Effects of Mg on CO2 Hydrogenation on PtCoAl Catalysts
Abstract
1. Introduction
2. Results and Discussion
2.1. Structure and Performance of Mg-Modified Catalysts
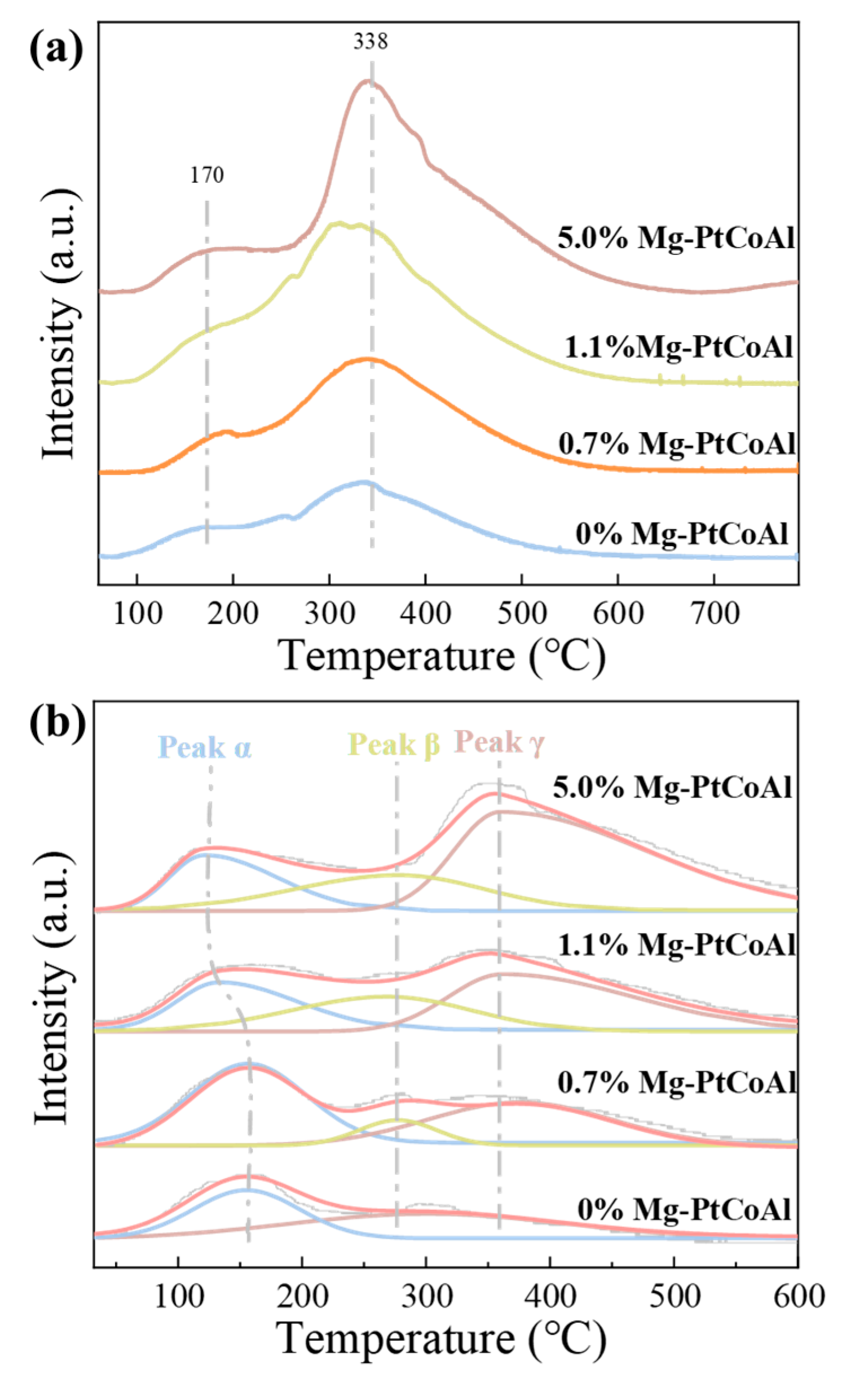
2.2. Effects of H and CO2 Adsorption on CO2 Hydrogenation
2.3. Synergistic Effect of Pt and Mg Promotors
3. Materials and Methods
3.1. Synthesis of Catalysts
3.2. Characterization of Catalysts
3.3. Catalytic Tests
4. Conclusions
Supplementary Materials
Author Contributions
Funding
Data Availability Statement
Acknowledgments
Conflicts of Interest
References
- Yoro, K.O.; Daramola, M.O. Chapter 1—CO2 emission sources, greenhouse gases, and the global warming effect. In Advances in Carbon Capture; Rahimpour, M.R., Farsi, M., Makarem, M.A., Eds.; Woodhead Publishing: Cambridge, UK, 2020; pp. 3–28. [Google Scholar]
- Olivier, J.G.; Schure, K.; Peters, J. Trends in Global CO2 and Total Greenhouse Gas Emissions. PBL Neth. Environ. Assess. Agency 2017, 5, 1–11. [Google Scholar]
- Ye, R.-P.; Ding, J.; Gong, W.; Argyle, M.D.; Zhong, Q.; Wang, Y.; Russell, C.K.; Xu, Z.; Russell, A.G.; Li, Q. CO2 hydrogenation to high-value products via heterogeneous catalysis. Nat. Commun. 2019, 10, 5698. [Google Scholar] [CrossRef]
- Xu, D.; Wang, Y.; Ding, M.; Hong, X.; Liu, G.; Tsang, S.C.E. Advances in Higher Alcohol Synthesis from CO2 Hydrogenation. Chem. 2021, 7, 849–881. [Google Scholar] [CrossRef]
- He, Y.; Müller, F.H.; Palkovits, R.; Zeng, F.; Mebrahtu, C. Tandem Ctalysis for CO2 Conversion to Higher Alcohols: A Review. Appl. Catal. B Environ. 2024, 345, 31. [Google Scholar] [CrossRef]
- Zeng, F.; Mebrahtu, C.; Xi, X.; Liao, L.; Ren, J.; Xie, J.; Heeres, H.J.; Palkovits, R. Catalysts Design for Higher Alcohols Synthesis by CO2 Hydrogenation: Trends and Future Perspectives. Appl. Catal. B Environ. 2021, 291, 120073. [Google Scholar] [CrossRef]
- Liu, S.; He, Y.; Fu, W.; Chen, J.; Ren, J.; Liao, L.; Sun, R.; Tang, Z.; Mebrahtu, C.; Zeng, F. Hetero-site Cobalt Catalysts for Higher Alcohols Synthesis by CO2 Hydrogenation: A Review. J. CO2 Util. 2023, 67, 102322. [Google Scholar] [CrossRef]
- Zhang, Z.; Shen, C.; Sun, K.; Jia, X.; Ye, J.; Liu, C.-j. Advances in studies of the structural effects of supported Ni catalysts for CO2 hydrogenation: From nanoparticle to single atom catalyst. J. Mater. Chem. A. 2022, 10, 5792–5812. [Google Scholar] [CrossRef]
- Liu, J.; Song, Y.; Guo, X.; Song, C.; Guo, X. Recent advances in application of iron-based catalysts for COx hydrogenation to value-added hydrocarbons. Chin. J. Catal. 2022, 43, 731–754. [Google Scholar] [CrossRef]
- He, Z.; Qian, Q.; Ma, J.; Meng, Q.; Zhou, H.; Song, J.; Liu, Z.; Han, B. Water-enhanced synthesis of higher alcohols from CO2 hydrogenation over a Pt/Co3O4 catalyst under Milder conditions. Angew. Chem. Int. Ed. 2016, 55, 737–741. [Google Scholar] [CrossRef]
- Lou, Y.; Zhu, W.; Wang, L.; Yao, T.; Wang, S.; Yang, B.; Yang, B.; Zhu, Y.; Liu, X. CeO2 supported Pd dimers boosting CO2 hydrogenation to ethanol. Appl. Catal. B Environ. 2021, 291, 120122. [Google Scholar] [CrossRef]
- Zhou, J.; Gao, Z.; Xiang, G.; Zhai, T.; Liu, Z.; Zhao, W.; Liang, X.; Wang, L. Interfacial compatibility critically controls Ru/TiO2 metal-support interaction modes in CO2 hydrogenation. Nat. Commun. 2022, 13, 327. [Google Scholar] [CrossRef] [PubMed]
- Prins, R. Hydrogen Spillover. Facts and Fiction. Chem. Rev. 2012, 112, 2714–2738. [Google Scholar] [CrossRef]
- Fan, T.; Liu, H.; Shao, S.; Gong, Y.; Li, G.; Tang, Z. Cobalt Catalysts Enable Selective Hydrogenation of CO2 toward Diverse Products: Recent Progress and Perspective. J. Phys. Chem. Lett. 2021, 12, 10486–10496. [Google Scholar] [CrossRef] [PubMed]
- Liu, S.; He, Y.; Fu, W.; Ren, J.; Chen, J.; Chen, H.; Sun, R.; Tang, Z.; Mebrahtu, C.; Zeng, F. Synergy of Co0-Co2+ in Cobalt-based Catalysts for CO2 Hydrogenation: Quantifying via Reduced and Exposed Atoms Fraction. Appl. Catal. A Gen. 2024, 670, 119549. [Google Scholar] [CrossRef]
- Fu, W.; Liu, S.; He, Y.; Chen, J.; Ren, J.; Chen, H.; Sun, R.; Tang, Z.; Mebrahtu, C.; Zeng, F. CO2 hydrogenation over CoAl Based Catalysts: Effects of Cobalt-metal Oxide Interaction. Appl. Catal. A Gen. 2024, 678, 119720. [Google Scholar] [CrossRef]
- Fu, W.; He, Y.; Liu, S.; Chen, J.; Ren, J.; Sun, R.; Tang, Z.; Mebrahtu, C.; Chen, H.; Zeng, F. Inverse supported Al2O3/Co° catalysts for enhanced CO2 hydrogenation. Mol. Catal. 2024, 569, 114598. [Google Scholar] [CrossRef]
- Guo, X.; Gao, D.; He, H.; Traitangwong, A.; Gong, M.; Meeyoo, V.; Peng, Z.; Li, C. Promotion of CO2 Methanation at Low Temperature over Hydrotalcite-derived Catalysts-effect of the Tunable Metal Species and Basicity. Int. J. Hydrogen Energy 2021, 46, 518–530. [Google Scholar] [CrossRef]
- Aziz, M.A.A.; Jalil, A.A.; Wongsakulphasatch, S.; Vo, D.-V.N. Understanding the Role of Surface Basic Sites of Catalysts in CO2 Activation in Dry Reforming of Methane: A Short Review. Catal. Sci. Technol. 2020, 10, 35–45. [Google Scholar] [CrossRef]
- Gao, P.; Li, F.; Zhao, N.; Xiao, F.; Wei, W.; Zhong, L.; Sun, Y. Influence of Modifier (Mn, La, Ce, Zr and Y) on the Performance of Cu/Zn/Al Catalysts via Hydrotalcite-like Precursors for CO2 Hydrogenation to Methanol. Appl. Catal. A Gen. 2013, 468, 442–452. [Google Scholar] [CrossRef]
- Wang, Y.; Ban, H.; Wang, Y.; Yao, R.; Zhao, S.; Hu, J.; Li, C. Unraveling the Role of Basic Sites in the Hydrogenation of CO2 to Formic Acid over Ni-based Catalysts. J. Catal. 2024, 430, 115357. [Google Scholar] [CrossRef]
- Stangeland, K.; Navarro, H.H.; Huynh, H.L.; Tucho, W.M.; Yu, Z. Tuning the Interfacial Sites between Copper and Metal Oxides (Zn, Zr, In) for CO2 Hydrogenation to Methanol. Chem. Eng. Sci. 2021, 238, 116603. [Google Scholar] [CrossRef]
- He, Y.; Xu, B.; Liu, S.; Fu, W.; Chen, J.; Ren, J.; Sun, R.; Tang, Z.; Mebrahtu, C.; Chen, H.; et al. Effects of hydrogen spillover on CO2 hydrogenation over Pt-Co-Al based catalysts. Appl. Catal. A Gen. 2025, 691, 120051. [Google Scholar] [CrossRef]
- Bosi, F.; Hålenius, U.; D’Ippolito, V.; Andreozzi, G.B. Blue Spinel Crystals in the MgAl2O4-CoAl2O4 Series: Part II. Cation Ordering over Short-range and Long-range Scales. Am. Mineral. 2012, 97, 1834–1840. [Google Scholar] [CrossRef]
- Sing, K.S. Reporting physisorption data for gas/solid systems with special reference to the determination of surface area and porosity (Provisional). Pure Appl. Chem. 1982, 54, 2201–2218. [Google Scholar] [CrossRef]
- Thommes, M.; Kaneko, K.; Neimark, A.V.; Olivier, J.P.; Rodriguez-Reinoso, F.; Rouquerol, J.; Sing, K.S.W. Physisorption of gases, with special reference to the evaluation of surface area and pore size distribution (IUPAC Technical Report). Pure Appl. Chem. 2015, 87, 1051–1069. [Google Scholar] [CrossRef]
- Madani, M.; Mansour, H.; Alonizan, N.; El Mir, L. Effect of Mg and Cu co-doping on nanostructured TiO2 photocatalytic activity. J. Mater. Sci. Mater. Electron. 2024, 35, 1168. [Google Scholar] [CrossRef]
- Díaz-Fernández, D.; Méndez, J.; Bomatí-Miguel, O.; Yubero, F.; Mossanek, R.; Abbate, M.; Domínguez-Cañizares, G.; Gutiérrez, A.; Tougaard, S.; Soriano, L. The growth of cobalt oxides on HOPG and SiO2 surfaces: A comparative study. Surf. Sci. 2014, 624, 145–153. [Google Scholar] [CrossRef]
- Zhang, X.; Liu, S.; Wang, Z.; Feng, K.; Xu, S.; Li, X.; Yu, P.; Fan, X.; Zheng, H.; Sun, Y. Inert magnesium-doped Co3O4 spinel assembling catalytic membrane for instantaneous peroxymonosulfate activation and contaminants elimination. Chem. Eng. J. 2023, 477, 146987. [Google Scholar] [CrossRef]
- Dojcinovic, M.P.; Vasiljevic, Z.Z.; Pavlovic, V.P.; Barisic, D.; Pajic, D.; Tadic, N.B.; Nikolic, M.V. Mixed Mg–Co spinel ferrites: Structure, morphology, magnetic and photocatalytic properties. J. Alloys Compd. 2021, 855, 157429. [Google Scholar] [CrossRef]
- Ji, Y.; Zhao, Z.; Duan, A.; Jiang, G.; Liu, J. Comparative Study on the Formation and Reduction of Bulk and Al2O3-supported Cobalt Oxides by H2-TPR Technique. J. Phys. Chem. C 2009, 113, 7186–7199. [Google Scholar] [CrossRef]
- Wang, C.; Chang, L.; Zhang, X.; Chai, H.; Huang, Y. Promoting oxygen vacancies utility for tetracycline degradation via peroxymonosulfate activation by reduced Mg-doped Co3O4: Kinetics and key role of electron transfer pathway. Environ. Res. 2024, 252, 118892. [Google Scholar] [CrossRef] [PubMed]
- Wei, M.; Xie, P.; Yong, X.; Li, Y.; Zhang, C. Tuning the Catalytic Activity of Complex Metal Oxides Prepared by a One-Pot Method for NO Direct Decomposition. Ind. Eng. Chem. Res. 2021, 60, 9399–9408. [Google Scholar] [CrossRef]
- Ribet, S.; Tichit, D.; Coq, B.; Ducourant, B.; Morato, F. Synthesis and Activation of Co–Mg–Al Layered Double Hydroxides. J. Solid State Chem. 1999, 142, 382–392. [Google Scholar] [CrossRef]
- Zhang, L.; Zhang, Y.; Chen, S. Effect of Promoter SiO2, TiO2 or SiO2-TiO2 on the Performance of CuO-ZnO-Al2O3 Catalyst for Methanol Synthesis from CO2 Hydrogenation. Appl. Catal. A Gen. 2012, 415, 118–123. [Google Scholar] [CrossRef]
- He, Q.; Li, Z.; Li, D.; Ning, F.; Wang, Q.; Liu, W.; Zhang, W.; Cui, Y.; Zhang, J.; Liu, C. Mg Enhanced the Performance of Cu/ZnO/ZrO2 for CO2 Hydrogenation to Methanol and the Mechanism Investigation. Mol. Catal. 2024, 558, 114008. [Google Scholar] [CrossRef]
- Gao, P.; Li, F.; Zhan, H.; Zhao, N.; Xiao, F.; Wei, W.; Zhong, L.; Wang, H.; Sun, Y. Influence of Zr on the Performance of Cu/Zn/Al/Zr Catalysts via Hydrotalcite-like Precursors for CO2 Hydrogenation to Methanol. J. Catal. 2013, 298, 51–60. [Google Scholar] [CrossRef]
- Díez, V.K.; Apesteguía, C.R.; Di Cosimo, J.I. Acid–base Properties and Active Site Requirements for Elimination Reactions on Alkali-promoted MgO Catalysts. Catal. Today 2000, 63, 53–62. [Google Scholar] [CrossRef]
- Fan, H.-X.; Cui, T.-Y.; Rajendran, A.; Yang, Q.; Feng, J.; Yue, X.-P.; Li, W.-Y. Comparative study on the activities of different MgO surfaces in CO2 activation and hydrogenation. Catal. Today 2020, 356, 535–543. [Google Scholar] [CrossRef]
- Ahmed, S.; Irshad, M.; Yoon, W.; Karanwal, N.; Sugiarto, J.R.; Khan, M.K.; Kim, S.K.; Kim, J. Evaluation of MgO as a promoter for the hydrogenation of CO2 to long-chain hydrocarbons over Fe-based catalysts. Appl. Catal. B Environ. 2023, 338, 123052. [Google Scholar] [CrossRef]
- Kim, S.-r.; Choi, Y.-N.; Park, K.; Lee, H.-G.; Lee, K.R.; Park, H.; Yoon, S.; Lee, K.Y.; Jung, K.-D. Magnesium-Promoted Catalytic Stability of the Cu/ZnO/ZrO2/Al2O3-MgO Catalyst in CO2 Hydrogenation to Methanol. Ind. Eng. Chem. Res. 2025, 64, 5903–5911. [Google Scholar] [CrossRef]
- Liu, K.; Xu, D.; Fan, H.; Hou, G.; Li, Y.; Huang, S.; Ding, M. Development of Mg-Modified Fe-Based Catalysts for Low-Concentration CO2 Hydrogenation to Olefins. ACS Sustain. Chem. Eng. 2024, 12, 2070–2079. [Google Scholar] [CrossRef]
- Liao, W.; Tang, C.; Zheng, H.; Ding, J.; Zhang, K.; Wang, H.; Lu, J.; Huang, W.; Zhang, Z. Tuning Activity and Selectivity of CO2 Hydrogenation via Metal-oxide Interfaces over ZnO-supported Metal Catalysts. J. Catal. 2022, 407, 126–140. [Google Scholar] [CrossRef]
- Zhang, J.; Fan, L.; Zhao, F.; Fu, Y.; Lu, J.-Q.; Zhang, Z.; Teng, B.; Huang, W. Zinc Oxide Morphology-Dependent Pd/ZnO Catalysis in Base-Free CO2 Hydrogenation into Formic Acid. ChemCatChem 2020, 12, 5540–5547. [Google Scholar] [CrossRef]
- Mah, J.C.W.; Muchtar, A.; Somalu, M.R.; Ghazali, M.J.; Raharjo, J. Formation of sol–gel derived (Cu,Mn,Co)3O4 spinel and its electrical properties. Ceram. Int. 2017, 43, 7641–7646. [Google Scholar] [CrossRef]
- Li, N.; Farzadnia, N.; Shi, C. Microstructural changes in alkali-activated slag mortars induced by accelerated carbonation. Cem. Concr. Res. 2017, 100, 214–226. [Google Scholar] [CrossRef]
- Wei, M.; Wang, J.; He, J.; Evans, D.G.; Duan, X. In situ FT-IR, in situ HT-XRD and TPDE study of thermal decomposition of sulfated β-cyclodextrin intercalated in layered double hydroxides. Microporous Mesoporous Mater. 2005, 78, 53–61. [Google Scholar] [CrossRef]
- Charanya, C.; Sampathkrishnan, S.; Balamurugan, N. Quantum mechanical analysis, spectroscopic (FT-IR, FT-Raman, UV-Visible) study, and HOMO-LUMO analysis of (1S,2R)-2-amino-1-phenylpropan-1-ol using Density Functional Theory. J. Mol. Liq. 2017, 231, 116–125. [Google Scholar] [CrossRef]
- Gypser, S.; Hirsch, F.; Schleicher, A.M.; Freese, D. Impact of crystalline and amorphous iron- and aluminum hydroxides on mechanisms of phosphate adsorption and desorption. J. Environ. Sci. 2018, 70, 175–189. [Google Scholar] [CrossRef]
- Lezcano, M.; Ribotta, A.; Miró, E.; Lombardo, E.; Petunchi, J.; Moreaux, C.; Dereppe, J.M. Spectroscopic Characterization of Dealuminated H-Mordenites: The Role of Different Aluminum Species on the SCR of NO with Methane. J. Catal. 1997, 168, 511–521. [Google Scholar] [CrossRef]
- Lv, Y.; Li, Y.; Ta, N.; Shen, W. Co3O4 nanosheets: Synthesis and catalytic application for CO oxidation at room temperature. Sci. China Chem. 2014, 57, 873–880. [Google Scholar] [CrossRef]
- Kandori, H.; Maeda, A. FTIR spectroscopy reveals microscopic structural changes of the protein around the rhodopsin chromophore upon photoisomerization. Biochem. 1995, 34, 14220–14229. [Google Scholar] [CrossRef] [PubMed]
- Lin, W.; Frei, H. Photochemical and FT-IR Probing of the Active Site of Hydrogen Peroxide in Ti Silicalite Sieve. J. Am. Chem. Soc. 2002, 124, 9292–9298. [Google Scholar] [CrossRef] [PubMed]
- Kumar, P.; Gill, K.; Kumar, S.; Ganguly, S.K.; Jain, S.L. Magnetic Fe3O4@MgAl–LDH Composite Grafted with Cobalt Phthalocyanine as an Efficient Heterogeneous Catalyst for the Oxidation of Mercaptans. J. Mol. Catal. A Chem. 2015, 401, 48–54. [Google Scholar] [CrossRef]








| Catalyst | RMg/(Co+Al+Pt) 1 (%) | L131 2 (Å) | SBET 3 (m2 g−1) |
|---|---|---|---|
| 0% Mg-PtCoAl | 0 | 204 | 78 |
| 0.7% Mg-PtCoAl | 0.77 | 257 | 53 |
| 1.1% Mg-PtCoAl | 1.12 | 113 | 71 |
| 5.0% Mg-PtCoAl | 5.17 | 93 | 131 |
| Catalyst | H2 Uptake (μmolH2 gcat−1) | Fwh 3 (%) | ||
|---|---|---|---|---|
| Weakly Adsorbed H 1 | Strongly Adsorbed H 2 | Overall H2 Uptake | ||
| 0% Mg-PtCoAl | 85.5 | 216.3 | 301.8 | 28 |
| 0.7% Mg-PtCoAl | 92.1 | 361.1 | 453.2 | 21 |
| 1.1% Mg-PtCoAl | 114.5 | 482.2 | 596.7 | 19 |
| 5.0% Mg-PtCoAl | 76.5 | 508.8 | 585.3 | 13 |
| Catalyst | Number of Basic Sites (μmol gcat−1) | FWCO2 1 (%) | |||
|---|---|---|---|---|---|
| Site α | Site β | Site γ | Total | ||
| 0% Mg-PtCoAl | 420.8 | 0 | 584.0 | 1004.8 | 42 |
| 0.7% Mg-PtCoAl | 497.5 | 20.6 | 586.7 | 1104.8 | 46 |
| 1.1% Mg-PtCoAl | 265.3 | 443.4 | 750.2 | 1459.0 | 18 |
| 5.0% Mg-PtCoAl | 283.7 | 796.0 | 738.3 | 1818.0 | 16 |
Disclaimer/Publisher’s Note: The statements, opinions and data contained in all publications are solely those of the individual author(s) and contributor(s) and not of MDPI and/or the editor(s). MDPI and/or the editor(s) disclaim responsibility for any injury to people or property resulting from any ideas, methods, instructions or products referred to in the content. |
© 2025 by the authors. Licensee MDPI, Basel, Switzerland. This article is an open access article distributed under the terms and conditions of the Creative Commons Attribution (CC BY) license (https://creativecommons.org/licenses/by/4.0/).
Share and Cite
He, Y.; Chen, J.; Xie, Y.; Hu, Q.; Wang, L.; Liu, Y.; Xu, X.; Xu, B.; Zeng, F. Effects of Mg on CO2 Hydrogenation on PtCoAl Catalysts. Catalysts 2025, 15, 577. https://doi.org/10.3390/catal15060577
He Y, Chen J, Xie Y, Hu Q, Wang L, Liu Y, Xu X, Xu B, Zeng F. Effects of Mg on CO2 Hydrogenation on PtCoAl Catalysts. Catalysts. 2025; 15(6):577. https://doi.org/10.3390/catal15060577
Chicago/Turabian StyleHe, Yiming, Jian Chen, Yunjie Xie, Qingsong Hu, Linjun Wang, Yi Liu, Xiaolu Xu, Bowen Xu, and Feng Zeng. 2025. "Effects of Mg on CO2 Hydrogenation on PtCoAl Catalysts" Catalysts 15, no. 6: 577. https://doi.org/10.3390/catal15060577
APA StyleHe, Y., Chen, J., Xie, Y., Hu, Q., Wang, L., Liu, Y., Xu, X., Xu, B., & Zeng, F. (2025). Effects of Mg on CO2 Hydrogenation on PtCoAl Catalysts. Catalysts, 15(6), 577. https://doi.org/10.3390/catal15060577

