Understanding Lipase-Deep Eutectic Solvent Interactions Towards Biocatalytic Esterification
Abstract
1. Introduction
2. Results
2.1. Optimized Lipase Activity Assay Method on a 96-Well Plate
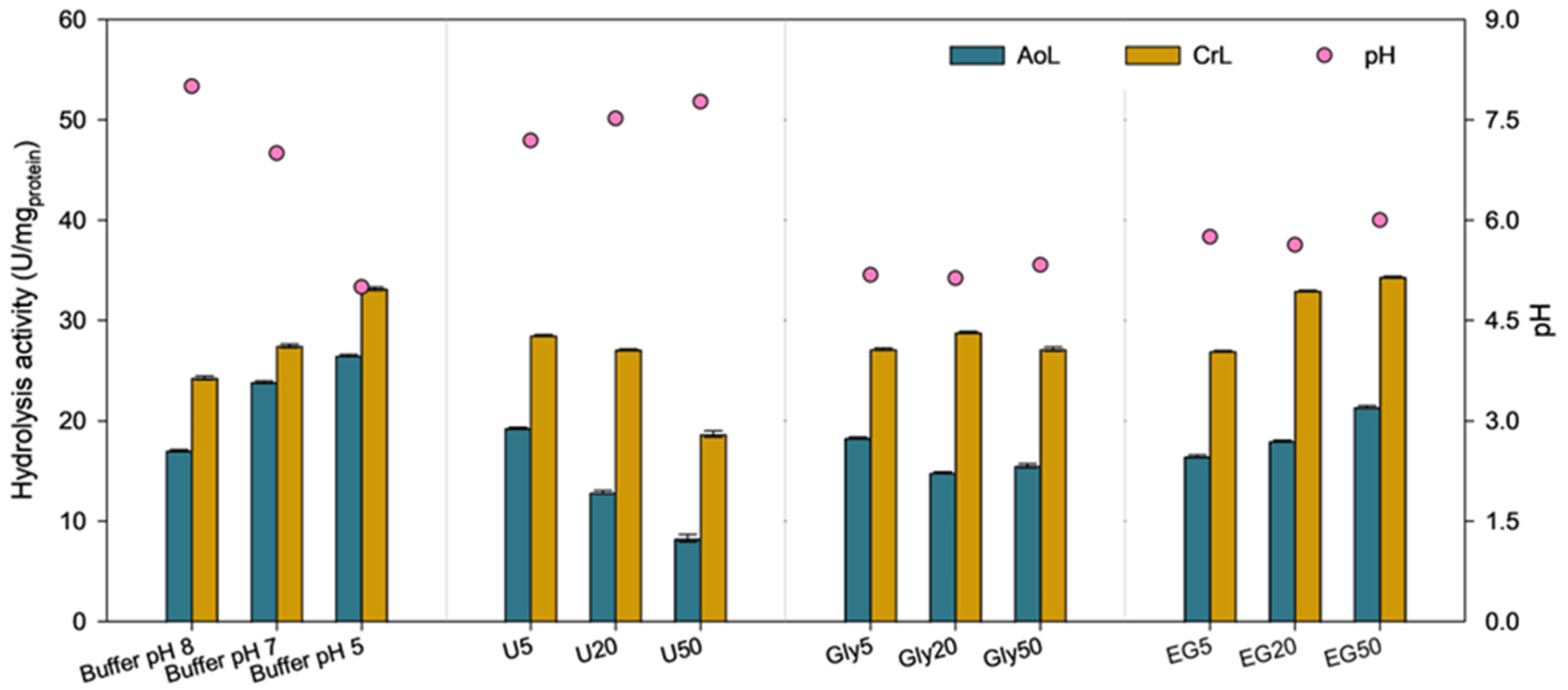
2.2. Lipase Activity in Hydrophilic Non-Acidic DESs
2.3. Lipase Activity in Hydrophilic Acidic DESs
2.4. Lipase Activity in Hydrophobic DESs
2.5. Docking Simulations
3. Discussion
3.1. Lipase Activity Assay Development
3.2. pH Effects and Lipase Performance
3.3. Limitations of Docking Simulations
4. Materials and Methods
4.1. Enzyme Purification
4.2. DES Preparation
4.3. Enzyme Activity Measurement
4.4. Docking Simulation Methodology
5. Conclusions
Supplementary Materials
Author Contributions
Funding
Data Availability Statement
Acknowledgments
Conflicts of Interest
Abbreviations
| DES | Deep eutectic solvent |
| VFA | Volatile fatty acids |
| AoL | Aspergillus oryzae lipase |
| CrL | Candida rugosa lipase |
| p-NPB | p-nitrophenyl butyrate |
| p-NP | p-nitrophenol |
| ChCl | Choline chloride |
| Gly | Glycerol |
| EG | Ethylene glycol |
| Lev | Levulinic acid |
| Lac | Lactic acid |
| Oxa | Oxalic acid |
| U | Urea |
| Thy | Thymol |
| DMP | 2,6-dimethoxyphenol |
| TOAB | Tetraoctylammonium bromide |
| DA | Decanoic acid |
References
- Ramos-Suarez, M.; Zhang, Y.; Outram, V. Current perspectives on acidogenic fermentation to produce volatile fatty acids from waste. Rev. Environ. Sci. Bio/Technol. 2021, 20, 439–478. [Google Scholar]
- Speer, D.; Patel, T.; Ho, B.; Phillips, J.; Zhu, T.; Shangraw, J.; Urgun-Demirtas, M.; Liang, Y.; Tuteja, A. Enhanced, continuous, liquid-liquid extraction and in-situ separation of volatile fatty acids from fermentation broth. Sep. Purif. Technol. 2023, 327, 124810. [Google Scholar] [CrossRef]
- Singh, R.; Kumar, N.; Parameswaran, P.; Simmons, B.A.; Sale, K.; Sun, N. Volatile fatty acid extraction from fermentation broth using a hydrophobic ionic liquid and in situ enzymatic esterification. RSC Sustain. 2025, 3, 311–322. [Google Scholar]
- Zhang, X.; Wang, J.; Zhang, Y.; Qing, W.; Lansing, S.; Shi, J.; Zhang, W.; Wang, Z.-W. Anhydrous volatile fatty acid extraction through omniphobic membranes by hydrophobic deep eutectic solvents: Mechanistic understanding and future perspective. Water Res. 2024, 257, 121654. [Google Scholar] [CrossRef]
- Agnihotri, S.; Yin, D.-M.; Mahboubi, A.; Sapmaz, T.; Varjani, S.; Qiao, W.; Koseoglu-Imer, D.Y.; Taherzadeh, M.J. A glimpse of the world of volatile fatty acids production and application: A review. Bioengineered 2022, 13, 1249–1275. [Google Scholar]
- Liu, C. A Process Intensification Approach to Improve Volatile Fatty Acids Production, Extraction, and Valorization. Ph.D. Dissertation, University of Kentucky, Lexington, KY, USA, 2023. Available online: https://uknowledge.uky.edu/bae_etds/105/ (accessed on 27 March 2025).
- Tan, J.N.; Dou, Y. Deep eutectic solvents for biocatalytic transformations: Focused lipase-catalyzed organic reactions. Appl. Microbiol. Biotechnol. 2020, 104, 1481–1496. [Google Scholar]
- Juneidi, I.; Hayyan, M.; Hashim, M.A.; Hayyan, A. Pure and aqueous deep eutectic solvents for a lipase-catalysed hydrolysis reaction. Biochem. Eng. J. 2017, 117, 129–138. [Google Scholar]
- Xu, P.; Zheng, G.W.; Zong, M.H.; Li, N.; Lou, W.Y. Recent progress on deep eutectic solvents in biocatalysis. Bioresour. Bioprocess. 2017, 4, 34. [Google Scholar]
- Nian, B.; Cao, C.; Liu, Y. How Candida antarctica lipase B can be activated in natural deep eutectic solvents: Experimental and molecular dynamics studies. J. Chem. Technol. Biotechnol. 2019, 95, 86–93. [Google Scholar] [CrossRef]
- Nian, B.; Cao, C.; Liu, Y. Lipase and Metal Chloride Hydrate-Natural Deep Eutectic Solvents Synergistically Catalyze Amidation Reaction via Multiple Noncovalent Bond Interactions. ACS Sustain. Chem. Eng. 2019, 7, 18174–18184. [Google Scholar] [CrossRef]
- Hernández-García, S.; García-García, M.I.; García-Carmona, F. An improved method to measure lipase activity in aqueous media. J. Anal. Biochem. 2017, 530, 104–106. [Google Scholar]
- Grochulski, P.; Li, Y.; Schrag, J.D.; Bouthillier, F.; Smith, P.; Harrison, D.; Rubin, B.; Cygler, M. Insights into interfacial activation from an open structure of Candida rugosa lipase. J. Biol. Chem. 1993, 268, 12843–12847. [Google Scholar] [PubMed]
- Herrera-Márquez, O.; Serrano-Haro, M.; Vicaria, J.M.; Jurado, E.; Fraatz-Leál, A.R.; Zhang, Z.J.; Fryer, P.J.; Avila-Sierra, A. Cleaning maps: A multi length-scale strategy to approach the cleaning of complex food deposits. J. Clean. Prod. 2020, 261, 121254. [Google Scholar]
- Romdhane, I.B.-B.; Fendri, A.; Gargouri, Y.; Gargouri, A.; Belghith, H. A novel thermoactive and alkaline lipase from Talaromyces thermophilus fungus for use in laundry detergents. Biochem. Eng. J. 2010, 53, 112–120. [Google Scholar]
- Huang, Z.-L.; Wu, B.-P.; Wen, Q.; Yang, T.-X.; Yang, Z. Deep eutectic solvents can be viable enzyme activators and stabilizers. J. Chem. Technol. Biotechnol. 2014, 89, 1975–1981. [Google Scholar]
- Max, J.-J.; Meddeb-Mouelhi, F.; Beauregard, M.; Chapados, C.J.A.S. Multi-wavelength dye concentration determination for enzymatic assays: Evaluation of chromogenic para-nitrophenol over a wide pH range. Appl. Spectrosc. 2012, 66, 1433–1441. [Google Scholar]
- Zhu, L.; Wang, L.; Yuan, P.; Xu, X.; Yang, J. Extraction of volatile fatty acids from aqueous solution by in situ formed deep eutectic solvent with methyltrioctylammonium chloride. Biomass Convers. Biorefinery 2024, 14, 24197–24205. [Google Scholar] [CrossRef]
- Abbas, U.L.; Qiao, Q.; Nguyen, M.T.; Shi, J.; Shao, Q. Structure and hydrogen bonds of hydrophobic deep eutectic solvent-aqueous liquid–liquid interfaces. AIChE J. 2021, 67, e17427. [Google Scholar] [CrossRef]
- Hagemans, D.; van Belzen, I.A.; Morán Luengo, T.; Rüdiger, S.G. A script to highlight hydrophobicity and charge on protein surfaces. Front. Mol. Biosci. 2015, 2, 56. [Google Scholar]
- Monhemi, H.; Housaindokht, M.R.; Moosavi-Movahedi, A.A.; Bozorgmehr, M.R. How a protein can remain stable in a solvent with high content of urea: Insights from molecular dynamics simulation of Candida antarctica lipase B in urea: Choline chloride deep eutectic solvent. Phys Chem Chem Phys 2014, 16, 14882–14893. [Google Scholar]
- Chen, M.; Jin, T.; Nian, B.; Cheng, W.J.M. Solvent tolerance improvement of lipases enhanced their applications: State of the art. Molecules 2024, 29, 2444. [Google Scholar] [CrossRef]
- Buzatu, A.R.; Todea, A.; Pop, R.; Dreavă, D.M.; Paul, C.; Bîtcan, I.; Motoc, M.; Peter, F.; Boeriu, C.G.J.M. Designed Reactive Natural Deep Eutectic Solvents for Lipase-Catalyzed Esterification. Molecules 2025, 30, 778. [Google Scholar] [CrossRef]
- Deleebeeck, L.; Snedden, A.; Nagy, D.; Szilágyi Nagyné, Z.; Roziková, M.; Vičarová, M.; Heering, A.; Bastkowski, F.; Leito, I.; Quendera, R. Unified pH measurements of ethanol, methanol, and acetonitrile, and their mixtures with water. Sensors 2021, 21, 3935. [Google Scholar] [CrossRef]
- Radtke, V.; Stoica, D.; Leito, I.; Camões, F.; Krossing, I.; Anes, B.; Roziková, M.; Deleebeeck, L.; Veltzé, S.; Näykki, T. A unified pH scale for all solvents: Part I–intention and reasoning (IUPAC Technical Report). Pure Appl. Chem. 2021, 93, 1049–1060. [Google Scholar] [CrossRef]
- Reis, P.; Malmsten, M.; Nydén, M.; Folmer, B.; Holmberg, K.J. Interactions between lipases and amphiphiles at interfaces. Tidsskrift. J. Surfactants Deterg. 2019, 22, 1047–1058. [Google Scholar] [CrossRef]
- Grinter, S.Z.; Zou, X.J.M. Challenges, applications, and recent advances of protein-ligand docking in structure-based drug design. Molecules 2014, 19, 10150–10176. [Google Scholar] [CrossRef]
- Shehata, M.; Unlu, A.; Sezerman, U.; Timucin, E. Lipase and water in a deep eutectic solvent: Molecular dynamics and experimental studies of the effects of water-in-deep eutectic solvents on lipase stability. J. Phys. Chem. B 2020, 124, 8801–8810. [Google Scholar] [CrossRef]
- Qiao, Q.; Shi, J.; Shao, Q. Effects of water on the solvation and structure of lipase in deep eutectic solvents containing a protein destabilizer and stabilizer. Phys. Chem. Chem. Phys. 2021, 23, 23372–23379. [Google Scholar] [CrossRef]
- Palacios, D.; Busto, M.D.; Ortega, N. Study of a new spectrophotometric end-point assay for lipase activity determination in aqueous media. LWT—Food Sci. Technol. 2014, 55, 536–542. [Google Scholar] [CrossRef]
- Urbelienė, N.; Kutanovas, S.; Meškienė, R.; Gasparavičiūtė, R.; Tauraitė, D.; Koplūnaitė, M.; Meškys, R. Application of the uridine auxotrophic host and synthetic nucleosides for a rapid selection of hydrolases from metagenomic libraries. Microb. Biotechnol. 2019, 12, 148–160. [Google Scholar] [CrossRef]
- Krieger, E.; Koraimann, G.; Vriend, G. Increasing the precision of comparative models with YASARA NOVA—A self-parameterizing force field. Proteins Struct. Funct. Bioinform. 2002, 47, 393–402. [Google Scholar] [CrossRef] [PubMed]





| Buffer/DES | Reaction Time (min) | Sample (µL) | HEPES-NaOH Buffer (µL) | Water (µL) |
|---|---|---|---|---|
| pH 2.0 | 30 | 50 | 50 | - |
| pH 5.0 | 15 | 50 | 50 | - |
| pH 7.0 | 15 | 30 | 10 | 60 |
| pH 8.0 | 15 | 20 | 50 | 30 |
| U5 | 15 | 20 | 50 | 30 |
| U20 | 15 | 10 | 90 | - |
| U50 | 15 | 10 | 90 | - |
| Gly5 | 15 | 30 | 10 | 60 |
| Gly20 | 15 | 20 | 10 | 70 |
| Gly50 | 15 | 10 | 10 | 80 |
| EG5 | 15 | 30 | 10 | 60 |
| EG20 | 15 | 20 | 10 | 70 |
| EG50 | 15 | 20 | 10 | 70 |
| Lev5 | 30 | 60 | 40 | - |
| Lev20 | 90 | 10 | 90 | - |
| Lev50 | 90 | 10 | 90 | - |
| Lac5 | 30 | 50 | 50 | - |
| Lac20 | 90 | 70 | 180 | - |
| Oxa5 | 90 | 40 | 60 | - |
| Lev5 (n) | 15 | 50 | 50 | - |
| Lev20 (n) | 15 | 40 | 60 | - |
| Lev50 (n) | 15 | 20 | 80 | - |
| Lac5 (n) | 15 | 50 | 50 | - |
| Lac20 (n) | 15 | 40 | 60 | - |
| Lac50 (n) | 15 | 40 | 60 | - |
| Oxa5 (n) | 15 | 50 | 50 | - |
| Thy/DMP | 30 | 50 | 50 | - |
Disclaimer/Publisher’s Note: The statements, opinions and data contained in all publications are solely those of the individual author(s) and contributor(s) and not of MDPI and/or the editor(s). MDPI and/or the editor(s) disclaim responsibility for any injury to people or property resulting from any ideas, methods, instructions or products referred to in the content. |
© 2025 by the authors. Licensee MDPI, Basel, Switzerland. This article is an open access article distributed under the terms and conditions of the Creative Commons Attribution (CC BY) license (https://creativecommons.org/licenses/by/4.0/).
Share and Cite
Liu, C.; Shi, J. Understanding Lipase-Deep Eutectic Solvent Interactions Towards Biocatalytic Esterification. Catalysts 2025, 15, 358. https://doi.org/10.3390/catal15040358
Liu C, Shi J. Understanding Lipase-Deep Eutectic Solvent Interactions Towards Biocatalytic Esterification. Catalysts. 2025; 15(4):358. https://doi.org/10.3390/catal15040358
Chicago/Turabian StyleLiu, Can, and Jian Shi. 2025. "Understanding Lipase-Deep Eutectic Solvent Interactions Towards Biocatalytic Esterification" Catalysts 15, no. 4: 358. https://doi.org/10.3390/catal15040358
APA StyleLiu, C., & Shi, J. (2025). Understanding Lipase-Deep Eutectic Solvent Interactions Towards Biocatalytic Esterification. Catalysts, 15(4), 358. https://doi.org/10.3390/catal15040358

