N-Heterocyclic Carbene-Catalyzed Aerobic Oxidation of Aromatic Aldehydes into Carboxylic Acids: A Critical Review
Abstract
1. Introduction
2. NHCs as Catalysts for Transformation of Aldehydes
2.1. Products from NHC-Mediated Carbonyl Umpolung
2.2. Products from Oxidation of Breslow Intermediate
2.2.1. Oxidative NHC Catalysis
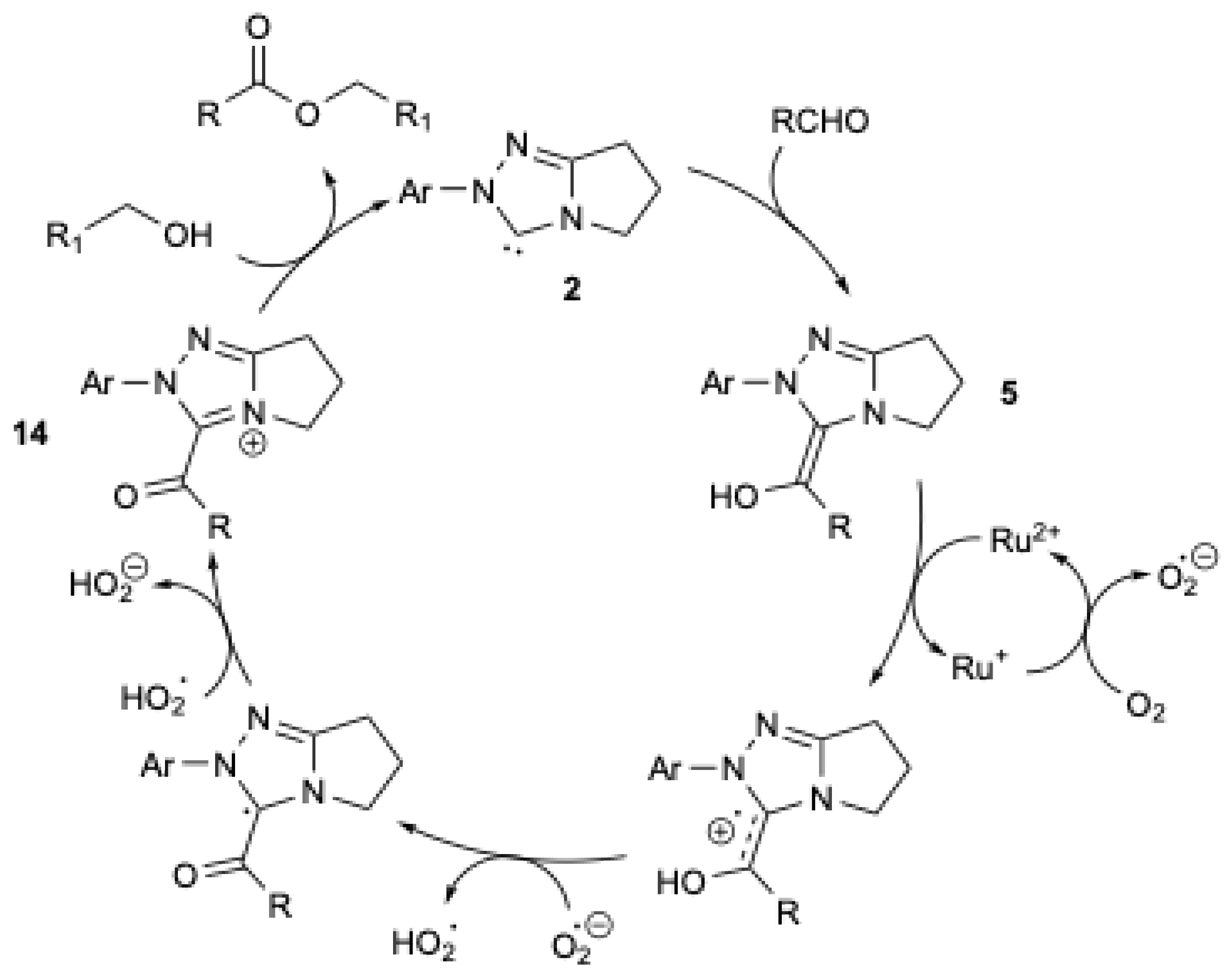
2.2.2. Oxygenative NHC Catalysis
3. Oxidation of Aromatic Aldehydes into Carboxylic Acids Using an Oxygenative NHC-Catalytic Cycle

![]()  | ||||||||||
|---|---|---|---|---|---|---|---|---|---|---|
| Entry | Conc. (mol/L)  | Precur. Salt (a) | Base | Oxidant | Solvent(s) | Temp. (°C)  | Time (h)  | Yield (%)  | Prod. (b) (mM L−1 h−1)  | Ref. | 
| 1 | 0.34 | 5 mol% | BDU (2 eq.) | air | DMF/H2O | r. t. | 24 | 10 (b) | 1.43 | [6] | 
| 2 | 0.10 | 5 mol% | K2CO3 (2 eq.) | air | DMSO/1 eq. H2O | 60 °C | 40 | 57 | 1.43 | [7] | 
| 3 | 0.20 | 20 mol% | DBU (0.4 eq.) | air | CH3CN | 80 °C | 14 | 65 | 9.29 | [36] | 
| 4 | 0.20 | 5 mol% | K2CO3 (80 eq.) | air | DMSO/1 eq. H2O | 60 °C | 36 | 91 | 5.06 | [46] | 
| 5 | 0.25 | 2.5 mol% | TBD (1.2 eq.) | air | CH3CN | r. t. | 24 | 92 | 115.00 | [38] | 
| 6 | 0.40 | 15 mol% | DBU (7.3 eq.) | air | THF/H2O (10/1) | r. t. | 24 | 95 | 15.83 | [47] | 
| 7 | 1.00 | 2 mol% | DBU (1.1 eq.) | O2 | CH3CN /2 eq. H2O | r. t. | 4 | 97 | 48.50 | [48] | 
| 8 | 0.17 | 5 mol% | DABCO (10 eq.) | O2 | THF | r. t. | 16 | 92 | 1.92 | [49] | 
| 9 | 0.17 | 5 mol% | DABCO (10 eq.) | air | THF | r. t. | 16 | 76 | 7.92 | [49] | 
| 10 | 1.00 | 0.2 mol% (c) | K2CO3 (0.25 eq.) | air | H2O | 80 °C | 12 (d) | 96 | 80.00 | [51] | 
| 11 | 0.33 | 1 mol% | K3PO4 (4 eq.) | air (e) | H2O | 80 °C | 24 | 92 | 12.78 | [53] | 
| 12 | 1.00 | 10 mol% | DBU (1.2 eq.) | O2 | THF | 25 °C | 16 | 40 (f) | 5.00 | [54] | 
| Entry | Conc. (mol/L)  | Catalyst | Activation Additive  | Oxidant | Solvent | Temp. | Time (h)  | Yield (%)  | Prod. (a) (mM L−1 h−1)  | Ref. | 
|---|---|---|---|---|---|---|---|---|---|---|
| 1 | 0.33 | ∅ | ∅ | air | H2O | r.t. | 12 h | 83% | 23.05 | [55] | 
| 2 | 0.33 | ∅ | ∅ | O2 | H2O | r.t. | 2 h | 81% | 27.67 | [55] | 
| 3 | 0.05 | ∅ | ∅ | O2 | H2O | 37 °C | 24 h | 90% | 0.07 | [56] | 
| 4 | 0.01 | ∅ | ∅ | O2 | H2O | 37 °C | 24 h | 99% | 0.02 | [56] | 
| 5 | 0.025 | ∅ | 365 nm LED | O2 | H2O | r.t. | 30 h | 86% | 0.14 | [57] | 
| 6 | 0.2 | CF3SO2Na 25 mol%  | 400 nm LED | O2 | CH3CN | r.t. | 12 h | 95% | 3.17 | [58] | 
| 7 | 0.3 | ∅ | 370 nm LED | air | Acetone/10%H2O | r.t. | 7 h | 87% | 37.66 | [59] | 
| 8 | 0.75 | FeIIIMo6 0.1 mol% | Na2CO3 0.1 eq. | O2 | H2O | 70 °C | 8 h | 96% | 18.00 | [60] | 
| 9 | 0.1 | [Cu(acac)2]SIMes 10 mol%  | NaOH 1 eq. | O2 | H2O | 50 °C | 12 h | 99% | 1.65 | [61] | 
4. Other Metal-Free Aerobic Oxidation of Aromatic Aldehydes into Carboxylic Acids
5. Conclusions
Funding
Acknowledgments
Conflicts of Interest
Abbreviations
| acac | Acetylacetonate | 
| bpz | 2,2′-bipyrazine | 
| DBU | 1,8-Diazabicyclo [5.4.0]undec-7-ene | 
| DPQ | 3,3′,5,5′-tetra-tert-butyldiphenoquinone | 
| LED | light-emitting diode | 
| SIMes | 1,3-Bis(2,4,6-trimethylphenyl)-4,5-dihydroimidazol-2-ylidene | 
| PIDA | phenyliodine(III) diacetate | 
| TBD | Triazabicyclodecene (1,5,7-triazabicyclo [4.4.0]dec-5-ene) | 
| TEMPO | (2,2,6,6-tetramethylpiperidin-1-yl)oxidanyl | 
References
- Hopkinson, M.N.; Richter, C.; Schedler, M.; Glorius, F. An Overview of N-Heterocyclic Carbenes. Nature 2014, 510, 485–496. [Google Scholar] [CrossRef] [PubMed]
 - Flanigan, D.M.; Romanov-Michailidis, F.; White, N.A.; Rovis, T. Organocatalytic Reactions Enabled by N-Heterocyclic Carbenes. Chem. Rev. 2015, 115, 9307–9387. [Google Scholar] [CrossRef] [PubMed]
 - Dzieszkowski, K.; Rafiński, Z. N-Heterocyclic Carbene Catalysis Under Oxidizing Conditions. Catalysts 2018, 8, 549. [Google Scholar] [CrossRef]
 - Liu, K.; Schwenzer, M.; Studer, A. Radical NHC Catalysis. ACS Catal. 2022, 12, 11984–11999. [Google Scholar] [CrossRef]
 - Chakraborty, S.; Barik, S.; Biju, A.T. N-Heterocyclic Carbene (NHC) Organocatalysis: From Fundamentals to Frontiers. Chem. Soc. Rev. 2025, 54, 1102–1124. [Google Scholar] [CrossRef]
 - Yoshida, M.; Katagiri, Y.; Zhu, W.B.; Shishido, K. Oxidative Carboxylation of Arylaldehydes with Water by a Sulfoxylalkyl-Substituted N-Heterocyclic Carbene Catalyst. Org. Biomol. Chem. 2009, 7, 4062–4066. [Google Scholar] [CrossRef]
 - Chiang, P.-C.; Bode, J.W. On the Role of CO2 in NHC-Catalyzed Oxidation of Aldehydes. Org. Lett. 2011, 13, 2422–2425. [Google Scholar] [CrossRef]
 - Ren, X.; Yuan, Y.; Ju, Y.; Wang, H. Oxidation Ability of CO2 for the Transformation of Cinnamic Aldehydes to Acids Catalyzed by N-Heterocyclic Carbene: Combining Computational and Experimental Studies. ChemCatChem 2012, 4, 1943–1951. [Google Scholar] [CrossRef]
 - Favre-Réguillon, A. Comment on “CO2 as Oxidant: An Unusual Light-Assisted Catalyst Free Oxidation of Aldehydes to Acids Under Mild Conditions” by S. R. Khan, S. Saini, K. Naresh, A. Kumari, V. Aniya, P.K. Khatri, A. Ray and S. L. Jain, Chem. Commun., 2022, 58, 2208. Chem. Commun. 2023, 59, 14033–14035. [Google Scholar] [CrossRef]
 - Knappke, C.E.I.; Imami, A.; Jacobi von Wangelin, A. Oxidative N-Heterocyclic Carbene Catalysis. ChemCatChem 2012, 4, 937–941. [Google Scholar] [CrossRef]
 - Menon, R.S.; Biju, A.T.; Nair, V. Recent Advances in N-Heterocyclic Carbene (NHC)-Catalysed Benzoin Reactions. Beilstein J. Org. Chem. 2016, 12, 444–461. [Google Scholar] [CrossRef] [PubMed]
 - Breslow, R. On the Mechanism of Thiamine Action. IV. Evidence from Studies on Model Systems. J. Am. Chem. Soc. 1958, 80, 3719–3726. [Google Scholar] [CrossRef]
 - Gaggero, N.; Pandini, S. Advances in Chemoselective Intermolecular Cross-Benzoin-Type Condensation Reactions. Org. Biomol. Chem. 2017, 15, 6867–6887. [Google Scholar] [CrossRef] [PubMed]
 - Li, G.-Q.; Dai, L.-X.; You, S.-L. Thiazolium-Derived N-Heterocyclic Carbene-Catalyzed Cross-Coupling of Aldehydes with Unactivated Imines. Chem. Commun. 2007, 852–854. [Google Scholar] [CrossRef]
 - Stetter, H. Catalyzed Addition of Aldehydes to Activated Double Bonds—A New Synthetic Approach. Angew. Chem. Int. Ed. Engl. 1976, 15, 639–647. [Google Scholar] [CrossRef]
 - Heravi, M.M.; Zadsirjan, V.; Kafshdarzadeh, K.; Amiri, Z. Recent Advances in Stetter Reaction and Related Chemistry: An Update. Asian J. Org. Chem. 2020, 9, 1999–2034. [Google Scholar] [CrossRef]
 - Nair, V.; Vellalath, S.; Babu, B.P. Recent Advances in Carbon–Carbon Bond-Forming Reactions Involving Homoenolates Generated by NHC Catalysis. Chem. Soc. Rev. 2008, 37, 2691–2698. [Google Scholar] [CrossRef]
 - Lin, L.; Li, Y.; Du, W.; Deng, W.-P. The NHCs-Mediated Cross-Coupling of Aromatic Aldehydes with Benzyl Halides: Synthesis of α-Aryl Ketones. Tetrahedron Lett. 2010, 51, 3571–3574. [Google Scholar] [CrossRef]
 - Padmanaban, M.; Biju, A.T.; Glorius, F. N-Heterocyclic Carbene-Catalyzed Cross-Coupling of Aromatic Aldehydes with Activated Alkyl Halides. Org. Lett. 2011, 13, 98–101. [Google Scholar] [CrossRef]
 - Maji, B.; Vedachalan, S.; Ge, X.; Cai, S.; Liu, X.-W. N-Heterocyclic Carbene-Mediated Oxidative Esterification of Aldehydes: Ester Formation and Mechanistic Studies. J. Org. Chem. 2011, 76, 3016–3023. [Google Scholar] [CrossRef]
 - Liu, C.; Zhang, Z.; Zhao, L.; Bertrand, G.; Yan, X. Mesoionic Carbene-Catalyzed Formyl Alkylation of Aldehydes. Angew. Chem. Int. Ed. 2023, 62, e202303478. [Google Scholar] [CrossRef] [PubMed]
 - Stenkvist, S.; Bacaicoa, S.; Goossens, E.; Sunden, H. Aerobic Oxidative N-Heterocyclic Carbene Catalysis. Chem. Rec. 2023, 23, e202300091. [Google Scholar] [CrossRef]
 - De Risi, C.; Brandolese, A.; Di Carmine, G.; Ragno, D.; Massi, A.; Bortolini, O. Oxidative N-Heterocyclic Carbene Catalysis. Chem.- Eur. J. 2023, 29, e202202467. [Google Scholar] [CrossRef]
 - Yamaoka, Y.; Miyabe, H. NHC-Catalyzed Reaction of Aldehydes for C(Sp2)–O Bond Formation. Catalysts 2024, 14, 219. [Google Scholar] [CrossRef]
 - Bortolini, O.; Chiappe, C.; Fogagnolo, M.; Giovannini, P.P.; Massi, A.; Pomelli, C.S.; Ragno, D. An Insight into the Mechanism of the Aerobic Oxidation of Aldehydes Catalyzed by N-Heterocyclic Carbenes. Chem. Commun. 2014, 50, 2008–2011. [Google Scholar] [CrossRef]
 - Bortolini, O.; Chiappe, C.; Fogagnolo, M.; Massi, A.; Pomelli, C.S. Formation, Oxidation, and Fate of the Breslow Intermediate in the N-Heterocyclic Carbene-Catalyzed Aerobic Oxidation of Aldehydes. J. Org. Chem. 2017, 82, 302–312. [Google Scholar] [CrossRef]
 - Castells, J.; Pujol, F.; Llitjós, H.; Moreno-Mañas, M. Oxidative Benzoin Reactions. Tetrahedron 1982, 38, 337–346. [Google Scholar] [CrossRef]
 - Noonan, C.; Baragwanath, L.; Connon, S.J. Nucleophilic Carbene-Catalysed Oxidative Esterification Reactions. Tetrahedron Lett. 2008, 49, 4003–4006. [Google Scholar] [CrossRef]
 - De Sarkar, S.; Grimme, S.; Studer, A. NHC Catalyzed Oxidations of Aldehydes to Esters: Chemoselective Acylation of Alcohols in Presence of Amines. J. Am. Chem. Soc. 2010, 132, 1190–1191. [Google Scholar] [CrossRef]
 - Samanta, R.C.; Studer, A. N-Heterocyclic Carbene Catalysed Oxidative Esterification of Aliphatic Aldehydes. Org. Chem. Front. 2014, 1, 936–939. [Google Scholar] [CrossRef]
 - Harnying, W.; Sudkaow, P.; Biswas, A.; Berkessel, A. N-Heterocyclic Carbene/Carboxylic Acid Co-Catalysis Enables Oxidative Esterification of Demanding Aldehydes/Enals, at Low Catalyst Loading. Angew. Chem. Int. Ed. 2021, 60, 19631–19636. [Google Scholar] [CrossRef]
 - Chen, X.-Y.; Zhang, C.-S.; Yi, L.; Gao, Z.-H.; Wang, Z.-X.; Ye, S. Intramolecular α-Oxygenation of Amines via N-Heterocyclic Carbene-Catalyzed Domino Reaction of Aryl Aldehyde: Experiment and DFT Calculation. CCS Chem. 2019, 1, 343–351. [Google Scholar] [CrossRef]
 - Guin, J.; De Sarkar, S.; Grimme, S.; Studer, A. Biomimetic Carbene-Catalyzed Oxidations of Aldehydes Using TEMPO. Angew. Chem. Int. Ed. 2008, 47, 8727–8730. [Google Scholar] [CrossRef] [PubMed]
 - Goswami, S.; Hazra, A. One-Step Direct Conversion of Heterocyclic Aldehydes to Esters. Chem. Lett. 2009, 38, 484–485. [Google Scholar] [CrossRef]
 - Kiran, I.N.C.; Lalwani, K.; Sudalai, A. N-Heterocyclic Carbene Catalyzed Esterification of Aromatic Aldehydes with Alcohols Under Aerobic Conditions. RSC Adv. 2013, 3, 1695–1698. [Google Scholar] [CrossRef]
 - Park, J.H.; Bhilare, S.V.; Youn, S.W. NHC-Catalyzed Oxidative Cyclization Reactions of 2-Alkynylbenzaldehydes Under Aerobic Conditions: Synthesis of O-Heterocycles. Org. Lett. 2011, 13, 2228–2231. [Google Scholar] [CrossRef]
 - Rose, C.A.; Zeitler, K. Efficient Catalytic, Oxidative Lactonization for the Synthesis of Benzodioxepinones Using Thiazolium-Derived Carbene Catalysts. Org. Lett. 2010, 12, 4552–4555. [Google Scholar] [CrossRef]
 - Zhao, J.; Mück-Lichtenfeld, C.; Studer, A. Cooperative N-Heterocyclic Carbene (NHC) and Ruthenium Redox Catalysis: Oxidative Esterification of Aldehydes with Air as the Terminal Oxidant. Adv. Synth. Catal. 2013, 355, 1098–1106. [Google Scholar] [CrossRef]
 - Delany, E.G.; Fagan, C.-L.; Gundala, S.; Mari, A.; Broja, T.; Zeitler, K.; Connon, S.J. NHC-Catalysed Aerobic Aldehyde-Esterifications with Alcohols: No Additives or Cocatalysts Required. Chem. Commun. 2013, 49, 6510–6512. [Google Scholar] [CrossRef]
 - Xin, Y.-C.; Shi, S.-H.; Xie, D.-D.; Hui, X.-P.; Xu, P.-F. N-Heterocyclic Carbene-Catalyzed Oxidative Esterification Reaction of Aldehydes with Alkyl Halides Under Aerobic Conditions. Eur. J. Org. Chem. 2011, 2011, 6527–6531. [Google Scholar] [CrossRef]
 - Arde, P.; Ramanjaneyulu, B.T.; Reddy, V.; Saxena, A.; Anand, R.V. N-Heterocyclic Carbene Catalysed Aerobic Oxidation of Aromatic Aldehydes to Aryl Esters Using Boronic Acids. Org. Biomol. Chem. 2012, 10, 848–851. [Google Scholar] [CrossRef]
 - Castells, J.; Llitjos, H.; Moreno-Mañas, M. Nitrobenzene Aldehyde Oxidations Catalyzed by the Conjugate Bases of Thiazolium Ions. Tetrahedron Lett. 1977, 18, 205–206. [Google Scholar] [CrossRef]
 - Gu, L.; Zhang, Y. Unexpected CO2 Splitting Reactions To Form CO with N-Heterocyclic Carbenes as Organocatalysts and Aromatic Aldehydes as Oxygen Acceptors. J. Am. Chem. Soc. 2010, 132, 914–915. [Google Scholar] [CrossRef] [PubMed]
 - Nair, V.; Varghese, V.; Paul, R.R.; Jose, A.; Sinu, C.R.; Menon, R.S. NHC Catalyzed Transformation of Aromatic Aldehydes to Acids by Carbon Dioxide: An Unexpected Reaction. Org. Lett. 2010, 12, 2653–2655. [Google Scholar] [CrossRef] [PubMed]
 - Jiang, Z.; Xiao, T.; Kuznetsov, V.L.; Edwards, P.P. Turning Carbon Dioxide into Fuel. Philos. Trans. R. Soc. Math. Phys. Eng. Sci. 2010, 368, 3343–3364. [Google Scholar] [CrossRef] [PubMed]
 - Yang, W.; Gou, G.-Z.; Wang, Y.; Fu, W.-F. Abnormal Bis-NHC Mediated Aerial Oxidation of Arylaldehydes: Highly Efficient Transformation of Arylaldehydes to the Corresponding Carboxylic Acids Catalyzed by Organic Catalysts. RSC Adv. 2013, 3, 6334–6338. [Google Scholar] [CrossRef]
 - Delany, E.G.; Fagan, C.L.; Gundala, S.; Zeitler, K.; Connon, S.J. Aerobic Oxidation of NHC-Catalysed Aldehyde Esterifications with Alcohols: Benzoin, Not the Breslow Intermediate, Undergoes Oxidation. Chem. Commun. 2013, 49, 6513–6515. [Google Scholar] [CrossRef]
 - Möhlmann, L.; Ludwig, S.; Blechert, S. NHC-Catalysed Highly Selective Aerobic Oxidation of Nonactivated Aldehydes. Beilstein J. Org. Chem. 2013, 9, 602–607. [Google Scholar] [CrossRef]
 - Khatana, A.K.; Singh, V.; Gupta, M.K.; Tiwari, B. A Highly Efficient NHC-Catalyzed Aerobic Oxidation of Aldehydes to Carboxylic Acids. Synthesis 2018, 50, 4290–4294. [Google Scholar] [CrossRef]
 - Gupta, N.K.; Fukuoka, A.; Nakajima, K. Metal-Free and Selective Oxidation of Furfural to Furoic Acid with an N-Heterocyclic Carbene Catalyst. ACS Sustain. Chem. Eng. 2018, 6, 3434–3442. [Google Scholar] [CrossRef]
 - Fan, C.; Zhao, X.; Gopireddy, R.; Guo, Y.; Wang, J.; Yuan, J.; Luo, M.; Shi, T.; Yang, L.; He, J.; et al. Unveiling the Hidden Reactivity in the N-Heterocyclic Carbene-Catalyzed Aerobic Oxidation of Aldehydes: Unlocking Its Powerful Catalytic Performance. J. Org. Chem. 2024, 89, 18344–18352. [Google Scholar] [CrossRef]
 - Vanoye, L.; Favre-Réguillon, A.; Aloui, A.; Philippe, R.; De Bellefon, C. Insights in the Aerobic Oxidation of Aldehydes. RSC Adv. 2013, 3, 18931. [Google Scholar] [CrossRef]
 - Yu, Y.; Wang, T.; Chiu, C.; Lu, T.; Lee, D. Pd(OAc)2 Promoted bis-N-heterocyclic Carbene-catalyzed Oxidative Transformation of Aldehydes. J. Chin. Chem. Soc. 2020, 67, 202–205. [Google Scholar] [CrossRef]
 - Reddi, R.N.; Malekar, P.V.; Sudalai, A. N-Heterocyclic Carbene Catalyzed Oxidative Stannylation of Aldehydes: A Facile Entry to Organotin(IV) Carboxylates. Tetrahedron Lett. 2013, 54, 2679–2681. [Google Scholar] [CrossRef]
 - Shapiro, N.; Vigalok, A. Highly Efficient Organic Reactions “on Water”, “in Water”, and Both. Angew. Chem. Int. Ed. 2008, 47, 2849–2852. [Google Scholar] [CrossRef] [PubMed]
 - Zhang, Y.; Cheng, Y.; Cai, H.; He, S.; Shan, Q.; Zhao, H.; Chen, Y.; Wang, B. Catalyst-Free Aerobic Oxidation of Aldehydes into Acids in Water Under Mild Conditions. Green Chem. 2017, 19, 5708–5713. [Google Scholar] [CrossRef]
 - Xu, J.; Yue, X.; He, L.; Shen, J.; Ouyang, Y.; Liang, C.; Li, W. Photoinduced Protocol for Aerobic Oxidation of Aldehydes to Carboxylic Acids Under Mild Conditions. ACS Sustain. Chem. Eng. 2022, 10, 14119–14125. [Google Scholar] [CrossRef]
 - Zhu, X.; Liu, Y.; Liu, C.; Yang, H.; Fu, H. Light and Oxygen-Enabled Sodium Trifluoromethanesulfinate-Mediated Selective Oxidation of C–H Bonds. Green Chem. 2020, 22, 4357–4363. [Google Scholar] [CrossRef]
 - Batsika, C.S.; Koutsilieris, C.; Koutoulogenis, G.S.; Kokotou, M.G.; Kokotos, C.G.; Kokotos, G. Light-Promoted Oxidation of Aldehydes to Carboxylic Acids Under Aerobic and Photocatalyst-Free Conditions. Green Chem. 2022, 24, 6224–6231. [Google Scholar] [CrossRef]
 - Yu, H.; Ru, S.; Dai, G.; Zhai, Y.; Lin, H.; Han, S.; Wei, Y. An Efficient Iron(III)-Catalyzed Aerobic Oxidation of Aldehydes in Water for the Green Preparation of Carboxylic Acids. Angew. Chem. Int. Ed. 2017, 56, 3867–3871. [Google Scholar] [CrossRef]
 - Liu, M.; Li, C.J. Catalytic Fehling’s Reaction: An Efficient Aerobic Oxidation of Aldehyde Catalyzed by Copper in Water. Angew. Chem. Int. Ed. 2016, 55, 10806–10810. [Google Scholar] [CrossRef] [PubMed]
 - Robiquet, P.J.; Boutron-Charlard, A. Nouvelles Expériences Sur Les Amandes Amères et Sur l’Huile Volatile Qu’elles Fournissent. Ann. Chim. Phys. 1830, 44, 352–382. [Google Scholar]
 - Wisniak, J. Pierre-Jean Robiquet. Educ. Quím. 2013, 24, 139–149. [Google Scholar] [CrossRef]
 - Favre-Réguillon, A. Synthesis of Carboxylic Acids from Aldehydes and Ketones. Sci. Synth. Knowl. Updat. 2024, 3, 259–289. [Google Scholar] [CrossRef]
 - Vanoye, L.; Favre-Réguillon, A. Selective Aerobic Oxidation of Aliphatic Aldehydes: The Critical Role of Percarboxylate Anion on the Selectivity. React. Chem. Eng. 2023, 8, 1043–1050. [Google Scholar] [CrossRef]
 - Muhammad, S.; Sanam, S.; Khan, H.; Muhammad, A.; Sultana, S. Temperature Dependent Solubility of Benzoic Acid in Aqueous Phase and Aqueous Mixtures of Aliphatic Alcohols. Z. Für. Phys. Chem. 2020, 234, 1771–1787. [Google Scholar] [CrossRef]
 - Rizzo, P.; Cozzolino, A.; Guerra, G. Chemical Stabilization of Hexanal Molecules by Inclusion as Guests of Nanoporous-Crystalline Syndiotactic Polystyrene Crystals. Macromolecules 2019, 52, 2255–2264. [Google Scholar] [CrossRef]
 



















Disclaimer/Publisher’s Note: The statements, opinions and data contained in all publications are solely those of the individual author(s) and contributor(s) and not of MDPI and/or the editor(s). MDPI and/or the editor(s) disclaim responsibility for any injury to people or property resulting from any ideas, methods, instructions or products referred to in the content.  | 
© 2025 by the author. Licensee MDPI, Basel, Switzerland. This article is an open access article distributed under the terms and conditions of the Creative Commons Attribution (CC BY) license (https://creativecommons.org/licenses/by/4.0/).
Share and Cite
Favre-Réguillon, A. N-Heterocyclic Carbene-Catalyzed Aerobic Oxidation of Aromatic Aldehydes into Carboxylic Acids: A Critical Review. Catalysts 2025, 15, 708. https://doi.org/10.3390/catal15080708
Favre-Réguillon A. N-Heterocyclic Carbene-Catalyzed Aerobic Oxidation of Aromatic Aldehydes into Carboxylic Acids: A Critical Review. Catalysts. 2025; 15(8):708. https://doi.org/10.3390/catal15080708
Chicago/Turabian StyleFavre-Réguillon, Alain. 2025. "N-Heterocyclic Carbene-Catalyzed Aerobic Oxidation of Aromatic Aldehydes into Carboxylic Acids: A Critical Review" Catalysts 15, no. 8: 708. https://doi.org/10.3390/catal15080708
APA StyleFavre-Réguillon, A. (2025). N-Heterocyclic Carbene-Catalyzed Aerobic Oxidation of Aromatic Aldehydes into Carboxylic Acids: A Critical Review. Catalysts, 15(8), 708. https://doi.org/10.3390/catal15080708
        
                                                

                        
       