Progress in Research on the Preparation of 2, 5-Furandicarboxylic Acid by Hydroxymethylfurfural Oxidation
Abstract
1. Introduction
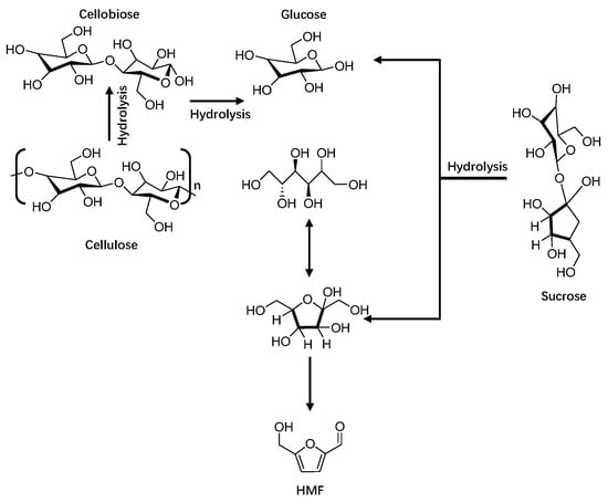
2. Properties, Synthetic Methods and Transformation Pathways of Hydroxymethylfurfural
2.1. Research Progress of Catalytic Conversion of Fructose to HMF
2.2. Advances in Catalytic Conversion of Glucose to HMF
2.3. The Transformation Pathway of Hydroxymethylfurfural
3. Research Progress in the Preparation of 2, 5-Furan Dicarboxylic Acid by Catalytic Oxidation of Hydroxymethylfurfural
3.1. Properties of 2, 5-Furandicarboxylic Acid
3.2. Product Distribution and Transformation Mechanism of HMF Oxidation
3.3. Research Progress on Catalytic System and Process of Conversion of HMF to FDCA
3.4. Research Progress of Catalyst Selection in Synthesis of 2, 5-Furan Dicarboxylic Acid
3.4.1. Research on Supported Precious Metal Catalysts
3.4.2. Characteristics of Different Supported Noble Metal Catalysts
3.5. Study on Conversion of Selective Electrooxidation HMF to FDCA
4. Research Progress of Novel and Efficient Catalysts for Preparation of FDCA by Catalytic Oxidation of HMF
5. Research Significance of Biomimetic Enzyme Applied to HMF Oxidation Conversion Process
5.1. Significance and Challenge of Research
5.2. Outlook and Prospects
Author Contributions
Funding
Data Availability Statement
Conflicts of Interest
References
- Nzediegwu, E.; Pérez-Venegas, M.; Auclair, K.; Dumont, M.-J. Semisynthetic production of hydroxymethylfurfural and furfural: The benefits of an integrated approach. J. Environ. Chem. Eng. 2022, 10, 108515. [Google Scholar] [CrossRef]
- Wen, C.; Zhang, J.; Qin, W.; Gu, J.; Zhang, H.; Duan, Y.; Ma, H. Structure and functional properties of soy protein isolate-lentinan conjugates obtained in Maillard reaction by slit divergent ultrasonic assisted wet heating and the stability of oil-in-water emulsions. Food Chem. 2020, 331, 127374. [Google Scholar] [CrossRef] [PubMed]
- Zhang, N.; Zhou, Q.; Fan, D.; Xiao, J.; Zhao, Y.; Cheng, K.W.; Wang, M. Novel roles of hydrocolloids in foods: Inhibition of toxic maillard reaction products formation and attenuation of their harmful effects. Trends Food Sci. Technol. 2021, 111, 706–715. [Google Scholar] [CrossRef]
- Boateng, I.D.; Yang, X.-M. Thermal and non-thermal processing affect Maillard reaction products, flavor, and phytochemical profiles of Ginkgo biloba seed. Food Biosci. 2021, 41, 101044. [Google Scholar] [CrossRef]
- Chen, X.; Zou, Y.; Wang, D.; Xiong, G.; Xu, W. Effects of ultrasound pretreatment on the extent of Maillard reaction and the structure, taste and volatile compounds of chicken liver protein. Food Chem. 2020, 331, 127369. [Google Scholar] [CrossRef]
- Zhang, Z.H.; Zeng, X.A.; Brennan, C.S.; Ma, H.; Aadil, R.M. Preparation and characterisation of novelty food preservatives by Maillard reaction between ε-polylysine and reducing sugars. Int. J. Food Sci. Technol. 2019, 54, 1824–1835. [Google Scholar] [CrossRef]
- Li, M.; Jiang, H.; Zhang, L.; Yu, X.; Liu, H.; Yagoub, A.E.; Zhou, C. Synthesis of 5-HMF from an ultrasound-ionic liquid pretreated sugarcane bagasse by using a microwave-solid acid/ionic liquid system. Ind. Crops Prod. 2020, 149, 112361. [Google Scholar] [CrossRef]
- Lin, N.; Liu, T.; Lin, L.; Lin, S.; Zang, Q.; He, J.; Abliz, Z.; Li, C.; Wang, A.; Jin, H. Comparison of in vivo immunomodulatory effects of 5-hydroxymethylfurfural and 5, 5′-oxydimethylenebis (2-furfural). Regul. Toxicol. Pharmacol. 2016, 81, 500–511. [Google Scholar] [CrossRef]
- Chen, W.; Wu, S.; Zhang, J.; Yu, F.; Miao, X.; Tu, X. Salting-out-assisted liquid–liquid extraction of 5-hydroxymethylfurfural from honey and the determination of 5-hydroxymethylfurfural by high-performance liquid chromatography. Anal. Methods 2019, 11, 4835–4841. [Google Scholar] [CrossRef]
- Song, Y.; Ding, Z.; Peng, Y.; Wang, J.; Zhang, T.; Yu, Y.; Wang, Y. Acrylamide formation and aroma evaluation of fried pepper sauce under different exogenous Maillard reaction conditions. Food Chem. X 2022, 15, 100413. [Google Scholar] [CrossRef]
- Bhavana, B.K.; Mudliar, S.N.; Bokade, V.V.; Debnath, S. Effect of furfural, acetic acid and 5-hydroxymethylfurfural on yeast growth and xylitol fermentation using Pichia stipitis NCIM 3497. Biomass Convers. Biorefin. 2022, 14, 4909–4923. [Google Scholar] [CrossRef]
- Wu, L.; Zhang, C.; Long, Y.; Chen, Q.; Zhang, W.; Liu, G. Food additives: From functions to analytical methods. Crit. Rev. Food Sci. Nutr. 2021, 62, 8497–8517. [Google Scholar] [CrossRef] [PubMed]
- Liu, D.; He, Y.; Xiao, J.; Zhou, Q.; Wang, M. The occurrence and stability of Maillard reaction products in various traditional Chinese sauces. Food Chem. 2021, 342, 128319. [Google Scholar] [CrossRef] [PubMed]
- Sun, L.; Feng, S.; Chen, C.; Liu, X.; Cai, J. Identification of eggshell crack for hen egg and duck egg using correlation analysis based on acoustic resonance method. J. Food Process. Eng. 2020, 43, e13430. [Google Scholar] [CrossRef]
- Li, Y.; Wang, X.; Yang, X.; Ruan, S.; Zhou, A.; Huang, S.; Ma, H. The Preparation and Identification of Characteristic Flavour Compounds of Maillard Reaction Products of Protein Hydrolysate from Grass Carp (Ctenopharyngodon idella) Bone. J. Food Qual. 2021, 2021, 8394152. [Google Scholar] [CrossRef]
- Wang, W.; Zhao, S.; Pei, J.; Jiang, P.; Jin, W.; Gao, R. Antioxidative Activity and Volatile Profiles of Maillard Reaction Products between Giant Salamander (Andrias davidianus) Peptides and Glucose during the Heating Process. J. Food Qual. 2023, 2023, 8804009. [Google Scholar] [CrossRef]
- Huang, Y.; Sun, Y.; Mehmood, A.; Lu, T.; Chen, X. Unraveling the temporal changes of Maillard reaction products and aroma profile in coffee leaves during hot-air drying. J. Food Compos. Anal. 2024, 128, 106055. [Google Scholar] [CrossRef]
- Woo, J.; Moon, B.C.; Lee, U.; Oh, H.-S.; Chae, K.H.; Jun, Y.; Min, B.K.; Lee, D.K. Collaborative Electrochemical Oxidation of the Alcohol and Aldehyde Groups of 5-Hydroxymethylfurfural by NiOOH and Cu(OH)2 for Superior 2,5-Furandicarboxylic Acid Production. ACS Catal. 2022, 12, 4078–4091. [Google Scholar] [CrossRef]
- Román-Leshkov, Y.; Chheda, J.N.; Dumesic, J.A. Phase Modifiers Promote Efficient Production of Hydroxymethylfurfural from Fructose. Science 2006, 312, 1933–1937. [Google Scholar] [CrossRef]
- Tong, X.; Li, M.; Yan, N.; Ma, Y.; Dyson, P.J.; Li, Y. Defunctionalization of fructose and sucrose: Iron-catalyzed production of 5-hydroxymethylfurfural from fructose and sucrose. Catal. Today 2011, 175, 524–527. [Google Scholar] [CrossRef]
- He, Q.; Lu, Y.; Peng, Q.; Chen, W.; Fan, G.; Chai, B.; Song, G. Synthesis of 5-hydroxymethylfurfural from fructose catalyzed by sulfonated carbon-based solid acid. Biomass Convers. Biorefin. 2021, 13, 9195–9203. [Google Scholar] [CrossRef]
- Delbecq, F.; Wang, Y.T.; Len, C. Various carbohydrate precursors dehydration to 5-HMF in an acidic biphasic system under microwave heating using betaine as a co-catalyst. Mol. Catal. 2017, 434, 80–85. [Google Scholar] [CrossRef]
- Bu, Q.; Chen, K.; Morgan, H.M., Jr.; Liang, J.; Zhang, X.; Yan, L.; Mao, H. Thermal Behavior and Kinetic Study of the Effects of Zinc-Modified Biochar Catalyst on Lignin and Low-Density Polyethylene (LDPE) Co-Pyrolysis. Trans. ASABE 2018, 61, 1783–1793. [Google Scholar] [CrossRef]
- Lin, L.; Cui, H.; Vittayapadung, S.; Xiao, Z.; Zhang, A.; Liu, R.; Li, C. Synthesis of KF/CaO as a catalyst for the production of bio-fuel from cracking of Cornus wisoniana oil. Eur. J. Lipid Sci. Technol. 2014, 117, 406–410. [Google Scholar] [CrossRef]
- Shao, S.; Sun, T.; Li, X.; Wang, Y.; Ma, L.; Liu, Z.; Wu, S. Preparation of heavy bio-oil-based porous carbon by pyrolysis gas activation and its performance in the aldol condensation for aviation fuel as catalyst carrier. Ind. Crops Prod. 2024, 218, 118963. [Google Scholar] [CrossRef]
- Nasrollahzadeh, M.; Bidgoli, N.S.S.; Shafiei, N.; Momenbeik, F. Biomass valorization: Sulfated lignin-catalyzed production of 5-hydroxymethylfurfural from fructose. Int. J. Biol. Macromol. 2021, 182, 59–64. [Google Scholar] [CrossRef]
- Tian, X.; Qin, X.; Jia, X.; Lyu, Q.; Li, S.; Jiang, L.; Chen, L.; Yan, Z.; Huang, J. Lignocellulose degradation and temperature adaptation mechanisms during composting of mushroom residue and wood chips at low temperature with inoculation of psychrotolerant microbial agent. Environ. Pollut. 2024, 363 Pt 2, 125156. [Google Scholar] [CrossRef]
- Gomes, F.N.D.C.; Mendes, F.M.T.; Souza, M.M.V.M. Synthesis of 5-hydroxymethylfurfural from fructose catalyzed by phosphotungstic acid. Catal. Today 2017, 279, 296–304. [Google Scholar] [CrossRef]
- Morales, G.; Melero, J.A.; Paniagua, M.; Iglesias, J.; Hernández, B.; Sanz, M. Sulfonic acid heterogeneous catalysts for dehydration of C6-monosaccharides to 5-hydroxymethylfurfural in dimethyl sulfoxide. Chin. J. Catal. 2014, 35, 644–655. [Google Scholar] [CrossRef]
- Matharu, A.S.; Ahmed, S.; Almonthery, B.; Macquarrie, D.J.; Lee, Y.S.; Kim, Y. Starbon/High Amylose Corn Starch-Supported N-Heterocyclic Carbene–Iron(III) Catalyst for Conversion of Fructose into 5-Hydroxymethylfurfural. ChemSusChem 2018, 11, 716–725. [Google Scholar] [CrossRef] [PubMed]
- Dong, K.; Zhang, J.; Luo, W.; Su, L.; Huang, Z. Catalytic conversion of carbohydrates into 5-hydroxymethyl furfural over sulfonated hyper-cross-linked polymer in DMSO. Chem. Eng. J. 2018, 334, 1055–1064. [Google Scholar] [CrossRef]
- Salamone, M.; Bietti, M. Reaction Pathways of Alkoxyl Radicals. The Role of Solvent Effects on C–C Bond Fragmentation and Hydrogen Atom Transfer Reactions. Synlett 2014, 25, 1803–1816. [Google Scholar]
- Xiao, X.; Zhang, X.; Bai, J.; Li, J.; Zhang, C.; Zhao, Y.; Zhu, Y.; Zhang, J.; Zhou, X. Bisphenol S increases the obesogenic effects of a high-glucose diet through regulating lipid metabolism in Caenorhabditis elegans. Food Chem. 2021, 339, 127813. [Google Scholar] [CrossRef]
- Peng, Y.; Sun, Q.; Park, Y. Chicoric acid promotes glucose uptake and Akt phosphorylation via AMP-activated protein kinase α-dependent pathway. J. Funct. Foods 2019, 59, 8–15. [Google Scholar] [CrossRef]
- Zhang, J.; Wen, C.; Duan, Y.; Zhang, H.; Ma, H. Structure and functional properties of watermelon seed protein-glucose conjugates prepared by different methods. LWT 2021, 155, 113004. [Google Scholar] [CrossRef]
- Bai, J.; Zhu, Y.; Li, J.; Zhang, Y.; Dong, Y.; Xiao, X. Effects of Bitter Melon Saponin on the Glucose and Lipid Metabolism in HepG2 Cell and C. elegans. J. Food Qual. 2020, 2020, 8860356. [Google Scholar] [CrossRef]
- Ullah, H.; Esposito, C.; Piccinocchi, R.; De Lellis, L.F.; Santarcangelo, C.; Di Minno, A.; Baldi, A.; Buccato, D.G.; Khan, A.; Piccinocchi, G.; et al. Postprandial Glycemic and Insulinemic Response by a Brewer’s Spent Grain Extract-Based Food Supplement in Subjects with Slightly Impaired Glucose Tolerance: A Monocentric, Randomized, Cross-Over, Double-Blind, Placebo-Controlled Clinical Trial. Nutrients 2022, 14, 3916. [Google Scholar] [CrossRef]
- Zhang, Y.; Zhang, G.; Zhang, H.; Tian, Y.; Li, J.; Yun, J.; Zabed, H.M.; Qi, X. Efficient Fermentative Production of β-Alanine from Glucose through Multidimensional Engineering of Escherichia coli. J. Agric. Food Chem. 2024, 72, 14274–14283. [Google Scholar] [CrossRef]
- Gimbernat, A.; Heuson, E.; Dumeignil, F.; Delcroix, D.; Girardon, J.; Froidevaux, R. Reactor development for a one-step hybrid catalytic conversion of d-glucose to hmf. ChemCatChem 2024, 16, e202300713. [Google Scholar] [CrossRef]
- Lutz, M.D.R.; Roediger, S.; Rivero-Crespo, M.A.; Morandi, B. Mechanistic Investigation of the Rhodium-Catalyzed Transfer Hydroarylation Reaction Involving Reversible C–C Bond Activation. J. Am. Chem. Soc. 2023, 145, 26657–26666. [Google Scholar] [CrossRef]
- Dou, Y.; Zhou, S.; Oldani, C.; Fang, W.; Cao, Q. 5-Hydroxymethylfurfural production from dehydration of fructose catalyzed by Aquivion@silica solid acid. Fuel 2018, 214, 45–54. [Google Scholar] [CrossRef]
- Zhang, H.Y.; Liu, X.J.; Ai, N.; Nie, Y.; Ji, J.B. Conversion of Glucose to 5-hydroxymethylfurfural with Tetraethylammonium Bromide and Chromium (III) Chloride as Catalysts. Appl. Mech. Mater. 2013, 316–317, 157–160. [Google Scholar] [CrossRef]
- Zhao, J.; Zhou, C.; He, C.; Dai, Y.; Jia, X.; Yang, Y. Efficient dehydration of fructose to 5-hydroxymethylfurfural over sulfonated carbon sphere solid acid catalysts. Catal. Today 2016, 264, 123–130. [Google Scholar] [CrossRef]
- Atanda, L.; Mukundan, S.; Shrotri, A.; Ma, Q.; Beltramini, J. Catalytic Conversion of Glucose to 5-Hydroxymethyl-furfural with a Phosphated TiO2 Catalyst. ChemCatChem 2015, 7, 781–790. [Google Scholar] [CrossRef]
- Atanda, L.; Shrotri, A.; Mukundan, S.; Ma, Q.; Konarova, M.; Beltramini, J. Direct Production of 5-Hydroxymethylfurfural via Catalytic Conversion of Simple and Complex Sugars over Phosphated TiO2. ChemSusChem 2015, 8, 2907–2916. [Google Scholar] [CrossRef]
- Eminov, S.; Brandt, A.; Wilton-Ely, J.D.; Hallett, J.P. The Highly Selective and Near-Quantitative Conversion of Glucose to 5-Hydroxymethylfurfural Using Ionic Liquids. PLoS ONE 2016, 11, e0163835. [Google Scholar] [CrossRef]
- Li, Z.; Su, K.; Ren, J.; Yang, D.; Cheng, B.; Kim, C.K.; Yao, X. Direct catalytic conversion of glucose and cellulose. Green Chem. 2018, 20, 863–872. [Google Scholar] [CrossRef]
- Han, H.; Zhao, H.; Liu, Y.; Li, Z.; Song, J.; Chu, W.; Sun, Z. Efficient conversion of fructose into 5-hydroxymethylfurfural over WO3/reduced graphene oxide catalysts. RSC Adv. 2017, 7, 3790–3795. [Google Scholar] [CrossRef]
- Godan, T.K.; Devendra, L.P.; Alphy, M.P.; Rajesh, R.; Vivek, N.; Sindhu, R.; Awasthi, M.K.; Binod, P. Catalytic synthesis of 5-hydroxymethyl furfural from sorghum syrup derived fructose. Sustain. Energy Technol. Assess. 2022, 54, 102884. [Google Scholar] [CrossRef]
- Huang, Z.; Liu, Y.; Chen, L.; Zhang, X.; Liu, J.; Wang, C.; Zhang, Q.; Ma, L. Selective hydrodeoxygenation of 5-hydromethylfurfural to 2,5-dimethylfuran over PtFe/C catalyst. Mol. Catal. 2024, 561, 114169. [Google Scholar] [CrossRef]
- Gao, Z.; Li, C.; Fan, G.; Yang, L.; Li, F. Nitrogen-doped carbon-decorated copper catalyst for highly efficient transfer hydrogenolysis of 5-hydroxymethylfurfural to convertibly produce 2,5-dimethylfuran or 2,5-dimethyltetrahydrofuran. Appl. Catal. B Environ. 2018, 226, 523–533. [Google Scholar] [CrossRef]
- Ghosh, K.; Molla, R.A.; Iqubal, A.; Islam, S.M. Ruthenium nanoparticles supported on N-containing mesoporous polymer catalyzed aerobic oxidation of biomass-derived 5-hydroxymethylfurfural (HMF) to 2,5-diformylfuran (DFF). Appl. Catal. A Gen. 2016, 520, 44–52. [Google Scholar] [CrossRef]
- Ren, R.; Yang, X.; Xu, J.; Zhang, K.; Zhang, M.; Liu, G.; Yao, X.; Lou, L.; Xu, J.; Zhu, L.; et al. Genome-wide identification and analysis of promising GDSL-type lipases related to gummy stem blight resistance in watermelon (Citrullus lanatus). Sci. Hortic. 2021, 289, 110461. [Google Scholar] [CrossRef]
- Chen, G.; Khan, I.M.; He, W.; Li, Y.; Jin, P.; Campanella, O.H.; Zhang, H.; Huo, Y.; Chen, Y.; Yang, H.; et al. Rebuilding the lid region from conformational and dynamic features to engineering applications of lipase in foods: Current status and future prospects. Compr. Rev. Food Sci. Food Saf. 2022, 21, 2688–2714. [Google Scholar] [CrossRef] [PubMed]
- He, W.-S.; Li, L.; Zhao, J.; Xu, H.; Rui, J.; Cui, D.; Li, H.; Zhang, H.; Liu, X. Candida sp. 99-125 lipase-catalyzed synthesis of ergosterol linolenate and its characterization. Food Chem. 2019, 280, 286–293. [Google Scholar] [CrossRef]
- Jiaojiao, X.; Bin, Z.; Ruoyu, Z.; Onyinye, A.I. Lipase nanogel catalyzed synthesis of vitamin E succinate in non-aqueous phase. J. Sci. Food Agric. 2021, 101, 3186–3192. [Google Scholar] [CrossRef]
- Zan, X.; Cui, F.; Sun, J.; Zhou, S.; Song, Y. Novel Dual-Functional Enzyme Lip10 Catalyzes Lipase and Acyltransferase Activities in the Oleaginous Fungus Mucor circinelloides. J. Agric. Food Chem. 2019, 67, 13176–13184. [Google Scholar] [CrossRef]
- Sousa, A.F.; Matos, M.; Freire, C.S.R.; Silvestre, A.J.; Coelho, J.F.J. New copolyesters derived from terephthalic and 2, 5-furandicarboxylic acids: A step forward in the development of biobased polyesters. Polymer 2013, 54, 513–519. [Google Scholar] [CrossRef]
- Zhou, W.; Wang, X.; Yang, B.; Xu, Y.; Zhang, W.; Zhang, Y.; Ji, J. Synthesis, physical properties and enzymatic degradation of bio-based poly(butylene adipate-co-butylene furandicarboxylate) copolyesters. Polym. Degrad. Stab. 2013, 98, 2177–2183. [Google Scholar] [CrossRef]
- Yang, Z.-Y.; Wen, M.; Zong, M.-H.; Li, N. Synergistic chemo/biocatalytic synthesis of 2, 5-furandicarboxylic acid from 5-hydroxymethylfurfural. Catal. Commun. 2020, 139, 105979. [Google Scholar] [CrossRef]
- Genovese, L.; Lotti, N.; Siracusa, V.; Munari, A. Poly(Neopentyl Glycol Furanoate): A Member of the Furan-Based Polyester Family with Smart Barrier Performances for Sustainable Food Packaging Applications. Materials 2017, 10, 1028. [Google Scholar] [CrossRef] [PubMed]
- Soccio, M.; Costa, M.; Lotti, N.; Gazzano, M.; Siracusa, V.; Salatelli, E.; Manaresi, P.; Munari, A. Novel fully biobased poly(butylene 2,5-furanoate/diglycolate) copolymers containing ether linkages: Structure-property relationships. Eur. Polym. J. 2016, 81, 397–412. [Google Scholar] [CrossRef]
- He, W.; Sun, Y.; Li, Z.; Yang, H.; Li, J.; Wang, Q.; Tan, C.; Zou, B. Enhanced antioxidant capacity of lipoic acid in different food systems through lipase-mediated esterification with phytosterols. J. Sci. Food Agric. 2022, 102, 7115–7125. [Google Scholar] [CrossRef]
- Huang, C.; Lin, Z.; Zhang, Y.; Liu, Z.; Tang, X.; Li, C.; Lin, L.; Huang, W.; Ye, Y. Structure-guided preparation of fuctional oil rich in 1,3-diacylglycerols and linoleic acid from Camellia oil by combi-lipase. J. Sci. Food Agric. 2022, 103, 108–117. [Google Scholar] [CrossRef] [PubMed]
- Qi, Y.; Yang, Y.; Hamadou, A.H.; Shen, Q.; Xu, B. Tempering–preservation treatment inactivated lipase in wheat bran and retained phenolic compounds. Int. J. Food Sci. Technol. 2021, 57, 2104–2112. [Google Scholar] [CrossRef]
- Liu, Y.; Wang, Q.; Liu, C.; Yang, H.; Jia, L.; Zhao, L.; Gong, F.; Tan, C.; Tao, H.; He, W. Improved antioxidant activity of rutin via lipase-mediated esterification with oleic acid. J. Sci. Food Agric. 2023, 103, 3489–3500. [Google Scholar] [CrossRef]
- Yang, Y.; Zhou, C.; Ma, H.; Dong, Y.; Fu, J.; Lai, X.; Yagoub, A.E.-G.A.; Peng, W.; Ni, H. Antioxidant and lipase inhibitory activities of Camellia pollen extracts: The effect of composition and extraction solvents. All Life 2022, 15, 1304–1314. [Google Scholar] [CrossRef]
- Tolouie, H.; Mohammadifar, M.A.; Ghomi, H.; Yaghoubi, A.S.; Hashemi, M. The impact of atmospheric cold plasma treatment on inactivation of lipase and lipoxygenase of wheat germs. Innov. Food Sci. Emerg. Technol. 2018, 47, 346–352. [Google Scholar] [CrossRef]
- Xu, B.; Wang, L.K.; Miao, W.J.; Wu, Q.F.; Liu, Y.X.; Sun, Y.; Gao, C. Thermal versus Microwave Inactivation Kinetics of Lipase and Lipoxygenase from Wheat Germ. J. Food Process. Eng. 2015, 39, 247–255. [Google Scholar] [CrossRef]
- Chen, Z.; Li, Y.; Wang, L.; Liu, S.; Wang, K.; Sun, J.; Xu, B. Evaluation of the possible non-thermal effect of microwave radiation on the inactivation of wheat germ lipase. J. Food Process. Eng. 2016, 40, e12506. [Google Scholar] [CrossRef]
- He, W.-S.; Cui, D.-D.; Zhang, Y.-L.; Liu, Y.; Yin, J.; Chen, G.; Jia, C.-S.; Feng, B. Highly Efficient Synthesis of Phytosterol Linolenate Catalyzed by Candida Rugosa Lipase through Transesterification. Food Sci. Technol. Res. 2017, 23, 525–533. [Google Scholar] [CrossRef]
- Zhang, Z.; Deng, K. Recent Advances in the Catalytic Synthesis of 2,5-Furandicarboxylic Acid and Its Derivatives. ACS Catal. 2015, 5, 6529–6544. [Google Scholar] [CrossRef]
- Davis, S.E.; Zope, B.N.; Davis, R.J. On the mechanism of selective oxidation of 5-hydroxymethylfurfural to 2, 5-furandicarboxylic acid over supported Pt and Au catalysts. Green Chem. 2012, 14, 143–147. [Google Scholar] [CrossRef]
- Davis, S.E.; Benavidez, A.D.; Gosselink, R.W.; Bitter, J.H.; de Jong, K.P.; Datye, A.K.; Davis, R.J. Kinetics and mechanism of 5-hydroxymethylfurfural oxidation and their implications for catalyst development. J. Mol. Catal. A Chem. 2014, 388–389, 123–132. [Google Scholar] [CrossRef]
- Gao, L.; Deng, K.; Zheng, J.; Liu, B.; Zhang, Z. Efficient oxidation of biomass derived 5-hydroxymethylfurfural into 2, 5-furandicarboxylic acid catalyzed by Merrifield resin supported cobalt porphyrin. Chem. Eng. J. 2015, 270, 444–449. [Google Scholar] [CrossRef]
- Wang, S.; Zhang, Z.; Liu, B. Catalytic conversion of fructose and 5-hydroxymethylfurfural into 2, 5-furandicarboxylic acid over a recyclable Fe3O4–CoOx magnetite nanocatalyst. ACS Sustain. Chem. Eng. 2015, 3, 406–412. [Google Scholar] [CrossRef]
- Siankevich, S.; Savoglidis, G.; Fei, Z.; Laurenczy, G.; Alexander, D.T.; Yan, N.; Dyson, P.J. A novel platinum nanocatalyst for the oxidation of 5-hydroxymethylfurfural into 2, 5-furandicarboxylic acid under mild conditions. J. Catal. 2014, 315, 67–74. [Google Scholar] [CrossRef]
- Miura, T.; Kakinuma, H.; Kawano, T.; Matsuhisa, H. Method for Producing Furan-2,5-dicarboxylic Acid. U.S. Patent US-7411078, 12 August 2008. [Google Scholar]
- Lv, Y.; Zhang, L.; Xiao, Q.; Ye, X.; Zhang, P.; Yang, D.; Shang, Y. Recent advances of Ni-based electrocatalyst for driving selective electrooxidation of 5-hydroxymethylfurfural into 2,5-furandicarbox-ylic acid. Int. J. Hydrogen Energy 2024, 72, 149–165. [Google Scholar] [CrossRef]
- Padligur, M.C.; Westerfeld, P.; Linkhorst, J.; Wessling, M. Electrochemical oxidation of 5-hydroxymethylfurfural with flow electrodes: A novel approach for continuous synthesis of 2, 5-furandicarboxylic acid. Chem. Eng. J. 2025, 504, 158374. [Google Scholar] [CrossRef]
- Madadi, M.; Nazar, M.; Shah, S.W.; Li, N.; Imtiaz, M.; Zhong, Z.; Zhu, D. Green alkaline fractionation of sugarcane bagasse at cold temperature improves digestibility and delignification without the washing processes and release of hazardous waste. Ind. Crop. Prod. 2023, 200, 116815. [Google Scholar] [CrossRef]
- Tong, F.; Huang, Q.; Liu, L.; Fan, G.; Shi, G.; Lu, X.; Gao, Y. Interactive Effects of Inorganic–Organic Compounds on Passivation of Cadmium in Weakly Alkaline Soil. Agronomy 2023, 13, 2647. [Google Scholar] [CrossRef]
- Chen, Z.-J.; Huang, A.-J.; Dong, X.-X.; Zhang, Y.-F.; Zhu, L.; Luo, L.; Xu, Z.-L.; Wang, H. A simple and sensitive fluoroimmunoassay based on the nanobody-alkaline phosphatase fusion protein for the rapid detection of fenitrothion. Front. Sustain. Food Syst. 2023, 7, 1320931. [Google Scholar] [CrossRef]
- Gao, X.; Yin, Y.; Yan, J.; Zhang, J.; Ma, H.; Zhou, C. Separation, biochemical characterization and salt-tolerant mechanisms of alkaline protease from Aspergillus oryzae. J. Sci. Food Agric. 2019, 99, 3359–3366. [Google Scholar] [CrossRef]
- Golly, M.K.; Ma, H.; Yuqing, D.; Wu, P.; Dabbour, M.; Sarpong, F.; Farooq, M. Enzymolysis of walnut (Juglans regia L.) meal protein: Ultrasonication-assisted alkaline pretreatment impact on kinetics and thermodynamics. J. Food Biochem. 2019, 43, e12948. [Google Scholar] [CrossRef]
- Ding, Q.; Li, Z.; Wu, W.; Su, Y.; Sun, N.; Luo, L.; Ma, H.; He, R. Physicochemical and functional properties of dietary fiber from Nannochloropsis oceanica: A comparison of alkaline and ultrasonic-assisted alkaline extractions. LWT 2020, 133, 110080. [Google Scholar] [CrossRef]
- Pan, J.; Xu, H.; Dabbour, M.; Mintah, B.K.; Chen, W.; Yang, F.; Zhang, Z.; Cheng, Y.; Dai, C.; He, R.; et al. Effect of alkaline pH-shifting process on extraction rate, structural, and functional properties of black soldier fly (Hermetia illucens) larvae protein. LWT 2023, 185, 115180. [Google Scholar] [CrossRef]
- Baba, W.N.; Mudgil, P.; Mac Regenstein, J.; Maqsood, S. Impact of quercetin conjugation using alkaline and free radical methods with tandem ultrasonication on the functional properties of camel whey and its hydrolysates. Food Res. Int. 2024, 190, 114562. [Google Scholar] [CrossRef]
- Li, J.; Shi, Y.; Qi, Y.; Tufail, T.; Xu, B. Demarcating quality improvement mechanisms in fresh yellow alkaline noodles: Insights into water-solid interaction, gluten network development, and starch properties during noodles resting. J. Cereal Sci. 2024, 117, 103935. [Google Scholar] [CrossRef]
- Saha, B.; Dutta, S.; Abu-Omar, M.M. Aerobic oxidation of 5-hydroxylmethylfurfural with homogeneous and nanoparticulate catalysts. Catal. Sci. Technol. 2011, 2, 79–81. [Google Scholar] [CrossRef]
- Hayashi, E.; Komanoya, T.; Kamata, K.; Hara, M. Heterogeneously-Catalyzed Aerobic Oxidation of 5-Hydroxymethylfurfural to 2,5-Furandicarboxylic Acid with MnO2. ChemSusChem 2017, 10, 815. [Google Scholar] [CrossRef]
- Han, X.; Geng, L.; Guo, Y.; Jia, R.; Liu, X.; Zhang, Y.; Wang, Y. Base-free aerobic oxidation of 5-hydroxymethylfurfural to 2, 5-furandicarboxylic acid over a Pt/C–O–Mg catalyst. Green Chem. 2015, 18, 1597–1604. [Google Scholar] [CrossRef]
- Liu, B.; Ren, Y.; Zhang, Z. Aerobic oxidation of 5-hydroxymethylfurfural into 2, 5-furandicarboxylic acid in water under mild conditions. Green Chem. 2015, 17, 1610–1617. [Google Scholar] [CrossRef]
- Davis, S.E.; Houk, L.R.; Tamargo, E.C.; Datye, A.K.; Davis, R.J. Oxidation of 5-hydroxymethylfurfural over supported Pt, Pd and Au catalysts. Catal. Today 2011, 160, 55–60. [Google Scholar] [CrossRef]
- Wan, X.; Zhou, C.; Chen, J.; Deng, W.; Zhang, Q.; Yang, Y.; Wang, Y. Base-Free Aerobic Oxidation of 5-Hydroxymethyl-furfural to 2,5-Furandicarboxylic Acid in Water Catalyzed by Functionalized Carbon Nanotube-Supported Au–Pd Alloy Nanoparticles. ACS Catal. 2014, 4, 2175–2185. [Google Scholar] [CrossRef]
- Ait Rass, H.; Essayem, N.; Besson, M. Selective Aerobic Oxidation of 5-HMF into 2, 5-Furandicarboxylic Acid with Pt Catalysts Supported on TiO2- and ZrO2- Based Supports. ChemSusChem 2015, 8, 1206–1217. [Google Scholar] [CrossRef] [PubMed]
- Niu, W.; Wang, D.; Yang, G.; Sun, J.; Wu, M.; Yoneyama, Y.; Tsubaki, N. Pt Nanoparticles Loaded on Reduced Graphene Oxide as an Effective Catalyst for the Direct Oxidation of 5-Hydroxymethylfurfural (HMF) to Produce 2,5-Furandicarboxylic Acid (FDCA) under Mild Conditions. Bull. Chem. Soc. Jpn. 2014, 87, 1124–1129. [Google Scholar] [CrossRef]
- Zhou, C.; Deng, W.; Wan, X.; Zhang, Q.; Yang, Y.; Wang, Y. Functionalized Carbon Nanotubes for Biomass Conversion: The Base-Free Aerobic Oxidation of 5-Hydroxymethylfurfural to 2, 5-Furandicarboxylic Acid over Platinum Supported on a Carbon Nanotube Catalyst. ChemCatChem 2015, 7, 2722. [Google Scholar] [CrossRef][Green Version]
- Li, Z.; Huai, L.; Hao, P.; Zhao, X.; Wang, Y.; Zhang, B.; Chen, C.; Zhang, J. Oxidation of 2,5-bis(hydroxymethyl)furan to 2, 5-furandicarboxylic acid catalyzed by carbon nanotube-supported Pd catalysts. Chin. J. Catal. 2022, 43, 793–801. [Google Scholar] [CrossRef]
- Albonetti, S.; Lolli, A.; Morandi, V.; Migliori, A.; Lucarelli, C.; Cavani, F. Conversion of 5-hydroxymethylfurfural to 2, 5-furandicarboxylic acid over Au-based catalysts: Optimization of active phase and metal-support interaction. Appl. Catal. B Environ. 2015, 163, 520–530. [Google Scholar] [CrossRef]
- Casanova, O.; Iborra, S.; Corma, A. Biomass into Chemicals: Aerobic Oxidation of 5-Hydroxymethyl-2-furfural into 2,5-Furandicarboxylic Acid with Gold Nanoparticle Catalysts. ChemSusChem 2009, 2, 1138–1144. [Google Scholar] [CrossRef]
- Donoeva, B.; Masoud, N.; de Jongh, P.E. Carbon Support Surface Effects in the Gold-Catalyzed Oxidation of 5-Hydroxymethylfurfural. ACS Catal. 2017, 7, 4581–4591. [Google Scholar] [CrossRef]
- Nie, J.; Xie, J. Activated carbon-supported ruthenium as an efficient catalyst for selective aerobic oxidation of 5-hydroxymethylfurfural to 2,5-diformylfuran. Chin. J. Catal. 2013, 34, 871–875. [Google Scholar] [CrossRef]
- Ståhlberg, T.; Eyjólfsdóttir, E.; Gorbanev, Y.Y.; Sádaba, I.; Riisager, A. Aerobic Oxidation of 5-(Hydroxymethyl)furfural in Ionic Liquids with Solid Ruthenium Hydroxide Catalysts. Catal. Lett. 2012, 142, 1089–1097. [Google Scholar] [CrossRef]
- Hansen, T.S.; Sádaba, I.; García-Suárez, E.J.; Riisager, A. Cu catalyzed oxidation of 5-hydroxymethylfurfural to 2,5-diformylfuran and 2, 5-furandicarboxylic acid under benign reaction conditions. Appl. Catal. A Gen. 2013, 456, 44–50. [Google Scholar] [CrossRef]
- Liu, X.; Xiao, J.; Ding, H.; Zhong, W.; Xu, Q.; Su, S.; Yin, D. Catalytic aerobic oxidation of 5-hydroxymethylfurfural over VO2+, and Cu2+, immobilized on amino functionalized SBA-15. Chem. Eng. J. 2016, 283, 1315–1321. [Google Scholar] [CrossRef]
- Wang, S.; Liu, B.; Yuan, Z.; Zhang, Z. Aerobic oxidation of 5-hydroxymethylfurfural into furan compounds over Mo-hydroxyapatite-encapsulated magnetic γ-Fe2O3. J. Taiwan Inst. Chem. Eng. 2016, 58, 92–96. [Google Scholar] [CrossRef]
- de Ortiz, M.P.R. Cytochrome P450: Structure, Mechanism, and Biochemistry; Plenum Press: New York, NY, USA, 2015. [Google Scholar]
- Wang, T.; Ke, H.; Chen, S.; Wang, J.; Yang, W.; Cao, X.; Liu, J.; Wei, Q.; Ghiladi, R.A.; Wang, Q. Porous protoporphyrin IX-embedded cellulose diacetate electrospun microfibers in antimicrobial photodynamic inactivation. Mater. Sci. Eng. C 2021, 118, 111502. [Google Scholar] [CrossRef] [PubMed]
- Prado, M.V.D.; González, B.; Vicente, M.A.; Trujillano, R.; Nassar, E.J.; Gil, A.; Santamaría, L.; Korili, S.A.; Marçal, L.; de Faria, E.H.; et al. Multifunctional heterogeneous catalysts: Tetrakis(pentafluorophenyl)porphinato]iron(III) immobilized on amine–functionalized Diatomaceous Earth for catalytic and adsorption applications. J. Environ. Chem. Eng. 2023, 11, 109729. [Google Scholar] [CrossRef]
- Das, A.K.; Nandy, S.; Bhar, S. Chemoselective and ligand-free aerobic oxidation of benzylic alcohols to carbonyl compounds using alumina-supported mesoporous nickel nanoparticle as an efficient recyclable heterogeneous catalyst. Appl. Organomet. Chem. 2021, 35, e6282. [Google Scholar] [CrossRef]
- Tekuri, C.S.; Singh, P.; Nath, M. Unravelling a trichloroacetic acid-catalyzed cascade access to benzo[f]chromeno [2,3-h]quinoxalinoporphyrins. Beilstein J. Org. Chem. 2023, 19, 1216–1224. [Google Scholar] [CrossRef]
- Balogh, G.T.; Decsi, B.; Krammer, R.; Kenéz, B.; Ender, F.; Hergert, T.; Balogh-Weiser, D. Effect of Binding Linkers on the Efficiency and Metabolite Profile of Biomimetic Reactions Catalyzed by Immobilized Metalloporphyrin. Metabolites 2022, 12, 1269. [Google Scholar] [CrossRef] [PubMed]
- Zhou, X.-Y.; He, B.; Zhang, Y.; Ni, J.-Y.; Liu, Q.-P.; Wang, M.; Shen, H.-M.; She, Y.-B. Selective and Efficient Catalytic Oxygenation of Alkyl Aromatics Employing H2O2 Catalyzed by Simple Porphyrin Iron(II) under Mild Conditions. Processes 2023, 11, 1187. [Google Scholar] [CrossRef]
- Abdrassilova, A.; Vassilina, G.; Abdildina, K.; Briones, L.; Peral, A.; Escola, J. The notable features of mesoporous aluminosilicates as catalytic supports for hydrodearomatization and hydrodesulfurization of fuels. Microporous Mesoporous Mater. 2024, 384, 113457. [Google Scholar] [CrossRef]
- Yuan, H.; Su, T.; Li, G.; Li, K. Numerical simulation investigation on aerodynamic characteristics of rotor in plateau environment. Aerosp. Sci. Technol. 2024, 155, 109628. [Google Scholar] [CrossRef]
- Hu, H.; Hu, Y.; Kong, W.; Tao, Y.; Jiang, Q.; Wang, J.; Li, C.; Xie, H.; Shi, Y.; Li, Y.; et al. The photocatalytic mineralization of phenolic wastewater via self-generation and -activation of H2O2 technology. J. Environ. Chem. Eng. 2023, 11, 111108. [Google Scholar] [CrossRef]
- Hussain, S.; Dong, H.; Zeng, S.; Ahmad, M.U.; Shehzad, F.K.; Wu, H.; Zhang, Y. Investigation uncovered the impact of anions on CO2 absorption by low viscous ether functionalized pyridinium ionic liquids. J. Mol. Liq. 2021, 336, 116362. [Google Scholar] [CrossRef]
- Wang, J.; Zhao, J.; Fu, J.; Miao, C.; Jia, S.; Yan, P.; Huang, J. Highly selective hydrogenation of 5-hydroxymethylfurfural to 2,5-bis(hydroxymethyl)furan over metal-oxide supported Pt catalysts: The role of basic sites. Appl. Catal. A Gen. 2022, 643, 118762. [Google Scholar] [CrossRef]
- Lv, W.; Wang, Y.; Chen, H.; Tang, Y.; Li, Y. The application of graphitic nitrogen from corn stover for the selective catalytic oxidation of 5-hydroxymethyl furfural. Catal. Today 2025, 446, 115113. [Google Scholar] [CrossRef]
- Li, H.; Zhang, T.; Peng, M.; Zhang, Q.; Liu, J.; Zhang, J.; Fu, Y.; Li, W. Highly selective electrocatalytic hydrogenation of 5-hydroxymethylfurfural to 2,5-dihydroxymethylfuran over AgCu nanoalloys. Int. J. Hydrogen Energy 2022, 47, 28904–28914. [Google Scholar] [CrossRef]
- Shu, R.; Xu, Y.; Ma, L.; Zhang, Q.; Wang, C.; Chen, Y. Controllable production of guaiacols and phenols from lignin depolymerization using Pd/C catalyst cooperated with metal chloride. Chem. Eng. J. 2018, 338, 457–464. [Google Scholar] [CrossRef]
- Movahed, S.K.; Jafari, P.; Mallakpour, S. Ruthenium nickel bimetallic nanoparticles embedded in nitrogen-doped carbon mesoporous spheres as a superior catalyst for the hydrogenation of toxic nitroarenes. J. Environ. Chem. Eng. 2023, 11, 110426. [Google Scholar] [CrossRef]
- Vita, A.; Italiano, C.; Pino, L.; Frontera, P.; Ferraro, M.; Antonucci, V. Activity and stability of powder and monolith-coated Ni/GDC catalysts for CO2 methanation. Appl. Catal. B Environ. 2018, 226, 384–395. [Google Scholar] [CrossRef]
- Sun, H.; Xu, R.; Jia, X.; Liu, Z.; Chen, H.; Lu, T. Recent advances in the photocatalytic oxidation of 5-hydroxymethylfurfural to 2,5-diformylfuran. Biomass Convers. Biorefin. 2023, 14, 26707–26724. [Google Scholar] [CrossRef]
- Chen, H.; Li, Y.; Yu, L.; Wang, S.; Ma, X.; Wang, C.; Li, Y. Hydroxyapatite Supported Manganese Oxide as a Heterogeneous Catalyst for the Synthesis of 2, 5-Diformylfuran. Catal. Lett. 2022, 152, 3716–3724. [Google Scholar] [CrossRef]









| Conditions | Conversion Rate | Yield | Selectivity |
|---|---|---|---|
| Oxidant KMnO4 acts as catalyst | 40% | 6.5% | low |
| Co2+/Mn2+/Br− isohomogeneous catalyst | 56.5% | 11.2 | low |
| Pt/γ-Al2O3 was the catalyst with oxygen pressure of 1 MPa | 49% | 5% | low |
| MnO2 was used as catalyst, oxygen pressure was 1 MPa, reaction temperature was 373 K, reaction time was 24 h | 100% | 65% | low |
| Pt/C-O-Mg as catalyst | 100% | 99% | high |
| Pd/C@Fe3O4 as catalyst | 98.4% | 86.7% | high |
| Bimetallic Au-Pd was used as catalyst | 100% | 91% | high |
| Pt/ZrO2 as catalyst | 97% | 95% | high |
| Pt/CNT as catalyst | 100% | 98% | high |
Disclaimer/Publisher’s Note: The statements, opinions and data contained in all publications are solely those of the individual author(s) and contributor(s) and not of MDPI and/or the editor(s). MDPI and/or the editor(s) disclaim responsibility for any injury to people or property resulting from any ideas, methods, instructions or products referred to in the content. |
© 2025 by the authors. Licensee MDPI, Basel, Switzerland. This article is an open access article distributed under the terms and conditions of the Creative Commons Attribution (CC BY) license (https://creativecommons.org/licenses/by/4.0/).
Share and Cite
Qu, L.; Kong, F.; Chen, X.; Zhang, Y.; Lin, Z.; Ni, X.; Zhang, X.; Lu, Q.; Zhao, Y.; Zou, B. Progress in Research on the Preparation of 2, 5-Furandicarboxylic Acid by Hydroxymethylfurfural Oxidation. Catalysts 2025, 15, 373. https://doi.org/10.3390/catal15040373
Qu L, Kong F, Chen X, Zhang Y, Lin Z, Ni X, Zhang X, Lu Q, Zhao Y, Zou B. Progress in Research on the Preparation of 2, 5-Furandicarboxylic Acid by Hydroxymethylfurfural Oxidation. Catalysts. 2025; 15(4):373. https://doi.org/10.3390/catal15040373
Chicago/Turabian StyleQu, Liang, Fanzhuo Kong, Xueshan Chen, Yuyang Zhang, Zhiyuan Lin, Xing Ni, Xue Zhang, Qiongya Lu, Yani Zhao, and Bin Zou. 2025. "Progress in Research on the Preparation of 2, 5-Furandicarboxylic Acid by Hydroxymethylfurfural Oxidation" Catalysts 15, no. 4: 373. https://doi.org/10.3390/catal15040373
APA StyleQu, L., Kong, F., Chen, X., Zhang, Y., Lin, Z., Ni, X., Zhang, X., Lu, Q., Zhao, Y., & Zou, B. (2025). Progress in Research on the Preparation of 2, 5-Furandicarboxylic Acid by Hydroxymethylfurfural Oxidation. Catalysts, 15(4), 373. https://doi.org/10.3390/catal15040373

