Abstract
Deep eutectic solvents (DESs) have emerged as prominent, environmentally benign substitutes for traditional solvents and catalysts in organic synthesis, notably in the synthesis of amines, pivotal structures in many industrial sectors. Their distinctive physicochemical attributes—including negligible volatility, exceptional thermal stability, and adjustable polarity—render them particularly advantageous for facilitating a broad spectrum of amination reactions. DESs can serve dually as reaction media and as intrinsic catalytic systems, accelerating reaction kinetics without necessitating supplementary catalysts or severe reaction conditions. They are especially efficacious in processes such as reductive amination, transamination, and multicomponent transformations, often affording superior yields and streamlining product isolation. The extensive hydrogen-bonding network intrinsic to DESs is believed to mediate crucial mechanistic steps, frequently obviating the requirement for external additives. Moreover, DESs are recyclable and exhibit compatibility with a diverse array of substrates, encompassing bio-derived and pharmaceutical intermediates.
1. Introduction
The global amines market size was estimated at USD 22.84 billion in 2023 and is projected to grow at a compound annual growth rate (CAGR) of 5.1% from 2024 to 2030, owing to rising surfactant demand and increased public awareness of health and food safety [1]. In fact, amines play a crucial role as chemical intermediates in the production of fine chemicals, agrochemicals, polymers, dyes, pigments, emulsifiers, and plasticizers, with even greater significance in the synthesis of active pharmaceutical ingredients (APIs). Among the vast number of APIs currently available, it is estimated that approximately 40–45% contain an α-chiral amine group within their molecular framework [2]. As commented, amines play an indispensable role in pharmaceutical chemistry. Their versatile chemical structure enables them to participate in a wide range of biological and chemical processes, being crucial as main components in the synthesis of therapeutic agents. As functional groups in many drugs, amines impart critical properties such as enhanced bioavailability, improved solubility, and the ability to engage effectively with biological targets like enzymes and receptors.
The significance of amines in pharmaceutical chemistry is evident in their presence across numerous drug classes, including antihistamines, antidepressants, anesthetics, and antimicrobials, as shown in Scheme 1 [3,4]. Thus, secondary amines in antihistamines are vital for receptor binding, while primary and tertiary amines often influence the pharmacokinetics and pharmacodynamics of various drugs. Amines also serve as essential intermediates in the synthesis of more complex molecules. Moreover, amines can be easily modified, tuning drug activity, minimizing adverse effects, and enhancing therapeutic efficacy. This flexibility, combined with their structural diversity and natural abundance, points out the main role of amines in medicinal chemistry.
Scheme 1.
Some examples of amines with pharmaceutical properties.
In view of their importance, different methodologies can be used for the synthesis of non-chiral and enantiopure amines [5,6]. Most of these reactions have been described in the presence of organic solvents, which present a wide set of environmental disadvantages, as these compounds are often volatile, flammable, and toxic. By these reasons, a more sustainable approach is required for the synthesis of these valuable compounds.
Deep eutectic solvents (DESs) have emerged as a promising class of solvents in green chemistry due to their unique physicochemical properties, environmental friendliness, and cost-effectiveness [7,8,9,10]. DESs are typically formed by mixing two or more components, which can include natural compounds, in such a way that the resulting mixture exhibits a significantly lower melting point than its individual components. This phenomenon is attributed to the extensive hydrogen-bonding network between the components, hydrogen bond acceptors (HBAs), and hydrogen bond donors (HBDs), which leads to the formation of a eutectic mixture. Unlike conventional organic solvents, DESs are typically non-volatile, non-flammable, and biodegradable, making them safer to handle and more sustainable. DESs also exhibit high thermal and chemical stability, and their properties (polarity, viscosity, and pH) can be tuned by altering their hydrogen bond donors and acceptors. (Some examples of HBAs and HBDs are shown in Scheme 2) However, DESs generally have higher viscosities and lower conductivities compared to most organic solvents, which can limit mass transfer in some applications. Despite this, their ease of preparation, low cost, and compatibility with the twelve green chemistry principles [11] make DESs an attractive alternative to conventional solvents in a wide range of chemical and industrial processes. To show the advantages of deep eutectic solvents (DESs), Table 1 summarizes the characteristics of commonly used solvents in amine synthesis, comparing them to DESs in terms of volatility, toxicity, biodegradability, and recyclability.
Scheme 2.
Some examples of the hydrogen bond acceptors (HBAs, blue) and donors (HBDs, red) used in DESs employed in amine synthesis. The compounds in black can be used either as HBAs or HBDs.
Table 1.
Comparison of the most commonly used solvents in amine synthesis.
DESs are extensively used in extraction processes, including the recovery of bioactive compounds from plants [12]. In electrochemistry, DESs serve as stable electrolytes for metal deposition and energy storage systems like batteries and supercapacitors [13]. They also find applications in pharmaceutical formulation and polymer synthesis, offering tunable physicochemical properties that can be tailored for specific tasks [14]. These molecules have been extensively employed as sustainable solvents or cosolvents in organic reactions [15,16,17]. Due to the presence of hydrogen bond networks, they can also participate as catalysts in different reactions [18,19,20]. In the present review, the last examples in which DESs have been employed as (co)solvents and/or catalysts for the preparation of amines will be described.
2. Synthesis of Amines in the Presence of Metal-Based Compounds
DESs have recently performed a valuable role as solvents in the preparation of amines employing metal-based catalysis, substituting classical organic solvents in different processes to establish more sustainable methodologies. In addition, for some processes, DESs can also act as cocatalysts, thus being able to not use other ligands to achieve effective reactions.
The Ullman amine synthesis (UAS) consists of the N-arylation of an alkyl halide with an amine. This reaction presents a high interest in organic chemistry for the preparation of aromatic amines. UAS is catalyzed by copper or a copper salt, requiring the use of a polydentate chiral auxiliary with oxygen or nitrogen coordination sites, as well as the presence of organic solvents [21,22]. In 2019, this process was studied employing DESs as solvents. Initial studies were conducted in the reaction between bromobenzene and N,N-dimethylehtylendiamine in the presence of different DESs using CuI (10 mol%) as the catalyst and K2CO3 as the base (2.0 equivalents) [23], as shown in Scheme 3. A 98% yield after 12 h was obtained in the preparation of diamine when working at 60 °C using ChCl/Gly (1:2) as the solvent. After process optimization, the scope of the reaction was enlarged by testing a set of aliphatic primary and secondary amines and (hetero)aryl halides, obtaining good to high yields. For the aliphatic and heterocyclic secondary amines, heating from 60 to 80 °C afforded the desired compounds with 80-90% yield. Diarylamines, which present antioxidant activity, were also prepared using the UAS. Thus, the reaction of bromobenzene with aniline was performed in ChCl:Gly (1:2) at 100 °C using tBuOK (3.0 equivalents) as the base and CuI as the catalyst. A set of functionalized diarylamines could be prepared at these conditions with yields between 60-97%. Remarkably, the catalyst, base, and the DES could be recycled after each reaction. The study was performed with the model reaction, and after 12 h, the crude was extracted with cyclopentyl methyl ether (CPME). After this, fresh reagents were added to the reaction medium; after six consecutive cycles, the yield only decreased from 98% to 96%. The authors hypothesized that the DES had a stabilizing effect on the copper salt, resulting in higher catalytic activity, not requiring the presence of any additional ligand. When comparing this reaction using ChCl:Gly (1:2) as the solvent with the process carried out in organic solvents, the use of DES eliminated any need for external ligands and enabled high yields (53–90% in DES vs. 5–30% in organic solvents) and recyclability.
Scheme 3.
Ullman amine synthesis employing CuI as the catalyst and ChCl:Gly (1:2) as the solvent.
The nucleophilic addition of organometallic reagents to chiral N-tert-butanesulfinyl imines, as described by Ellman and co., followed by the removal of the chiral auxiliary, has been a valuable approach for the synthesis of chiral primary amines [24]. These reactions are usually developed in organic solvents at very low temperatures under an inert atmosphere. The addition of both organolithium and Grignard reagents to N-tert-butanesulfinyl imines in DESs was reported in 2020, working at room temperature and under air, making it possible to obtain both enantiomers of chiral α,α-disubstituted primary amines with good results [25]. Initial experiments were performed using a model (SS)-sulfinyl imine and 1.4 equivalents of BuLi in the presence of different choline chloride-based DESs. The best results were obtained with sugar-containing DESs, as the reaction in ChCl:D-sorbitol (1:1) afforded the final amine in a 98% yield and a 65:35 diastereomeric ratio for the (Ss,R)-diastereomer. When nBuMgCl was employed, again, a high yield was achieved (91%). The reaction was extended to both electron-withdrawing and electron-donating groups in the aromatic moiety of the sulfinyl imines, reacting with both aliphatic and aromatic organomagnesium chlorides (nBuMgCl, MeMgCl, EtMgCl, iPrMgCl, and allylMgCl) and organolithium reagents (nBuLi, MeLi, EtLi, tBuLi, and PhLi) with very good yields (RLi: 87–98%; RMgCl: 74–98%). The sulfinyl group was easily cleaved under acidic conditions in the eutectic mixture, followed by extraction with CPME and basification, affording the chiral primary amines in high enantiomeric excess. The authors employed this methodology for the preparation of an enantioenriched amine precursor of the calcimimetic (R)-Cinacalcet, as shown in Scheme 4. Thus, (SS)-sulfinyl imine was treated with 1.4 equivalents of MeMgCl at room temperature and under air, leading to the sulfinamide in an 86% yield in just 2 min as a 1:1 mixture of diastereoisomers, which was separated by column chromatography. The (Ss,R)-diastereoisomer was then dissolved in the eutectic mixture, treated with a solution of HCl (2.0 M), and subsequently basified to afford the desired (R)-amine in an 88% yield and a 98% ee. The use of the DES drastically simplified the reaction conditions (room temperature and air) and reaction time (2 min) while maintaining excellent yields and moderate stereoselectivities when compared with organic solvents.
Scheme 4.
Synthesis of the (R)-amine precursor of (R)-Cinacalcet by the addition of MeMgCl to the N-tert-butanesulfinyl imine using ChCl:D-sorbitol as the solvent.
The Chan–Evans–Lam (CEL) amination consists of the coupling of a boron compound and a primary or secondary amine in the presence of a copper (II) salt. This reaction is usually carried out either in organic solvents or in mixtures of organic solvents/aqueous buffer at a high temperature and in the presence of additives and/or ligands [26]. In 2023, the reaction of primary amines with organoboron compounds was studied in the presence of DESs as solvents [27]. Initial experiments were conducted on the reaction between phenylboronic acid and anisidine at room temperature in the presence of a cupper catalyst and an inorganic base in DESs as solvents (Scheme 5). After process optimization, it was possible to achieve the final amine in a 92% isolated yield when employing 20 mol% of Cu(OAc)2 and tBuOK as the base, using choline acetate:urea (ChOAc:U) (1:2) as the reaction medium. This DES must be dried prior to the reaction to avoid undesired side reactions. These conditions were applied using other starting amines. Thus, for the aromatic amines containing electron-donating groups, good to excellent yields could be achieved, whereas the presence of electron-withdrawing groups had a negative impact on the reaction yields. Other amines, such as benzylamine, 2-phenylethan-1-amine, or cyclohexanamine, were tested, leading to moderate yields. The reaction was also tested with other boron compounds, including acid pinacol ester or potassium phenyl trifluoroborate, affording the final secondary amines with moderate to good yields. The model reaction was scaled up to 1.0 g of phenylboronic acid, recovering the final amine in an 89% yield. DES recycling showed that the process could be repeated up to 4 times, with only a small loss in the reaction yield. After each reaction, the crude was extracted with CPME, and fresh reagents were added. Finally, the CEL amination was applied to the preparation of flufenamic acid, a COX-1 inhibitor. After 24 h at room temperature, the amine precursor was recovered in a 51% yield. The use of ChOAc:U (1:2) as the solvent enabled a high yield in a ligand-free reaction at room temperature, something that is not possible when carried out in organic solvents.
Scheme 5.
Chan–Evans–Lam (CEL) amination for the synthesis of aromatic amines in the presence of ChOAc:U (1:2) as the solvent and Cu(OAc)2 as the catalyst.
Apart from their environmental properties, one of the main features of DESs is their ability to modulate substrate solubility, especially for polar and charged species. The previous examples illustrate how DESs outperform or match conventional solvents in key amine synthesis processes. Thus, for the UAS, the DES significantly increases the solubility of both hydrophilic (K2CO3) and moderately hydrophobic substrates (aryl halides), likely due to the unique hydrogen-bonding network and polarity. For the nucleophilic addition to sulfinyl imines, DESs can create a favorable microenvironment, enabling the simultaneous solubility of polar imines and reactive organometallic reagents without deactivation or protonolysis. Finally, in the CEL amination, the DESs selected enhanced the solubility of both boronic acids and anilines, also preserving the Cu(OAc)2 catalyst from deactivation.
3. Biocatalyzed Preparation of Amines in the Presence of DESs.
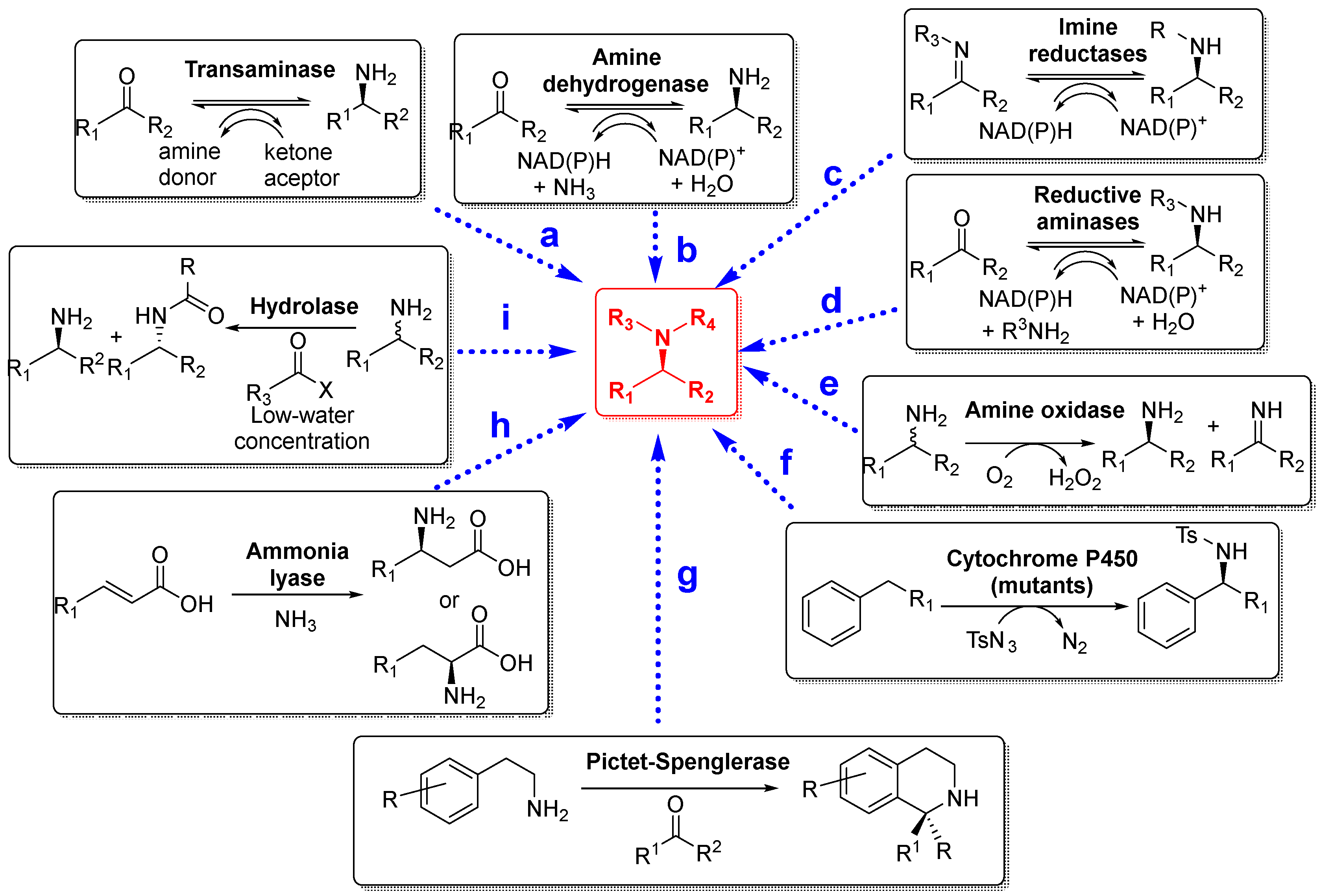
The use of biological systems as mediators in chemical processes has emerged in the last decades as a valuable alternative to classical catalytic methodologies [28,29,30]. Many examples of the biocatalyzed synthesis of amines can be found in modern literature [2,31,32,33,34], following different strategies, as depicted in Scheme 6. For instance, transaminases (TAs, Scheme 6a) mediate the reversible transfer of an amine group from a donor molecule to a carbonyl-containing acceptor [35,36,37]. Depending on the reaction conditions, enzymatic transamination can proceed in both directions, allowing these enzymes to be employed either for the kinetic resolution of racemic amines or, more frequently, for asymmetric amine synthesis starting from pro-chiral ketones.
Scheme 6.
Different enzymatic protocols used for the preparation of enantiopure amines.
Oxidoreductases, including amine dehydrogenases (Scheme 6b), imine reductases, (Scheme 6c), and reductive aminases (Scheme 6d), catalyze the reversible reductive amination of carbonyl compounds [38,39,40] using ammonia or another amine donor in combination with a reducing equivalent derived from nicotinamide adenine dinucleotide cofactors [NAD(P)H]. The latter is typically regenerated in situ by another oxidoreductase, often at the expense of a sacrificial reductant such as glucose, formate, dihydrogen, or phosphite. While amine dehydrogenases predominantly utilize ammonia as the amine donor [41], imine reductases and reductive aminases can accept a wider variety of amine donors [42]. Consequently, amine dehydrogenases are primarily employed for the synthesis of primary amines due to their high stereoselectivity, whereas imine reductases and reductive aminases are more suited to the synthesis of secondary and tertiary amines.
Amine oxidases (Scheme 6e) facilitate the enantioselective oxidation of amines by utilizing dioxygen, making them valuable in deracemization processes [39,43]. Engineered cytochromes P450 (Scheme 6f) have been adapted to conduct abiotic nitrene insertions into C(sp3)-H bonds or alkene moieties, yielding protected α-chiral amines, amino alcohols, or aziridines [44,45]. When the axial cysteine ligand in their heme center is replaced by a serine, these enzymes are referred to as cytochromes P411, reflecting the shift in their spectroscopic properties. Pictet-Spenglerases (Scheme 6g) facilitate the Pictet–Spengler reaction, enabling the synthesis of tetrahydroisoquinoline (THQ) alkaloids through the coupling of an aldehyde (or, more recently, a ketone) with a substituted 2-phenylethan-1-amine [46]. Unlike the traditional chemical Pictet–Spengler reaction, the enzymatic version often proceeds with remarkable enantioselectivity. On the other hand, ammonia lyases (Scheme 6h) catalyze the reversible addition of ammonia or an amine to the alkene group of an α,β-unsaturated mono- or di-carboxylic acid [47]. Since the reaction tends to favor ammonia elimination in aqueous buffers, the asymmetric synthesis of α- or β-amino acids typically necessitates an excess of the amine donor. Finally, hydrolases (Scheme 6i) can be used for resolving chiral amines, either exploiting their natural hydrolytic capacity within an aqueous buffer, in a reverse acylation reaction when exposed to high concentrations of organic solvents within the buffer, or even in pure organic solvents with precisely controlled water activity. Their selectivity can be exploited for the kinetic resolution (KR) or dynamic kinetic resolution (DKR) of racemic amines [48,49,50].
Of all the biocatalyst shown in Scheme 6, transaminases (TAs, Scheme 7) are the most used for furnishing amines in DESs. Among these enzymes, α-transaminases (α-TAs, Scheme 7a) do need to use an α-amino acid as an amine donor [51], while ω-transaminases (ω-TAs, Scheme 7b) are more attractive, as they are not that restricted in the structure of the amine donor, accepting amino acids where the amino group can be at different positions or even primary or secondary amines [37]. This fact has promoted the usual process catalyzed by these enzymes, the transformations of carbonyl compounds to amines, when using pro-chiral ketones (Scheme 7b).
Scheme 7.
Reactions catalyzed by both α-transaminases (a) and ω-transaminases (b).
ω-TAs have been proven to be very stable and active in DESs. For instance, Wang et al. [52] studied the effect of ChCl-based DESs on a recombinant ω-TA expressed in E. coli. The model reaction was the synthesis of acetophenone from (R)-(+)-1-phenylethan-1-amine, coupled to the formation of alanine from pyruvate. The reaction was conducted in a DES–buffer mixture, where DES functioned as a cosolvent. These authors intended to identify the most suitable DES composition for improving the transaminase performance, as well as to optimize reaction conditions (temperature, pH, and DES concentration) and analyze enzyme kinetics and molecular interactions using computational modeling. Thus, various ChCl-based DESs were synthesized by mixing ChCl with different HBDs, including urea (U), ethylene glycol (EG), 1,2-propanediol (PD), and glycerol (Gly), in a 1:1 molar ratio at 80 °C for 3 h. The DES solutions were then mixed with 50 mM phosphate buffer (pH 8.0) at different volume fractions, using NMR spectroscopy to confirm the formation of DESs without chemical side reactions. Subsequently, the effects of DES concentration, temperature, and pH on ω-TA activity were investigated using a response surface methodology (RSM) with a Box–Behnken design, while the kinetic parameters (KM, Vmax, and kcat) of the ω-TA in the DES system were evaluated using the Michaelis–Menten model. Finally, molecular docking simulations were conducted to elucidate the mechanistic role of DES in enzyme catalysis. Among the nine DESs evaluated, ChCl:U (1:1) exhibited the highest enhancement in ω-TA activity; in comparison to the phosphate buffer, DES increased specific enzyme activity by 3.9-fold. Interestingly, they observed that the individual components of DES (ChCl and urea) independently enhanced ω-TA activity, but their combination showed the strongest effect. More specifically, urea played a crucial role by participating in proton transfer reactions, thereby facilitating transamination. This fact was confirmed by molecular docking simulations, which revealed that urea from DES played a dual role, both as the proton donor and acceptor, enhancing transamination by substituting Lys180 in the proton transfer, as well as the structural stabilizer, strengthening hydrogen-bonding networks and maintaining enzyme conformation. Furthermore, binding energy calculations confirmed that urea significantly increased enzyme–substrate affinity, accelerating reaction rates.
Regarding the optimization of reaction conditions, at 10% v/v DES, ω-TA exhibited the highest catalytic activity, which was 4.52 times higher than the control, while at >10% v/v DES, enzyme activity declined due to increased solution viscosity, hindering mass transfer. The optimal temperature for TA activity in reline, the DES formed by ChCl:U (1:2), was 40 °C, and higher temperatures led to a decline in activity, likely due to enzyme denaturation. Finally, pH 8.0 was identified as the optimal pH, providing maximum transaminase activity, as both acidic and highly alkaline conditions (pH > 9.0) led to enzyme deactivation.
The same research group also investigated the use of binary and ternary ChCl-based DESs as cosolvents to enhance the stability and catalytic efficiency of a ω-TA from Aspergillus terreus, analyzing the effect of buffer solutions with varying pHs (6.0–9.0), substrate concentration range (10–100 mM), and different DES compositions and concentrations (10–50% v/v) [53]. The best-performing DES consisted of ChCl:Gly (1:1), which increased enzymatic activity up to 2.5-fold, compared to standard buffer solutions; similarly, DES ChCl:EG (1:1) improved substrate solubility and the reaction rate. On the other hand, high-viscosity DESs based on betaine (Bet) as the HBA negatively affected the reaction rate, likely due to reduced substrate diffusion, whereas DESs containing lactic acid (LA) as the HBD altered pH, leading to enzyme deactivation. Through RSM, the following optimal reaction conditions were identified: pH 7.5, 40 °C, 20% v/v DES concentration, and 50 mM substrate concentration. Enzyme efficiency was maximized, and side reactions were minimized. It was also observed that the enzyme retained 80% of its activity after 24 h in the optimized DES solution, whereas in conventional buffers, activity dropped significantly down to 50%; after 48 h, activity in DESs was still 60%, whereas in buffer solutions, it dropped to 20%. Structural analysis by circular dichroism indicated that DESs protected the enzyme from unfolding and denaturation, suggesting a stabilizing effect. Additionally, compared with other traditional solvents such as DMSO and ethanol, which caused rapid enzyme deactivation, DESs maintained enzyme functionality, providing a biocompatible microenvironment, allowing for higher reaction yields and better enzyme longevity. It was also shown that hydrogen bonding in DESs protected the enzyme from aggregation and unfolding; prevented water-dependent deactivation pathways, maintaining enzyme activity; and provided a microenvironment that mimicked the natural enzyme hydration shell, preserving structural integrity.
In the last years, the use of DESs for biomass treatment has been extensively studied, particularly in the fractionation and conversion of lignocellulosic materials [54,55,56,57]. Biomass, composed primarily of cellulose, hemicellulose, and lignin, presents a complex and recalcitrant structure that requires efficient solvation for effective processing. DESs have demonstrated significant potential in this domain, particularly in lignin extraction [58,59], cellulose dissolution [60,61], hemicellulose depolymerization [62,63], and enzymatic pretreatment of biomass, as DESs can significantly improve enzymatic hydrolysis efficiency, increasing the yield of fermentable sugars for bioethanol and other biofuels [55,64,65].
Hemicellulose, a key polysaccharide in biomass, serves as a crucial precursor for synthesizing furfural (FAL, Scheme 8)—a valuable compound used in producing furan derivatives, fine chemicals, biofuels, fuel additives, resins, plastics, fungicides, and nematicides [66]. Recently, deep eutectic solvents (DESs) have gained attention as alternative media and catalysts for FAL production [67,68,69]. Furfurylamine (FLA, Scheme 8) is a versatile amine-bearing compound widely used in pharmaceuticals, agrochemicals, polymer chemistry, and materials science. Valued at USD 25.4 million in 2023, the global FLA market is projected to grow to USD 39.8 million by 2032 (CAGR: 5.1%) [70]. In pharmaceuticals, FLA is a key intermediate in synthesizing bioactives such as furosemide, a potent diuretic made via condensation with 2,4-dichloro-5-aminosulfonylbenzoic acid [71]; furtrethonium, a muscarinic receptor agonist used in glaucoma treatment [72]; barmastine (Ramastine), an oral antihistamine developed for asthma (later discontinued) [73]; and pyridin-3-ol, derived from FLA oxidation/cyclization, a precursor to pyridostigmine, used for myasthenia gravis [74,75].
Scheme 8.
Use of FLA as a precursor for the synthesis of bioactive compounds.
In agrochemistry, FLA is a key intermediate in synthesizing pesticides, supporting sustainable agriculture [76]. In polymer science, it enables the production of bio-based polyamides—via an “amine-first” approach—and flame-retardant phosphorus-containing benzoxazines [77,78]. FLA also functions as a green corrosion inhibitor [79]. Industrially, FLA is produced via the catalytic reductive amination of FAL using metal-based catalysts and ammonia in aqueous or alcoholic solvents [80,81]. However, catalyst deactivation poses sustainability challenges. Chemoenzymatic alternatives offer greener solutions: FAL (or derivatives) can be converted to FLA via biocatalyzed transamination, often using DESs as cosolvents [82,83,84,85,86]. Typically, genetically engineered whole cells expressing ω-TAs and auxiliary enzymes are employed to shift the equilibrium toward the amine. This strategy also enables the conversion of 5-hydroxymethylfurfural (HMF) into (5-(aminomethyl)furan-2-yl)methanol, as shown in Table 2.
Table 2.
Biocatalyzed approaches employing ɷ-TAs for the synthesis of FLA.
Another very interesting bio-based amine is vanillylamine (VANLA, Scheme 9), a phenolic amine derived from vanillin (VAN), a valuable bio-based molecule [94]. In fact, VANLA is recognized for its role as a precursor in capsaicin biosynthesis (Scheme 9), a compound widely studied for its analgesic properties, particularly in treating neuropathic pain [95,96] or as a combinatorial and chemosensitizing agent in cancer therapy [97]. VANLA reacts with 8-methyl-6-nonenoic acid to form capsaicin via capsaicin synthase [98], and some of its analogs, as nonivamide [99], arvanil, or olvanil [100,101], have been investigated for their therapeutic properties.
Scheme 9.
Use of vanillylamine (VANLA) as a precursor in the synthesis of valuable molecules.
The biocatalyzed transformation of VAN into VANLA is usually reported using ɷ-TAs in aqueous media [102,103]. Li et al. described the whole-cell-catalyzed bioamination of VAN DES/water media in the presence of a surfactant as PEG-2000 [104]. Recombinant E. coli 30CA cells, expressing ω-TA from Chromobacterium violaceum ATCC 12472 and L-alanine dehydrogenase (AlaDH) from Bacillus subtilis BEST7613, was the catalyst used, and different DESs (ChCl, L-Proline (Pro) or betaine as HBA; LA, Gly, or EG as HBD, 1:2) were tested as cosolvents (5.0 wt%, pH 8.0), together with a surfactant PEG-2000 (40 mM). The best results (90% yield) were obtained using 60 mM VAN, a 1:1 molar ratio of glucose to VAN, a 2.5:1 molar ratio of NH4Cl to VAN, PEG-2000 40 mM, ChCl:LA 5.0 wt%) at 40 ◦C, and pH 8.0. These authors postulated that the role of DES as a cosolvent in the bioreaction medium is to enhance the permeability of the cell membrane, therefore increasing substrate access and promoting catalytic efficiency. This enhancement is attributed to the ability of certain DES components to disrupt lipid bilayers, a phenomenon previously demonstrated via membrane staining and a microscopy technique. E. coli strain 20PDC, developed by Liu et al., was also tested in the bioamination of VAN to VANLA (similar reaction conditions) [91]. The 20PDC cells aminated VAN (10–20 mM) into VANLA in a yield of 87.0% within 240 min. However, as the content of VAN was elevated, the yield of VANLA declined, and at 60 mM VAN, there was a substantial diminution in bioamination activity, along with substrate VAN inhibition.
There are very limited cases in which ω-TAs, either as pure enzymes or cells, have been used in DESs for furnishing enantiopure amines starting from pro-chiral ketones. For instance, Paris et al. described in 2019 the performance of several commercial ω-TAs in the transamination of phenylacetone as a model substrate, using several mixtures of DESs and aqueous media (KPi buffer), as depicted in Scheme 10 [105].
Scheme 10.
Transamination of phenylacetone in DES/buffer media.
The authors employed pure enzymes from a commercial kit (Codexis) and several S-selective ω-TAs, such as those from C. violaceum (Cv) and (S)-Arthrobacter (ArS), as well as some R-selective ω-TAs from (R)-Arthrobacter (ArR) and its evolved variant ArRmut11. Phenylacetone was chosen as the model substrate, as it had previously been efficiently converted by these ω-TAs in conventional aqueous media [106]. Four ChCl-based eutectic mixtures (ChCl/Gly 1:2; ChCl/H2O 1:2; ChCl/sorbitol 1:1; and reline) were tested at varying water contents. Experimental conditions required the incubation of phenylacetone (30 mM) in mixtures of DES and phosphate buffer (KPi), ranging from 25–75% DES, containing 1 mM PLP and 1 M iPrNH2 as the amine donor at pH 7.0, 30 °C, and 250 rpm for 24 h. The results revealed that DES–buffer mixtures provided highly favorable reaction conditions for ω-TAs at DES concentrations of 25% or 50% (w/w). The commercial enzymes achieved very high conversion rates across all four media, with conversion values comparable to those observed in buffer solutions. In contrast, Cv and ArS showed reduced activity in all DES mixtures except in reline, in which they maintained similar activity levels compared to buffer solutions. ArR and ArRmut11 demonstrated good conversion rates across all DES–buffer systems, with ArRmut11 performing particularly well. Increasing the DES concentration to 75% (w/w) in the case of ChCl/Gly (1:2) caused minimal changes (less than 5%) in the conversion rates, highlighting the remarkable tolerance of ω-TAs toward DESs—far exceeding their tolerance for organic solvents [107]. This exceptional stability was attributed by the authors to the nanostructure of DESs, which remained intact even at high water content (approximately 42 wt% H2O) due to the solvophobic sequestration of water into nanostructured domains around cholinium cations [108]. Consequently, it was likely that bioamination occurred within a choline chloride/glycerol/water deep eutectic solvent mixture. Additionally, the enantioselectivity of ATA-237-catalyzed bioamination improved from 96% to over 99% ee in all four DES–buffer systems.
In the same publication [105], Paris et al. also checked the activity of a ω-TA from Exophiala xenobiotica (EX-STA) in the bioamination of 1-(4-(pyridin-3-yl)phenyl)ethan-1-one, a pro-chiral biaryl ketone, as shown in Scheme 11. From a synthetic perspective, the primary challenge was to assess whether EX-ω-TA retained activity in bio-based solvents. To address this, the bioamination of 1-(4-(pyridin-3-yl)phenyl)ethan-1-one was selected as a benchmark reaction utilizing the EX-STA variant (T273S amino acid exchange), which is known for achieving the highest conversion rates with biaryl ketones [109]. The reaction was performed under optimized conditions, including alanine as the amino donor, an LDH/GDH recycling system (lactate hydrogenase from rabbit muscle (LDH, 90 U), and glucose dehydrogenase from Bacillus megaterium (GDH, 30 U)), supplemented with choline chloride/glycerol (1:2). For comparison, other cosolvents like DMSO, THF, and iPrOH were also tested at concentrations of 5% and 15% v/v.
Scheme 11.
Transamination of 1-(4-(pyridin-3-yl)phenyl)ethan-1-one in DES/buffer media.
The results indicated that enzyme activity was significantly reduced in the presence of THF and iPrOH at a 15% cosolvent concentration. Conversely, EX-STA demonstrated high activity in both DMSO and reline, achieving nearly quantitative conversions at 15% cosolvent. However, increasing the DES concentration to 25% led to a decrease in enzymatic performance, with conversion dropping to 60%. In DES:buffer mixtures at a 1:1 ratio, enzyme activity was negligible. Despite variations in cosolvent type and concentration, EX-STA maintained excellent enantioselectivity toward the pro-chiral ketone, consistently yielding the correspondent (R)-amine with an ee > 99%. More interestingly, this enzymatic bioamination was combined with a previous chemical step, also in DES/buffer medium, to furnish several chiral biaryl-substituted amines by integrating a Suzuki cross-coupling reaction to produce an intermediate pro-chiral biaryl ketone, subsequently bioaminated using ω-TAs in different DESs/buffer systems (Scheme 12).
Scheme 12.
One-pot synthesis of enantiopure biaryl amines using Pd-catalyzed Suzuki cross-coupling and enzymatic transamination in reline/buffer media.
The Suzuki cross-coupling reaction, catalyzed by palladium complexes, is a well-established method to form biaryl structures [110]. However, integrating this reaction into a one-pot process with enzymatic bioamination is challenging. Thus, in the first chemical step, different aryl bromides and phenylboronic were used to furnish pro-chiral biaryl ketones at 100 °C for 24 h in reline/water (25% v/v DES) and using PdCl2/triphenylphosphine-3,3′,3″-trisulfonic acid trisodium salt (TPPTS) as the catalyst. Interestingly, boronic acids and aryl halides were fully consumed during the Suzuki reaction, preventing interference in the enzymatic step; additionally, the palladium complex [Pd(TPPTS)2Cl2] at 1.0 mol% caused slight enzyme inhibition (81% conversion), while TPPTS ligand concentrations up to 10 mol% were tolerated by EX-STA. Thus, the Suzuki step was conducted at 100 °C in a reline–water (4:1) mixture, achieving quantitative conversion in some ketones. Subsequent dilution to reduce DES content (from 80% to 10–30%) was critical for maintaining EX-STA activity during bioamination. At a 25 mM substrate concentration (10% DES), conversion reached 45%, matching aqueous buffer performance. Also, the wild-type enzyme (EX-wt) was tested, and it was observed that EX-STA outperformed the wild-type enzyme (EX-wt) in DES-containing media, converting some biaryl ketones (Ar = 3-phenyl; 4-(pyridin-2-yl), 4-(pyridin-3-yl), and 4-(pyridin-4-yl)) to (R)-biaryl amines with >99% ee and >95% conversion. In fact, EX-wt showed instability in DES–buffer systems, resulting in negligible or low conversions (≤35%) under similar conditions.
As can be clearly inferred from the examples shown so far, transaminases are the most used enzymes for furnishing amines in DES/water media. Imine-reductases have been also reported in DESs for the generation of amines. For instance, Arnodo et al. reported the enantioselective reduction of 2-substituted cyclic imines into corresponding chiral amines (pyrrolidines, piperidines, and azepines) using imine reductases (IREDs) in some non-conventional solvents (glycerol/phosphate buffer mixtures and DESs) to overcome limitations of traditional aqueous media (low solubility of substrates), aiming to improve substrate concentration and reaction efficiency while maintaining high enantioselectivity [111]. The reaction, depicted in Scheme 13, tested a collection of commercially available IREDs (chiral amines kit EZK004f from Johnson&Matthey), combined with the glucose dehydrogenase from Bacillus subtilis (GDH) and D-glucose as a cofactor recycling system, for reducing model substrate 5-phenyl-3,4-dihydro-2H-pyrrole (n = 0, R = Ph), initially in the phosphate buffer.
Scheme 13.
Biocatalyzed reduction of cyclic imines to chiral amines employing IREDs.
Thus, enzymes IRED-44, IRED-69, and IRED-72 were all capable of reducing the model substrate to the corresponding (S)-amine. Of these, IRED-44 exhibited the highest enantioselectivity, achieving an ee greater than 99%. As a result, these three enzymes were chosen for further experiments aimed at evaluating the potential of alternative solvent systems in IRED-mediated bioreductions of pro-chiral imines. The initial focus was on a ChCl:Gly (1:2) DES as a reaction cosolvent, using IRED-44 as the biocatalyst. In this system, the DES reduced the viscosity of the reaction medium and enhanced substrate solubility while preserving enzyme stability. Nevertheless, when using the pure DES at 30 °C, using both 5 mM and 100 mM substrate concentrations, no amine product was detected. Consequently, a 50% (v/v) DES solution in phosphate buffer was employed. Regarding the optimization of substrate concentration, the performance of IRED-44 was assessed in both the phosphate buffer and a mixture with DES. At a concentration of 5 mM, IRED-44 effectively converted model imine into the desired (S)-amine in both solvent systems, yielding favorable results. However, as the substrate concentration increased, the outcomes diverged notably. At 100 mM in pure buffer, the reaction failed to proceed, and only the starting material was recovered. In contrast, under the same conditions in the buffer/DES mixture, the reaction yielded to 62% of the amine, with an enantiomeric excess exceeding 99%. Even when the substrate concentration was increased to 150 mM and 200 mM, respectable yields of 49% and 51%, respectively, were still achieved, results that could prove valuable in large-scale applications. Compared to the reaction in pure buffer, the key advantage of the DES-containing system lay in its ability to accommodate higher substrate concentrations, thereby reducing the overall volume of solvent needed.
Authors also analyzed the effect of different DES formulations combined with buffer, as well as the contribution of individual solvent components, enzyme concentration, reaction time, and the necessity of each cofactor involved in the redox cycle. Hence, regarding the composition of the reaction medium, some combinations led to diminished yields, such as ChCl/U (1:2, 38%), ChCl/H2O (1:2, 44%), tetrabutylammonium bromide/Gly (1:2, ≤3%), or ChCl/D-fructose (2:1, 18%). On the other hand, ChCl/D-glucose (2:1) performed relatively well, yielding 57% with >99% ee. Remarkably, in this case, the D-glucose present in the DES also functioned within the redox system, eliminating the need for external glucose supplementation. Subsequently, the role of each DES component individually was checked, testing the combination of buffer with choline chloride and glycerol, as well as the buffer with both components added separately. The system containing only ChCl was inactive, whereas the buffer/glycerol mixture led to a 67% yield, comparable to the result obtained with the complete DES (62%). Based on these findings, the authors kept optimizing reaction parameters in this solvent.
4. Preparation of Amines in the Presence of DES as Solvents/Catalysts
Apart from their role as solvent/cosolvents in a wide set of catalyzed reactions, DESs can act as catalysts themselves in different chemical reactions, due to the presence of hydrogen bonds in their structure. Thus, examples of DES applications as catalysts in (cyclo)additions and multicomponent reactions (MCRs) have been described, some of them focused on the preparation of different types of amines [18,19,20,112].
In 2011, the selective N-alkylation of aromatic primary amines was described employing different types of catalysts, including enzymes and DESs [113]. Thus, the reaction of aniline with hexyl bromide led to the secondary amine (78% yield) after 4 h using reline at 50 °C as the solvent and catalyst. In view of this result, aromatic amines containing different substituents were tested, leading to good yields in reaction times ranging from 2 to 10 h when hexyl, butyl, or benzyl bromide were employed as alkylation reagents. The hydrogen bond interaction between the DES and the aromatic amine increased the nucleophilicity of these reagents, thus enhancing the reaction rates in the presence of the alkyl bromide. The catalyst recycling was analyzed, showing that reline could be reused five times with only a slight decrease in the catalytic activity.
α-Aminophosphonates present valuable applications as peptidomimetics, antibiotics, antihypertensives, antivirals, and herbicides [114]. The Kabachnik–Fields reaction is a methodology for their preparation, consisting of a multicomponent reaction between an aldehyde or ketone, an amine, and a secondary phosphine oxide or phosphite reagent. This reaction is typically carried out in organic solvents using Lewis or Bronsted acids, leading to processes with generally low yields and requiring high temperatures and yields [115]. The development of this reaction using DESs was reported in 2012 [116]; thus, the reaction between benzaldehyde, diethyl phosphite, and aniline was carried out in the type IV DES ChCl:ZnCl2 (1:2) at room temperature [117]. When this DES was employed at 15 mol%, it was possible to recover the final compound in a quantitative conversion after 1 h. This protocol was extended for other aromatic aldehydes and amines, recovering the α-aminophosphonates in yields from 70 to 96%. DES could be recycled for five cycles, with only a small loss in the activity by extraction of the reaction with methyl tert-butyl ether (MTBE) and posterior DES activation at 80 °C under vacuum. As this DES was very expensive and difficult to be handled due to the air and moisture sensitivity of ZnCl2, the same process was analyzed in the presence of natural DESs [118] (Scheme 14). Thus, the reaction between benzaldehyde, aniline, and diphenylphosphine oxide was carried out in different choline chloride-based DESs, reaching a 90% conversion after 1 h at 60 °C in the presence of 20 mol% of ChCl:U (1:2) [119]. These conditions were extended to other aromatic aldehydes and anilines, being recovered in the final compounds in excellent yields, thus demonstrating the applicability of the catalytic system. The DES recycling was also analyzed in the model reaction. After each reaction cycle was finished, DES was recovered and dried at 70 °C. After four cycles, the final α-aminophosphonate was still obtained in an 80% yield. Reaction was further scaled up to 0.52 g of benzaldehyde, furnishing the desired product in an 89% yield. The green metrics of this procedure were also calculated, reporting a remarkable low E-factor for the reaction (0.15), as well as high reaction mass efficiency (RME = 86%), high atom economy (AE = 92%), and high process mass intensity (PMI = 1.16) [120,121], indicating the ecofriendly nature of this reaction, in which neither toxic solvents nor harsh reaction conditions were required. The authors proposed a mechanism in which the urea activated the aldehyde by forming a hydrogen bond, enhancing the electrophilicity of the carbonyl group of the aldehyde. The DES also promoted the nucleophilic attack of the amine on the aldehyde, forming an intermediate imine which was stabilized by hydrogen bond interactions.
Scheme 14.
Synthesis of α-aminophosphonates using a MCR catalyzed by ChCl:ZnCl2 (1:2).
ChCl:ZnCl2 (1:2) was also employed as a catalyst in the preparation of β-aminocarbinols employing a Mannich reaction, a MCR between an aldehyde, an amine, and a ketone [122]. Initial studies of the reaction between benzaldehyde, aniline, and acetophenone showed that the highest yield for the final product (96%) was achieved when performing the reaction at room temperature after 10 h in water containing 5% v/v of the DES. Different substituted benzaldehydes, as well as acetone and 4-methoxyacetophenone, were tested in the MCR, furnishing the desired β-aminocarbinols with yields ranging from 52 to 98% (Scheme 15). In general, the benzaldehydes bearing electron-withdrawing groups afforded higher yields than those with electron-donating ones, whereas no effect was observed from the ketone structure. Aliphatic aldehydes were extremely reactive at the reaction conditions, leading to undesired side-reactions. The DES catalyst could be recycled up to four cycles while maintaining its activity. The choline chloride at the DES enhanced the catalytic properties of the DES, forming species that acted as Lewis bases, thus abstracting one proton from the ketone in order.
Scheme 15.
MCR for the preparation of β-aminocarbinols catalyzed by ChCl:ZnCl2 (1:2).
A set of DESs formed by ZnCl2 as the HBA and different HBDs were tested in the MCR between benzaldehyde, morpholine, and phenylacetylene to obtain the corresponding propargyl amines, as shown in Scheme 16 [123]. When using ZnCl2:dimethylurea (DMU, 2:7) at 80 °C, the desired amine was recovered in a 67% yield. Lower or higher temperatures led to a slight decrease in the reaction yield. When the reaction was carried out with an excess of morpholine (1.1 equiv) and phenylacetylene (1.2 equiv), the process yield increased up to 73%. Accordingly, the use of 1.5 equivalents of these compounds led to an 88% yield in the amine formation. The reaction scope regarding the aldehyde, the amine, and the alkyne was analyzed, showing that, in general, high yields were achieved with aromatic aldehydes, with an important loss of activity in the presence of aliphatic ones. Morpholine turned out to be the best amine for this process, as lower yields were measured with piperidine, isopropylbenzylamine, or other aliphatic amines. The 4-meyhylphenylacetylene led to a better result, achieving lower yields with phenylacetylenes containing the 4-methoxy or the 4-chloro substituents. The recyclability of the DES was studied for the model reaction, isolating the corresponding amine in a very good yield for three cycles.
Scheme 16.
Application of ZnCl2:DMU (2:7) as catalysts in the synthesis of propargyl amines.
Pyranopyrimidines, a class of N-heterocyles, present valuable properties, including antimicrobial, anticoagulant, anti-tumor, and anti-bronchitis, among others [124]. In 2023, the preparation of a set of chromenopyrano[2,3-d]-pyrimidines was described by a multicomponent reaction in the presence of barbituric acid, an aromatic aldehyde, and 4-hydroxycoumarin, using the acid DES formed by methyltriphenylphosphonium bromide (MTPPBr)-3,4-dihydroxybenzoic acid (PCAT) in a 1:1 molar ratio as the reaction medium and catalyst [125] (Scheme 17). After analyzing different reaction parameters, a 93% yield was obtained in the reaction using a ratio 1:1:1 of the starting materials at 80 °C in the presence of 1.5 mol% of the DES. The reaction was extended to other aromatic aldehydes, leading to the final compounds in good yields after short times (15–45 min). The authors proposed a reaction mechanism in which the DES acted as a catalyst. One component activated barbituric acid via hydrogen bonding, while the other component increased aldehyde electrophilicity. The intermediate formed in the reaction between these two components acted as a Michael acceptor with 4-hydroxycoumarin, and further intramolecular cyclization and loss of water afforded the final product. After the reaction was completed, DES was washed with water and ethanol and filtered. This catalyst was recycled three times, without observing a big loss in its activity (from a 93% to 83% yield).
Scheme 17.
Synthesis of chromenopyrano[2,3-d]-pyrimidine employing the MTPPBr:PCAT (1:1) as a catalyst at 80 °C.
N-substituted quinazolinone heterocyles are valuable compounds with pharmacological properties [126]. These compounds were previously synthesized employing copper or palladium catalysts in multicomponent reactions developed in classical organic solvents, with some drawbacks, including harsh conditions and the use of toxic solvents and catalysts [127]. In 2024, the preparation of a set of these heterocycles was described in the presence of anthranilic acid, aldehyde, and a substituted urea-based DES, which presented a triple role in the process: (1) reaction medium; (2) catalysts; and (3) amine source [128]. Initial experiments were carried out for the synthesis of quinazolinone, starting from anthranilic acid and tetramethyl ortho-acetate (1.2 equiv), to yield the N-acetylated anthranilic acid. After this, a dimethylurea-based DES and benzaldehyde were added to obtain the desired product. The highest yields were achieved in the presence of DMU–tartaric acid (7:3) at 110 °C for 2 h, recovering the final product in an 88% yield. This procedure was extended to other aromatic aldehydes, achieving good yields regardless of the electronic nature of the substituent (Scheme 18). Moderate yields were measured for heterocyclic aldehydes, whereas no reaction was observed for aliphatic or α,β-unsaturated ones. During the reaction, DMU broke into carbon dioxide and methylamine, which reacted with the N-acetylated anthranilic acid, this being its role as a nitrogen source in the process. The model reaction was scaled up to 1.37 g of the starting material, leading to 88% of the desired product, demonstrating the applicability of this procedure.
Scheme 18.
Synthesis of N-substituted quinazolinone heterocyles using a DMU-based deep eutectic solvent.
5. Conclusions and Outlook
Deep eutectic solvents (DESs) have emerged as sustainable, multifunctional alternatives to conventional organic solvents and catalysts in amine synthesis. These solvents, typically formed by combining a hydrogen bond donor and acceptor, exhibit remarkable tunability in properties such as polarity, viscosity, and solvation capacity. This adaptability allows precise customization for specific chemical processes, including multicomponent reactions and nucleophilic substitutions. DESs enhance reaction efficiency by stabilizing reactive intermediates and transition states through hydrogen bonding and ionic interactions, boosting both selectivity and reaction rates. Their dual roles as solvent and catalyst streamline synthesis by reducing reliance on additional reagents, thereby minimizing waste.
DESs further stand out for their broad compatibility with diverse catalysts, such as enzymes and metal complexes, as highlighted in this review for the preparation of amines, and their ability to dissolve organic and inorganic substrates. Their high thermal stability and low volatility make them ideal for high-temperature applications, while non-flammability and low toxicity enhance safety in lab and industrial settings. Additionally, many DESs are biodegradable and derived from affordable, renewable resources like choline chloride and urea, aligning with circular economy principles. By merging environmental benefits—such as reduced toxicity and waste—with technical advantages like process efficiency, DESs represent a transformative approach to advancing green chemistry in organic synthesis.
Thus, the outlook for DESs is highly promising. Ongoing research and innovation are expected to overcome current limitations, improve life-cycle sustainability, and expand the range of viable applications. Collaborative efforts between academia and industry are accelerating commercialization, and the integration of DESs is increasingly viewed as both an environmental imperative and a strategic move to enhance process efficiency and competitiveness
Author Contributions
Conceptualization, G.d.G. and A.R.A.; writing—original draft preparation, G.d.G. and A.R.A.; writing—review and editing, G.d.G. and A.R.A.; funding acquisition, G.d.G. and A.R.A. All authors have read and agreed to the published version of the manuscript.
Funding
This work was partially financed by Grant TED2021-129564B-I00, funded by MICIU/AEI/10.13039/501100011033 and European Union NextGenerationEU/PRTR. This project received funding from the EU’s Horizon Europe Doctoral Network Program under the Marie Skłodowska-Curie grant agreement no. 101072731.
Data Availability Statement
The data presented in this study are available on request from the corresponding author
Conflicts of Interest
The authors declare no conflicts of interest.
References
- Amines Market Size, Share & Trends Analysis Report by Product (Ethanolamine Fatty Amines, Alkyl Amines), By Application (Crop Protection, Surfactants, Water Treatment, Personal Care, Gas Treatment), by Region, and Segment Forecasts, 2024–2030. Report ID: 978-1-68038-291-4; Grand View Research. 2023. Available online: https://www.grandviewresearch.com/industry-analysis/amines-industry (accessed on 24 April 2025).
- Patil, M.D.; Grogan, G.; Bommarius, A.; Yun, H. Oxidoreductase-Catalyzed Synthesis of Chiral Amines. ACS Catal. 2018, 8, 10985–11015. [Google Scholar] [CrossRef]
- Afanasyev, O.I.; Kuchuk, E.; Usanov, D.L.; Chusov, D. Reductive Amination in the Synthesis of Pharmaceuticals. Chem. Rev. 2019, 119, 11857–11911. [Google Scholar] [CrossRef] [PubMed]
- Vermeeren, B.; Van Praet, S.; Arts, W.; Narmon, T.; Zhang, Y.; Zhou, C.; Steenackers, H.P.; Sels, B.F. From sugars to aliphatic amines: As sweet as it sounds? Production and applications of bio-based aliphatic amines. Chem. Soc. Rev. 2024, 53, 11804–11849. [Google Scholar] [CrossRef] [PubMed]
- Patel, A.R.; Patel, I.; Banerjee, S. Importance and Green Synthesis of Amines: A Review. Curr. Org. Chem. 2024, 28, 375–389. [Google Scholar] [CrossRef]
- Froidevaux, V.; Negrell, C.; Caillol, S.; Pascault, J.-P.; Boutevin, B. Biobased Amines: From Synthesis to Polymers; Present and Future. Chem. Rev. 2016, 116, 14181–14224. [Google Scholar] [CrossRef]
- Hansen, B.B.; Spittle, S.; Chen, B.; Poe, D.; Zhang, Y.; Klein, J.M.; Horton, A.; Adhikari, L.; Zelovich, T.; Doherty, B.W.; et al. Deep Eutectic Solvents: A Review of Fundamentals and Applications. Chem. Rev. 2021, 121, 1232–1285. [Google Scholar] [CrossRef]
- Mu, L.; Gao, J.; Zhang, Q.; Kong, F.; Zhang, Y.; Ma, Z.; Sun, C.; Lv, S. Research Progress on Deep Eutectic Solvents and Recent Applications. Processes 2023, 11, 1986. [Google Scholar] [CrossRef]
- Omar, K.A.; Sadeghi, R. Database of deep eutectic solvents and their physical properties: A review. J. Mol. Liquids 2023, 384, 121899. [Google Scholar] [CrossRef]
- De Oliveira Vigier, K.; Fracois, J. Synthesis and properties. In Deep Eutectic Solvents: Synthesis, Properties and Applications; Ramón, D.J., Guillena, G., Eds.; Wiley-VCH: Weinheim, Germany, 2020; pp. 1–24. [Google Scholar]
- Anastas, P.; Eghbali, N. Green Chemistry: Principles and Practice. Chem. Soc. Rev. 2010, 39, 301–312. [Google Scholar] [CrossRef]
- Socas-Rodríguez, B.; Torres-Cornejo, M.V.; Alvárez-Rivera, G.; Mendiola, J.A. Deep Eutectic Solvents for the Extraction of Bioactive Compounds from Natural Sources and Agricultural By-Products. Molecules 2021, 11, 4897. [Google Scholar] [CrossRef]
- Juliao, D.; Xavier, M.; Mascarehnas, X. Deep eutectic solvents: Viable sustainable electrolytes for supercapacitors. Mat. Today Ener. 2024, 42, 101432. [Google Scholar] [CrossRef]
- Wang, J.; Zhang, S.; Ma, Z.; Yan, M. Deep eutectic solvents eutectogels: Progress and challenges. Green. Chem. Eng. 2021, 2, 359–367. [Google Scholar] [CrossRef]
- Tavakol, H.; Shafieyoon, P. Recent advances and new trends in the use of deep eutectic solvents in organic synthesis and other applications. J. Mol. Liq. 2025, 428, 127510. [Google Scholar] [CrossRef]
- Yu, D.; Xue, Z.; Mu, T. Deep eutectic solvents as a green toolbox for synthesis. Cell Rep. Phys. Sci. 2022, 3, 100809. [Google Scholar] [CrossRef]
- Scarpelli, R.; Bence, R.; Herrera Cano, N.C.; Procopio, A.; Wunderlin, D.; Nardi, M. A Review on the Use of Deep Eutectic Solvents in Protection Reactions. Molecules 2024, 29, 818. [Google Scholar] [CrossRef]
- Hooshmand, S.E.; Kumar, S.; Bahadur, I.; Singh, T.; Varma, R.S. Deep eutectic solvents as reusable catalysts and promoter for the greener syntheses of small molecules: Recent advances. J. Mol. Liq. 2023, 271, 121013. [Google Scholar] [CrossRef]
- Unlü, A.E.; Arikaya, A.; Takac, S. Use of deep eutectic solvents as catalysts: A mini-review. Green Proc. Synth. 2019, 8, 355–372. [Google Scholar] [CrossRef]
- Shahiri-Haghayegh, M.; Azizi, N. DES as catalyst. In Deep Eutectic Solvents: Synthesis, Properties and Applications; Ramón, D.J., Guillena, G., Eds.; Wiley-VCH: Weinheim, Germany, 2020; pp. 135–170. [Google Scholar]
- Gao, J.; Bhunia, S.; Wang, K.; Gan, L.; Xia, S.; Ma, D. Discovery of N-(naphthalen-1-yl)-N′-alkyl oxalamide ligands enables Cu catalyzed aryl amination with high turnovers. Org. Lett. 2017, 19, 2809–2812. [Google Scholar] [CrossRef]
- Sambiagio, C.; Marsden, S.P.; Blacker, A.J.; McGowan, P.C. Copper catalysed Ullmann type chemistry: Frommechanistic aspects to modern development. Chem. Soc. Rev. 2014, 43, 3525–3550. [Google Scholar] [CrossRef]
- Quivelli, A.F.; Vitale, P.; Perna, F.M.; Capriati, V. Reshaping Ullmann amine synthesis in Deep Eutectic Solvents: A mild approach for Cu-catalyzed C-N coupling reactions with no additional ligands. Front. Chem. 2019, 7, 723. [Google Scholar] [CrossRef]
- Robak, M.T.; Herbage, M.A.; Ellman, J.A. Synthesis and applications of tert-butanesulfinamide. Chem. Rev. 2010, 110, 3600–3740. [Google Scholar] [CrossRef] [PubMed]
- Cicco, L.; Salomone, A.; Vitale, P.; Rios-Lombardia, N.; González-Sabín, J.; García-Alvárez, J.; Perna, F.M.; Capriati, V. Addition of Highly Polarized Organometallic Compounds to N-tert-Butanesulfinyl Imines in Deep Eutectic Solvents under Air: Preparation of Chiral Amines of Pharmaceutical Interest. ChemSusChem 2020, 13, 3583–3588. [Google Scholar] [CrossRef] [PubMed]
- Bhunia, S.; Pawar, G.G.; Kumar, S.V.; Jiang, Y.; Ma, D. Selected Copper-Based Reactions for C−N, C−O, C−S, and C−C Bond Formation. Angew. Chem. Int. Ed. 2017, 56, 16136. [Google Scholar] [CrossRef] [PubMed]
- Cicco, L.; Vitale, P.; Perna, F.M.; Capriati, V.; García-Alvárez, J. Cu-catalysed Chan–Evans–Lam reaction meets deep eutectic solvents: Efficient and selective C–N bond formation under aerobic conditions at room temperature. RSC Sustain. 2023, 1, 847–852. [Google Scholar] [CrossRef]
- Wu, S.; Snajdrova, R.; Moore, J.C.; Baldenius, K.; Bornscheuer, U.T. Biocatalysis: Enzymatic synthesis for industrial applications. Angew. Chem. Int. Ed. 2021, 60, 88–119. [Google Scholar] [CrossRef]
- France, S.P.; Lewis, R.D.; Martínez, C.T. The Evolving Nature of Biocatalysis in Pharmaceutical Research and Development. JACS Au 2023, 3, 715–735. [Google Scholar] [CrossRef]
- Hanefeld, U.; Hollman, F.; Paul, C.E. Biocatalysis making waves in organic chemistry. Chem. Soc. Rev. 2022, 51, 594–627. [Google Scholar] [CrossRef]
- Mutti, F.G.; Knaus, T. Enzymes Applied to the Synthesis of Amines. In Biocatalysis for Practitioners: Techniques, Reactions and Applications; de Gonzalo, G., Lavandera, I., Eds.; Wiley-VCH: Weinheim, Germany, 2021; pp. 143–180. [Google Scholar]
- Cananà, S.; De Nardi, F.; Blangetti, M.; Parisotto, S.; Prandi, C. Biocatalysis in Non-Conventional Media: Unlocking the Potential for Sustainable Chiral Amine Synthesis. Chem. Eur. J. 2024, 30, e202304364. [Google Scholar] [CrossRef]
- Zawodny, W.; Montgomery, S.L. Evolving New Chemistry: Biocatalysis for the Synthesis of Amine-Containing Pharmaceuticals. Catalysts 2022, 12, 595. [Google Scholar] [CrossRef]
- Wu, S.; Xiang, C.; Zhou, Y.; Khan, M.S.H.; Liu, W.; Feiler, C.G.; Wei, R.; Weber, G.; Höhne, M.; Bornscheuer, U.T. A growth selection system for the directed evolution of amine-forming or converting enzymes. Nat. Commun. 2022, 13, 7458. [Google Scholar] [CrossRef]
- D. Patil, M.; Grogan, G.; Bommarius, A.; Yun, H. Recent Advances in ω-Transaminase-Mediated Biocatalysis for the Enantioselective Synthesis of Chiral Amines. Catalysts 2018, 8, 254. [Google Scholar] [CrossRef]
- Kelly, S.A.; Pohle, S.; Wharry, S.; Mix, S.; Allen, C.C.R.; Moody, T.S.; Gilmore, B.F. Application of omega-Transaminases in the Pharmaceutical Industry. Chem. Rev. 2018, 118, 349–367. [Google Scholar] [CrossRef] [PubMed]
- Kelly, S.A.; Mix, S.; Moody, T.S.; Gilmore, B.F. Transaminases for industrial biocatalysis: Novel enzyme discovery. Appl. Microbiol. Biotechnol. 2020, 104, 4781–4794. [Google Scholar] [CrossRef]
- Grogan, G. Synthesis of chiral amines using redox biocatalysis. Curr. Opin. Chem. Biol. 2018, 43, 15–22. [Google Scholar] [CrossRef] [PubMed]
- Cosgrove, S.C.; Brzezniak, A.; France, S.P.; Ramsden, J.I.; Mangas-Sanchez, J.; Montgomery, S.L.; Heath, R.S.; Turner, N.J. Imine reductases, reductive aminases, and amine oxidases for the synthesis of chiral amines: Discovery, characterization, and synthetic applications. Methods Enzymol. 2018, 608, 131. [Google Scholar]
- Yuan, B.; Yang, D.; Qu, G.; Turner, N.J.; Sun, Z. Biocatalytic reductive aminations with NAD(P)H-dependent enzymes: Enzyme discovery, engineering and synthetic applications. Chem. Soc. Rev. 2023, 53, 227–262. [Google Scholar] [CrossRef]
- Tseliou, V.; Masman, M.F.; Knaus, T.; Mutti, F.G. Current Status of Amine Dehydrogenases: From Active Site Architecture to Diverse Applications Across a Broad Substrate Spectrum. ChemCatChem 2024, 16, e202400469. [Google Scholar] [CrossRef]
- Mangas-Sánchez, J. Synthesis of chiral amines employing imine reductases and reductive aminases. In Biocatalysis in Asymmetric Synthesis; de Gonzalo, G., Alcántara, A.R., Eds.; Academic Press: London, UK, 2024; pp. 209–236. [Google Scholar]
- Pollegioni, L.; Molla, G.C. Oxidation with Amine Oxidases and Amino Acid Oxidases. In Biocatalysis in Organic Synthesis 3, 1st ed; Faber, K., Fessner, W.-D., Turner, N.J., Eds.; Georg Thieme Verlag KG: Stuttgart, Germany, 2015. [Google Scholar]
- Prier, C.K.; Zhang, R.K.; Buller, A.R.; Brinkmann-Chen, S.; Arnold, F.H. Enantioselective, intermolecular benzylic C-H amination catalysed by an engineered iron-haem enzyme. Nat. Chem. 2017, 9, 629–634. [Google Scholar] [CrossRef]
- Xu, W.N.; Gao, Y.D.; Su, P.; Huang, L.; He, Z.L.; Yang, L.C. Progress in Enzyme-Catalyzed C(sp3)-H Amination. ACS Catal. 2024, 14, 14139–14160. [Google Scholar] [CrossRef]
- Roddan, R.; Ward, J.M.; Keep, N.H.; Hailes, H.C. Pictet–Spenglerases in alkaloid biosynthesis: Future applications in biocatalysis. Curr. Opin. Chem. Biol. 2020, 55, 69–76. [Google Scholar] [CrossRef]
- Parmeggiani, F.; Weise, N.J.; Ahmed, S.T.; Turner, N.J. Synthetic and therapeutic applications of ammonia-lyases and aminomutases. Chem. Rev. 2018, 118, 73–118. [Google Scholar] [CrossRef] [PubMed]
- Musa, M.M.; Hollmann, F.; Mutti, F.G. Synthesis of enantiomerically pure alcohols and amines via biocatalytic deracemisation methods. Catal. Sci. Technol. 2019, 9, 5487–5503. [Google Scholar] [CrossRef]
- Farkas, E.; Oláh, M.; Földi, A.; Kóti, J.; Éles, J.; Nagy, J.; Gal, C.A.; Paizs, C.; Hornyánszky, G.; Poppe, L. Chemoenzymatic Dynamic Kinetic Resolution of Amines in Fully Continuous-Flow Mode. Org. Lett. 2018, 20, 8052–8056. [Google Scholar] [CrossRef]
- Takle, M.J.; Deadman, B.J.; Hellgardt, K.; Dickhaut, J.; Wieja, A.; Hii, K.K.M. A Flash Thermal Racemization Protocol for the Chemoenzymatic Dynamic Kinetic Resolution and Stereoinversion of Chiral Amines. ACS Catal. 2023, 13, 10541–10546. [Google Scholar] [CrossRef]
- Haarr, M.B.; Sriwong, K.T.; O’Reilly, E. Commercial Transaminases for the Asymmetric Synthesis of Bulky Amines. Eur. J. Org. Chem. 2024, 27, e202400257. [Google Scholar] [CrossRef]
- Wang, H.; Tao, Y.; Masuku, M.V.; Cao, J.; Yang, J.; Huang, K.; Ge, Y.; Yu, Y.; Xiao, Z.; Kuang, Y.; et al. Effects of deep eutectic solvents on the biotransformation efficiency of ω-transaminase. J. Mol. Liq. 2023, 377, 121379. [Google Scholar] [CrossRef]
- Wang, H.; Masuku, M.V.; Tao, Y.; Yang, J.; Kuang, Y.; Lyu, C.; Huang, J.; Yang, S. Improved Stability and Catalytic Efficiency of ω-Transaminase in Aqueous Mixture of Deep Eutectic Solvents. Molecules 2023, 28, 3895. [Google Scholar] [CrossRef]
- Kalhor, P.; Ghandi, K. Deep eutectic solvents for pretreatment, extraction, and catalysis of biomass and food waste. Molecules 2019, 24, 4012. [Google Scholar] [CrossRef]
- Shen, X.J.; Wen, J.L.; Mei, Q.Q.; Chen, X.; Sun, D.; Yuan, T.Q.; Sun, R.C. Facile fractionation of lignocelluloses by biomass-derived deep eutectic solvent (DES) pretreatment for cellulose enzymatic hydrolysis and lignin valorization. Green Chem. 2019, 21, 275–283. [Google Scholar] [CrossRef]
- Wang, W.; Lee, D.J. Lignocellulosic biomass pretreatment by deep eutectic solvents on lignin extraction and saccharification enhancement: A review. Bioresour. Technol. 2021, 339, 125587. [Google Scholar] [CrossRef]
- Mamilla, J.L.K.; Novak, U.; Grilc, M.; Likozar, B. Natural deep eutectic solvents (DES) for fractionation of waste lignocellulosic biomass and its cascade conversion to value-added bio-based chemicals. Biomass Bioener. 2019, 120, 417–425. [Google Scholar] [CrossRef]
- Li, P.; Li, T.; Wu, S. Process parameters and product characterization for efficient extraction of lignin with deep eutectic solvents: A review. Int. J. Biol. Macromol. 2024, 280, 136053. [Google Scholar] [CrossRef] [PubMed]
- Ghosh, S.; Pramanik, K. Extraction of lignin from sustainable lignocellulosic food waste resources using a green deep eutectic solvent system and its property characterization. Int. J. Biol. Macromol. 2025, 307, 142094. [Google Scholar] [CrossRef]
- Tong, Z.; Wang, W.; Zeng, S.; Sun, Y.; Meng, J.; Liu, Y.; Xia, Q.; Yu, H. Hydrogen bond reconstruction strategy for eutectic solvents that realizes room-temperature dissolution of cellulose. Green Chem. 2022, 24, 8760–8769. [Google Scholar] [CrossRef]
- Feng, Y.; Liu, G.; Sun, H.; Xu, C.; Wu, B.; Huang, C.; Lei, B. A Novel Strategy to Intensify the Dissolution of Cellulose in Deep Eutectic Solvents by Partial Chemical Bonding. BioResour. 2022, 17, 4167–4185. [Google Scholar] [CrossRef]
- Morán-Aguilar, M.G.; Costa-Trigo, I.; Aguilar-Uscanga, M.G.; Paz, A.; Domínguez, J.M. Development of sustainable sugarcane bagasse biorefinery using a greener deep eutectic solvent from hemicellulose-derived acids. Biomass Bioener. 2024, 186, 107256. [Google Scholar] [CrossRef]
- Xu, G.; Tu, Z.; Hu, X.; Li, M.; Zheng, L.; Zhang, X.; Shi, M.; Wu, Y. New insight into dehydration reaction of xylose and hemic 107256ellulose to furfural over dual-acid deep eutectic solvent catalysts. Chem. Eng. J. 2024, 496, 154112. [Google Scholar] [CrossRef]
- Wang, Z.K.; Li, H.; Lin, X.C.; Tang, L.; Chen, J.J.; Mo, J.W.; Yu, R.S.; Shen, X.J. Novel recyclable deep eutectic solvent boost biomass pretreatment for enzymatic hydrolysis. Bioresour. Technol. 2020, 307, 123237. [Google Scholar] [CrossRef]
- Miao, G.; Wong, J.L.; Chew, J.J.; Khaerudini, D.S.; Sunarso, J.; Xu, F. Deep eutectic solvent pretreatment of oil palm biomass: Promoted lignin pyrolysis and enzymatic digestibility of solid residues. Int. J. Biol. Macromol. 2025, 293, 138847. [Google Scholar] [CrossRef]
- Yong, K.J.; Wu, T.Y.; Lee, C.B.T.L.; Lee, Z.J.; Liu, Q.; Jahim, J.M.; Zhou, Q.; Zhang, L. Furfural production from biomass residues: Current technologies, challenges and future prospects. Biomass Bioenergy 2022, 161, 106458. [Google Scholar] [CrossRef]
- Ji, L.; Tang, Z.; Yang, D.; Ma, C.; He, Y.C. Improved one-pot synthesis of furfural from corn stalk with heterogeneous catalysis using corn stalk as biobased carrier in deep eutectic solvent–water system. Bioresour. Technol. 2021, 340, 125691. [Google Scholar] [CrossRef] [PubMed]
- Zhai, Q.; Li, J.; Miao, K.; Song, Y.; Yang, S.; Zhao, S.; Lu, Y.; Hu, J. Atmospheric one-pot fractionation and catalytic conversion of lignocellulose in multifunctional deep eutectic solvent system. Int. J. Biol. Macromol. 2025, 290, 138736. [Google Scholar] [CrossRef] [PubMed]
- Yang, L.; Liu, Y.; Peng, Y.; He, Y.C.; Ma, C. Chemobiocatalytic transformation of biomass-derived D-xylose into furfuryl alcohol in a sustainable reaction system. Catal. Commun. 2023, 184, 106783. [Google Scholar] [CrossRef]
- Sharma, R. Furfurylamine Market Segments-by Application (Pharmaceuticals, Agrochemicals, Rubber Additives, Corrosion Inhibitors, and Others), End-User Industry (Chemical, Pharmaceutical, Agriculture, and Others), and Region (Asia Pacific, North America, Latin America, Europe, and Middle East & Africa)-Global Industry Analysis, Growth, Share, Size, Trends, and Forecast 2025-2033; Dataintelo. 2025. Available online: https://dataintelo.com/report/global-furfurylamine-market (accessed on 15 May 2025).
- Huang, X.; Dorhout Mees, E.; Vos, P.; Hamza, S.; Braam, B. Everything we always wanted to know about furosemide but were afraid to ask. Am. J. Physiol. Renal Physiol. 2016, 310, F958–F971. [Google Scholar] [CrossRef]
- Feriani, A.; Gaviraghi, G.; Toson, G.; Mor, M.; Barbieri, A.; Grana, E.; Boselli, C.; Guarneri, M.; Simoni, D.; Manfredini, S. Cholinergic Agents Structurally Related to Furtrethonium. 2. Synthesis and Antimuscarinic Activity of a Series of N-[5-[(1′-Substituted-acetoxy)methyl]-2-furfuryl]dialkylamines. J. Med. Chem. 1994, 37, 4278–4287. [Google Scholar] [CrossRef]
- Awouters, F.; Vermeire, J.; Smeyers, F.; Vermote, P.; van Beek, R.; Niemegeers, C.J.E. Oral antiallergic activity in ascaris hypersensitive dogs: A study of known antihistamines and of the new compounds ramastine (R 57 959) and levocabastine (R 50 547). Drug Dev. Res. 1986, 8, 95–102. [Google Scholar] [CrossRef]
- Richieu, A.; Bertrand, P. Evaluation of Aquivion® as Recyclable Superacid Solid Catalyst in the Oxidation of Furfurylamines with Hydrogen Peroxide to 3-Hydroxypyridines. ChemistrySelect 2023, 8, e202303423. [Google Scholar] [CrossRef]
- Maggi, L.; Mantegazza, R. Treatment of myasthenia gravis: Focus on pyridostigmine. Clin. Drug Investig. 2011, 31, 691–701. [Google Scholar] [CrossRef]
- Goculdas, T.; Ramirez, M.; Crossley, M.; Sadula, S.; Vlachos, D.G. Biomass-Derived, Target Specific, and Ecologically Safer Insecticide Active Ingredients. ChemSusChem 2024, 17, e202400824. [Google Scholar] [CrossRef]
- Shu, H.H.; Shi, L.Q.; Zhang, H.Q.; Liu, Y.; Han, S.L.; Rao, J.Y.; Liu, C.M. Synthesis of furan-based cationic biopolyamides and their removal abilities for perfluoroalkyl and polyfluoroalkyl substances. Chem. Eng. J. 2025, 507, 160306. [Google Scholar] [CrossRef]
- Zhao, C.; Sun, Z.; Wei, J.; Li, Y.; Xiang, D.; Wu, Y.; Que, Y. A Phosphorous-Containing Bio-Based Furfurylamine Type Benzoxazine and Its Application in Bisphenol-A Type Benzoxazine Resins: Preparation, Thermal Properties and Flammability. Polymers 2022, 14, 1597. [Google Scholar] [CrossRef] [PubMed]
- Guimarães, T.A.S.; da Cunha, J.N.; de Oliveira, G.A.; da Silva, T.U.; de Oliveira, S.M.; de Araújo, J.R.; Machado, S.D.P.; D’Elia, E.; Rezende, M.J.C. Nitrogenated derivatives of furfural as green corrosion inhibitors for mild steel in HCl solution. J. Mater. Res. Technol. 2020, 9, 7104–7122. [Google Scholar] [CrossRef]
- Saini, M.K.; Kumar, S.; Li, H.; Babu, S.A.; Saravanamurugan, S. Advances in the Catalytic Reductive Amination of Furfural to Furfural Amine: The Momentous Role of Active Metal Sites. ChemSusChem 2022, 15, e202200107. [Google Scholar] [CrossRef] [PubMed]
- Zhou, K.; Chen, B.; Zhou, X.; Kang, S.; Xu, Y.; Wei, J. Selective Synthesis of Furfurylamine by Reductive Amination of Furfural over Raney Cobalt. ChemCatChem 2019, 11, 5562–5569. [Google Scholar] [CrossRef]
- Gould, N.S.; Landfield, H.; Dinkelacker, B.; Brady, C.; Yang, X.; Xu, B. Selectivity Control in Catalytic Reductive Amination of Furfural to Furfurylamine on Supported Catalysts. ChemCatChem 2020, 12, 2106–2115. [Google Scholar] [CrossRef]
- Yang, G.; Li, X.; Ma, W.; Sun, X.; Huang, H. Recent advances in upcycling lignocellulosic biomass through chemoenzymatic processes. Curr. Opin. Green Sustain. Chem. 2025, 53, 101017. [Google Scholar] [CrossRef]
- Giri, P.; Lim, S.; Khobragade, T.P.; Pagar, A.D.; Patil, M.D.; Sarak, S.; Jeon, H.; Joo, S.; Goh, Y.; Jung, S.; et al. Biocatalysis enables the scalable conversion of biobased furans into various furfurylamines. Nat. Commun. 2024, 15, 6371. [Google Scholar] [CrossRef]
- Di, J.H.; Gong, L.; Yang, D.; He, Y.C.; Tang, Z.Y.; Ma, C.L. Enhanced conversion of biomass to furfurylamine with high productivity by tandem catalysis with sulfonated perlite and ω-transaminase whole-cell biocatalyst. J. Biotechnol. 2021, 334, 26–34. [Google Scholar] [CrossRef]
- Feng, X.; Zhang, L.; Zhu, X.; Xia, Y.; Ma, C.; Liang, J.; He, Y.C. A Hybrid Catalytic Conversion of Corncob to Furfurylamine in Tandem Reaction with Aluminium-Based Alkaline-Treated Graphite and ω-Transaminase Biocatalyst in γ-Valerolactone–Water. Catal. Lett. 2021, 151, 1834–1841. [Google Scholar] [CrossRef]
- Li, Q.; Di, J.; Liao, X.; Ni, J.; Li, Q.; He, Y.C.; Ma, C. Exploration of benign deep eutectic solvent-water systems for the highly efficient production of furfurylamine from sugarcane bagasse: Via chemoenzymatic cascade catalysis. Green Chem. 2021, 23, 8154–8168. [Google Scholar] [CrossRef]
- Ni, J.; Li, Q.; Gong, L.; Liao, X.L.; Zhang, Z.J.; Ma, C.; He, Y. Highly Efficient Chemoenzymatic Cascade Catalysis of Biomass into Furfurylamine by a Heterogeneous Shrimp Shell-Based Chemocatalyst and an ω-Transaminase Biocatalyst in Deep Eutectic Solvent-Water. ACS Sustain. Chem. Eng. 2021, 9, 13084–13095. [Google Scholar] [CrossRef]
- Di, J.; Li, Q.; Ma, C.; He, Y.C. An efficient and sustainable furfurylamine production from biomass-derived furfural by a robust mutant ω-transaminase biocatalyst. Bioresour. Technol. 2023, 369, 128425. [Google Scholar] [CrossRef] [PubMed]
- Li, L.; Li, Q.; Di, J.; He, Y.; Ma, C. Improved Synthesis of Furfurylamine from a High Titer of Biomass-Derived Furfural by a Thermostable Triple Mutant ω-Transaminase in a Three-Component Deep Eutectic Solvent ChCl/Lactic Acid/Malonic Acid System. ACS Sustain. Chem. Eng. 2023, 11, 7515–7525. [Google Scholar] [CrossRef]
- Liu, Y.; He, Y.C.; Ma, C. Elevating biotransamiantion of pineapple peel-derived furfural into furfurylamine by recombinant Escherichia coli carrying pyruvate decarboxylase and mutant ω-transaminase with low loading of amine donor. Food BioSci. 2024, 62, 105164. [Google Scholar] [CrossRef]
- Wang, Z.; Chai, H.; Ren, J.; Tao, Y.; Li, Q.; Ma, C.; Ai, Y.; He, Y. Biocatalytic Valorization of Biobased 5-Hydroxymethylfurfural to 5-Hydroxymethyl-2-furfurylamine in a Three-Constituent Deep Eutectic Solvent-Water System. ACS Sustain. Chem. Eng. 2022, 10, 8452–8463. [Google Scholar] [CrossRef]
- Wu, C.; Li, Q.; Di, J.; He, Y.C.; Ma, C. Enhanced production of 5-hydroxymethyl-2-furfurylamine from biobased HMF by a robust triple mutant ω-transaminase biocatalyst in a betaine:malonic acid—Water medium. Fuel 2023, 343, 127830. [Google Scholar] [CrossRef]
- Zhang, Z.G.; Jiang, S.K.; Shen, X.; Lin, J.C.; Yi, Y.; Ji, X.J. Biocatalytic synthesis of vanillin from biomass-derived compounds: A review. Catal. Today 2025, 445, 115077. [Google Scholar] [CrossRef]
- Fattori, V.; Hohmann, M.S.N.; Rossaneis, A.C.; Pinho-Ribeiro, F.A.; Verri, W.A. Capsaicin: Current understanding of its mechanisms and therapy of pain and other pre-clinical and clinical uses. Molecules 2016, 21, 844. [Google Scholar] [CrossRef]
- Sailo, B.L.; Garhwal, A.; Mishra, A.; Hegde, M.; Vishwa, R.; Girisa, S.; Abbas, M.; Alqahtani, M.S.; Abdulhammed, A.; Sethi, G.; et al. Potential of capsaicin as a combinatorial agent to overcome chemoresistance and to improve outcomes of cancer therapy. Biochem. Pharmacol. 2025, 236, 116828. [Google Scholar] [CrossRef]
- Swamy, M.K.; Kumar, A. (Eds.) Capsaicinoids: From Natural Sources to Biosynthesis and their Clinical Applications; Springer Nature: Singapore, 2024. [Google Scholar]
- Maharjan, A.; Vasamsetti, B.M.K.; Park, J.H. A comprehensive review of capsaicin: Biosynthesis, industrial productions, processing to applications, and clinical uses. Heliyon 2024, 10, e39721. [Google Scholar] [CrossRef]
- Heise, N.V.; Quast, J.; Csuk, R. Revisiting capsaicin and nonivamide: Their analogs exert strong inhibitory activity against cholinesterases. Eur. J. Med. Chem. Rep. 2024, 12, 100200. [Google Scholar] [CrossRef]
- Tutka, P.; Wlaź, A.; Florek-Łuszczki, M.; Kołodziejczyk, P.; Bartusik-Aebisher, D.; Łuszczki, J.J. Arvanil, olvanil, AM 1172 and LY 2183240 (various cannabinoid CB1 receptor agonists) increase the threshold for maximal electroshock-induced seizures in mice. Pharmacol. Rep. 2018, 70, 106–109. [Google Scholar] [CrossRef] [PubMed]
- Marzęda, P.; Wróblewska-Łuczka, P.; Florek-Łuszczki, M.; Drozd, M.; Góralczyk, A.; Łuszczki, J.J. Comparison of the Anticancer Effects of Arvanil and Olvanil When Combined with Cisplatin and Mitoxantrone in Various Melanoma Cell Lines—An Isobolographic Analysis. Int. J. Mol. Sci. 2022, 23, 14192. [Google Scholar] [CrossRef] [PubMed]
- Zhang, Y.; He, Y.C.; Ma, C. Efficient synthesis of vanillylamine through bioamination of lignin-derived vanillin by recombinant E. coli containing ω-transaminase from Caulobacter sp. D5 in dimethyl sulfoxide-water. Bioresour. Technol. 2024, 413, 131526. [Google Scholar] [CrossRef]
- Li, Q.; Kong, L.; He, Y.C.; Ma, C. Efficient biosynthesis of vanillylamine via biological transamination of lignin-derived vanillin in a β-cyclodextrin-water medium. Sustain. Chem. Pharm. 2024, 38, 101437. [Google Scholar] [CrossRef]
- Li, Q.; Gao, R.; Li, Y.; Fan, B.; Ma, C.; He, Y.C. Improved biotransformation of lignin-valorized vanillin into vanillylamine in a sustainable bioreaction medium. Bioresour. Technol. 2023, 384, 129292. [Google Scholar] [CrossRef]
- Paris, J.; Telzerow, A.; Ríos-Lombardía, N.; Steiner, K.; Schwab, H.; Morís, F.; Gröger, H.; González-Sabín, J. Enantioselective One-Pot Synthesis of Biaryl-Substituted Amines by Combining Palladium and Enzyme Catalysis in Deep Eutectic Solvents. ACS Sustain. Chem. Eng. 2019, 7, 5486–5493. [Google Scholar] [CrossRef]
- Liardo, E.; Ríos-Lombardía, N.; Morís, F.; Rebolledo, F.; González-Sabín, J. Hybrid Organo- and Biocatalytic Process for the Asymmetric Transformation of Alcohols into Amines in Aqueous Medium. ACS Catal. 2017, 7, 4768–4774. [Google Scholar] [CrossRef]
- Leipold, L.; Dobrijevic, D.; Jeffries, J.W.E.; Bawn, M.; Moody, T.S.; Ward, J.M.; Hailes, H.C. The identification and use of robust transaminases from a domestic drain metagenome. Green Chem. 2019, 21, 75–86. [Google Scholar] [CrossRef]
- Hammond, O.S.; Bowron, D.T.; Edler, K.J. The Effect of Water upon Deep Eutectic Solvent Nanostructure: An Unusual Transition from Ionic Mixture to Aqueous Solution. Angew. Chem. Int. Ed. 2017, 56, 9782–9785. [Google Scholar] [CrossRef]
- Telzerow, A.; Paris, J.; Håkansson, M.; González-Sabín, J.; Ríos-Lombardía, N.; Schürmann, M.; Gröger, H.; Morís, F.; Kourist, R.; Schwab, H.; et al. Amine Transaminase from Exophiala Xenobiotica-Crystal Structure and Engineering of a Fold IV Transaminase that Naturally Converts Biaryl Ketones. ACS Catal. 2019, 9, 1140–1148. [Google Scholar] [CrossRef]
- Farhang, M.; Akbarzadeh, A.R.; Rabbani, M.; Ghadiri, A.M. A retrospective-prospective review of Suzuki–Miyaura reaction: From cross-coupling reaction to pharmaceutical industry applications. Polyhedron 2022, 227, 116124. [Google Scholar] [CrossRef]
- Arnodo, D.; De Nardi, F.; Parisotto, S.; De Nardo, E.; Cananà, S.; Salvatico, F.; De Marchi, E.; Scarpi, D.; Blangetti, M.; Occhiato, E.G.; et al. Asymmetric Reduction of Cyclic Imines by Imine Reductase Enzymes in Non-Conventional Solvents. ChemSusChem 2024, 17, e202301243. [Google Scholar] [CrossRef] [PubMed]
- Falcini, C.; de Gonzalo, G. Deep Eutectic Solvents as Catalysts in the Synthesis of Active Pharmaceutical Ingredients and Precursors. Catalysts 2024, 14, 120. [Google Scholar] [CrossRef]
- Singh, B.; Lobo, H.; Shankarling, G. Selective N-alkylation of aromatic primary amines catalysed by bio-catalyst of Deep Eutectic. Solvent. Catal. Lett. 2011, 141, 178–182. [Google Scholar] [CrossRef]
- Allerberger, F.; Klare, I. In-vitro activity of fosfomycin against vancomycin-resistant enterococci. J. Antimicrob. Chemother. 1999, 43, 211–217. [Google Scholar] [CrossRef]
- Gallardo-Macias, R.; Nakayama, K. Tin(II) Compounds as Catalysts for the Kabachnik-Fields Reaction under Solvent-Free Conditions: Facile Synthesis of α-Aminophosphonates. Synthesis 2010, 2010, 57–62. [Google Scholar] [CrossRef]
- Disale, S.T.; Kale, S.R.; Kahandal, S.S.; Srinivasan, T.G.; Jayaram, R.V. Choline chloride-2ZnCl2 ionic liquid: An efficient and reusable catalysts for the solvent free Kabachnik-Fields reaction. Tetrahedron Lett. 2012, 53, 2277–2279. [Google Scholar] [CrossRef]
- Abranches, D.O.; Coutinho, J.A.P. Everything You Wanted to Know about Deep Eutectic Solvents but Were Afraid to Be Told. Annu. Rev. Chem. Biomol. Eng. 2023, 14, 141–163. [Google Scholar] [CrossRef]
- Carreiro, E.P.; Federsel, H.J.; Hermann, G.J.; Burke, A.J. Stereoselective Catalytic Synthesis of Bioactive Compounds in Natural Deep Eutectic Solvents (NADESs): A Survey across the Catalytic Spectrum. Catalysts 2024, 14, 160. [Google Scholar] [CrossRef]
- Mandal, S.; Narvariya, R.; Sunar, S.L.; Paul, I.; Jain, A.; Panda, T.K. Synthesis of aminophosphorous derivatives using a Deep Eutectic Solvent (DES) in a dual role. Green Chem. 2023, 25, 8266–8272. [Google Scholar] [CrossRef]
- Domínguez de María, P. Biocatalysis, sustainability, and industrial applications: Show me the metrics. Curr. Opin. Green Sustain. Chem. 2021, 31, 100514. [Google Scholar] [CrossRef]
- Sheldon, R.A. The E factor 25 years on: The rise of green chemistry and sustainability. Green Chem. 2017, 19, 18–43. [Google Scholar] [CrossRef]
- Keshavarzipur, K.; Tavkol, H. Deep Eutectic Solvent as a Recyclable Catalyst for Three-Component Synthesis of b-Amino Carbonyls. Catal. Lett. 2015, 145, 1062–1066. [Google Scholar] [CrossRef]
- Obst, M.; Srivastava, A.; Baskaran, S.; König, B. Preparation of Propargyl Amines in a ZnCl2–Dimethylurea Deep-Eutectic Solvent. Synlett 2018, 29, 185–188. [Google Scholar] [CrossRef]
- Valderrama, J.A.; Colonelli, P.; Vásquez, D.; González, M.F.; Rodríguez, J.A.; Theoduloz, C. Studies on quinones Part 44: Novel angucyclinone N-heterocyclic analogues endowed with antitumoral activity. Bioorg. Med. Chem. 2008, 16, 10172–10181. [Google Scholar] [CrossRef]
- Monem, A.; Habibi, D.; Goudarzi, H. An acid-based DES as a novel catalyst for the synthesis of pyranopyrimidines. Sci. Rep. 2023, 12, 18009. [Google Scholar] [CrossRef]
- Chen, X.-W.; Rao, L.; Chen, J.-L.; Zou, Y. Unexpected assembly machinery for 4(3H)-quinazolinone scaffold synthesis. Nat. Commun. 2022, 13, 6522. [Google Scholar] [CrossRef]
- Kotipalli, T.; Kavala, V.; Janreddy, D.; Bandi, V.; Kuo, C.W.; Yao, C.F. Synthesis of 2,3-Disubstituted Quinazolinone Derivatives through Copper Catalyzed C–H Amidation Reactions. Eur. J. Org. Chem. 2016, 2016, 1182–1193. [Google Scholar] [CrossRef]
- Suresh, S.; Nawaz Khan, F.R. Urea-based DES as an amine source to access nitrogen containing heterocycles. Tetrahedron Lett. 2024, 148, 155224. [Google Scholar] [CrossRef]
Disclaimer/Publisher’s Note: The statements, opinions and data contained in all publications are solely those of the individual author(s) and contributor(s) and not of MDPI and/or the editor(s). MDPI and/or the editor(s) disclaim responsibility for any injury to people or property resulting from any ideas, methods, instructions or products referred to in the content. |
© 2025 by the authors. Licensee MDPI, Basel, Switzerland. This article is an open access article distributed under the terms and conditions of the Creative Commons Attribution (CC BY) license (https://creativecommons.org/licenses/by/4.0/).


















