Next Article in Journal
Kinetics of Hydrogenation of Dimethyl Oxalate to Methyl Glycolate on an Activated Carbon-Supported Copper Catalyst
Previous Article in Journal
Heteropolyacid-Based Poly(Ionic Liquid) Catalyst for Ultra-Deep and Recyclable Oxidative Desulfurization of Fuels
 
 
Font Type:
Arial Georgia Verdana
Font Size:
Aa Aa Aa
Line Spacing:
Column Width:
Background:
Article

Preparation of Cu-La Bimetallic Catalysts by Electrodeposition for the Electrocatalytic Promotion of CO2 to CH4

1
Yunnan Research Academy of Eco-environmental Sciences, Kunming 650034, China
2
Yunnan Heavy Metal Pollution Control Engineering and Technology Research Centre, Kunming 650034, China
3
Faculty of Environmental Science and Engineering, Kunming University of Science and Technology, Kunming 650500, China
*
Authors to whom correspondence should be addressed.
Catalysts 2025, 15(7), 623; https://doi.org/10.3390/catal15070623
Submission received: 17 April 2025 / Revised: 7 June 2025 / Accepted: 13 June 2025 / Published: 25 June 2025

Abstract

Methane (CH4) has attracted much attention regarding its use in electrochemical carbon dioxide reduction reaction (CO2RR) due to its high mass-energy density; however, the uneven adsorption of intermediates on copper sites by conventional Cu-based catalysts limits the selective production of CH4. The introduction of a second metal can effectively regulate the adsorption energy of intermediates on the Cu site. In this paper, a method of alloying Cu with oxyphilic metals (M) using rapid electrodeposition is presented; the synergistic effect of the bimetal effectively directed the reaction pathway toward CH4. The best Faraday efficiency for methane occurred in the optimized Cu30La20 electrode, reaching 66.9% at −1.7 V vs. RHE potential. In situ infrared testing revealed that the *CHO intermediate—a critical species for the electrocatalytic conversion of CO2 to CH4—was detected on the Cu30La20 catalytic electrode. However, no *CHO intermediate was observed on the Cu20La30 electrode. Instead, the characteristic peak of the *OCCHO intermediate associated with C-C coupling emerged on the Cu20La30 catalyst. This indicates that the adsorbed oxygen-containing groups on lanthanum sites reacted with carbon-containing groups on copper sites to form C2 products, serving as the primary reason for the shift in reduction products from methane to ethylene.

Graphical Abstract

1. Introduction

The advancement of human society in scientific and technological terms, along with productivity growth, is inextricably linked to the availability of energy. However, excessive utilization of fossil fuels has resulted in an increase in the concentration of CO2 in the atmosphere, which has in turn led to the greenhouse effect, acid rain, and a multitude of environmental issues [1,2,3,4]. Considering the mounting urgency for a sustainable, carbon-neutral society, as espoused globally, the electrochemical CO2 reduction reaction (CO2RR), which employs clean electrical energy as a driving force, is garnering increasing attention [5,6,7]. In previous studies, it has been widely postulated that copper may be the only suitable electrocatalyst for CO2RR production of methane [8,9], methanol [10,11], ethanol [12], and other carbon dioxide reductions [13,14]. Of these, methane has attracted considerable attention due to its higher energy density [10,15,16]. It can be reasonably proposed that the conversion of CO2 to CH4 via electrocatalysis represents an effective method for artificially closing the carbon cycle and preventing the further increase of atmospheric carbon dioxide. This approach offers a potential solution to the dual challenges of environmental protection and energy conversion [11,17,18].
Researchers have examined several factors to optimize the selectivity of the reduction products of Cu-based catalysts. Amongst other considerations, the selectivity of copper crystalline surfaces has been investigated. It has been demonstrated that Cu (100) crystalline surfaces are effective in reducing the energy barrier of C-C coupling and significantly improving the selectivity of the process [19,20]. The microscopic morphology of Cu catalysts can be controlled to maintain a microenvironment of CO2 concentration at the surface, thereby facilitating the reaction and exposing more active sites to the highly dispersed catalysts [21,22]. Hybridization of metals with organic and inorganic compounds by defect engineering, construction of single atoms, etc., can achieve a significant increase in product selectivity [23,24]. The reconfiguration of the metal in the reaction system through the use of catalysts allows the generation of reactive metal crystalline surfaces. Alternatively, the use of synergistic multi-metal interaction facilitates the rapid generation of key intermediates [25,26]. While the aforementioned strategies have resulted in enhanced selectivity of catalysts for CO2RR reduction, the synthesis of these catalysts remains a challenging process that necessitates the use of harsh conditions and sophisticated synthetic techniques. Furthermore, traditional catalysts are not immediately usable following their synthesis via hydrothermal methods. Instead, they must undergo a drop-coating process, whereby polymers are added to formulate the synthesized catalyst inks [27,28]. It has been discovered that the quantity of added polymers has a significant impact on the electrochemical properties of the catalysts during this formulation process [29,30]. Consequently, the drop-coated catalysts must be operated with a more sophisticated method to prepare electrodes with enhanced effects. Furthermore, some novel catalyst synthesis methodologies, such as laser deposition [31] and ion sputtering [32], necessitate significant financial investment, which constrains their broader industrial deployment. It is therefore crucial to develop a more rapid and straightforward method of catalyst preparation while ensuring that the resulting catalyst retains its high activity in CO2RR for methane production.
In recent years, the preparation of catalysts by electrodeposition has been the subject of considerable interest due to the high degree of operability and the mild experimental conditions involved. Electrodeposition is a highly practical technique that is frequently employed for the synthesis of metal thin-film materials [33]. It is possible to prepare catalysts with varying structures by controlling a range of parameters during the electrodeposition process [24,34,35]. For example, the electrochemical conditions of the electrodeposition process can be regulated, including voltage and current, and the conditions of the primary components in the electrodeposition solution and the concentration of various additives can be modified. This enables the preparation of catalysts with disparate morphologies and coordination structures, thereby facilitating the selective production of different products in the CO2RR reaction [14,36,37,38]. Many researchers and scholars have synthesized bimetallic heterojunction catalysts by combining noble metals with copper-based metals to achieve high CO2RR catalytic performance [18,39,40,41]. However, the high cost and difficult synthesis conditions of precious metal catalysts are not suitable for large-scale industrial production; so, in this study, low-cost metals were screened and prepared by rapid electrodeposition with the use of copper-based materials to obtain a bimetallic heterojunction catalyst, CuxMy, which was used for CO2 electrocatalytic reduction experiments; the electrode preparation process is shown in Figure 1. It was demonstrated that the optimal catalytic effect could be achieved through the optimization of the metal ratio in the electrodeposition solution, the adjustment of the deposition time, and the optimization of the current and other parameters. This resulted in the superior performance of CO2RR for methane production in an H-type reactor cell. The electrolyte was 0.5 M potassium bicarbonate, and the highest Faraday efficiency (FE) of CH4 was achieved at −0.9 V vs. RHE under these voltage conditions, reaching 66.9%. Furthermore, the electrode demonstrated the capacity to maintain high catalytic current density and catalytic activity over an extended period. The electrolytic reactions occurring at the electrode surface were resolved by in situ infrared detection to obtain the complete reaction process. It was found that the introduction of the metal La lowered the energy barrier for the hydrogenation of *CO to *CHxO by enhancing the oxygen adsorption of the metal with the *CHxO intermediate, which promoted the breaking of the C-O bond in *CH3O for the formation of CH4.

2. Results and Discussion

2.1. Material Characterization

The Cu-La bimetallic electron cathode was subjected to comprehensive characterization and testing utilizing scanning electron microscopy (SEM) and other characterization tools. The original morphology of the carbon paper electrodes, as well as the apparent morphology after deposition, were observed using SEM. The results are presented in Figure 2a and Figure S1. The analysis of the morphology of Cu-La bimetallic catalyst with different ratios revealed significant changes in the morphology of the electrode surface after electrodeposition, as observed in the SEM images. These changes were particularly evident when the ratio of copper and lanthanum was 40:10; the electrode surface was primarily a dendritic deposit. During this phase, the electrode surface mainly exhibited the formation of crystalline precipitation of metallic copper. It was observed that copper and lanthanum had not yet formed a heterojunction structure. This may be attributable to the low concentration of metallic lanthanum ions in the deposition solution, which may not have effectively combined with the copper ions. As the ratio of lanthanum metal increased, the morphological characteristics of the electrode underwent a significant transformation. As illustrated in Figure 2b, with the increase in the ratio of copper to lanthanum to 30:20, the deposits on the surface of the electrode underwent a transformation from leafy copper crystals to Cu-La nanoflowers. This indicates that bonding between copper and lanthanum occurred during the electrodeposition process, thus altering the microscopic morphology. As the ratio of lanthanum to metal in the electrodeposited solution increased, the microscopic morphology of the surface of the electrode further changed, gradually becoming thin clusters of flowers. This was probably due to the low concentration of copper ions in the deposited solution, which prevented the two elements from forming heterogeneous structures. As the proportion of lanthanum metal in the electrodeposition solution increased, the microstructure of the electrode surface underwent further alteration, from nanoflowers to thin clusters. This may be attributed to the low concentration of copper ions in the deposition solution, which prevented the formation of a heterojunction structure between the two elements. Instead, precipitation of lanthanum metal crystals on the electrode surface occurred, rather than the desired copper-lanthanum metal heterojunction. The elemental distribution of the electrode surface in the SEM characterization was further analyzed by the EDS technique, and the results are shown in Supplementary Figure S2. These results demonstrated that the dendritic crystals formed when Cu40La10 was electrodeposited were essentially composed of bluish-green Cu elements. This was due to the low concentration of lanthanum metal, which resulted in the surface of the electrode being predominantly precipitated by the crystallization of Cu ions. As the proportion of lanthanum increased, the proportion of the yellow part of the elemental surface scan (representing the metal La) also increased. This indicates that the proportion of La gradually increased during the deposition process, leading to the crystallization of crystals, which was the main reason for the significant change in the morphology of the electrode surface.
To investigate the crystalline structural features of the catalysts, the HR-TEM characterization technique was applied, as illustrated in Figure 2e. This revealed that the Cu30La20 catalysts were exfoliated after sonication to obtain a thin-layered structure. Furthermore, the high-resolution TEM spectra (Supplementary Figure S3) indicated that several crystal lattices were dispersed on the surface of the material. Lattice fringes were observed with a spacing of 2.08 Å, corresponding to the (111) crystallographic plane of Cu, and a lattice stripe of 1.8 Å, corresponding to the (211) crystallographic plane of (III) (JCPDS#40-1284) of the La element in the material. At the intersection of the two crystalline surfaces, the presence of additional lattice defects was evident, which served to confirm the successful formation of a heterojunction structure between the two metal elements on the electrode surface. Furthermore, elemental face-scanning analysis was conducted to ascertain the surface elemental composition of the catalyst. The results of this analysis are presented in Figure 2f–j. The elemental scans demonstrated the uniform distribution of copper and lanthanum within the nanostructures.
The crystal structure, elemental composition, and valence state of the electrode surface were also investigated by XRD and XPS, and the results are presented in Figure 2k–m. As can be observed in Figure 2k, the XRD results indicated that the diffraction peaks in the material were primarily situated at the 38.8°, 43.3°, and 54.6° positions. These peaks can be attributed to the structural characteristics of the primary Cu2O (111) and Cu (111) crystal surfaces observed at the 38.8° and 43.3° positions [24], while the 54.6° peak correlates with the structural peaks of the Cu-La heterojunction, as evidenced by the TEM characterization. The lattices of Cu and La were relatively fragmented, which may be the reason why the characteristic peaks in the XRD patterns were not particularly prominent. The elemental composition and valence states of the electrode surface were also investigated by XPS, and the results are shown in Figure 2l,m; Cu and La elements were detected in the Cu-La catalysts. The positions of their spectral peaks were observed at 932.1 eV (Cu 2p3/2) and 952.0 eV (Cu 2p1/2), respectively, corresponding to the characteristics of the Cu physical phase. The Cu phases were primarily present as Cu0 and Cu+, with Cu0 being the dominant form. Furthermore, the XPS spectra exhibited characteristic peaks of La3+ corresponding to the peaks at 835.6 eV (La 3d5/2) and 852.5 eV (La 3d3/2) [11,15], respectively. These findings once again substantiated the simultaneous existence of Cu and La in the Cu30-La20 catalyst. In order to determine the valence state of copper, as shown in Supplementary Figure S4, LMM analysis of the element Cu was carried out, which revealed a certain amount of Cu+ on the surface of the electrode, determined using least squares fitting in XPS; part of this belonged to Cu+. The same Cu0 also made a certain contribution. The presence of Cu2+ may have been due to exposure to oxygen in the air and formation of copper oxides.
The micro-morphological characteristics, elemental composition, and valence features of the fabricated Cu30La20 catalysts were subjected to analysis. The micro-morphological analysis revealed that the morphology of the electrodes underwent significant alterations upon adjusting the Cu–La ratio. When the proportion of Cu was more than 40%, the electrode surface predominantly deposited Cu crystals. However, upon doping with metallic lanthanum, the morphology of the electrode surface transformed, adopting a nanoflower-like structure. The lattice of the Cu and La was be observed via the TEM characterization; there were increased numbers of lattice defects at the junctions of the crystal surfaces, indicating the synthesis of Cu-La heterojunctions. Subsequently, the successful doping of Cu and La elements was confirmed by XPS analysis. The Cu element was predominantly present in monovalent and zero-valent forms on the electrode surface, while the La element existed in an ortho-trivalent valence state.

2.2. CO2RR Electrocatalytic Performance

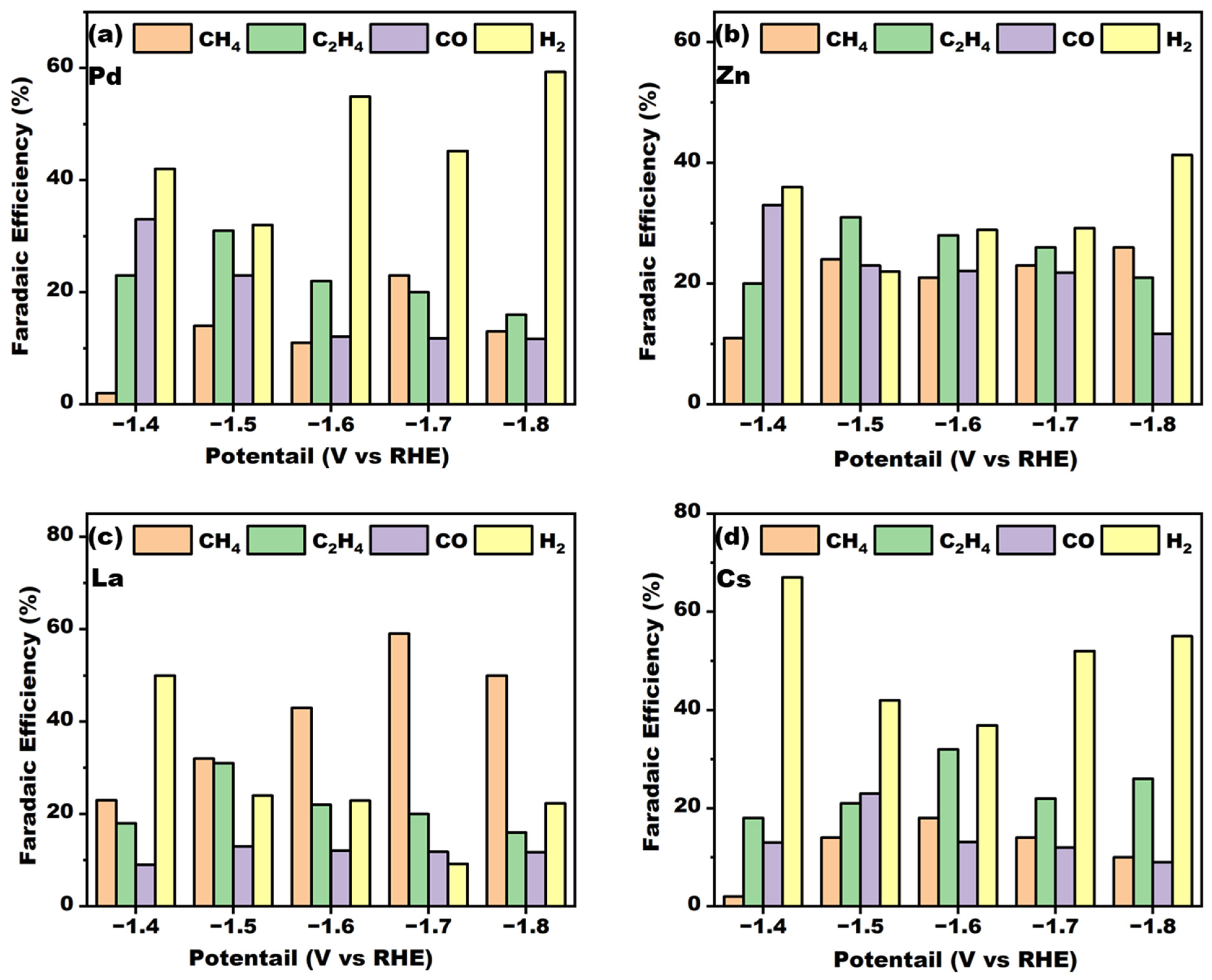
To investigate the selectivity of the Cu-La bimetallic catalyst electron cathode with regard to electrocatalytic reduction products and the reaction pathways during the CO2 reduction reaction (CO2RR), the fabricated catalytic electrodes were employed in electrocatalytic carbon dioxide reduction experiments conducted in a conventional H electrolytic cell. The experimental conditions were as follows. The electrolyte was 0.5 M potassium bicarbonate saturated with CO2; the area of the electrocatalytic cathode was 1 × 1 cm2; and the CO2RR experiments were conducted at a constant voltage. The liquid-phase products of CO2 reduction were detected via NMR, and the gas-phase products were detected using gas chromatography. No liquid-phase products were detected during the experiments (Supplementary Figure S5). The gas-phase products were identified as CO, CH4, C2H4, and H2, and calculations indicated that the Faraday sum of the four products was approximately 100%. This further corroborates the conclusion that no liquid-phase products were generated in the CO2RR experiments. First, different catalytically active metals were screened, and the amount of copper nitrate and urea in the electrodeposition solution was kept constant. Then, the deposited metal of the other active component was replaced, to study the electrocatalytic CO2RR performance and product distribution of the different active metals. Four different active metals, namely lanthanum, zinc, palladium, and cesium, were selected, and the electrodeposition was performed with a constant current of 1 A/cm2 for 30 s. The results obtained are shown in Figure 3. The electrodeposition was carried out for 30 s, after which the obtained electrodes were dried and tested; the results obtained are shown in Figure 3.
As illustrated in the figure, all four metals demonstrated some CO2RR activity following electrodeposition with elemental copper. However, the resulting reduction products and Faraday efficiencies exhibited notable variation. The doping with Pd metal was observed to enhance selectivity for ethylene at low potentials. With the increase in voltage, selectivity for methane also improved, although the overall level remained relatively low. The doping with Zn metal was observed to exhibit a similar trend; with the emergence of some ethylene selectivity at −1.6 V vs. RHE, the overall reaction was still dominated by the hydrogen precipitation reaction. The doping with metal Cs showed some ethylene selectivity at all potentials, which may have the potential to be an efficient catalyst for electrocatalytic ethylene production. The doping with metal La showed the best methane selectivity, and initially showed 56.9% Faraday efficiency for methane production at −1.7 V vs. RHE, already at a high level. The incorporation of La markedly enhanced methane selectivity and effectively suppress the occurrence of hydrogen precipitation side reactions in comparison with doping with other metals. This suggests that the bimetallic heterojunction formed following the co-deposition of La and Cu can effectively regulate the adsorption of reaction intermediates in the CO2RR process, thereby improving the selectivity of the electrocatalytic methane product.
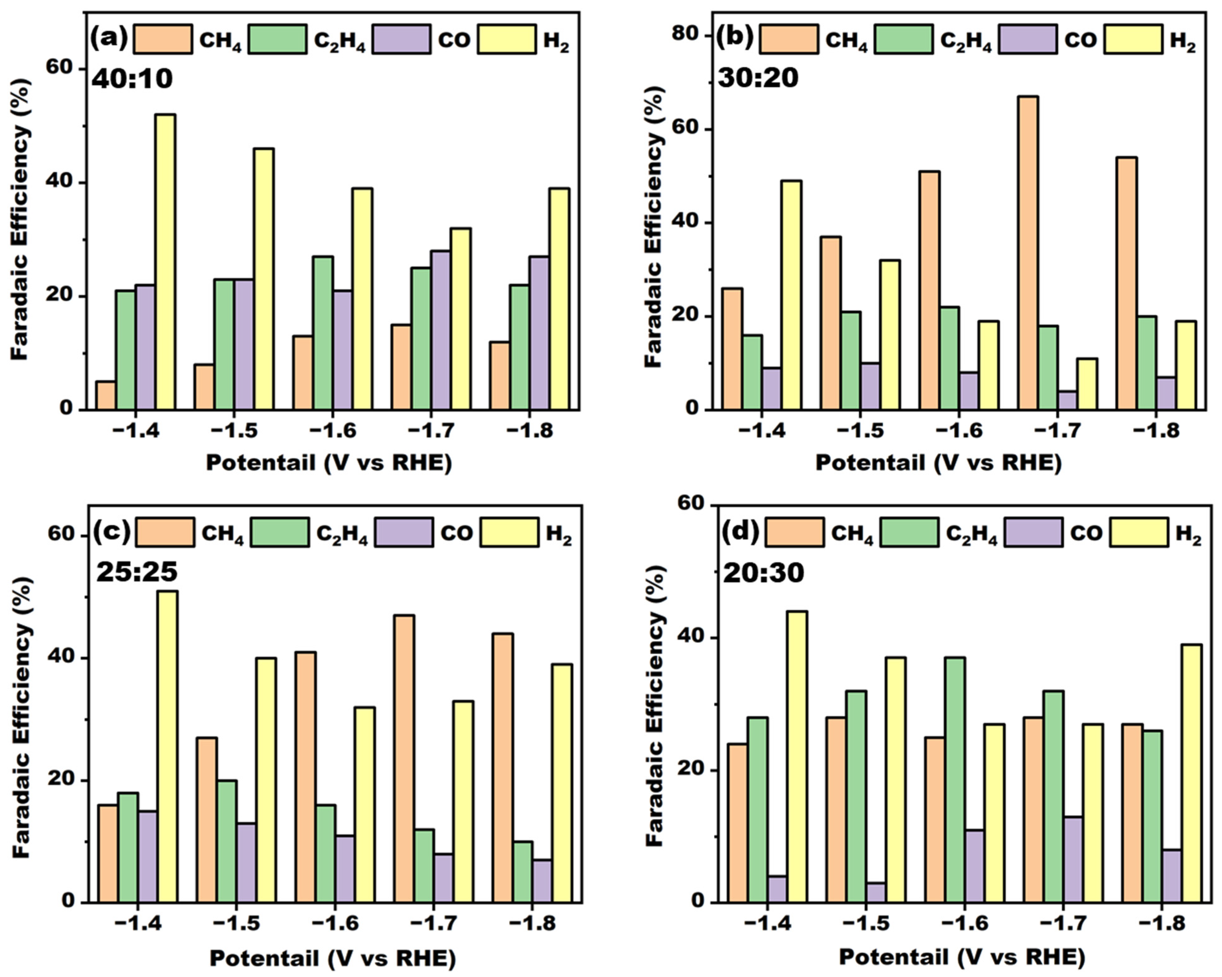
In the above experiments to determine the metal La and metal Cu as the main active metal in the two-electrode system for electrodeposition experiments for co-deposition, urea was added to adjust the deposition valence of Cu. Constant current was used for electrodeposition, with a current density of 1 A/cm2 and electrodeposition time of 30 s. The Cu-La electrodes were prepared by adjusting the ratio of Cu to La in the deposition solution, and the prepared electrodes were dried and subjected to CO2RR testing; the results are shown in Figure 4. From the figure, it can be seen that the ratio of metal Cu and metal La had a great influence on the selectivity of the products. When the electrode is not doped with La, the electrocatalytic reduction products were mainly dominated by ethylene (Supplementary Figure S6). It was also observed from the previous XRD as well as SEM characterization that when the percentage of Cu in the electrolyte was high, the electrode surface was mainly crystallized with copper and copper oxide. The selectivity for ethylene was still maintained in the Cu40-La10 electrode, but with the continuous enhancement of the proportion of metal La, the electrode surface generated more Cu-La heterojunction structures. This phenomenon was also observed in the TEM characterization (Supplementary Figure S3). At this ratio, the Cu30-La20 electrode achieved high Faraday efficiency of methane under conditions of −1.7 V vs RHE potential, reaching 66.9%, indicating that the bimetallic sites on the surface of the electrode had a good synergistic catalytic effect. With the gradual enhancement of the proportion of La in the electrode, the methane’s Faraday efficiency gradually reduced, and that of the ethylene gradually increased. Finally, the Faraday efficiencies of both were close to each other, but both of them were maintained at a relatively low level. This may have been due to the large difference in the ratio of the two metals in the deposition solution, leading to the fact that Cu and La did not form more catalytically active heterojunction structures during the deposition process and thus, a reduction in the catalytic performance. From the microscopic morphology of the electrodes, it was also be seen that the morphology of the surface of the electrodes changed significantly with the increase in the ratio of La, which also indicates that the electrodes prepared by electrodeposition with different Cu-La ratios had obvious differences in the constitutive relationships of their catalytic sites.
After exploring the deposition ratio of Cu and La, the linear voltammetric curves of pure Cu, bimetallic Cu30La20, and Cu20La30 under Ar and CO2 atmospheres were determined to further investigate their performance in CO2 electrocatalytic reduction. As shown in Figure 5, the preliminary performance testing of the electrodes was carried out using linear voltammetry; the results, shown in Figure 5a, show that the current density of the Cu30La20 electrode under CO2 atmosphere was significantly higher than that under Ar atmosphere, and this electrode had the highest current in response to CO2 and the first current inflection point among the Cu30La20 electrodes, followed by the Cu20La30 and the pure Cu electrodes, in that order. This indicates that the presence of La induced the Cu30La20 electrode’s significant catalytic activity towards CO2. Subsequently, the current densities in the Ar atmosphere all showed a significant decrease, which indicated that in the CO2 atmosphere, the CO2RR reaction occurred on the electrode surface, and the current of the Cu30La20 electrode was more negative compared with the Cu20La30 electrode; this is consistent with the results of the study of the Faraday efficiency of methane.
The electrochemically active areas of the three electrodes, including Cu30La20 and Cu20La30, were further measured using cyclic voltammetry (Supplementary Figure S7), and the electrochemically active areas (ECSAs) of the electrode materials were obtained by calculation. As shown in Figure 5b, the double-layer capacitance value of the pure Cu electrode was 4.32 mF-cm−2, the electrochemically active area of the Cu30La20 electrode was 3.15 mF-cm−2, and the electrochemically active area of the Cu20La30 electrode was 2.14 mF-cm−2. For electrocatalysts, enhancement of catalytic effect is generally due to an increase in electrochemically active sites or the reaction caused by a decrease in thermodynamics. The above electrochemical activity measurements revealed that the increase in La doping concentration decreased the electrochemically active area, similar to the experimental findings indicating that overdoped La led to a decrease in the Faraday efficiency of methane. We also tested the electrochemical impedance of the electrodes, and the results are shown in Supplementary Figure S8. The results showed that the Cu30La20 catalytic electrode had the lowest resistance and therefore, the fastest electron transfer rate during this reaction.
Meanwhile, a long-time stability experiment was carried out in a flow cell reaction cell, using the Cu30La20 electron cathode as the reducing electrode. The electrolysis conditions were a current density of −250 mA/cm2 during the 12 h long-time stability test. The obtained curves of voltage versus time as well as the Faraday efficiency of the methane product are shown in Figure 5c. The results demonstrate that the Faradaic efficiency (FE) of methane production over the Cu30La20 electrode stabilized at approximately 50% after 7 h of electrolysis and maintained 51.3% after 12 h, confirming the long-term operational stability of our material. The methane Faraday efficiency reached 66.9% and maintains a high conversion efficiency across the 12 h, which is a notable achievement among recently reported copper-based catalysts for methane production via CO2RR [10,15,17,18,21,34,42].
The microscopic morphology of the electrode was observed after the persistence experiment, as shown in Supplementary Figure S9, in which it can be seen that after a long period of electrolysis, the morphology of the electrode greatly changed from its initial nanosized shape to granular clusters, which may occur under conditions of high current density when the microstructure undergoes reconstruction. The elemental surface scanning revealed that the surface of the electrode was dominated by the elements of Cu and La. There were some potassium elements, which may have been caused by the crystallization of the electrolyte on the electrode surface during the electrolysis process. The reconstruction of the microstructure during the catalytic process led to a change in the micro-morphology, which may have been the main reason for the degradation of the electrode’s performance.

2.3. Electrodeposition Impact Parameters

After determining the optimal Cu-La deposition ratio, two key parameters of electrode electrodeposition were experimentally investigated, namely the electrodeposition time as well as the current density of electrodeposition. Unlike the electrodeposition in the three-electrode system in the previous chapter, the rapid electrodeposition method used in this study had a high deposition current density, leading to a faster bonding rate of the components in the deposition solution. This method is not suitable for the preparation of monoatomic structures in a refined way, but it can create more heterojunctions and enhance the catalytic effect. Therefore, the deposition time as well as the current density of deposition plays an important role in this process. The lowest deposition current density in this study was 100 mA/cm2; the density was gradually increased to 1 A/cm2. The electrochemical performance of electrodes prepared with different deposition current densities in CO2RR is shown in Figure 6.
From Figure 6, it can be seen that the Faraday efficiency of methane increased with the increase in the deposition current, indicating that there were differences in the structure of the Cu-La complex on the electrode surfaces at this time. For this reason, the electrodes prepared at four different deposition current densities were subjected to XRD characterization to explore their crystal structures; the XRD patterns are shown in Figure 7. When the deposition current density was lower, the electrodeposition process was more gentle; Cu and La metal formed a part of the heterojunction and the slow deposition of Cu elements on the electrode surface formed Cu (111) crystals. There was some generation of cuprous oxide, but this was not obvious. With the increase in the deposition current density, the characteristic peaks of the cuprous oxide crystals became more and more obvious, indicating that with the increase in the deposition current, the co-deposition of Cu and La was more intense. It was observed from the XRD patterns that when the deposition current reached 1A, more characteristic peaks of cuprous oxide appeared in the prepared electrode and the selectivity of methane also reached a high level. The Cu (111) crystalline surface alone did not demonstrate good catalytic activity, and when the current density increased, the surface of the electrode generated more active substances such as cuprous oxide. A Cu-La A heterojunction structure of Cu-La was also present, and the synergistic effect of many active species was the main reason for the enhancement of the electrocatalytic performance of the electrode.
The TEM and XRD characterization results are consistent with each other. When the deposition current was low, as illustrated in Figure 7e,f, the deposition process was relatively gentle. When the current was lower than 0.2 A, the metal ions were arranged in an orderly manner, resulting in only a small part of the lattice interface being visible in the TEM characterization. However, when the deposition current gradually increased to 1 A, as observed in Figure 7g,h, a significant enhancement in the lattice interface of Cu-La became evident, resulting in a clear and stable interface. It has been demonstrated that the lattice interface serves as a crucial reference point [43]. Consequently, the catalytic performance of the electrode was progressively enhanced with the increasing deposition current, reaching its optimal level at 1 A. At this current density, the XRD characterization revealed the most prominent characteristic peaks of the catalyst’s active species, such as Cu2O.
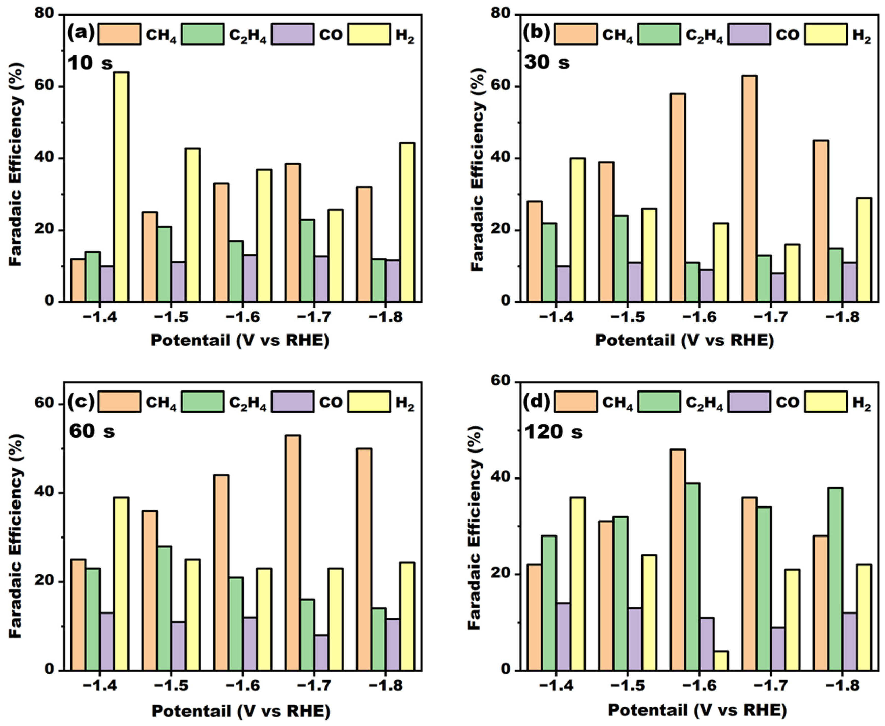
The duration of electrodeposition was further investigated. The length of the deposition time had an important effect on the composition of the active components on the electrode surface. The electrocatalytic performance of the electrodes prepared with different deposition times is shown in Figure 8. When the deposition time was less than 10 s, the Faraday efficiency of methane was low at 38%, and with the increase of electrolysis time to 30 s, the Faraday efficiency of the electrode was improved and the highest Faraday efficiency reached 63%, indicating that the synergistic effect of the active components on the electrode surface was significant with this deposition time. However, the Faraday efficiency of methane decreased with the increase in deposition time, and the thickness of the electrodeposition layer became thicker and thicker. An overly thick electrode would lead to the weak mass transfer in the electrocatalytic process, which might be the reason for the continuous decrease in the Faraday efficiency of the methane. Furthermore, the crystal structures of the electrodes with different deposition times were analyzed by XRD; the results are shown in Figure 9. from the figure, it can be seen that when the deposition time was less than 30 s, the crystal structure of the electrode surface was more complex, with the existence of cuprous oxide crystal surfaces, Cu crystal surfaces, and Cu-La heterojunctions, and the electrodes were more electrocatalytic active. With the increase in the deposition time, the copper oxides on the surface of the electrodes and high-valent copper ions on the electrode surface were further reduced to Cu (111) crystals under the action of the electric field. It can also be seen from the figure that the characteristic peaks of cuprous oxide gradually decreased or even disappeared with the increase in the electrodeposition time, but the structure of the Cu-La heterojunction had little effect. There were still more obvious diffraction peaks, and the reduction of copper crystalline phase species may have been the main reason for the decrease in methane Faraday efficiency.
As can be seen from the TEM characterization diagrams, the difference in deposition time greatly affected the density of Cu-La lattice interface formation on the catalyst surface. When the deposition time was shorter than 10 s, a small amount of lattice interface generation could be seen (Figure 9e). When the deposition time increased to 30 s, the lattice interfaces of Cu-La were observed to increase significantly (Figure 9f). The lattice junction is an important catalytic active site. Thus, the electrode’s electrocatalytic performance reached its optimum under these deposition time conditions. When the deposition time was increased further, the fragmented lattice on the electrode surface started to reorganize after a long period of reduction, gradually reducing to a large Cu (111) crystal surface, at which time, the catalytic activity gradually decreased, also due to the gradual reduction in the catalytically active center within the electrodeposition process.

2.4. Catalytic Mechanism Study

To further reveal the reaction process pathway, the CO2RR reaction processes of two different catalytic electrodes, Cu30La20 as well as Cu20La30, were analyzed in situ in an H-reaction cell using enhanced Fourier in situ infrared (FTIR) to observe the generation of the reaction process intermediates, and the results obtained are shown in Figure 10a,b. The two curves in the diagram exhibit some differences in the peak positions, indicating that the two reaction paths differed during the reaction processes. The following peak positions are worthy of note. In the experimental setup, when the applied voltage exceeded −0.9 V, a minor peak was observed at approximately 2240 cm−1 in the in situ IR profiles of both catalysts. This peak was attributed to the linear bonding of *CO intermediates, revealing the presence of *CO intermediates on both electrode surfaces, indicating that the CO2RR reaction occurred on the surface of both electrodes [44]. Furthermore, a spike was observed at ~1460 cm−1 for both electrodes, which can be attributed to the carbon dioxide reduction intermediate *CH3O on the surface of the catalysts. The characteristic peaks at 1280 cm−1 and ~1060 cm−1 are attributable to the *COOH and *CHO reaction intermediates, which were not detected on the Cu20La30 electrode. Notably, the C-C-coupled *OCCHO intermediate included a characteristic peak at 1610 cm−1 [33], suggesting that C-C bonds had formed on the Cu20La30 electrode surface, facilitating further ethylene production.
As demonstrated in Figure 10c,d, a synergistic effect was observed between the Cu site and La site on the Cu30La20 electrode, which had a reasonable density of metal Cu and La. La (which has low electronegativity) tends to supply electrons to Cu. This results in Cu being electron-rich (Cu becomes more reductive) and La (or its neighbor O) being relatively electron-poor. In the Cu-La catalyst, the Cu 2p3/2 binding energy shifted by ~0.9 eV towards a lower binding energy compared with the pure Cu catalyst, which directly confirmed that the Cu site was electron-acquiring and in an electron-rich state. This is consistent with our proposed La → Cu charge transfer mechanism. In the Cu-La bimetallic/interfacial system, there were significant electronic interactions, mainly manifested by the supply of electrons from La species (e.g., La2O3 or doped La atoms) to neighboring Cu atoms/nanoparticles, resulting in the enrichment of the Cu sites with electron density (Cu δ−), whereas the La sites showed a relatively electron-deficient state (La δ+). This electron transfer significantly altered the adsorption behavior of the key intermediates, e.g., the electron-rich state of the Cu weakened the adsorption strength (lower adsorption energy) for the CO intermediates. Weaker CO adsorption favors its detachment from the dissociation or hydrogenation pathway, thus facilitating its further hydrogenation to the *CHxO species, a key precursor for CH4 generation. In addition, the electron-deficient sites provided by the La component (especially La2O3 or interfacial oxygen species) may favor the stabilization of specific oxygen-containing intermediates (e.g., HCOO or H2CO) and facilitate their further hydrodeoxygenation. At the same time, the unique electronic environment formed at the Cu-La interface may optimize the stability of *CHxO intermediates, making them more inclined to hydrogenate to CH4.

3. Experiment

3.1. Materials

Copper(II) nitrate trihydrate (Cu(NO3)2·3H2O, 99.9%), urea ((NH2)2CO, 99.9%), lanthanum(III) nitrate hexahydrate (La(NO3)3·6H2O, 99.9%), zinc nitrate (Zn(NO3)2·6H2O, 99.9%), palladium nitrate (Pd(NO3)2, 99.9%), caesium chloride (CsCl, 99.9%), potassium hydrogen carbonate (KHCO3, 99.99%), hydrogen peroxide (H2O2, 5.0 wt%), hydrochloric acid (HCl, 98.0 wt%) were purchased from Aladdin (Shanghai, China). Carbon dioxide (CO2, 99.999%) and argon (Ar, 99.999%) gases were obtained from Kunming Pengyida Gas Products Co. (Kunming, China) Toray TGP-H-060 carbon paper (Tokyo, Japan) was used for electrodeposition. Deuterium oxide (D2O, 99.9%) and dimethyl sulfoxide-d6 (DMSO-d6, 99.9%) were sourced from Sigma-Aldrich (St. Louis, MO, USA). All solutions were prepared using ultrapure water (18.25 MΩ·cm) from a UP Water Purification System. Chemicals were used as received without further purification.

3.2. Catalyst Synthesis

In this study, electrodes were prepared by electrodeposition using a DC power supply, capable of providing a larger current than an electrochemical workstation, to prepare different electrode structures. This electrodeposition system was a simple two-electrode system, in which the deposition electrode was 1 × 1 cm2 pretreated carbon paper, and the counter electrode was 2 × 2 cm2 carbon plate electrode. The large area of the counter electrode effectively ensured the stability of the electric field force during the electrodeposition process. The configuration of the electrodeposition solution was designed to add different metals to the electrolytic cell, adjust the ratio of metals, and add urea to regulate the deposition valence state of Cu during the deposition process. After optimization, the electrodeposition parameters were as follows. A mixture of urea and Cu(NO3)2 was added to 50 mL of deionized water, fully stirred for 5 min, and La(NO3)3 was then added for dissolution. The electrodeposition experiments were carried out under a two-electrode system, in which the deposition current was 1 A/cm2 and the deposition time was 30 s. The electrodeposition was completely dried in a drying oven at 50 °C for 1 h, and the CO2RR experiment was then carried out to test the electrode performance. The Cu30-La20 electrode was prepared in this way, and the Cu-La electrode with different ratios was then prepared by adjusting the ratio of Cu to La in the deposit. Via this method, the doped metals and proportions in the electrodeposition solution were replaced, and different combinations of Cu-M (Pd, La, Cs, Zn) were prepared for electrochemical testing.

3.3. Characterization

X-ray diffraction (XRD) patterns were detected using a Japan Rigaku Ultima IV diffractometer (Tokyo, Japan) with Cu Kα radiation (λ = 1.5406 Å) at a scan rate of 5°/min. Scanning electron microscope images (SEM) were collected by Zeiss Gemini 300 (Oberkochen, Germany). The high-resolution transmission electron microscopy (HRTEM, Buffalo, NY, USA) images of catalysts were obtained from a TEM instrument (JEOL JEM-2100) with energy-dispersive X-ray spectroscopy (EDS) to reveal the elemental distribution of the catalysts. The X-ray photoelectron spectroscopy (XPS) was detected using a Thermo Scientific K-Alpha device (Waltham, MA, USA). Quantitative and qualitative analyses of the catalyst composition were measured via the Inductively Coupled Plasma-Optical Emission Spectrometer (ICP-OES) method on an Agilent 7700 (Santa Clara, CA, USA). Operando attenuated-total-reflection surface-enhanced infrared absorption spectroscopy (ATR-SEIRAS) was measured with a Nicolet (Madison, WI, USA) IS50 FT-IR spectrometer (detailed test methods are described in the Supplementary Material).

3.4. Electrochemical Test

The electrochemical measurements were conducted on a CHI660E electrochemical workstation (CH Instrument Inc., Austin, TX, USA) with a three-electrode system at room temperature. Ambient pressure CO2 electroreduction was conducted using a commercial gas-tight H-type cell with a cathodic compartment and an anodic compartment separated by a proton exchange membrane (Nafion N117, Dupont, Wilmington, DE, USA). The capacity of the cell was 50 mL for the cathode and anode parts. Platinum wire and saturated calomel electrode (SCE) were used as the counter electrode and the reference electrode, respectively. All potentials were converted to the RHE scale by adding a value of (0.205 + 0.0591 pH) V. For comparison, the electrolyte was 0.5 M KHCO3 aqueous solution saturated with CO2 (pH 7.5) or Ar (pH 8.3), respectively. During the CO2RR measurements, CO2 was continuously purged into the cathodic compartment and was kept at 20 sccm. An in-line gas chromatograph (Shanghai SUNNY GC 1290, Shanghai, China) was used to analyze the gas products from the CO2 electroreduction, while the liquid products were quantified by 1H-NMR spectroscopy (Bruker Ascend TM 600 MHz, Billerica, MA, USA). The stability experiment was conducted for 6 h, during which the 0.5 M CO2-saturated KHCO3 solution was partially replaced with a fresh one for two hours. This process was repeated several times until most of the electrolyte was replaced by the fresh one, during which the electrode was kept immersed inside the electrolyte. The electro-reduction reaction was maintained during the electrolyte refreshing process. Linear scanning voltammetry (LSV) with a scan rate of 1 mV·s−1 was performed in Ar-saturated CO2 saturated with 0.5 M KHCO3 aqueous solution. The current density was calculated by normalizing the current to the corresponding geometric surface area.
In this study, cyclic voltammetry was used to obtain the electrochemically active area of single-atom catalysts via the following procedure. First, the non-Faraday voltage range of a section of the catalyst was selected, and a rectangular-like CV curve was obtained by changing the sweep rate (10~100 mV·s−1); after that, the current density corresponding to the non-Faraday voltage region was selected for graphing at different sweep rates. The slope of the obtained straight line is the catalyst double layer capacitance (Cdl). The charging current obtained at different sweep speeds is I, and its correlation with the sweep speed V and the double layer capacitance Cdl is shown in Equation (1):
I = V × Cdl
The electrochemically active area (ECSA) of the catalyst is the ratio of the double-layer capacitance (Cdl) of the electrode to the surface double-layer capacitance (Cs) of an ideal smooth oxide electrode, calculated as Equation (2):
ECSA = Cdl/Cs

4. Conclusions

In summary, the present study employed a rapid electrodeposition technique to introduce the metal La on a Cu-based electrode, thereby preparing a Cu-La bimetallic heterojunction electrode. This electrode was then applied for the study of electrocatalytic CO2 methane production. The introduction of La was found to be effective in improving the selectivity of methane production. The Faraday efficiency of methane production reached 66.9% under conditions of −1.7 V vs. RHE potential and still reached more than 50% after 6 h of operation under a current density of 250 mA/cm2. In order to facilitate a comprehensive understanding of the electrode’s catalytic mechanism, it is imperative to consider the in situ infrared experiments, which revealed that the presence of intermediates containing more oxygen, such as *OCCHO, increased following the introduction of the metal La. This phenomenon can be attributed to the ability of the metal La to adsorb the intermediates of *CO efficiently and to react with the carbon-containing groups on the Cu sites to generate the C2 product. This was the primary factor responsible for the transformation of the reduction product from methane to ethylene upon the introduction of excess La. The findings of this study on the shift of CO2RR reduction products due to Cu-La bimetallic co-catalysis have significant implications for the design of CO2 reduction electrocatalysts.

Supplementary Materials

The following supporting information can be downloaded at: https://www.mdpi.com/article/10.3390/catal15070623/s1, Figure S1. The SEM images of original carbon paper. Figure S2. EDS analysis of electrodes with different Cu-La ratios. (a) Cu40La10 (b) Cu30La20 (c) Cu25La25 (d) Cu20La30. Figure S3. The high-resolution TEM image of Cu30-La20 catalyst. Figure S4. The Cu LMM spectrum of Cu30-La20 catalyst. Figure S5. Typical NMR of gas product produced by Cu30La20 catalyst at the potential of −1.70 V vs. RHE, showing no detectable liquid products. Figure S6. Product distribution of electrolytic reduction of CO2 at electrodes prepared from pure copper. Figure S7. The cyclic voltammetry curve (CV) of (a) Pure Cu (b) Cu20La30 (c) Cu30La20 Catalyst. Figure S8. The Electrochemical Impedance Spectroscopy (EIS) Plot of Pure Cu, Cu20La30 and Cu30La20 Catalyst. Figure S9. SEM images of Cu30La20 catalyst after intermittent stability testing.

Author Contributions

Methodology, W.W.; Writing—original draft, K.X.; Writing—review & editing, C.D.; Supervision, J.S. All authors have read and agreed to the published version of the manuscript.

Funding

This research received no external funding.

Data Availability Statement

Data are contained within the article and Supplementary Materials.

Acknowledgments

We are very grateful to Yunnan Research Academy of Eco-environmental Sciences, Kunming, Yunnan, China and Yunnan Heavy Metal Pollution Control Engineering and Technology Research Centre, Kunming, Yunnan, China for their support in this work.

Conflicts of Interest

The authors declare no conflict of interest.

References

  1. Burns, D.A.; Aherne, J.; Gay, D.A.; Lehmann, C. Acid rain and its environmental effects: Recent scientific advances Preface. Atmos. Environ. 2016, 146, 1–4. [Google Scholar] [CrossRef]
  2. Livingston, R.A. Acid rain attack on outdoor sculpture in perspective. Atmos. Environ. 2016, 146, 332–345. [Google Scholar] [CrossRef]
  3. Shakun, J.D.; Clark, P.U.; He, F.; Marcott, S.A.; Mix, A.C.; Liu, Z.Y.; Otto-Bliesner, B.; Schmittner, A.; Bard, E. Global warming preceded by increasing carbon dioxide concentrations during the last deglaciation. Nature 2012, 484, 49–54. [Google Scholar] [CrossRef] [PubMed]
  4. Rogelj, J.; den Elzen, M.; Höhne, N.; Fransen, T.; Fekete, H.; Winkler, H.; Chaeffer, R.S.; Ha, F.; Riahi, K.; Meinshausen, M. Paris Agreement climate proposals need a boost to keep warming well below 2 °C. Nature 2016, 534, 631–639. [Google Scholar] [CrossRef] [PubMed]
  5. Artz, J.; Müller, T.E.; Thenert, K.; Kleinekorte, J.; Meys, R.; Sternberg, A.; Bardow, A.; Leitner, W. Sustainable Conversion of Carbon Dioxide: An Integrated Review of Catalysis and Life Cycle Assessment. Chem. Rev. 2018, 118, 434–504. [Google Scholar] [CrossRef] [PubMed]
  6. Chen, G.; Li, Y.; Bick, M.; Chen, J. Smart Textiles for Electricity Generation. Chem. Rev. 2020, 120, 3668–3720. [Google Scholar] [CrossRef]
  7. Grim, R.G.; Huang, Z.; Guarnieri, M.T.; Ferrell, J.R.; Schaidle, J.A.J.E.; Science, E. Transforming the carbon economy: Challenges and opportunities in the convergence of low-cost electricity and reductive CO2 utilization. Energy Environ. Sci. 2019, 13, 472–494. [Google Scholar] [CrossRef]
  8. Ahmed, S.; Hussain, M.S.; Khan, M.K.; Kim, J. Innovations in catalysis towards efficient electrochemical reduction of CO2 to C1 chemicals. J. Energy Chem. 2025, 107, 622–649. [Google Scholar] [CrossRef]
  9. Ahmed, S.; Khan, M.K.; Kim, J. Revolutionary advancements in carbon dioxide valorization via metal-organic framework-based strategies. Carbon Capture Sci. Technol. 2025, 15, 100405. [Google Scholar] [CrossRef]
  10. Xu, Z.; Peng, C.; Luo, G.; Yang, S.E.; Yu, P.; Yan, S.; Shakouri, M.; Wang, Z.; Sham, T.K.; Zheng, G.J.A.E.M. High-rate CO2-to-CH4 Electrosynthesis by Undercoordinated Cu Sites in Alkaline-Earth-Metal Perovskites with Strong Basicity. Adv. Energy Mater. 2023, 13, 2204417. [Google Scholar] [CrossRef]
  11. Chang, X.; Wang, T.; Zhao, Z.-J.; Yang, P.; Greeley, J.; Mu, R.; Zhang, G.; Gong, Z.; Luo, Z.; Chen, J.; et al. Tuning Cu/Cu2O Interfaces for the Reduction of Carbon Dioxide to Methanol in Aqueous Solutions. Angew. Chem. Int. Ed. Engl. 2018, 57, 15415–15419. [Google Scholar] [CrossRef]
  12. Ren, D.; Ang, B.S.-H.; Yeo, B.S. Tuning the Selectivity of Carbon Dioxide Electroreduction toward Ethanol on Oxide-Derived CuxZn Catalysts. ACS Catal. 2016, 6, 8239–8247. [Google Scholar] [CrossRef]
  13. Qi, K.; Zhang, Y.; Onofrio, N.; Petit, E.; Cui, X.; Ma, J.; Fan, J.; Wu, H.; Wang, W.; Li, J.; et al. Unlocking direct CO2 electrolysis to C3 products via electrolyte supersaturation. Nat. Catal. 2023, 6, 319–331. [Google Scholar] [CrossRef]
  14. Sang, J.; Wei, P.; Liu, T.; Lv, H.; Ni, X.; Gao, D.; Zhang, J.; Li, H.; Zang, Y.; Yang, F.; et al. A Reconstructed Cu2P2O7 Catalyst for Selective CO2 Electroreduction to Multicarbon Products. Angew. Chem. Int. Ed. Engl. 2022, 61, e202114238. [Google Scholar] [CrossRef] [PubMed]
  15. Zhao, J.; Zhang, P.; Yuan, T.; Cheng, D.; Zhen, S.; Gao, H.; Wang, T.; Zhao, Z.-J.; Gong, J. Modulation of *CHxO Adsorption to Facilitate Electrocatalytic Reduction of CO2 to CH4 over Cu-Based Catalysts. J. Am. Chem. Soc. 2023, 145, 6622–6627. [Google Scholar] [CrossRef]
  16. Zhang, X.Y.; Li, W.J.; Wu, X.F.; Liu, Y.W.; Chen, J.; Zhu, M.; Yuan, H.Y.; Dai, S.; Wang, H.F.; Jiang, Z.; et al. Selective methane electrosynthesis enabled by a hydrophobic carbon coated copper core–shell architecture. Energy Environ. Sci. 2022, 15, 234–243. [Google Scholar] [CrossRef]
  17. Chen, S.; Su, Y.; Deng, P.; Qi, R.; Zhu, J.; Chen, J.; Wang, Z.; Zhou, L.; Guo, X.; Xia, B.Y. Highly Selective Carbon Dioxide Electroreduction on Structure-Evolved Copper Perovskite Oxide toward Methane Production. ACS Catal. 2020, 10, 4640–4646. [Google Scholar] [CrossRef]
  18. Cai, Y.; Fu, J.; Zhou, Y.; Chang, Y.-C.; Min, Q.; Zhu, J.-J.; Lin, Y.; Zhu, W. Insights on forming N,O-coordinated Cu single-atom catalysts for electrochemical reduction CO2 to methane. Nat. Commun. 2021, 12, 586. [Google Scholar] [CrossRef]
  19. Wang, Z.; Yang, G.; Zhang, Z.; Jin, M.; Yin, Y. Selectivity on Etching: Creation of High-Energy Facets on Copper Nanocrystals for CO2 Electrochemical Reduction. ACS Nano 2016, 10, 4559–4564. [Google Scholar] [CrossRef]
  20. Vasileff, A.; Xu, C.; Jiao, Y.; Zheng, Y.; Qiao, S.-Z. Surface and Interface Engineering in Copper-Based Bimetallic Materials for Selective CO2 Electroreduction. Chem 2018, 4, 1809–1831. [Google Scholar] [CrossRef]
  21. Wang, X.; Xu, A.; Li, F.; Hung, S.-F.; Nam, D.-H.; Gabardo, C.M.; Wang, Z.; Xu, Y.; Ozden, A.; Rasouli, A.S.; et al. Efficient Methane Electrosynthesis Enabled by Tuning Local CO2 Availability. J. Am. Chem. Soc. 2020, 142, 3525–3531. [Google Scholar] [CrossRef] [PubMed]
  22. Zhang, Y.; Chen, X.; Wang, W.; Yin, L.; Crittenden, J.C. Electrocatalytic nitrate reduction to ammonia on defective Au1Cu (111) single-atom alloys. Appl. Catal. B Environ. 2022, 310, 121346. [Google Scholar] [CrossRef]
  23. Yang, X.; Tat, T.; Libanori, A.; Cheng, J.; Xuan, X.; Liu, N.; Yang, X.; Zhou, J.; Nashalian, A.; Chen, J. Single-atom catalysts with bimetallic centers for high-performance electrochemical CO2 reduction. Mater. Today 2021, 45, 54–61. [Google Scholar] [CrossRef]
  24. Li, Z.; Yuan, Y.; Qu, G.; Xiang, K.; Ning, P.; Du, W.; Pan, K.; Cai, Y.; Li, J. Preparation of phosphorus-doped Cu-based catalysts by electrodeposition modulates *CHxO adsorption to facilitate electrocatalytic reduction of CO2 to CH4. Appl. Catal. B Environ. Energy 2025, 360, 124525. [Google Scholar] [CrossRef]
  25. Xu, Y.N.; Li, W.; Fu, H.Q.; Zhang, X.Y.; Zhao, J.Y.; Wu, X.; Yuan, H.Y.; Zhu, M.; Dai, S.; Liu, P.F.; et al. Tuning the Microenvironment in Monolayer MgAl Layered Double Hydroxide for CO2-to-Ethylene Electrocatalysis in Neutral Media. Angew. Chem. 2023, 135, e202217296. [Google Scholar] [CrossRef]
  26. Weng, Z.; Zhang, X.; Wu, Y.; Huo, S.; Jiang, J.; Liu, W.; He, G.; Liang, Y.; Wang, H. Self-Cleaning Catalyst Electrodes for Stabilized CO2 Reduction to Hydrocarbons. Angew. Chem. Int. Ed. Engl. 2017, 56, 13135–13139. [Google Scholar] [CrossRef]
  27. Peng, Y.; Chen, J.; Song, A.Y.; Catrysse, P.B.; Hsu, P.-C.; Cai, L.; Liu, B.; Zhu, Y.; Zhou, G.; Wu, D.S.; et al. Nanoporous polyethylene microfibres for large-scale radiative cooling fabric. Nat. Sustain. 2018, 1, 105–112. [Google Scholar] [CrossRef]
  28. Zhao, R.; Ding, P.; Wei, P.; Zhang, L.; Liu, Q.; Luo, Y.; Li, T.; Lu, S.; Shi, X.; Gao, S.; et al. Recent Progress in Electrocatalytic Methanation of CO2 at Ambient Conditions. Adv. Funct. Mater. 2021, 31, 2009449. [Google Scholar] [CrossRef]
  29. Zheng, T.T.; Jiang, K.; Wang, H.T. Recent Advances in Electrochemical CO2-to-CO Conversion on Heterogeneous Catalysts. Adv. Mater. 2018, 30, e1802066. [Google Scholar] [CrossRef]
  30. Zhang, Y.; Dong, L.-Z.; Li, S.; Huang, X.; Chang, J.-N.; Wang, J.-H.; Zhou, J.; Li, S.-L.; Lan, Y.-Q. Coordination environment dependent selectivity of single-site-Cu enriched crystalline porous catalysts in CO2 reduction to CH4. Nat. Commun. 2021, 12, 6390. [Google Scholar] [CrossRef]
  31. De Luna, P.; Quintero-Bermudez, R.; Dinh, C.-T.; Ross, M.B.; Bushuyev, O.S.; Todorović, P.; Regier, T.; Kelley, S.O.; Yang, P.; Sargent, E.H. Catalyst electro-redeposition controls morphology and oxidation state for selective carbon dioxide reduction. Nat. Catal. 2018, 1, 103–110. [Google Scholar] [CrossRef]
  32. Creissen, C.E.; Fontecave, M. Keeping sight of copper in single-atom catalysts for electrochemical carbon dioxide reduction. Nat. Commun. 2022, 13, 2280. [Google Scholar] [CrossRef] [PubMed]
  33. Han, S.; Xia, W.; Jia, S.; Jiao, J.; Yao, T.; Dong, X.; Wang, M.; Zhai, J.; Yang, J.; Xie, Y.; et al. Boosting promote C2 products formation in electrochemical CO2 reduction reaction via phosphorus-enhanced proton feeding. Chem. Eng. J. 2024, 479, 147735. [Google Scholar] [CrossRef]
  34. Li, Y.; Xu, A.; Lum, Y.; Wang, X.; Hung, S.-F.; Chen, B.; Wang, Z.; Xu, Y.; Li, F.; Abed, J.; et al. Promoting CO2 methanation via ligand-stabilized metal oxide clusters as hydrogen-donating motifs. Nat. Commun. 2020, 11, 6190. [Google Scholar] [CrossRef]
  35. Hepburn, C.; Adlen, E.; Beddington, J.; Carter, E.A.; Fuss, S.; Mac Dowell, N.; Minx, J.C.; Smith, P.; Williams, C.K. The technological and economic prospects for CO2 utilization and removal. Nature 2019, 575, 87–97. [Google Scholar] [CrossRef] [PubMed]
  36. Fan, M.; Miao, R.K.; Ou, P.; Xu, Y.; Lin, Z.-Y.; Lee, T.-J.; Hung, S.-F.; Xie, K.; Huang, J.E.; Ni, W.; et al. Single-site decorated copper enables energy- and carbon-efficient CO2 methanation in acidic conditions. Nat. Commun. 2023, 14, 3314. [Google Scholar] [CrossRef]
  37. Yang, J.; Qi, H.; Li, A.; Liu, X.; Yang, X.; Zhang, S.; Zhao, Q.; Jiang, Q.; Su, Y.; Zhang, L.; et al. Potential-Driven Restructuring of Cu Single Atoms to Nanoparticles for Boosting the Electrochemical Reduction of Nitrate to Ammonia. J. Am. Chem. Soc. 2022, 144, 12062–12071. [Google Scholar] [CrossRef]
  38. Hao, Q.; Zhong, H.-x.; Wang, J.-z.; Liu, K.-h.; Yan, J.-m.; Ren, Z.-h.; Zhou, N.; Zhao, X.; Zhang, H.; Liu, D.-x.; et al. Nickel dual-atom sites for electrochemical carbon dioxide reduction. Nat. Synth. 2022, 1, 719–728. [Google Scholar] [CrossRef]
  39. Esmaeilirad, M.; Baskin, A.; Kondori, A.; Sanz-Matias, A.; Qian, J.; Song, B.; Tamadoni Saray, M.; Kucuk, K.; Belmonte, A.R.; Delgado, P.N.M.; et al. Gold-like activity copper-like selectivity of heteroatomic transition metal carbides for electrocatalytic carbon dioxide reduction reaction. Nat. Commun. 2021, 12, 5067. [Google Scholar] [CrossRef]
  40. Song, R.-B.; Zhu, W.; Fu, J.; Chen, Y.; Liu, L.; Zhang, J.-R.; Lin, Y.; Zhu, J.-J. Electrode Materials Engineering in Electrocatalytic CO2 Reduction: Energy Input and Conversion Efficiency. Adv. Mater. 2020, 32, 1903796. [Google Scholar] [CrossRef]
  41. Jiao, Y.; Zheng, Y.; Chen, P.; Jaroniec, M.; Qiao, S.Z. Molecular Scaffolding Strategy with Synergistic Active Centers to Facilitate Electrocatalytic CO2 Reduction to Hydrocarbon/Alcohol. J. Am. Chem. Soc. 2017, 139, 18093–18100. [Google Scholar] [CrossRef] [PubMed]
  42. Obasanjo, C.A.; Gao, G.; Crane, J.; Golovanova, V.; García de Arquer, F.P.; Dinh, C.-T. High-rate and selective conversion of CO2 from aqueous solutions to hydrocarbons. Nat. Commun. 2023, 14, 3176. [Google Scholar] [CrossRef] [PubMed]
  43. Mo, J.; Ko, Y.; Yun, Y.S.; Huh, J.; Cho, J. A carbonization/interfacial assembly-driven electroplating approach for water-splitting textile electrodes with remarkably low overpotentials and high operational stability. Energy Environ. Sci. 2022, 15, 3815–3829. [Google Scholar] [CrossRef]
  44. Guan, A.; Chen, Z.; Quan, Y.; Peng, C.; Wang, Z.; Sham, T.-K.; Yang, C.; Ji, Y.; Qian, L.; Xu, X.; et al. Boosting CO2 Electroreduction to CH4 via Tuning Neighboring Single-Copper Sites. ACS Energy Lett. 2020, 5, 1044–1053. [Google Scholar] [CrossRef]
Figure 1. Schematic diagram of electrode preparation.
Figure 1. Schematic diagram of electrode preparation.
Catalysts 15 00623 g001
Figure 2. SEM morphology of electrodes with different Cu-La ratios. Cu40La10 (a) Cu30La20 (b) Cu25La25 (c) Cu20La30 (d). High-resolution TEM image of Cu30-La20 catalyst and EDS mapping (ej). The XRD patterns of Cu30-La20 catalyst (k). High-resolution XPS spectra of Cu30-La20 catalyst in the Cu 2p and La 3d regions (l,m).
Figure 2. SEM morphology of electrodes with different Cu-La ratios. Cu40La10 (a) Cu30La20 (b) Cu25La25 (c) Cu20La30 (d). High-resolution TEM image of Cu30-La20 catalyst and EDS mapping (ej). The XRD patterns of Cu30-La20 catalyst (k). High-resolution XPS spectra of Cu30-La20 catalyst in the Cu 2p and La 3d regions (l,m).
Catalysts 15 00623 g002
Figure 3. The products distribution of CO2 electroreduction on electrodes prepared with different metal doping. (a) Pd, (b) Zn, (c) La, (d) Cs.
Figure 3. The products distribution of CO2 electroreduction on electrodes prepared with different metal doping. (a) Pd, (b) Zn, (c) La, (d) Cs.
Catalysts 15 00623 g003
Figure 4. Product distribution of electrode electroreductions prepared with different copper–lanthanum doping ratios. (a) 40:10; (b) 30:20; (c) 25:25; (d) 20:30.
Figure 4. Product distribution of electrode electroreductions prepared with different copper–lanthanum doping ratios. (a) 40:10; (b) 30:20; (c) 25:25; (d) 20:30.
Catalysts 15 00623 g004
Figure 5. (a) Linear sweep voltammetry curves for the catalyst. (b) The electrochemically active area (ECSA) of three electrodes. (c) Stability test of electrochemical CO2 methanation during 12 h of electrolysis under a j of −250 mA/cm2 in the flow cell. The black line represents the applied potential curve and the blue dots represent FECH4. (d) Comparisons of the FE for CH4 of Cu30La20 catalyst with those of previously reported Cu-based electrocatalysts at corresponding potentials.
Figure 5. (a) Linear sweep voltammetry curves for the catalyst. (b) The electrochemically active area (ECSA) of three electrodes. (c) Stability test of electrochemical CO2 methanation during 12 h of electrolysis under a j of −250 mA/cm2 in the flow cell. The black line represents the applied potential curve and the blue dots represent FECH4. (d) Comparisons of the FE for CH4 of Cu30La20 catalyst with those of previously reported Cu-based electrocatalysts at corresponding potentials.
Catalysts 15 00623 g005
Figure 6. Reduction product distribution of catalysts at different deposition currents. (a) 0.1 A, (b) 0.2 A, (c) 0.5 A, (d) 1.0 A.
Figure 6. Reduction product distribution of catalysts at different deposition currents. (a) 0.1 A, (b) 0.2 A, (c) 0.5 A, (d) 1.0 A.
Catalysts 15 00623 g006
Figure 7. XRD images of catalysts at different deposition currents (a) 0.1 A, (b) 0.2 A, (c) 0.5 A, (d) 1.0 A. TEM images of catalysts at different deposition currents (e) 0.1 A, (f) 0.2 A, (g) 0.5 A, (h) 1.0 A.
Figure 7. XRD images of catalysts at different deposition currents (a) 0.1 A, (b) 0.2 A, (c) 0.5 A, (d) 1.0 A. TEM images of catalysts at different deposition currents (e) 0.1 A, (f) 0.2 A, (g) 0.5 A, (h) 1.0 A.
Catalysts 15 00623 g007
Figure 8. Reduction product distribution of catalysts at different deposition times. (a) 10 s, (b) 30 s, (c) 60 s, (d) 120 s.
Figure 8. Reduction product distribution of catalysts at different deposition times. (a) 10 s, (b) 30 s, (c) 60 s, (d) 120 s.
Catalysts 15 00623 g008
Figure 9. XRD images of catalysts at different deposition times (a) 10 s, (b) 30 s, (c) 60 s, (d) 120 s. TEM of catalysts at different deposition times (e) 10 s, (f) 30 s, (g) 60 s, (h) 120 s.
Figure 9. XRD images of catalysts at different deposition times (a) 10 s, (b) 30 s, (c) 60 s, (d) 120 s. TEM of catalysts at different deposition times (e) 10 s, (f) 30 s, (g) 60 s, (h) 120 s.
Catalysts 15 00623 g009
Figure 10. In situ ATR-SEIRAS spectra recorded at various potentials for (a) Cu30La20 and (b) Cu20La30 in a CO2-saturated 0.5 M KHCO3 solution (absorbance mode). Schematic diagrams of different reaction paths for Cu30La20 (c) and Cu20La30 (d) catalysts (blue atom is La and yellow atom is Cu).
Figure 10. In situ ATR-SEIRAS spectra recorded at various potentials for (a) Cu30La20 and (b) Cu20La30 in a CO2-saturated 0.5 M KHCO3 solution (absorbance mode). Schematic diagrams of different reaction paths for Cu30La20 (c) and Cu20La30 (d) catalysts (blue atom is La and yellow atom is Cu).
Catalysts 15 00623 g010
Disclaimer/Publisher’s Note: The statements, opinions and data contained in all publications are solely those of the individual author(s) and contributor(s) and not of MDPI and/or the editor(s). MDPI and/or the editor(s) disclaim responsibility for any injury to people or property resulting from any ideas, methods, instructions or products referred to in the content.

Share and Cite

MDPI and ACS Style

Du, C.; Wu, W.; Shang, J.; Xiang, K. Preparation of Cu-La Bimetallic Catalysts by Electrodeposition for the Electrocatalytic Promotion of CO2 to CH4. Catalysts 2025, 15, 623. https://doi.org/10.3390/catal15070623

AMA Style

Du C, Wu W, Shang J, Xiang K. Preparation of Cu-La Bimetallic Catalysts by Electrodeposition for the Electrocatalytic Promotion of CO2 to CH4. Catalysts. 2025; 15(7):623. https://doi.org/10.3390/catal15070623

Chicago/Turabian Style

Du, Caidong, Wenwei Wu, Jiangtao Shang, and Keyi Xiang. 2025. "Preparation of Cu-La Bimetallic Catalysts by Electrodeposition for the Electrocatalytic Promotion of CO2 to CH4" Catalysts 15, no. 7: 623. https://doi.org/10.3390/catal15070623

APA Style

Du, C., Wu, W., Shang, J., & Xiang, K. (2025). Preparation of Cu-La Bimetallic Catalysts by Electrodeposition for the Electrocatalytic Promotion of CO2 to CH4. Catalysts, 15(7), 623. https://doi.org/10.3390/catal15070623

Note that from the first issue of 2016, this journal uses article numbers instead of page numbers. See further details here.

Article Metrics

Back to TopTop