Development of a Peptide-Mediated Multienzyme Assembly System in Bacillus licheniformis: Screening, Characterization, and Application in Dual-Enzyme Cascade Reaction
Abstract
1. Introduction
2. Results
2.1. Screening of Peptide Elements
2.2. Interaction of Peptide Elements with Single-Gene Expression of Fluorescent Proteins
2.2.1. Structural Considerations for Fluorescent Protein-Peptide Fusions
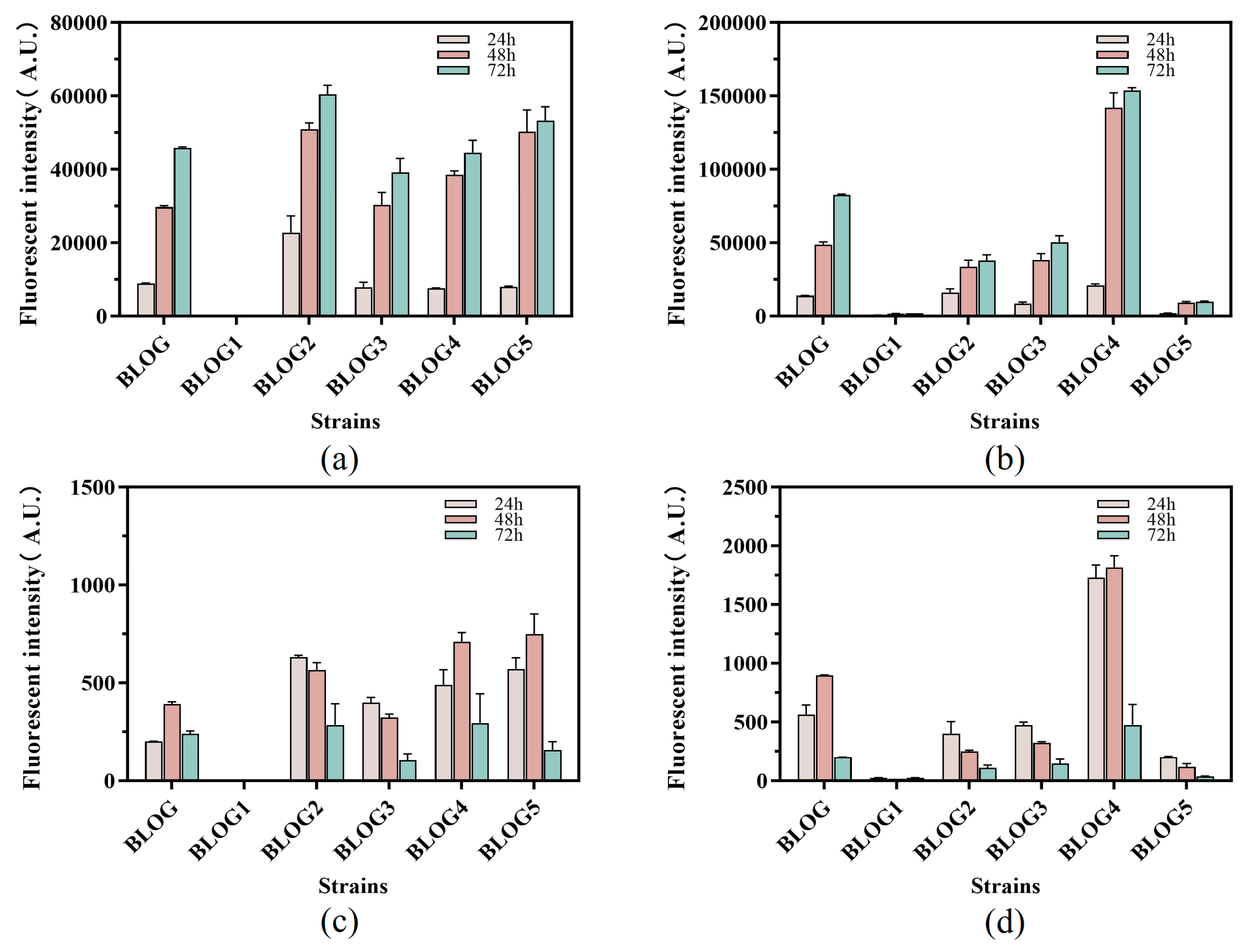
2.2.2. Effect of Short Peptides on Orange Fluorescent Protein Expression
2.2.3. Effect of Short Peptides on Green Fluorescent Protein Expression
2.3. Characterization of Dual-Gene Fluorescent Protein Recombinant Strains Based on Peptide Screening
2.4. Regulatory Effects of Peptide Tags on Transglutaminase Catalytic Activity and Stability
2.4.1. Impact of Peptide Tags on Transglutaminase Catalytic Activity
2.4.2. Influence of Peptide Tags on Transglutaminase Stability
2.5. Whole-Cell Conversion of Gluconate to Pyruvate
3. Discussion
4. Materials and Methods
4.1. Materials
4.1.1. Strains and Plasmids
4.1.2. Major Instruments and Reagents
4.1.3. Culture Media and Cultivation Conditions
4.1.4. Primers
4.2. Methods
4.2.1. Construction of Recombinant Strains
- (1)
- Construction of recombinant strains expressing eOFP and eGFP
- (2)
- Construction of strains co-expressing eOFP and eGFP fusion proteins
- (3)
- Construction of TGase Recombinant Strains
- (4)
- Construction of Strains Co-expressing gadTt and KdgA
4.2.2. Expression of eOFP and eGFP and Measurement of Fluorescence Intensity
4.2.3. Fluorescence Intensity Determination of Co-Expressed Orange and Green Fluorescent Proteins
4.2.4. Expression and Activity Assay of Transglutaminase
- (1)
- Transglutaminase Expression
- (2)
- Transglutaminase Activity Assay
4.2.5. Whole-Cell Biotransformation
4.2.6. HPLC Detection Methods
4.2.7. Optimization of Whole-Cell Biotransformation Conditions
4.2.8. Statistical Analysis Methods
5. Conclusions
Supplementary Materials
Author Contributions
Funding
Data Availability Statement
Conflicts of Interest
References
- Yu, W.; Jin, K.; Xu, X.; Liu, Y.; Li, J.; Du, G.; Chen, J.; Lv, X.; Liu, L. Engineering microbial cell factories by multiplexed spatiotemporal control of cellular metabolism: Advances, challenges, and future perspectives. Biotechnol. Adv. 2025, 79, 108497. [Google Scholar] [CrossRef]
- Liu, Z.; Cao, S.; Liu, M.; Kang, W.; Xia, J. Self-assembled multienzyme nanostructures on synthetic protein scaffolds. ACS Nano 2019, 13, 11343–11352. [Google Scholar] [CrossRef]
- Gad, S.; Ayakar, S. Protein scaffolds: A tool for multi-enzyme assembly. Biotechnol. Rep. 2021, 32, e00670. [Google Scholar] [CrossRef] [PubMed]
- Chao, H.; Zhou, Z.; He, W.; Li, M.; Yuan, X.; Su, P.; Song, J.; Yang, Y. Template-free in situ encapsulation of enzymes in hollow covalent organic framework capsules for the electrochemical analysis of biomarkers. ACS Appl. Mater. Interfaces 2022, 14, 20641–20651. [Google Scholar] [CrossRef] [PubMed]
- Sun, X.; Yuan, Y.; Chen, Q.; Nie, S.; Guo, J.; Ou, Z.; Huang, M.; Deng, Z.; Liu, T.; Ma, T. Metabolic pathway assembly using docking domains from type I cis-AT polyketide synthases. Nat. Commun. 2022, 13, 5541. [Google Scholar] [CrossRef] [PubMed]
- Liu, M.; Wang, Y.; Jiang, H.; Han, Y.; Xia, J. Synthetic multienzyme assemblies for natural product biosynthesis. Chembiochem 2023, 24, e202200518. [Google Scholar] [CrossRef]
- Wang, X.; Jiang, Y.; Liu, H.; Yuan, H.; Huang, D.; Wang, T. Research progress of multi-enzyme complexes based on the design of scaffold protein. Bioresour. Bioprocess. 2023, 10, 72. [Google Scholar] [CrossRef]
- Yan, G.; Li, X.; Yu, X.; Zhai, C.; Li, W.; Ma, L. Argonaute-driven programmable multi-enzyme complex assembly on ribosomal RNA scaffolds. Int. J. Biol. Macromol. 2025, 311, 143974. [Google Scholar] [CrossRef]
- Li, L.; Zheng, R.; Sun, R. Hierarchical self-assembly of short peptides: Nanostructure formation, function tailoring, and applications. Macromol. Biosci. 2025, 25, e2400523. [Google Scholar] [CrossRef]
- Kang, W.; Ma, T.; Liu, M.; Qu, J.; Liu, Z.; Zhang, H.; Shi, B.; Fu, S.; Ma, J.; Lai, L.T.F.; et al. Modular enzyme assembly for enhanced cascade biocatalysis and metabolic flux. Nat. Commun. 2019, 10, 4248. [Google Scholar] [CrossRef]
- Griffith, K.L.; Grossman, A.D. Inducible protein degradation in Bacillus subtilis using heterologous peptide tags and adaptor proteins to target substrates to the protease ClpXP. Mol. Microbiol. 2008, 70, 1012–1025. [Google Scholar] [CrossRef] [PubMed]
- Lei, Y.; Chen, W.; Xiang, L.; Wu, J.; Zhen, Z.; Jin, J.M.; Liang, C.; Tang, S.Y. Engineering an SspB-mediated degron for novel controllable protein degradation. Metab. Eng. 2022, 74, 150–159. [Google Scholar] [CrossRef]
- Lawrence, A.D.; Frank, S.; Newnham, S.; Lee, M.J.; Brown, I.R.; Xue, W.F.; Rowe, M.L.; Mulvihill, D.P.; Prentice, M.B.; Howard, M.J.; et al. Solution structure of a bacterial microcompartment targeting peptide and its application in the construction of an ethanol bioreactor. ACS Synth. Biol. 2014, 3, 454–465. [Google Scholar] [CrossRef] [PubMed]
- Fan, C.; Cheng, S.; Liu, Y.; Escobar, C.M.; Crowley, C.S.; Jefferson, R.E.; Yeates, T.O.; Bobik, T.A. Short N-terminal sequences package proteins into bacterial microcompartments. Proc. Natl. Acad. Sci. USA 2010, 107, 7509–7514. [Google Scholar] [CrossRef]
- Xiao, F.; Li, Y.; Zhang, Y.; Wang, H.; Zhang, L.; Ding, Z.; Gu, Z.; Xu, S.; Shi, G. Construction of a novel sugar alcohol-inducible expression system in Bacillus licheniformis. Appl. Microbiol. Biotechnol. 2020, 104, 5409–5425. [Google Scholar] [CrossRef]
- Zhang, Y.; Li, Y.; Xiao, F.; Wang, H.; Zhang, L.; Ding, Z.; Xu, S.; Gu, Z.; Shi, G. Engineering of a biosensor in response to malate in Bacillus licheniformis. ACS Synth. Biol. 2021, 10, 1775–1784. [Google Scholar] [CrossRef] [PubMed]
- Wang, C.; Niu, D.; McHunu, N.P.; Zhang, M.; Singh, S.; Wang, Z. Secretory expression of amylosucrase in Bacillus licheniformis through twin-arginine translocation pathway. J. Ind. Microbiol. Biotechnol. 2024, 51, kuae004. [Google Scholar] [CrossRef]
- Zhang, M.; Song, J.; Xiao, J.; Jin, J.; Nomura, C.T.; Chen, S.; Wang, Q. Engineered multiple translation initiation sites: A novel tool to enhance protein production in Bacillus licheniformis and other industrially relevant bacteria. Nucleic Acids Res. 2022, 50, 11979–11990. [Google Scholar] [CrossRef]
- Xiao, F.; Zhang, Y.; Zhang, L.; Li, S.; Chen, W.; Shi, G.; Li, Y. Advancing Bacillus licheniformis as a superior expression platform through promoter engineering. Microorganisms 2024, 12, 1693. [Google Scholar] [CrossRef]
- Zhan, Y.; Xu, Y.; Zheng, P.; He, M.; Sun, S.; Wang, D.; Cai, D.; Ma, X.; Chen, S. Establishment and application of multiplexed CRISPR interference system in Bacillus licheniformis. Appl. Microbiol. Biotechnol. 2020, 104, 391–403. [Google Scholar] [CrossRef]
- Ji, Y.; Li, J.; Liang, Y.; Li, L.; Wang, Y.; Pi, L.; Xing, P.; Nomura, C.T.; Chen, S.; Zhu, C.; et al. Engineering the Tat-secretion pathway of Bacillus licheniformis for the secretion of cytoplasmic enzyme arginase. Appl. Microbiol. Biotechnol. 2024, 108, 89. [Google Scholar] [CrossRef]
- Hanson, G.; Coller, J. Codon optimality, bias and usage in translation and mRNA decay. Nat. Rev. Mol. Cell Biol. 2018, 19, 20–30. [Google Scholar] [CrossRef]
- Chen, J.; Zou, X. Self-assemble peptide biomaterials and their biomedical applications. Bioact. Mater. 2019, 4, 120–131. [Google Scholar] [CrossRef] [PubMed]
- Purwani, N.N.; Martin, C.; Savino, S.; Fraaije, M.W. Modular assembly of phosphite dehydrogenase and phenylacetone monooxygenase for tuning cofactor regeneration. Biomolecules 2021, 11, 905. [Google Scholar] [CrossRef] [PubMed]
- Sigmund, F.; Massner, C.; Erdmann, P.; Stelzl, A.; Rolbieski, H.; Desai, M.; Bricault, S.; Worner, T.P.; Snijder, J.; Geerlof, A.; et al. Bacterial encapsulins as orthogonal compartments for mammalian cell engineering. Nat. Commun. 2018, 9, 1990. [Google Scholar] [CrossRef]
- Wan, L.; Zhu, Y.; Chen, G.; Luo, G.; Zhang, W.; Mu, W. Efficient production of 2′-fucosyllactose from l-fucose via self-assembling multienzyme complexes in engineered Escherichia coli. ACS Synth. Biol. 2021, 10, 2488–2498. [Google Scholar] [CrossRef]
- Lee, M.J.; Brown, I.R.; Juodeikis, R.; Frank, S.; Warren, M.J. Employing bacterial microcompartment technology to engineer a shell-free enzyme-aggregate for enhanced 1,2-propanediol production in Escherichia coli. Metab. Eng. 2016, 36, 48–56. [Google Scholar] [CrossRef]
- Lv, X.; Zhang, C.; Cui, S.; Xu, X.; Wang, L.; Li, J.; Du, G.; Chen, J.; Ledesma-Amaro, R.; Liu, L. Assembly of pathway enzymes by engineering functional membrane microdomain components for improved N-acetylglucosamine synthesis in Bacillus subtilis. Metab. Eng. 2020, 61, 96–105. [Google Scholar] [CrossRef]
- Kikuchi, Y.; Date, M.; Yokoyama, K.; Umezawa, Y.; Matsui, H. Secretion of active-form Streptoverticillium mobaraense transglutaminase by Corynebacterium glutamicum: Processing of the pro-transglutaminase by a cosecreted subtilisin-Like protease from Streptomyces albogriseolus. Appl. Environ. Microbiol. 2003, 69, 358–366. [Google Scholar] [CrossRef] [PubMed]
- Wang, X.; Zhao, B.; Du, J.; Xu, Y.; Zhu, X.; Zhou, J.; Rao, S.; Du, G.; Chen, J.; Liu, S. Active secretion of a thermostable transglutaminase variant in Escherichia coli. Microb. Cell Fact. 2022, 21, 74. [Google Scholar] [CrossRef]
- Washizu, K.; Ando, K.; Koikeda, S.; Hirose, S.; Matsuura, A.; Takagi, H.; Motoki, M.; Takeuchi, K. Molecular cloning of the gene for microbial transglutaminase from Streptoverticillium and its expression in Streptomyces lividans. Biosci. Biotechnol. Biochem. 1994, 58, 82–87. [Google Scholar] [CrossRef]
- Muras, A.; Romero, M.; Mayer, C.; Otero, A. Biotechnological applications of Bacillus licheniformis. Crit. Rev. Biotechnol. 2021, 41, 609–627. [Google Scholar] [CrossRef]
- Degering, C.; Eggert, T.; Puls, M.; Bongaerts, J.; Evers, S.; Maurer, K.H.; Jaeger, K.E. Optimization of protease secretion in Bacillus subtilis and Bacillus licheniformis by screening of homologous and heterologous signal peptides. Appl. Environ. Microbiol. 2010, 76, 6370–6376. [Google Scholar] [CrossRef] [PubMed]
- Rey, M.W.; Ramaiya, P.; Nelson, B.A.; Brody-Karpin, S.D.; Zaretsky, E.J.; Tang, M.; Lopez de Leon, A.; Xiang, H.; Gusti, V.; Clausen, I.G.; et al. Complete genome sequence of the industrial bacterium Bacillus licheniformis and comparisons with closely related Bacillus species. Genome Biol. 2004, 5, R77. [Google Scholar] [CrossRef]
- Wang, C.; Niu, D.; Zhou, Y.; Liu, H.; McHunu, N.P.; Zhang, M.; Singh, S.; Wang, Z. Synergistic engineering of the twin-arginine translocation (Tat) pathway and membrane capacity enhances extracellular production of amylosucrase in Bacillus licheniformis. Microorganisms 2025, 13, 1179. [Google Scholar] [CrossRef] [PubMed]
- Zhang, Y.; Hu, J.; Zhang, Q.; Cai, D.; Chen, S.; Wang, Y. Enhancement of alkaline protease production in recombinant Bacillus licheniformis by response surface methodology. Bioresour. Bioprocess. 2023, 10, 27. [Google Scholar] [CrossRef]
- Zhou, C.; Zhou, H.; Li, D.; Zhang, H.; Wang, H.; Lu, F. Optimized expression and enhanced production of alkaline protease by genetically modified Bacillus licheniformis 2709. Microb. Cell Fact. 2020, 19, 45. [Google Scholar] [CrossRef]
- Abdella, M.A.A.; Ahmed, S.A. Stable protease from Bacillus licheniformis-MA1 strain: Statistical production optimization, kinetic and thermodynamic characterization, and application in silver recovery from used X-ray films. Microb. Cell Fact. 2025, 24, 98. [Google Scholar] [CrossRef]
- Silva-Salinas, A.; Rodriguez-Delgado, M.; Gomez-Trevino, J.; Lopez-Chuken, U.; Olvera-Carranza, C.; Blanco-Gamez, E.A. Novel thermotolerant amylase from Bacillus licheniformis strain LB04: Purification, characterization and agar-agarose. Microorganisms 2021, 9, 1857. [Google Scholar] [CrossRef] [PubMed]
- Csibra, E.; Stan, G.B. Absolute protein quantification using fluorescence measurements with FPCountR. Nat. Commun. 2022, 13, 6600. [Google Scholar] [CrossRef] [PubMed]
- Bourigault, Y.; Chane, A.; Barbey, C.; Jafra, S.; Czajkowski, R.; Latour, X. Biosensors used for epifluorescence and confocal laser scanning microscopies to study dickeya and pectobacterium virulence and biocontrol. Microorganisms 2021, 9, 295. [Google Scholar] [CrossRef] [PubMed]
- Duwe, S.; De Zitter, E.; Gielen, V.; Moeyaert, B.; Vandenberg, W.; Grotjohann, T.; Clays, K.; Jakobs, S.; Van Meervelt, L.; Dedecker, P. Expression-enhanced fluorescent proteins based on enhanced green fluorescent protein for super-resolution microscopy. ACS Nano 2015, 9, 9528–9541. [Google Scholar] [CrossRef] [PubMed]
- GB/T 34795-2017; Determination of the Activity of Transglutaminase. General Administration of Quality Supervision, Inspection and Quarantine of the People’s Republic of China, Standardization Administration of the People’s Republic of China: Beijing, China, 2017.







| Peptide Element | Fusion Strategy and Position | Representative Example |
|---|---|---|
| P18 | N-terminal fusion; capable of both homo- and hetero-interactions | N-terminal fusion of these two targeting peptides to key enzymes in the 1,2-propanediol biosynthetic pathway enabled enzyme aggregation, substantially enhancing 1,2-propanediol production [14,27] |
| D18 | ||
| SPFH domain | N-terminal fusion | N-terminal fusion of the SPFH domain to key enzymes in the mevalonate pathway facilitated enzyme recruitment to functional membrane microdomains, significantly improving isoprenoid production [28] |
| EncSig | C-terminal fusion | C-terminal fusion of EncSig to enzymes in the violacein biosynthetic pathway induced protein encapsulation into nanoscale compartments, enhancing pathway flux and violacein yield [25] |
| RIAD-RIDD | N-terminal or C-terminal fusion; hetero-specific binding pair | Fusion of RIAD and RIDD to complementary enzyme pairs in the terpenoid pathway enabled precise enzyme co-localization, improving product titers through enhanced substrate channeling [26] |
Disclaimer/Publisher’s Note: The statements, opinions and data contained in all publications are solely those of the individual author(s) and contributor(s) and not of MDPI and/or the editor(s). MDPI and/or the editor(s) disclaim responsibility for any injury to people or property resulting from any ideas, methods, instructions or products referred to in the content. |
© 2026 by the authors. Licensee MDPI, Basel, Switzerland. This article is an open access article distributed under the terms and conditions of the Creative Commons Attribution (CC BY) license.
Share and Cite
Wang, Y.; Tao, J.; Xiao, F.; Shi, G.; Li, Y. Development of a Peptide-Mediated Multienzyme Assembly System in Bacillus licheniformis: Screening, Characterization, and Application in Dual-Enzyme Cascade Reaction. Catalysts 2026, 16, 153. https://doi.org/10.3390/catal16020153
Wang Y, Tao J, Xiao F, Shi G, Li Y. Development of a Peptide-Mediated Multienzyme Assembly System in Bacillus licheniformis: Screening, Characterization, and Application in Dual-Enzyme Cascade Reaction. Catalysts. 2026; 16(2):153. https://doi.org/10.3390/catal16020153
Chicago/Turabian StyleWang, Yanling, Junbing Tao, Fengxu Xiao, Guiyang Shi, and Youran Li. 2026. "Development of a Peptide-Mediated Multienzyme Assembly System in Bacillus licheniformis: Screening, Characterization, and Application in Dual-Enzyme Cascade Reaction" Catalysts 16, no. 2: 153. https://doi.org/10.3390/catal16020153
APA StyleWang, Y., Tao, J., Xiao, F., Shi, G., & Li, Y. (2026). Development of a Peptide-Mediated Multienzyme Assembly System in Bacillus licheniformis: Screening, Characterization, and Application in Dual-Enzyme Cascade Reaction. Catalysts, 16(2), 153. https://doi.org/10.3390/catal16020153
