
Author Contributions
Funding
Data Availability Statement
Conflicts of Interest
References
- Luo, H.Y.; Consoli, D.F.; Gunther, W.R.; Roman-Leshkov, Y. Investigation of the reaction kinetics of isolated Lewis acid sites in Beta zeolites for the Meerwein–Ponndorf–Verley reduction of methyl levulinate to γ-valerolactone. J. Catal. 2014, 320, 198–207. [Google Scholar] [CrossRef]
- Kuwahara, Y.; Kango, H.; Yamashita, H. Catalytic transfer hydrogenation of biomass-derived levulinic acid and its esters to γ-valerolactone over sulfonic acid-functionalized UiO-66. ACS Sustain. Chem. Eng. 2017, 5, 1141–1152. [Google Scholar] [CrossRef]
- Stocker, M. Biofuels and biomass-to-liquid fuels in the biorefinery: Catalytic conversion of lignocellulosic biomass using porous materials. Angew. Chem. Int. Ed. 2008, 47, 9200–9211. [Google Scholar]
- Sun, D.; Zhang, Y.; Zhou, Y.; Nie, Y.; Ban, L.; Wu, D.; Yang, S.; Zhang, H.; Li, C.; Zhang, K. Photocatalytic and electrochemical synthesis of biofuel via efficient valorization of biomass. Adv. Energy Mater. 2025, 15, 2406098. [Google Scholar] [CrossRef]
- Bozell, J.J.; Petersen, G.R. Technology development for the production of biobased products from biorefinery carbohydrates—The US Department of Energy’s “Top 10” revisited. Green Chem. 2010, 12, 539–554. [Google Scholar] [CrossRef]
- Lange, J.P.; Price, R.; Ayoub, P.M.; Louis, J.; Petrus, L.; Clarke, L.; Gosselink, H. Valeric biofuels: A platform of cellulosic transportation fuels. Angew. Chem. Int. Ed. 2010, 49, 4479–4483. [Google Scholar] [CrossRef] [PubMed]
- Cavuoto, D.; Ardemani, L.; Ravasio, N.; Zaccheria, F.; Scotti, N. Some insights into the use of heterogeneous copper catalysts in the hydroprocessing of levulinic acid. Catalysts 2023, 13, 697. [Google Scholar] [CrossRef]
- Yu, Z.; Lu, X.; Liu, C.; Han, Y.; Ji, N. Synthesis of γ-valerolactone from different biomass-derived feedstocks: Recent advances on reaction mechanisms and catalytic systems. Renew. Sustain. Energy Rev. 2019, 112, 140–157. [Google Scholar] [CrossRef]
- Dutta, S.; Yu, I.K.M.; Tsang, D.C.W.; Ng, Y.H.; Ok, Y.S.; Sherwood, J.; Clark, J.H. Green synthesis of gamma-valerolactone (GVL) through hydrogenation of biomass-derived levulinic acid using non-noble metal catalysts: A critical review. Chem. Eng. J. 2019, 372, 992–1006. [Google Scholar]
- Liguori, F.; Moreno-Marrodan, C.; Barbaro, P. Environmentally friendly synthesis of γ-valerolactone by direct catalytic conversion of renewable sources. ACS Catal. 2015, 5, 1882–1894. [Google Scholar] [CrossRef]
- Ren, D.; Zhao, C.; Zhang, N.; Norinaga, K.; Zeng, X.; Huo, Z. Catalytic transfer hydrogenation of ethyl levulinate into γ-valerolactone over air-stable skeletal cobalt catalyst. J. Environ. Chem. Eng. 2022, 10, 107188. [Google Scholar] [CrossRef]
- Wu, J.; Gao, G.; Peng, S.; Long, X.; Li, F. Synergetic catalysis of bimetallic CuCo nanocomposites for selective hydrogenation of bioderived esters. ACS Catal. 2017, 7, 7890–7901. [Google Scholar] [CrossRef]
- Sun, M.; Xia, J.; Wang, H.; Liu, X.; Xia, Q.; Wang, Y. An efficient NixZryO catalyst for hydrogenation of bio-derived methyl levulinate to γ-valerolactone in water under low hydrogen pressure. Appl. Catal. B Environ. 2018, 227, 488–498. [Google Scholar] [CrossRef]
- Nadgeri, J.M.; Hiyoshi, N.; Yamaguch, A.; Sato, O.; Shirai, M. Liquid phase hydrogenation of methyl levulinate over the mixture of supported ruthenium catalyst and zeolite in water. Appl. Catal. A Gen. 2014, 470, 215–220. [Google Scholar] [CrossRef]
- Gao, X.; Zhu, S.; Dong, M.; Wang, J.; Fan, W. Ru/CeO2 catalyst with optimized CeO2 morphology and surface facet for efficient hydrogenation of ethyl levulinate to γ-valerolactone. J. Catal. 2020, 389, 60–70. [Google Scholar]
- Ye, F.; Zhang, D.; Teng, X.; Wang, Y.; Guan, Y. Enhanced hydrogenation of ethyl levulinate by Pd–AC doped with Nb2O5. Green Chem. 2014, 16, 3951–3957. [Google Scholar] [CrossRef]
- Luo, L.; Han, X.; Zeng, Q. Hydrogenative cyclization of levulinic acid to γ-valerolactone with methanol and Ni-Fe bimetallic catalysts. Catalysts 2020, 10, 1096. [Google Scholar] [CrossRef]
- Huang, X.; Liu, K.; Vrijburg, W.L.; Ouyang, X.; Dugulan, A.I.; Liu, Y.; Verhoeven, M.W.G.M.T.; Kosinov, N.A.; Pidko, E.A.; Hensen, E.J.M. Hydrogenation of levulinic acid to γ-valerolactone over Fe-Re/TiO2 catalysts. Appl. Catal. B Environ. 2020, 278, 119314. [Google Scholar] [CrossRef]
- Zhang, K.; Meng, Q.; Wu, H.; Yuan, T.; Han, S.; Zhai, J.; Zheng, B.; Xu, C.; Wu, W.; He, M.; et al. Levulinic acid hydrogenation to γ-valerolactone over single Ru atoms on a TiO2@nitrogen doped carbon support. Green Chem. 2021, 23, 1621–1627. [Google Scholar] [CrossRef]
- Kuwahara, Y.; Magatani, Y.; Yamashita, H. Ru nanoparticles confined in Zr-containing spherical mesoporous silica containers for hydrogenation of levulinic acid and its esters into γ-valerolactone at ambient conditions. Catal. Today 2015, 258, 262–269. [Google Scholar]
- Michel, C.; Zaffran, J.; Ruppert, A.M.; Matras-Michalska, J.; Jedrzejczyk, M.; Grams, J.; Sautet, P. Role of water in metal catalyst performance for ketone hydrogenation: A joint experimental and theoretical study on levulinic acid conversion into gamma-valerolactone. Chem. Commun. 2014, 50, 12450–12453. [Google Scholar] [CrossRef]
- Li, F.; France, L.J.; Cai, Z.; Li, Y.; Liu, S.; Lou, H.; Long, J.; Li, X. Catalytic transfer hydrogenation of butyl levulinate to γ-valerolactone over zirconium phosphates with adjustable Lewis and Brønsted acid sites. Catal. B Environ. 2017, 214, 67–77. [Google Scholar] [CrossRef]
- Li, F.; Li, Z.; France, L.J.; Mu, J.; Song, C.; Chen, Y.; Jiang, L.; Long, J.; Li, X. Highly efficient transfer hydrogenation of levulinate esters to γ-valerolactone over basic zirconium carbonate. Ind. Eng. Chem. Res. 2018, 57, 10126–10136. [Google Scholar] [CrossRef]
- Ma, M.; Hou, P.; Cao, J.; Liu, H.; Yan, X.; Xu, X.; Yue, H.; Tian, G.; Feng, S. Simple basic zirconium carbonate: Low temperature catalysis for hydrogen transfer of biomass-derived carboxides. Green Chem. 2019, 21, 5969–5979. [Google Scholar] [CrossRef]
- Insyani, R.; Barus, A.F.; Gunawan, R.; Park, J.; Jaya, G.T.; Cahyadi, H.S.; Sibi, M.G.; Kwak, S.K.; Verma, D.; Kim, J. RuO2–Ru/Hβ zeolite catalyst for high-yield direct conversion of xylose to tetrahydrofurfuryl alcohol. Appl. Catal. B Environ. 2021, 291, 120120. [Google Scholar] [CrossRef]
- Manyar, H.G.; Weber, D.; Daly, H.; Thompson, J.M.; Rooney, D.W.; Gladden, L.F.; Stitt, E.H.; Delgado, J.J.; Bernal, S.; Hardacre, C. Deactivation and regeneration of ruthenium on silica in the liquid-phase hydrogenation of butan-2-one. J. Catal. 2009, 265, 80–88. [Google Scholar] [CrossRef]
- Xie, S.; Ye, K.; Du, J.S.; Zhang, X.; Kim, D.; Loukusa, J.; Ma, L.; Ehrlich, S.N.; Marinkovic, N.S.; Yoreo, J.D.; et al. Ru/MgO catalyst with dual Ru structure sites for efficient CO production from CO2 hydrogenation. Chem. Eng. J. 2024, 487, 150486. [Google Scholar] [CrossRef]
- Ju, X.; Liu, L.; Yu, P.; Guo, J.; Zhang, X.; He, T.; Wu, G.; Chen, P. Mesoporous Ru/MgO prepared by a deposition-precipitation method as highly active catalyst for producing COX-free hydrogen from ammonia decomposition. Appl. Catal. B Environ. 2017, 211, 167–175. [Google Scholar]
- Wang, D.; Wang, B.; Ding, Y.; Wu, H.; Wu, P. A novel acid-base bifunctional catalyst (ZSM-5@Mg3Si4O9(OH)4) with core/shell hierarchical structure and superior activities in tandem reactions. Chem. Commun. 2016, 52, 12817–12820. [Google Scholar] [CrossRef]
- Yokomizo, G.H.; Louis, C.; Bell, A.T. An infrared study of CO adsorption on reduced and oxidized RuSiO2. J. Catal. 1989, 120, 1–14. [Google Scholar] [CrossRef]
- Chandra, D.; Inoue, Y.; Sasase, M.; Kitano, M.; Bhaumik, A.; Kamata, K.; Hosono, H.; Hara, M. A high performance catalyst of shape-specific ruthenium nanoparticles for production of primary amines by reductive amination of carbonyl compounds. Chem. Sci. 2018, 9, 5949–5956. [Google Scholar] [CrossRef]
- Komanoya, T.; Kinemura, T.; Kita, Y.; Kamata, K.; Hara, M. Electronic effect of ruthenium nanoparticles on efficient reductive amination of carbonyl compounds. J. Am. Chem. Soc. 2017, 139, 11493–11499. [Google Scholar] [CrossRef]
- Chin, S.Y.; Williams, C.T.; Amiridis, M.D. FTIR studies of CO adsorption on Al2O3- and SiO2-supported Ru catalysts. J. Phys. Chem. B 2006, 110, 871–882. [Google Scholar] [CrossRef] [PubMed]
- Gonzalez-A, E.; Rangel, R.; Solis-Garcia, A.; Venezia, S.A.M.; Zepeda, T.A. FTIR investigation under reaction conditions during CO oxidation over Ru(x)-CeO2 catalysts. Mol. Catal. 2020, 493, 111086. [Google Scholar]
- Protsenko, I.I.; Nikoshvili, L.Z.; Matveeva, V.G.; Sulman, E.M. Kinetic modelling of levulinic acid hydrogenation over Ru-containing polymeric catalyst. Top. Catal. 2020, 63, 243–253. [Google Scholar] [CrossRef]
- Negahdar, L.; Al-Shaal, M.G.; Holzhäuser, F.J.; Palkovits, R. Kinetic analysis of the catalytic hydrogenation of alkyl levulinates to c-valerolactone. Chem. Eng. Sci. 2017, 158, 545–551. [Google Scholar] [CrossRef]







| Catalyst | Vtotal 1 (cm3/g) | SBET 2 (m2/g) | Smicro 3 (m2/g) | Smeso 3 (m2/g) |
|---|---|---|---|---|
| 2%Ru@MFI | 0.20 | 350 | 317 | 33 |
| 5%MgSiO3@2%Ru@MFI | 0.31 | 282 | 87 | 194 |
| 2%Ru/MgO | 0.26 | 54 | 0 | 54 |
| 2%Ru/SiO2 | 0.41 | 145 | 18 | 127 |
| Catalysts | Con. (%) | Sel.EHP (%) | Sel.GVL (%) |
|---|---|---|---|
| 2%Ru@MFI | 100 | 79 | 21 |
| 5%MgSiO3@2%Ru@MFI | 100 | 2 | 98 |
| 2%Ru/MgO | 0 | 0 | 0 |
| 2%Ru/SiO2 | 78 | 84 | 16 |
| 2%Ru/5%MgO/SiO2 | 100 | 34 | 66 |
| Catalyst | Time | Con. (%) | Sel.EHP (%) | Sel.GVL (%) |
|---|---|---|---|---|
| 5%MgSiO3@2%Ru@MFI | 30 | 42 | 79 | 21 |
| 60 | 100 | 23 | 77 | |
| 120 | 100 | 2 | 98 | |
| 2%Ru/5%MgO/SiO2 | 30 | 20 | 48 | 52 |
| 60 | 60 | 38 | 62 | |
| 120 | 100 | 34 | 66 |
| Catalyst | Temp. (°C) | Con.EHP 2 (X, %) | Ea (kJ/mol) |
|---|---|---|---|
| no | 60 | 1 | 57 |
| 80 | 4 | ||
| 100 | 9 | ||
| 5%MgSiO3@2%Ru@MFI | 60 | 20 | 18 |
| 80 | 30 | ||
| 100 | 41 |
| Catalysts | Con. (%) | Sel.EHP (%) | Sel.GVL (%) |
|---|---|---|---|
| fresh | 100 | 1 | 99 |
| reuse 1 | 100 | 52 | 48 |
| reuse 2 2 | 100 | 32 | 68 |
Disclaimer/Publisher’s Note: The statements, opinions and data contained in all publications are solely those of the individual author(s) and contributor(s) and not of MDPI and/or the editor(s). MDPI and/or the editor(s) disclaim responsibility for any injury to people or property resulting from any ideas, methods, instructions or products referred to in the content. |
© 2026 by the authors. Licensee MDPI, Basel, Switzerland. This article is an open access article distributed under the terms and conditions of the Creative Commons Attribution (CC BY) license.
Share and Cite
Yang, J.; Liu, Y.; Guo, X.; Yang, Q.; Guan, Y. Constructing Spatially Separated Ru Nanoparticles on Basic Support for the Hydrogenation of Ethyl Levulinate to γ-Valerolactone. Catalysts 2026, 16, 185. https://doi.org/10.3390/catal16020185
Yang J, Liu Y, Guo X, Yang Q, Guan Y. Constructing Spatially Separated Ru Nanoparticles on Basic Support for the Hydrogenation of Ethyl Levulinate to γ-Valerolactone. Catalysts. 2026; 16(2):185. https://doi.org/10.3390/catal16020185
Chicago/Turabian StyleYang, Jie, Yongsheng Liu, Xiaowen Guo, Qi Yang, and Yejun Guan. 2026. "Constructing Spatially Separated Ru Nanoparticles on Basic Support for the Hydrogenation of Ethyl Levulinate to γ-Valerolactone" Catalysts 16, no. 2: 185. https://doi.org/10.3390/catal16020185
APA StyleYang, J., Liu, Y., Guo, X., Yang, Q., & Guan, Y. (2026). Constructing Spatially Separated Ru Nanoparticles on Basic Support for the Hydrogenation of Ethyl Levulinate to γ-Valerolactone. Catalysts, 16(2), 185. https://doi.org/10.3390/catal16020185

