Next Article in Journal
β-Cyclodextrin Functionalization of Nitrogen-Doped Graphene to Enhance Dispersibility and Activate Persulfate for Trace Antibiotic Degradation in Water
Next Article in Special Issue
Triethanolamine-Modified CMPSF Anion Exchange Membranes for High-Efficiency Acid Recovery via Diffusion Dialysis
Previous Article in Journal
The Study and Optimization of the AlCl3/SnCl2 Catalyst System in the Subcritical Water Production of Lactic Acid from Corn Stover
 
 
Font Type:
Arial Georgia Verdana
Font Size:
Aa Aa Aa
Line Spacing:
Column Width:
Background:
Article

Application of Fe2O3 Catalytic Sludge Ceramics in the Control of Eutrophication in Water Bodies

1
School of Environmental and Municipal Engineering, Qingdao University of Technology, Qingdao 266525, China
2
Qingdao Real Estate Development Center, 168 Shandong Rd., Qingdao 266033, China
3
National Engineering Research Center for Safe Disposal and Resources Recovery of Sludge (Harbin Institute of Technology), Qingdao 266400, China
*
Authors to whom correspondence should be addressed.
Catalysts 2025, 15(6), 540; https://doi.org/10.3390/catal15060540
Submission received: 2 April 2025 / Revised: 16 May 2025 / Accepted: 27 May 2025 / Published: 29 May 2025

Abstract

The excessive input of nitrogen and phosphorus pollutants into surface water bodies poses a serious threat to the aquatic ecosystem. As an efficient porous adsorbent material, ceramsite shows remarkable potential in the field of simultaneous nitrogen and phosphorus removal. In this study, Fe2O3 catalyzed the decomposition of K2CO3 to generate CO and CO2 gases, leading to the formation of a large number of pore structures in the composite ceramsite. Subsequently, adsorption experiments were conducted on the obtained ceramsite. The regulatory mechanisms of the ceramsite dosage and solution pH on its adsorption performance were revealed. The experiments show that as the ceramsite dosage increased from 2.1 g/L to 9.6 g/L, the adsorption capacities of ammonia–nitrogen and phosphorus decreased from 0.4521 mg/g and 0.4280 mg/g to 0.1430 mg/g and 0.1819 mg/g, respectively, while the removal rates increased to 68.66% and 58.22%, respectively. This indicates that the competition between the utilization efficiency of adsorption sites and the mass-transfer limitation between particles dominates this process. An analysis of the pH effect reveals that the adsorption of ammonia–nitrogen reached a peak at pH = 10 (adsorption capacity of 0.4429 mg/g and removal rate of 81.58%), while the optimal adsorption of phosphorus occurred at pH = 7 (adsorption capacity of 0.3446 mg/g and removal rate of 86.40%). This phenomenon is closely related to the interaction between the existing forms of pollutants and the surface charge. Kinetic and thermodynamic studies show that the pseudo-second-order kinetic model (R2 > 0.99) and the Langmuir isothermal model can accurately describe the adsorption behavior of the ceramsite for ammonia–nitrogen and phosphorus, confirming that the adsorption is dominated by a monolayer chemical adsorption mechanism. This study explores the dosage–efficiency relationship and pH response mechanism of Fe2O3-catalyzed porous ceramsite for nitrogen and phosphorus adsorption, revealing the interface reaction pathway dominated by Fe2O3 catalysis and chemical adsorption. It provides theoretical support for the construction of porous ceramsite and the development of an efficient technology system for the synergistic removal of nitrogen and phosphorus.

Graphical Abstract

1. Introduction

The effluent from sewage treatment plants refers to treated water discharged after secondary biological treatment in urban sewage treatment plants. It is characterized by large-scale production, significant water quality fluctuations, low pollutant concentrations, and poor biodegradability [1]. With the continuous deterioration of global surface water environmental problems [2], the treatment of sewage treatment plant effluent has attracted increasing attention from all sectors of society.
In recent years, although the water quality of sewage treatment plant effluent has improved to some extent, there are still some sewage treatment plants whose discharged wastewater fails to meet the “Discharge Standard of Pollutants for Municipal Wastewater Treatment Plant” (GB 18918-2002) [3]. Moreover, according to water quality standards, even if the effluent from sewage treatment plants meets the corresponding discharge standards, the pollutant content in it is still much higher than the limits specified in the “Environmental Quality Standards for Surface Water” (GB 3838-2002) [4]. As shown in Table 1,taking ammonia–nitrogen (NH4⁺–N) and total phosphorus (TP) as examples, in the effluent that meets the Class I—A standard of the “Discharge Standard of Pollutants for Municipal Wastewater Treatment Plant”, the ammonia–nitrogen concentration is 2.5 times that of the Class V standard for surface water, and the total phosphorus concentration is 1.25 times that of the Class V standard for surface water.
The excessive input of high-concentration nitrogen and phosphorus pollutants into surface water bodies such as rivers and lakes [5] can cause significant changes in the microbial community structure of the aquatic ecosystem, manifested as the proliferation of heterotrophic microbial communities and the inhibitory growth and decline of autotrophic microorganisms [6]. This niche replacement phenomenon may trigger the eutrophication process, leading to secondary ecological disasters such as the depletion of dissolved oxygen in water bodies and the abnormal proliferation of algae [7], thus seriously threatening the stability and environmental carrying capacity of the aquatic ecosystem.
In the field of sewage nitrogen removal, ceramsite filter media are widely used as functional biological carriers due to their advantages such as porous structure, high specific surface area, and surface electrochemical properties [8]. Compared with traditional filter media, the unique physical and chemical properties of ceramsite not only have economic advantages and the availability of raw materials, but ceramsite’s surface microporous structure also provides an ideal micro-niche for ammonia-oxidizing bacteria (AOB), nitrite-oxidizing bacteria (NOB), and denitrifying microorganisms [9]. The directional enrichment effect of this biofilm system can significantly promote the cascade transformation of nitrogen-containing pollutants: organic nitrogen is mineralized into NH4⁺ through ammonification, converted into NO3 through nitrification, and finally denitrified to produce N2 in an anoxic micro-environment [10]. The systematic enhancement of this metabolic pathway enables ceramsite filter media to show significant advantages in ammonia–nitrogen removal efficiency and process stability, providing an important solution for the development of sustainable water pollution control technologies.
In the field of sewage phosphorus removal, ceramsite materials exhibit unique adsorption performance advantages in controlling phosphorus pollution in water bodies due to their remarkable high specific surface area and multi-level pore topological structure [11]. Research indicates that its adsorption mechanism mainly involves a synergistic process of physical adsorption (pore interception effect) and chemical adsorption (coordination of surface hydroxyl sites) [12]. The abundant mesoporous (2–50 nm) and macroporous (>50 nm) structures on the surface of ceramsite optimize the transport pathways of phosphorus species (such as H2PO4 and HPO42−) through molecular diffusion kinetics [13], while micropores (<2 nm) enhance the density of adsorption sites through the spatial confinement effect [14]. The simultaneous chemical adsorption is manifested as the Lewis acid–base interaction between metal oxides (such as Fe–O and Al–O) on the ceramsite surface and phosphate ions, including interfacial reaction pathways such as ligand exchange, ionic bonding, and complex precipitation [15].
In addition, structural parameters such as the pore size gradient distribution and pore connectivity of ceramsite can significantly affect the equilibrium capacity (qe) and kinetic constant (k1) of phosphorus adsorption. The goodness-of-fit (R2 > 0.99) of the pseudo-second-order kinetic model confirms that this process is controlled by chemical adsorption [16]. Notably, ceramsite can still maintain an initial adsorption efficiency of over 85% after multiple adsorption–desorption cycles. This excellent regeneration performance stems from its thermodynamically stable crystal phase structure and the reversible regeneration characteristics of surface active sites, providing a theoretical basis for constructing a long-term technical system for phosphorus pollution remediation.
This paper proposes using sludge and shale as the main materials; mixing them with components such as K2CO3, biomass, and Fe2O3; and preparing porous lightweight ceramsite through Fe2O3-catalyzed sintering. With the ceramsite as the adsorbent, adsorption experiments were carried out on wastewater containing ammonia–nitrogen [17] and phosphorus [18]. The adsorption performance was evaluated, and the adsorption mechanism was analyzed. This study provides theoretical basis and technical support for the preparation of sludge-based porous ceramsite and its application in the field of wastewater treatment.

2. Experimental Design Scheme

2.1. Experimental Procedure

After the sludge is dried, it is thoroughly mixed with crushed shale. Meanwhile, components for pore-forming [19], gas-generating [20], and fluxing [21], such as biomass, K2CO3, and Fe2O3, are added. After tableting, the mixture goes through drying [22], pre-heating [23], roasting [24], and cooling processes to produce ceramsite [25]. The process flow is shown in Figure 1a.
Figure 1b is a diagram illustrating the mechanism of the ceramsite sintering process. It shows that additives like biomass, K2CO3, and Fe2O3 enable ceramsite [26] to form well-developed pores through a series of chemical reactions during the sintering process. Subsequently, the well-developed pore structure allows the ceramsite to further adsorb ammonia–nitrogen and phosphorus in water. In the adsorption experiment, the determination of the ammonia–nitrogen content refers to the “Salicylic Acid Spectrophotometric Method” (HJ536-2009) [27], and the determination of the total phosphorus content refers to the “Ammonium Molybdate Spectrophotometric Method” (GB11893-83) [28].

2.2. Fe2O3 Catalytic

As shown in Figure 2, (1) there is no additive or (2) only K2CO3 (3) is added at the same time K2CO3, Fe2O3 after firing in three ways.
It can be clearly seen from the above figure that when there are no additives, the surface of the fired ceramsite shows no change other than a color alteration, and there is no pore structure. When only K2CO3 is added, a certain pore structure begins to appear, but the pore size is large and the number is small. When both K2CO3 and Fe2O3 are added, a well-developed and dense pore structure emerges, with fine, continuous pores in large quantities. This indicates that the catalytic induction effect of Fe2O3 is significant.
The SEM of the ceramic surface before sintering is shown in Figure 3 below.
According to the scanning electron microscope (SEM) analysis, the surface of the unsintered ceramsite precursor exhibits a continuous and dense matrix structure, and no obvious macroscopic pores or through channels are observed (apparent porosity < 1%). High-resolution images show that the matrix surface is covered with a large number of micron-sized K2CO3 crystals and nano–micron dual-scale Fe2O3 attachments. K2CO3 exists in the forms of rhombohedral single crystals (0.5–3 μm) and aggregates (up to 15 μm), and the cleavage planes on its surface are clearly visible. Fe2O3 presents two distribution patterns: nanoparticles of 50–200 nm cover approximately 37% of the surface area in a discrete island-like structure, and at the same time, a continuous film with a thickness of 200–500 nm is formed in the depressions of the matrix. This special microstructure provides a spatial regulation basis for pore formation by K2CO3 decomposition and the catalytic induction of anisotropic pore evolution by Fe2O3 during the subsequent sintering process.
The SEM of the sintered ceramic surface is shown in Figure 4 below. The microstructure of the sintered composite ceramsite was characterized by scanning electron microscopy (SEM). The results showed that a highly developed pore structure was formed on the surface and inside of the ceramsite, with uniform pore distribution and multi-level through-hole characteristics (pore size ranging from approximately 0.5 to 10 μm). Energy-dispersive X-ray spectroscopy (EDS) analysis combined with the study of the thermodynamic mechanism indicated that the formation of this special structure mainly originated from the synergistic decomposition of K2CO3 and Fe2O3 during the sintering process. In the medium-temperature sintering stage at 500–800 °C, Fe2O3, acting as a catalyst, significantly reduced the decomposition activation energy of K2CO3, prompting its step-by-step pyrolysis. First, K2CO3 was adsorbed and dissociated into K2O at the active sites on the surface of Fe2O3, while a large amount of CO and CO2 gases were released. These instantaneously generated reducing gases rapidly expanded and escaped from the molten matrix, forming a primary pore network mainly composed of circular holes.
As the temperature rises above 900 °C, the system enters the high-temperature reaction stage. Fe2O3 itself begins to undergo reductive decomposition. Through the valence-state transformation of Fe3⁺→Fe2⁺, FeO is generated, accompanied by the release of secondary CO/CO2 gases. At this time, the viscosity of the matrix decreases, and the gas diffusion coefficient increases. The newly generated gas flow creates long and narrow tunnel-like pores during the process of penetrating the melt. These pores cross-link with the circular pores formed in the previous stage, resulting in a three-dimensional interconnected complex pore-channel structure.

2.3. Adsorption Experiment Steps

(1)
The influence of the dosage of ceramsite on the adsorption effect
Prepare solutions with concentrations of 5 mg/L NH4Cl and 0.5 mg/L KH2PO4, respectively, and adjust the pH value to 7. The dosage of ceramsite is 2.1–9.6 g/L, with a gradient of 2.1 g/L. Place 100 mL of simulated wastewater into a stoppered conical flask with a volume of 250 mL. It was placed and adsorbed in a constant temperature water bath shaker at 25 °C and 120 r/min for 24 h. Take a small amount of the supernatant and filter it through a filter membrane. Determine the concentrations of residual nitrogen and phosphorus in the filtrate, and calculate the equilibrium adsorption capacity and removal rate.
(2)
The influence of pH on the adsorption effect
Prepare a NH4Cl solution with a concentration of 5 mg/L and the dosage of ceramsite is 3 g/L. The configuration concentration is 0.5 mg/L. For the KH2PO4 solution, the dosage of ceramsite is 8 g/L. Adjust the pH values, respectively, to 3 to 11, with a gradient of 1. The rest steps are consistent with Experiment (1).
(3)
Adsorption kinetics experiment
Prepare an NH4Cl solution with a concentration of 5 mg/L, the dosage of ceramsite is 3 g/L, and adjust the pH value to 8. Prepare a KH2PO4 solution with a concentration of 0.5 mg/L, add 3 g/L of ceramsite, and adjust the pH value to 7. Perform static adsorption for 0.5, 1, 2, 3, 6, 9, 12, 18, 24, 30 and 36 h. The remaining steps are consistent with Experiment (1).
(4)
Isothermal adsorption experiment
Prepare NH4Cl solutions with concentrations of 2, 5, 8, 12, 16, and 20 mg/L and ceramsite with a dosage of 3 g/L. Adjust the pH value to 8. Prepare KH2PO4 solutions with concentrations of 0.2, 0.5, 0.8, 1.2, 1.6, and 2.0 mg/L and ceramsite with a dosage of 3 g/L, and adjust the pH value to 7. In constant-temperature water baths with temperatures of 15, 25 and 35 °C, stand and adsorb the solutions in an oscillator for 24 h. The remaining steps are consistent with Experiment (1).
All the above experiments were conducted twice. The subsequent experimental data used were all the average values of the experiments with a value of 2.

3. Evaluation of Adsorption Performance of Ceramides on Wastewater Containing Ammonia–Nitrogen

3.1. Dynamic Analysis Theory

(1)
Theoretical analysis of quasi-first-order and quasi-second-order dynamics
Quasi-first-order and quasi-second-order kinetic models are used to describe the variation law of adsorption capacity with time during the adsorption process [29].
Quasi-first-order kinetics assumes that the adsorption rate is controlled by physical diffusion processes, such as the migration of adsorbate from the main body of the solution to the surface of the adsorbent.
Quasi-second-order kinetics emphasizes that the adsorption process is dominated by chemical actions, such as chemical bonding or electron exchange between the adsorbate and the active sites on the surface of the adsorbent.
(2)
Identification and analysis of liquid-phase diffusion, intra-particle diffusion, and dynamic equilibrium stages [30].
The adsorption process usually goes through three stages, and its theoretical analysis needs to combine kinetics and diffusion mechanisms:
Liquid-phase rapid diffusion stage: At this stage, the adsorbate rapidly migrates from the main body of the solution to the outer surface of the adsorbent, with a short time consumption and a rapid increase in adsorption capacity. The experiment is manifested as the initial steep part of the adsorption capacity–time curve.
Intra-particle diffusion stage: The adsorbate migrates from the surface of the adsorbent to the internal pores or active sites, and the rate is affected by the pore structure, pore size distribution, and chemical affinity.
Dynamic adsorption equilibrium stage: When the adsorption rate is equal to the desorption rate, the adsorption capacity tends to stabilize.

3.2. Influence of Dosage of Ceramisite on Adsorption Effect

The effects of the dosage and pH of ceramide on the effect of ammonia–nitrogen are shown in Figure 5.
It can be seen from Figure 5 that as the dosage increases, the ammonia–nitrogen adsorption capacity shows a downward trend. When the ceramsite dosage is 2.1 g/L, the adsorption capacity reaches its maximum, which is 0.4521 mg/g. When the dosage is 9.6 g/L, the adsorption capacity is the lowest, only 0.1430 mg/g. As the ceramsite dosage increases, the ammonia–nitrogen removal rate generally shows an upward trend. When the ceramsite dosage is 2.1 g/L, the removal rate is only 47.47%. When the ceramsite dosage is 9.6 g/L, the removal rate reaches the highest level, which is 68.66%.
When the dosage is 2.1 g/L, the adsorption capacity reaches its maximum, but the overall removal effect of ceramsite on ammonia–nitrogen is poor. When the dosage is 9.6 g/L, the removal effect is the best, but the adsorption capacity is extremely low. When the ceramsite dosage is 6.3 g/L, the removal rate is 62.07% and the adsorption capacity is 0.1970 mg/g. At this time, the removal rate is not much different from the highest removal rate when the dosage is 9.6 g/L, and the adsorption capacity is significantly higher. Therefore, considering both the removal effect and economy, a ceramsite dosage of 6.3 g/L is selected.

3.3. Influence of pH on Adsorption Effect

As shown in Figure 6, with the increase in the pH value, the adsorption capacity and removal rate of ammonia–nitrogen by ceramsite generally show a trend of first rising, then rapidly falling, then rising again, and finally falling. When the pH is 3, the adsorption effect of ceramsite on ammonia–nitrogen is poor, with the adsorption capacity being only 0.0653 mg/g and the removal rate being only 39.505%. When the pH increases from 3 to 5, the adsorption effect of ceramsite on ammonia–nitrogen gradually strengthens. The adsorption capacity rises to 0.3903 mg/g, and the removal rate rises to 79.60%. Then, it decreases. When the pH is 8, it reaches the lowest point, with the adsorption capacity dropping to 0.2814 mg/g and the removal rate dropping to 73.78%. After the pH is greater than 8, it continues to rise and reaches the highest point at pH 10. The adsorption capacity rises to 0.4429 mg/g, and the removal rate rises to 81.58%.
The main reason for this phenomenon is that the change in pH value can alter the concentrations of H⁺ and OH in the water and the existing forms of ammonia–nitrogen, thus affecting the removal effect of ceramsite on ammonia–nitrogen.

3.4. Adsorption Kinetics Analysis

The adsorption kinetics curve of ceramite is shown in Figure 7.
Within the first 18 h, the adsorption capacity of ceramsite for ammonia–nitrogen shows a significant increasing trend, rising from 0.1929 mg/g to 0.2349 mg/g. From 18 h to 36 h, there is almost no obvious change in the adsorption capacity, indicating that the adsorption reaction has reached an equilibrium state.
The quasi-first- and quasi-second-order kinetic models are shown in Figure 8 and Figure 9.
The data of the adsorption process were fitted using the pseudo-first-order and pseudo-second-order kinetic models, as shown in Table 2.
The coefficients of determination, R2, after fitting with the pseudo-first-order and pseudo- second-order kinetic models are 0.83506 and 0.9988, respectively, indicating that the pseudo-second-order kinetic model has a higher goodness of fit.
In addition, by comparing the theoretical adsorption capacities qe of the pseudo-first-order and pseudo-second-order kinetic models (0.1855 mg/g and 0.2405 mg/g) with the experimentally measured equilibrium adsorption capacity qe (0.2378 mg/g), it is found that the theoretical adsorption capacity of the pseudo-second-order kinetic model is closer to the measured result.
Therefore, the pseudo-second-order kinetic model is more suitable for describing the adsorption process of ammonia–nitrogen by ceramsite, and the reaction process is mainly controlled by chemical adsorption.
The intra-particle diffusion model for ammonia–nitrogen adsorption is shown in Figure 10.
In this study, the intraparticle diffusion model was used to fit the experimental data, and the specific data are shown in Table 3. According to the fitting results of the intraparticle diffusion model, the process of ammonia–nitrogen adsorption by ceramsite can be divided into three stages.
The first stage is the rapid diffusion in the liquid phase. Ammonia–nitrogen rapidly diffuses from the solution to the outer surface of the ceramsite. The mass-transfer resistance in this process is relatively small, so the adsorption capacity increases significantly. The second stage is the intraparticle diffusion, where ammonia–nitrogen slowly diffuses from the outer surface of the ceramsite into the internal pores. The third stage is the dynamic adsorption equilibrium stage. At this time, the adsorption of ammonia–nitrogen by ceramsite is approaching saturation, and there is no obvious change in the adsorption capacity over time.
From the fitting parameters, it can be seen that the coefficients of determination of the first and second stages are relatively high at R2 = 0.9415 and R2 = 0.9420, indicating that the reaction process is mainly controlled by liquid-phase diffusion and intraparticle diffusion. The fitting lines of the three stages do not pass through the origin, which means that the reaction process is also controlled by other mechanisms.

3.5. Isothermal Adsorption Experiment

The isothermal adsorption curve and Langmuir fitting line for ammonia–nitrogen of ceramics are shown in Figure 11 and Figure 12.
As shown in Figure 11,when the ceramsite dosage is 10 g/L, the adsorption capacity of ceramsite for ammonia–nitrogen shows an upward trend with the increase in the equilibrium concentration at temperatures of 25 °C, 35 °C, and 45 °C, respectively. Under the condition of a certain equilibrium ammonia–nitrogen concentration, the adsorption capacity gradually increases with the rise in temperature. As shown in Figure 12, when the ceramsite dosage is fixed, appropriately increasing the initial ammonia–nitrogen concentration and reaction temperature is beneficial to increasing the adsorption capacity of ceramsite for ammonia–nitrogen.
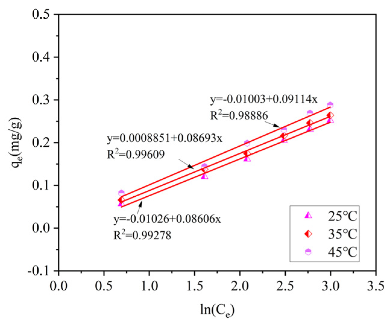
The Freundlich and Tempkin fitting lines of the ceramics for ammonia–nitrogen are shown in Figure 13 and Figure 14.
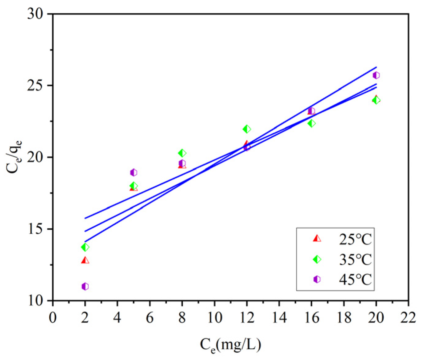
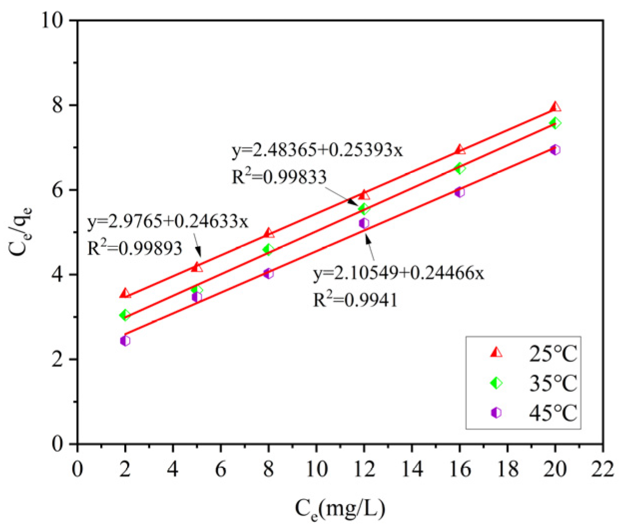
Three isothermal adsorption models were used to fit the data. By comparing the coefficients of determination R2, it can be known that the Langmuir model and the Tempkin model can effectively describe the adsorption process of ammonia–nitrogen by ceramsite. Among them, compared with the other two models, the Langmuir model has the highest coefficients of determination, R2, after fitting under different temperature conditions (R2 = 0.9973–0.9786). This indicates that the adsorption process of ammonia–nitrogen by ceramsite is a uniform monolayer surface adsorption. The specific fitting parameters of the isothermal adsorption models are shown in Table 4.

4. Adsorption Performance of Ceramite on Wastewater Containing Phosphorus

4.1. Influence of Dosage of Ceramisite on Adsorption Effect

As can be seen from Figure 15, the phosphorus adsorption capacity shows a downward trend with the increase in the ceramsite dosage. When the ceramsite dosage is 2.1 g/L, the adsorption capacity reaches the maximum value of 0.4280 mg/g. When the dosage is 9.6 g/L, the adsorption capacity is the lowest, only 0.1819 mg/g.
With the increase in the ceramsite dosage, the phosphorus removal rate generally shows an upward trend. When the ceramsite dosage is 2.1 g/L, the removal rate is only 29.9606%. When the dosage is 9.6 g/L, the removal rate reaches the highest value of 58.2170%.
In the process of phosphorus treatment, the dosage of ceramsite has a significant impact on its adsorption capacity and removal efficiency. When the dosage of ceramsite is 2.1 g/L, the adsorption capacity reaches the maximum, but its overall removal effect on phosphorus is not satisfactory. When the dosage is increased to 9.6 g/L, the best removal effect can be achieved, but the adsorption capacity is extremely low at this time. When the ceramsite dosage is 6.3 g/L, the removal rate reaches 49.43%, and the adsorption capacity is 0.2353 mg/g. It is worth noting that this removal rate is not significantly different from the highest removal rate when the dosage is 9.6 g/L, and at the same time, the adsorption capacity is significantly improved. Based on the above results, considering both the removal effect and economic benefits comprehensively, it is more appropriate to choose a ceramsite dosage of 6.3 g/L.

4.2. Influence of pH on Adsorption Effect

As can be seen from Figure 16, with the increase in the pH value, the adsorption capacity and removal rate of phosphorus by ceramsite generally show a trend of first increasing and then rapidly decreasing. When the pH increases from 3 to 7, the adsorption effect of ceramsite on phosphorus gradually strengthens. The adsorption capacity increases from 0.2973 mg/g to 0.3446 mg/g, and the removal rate rises from 76.17% to 86.40%. When the pH increases from 7 to 11, the adsorption effect gradually weakens. The adsorption capacity decreases from 0.3446 mg/g to 0.3177 mg/g, and the removal rate drops from 86.40% to 80.06%.
Under acidic conditions, there may be more other cations (such as H⁺) in the solution. These cations will compete with phosphate ions for the adsorption sites on the surface of the ceramsite, thus improving the adsorption effect. As the pH value increases, phosphorus mainly exists in the form of PO43−, which may form insoluble phosphate precipitates with other cations (such as Ca2⁺, Mg2⁺, etc.) in the solution, leading to a decrease in the adsorption capacity and removal rate of phosphorus by ceramsite.

4.3. Adsorption Kinetics Analysis

The adsorption kinetics curve of ceramite is shown in Figure 17.
In the first 18 h, the phosphorus adsorption capacity of ceramide increased significantly, and the adsorption capacity increased from 0.1865 mg/g to 0.2100 mg/g. From 18 h to 36 h, the adsorption capacity was almost unchanged, and the adsorption reaction reached an equilibrium state.
The quasi-first- and quasi-second-order kinetic models are shown in Figure 18 and Figure 19.
Table 5 shows the fitting of the adsorption process data using the pseudo-first-order and pseudo-second-order kinetic models. The coefficients of determination R2 after fitting the pseudo-first-order and pseudo-second-order kinetic models are 0.6514 and 0.9987, respectively, and the pseudo-second-order kinetic model has a higher goodness of fit. In addition, by comparing the theoretical adsorption capacities qe of the pseudo-first-order and pseudo-second-order kinetic models (0.1881 mg/g and 0.2341 mg/g) with the experimentally measured equilibrium adsorption capacity qe (0.23145 mg/g), it is found that the theoretical adsorption capacity of the pseudo-second-order kinetic model is closer to the measured result.
Therefore, the pseudo-second-order kinetic model is more suitable for describing the adsorption process of phosphorus by ceramsite, and the reaction process is mainly controlled by chemical adsorption.
See Figure 20 for the intramaterial diffusion model of phosphorus adsorption.
As shown in Table 6, in this study, the intraparticle diffusion model was used to fit the experimental data. The specific data are shown in the table. According to the fitting results of the intraparticle diffusion model, the process of phosphorus adsorption by ceramsite can be divided into three stages.
The first stage is the rapid diffusion in the liquid phase. Phosphorus rapidly diffuses from the solution to the outer surface of the ceramsite. The mass-transfer resistance in this process is relatively small, so the adsorption capacity increases significantly. The second stage is intraparticle diffusion, where phosphorus slowly diffuses from the outer surface of the ceramsite into the internal pores. The third stage is the dynamic adsorption equilibrium stage. At this time, the adsorption of phosphorus by ceramsite is close to saturation, and the adsorption capacity does not change significantly with the extension of time.
From the fitting parameters, it can be seen that the coefficient of determination of the second-stage fitting is relatively high (R2 = 0.9415), indicating that the reaction process is mainly controlled by intraparticle diffusion.

4.4. Isothermal Adsorption Experiment

The isothermal adsorption curve and Langmuir fitting line for phosphorus in ceramics are shown in Figure 21 and Figure 22.
When the ceramsite dosage is 10 g/L, at temperatures of 25 °C, 35 °C, and 45 °C, the adsorption capacity of phosphorus by ceramsite shows an upward trend with the increase in the equilibrium concentration. Under the condition of a certain equilibrium phosphorus concentration, the adsorption capacity gradually increases with the rise in temperature. Therefore, when the ceramsite dosage is fixed, appropriately increasing the initial phosphorus concentration and the reaction temperature is beneficial to increasing the adsorption capacity of phosphorus by ceramsite.
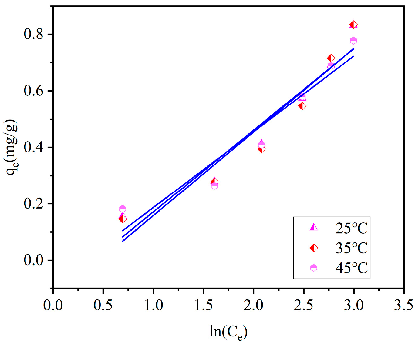
The Freundlich and Tempkin fitting lines for phosphorus of ceramite are shown in Figure 23 and Figure 24.
Three isothermal adsorption models were used to fit the data. By comparing the coefficients of determination R2, it can be seen that the Langmuir model and the Tempkin model can effectively describe the adsorption process of phosphorus by ceramsite. Among them, compared with the other two models, the Langmuir model has the highest R2 values (ranging from 0.9983 to 0.9941) after fitting under different temperature conditions. This indicates that the adsorption process of phosphorus by ceramsite is a monolayer and uniform surface adsorption. The specific fitting parameters of the isothermal adsorption models are shown in Table 7.

4.5. Adsorption Comparison of Different Materials

The optimal conditions, materials, and detailed parameters for the comparison of the adsorption performance of different materials are shown in Table 8.

5. Conclusions

1. Fe2O3 catalyzes the pyrolysis of K2CO3 step by step to release CO/CO2 gas, forming a three-dimensional interconnected circular pore and tunnel pore composite structure. At the same time, it releases secondary gas by itself, significantly increasing the porosity of the material.
2. With the increase in dosage (2.1→9.6 g/L), the adsorption capacities of ammonia–nitrogen and phosphorus decreased from 0.4521 mg/g and 0.4280 mg/g to 0.1430 mg/g and 0.1819 mg/g, respectively. However, the removal rates increased from 47.47% and 29.96% to 68.66% and 58.22%, respectively, indicating that although a high dosage reduced the unit adsorption capacity, the overall removal efficiency improved.
3. Ammonia–nitrogen has the best adsorption effect at pH = 10 (0.4429 mg/g, with a removal rate of 81.58%), while phosphorus shows the best performance under neutral conditions (pH = 7) (0.3446 mg/g, with a removal rate of 86.40%). Both strong acid and strong alkali environments weaken the adsorption performance.
4. The pseudo-second-order kinetics and Langmuir isothermal adsorption models precisely fit the adsorption process, respectively, confirming that chemical adsorption is dominant and is monolayer adsorption, providing a theoretical basis for material modification.

Author Contributions

Conceptualization, X.S.; methodology, G.M.; software, J.C.; formal analysis, Z.Z.; investigation, H.Y.; resources, S.L. All authors have read and agreed to the published version of the manuscript.

Funding

This research was financially supported by Science Foundation of National Engineering Research Center for Safe Disposal and Resources Recovery of Sludge (Harbin Institute of Technology, Grant No. K2024B004).

Data Availability Statement

The original contributions presented in this study are included in the article.

Conflicts of Interest

Author Haoyan Yuan was employed by the company Qingdao Real Estate Development Center, 168 Shandong Rd., Qingdao, China. The remaining authors declare that the research was conducted in the absence of any commercial or financial relationships that could be construed as a potential conflict of interest.

References

  1. Saravanan, A.; Kumar, P.S.; Vo, D.V.N.; Jeevanantham, S.; Karishma, S.; Yaashika, P.R. A review on catalytic-enzyme degradation of toxic environmental pollutants: Microbial enzymes. J. Hazard. Mater. 2021, 419, 126451. [Google Scholar] [CrossRef] [PubMed]
  2. Zhao, S.; Yang, Y.; Bi, F.; Chen, Y.; Wu, M.; Zhang, X.; Wang, G. Oxygen vacancies in the catalyst: Efficient degradation of gaseous pollutants. Chem. Eng. J. 2023, 454, 140376. [Google Scholar] [CrossRef]
  3. GB 18918-2002[S]; Pollutant Discharge Standard for Municipal Sewage Treatment Plants. China Standards Press: Beijing, China, 2002.
  4. GHZB 1-1999[S]; Surface Water Environmental Quality Standard. China Standards Press: Beijing, China, 1999.
  5. Janicka, E.; Kanclerz, J.; Wiatrowska, K.; Budka, A. Variability of nitrogen and phosphorus content and their forms in waters of a river-lake system. Front. Environ. Sci. 2022, 10, 874754. [Google Scholar] [CrossRef]
  6. Ruprecht, J.E.; Birrer, S.C.; Dafforn, K.A.; Mitrovic, S.; Crane, S.; Johnston, E.; Wemheuer, F.; Navarro, A.; Harrison, A.; Turner, I.; et al. Wastewater effluents cause microbial community shifts and change trophic status. Water Res. 2021, 200, 117206. [Google Scholar] [CrossRef]
  7. Loboda, N.; Daus, M. Development of a method of assessment of ecological risk of surface water pollution by nitrogen compounds. East. Eur. J. Enterp. Technol. 2021, 5, 113–120. [Google Scholar]
  8. Li, Z.; Li, X.; Li, Y.; Li, J.; Yi, Q.; Gao, F.; Wang, Z. Efficient removal of micropollutants from low-conductance surface water using an electrochemical Janus ceramic membrane filtration system. Water Res. 2022, 220, 118627. [Google Scholar] [CrossRef]
  9. Schröer, L.; Boon, N.; De Kock, T.; Cnudde, V. The capabilities of bacteria and archaea to alter natural building stones—A review. Int. Biodeterior. Biodegrad. 2021, 165, 105329. [Google Scholar] [CrossRef]
  10. Hoang, H.G.; Thuy, B.T.P.; Lin, C.; Vo, D.-V.N.; Tran, H.T.; Bahari, M.B.; Le, V.G.; Vu, C.T. The nitrogen cycle and mitigation strategies for nitrogen loss during organic waste composting: A review. Chemosphere 2022, 300, 134514. [Google Scholar] [CrossRef]
  11. Luo, D.; Wang, L.; Nan, H.; Cao, Y.; Wang, H.; Kumar, T.V.; Wang, C. Phosphorus adsorption by functionalized biochar: A review. Environ. Chem. Lett. 2023, 21, 497–524. [Google Scholar] [CrossRef]
  12. Zhang, P.; He, M.; Huo, S.; Li, F.; Li, K. Recent progress in metal-based composites toward adsorptive removal of phosphate: Mechanisms, behaviors, and prospects. Chem. Eng. J. 2022, 446, 137081. [Google Scholar] [CrossRef]
  13. Li, Y.; Liu, J.; Wei, B.; Zhang, X.; Liu, X.; Han, L. A comprehensive review of bone char: Fabrication procedures, physicochemical properties, and environmental application. Sci. Total Environ. 2024, 954, 176375. [Google Scholar] [CrossRef] [PubMed]
  14. Wang, Z.; Hao, C.; Wang, X.; Wang, G.; Ni, G.; Cheng, Y. Effects of micro-mesopore structure characteristics on methane adsorption capacity of medium rank coal. Fuel 2023, 351, 128910. [Google Scholar] [CrossRef]
  15. Zhang, Y.; Wang, X.; Hu, Z.; Xiao, Q.-Q.; Wu, Y. Capturing and recovering phosphorus in water via composite material: Research progress, future directions, and challenges. Sep. Purif. Technol. 2025, 353, 128453. [Google Scholar] [CrossRef]
  16. Qian, D.; Zheng, Y.; Wu, J.; Yan, X.; Duan, S.; Liu, H.; Li, H. Custom-Built Dual-Ions Modification of Clinoptilolite/Graphene Oxide for Efficient-Adsorption of Sulfur Dioxide. In Graphene Oxide for Efficient-Adsorption of Sulfur Dioxide, 1st ed.; ACS Publications: Washington, DC, USA, 2023; pp. 1–15. [Google Scholar]
  17. Wan, Q.; Han, Q.; Luo, H.; He, T.; Xue, F.; Ye, Z.; Chen, C.; Huang, S. Ceramsite Facilitated Microbial Degradation of Pollutants in Domestic Wastewater. Int. J. Environ. Res. Public Health 2020, 17, 4692. [Google Scholar] [CrossRef]
  18. Mi, H.; Yi, L.; Wu, Q.; Xia, J.; Zhang, B. Preparation of high-strength ceramsite from red mud, fly ash, and bentonite. Ceram. Int. 2021, 47, 18218–18229. [Google Scholar] [CrossRef]
  19. Vlček, J.; Ovčačíková, H.; Velička, M.; Topinková, M.; Burda, J.; Matějková, P. The corrosion effect of fly ash from biomass combustion on andalusite refractory materials. Minerals 2023, 13, 357. [Google Scholar] [CrossRef]
  20. Wu, W.; Wu, C.; Liu, J.; Yan, H.; Zhang, G.; Li, G.; Zhao, Y.; Wang, Y. Nitrogen-doped porous carbon through K2CO3-activated bamboo shoot shell for an efficient CO2 adsorption. Fuel 2024, 363, 130937. [Google Scholar] [CrossRef]
  21. Kong, X.; Shi, J.; Shen, Y.; Zhang, W.; Fu, Y. Sludge-based geopolymer materials: A review. Int. J. Appl. Ceram. Technol. 2024, 21, 1333–1365. [Google Scholar] [CrossRef]
  22. Meikopoulos, T.; Begou, O.; Theodoridis, G.; Gika, H. Ceramides biomarkers determination in quantitative dried blood spots by UHPLC-MS/MS. Anal. Chim. Acta 2023, 1255, 341131. [Google Scholar] [CrossRef]
  23. Shi, X.; Geng, C.; Li, Q.; Wei, J.; Chu, Y. A novel application for magnetite tailings and municipal sludge in ceramsite preparation. Environ. Prog. Sustain. Energy 2024, 43, e14239. [Google Scholar] [CrossRef]
  24. Drieu, L.; Regert, M.; Mazuy, A.; Vieugué, J.; Bocoum, H.; Mayor, A. Relationships between lipid profiles and use of ethnographic pottery: An exploratory study. J. Archaeol. Method Theory 2022, 29, 1294–1322. [Google Scholar] [CrossRef]
  25. Ribeiro, M.J.; Tulyaganov, D. Traditional ceramics manufacturing. In Ceramics, Glass and Glass-Ceramics: From Early Manufacturing Steps Towards Modern Frontiers, 1st ed.; Springer: Cham, Switzerland, 2021; pp. 75–118. [Google Scholar]
  26. Song, X.; Yang, H.; Yang, D.; Ma, Q.; Luo, S.; Feng, Y. Study on the transfer, transformation and toxic leaching of heavy metals in sludge shale composite ceramics from the perspective of environmental protection. Inorg. Chem. Commun. 2025, 176, 114294. [Google Scholar] [CrossRef]
  27. HJ 536-2009[S]; Water Quality. Determination of Ammonia Nitrogen. Salicylic Acid Spectrophotometry. China Standards Press: Beijing, China, 2009.
  28. GB/T 11893-1989[S]; Determination of Total Phosphorus in Water Quality—Ammonium Molybdate Spectrophotometric Method. China Standards Press: Beijing, China, 1989.
  29. Lundow, P.H.; Markström, K. Non-vanishing boundary effects and quasi-first-order phase transitions in high dimensional Ising models. Nucl. Phys. B 2011, 845, 120–139. [Google Scholar] [CrossRef]
  30. Nizam, T.; Krishnan, K.A.; Joseph, A.; Krishnan, R.R. Isotherm, kinetic and thermodynamic modelling of liquid phase adsorption of the heavy metal ions Zn (II), Pb (II) and Cr (VI) onto MgFe2O4 nanoparticles. Groundw. Sustain. Dev. 2024, 25, 101120. [Google Scholar] [CrossRef]
  31. Li, X. Preparation of Sludge/Coal Gangue Ceramsite and Its Adsorption Effect on Nitrogen and Phosphorus in the Tail Water of a Simulated Sewage Treatment Plant. Master’s Thesis, Liaoning University, Shenyang, China, 2023. [Google Scholar]
  32. Zhang, X.; Cai, J.; Cao, Y. Study on the Phosphorus Adsorption Performance of Functional Ceramsite Based on Red Mud and Copper Slag. Non-Met. Miner. 2024, 47, 1–4. [Google Scholar]
  33. Yang, X.; Liu, Y. Study on the Adsorption Performance of fly Ash Ceramsite for Phosphorus in Water. Environ. Ecol. 2022, 4, 103–107+114. [Google Scholar]
  34. Luo, S.; Wang, D. Study on the Preparation of Ceramsite Adsorbent by Modified Calcination of Sodium Citrate from Purified Water Sludge and Its Adsorption Performance for Ammonia Nitrogen in Wastewater. Saf. Environ. Eng. 2021, 28, 230–239. [Google Scholar]
Figure 1. (a) The technological process of composite ceramics (b) Combustion adsorption mechanism of composite ceramics (c) Chemical equation for the sintering of ceramsit.
Figure 1. (a) The technological process of composite ceramics (b) Combustion adsorption mechanism of composite ceramics (c) Chemical equation for the sintering of ceramsit.
Catalysts 15 00540 g001
Figure 2. Comparison of sintering effects of different methods.
Figure 2. Comparison of sintering effects of different methods.
Catalysts 15 00540 g002
Figure 3. SEM before sintering of composite ceramics.
Figure 3. SEM before sintering of composite ceramics.
Catalysts 15 00540 g003
Figure 4. SEM after the sintering of composite ceramics.
Figure 4. SEM after the sintering of composite ceramics.
Catalysts 15 00540 g004
Figure 5. Effect of dosage of ceramide on adsorption of ammonia–nitrogen.
Figure 5. Effect of dosage of ceramide on adsorption of ammonia–nitrogen.
Catalysts 15 00540 g005
Figure 6. Effect of pH on adsorption of ammonia–nitrogen.
Figure 6. Effect of pH on adsorption of ammonia–nitrogen.
Catalysts 15 00540 g006
Figure 7. Adsorption kinetics of ammonia–nitrogen by ceramides.
Figure 7. Adsorption kinetics of ammonia–nitrogen by ceramides.
Catalysts 15 00540 g007
Figure 8. Quasi-first-order kinetic model of adsorption of ammonia–nitrogen by ceramides.
Figure 8. Quasi-first-order kinetic model of adsorption of ammonia–nitrogen by ceramides.
Catalysts 15 00540 g008
Figure 9. Quasi-second-order kinetic model of the adsorption of ammonia–nitrogen by ceramides.
Figure 9. Quasi-second-order kinetic model of the adsorption of ammonia–nitrogen by ceramides.
Catalysts 15 00540 g009
Figure 10. The intramaterial diffusion model of adsorption of ammonia–nitrogen by ceramides.
Figure 10. The intramaterial diffusion model of adsorption of ammonia–nitrogen by ceramides.
Catalysts 15 00540 g010
Figure 11. Isothermal adsorption curve of ammonia–nitrogen by ceramides.
Figure 11. Isothermal adsorption curve of ammonia–nitrogen by ceramides.
Catalysts 15 00540 g011
Figure 12. Langmuir fitting line of ammonia–nitrogen by ceramides.
Figure 12. Langmuir fitting line of ammonia–nitrogen by ceramides.
Catalysts 15 00540 g012
Figure 13. Freundlich fitting line for ammonia–nitrogen of ceramides.
Figure 13. Freundlich fitting line for ammonia–nitrogen of ceramides.
Catalysts 15 00540 g013
Figure 14. Tempkin fitting line for ammonia–nitrogen of ceramides.
Figure 14. Tempkin fitting line for ammonia–nitrogen of ceramides.
Catalysts 15 00540 g014
Figure 15. Effect of dosage of ceramite on adsorption of phosphorus.
Figure 15. Effect of dosage of ceramite on adsorption of phosphorus.
Catalysts 15 00540 g015
Figure 16. Effect of pH on the adsorption of phosphorus.
Figure 16. Effect of pH on the adsorption of phosphorus.
Catalysts 15 00540 g016
Figure 17. Kinetic curve of phosphorus adsorption in ceramides.
Figure 17. Kinetic curve of phosphorus adsorption in ceramides.
Catalysts 15 00540 g017
Figure 18. Quasi-first-order kinetic model of phosphorus adsorption by ceramics.
Figure 18. Quasi-first-order kinetic model of phosphorus adsorption by ceramics.
Catalysts 15 00540 g018
Figure 19. Quasi-second-order kinetic model of phosphorus adsorption by ceramics.
Figure 19. Quasi-second-order kinetic model of phosphorus adsorption by ceramics.
Catalysts 15 00540 g019
Figure 20. Model of phosphorus adsorption in ceramic particles.
Figure 20. Model of phosphorus adsorption in ceramic particles.
Catalysts 15 00540 g020
Figure 21. Isothermal adsorption curve of phosphorus by ceramite.
Figure 21. Isothermal adsorption curve of phosphorus by ceramite.
Catalysts 15 00540 g021
Figure 22. Langmuir fitting line of phosphorus by ceramite.
Figure 22. Langmuir fitting line of phosphorus by ceramite.
Catalysts 15 00540 g022
Figure 23. Freundlich fitting line for phosphorus.
Figure 23. Freundlich fitting line for phosphorus.
Catalysts 15 00540 g023
Figure 24. Tempkin fitting line for phosphorus.
Figure 24. Tempkin fitting line for phosphorus.
Catalysts 15 00540 g024
Table 1. Water quality standard table.
Table 1. Water quality standard table.
<Pollutant Discharge from Urban Sewage Treatment Plants><Surface Water Environmental Quality>
ABSecond levelAB IIAB V
58Ammonia–nitrogen 58Ammonia–nitrogen 58Ammonia–nitrogen
0.51Total phosphorus0.51Total phosphorus0.51Total phosphorus
Table 2. Fitting parameters of the dynamics model.
Table 2. Fitting parameters of the dynamics model.
Quasi-First-Order Kinetic ParametersQuasi-Second-Order Kinetic Parameters
Kl (h−1)qe (mg/g)R2Kl (h−1)qe (mg/g)R2
0.011440.18550.835066.54170.24050.9988
Table 3. Fitting parameters of intra-particle diffusion model.
Table 3. Fitting parameters of intra-particle diffusion model.
Liquid Phase Rapid DiffusionIntramaterial DiffusionDynamic Adsorption Equilibrium Stage
KlC1R2KlC1R2KlC1R2
0.013790.172720.941570.007180.186570.942030.001620.227790.89465
Table 4. Fitting parameters of isothermal adsorption model.
Table 4. Fitting parameters of isothermal adsorption model.
LangmuirFreundlichTempkin
KlC1R2KlC1R2KlC1R2
25 °C0.569813.6960.89790.73262.39590.99730.28910.11770.9302
35 °C0.506614.7330.86530.76402.48530.99790.29590.13760.9195
45 °C0.676012.7540.84090.66622.25270.97860.26840.08160.9227
Table 5. Fitting parameters of the dynamics model.
Table 5. Fitting parameters of the dynamics model.
Quasi-First-Order Kinetic ParametersQuasi-Second-Order Kinetic Parameters
Kl (h−1)qe (mg/g)R2Kl (h−1)qe (mg/g)R2
0.013920.1881590.65146.507670.2341520.9987
Table 6. Fitting parameters of the intra-particle diffusion model.
Table 6. Fitting parameters of the intra-particle diffusion model.
Liquid Phase Rapid DiffusionIntramaterial DiffusionDynamic Adsorption Equilibrium Stage
KlC1R2KlC1R2KlC1R2
0.006160.18130.826650.013790.166330.941570.001620.221410.89465
Table 7. Fitting parameters of the isothermal adsorption model of phosphorus for ceramics.
Table 7. Fitting parameters of the isothermal adsorption model of phosphorus for ceramics.
LangmuirFreundlichTempkin
KlC1R2KlC1R2KlC1R2
25 °C0.24632.97650.99890.64923.24130.98290.08610.01020.9927
35 °C0.25392.48360.99830.60043.05080.97860.08690.00090.9960
45 °C0.24462.10540.99410.55152.84180.98980.09110.01000.9888
Table 8. Comparison of adsorption performance of different materials.
Table 8. Comparison of adsorption performance of different materials.
Material TypeOptimal ConditionsAdsorption Capacity (mg/g)Removal Rate (%)Source
Sludge/coal gangue Ammonia–nitrogen10 g/L, pH 81.93868.66[31]
Sludge/coal gangue Total phosphorus8 g/L, pH 70.344671.57[31]
Red mud/copper slagTotal phosphoruspH 2, 9 g/L-96.67[32]
Sludge-based porous ceramsiteAmmonia–nitrogen pH 10, 9.6 g/L0.442981.58This article
Sludge-based porous ceramsiteTotal phosphoruspH 7, 9.6 g/L0.344686.40This article
Fly ash ceramsiteTotal phosphoruspH 6, 3 g0.87476.0[33]
Sodium citrate modified water purification ceramsiteAmmonia–nitrogen pH 7, 20 g/L1.93891.20[34]
Disclaimer/Publisher’s Note: The statements, opinions and data contained in all publications are solely those of the individual author(s) and contributor(s) and not of MDPI and/or the editor(s). MDPI and/or the editor(s) disclaim responsibility for any injury to people or property resulting from any ideas, methods, instructions or products referred to in the content.

Share and Cite

MDPI and ACS Style

Song, X.; Meng, G.; Cui, J.; Yuan, H.; Luo, S.; Zuo, Z. Application of Fe2O3 Catalytic Sludge Ceramics in the Control of Eutrophication in Water Bodies. Catalysts 2025, 15, 540. https://doi.org/10.3390/catal15060540

AMA Style

Song X, Meng G, Cui J, Yuan H, Luo S, Zuo Z. Application of Fe2O3 Catalytic Sludge Ceramics in the Control of Eutrophication in Water Bodies. Catalysts. 2025; 15(6):540. https://doi.org/10.3390/catal15060540

Chicago/Turabian Style

Song, Xiangyu, Gang Meng, Jiacheng Cui, Haoyan Yuan, Siyi Luo, and Zongliang Zuo. 2025. "Application of Fe2O3 Catalytic Sludge Ceramics in the Control of Eutrophication in Water Bodies" Catalysts 15, no. 6: 540. https://doi.org/10.3390/catal15060540

APA Style

Song, X., Meng, G., Cui, J., Yuan, H., Luo, S., & Zuo, Z. (2025). Application of Fe2O3 Catalytic Sludge Ceramics in the Control of Eutrophication in Water Bodies. Catalysts, 15(6), 540. https://doi.org/10.3390/catal15060540

Note that from the first issue of 2016, this journal uses article numbers instead of page numbers. See further details here.

Article Metrics

Back to TopTop