Fungal Pectinolytic Enzyme System for the Production of Long- and Short-Chain Pectin-Derived Oligosaccharides (POS) from Pomelo Albedo and Their Prebiotic Potential
Abstract
1. Introduction
2. Results and Discussion
2.1. Catalytic Performance of Pectinolytic Enzymes
2.2. Pectin-Derived Oligosaccharides (POS) Production Using EndoPG and PET11
2.3. Effects of Pomelo POS on Cell Viability
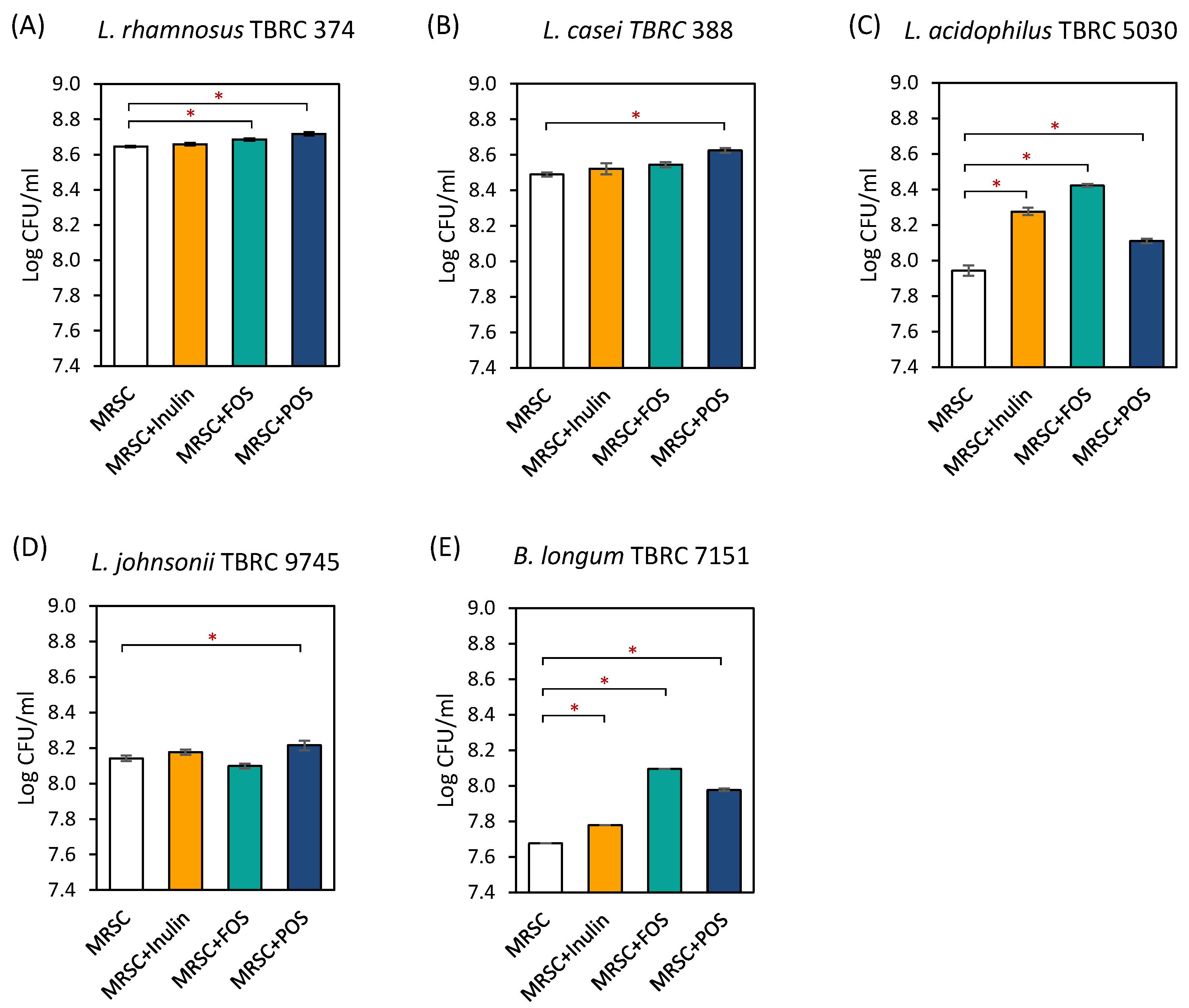
2.4. Prebiotic Properties of POS from Pomelo
2.5. Adhesion Ability of LAB and Bifidobacterial Strains to Caco-2 Cells in the Presence of Pomelo POS
3. Materials and Methods
3.1. Materials
3.2. Microorganisms and Growth Condition
3.3. Recombinant Enzyme Production
3.4. Enzyme Activity Assay
3.5. Enzyme Kinetic of EndoPG
3.6. Pomelo Pectin-Derived Oligosaccharides (POS) Production
3.7. Characterization of Pectin and Its Derived Oligosaccharides
3.7.1. Degree of Esterification (DE)
3.7.2. Molecular Weight (MW) Analysis
3.7.3. Short-Chain POS Analysis
3.8. Cytotoxicity of POS
3.8.1. Cell Culture
3.8.2. Cell Viability Assay
3.9. Effect of Pomelo POS on the Growth of Probiotics
3.10. Adhesion Ability to Caco-2 Cells
3.11. Statistical Analysis
4. Conclusions
Supplementary Materials
Author Contributions
Funding
Institutional Review Board Statement
Informed Consent Statement
Data Availability Statement
Acknowledgments
Conflicts of Interest
References
- Voragen, A.G.J.; Coenen, G.-J.; Verhoef, R.P.; Schols, H.A. Pectin, a versatile polysaccharide present in plant cell walls. Struct. Chem. 2009, 20, 263. [Google Scholar] [CrossRef]
- Ngouémazong, E.; Christiaens, S.; Shpigelman, A.; van Loey, A.; Hendrickx, M. The emulsifying and emulsion-stabilizing properties of pectin: A review. Compr. Rev. Food Sci. Food Saf. 2015, 14, 705–718. [Google Scholar] [CrossRef]
- Sayah, M.Y.; Chabir, R.; Benyahia, H.; Rodi Kandri, Y.; Ouazzani Chahdi, F.; Touzani, H.; Errachidi, F. Yield, Esterification degree and molecular weight evaluation of pectins isolated from orange and grapefruit peels under different conditions. PLoS ONE 2016, 11, e0161751. [Google Scholar] [CrossRef] [PubMed]
- Babbar, N.; Dejonghe, W.; Sforza, S.; Elst, K. Enzymatic pectic oligosaccharides (POS) production from sugar beet pulp using response surface methodology. J. Food Sci. Technol. 2017, 54, 3707–3715. [Google Scholar] [CrossRef] [PubMed]
- Methacanon, P.; Krongsin, J.; Gamonpilas, C. Pomelo (Citrus maxima) pectin: Effects of extraction parameters and its properties. Food Hydrocoll. 2014, 35, 383–391. [Google Scholar] [CrossRef]
- Wandee, Y.; Uttapap, D.; Mischnick, P. Yield and structural composition of pomelo peel pectins extracted under acidic and alkaline conditions. Food Hydrocoll. 2019, 87, 237–244. [Google Scholar] [CrossRef]
- Liu, Z.; Qiao, L.; Gu, H.; Yang, F.; Yang, L. Development of Brönsted acidic ionic liquid based microwave assisted method for simultaneous extraction of pectin and naringin from pomelo peels. Sep. Purif. Technol. 2017, 172, 326–337. [Google Scholar] [CrossRef]
- Liu, Z.; Qiao, L.; Yang, F.; Gu, H.; Yang, L. Brönsted acidic ionic liquid based ultrasound-microwave synergistic extraction of pectin from pomelo peels. Int. J. Biol. Macromol. 2017, 94, 309–318. [Google Scholar] [CrossRef]
- Míguez, B.; Gómez, B.; Gullón Estévez, P.; Gullón, B.; Alonso, J. [15] Pectic oligosaccharides and other emerging prebiotics. In Probiotics and Prebiotics in Human Nutrition and Health; Intech Open: London, UK, 2016; pp. 301–330. [Google Scholar]
- Prandi, B.; Baldassarre, S.; Babbar, N.; Bancalari, E.; Vandezande, P.; Hermans, D.; Bruggeman, G.; Gatti, M.; Elst, K.; Sforza, S. Pectin oligosaccharides from sugar beet pulp: Molecular characterization and potential prebiotic activity. Food Funct. 2018, 9, 1557–1569. [Google Scholar] [CrossRef]
- Zhang, S.; Hu, H.; Wang, L.; Liu, F.; Pan, S. Preparation and prebiotic potential of pectin oligosaccharides obtained from citrus peel pectin. Food Chem. 2018, 244, 232–237. [Google Scholar] [CrossRef]
- Wang, S.; Xiao, Y.; Tian, F.; Zhao, J.; Zhang, H.; Zhai, Q.; Chen, W. Rational use of prebiotics for gut microbiota alterations: Specific bacterial phylotypes and related mechanisms. J. Funct. Foods 2020, 66, 103838. [Google Scholar] [CrossRef]
- Gullón, B.; Gómez, B.; Martínez-Sabajanes, M.; Yáñez, R.; Parajó, J.C.; Alonso, J.L. Pectic oligosaccharides: Manufacture and functional properties. Trends Food Sci. Technol. 2013, 30, 153–161. [Google Scholar] [CrossRef]
- Singh, R.P.; Prakash, S.; Bhatia, R.; Negi, M.; Singh, J.; Bishnoi, M.; Kondepudi, K.K. Generation of structurally diverse pectin oligosaccharides having prebiotic attributes. Food Hydrocoll. 2020, 108, 105988. [Google Scholar] [CrossRef]
- Li, J.; Li, S.; Liu, S.; Wei, C.; Yan, L.; Ding, T.; Linhardt, R.J.; Liu, D.; Ye, X.; Chen, S. Pectic oligosaccharides hydrolyzed from citrus canning processing water by Fenton reaction and their antiproliferation potentials. Int. J. Biol. Macromol. 2019, 124, 1025–1032. [Google Scholar] [CrossRef] [PubMed]
- Yeung, Y.K.; Kang, Y.-R.; So, B.R.; Jung, S.K.; Chang, Y.H. Structural, antioxidant, prebiotic and anti-inflammatory properties of pectic oligosaccharides hydrolyzed from okra pectin by Fenton reaction. Food Hydrocoll. 2021, 118, 106779. [Google Scholar] [CrossRef]
- Alencar, J.C.G.d.; Pinto, G.T.d.S.; e Silva, K.F.C.; Santos, J.M.S.; Hubinger, M.D.; Bicas, J.L.; Maróstica, M.R., Jr.; Petkowicz, C.L.d.O.; Paulino, B.N. Pectin and pectic oligosaccharides (POS): Recent advances for extraction, production, and its prebiotic potential. Trends Food Sci. Technol. 2025, 155, 104808. [Google Scholar] [CrossRef]
- Ogutu, F.O.; Mu, T.-H. Ultrasonic degradation of sweet potato pectin and its antioxidant activity. Ultrason. Sonochemistry 2017, 38, 726–734. [Google Scholar] [CrossRef] [PubMed]
- Mao, Y.; Robinson, J.P.; Binner, E.R. Current status of microwave-assisted extraction of pectin. Chem. Eng. J. 2023, 473, 145261. [Google Scholar] [CrossRef]
- Pereira, D.T.V.; Méndez-Albiñana, P.; Mendiola, J.A.; Villamiel, M.; Cifuentes, A.; Martínez, J.; Ibáñez, E. An eco-friendly extraction method to obtain pectin from passion fruit rinds (Passiflora edulis sp.) using subcritical water and pressurized natural deep eutectic solvents. Carbohydr. Polym. 2024, 326, 121578. [Google Scholar] [CrossRef]
- Chen, J.; Liang, R.-h.; Liu, W.; Li, T.; Liu, C.-m.; Wu, S.-s.; Wang, Z.-j. Pectic-oligosaccharides prepared by dynamic high-pressure microfluidization and their in vitro fermentation properties. Carbohydr. Polym. 2013, 91, 175–182. [Google Scholar] [CrossRef]
- Thikham, S.; Tongdonyod, S.; Kantala, C.; Therdtatha, P.; Klangpetch, W. Enhancing enzymatic production efficiency of crude pectic oligosaccharides by pulsed electric field and study of prebiotic potential. J. Food Sci. Technol. 2024, 61, 320–330. [Google Scholar] [CrossRef]
- Combo, A.M.M.; Aguedo, M.; Goffin, D.; Wathelet, B.; Paquot, M. Enzymatic production of pectic oligosaccharides from polygalacturonic acid with commercial pectinase preparations. Food Bioprod. Process. 2012, 90, 588–596. [Google Scholar] [CrossRef]
- Yüksel, E.; Kort, R.; Voragen, A.G.J. Structure and degradation dynamics of dietary pectin. Crit. Rev. Food Sci. Nutr. 2025, 65, 6249–6268. [Google Scholar] [CrossRef] [PubMed]
- Wormit, A.; Usadel, B. The multifaceted role of pectin methylesterase inhibitors (PMEIs). Int. J. Mol. Sci. 2018, 19, 2878. [Google Scholar] [CrossRef] [PubMed]
- Gamonpilas, C.; Buathongjan, C.; Sangwan, W.; Rattanaprasert, M.; Weizman, K.C.; Klomtun, M.; Phonsatta, N.; Methacanon, P. Production of low molecular weight pectins via electron beam irradiation and their potential prebiotic functionality. Food Hydrocoll. 2021, 113, 106551. [Google Scholar] [CrossRef]
- Bunterngsook, B.; Laothanachareon, T.; Natrchalayuth, S.; Lertphanich, S.; Fujii, T.; Inoue, H.; Youngthong, C.; Chantasingh, D.; Eurwilaichitr, L.; Champreda, V. Optimization of a minimal synergistic enzyme system for hydrolysis of raw cassava pulp. RSC Adv. 2017, 7, 48444–48453. [Google Scholar] [CrossRef]
- Laothanachareon, T.; Bunterngsook, B.; Suwannarangsee, S.; Eurwilaichitr, L.; Champreda, V. Synergistic action of recombinant accessory hemicellulolytic and pectinolytic enzymes to Trichoderma reesei cellulase on rice straw degradation. Bioresour. Technol. 2015, 198, 682–690. [Google Scholar] [CrossRef]
- Hao, M.J.; Wu, D.; Xu, Y.; Tao, X.M.; Li, N.; Yu, X.W. A novel endo-polygalacturonase from Penicillium rolfsii with prebiotics production potential: Cloning, characterization and application. Foods 2022, 11, 3469. [Google Scholar] [CrossRef]
- Xu, H.; Zhang, P.; Zhang, Y.; Liu, Z.; Zhang, X.; Li, Z.; Li, J.J.; Du, Y. Overexpression and biochemical characterization of an endo-α-1,4-polygalacturonase from Aspergillus nidulans in Pichia pastoris. Int. J. Mol. Sci. 2020, 21, 2100. [Google Scholar] [CrossRef]
- Wang, J.; Zhang, Y.; Qin, X.; Gao, L.; Han, B.; Zhang, D.; Li, J.; Huang, H.; Zhang, W. Efficient expression of an acidic endo-polygalacturonase from Aspergillus niger and its application in juice production. J. Agric. Food Chem. 2017, 65, 2730–2736. [Google Scholar] [CrossRef]
- Sabater, C.; Blanco-Doval, A.; Montilla, A.; Corzo, N. Optimisation of an enzymatic method to obtain modified artichoke pectin and pectic oligosaccharides using artificial neural network tools. In silico and in vitro assessment of the antioxidant activity. Food Hydrocoll. 2021, 110, 106161. [Google Scholar] [CrossRef]
- Gómez, B.; Yáñez, R.; Parajó, J.; Alonso, J. Pectin-derived oligosaccharides production from lemon peels by extraction, enzymatic hydrolysis and membrane filtration. J. Chem. Technol. Biotechnol. 2014, 91, 234–247. [Google Scholar] [CrossRef]
- Li, L.; Li, Z.; Balle, T.; Liu, G.; Guo, Z. Biosynthesis of pectic oligosaccharide-based amphiphiles as novel stabilizers of nanoemulsions by coupling enzymatic depolymerization with alkyl/alkenyl succinylation. Food Hydrocoll. 2023, 139, 108574. [Google Scholar] [CrossRef]
- Prabhudev, H.; Sneharani, A.H. Extraction and characterization of pectin methylesterase from muskmelon biowaste for pectin remodeling. J. Food Biochem. 2020, 44, e13237. [Google Scholar] [CrossRef]
- Kotnala, B.; Shashirekha, M.N.; Vasu, P. Purification and characterization of a salt-dependent pectin methylesterase from Carica papaya fruit mesocarp-exocarp tissue. J. Food Sci. 2018, 83, 2062–2070. [Google Scholar] [CrossRef] [PubMed]
- Kim, Y.; Cameron, R.G.; Williams, M.A.K.; Lee, C.J. Charged functional domains introduced into a modified pectic homogalacturonan by a mixture of pectin methylesterases isozymes from sweet orange (Citrus sinensis L. Osbeck var. Pineapple). Food Hydrocoll. 2019, 96, 589–595. [Google Scholar] [CrossRef]
- ISO10993-5:2009; Biological Evaluation of Medical Devices—Part 5: Tests for In Vitro Cytotoxicity. International Organization for Standardization: Geneva, Switzerland, 2009.
- del Amo-Mateos, E.; Pérez, R.; Merino, A.; Lucas, S.; García-Cubero, M.T.; Coca, M. Rhamnogalacturonan–I pectin and derived oligosaccharides obtained from sugar beet pulp and discarded red beetroot: Characterization and comparative study of their antioxidant and prebiotic properties. Food Hydrocoll. 2024, 152, 109955. [Google Scholar] [CrossRef]
- Álvarez, C.; González, A.; Ballesteros, I.; Gullón, B.; Negro, M.J. In vitro assessment of the prebiotic potential of xylooligosaccharides from barley straw. Foods 2022, 12, 83. [Google Scholar] [CrossRef]
- Lu, X.; Zhao, C.; Liu, D.; Hu, M.; Cui, J.; Wang, F.; Zeng, L.; Zheng, J. A novel prebiotic enzymatic hydrolysate of citrus pectin during juice processing. Food Hydrocoll. 2024, 146, 109198. [Google Scholar] [CrossRef]
- Tian, L.; Bruggeman, G.; van den Berg, M.; Borewicz, K.; Scheurink, A.J.; Bruininx, E.; de Vos, P.; Smidt, H.; Schols, H.A.; Gruppen, H. Effects of pectin on fermentation characteristics, carbohydrate utilization, and microbial community composition in the gastrointestinal tract of weaning pigs. Mol. Nutr. Food Res. 2017, 61, 1600186. [Google Scholar] [CrossRef]
- Yang, Z.; Tan, D.; Chen, W.; Hu, J.; Huang, R.; Wu, X.; Georgiev, M.I.; Bai, W.; Tian, L. Fermentation characteristics and prebiotic potential of enzymatically synthesized butyryl-fructooligosaccharides. Carbohydr. Polym. 2024, 324, 121486. [Google Scholar] [CrossRef]
- Chung, W.S.F.; Meijerink, M.; Zeuner, B.; Holck, J.; Louis, P.; Meyer, A.S.; Wells, J.M.; Flint, H.J.; Duncan, S.H. Prebiotic potential of pectin and pectic oligosaccharides to promote anti-inflammatory commensal bacteria in the human colon. FEMS Microbiol Ecol. 2017, 93, fix127. [Google Scholar] [CrossRef] [PubMed]
- Chung, W.S.F.; Walker, A.W.; Louis, P.; Parkhill, J.; Vermeiren, J.; Bosscher, D.; Duncan, S.H.; Flint, H.J. Modulation of the human gut microbiota by dietary fibres occurs at the species level. BMC Biol. 2016, 14, 3. [Google Scholar] [CrossRef]
- Gorreja, F.; Walker, W.A. The potential role of adherence factors in probiotic function in the gastrointestinal tract of adults and pediatrics: A narrative review of experimental and human studies. Gut Microbes 2022, 14, 2149214. [Google Scholar] [CrossRef]
- Amorim, C.; Silvério, S.C.; Cardoso, B.B.; Alves, J.I.; Pereira, M.A.; Rodrigues, L.R. In vitro assessment of prebiotic properties of xylooligosaccharides produced by Bacillus subtilis 3610. Carbohydr. Polym. 2020, 229, 115460. [Google Scholar] [CrossRef]
- Fu, Y.-P.; Li, L.-X.; Zhang, B.-Z.; Paulsen, B.S.; Yin, Z.-Q.; Huang, C.; Feng, B.; Chen, X.-F.; Jia, R.-R.; Song, X.; et al. Characterization and prebiotic activity in vitro of inulin-type fructan from Codonopsis pilosula roots. Carbohydr. Polym. 2018, 193, 212–220. [Google Scholar] [CrossRef] [PubMed]
- Zeybek, N.; Rastall, R.A.; Buyukkileci, A.O. Utilization of xylan-type polysaccharides in co-culture fermentations of Bifidobacterium and Bacteroides species. Carbohydr. Polym. 2020, 236, 116076. [Google Scholar] [CrossRef]
- Cai, G.; Wu, D.; Li, X.; Lu, J. Levan from Bacillus amyloliquefaciens JN4 acts as a prebiotic for enhancing the intestinal adhesion capacity of Lactobacillus reuteri JN101. Int. J. Biol. Macromol. 2020, 146, 482–487. [Google Scholar] [CrossRef] [PubMed]
- Zhang, G.; Zhao, J.; Wen, R.; Zhu, X.; Liu, L.; Li, C. 2′-Fucosyllactose promotes Bifidobacterium bifidum DNG6 adhesion to Caco-2 cells. J. Dairy Sci. 2020, 103, 9825–9834. [Google Scholar] [CrossRef]
- Miller, G.L. Use of dinitrosalicylic acid reagent for determination of reducing sugar. Anal. Chem. 1959, 31, 426–428. [Google Scholar] [CrossRef]
- Kertesz, Z.I. [18] Pectic enzymes. In Methods in Enzymology; Academic Press: New York, NY, USA, 1955; Volume 1, pp. 158–166. [Google Scholar]
- Houghton, P.; Fang, R.; Techatanawat, I.; Steventon, G.; Hylands, P.J.; Lee, C.C. The sulphorhodamine (SRB) assay and other approaches to testing plant extracts and derived compounds for activities related to reputed anticancer activity. Methods 2007, 42, 377–387. [Google Scholar] [CrossRef] [PubMed]
- Jacobsen, C.N.; Rosenfeldt Nielsen, V.; Hayford, A.E.; Møller, P.L.; Michaelsen, K.F.; Paerregaard, A.; Sandström, B.; Tvede, M.; Jakobsen, M. Screening of probiotic activities of forty-seven strains of Lactobacillus spp. by in vitro techniques and evaluation of the colonization ability of five selected strains in humans. Appl. Env. Microbiol. 1999, 65, 4949–4956. [Google Scholar] [CrossRef] [PubMed]






| Enzyme Activity | Substrate | Activity (μmol/min·mg Protein) | |
|---|---|---|---|
| EndoPG | PET11 | ||
| Pectin methylesterase (EC 3.1.1.11) | Pectin from pomelo albedo | 0.89 ± 0.25 | 1.02 ± 0.15 |
| Pectin from citrus peel | 0.63 ± 0.34 | 1.95 ± 0.55 | |
| Endopolygalacturonase (EC 3.2.1.15) | Pectin from pomelo albedo | 74,428.19 ± 4820.36 | 1.30 ± 0.11 |
| Pectin from citrus peel | 101,607.36 ± 12,254.41 | 0.00 ± 0.00 | |
| Substrate | %DE | MW (kDa) | DP | Activity (µmol/min·mg Protein) | Vmax (μmol/min) | Km (mg/mL) | kcat (s−1) | kcat/Km (mL/mg·s) |
|---|---|---|---|---|---|---|---|---|
| Polygalacturonic acid | 0.00 | 85 | 483 | 169,089.8 | 66.99 | 0.86 | 165,718.1 | 191,803.4 |
| Low esterified pectin | 44.45 | 51 | 290 | 151,308.3 | 39.78 | 0.78 | 98,409.1 | 126,489.9 |
| High esterified pectin | 83.20 | 282 | 1602 | 135,909.1 | 45.54 | 3.75 | 112,674.0 | 30,022.4 |
| Citrus pectin | 85.62 | 288 | 1636 | 101,607.4 | 71.68 | 3.87 | 177,340.8 | 45,824.5 |
| Pomelo pectin | 64.72 | 313 | 1778 | 74,428.2 | 51.29 | 3.55 | 124,284.9 | 34,993.1 |
| Enzyme Dosage of EndoPG:PET11 (mg/g Substrate) | MW (kDa) | Relative Abundant (%) | Relative Abundant of POS (%) |
|---|---|---|---|
| 20:0 | 79 | 44 | |
| 1.5 * | 14 | ||
| 0.8 * | 42 | 56 | |
| 15:5 | 61 | 3 | |
| 0.8 * | 97 | 97 | |
| 10:10 | 63 | 3 | |
| 0.8 * | 97 | 97 | |
| 5:15 | 69 | 3 | |
| 0.8 * | 97 | 97 | |
| 0:20 | 50 | 21 | |
| 7 * | 18 | ||
| 1 * | 59 | 77 |
| Factor | Coefficient | SE | T-Value | p-Value |
|---|---|---|---|---|
| EndoPG | 227.38 | 46.98 | * | * |
| PET11 | 83.47 | 46.98 | * | * |
| EndoPG × PET11 | 2041.18 | 213.45 | 9.56 | 0.000 |
| R2 = 88.95% | ||||
Disclaimer/Publisher’s Note: The statements, opinions and data contained in all publications are solely those of the individual author(s) and contributor(s) and not of MDPI and/or the editor(s). MDPI and/or the editor(s) disclaim responsibility for any injury to people or property resulting from any ideas, methods, instructions or products referred to in the content. |
© 2026 by the authors. Licensee MDPI, Basel, Switzerland. This article is an open access article distributed under the terms and conditions of the Creative Commons Attribution (CC BY) license.
Share and Cite
Aiewviriyasakul, K.; Surarit, W.; Methacanon, P.; Lekakarn, H.; Buathongjan, C.; Gamonpilas, C.; Sritusnee, W.; Laothanachareon, T.; Chantasingh, D.; Champreda, V.; et al. Fungal Pectinolytic Enzyme System for the Production of Long- and Short-Chain Pectin-Derived Oligosaccharides (POS) from Pomelo Albedo and Their Prebiotic Potential. Catalysts 2026, 16, 85. https://doi.org/10.3390/catal16010085
Aiewviriyasakul K, Surarit W, Methacanon P, Lekakarn H, Buathongjan C, Gamonpilas C, Sritusnee W, Laothanachareon T, Chantasingh D, Champreda V, et al. Fungal Pectinolytic Enzyme System for the Production of Long- and Short-Chain Pectin-Derived Oligosaccharides (POS) from Pomelo Albedo and Their Prebiotic Potential. Catalysts. 2026; 16(1):85. https://doi.org/10.3390/catal16010085
Chicago/Turabian StyleAiewviriyasakul, Katesuda, Worawat Surarit, Pawadee Methacanon, Hataikarn Lekakarn, Chonchanok Buathongjan, Chaiwut Gamonpilas, Wipawee Sritusnee, Thanaporn Laothanachareon, Duriya Chantasingh, Verawat Champreda, and et al. 2026. "Fungal Pectinolytic Enzyme System for the Production of Long- and Short-Chain Pectin-Derived Oligosaccharides (POS) from Pomelo Albedo and Their Prebiotic Potential" Catalysts 16, no. 1: 85. https://doi.org/10.3390/catal16010085
APA StyleAiewviriyasakul, K., Surarit, W., Methacanon, P., Lekakarn, H., Buathongjan, C., Gamonpilas, C., Sritusnee, W., Laothanachareon, T., Chantasingh, D., Champreda, V., & Bunterngsook, B. (2026). Fungal Pectinolytic Enzyme System for the Production of Long- and Short-Chain Pectin-Derived Oligosaccharides (POS) from Pomelo Albedo and Their Prebiotic Potential. Catalysts, 16(1), 85. https://doi.org/10.3390/catal16010085

