Eco-Friendly Mechanochemical Fabrication of Polypyrrole/Ag-ZnO Heterostructures for Enhanced Photocatalytic Degradation of Methyl Orange
Abstract
1. Introduction
2. Results and Discussion
2.1. XRD Analysis
2.2. Thermogravimetric Analysis (TGA/DTG) and Differential Scanning Calorimetry (DSC)
2.3. FTIR Study
2.4. Morphology Analysis
2.5. UV Visible Spectroscopy
2.6. BET Characterization
2.7. Zeta Potential (ZP)
2.8. Evaluation of Photocatalytic Activity
2.8.1. Kinetic Studies
2.8.2. Mechanism
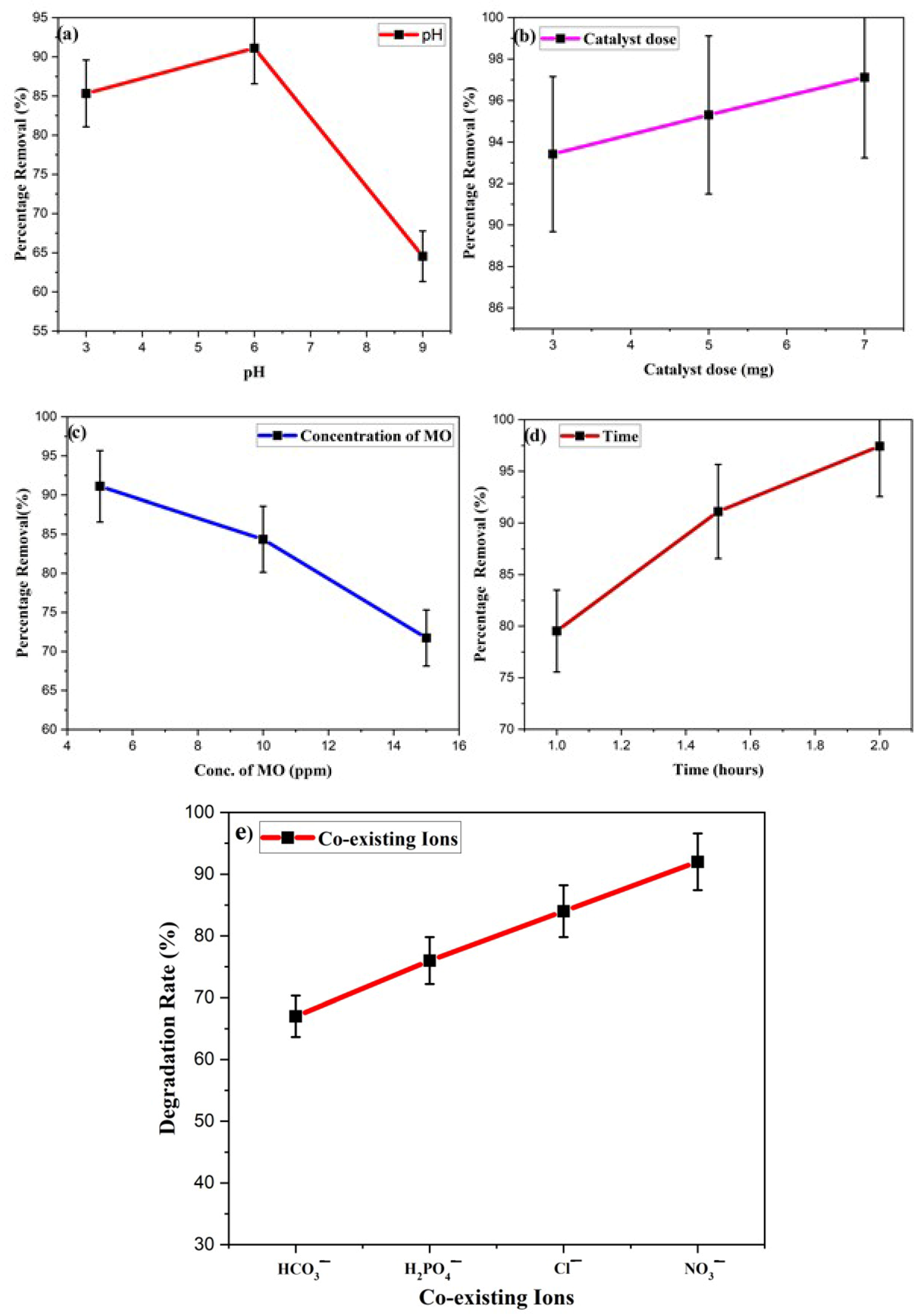
2.8.3. Factors Affecting the Degradation of MO
pH
Effect of Catalyst Loading
Effect of MO Dye Amount
Effect of Time
Effect of Co-Existing Ions
Thermodynamic Parameters for MO Degradation
Recyclability of Photocatalyst
3. Experiment
3.1. Material
3.2. Synthesis of Ppy/Ag-ZnO Catalyst
3.3. Photocatalytic Activity
3.4. Characteristic Techniques
4. Conclusions
Supplementary Materials
Author Contributions
Funding
Data Availability Statement
Acknowledgments
Conflicts of Interest
References
- Yousaf, S.; Kousar, T.; Taj, M.B.; Agboola, P.O.; Shakir, I.; Warsi, M.F. Synthesis and characterization of double heterojunction-graphene nano-hybrids for photocatalytic applications. Ceram. Int. 2019, 45, 17806–17817. [Google Scholar] [CrossRef]
- Aroob, S.; Taj, M.B.; Shabbir, S.; Imran, M.; Ahmad, R.H.; Habib, S.; Raheel, A.; Akhtar, M.N.; Ashfaq, M.; Sillanpää, M. In situ biogenic synthesis of CuO nanoparticles over graphene oxide: A potential nanohybrid for water treatment. J. Environ. Chem. Eng. 2021, 9, 105590. [Google Scholar] [CrossRef]
- Reddy, K.R.; Hassan, M.; Gomes, V.G. Hybrid nanostructures based on titanium dioxide for enhanced photocatalysis. Appl. Catal. A Gen. 2015, 489, 1–16. [Google Scholar] [CrossRef]
- Karthik, K.; Raghu, A.; Reddy, K.R.; Ravishankar, R.; Sangeeta, M.; Shetti, N.P.; Reddy, C.V. Green synthesis of Cu-doped ZnO nanoparticles and its application for the photocatalytic degradation of hazardous organic pollutants. Chemosphere 2022, 287, 132081. [Google Scholar] [CrossRef] [PubMed]
- Liu, B.; Khan, A.; Kim, K.-H.; Kukkar, D.; Zhang, M. The adsorptive removal of lead ions in aquatic media: Performance comparison between advanced functional materials and conventional materials. Crit. Rev. Environ. Sci. Technol. 2019, 50, 2441–2483. [Google Scholar] [CrossRef]
- Sadiq, H.; Sher, F.; Sehar, S.; Lima, E.C.; Zhang, S.; Iqbal, H.M.; Zafar, F.; Nuhanović, M. Green synthesis of ZnO nanoparticles from Syzygium Cumini leaves extract with robust photocatalysis applications. J. Mol. Liq. 2021, 335, 116567. [Google Scholar] [CrossRef]
- Kannan, K.; Radhika, D.; Sadasivuni, K.K.; Reddy, K.R.; Raghu, A.V. Nanostructured metal oxides and its hybrids for photocatalytic and biomedical applications. Adv. Colloid Interface Sci. 2020, 281, 102178. [Google Scholar] [CrossRef]
- Ara, B.; Gul, K. Label-free immunosensor for detection of hepatitis C (HCV) core antigen using ternary polypyrrole-Ag doped ZnO-exfoliated graphene nanocomposite. Colloids Surf. A Physicochem. Eng. Asp. 2024, 681, 132709. [Google Scholar]
- Kim, J.; Lee, J.; You, J.; Park, M.-S.; Al Hossain, M.S.; Yamauchi, Y.; Kim, J.H. Conductive polymers for next-generation energy storage systems: Recent progress and new functions. Mater. Horiz. 2016, 3, 517–535. [Google Scholar] [CrossRef]
- Saleh, H.M.; Hassan, A.I. Synthesis and characterization of nanomaterials for application in cost-effective electrochemical devices. Sustainability 2023, 15, 10891. [Google Scholar] [CrossRef]
- Lo, J.-W.; Lien, W.-C.; Lin, C.-A.; He, J.-H. Er-doped ZnO nanorod arrays with enhanced 1540 nm emission by employing Ag island films and high-temperature annealing. ACS Appl. Mater. Interfaces 2011, 3, 1009–1014. [Google Scholar] [CrossRef] [PubMed]
- Joshi, N.C.; Malik, S.; Gururani, P.J. Utilization of polypyrrole/ZnO nanocomposite in the adsorptive removal of Cu 2+, Pb 2+ and Cd 2+ ions from wastewater. Lett. Appl. NanoBioScience 2021, 10, 2339–2351. [Google Scholar]
- Ponnamma, D.; Cabibihan, J.-J.; Rajan, M.; Pethaiah, S.S.; Deshmukh, K.; Gogoi, J.P.; Pasha, S.K.; Ahamed, M.B.; Krishnegowda, J.; Chandrashekar, B.N.; et al. Synthesis, optimization and applications of ZnO/polymer nanocomposites. Mater. Sci. Eng. C 2019, 98, 1210–1240. [Google Scholar] [CrossRef]
- Taj, M.B.; Alkahtani, M.D.F.; Raheel, A.; Shabbir, S.; Fatima, R.; Aroob, S.; Yahya, R.; Alelwani, W.; Alahmadi, N.; Abualnaja, M.; et al. Bioconjugate synthesis, phytochemical analysis, and optical activity of NiFe2O4 nanoparticles for the removal of ciprofloxacin and Congo red from water. Sci. Rep. 2021, 11, 5439. [Google Scholar] [CrossRef] [PubMed]
- Rakibuddin, M.; Ananthakrishnan, R. Novel nano coordination polymer based synthesis of porous ZnO hexagonal nanodisk for higher gas sorption and photocatalytic activities. Appl. Surf. Sci. 2016, 362, 265–273. [Google Scholar] [CrossRef]
- Sahyar, B.Y.; Kaplan, M.; Ozsoz, M.; Celik, E.; Otles, S. Electrochemical xanthine detection by enzymatic method based on Ag doped ZnO nanoparticles by using polypyrrole. Bioelectrochemistry 2019, 130, 107327. [Google Scholar] [CrossRef]
- Podasca, V.E.; Buruiana, T.; Buruiana, E.C. Photocatalytic degradation of Rhodamine B dye by polymeric films containing ZnO, Ag nanoparticles and polypyrrole. J. Photochem. Photobiol. A Chem. 2019, 371, 188–195. [Google Scholar] [CrossRef]
- Liu, Y.; Zhang, Q.; Xu, M.; Yuan, H.; Chen, Y.; Zhang, J.; Luo, K.; Zhang, J.; You, B. Novel and efficient synthesis of Ag-ZnO nanoparticles for the sunlight-induced photocatalytic degradation. Appl. Surf. Sci. 2019, 476, 632–640. [Google Scholar] [CrossRef]
- Mtavangu, S.G.; Machunda, R.L.; van der Bruggen, B.; Njau, K.N. In situ facile green synthesis of Ag-ZnO nanocomposites using Tetradenia riperia leaf extract and its antimicrobial efficacy on water disinfection. Sci. Rep. 2022, 12, 15359. [Google Scholar] [CrossRef]
- Ramesan, M.T.; Santhi, V. In situ synthesis, characterization, conductivity studies of polypyrrole/silver doped zinc oxide nanocomposites and their application for ammonia gas sensing. J. Mater. Sci. Mater. Electron. 2017, 28, 18804–18814. [Google Scholar] [CrossRef]
- Sohrabnezhad, S.; Seifi, A. The green synthesis of Ag/ZnO in montmorillonite with enhanced photocatalytic activity. Appl. Surf. Sci. 2016, 386, 33–40. [Google Scholar] [CrossRef]
- Singh, S.; Anil, A.G.; Khasnabis, S.; Kumar, V.; Nath, B.; Adiga, V.; Naik, T.S.K.; Subramanian, S.; Kumar, V.; Singh, J.; et al. Sustainable removal of Cr (VI) using graphene oxide-zinc oxide nanohybrid: Adsorption kinetics, isotherms and thermodynamics. Environ. Res. 2022, 203, 111891. [Google Scholar] [CrossRef] [PubMed]
- Koutavarapu, R.; Babu, B.; Reddy, C.V.; Reddy, I.N.; Reddy, K.R.; Rao, M.; Aminabhavi, T.M.; Cho, M.; Kim, D.; Shim, J. ZnO nanosheets-decorated Bi2WO6 nanolayers as efficient photocatalysts for the removal of toxic environmental pollutants and photoelectrochemical solar water oxidation. J. Environ. Manag. 2020, 265, 110504. [Google Scholar] [CrossRef]
- Ansari, A.A.; Lv, R.; Gai, S.; Parchur, A.K.; Solanki, P.R.; Ansari, Z.; Dhayal, M.; Yang, P.; Nazeeruddin, M.; Tavakoli, M.M. ZnO nanostructures–Future frontiers in photocatalysis, solar cells, sensing, supercapacitor, fingerprint technologies, toxicity, and clinical diagnostics. Coord. Chem. Rev. 2024, 515, 215942. [Google Scholar] [CrossRef]
- Ali, S.; Sidra; Asghar, T.; Jan, M.I.; Waqas, M.; Ali, T.; Ullah, R.; Bari, A. Green Synthesis of Novel Rhododendron arboreum-Based Zinc Oxide Nanoparticles for Enhanced Antimicrobial and Photocatalytic Degradation Activities. Catalysts 2024, 14, 337. [Google Scholar] [CrossRef]
- Vasiljevic, Z.; Vunduk, J.; Bartolic, D.; Miskovic, G.; Ognjanovic, M.; Tadic, N.B.; Nikolic, M.V. An Eco-friendly Approach to ZnO NP Synthesis Using Citrus reticulata Blanco Peel/Extract: Characterization and Antibacterial and Photocatalytic Activity. ACS Appl. Bio Mater. 2024, 7, 3014–3032. [Google Scholar] [CrossRef]
- Karthik, K.V.; Reddy, C.V.; Reddy, K.R.; Ravishankar, R.; Sanjeev, G.; Kulkarni, R.V.; Shetti, N.P.; Raghu, A.V. Barium titanate nanostructures for photocatalytic hydrogen generation and photodegradation of chemical pollutants. J. Mater. Sci. Mater. Electron. 2019, 30, 20646–20653. [Google Scholar] [CrossRef]
- Jayakumar, G.; Irudayaraj, A.A.; Raj, A.D. Photocatalytic degradation of methylene blue by nickel oxide nanoparticles. Mater. Today Proc. 2017, 4, 11690–11695. [Google Scholar] [CrossRef]
- Clavero, C. Plasmon-induced hot-electron generation at nanoparticle/metal-oxide interfaces for photovoltaic and photocatalytic devices. Nat. Photonics 2014, 8, 95–103. [Google Scholar] [CrossRef]
- Nawaz, A.; Farhan, A.; Maqbool, F.; Ahmad, H.; Qayyum, W.; Ghazy, E.; Rahdar, A.; Díez-Pascual, A.M.; Fathi-karkan, S. Zinc Oxide Nanoparticles: Pathways to Micropollutant Adsorption, Dye Removal, and Antibacterial Actions-A Study of Mechanisms, Challenges, and Future Prospects. J. Mol. Struct. 2024, 1312, 138545. [Google Scholar] [CrossRef]
- Khan, F.; Zahid, M.; Bhatti, H.; Jamil, Y. Degradation of persistent organic pollutant using Ag-doped ZnO-ZnS–polyaniline composite as photocatalyst. Int. J. Environ. Sci. Technol. 2023, 20, 4811–4826. [Google Scholar] [CrossRef]
- Wagh, S.S.; Kadam, V.S.; Jagtap, C.V.; Salunkhe, D.B.; Patil, R.S.; Pathan, H.M.; Patole, S.P. Comparative Studies on Synthesis, Characterization and Photocatalytic Activity of Ag Doped ZnO Nanoparticles. ACS Omega 2023, 8, 7779–7790. [Google Scholar] [CrossRef] [PubMed]
- Ifijen, I.H.; Maliki, M.; Anegbe, B. Synthesis, photocatalytic degradation and antibacterial properties of selenium or silver doped zinc oxide nanoparticles: A detailed review. OpenNano 2022, 8, 100082. [Google Scholar] [CrossRef]
- Ersöz, E.; Altintas Yildirim, O. Green synthesis and characterization of Ag-doped ZnO nanofibers for photodegradation of MB, RhB and MO dye molecules. J. Korean Ceram. Soc. 2022, 59, 655–670. [Google Scholar] [CrossRef]
- Fouladi-Fard, R.; Aali, R.; Mohammadi-Aghdam, S.; Mortazavi-derazkola, S. The surface modification of spherical ZnO with Ag nanoparticles: A novel agent, biogenic synthesis, catalytic and antibacterial activities. Arab. J. Chem. 2022, 15, 103658. [Google Scholar] [CrossRef]
- Ghosh, S.; Das, P.S.; Sarkar, D.; Pal, S.; Naskar, M.K.; Chaudhary, Y.S.; Dey, S.; Sinha, C. Z-Scheme Heterostructures Using Band-Gap-Tunable ZnO by Metal Doping and Coupling with Polypyrrole for Enhanced Photocatalytic Water Splitting. ACS Appl. Polym. Mater. 2023, 5, 9918–9930. [Google Scholar] [CrossRef]
- Huang, J.; Yang, Z. A one-pot method to prepare a ZnO/Ag/polypyrrole composite for zinc alkaline secondary batteries. RSC Adv. 2015, 5, 33814–33817. [Google Scholar] [CrossRef]
- Huang, J.; Yang, Z.; Feng, Z.; Xie, X.; Wen, X. A novel ZnO@ Ag@ Polypyrrole hybrid composite evaluated as anode material for zinc-based secondary cell. Sci. Rep. 2016, 6, 24471. [Google Scholar] [CrossRef]
- Elkady, M.F.; Hassan, H.S. Photocatalytic degradation of malachite green dye from aqueous solution using environmentally compatible Ag/ZnO polymeric nanofibers. Polymers 2021, 13, 2033. [Google Scholar] [CrossRef]
- Mohamed, F.; Enaiet Allah, A.; Abu Al-Ola, K.A.; Shaban, M. Design and characterization of a novel ZnO–Ag/polypyrrole core–shell nanocomposite for water bioremediation. Nanomaterials 2021, 11, 1688. [Google Scholar] [CrossRef]
- Gu, F.; You, D.; Wang, Z.; Han, D.; Guo, G. Improvement of gas-sensing property by defect engineering in microwave-assisted synthesized 3D ZnO nanostructures. Sens. Actuators B Chem. 2014, 204, 342–350. [Google Scholar] [CrossRef]
- Ao, W.; Li, J.; Yang, H.; Zeng, X.; Ma, X. Mechanochemical synthesis of zinc oxide nanocrystalline. Powder Technol. 2006, 168, 148–151. [Google Scholar] [CrossRef]
- Mandal, T.K.; Gopalakrishnan, J. From rocksalt to perovskite: A metathesis route for the synthesis of perovskite oxides of current interest. J. Mater. Chem. 2004, 14, 1273–1280. [Google Scholar] [CrossRef]
- Parkin, I. Solid state metathesis reaction for metal borides, silicides, pnictides and chalcogenides: Ionic or elemental pathways. Chem. Soc. Rev. 1996, 25, 199–207. [Google Scholar] [CrossRef]
- Rajesh, D.; Lakshmi, B.V.; Sunandana, C. Two-step synthesis and characterization of ZnO nanoparticles. Phys. B Condens. Matter 2012, 407, 4537–4539. [Google Scholar] [CrossRef]
- Hosseini, S.; Sarsari, I.A.; Kameli, P.; Salamati, H. Effect of Ag doping on structural, optical, and photocatalytic properties of ZnO nanoparticles. J. Alloys Compd. 2015, 640, 408–415. [Google Scholar] [CrossRef]
- Joshi, P.; Rao, V.; Rehani, B.; Pratap, A. Silver-zinc oxide electrical contact materials by mechanochemical synthesis route. Indian J. Pure Appl. Phys. 2007, 45, 9–15. [Google Scholar]
- Choi, Y.I.; Jung, H.J.; Shin, W.G.; Sohn, Y. Band gap-engineered ZnO and Ag/ZnO by ball-milling method and their photocatalytic and Fenton-like photocatalytic activities. Appl. Surf. Sci. 2015, 356, 615–625. [Google Scholar] [CrossRef]
- Dhas, S.D.; Maldar, P.S.; Patil, M.D.; Nagare, A.B.; Waikar, M.R.; Sonkawade, R.G.; Moholkar, A.V. Synthesis of NiO nanoparticles for supercapacitor application as an efficient electrode material. Vacuum 2020, 181, 109646. [Google Scholar] [CrossRef]
- Barzinjy, A.A.; Azeez, H.H. Green synthesis and characterization of zinc oxide nanoparticles using Eucalyptus globulus Labill. leaf extract and zinc nitrate hexahydrate salt. SN Appl. Sci. 2020, 2, 991. [Google Scholar] [CrossRef]
- Aroob, S.; Carabineiro, S.A.C.; Taj, M.B.; Bibi, I.; Raheel, A.; Javed, T.; Yahya, R.; Alelwani, W.; Verpoort, F.; Kamwilaisak, K.; et al. Green Synthesis and Photocatalytic Dye Degradation Activity of CuO Nanoparticles. Catalysts 2023, 13, 502. [Google Scholar] [CrossRef]
- Ahmed, A.; Usman, M.; Yu, B.; Ding, X.; Peng, Q.; Shen, Y.; Cong, H. Efficient photocatalytic degradation of toxic Alizarin yellow R dye from industrial wastewater using biosynthesized Fe nanoparticle and study of factors affecting the degradation rate. J. Photochem. Photobiol. B Biol. 2019, 202, 111682. [Google Scholar] [CrossRef] [PubMed]
- Mehrabi, M.; Javanbakht, V. Photocatalytic degradation of cationic and anionic dyes by a novel nanophotocatalyst of TiO2/ZnTiO3/αFe2O3 by ultraviolet light irradiation. Mater. Electron. 2018, 29, 9908–9919. [Google Scholar] [CrossRef]
- Ma, C.M.; Hong, G.B.; Lee, S.C. Facile synthesis of tin dioxide nanoparticles for photocatalytic degradation of Congo red dye in aqueous solution. Catalysts 2020, 10, 792. [Google Scholar] [CrossRef]
- Boruah, P.K.; Borthakur, P.; Darabdhara, G.; Kamaja, C.K.; Karbhal, I.; Shelke, M.V.; Phukan, P.; Saikia, D.; Das, M.R. Sunlight assisted degradation of dye molecules and reduction of toxic Cr (VI) in aqueous medium using magnetically recoverable Fe3O4/reduced graphene oxide nanocomposite. RSC Adv. 2016, 6, 11049–11063. [Google Scholar] [CrossRef]
- Sakarkar, S.; Muthukumran, S.; Jegatheesan, V. Factors affecting the degradation of remazol turquoise blue (RTB) dye by titanium dioxide (TiO2) entrapped photocatalytic membrane. J. Environ. Manag. 2020, 272, 111090. [Google Scholar] [CrossRef]
- Al-Mamun, M.R.; Karim, M.N.; Nitun, N.A.; Kader, S.; Islam, M.S.; Khan, M.Z.H. Photocatalytic performance assessment of GO and Ag co-synthesized TiO2 nanocomposite for the removal of methyl orange dye under solar irradiation. Environ. Technol. Innov. 2021, 22, 101537. [Google Scholar] [CrossRef]
- Sathish, T.; Chandramohan, D.; Dinesh Kumar, S.; Rajkumar, S.; Vijayan, V. A facile synthesis of Ag/ZnO nanocomposites prepared via novel green mediated route for catalytic activity. Appl. Phys. 2021, 127, 692. [Google Scholar] [CrossRef]
- Bhosale, A.; Kadam, J.; Gade, T.; Sonawane, K.; Garadkar, K. Efficient photodegradation of methyl orange and bactericidal activity of Ag doped ZnO nanoparticles. J. Indian Chem. Soc. 2023, 100, 100920. [Google Scholar] [CrossRef]
- Li, X.; He, S.; Liu, X.; Jin, J.; Meng, H. Polymer-assisted freeze-drying synthesis of Ag-doped ZnO nanoparticles with enhanced photocatalytic activity. Ceram. Int. 2019, 45, 494–502. [Google Scholar] [CrossRef]
- Bhatti, M.A.; Shah, A.A.; Almani, K.F.; Tahira, A.; Chalangar, S.E.; dad Chandio, A.; Nur, O.; Willander, M.; Ibupoto, Z.H. Efficient photo catalysts based on silver doped ZnO nanorods for the photo degradation of methyl orange. Ceram. Int. 2019, 45, 23289–23297. [Google Scholar] [CrossRef]
- Ruchi, N.; Bamne, J.; Singh, N.; Sharma, P.; Singh, P.; Umar, A.; Haque, F.Z. Synthesis of titania/silica nanocomposite for enhanced photodegradation of methylene blue and methyl orange dyes under uv and mercury lights. ES Mater. Manuf. 2022, 16, 78–88. [Google Scholar]
- Narzary, S.; Alamelu, K.; Raja, V.; Ali, B.J. Visible light active, magnetically retrievable Fe3O4@ SiO2@ g-C3N4/TiO2 nanocomposite as efficient photocatalyst for removal of dye pollutants. J. Environ. Chem. Eng. 2020, 8, 104373. [Google Scholar] [CrossRef]
- Mahmoud, M.E.; Amira, M.F.; Abouelanwar, M.E.; Salam, M.A. Green synthesis and surface decoration of silver nanoparticles onto δ-FeOOH-Polymeric nanocomposite as efficient nanocatalyst for dyes degradation. J. Environ. Chem. Eng. 2021, 9, 104697. [Google Scholar] [CrossRef]
- Kouhbanani, M.A.J.; Beheshtkhoo, N.; Taghizadeh, S.; Amani, A.M.; Alimardani, V. One-step green synthesis and characterization of iron oxide nanoparticles using aqueous leaf extract of Teucrium polium and their catalytic application in dye degradation. Adv. Nat. Sci. Nanosci. Nanotechnol. 2019, 10, 015007. [Google Scholar] [CrossRef]
- Barzinjy, A.A.; Hamad, S.M.; Aydın, S.; Ahmed, M.H.; Hussain, F.H.S. Green and eco-friendly synthesis of Nickel oxide nanoparticles and its photocatalytic activity for methyl orange degradation. J. Mater. Sci. Mater. Electron. 2020, 31, 11303–11316. [Google Scholar] [CrossRef]
- Raj, S.; Singh, H.; Trivedi, R.; Soni, V. Biogenic synthesis of AgNPs employing Terminalia arjuna leaf extract and its efficacy towards catalytic degradation of organic dyes. Sci. Rep. 2020, 10, 9616. [Google Scholar] [CrossRef] [PubMed]
- Gupta, K.; Sharma, B.; Garg, V.; Neelratan, P.P.; Kumar, V.; Kumar, D.; Sharma, S.K. Enhanced photocatalytic degradation of methylene blue and methyl orange using biogenic ZnO NPs synthesized via Vachellia nilotica (Babool) leaves extract. Hybrid Adv. 2024, 5, 100160. [Google Scholar] [CrossRef]
- Laksaci, H.; Belhamdi, B.; Khelifi, O.; Khelifi, A.; Trari, M. The use of green synthesized ZnO nanoparticles for the degradation of methyl orange under solar light irradiation. Int. J. Environ. Sci. Technol. 2024, 21, 7227–7236. [Google Scholar] [CrossRef]
- Afzal, M.A.; Javed, M.; Aroob, S.; Javed, T.; Alnoman, M.M.; Alelwani, W.; Bibi, I.; Sharif, M.; Saleem, M.; Rizwan, M.; et al. The Biogenic Synthesis of Bimetallic Ag/ZnO Nanoparticles: A Multifunctional Approach for Methyl Violet Photocatalytic Degradation and the Assessment of Antibacterial, Antioxidant, and Cytotoxicity Properties. Nanomaterials 2023, 13, 2079. [Google Scholar] [CrossRef]
- Mendoza-Mendoza, E.; Nuñez-Briones, A.; García-Cerda, L.; Peralta-Rodríguez, R.; Montes-Luna, A. One-step synthesis of ZnO and Ag/ZnO heterostructures and their photocatalytic activity. Ceram. Int. 2018, 44, 6176–6180. [Google Scholar] [CrossRef]
- Otis, G.; Ejgenberg, M.; Mastai, Y. Solvent-free mechanochemical synthesis of ZnO nanoparticles by high-energy ball milling of ε-Zn(OH)2 crystals. Nanomaterials 2021, 11, 238. [Google Scholar] [CrossRef] [PubMed]













| Catalysts | Diffracted Angles | Lattice Planes |
|---|---|---|
| ZnO | 31.47° | (100) |
| 34.13° | (002) | |
| 35.95° | (101) | |
| 47.24° | (102) | |
| 56.37° | (110) | |
| 62.60° | (103) | |
| 67.77° | (112) | |
| Ag | 36.08° | (111) |
| 47.29° | (200) | |
| 62.6° | (220) | |
| Ppy | 21.29° | |
| 24.43° |
| Photocatalyst | Synthesis Method | Time | Light Source | Initial Conc. of MO Dye | Dye | Degradation Rate (%) | Ref. |
|---|---|---|---|---|---|---|---|
| Ag/ZnO | Green synthesis | 6 min | In NaBH4 | 10−5 M | MO | 95 | [58] |
| Ag/ZnO | co-precipitation method | 90 min | Mercury lamp | 20 mg/L | MO | 96.74 | [59] |
| Ag doped ZnO NPs | polymer-assisted freeze-drying | 120 min | UV light | 10 mg/L | MO | 99 | [60] |
| Ag/ZnO | Solvothermal method | 120 min | UV light | 0.05 mM | MO | 88 | [61] |
| TiO2/SiO2 | Sol–gel method | 2 h | Mercury lamp | 10−4 mL/L | MO | 70–75 | [62] |
| Fe3O4@SiO2@g-C3N4/TiO2 | Hydrothermal method | 3 h | Sunlight | 10 ppm | MO | 91 | [63] |
| AgNPs@δFeOOH/PUF | Microwave irradiation heating method | In few min | In NaBH4 | 0.1 mM | MO | 89 | [64] |
| Iron Oxide Nps | Green synthesis | 6 h | In H2O2 | 25 mg/L | MO | 73.6 | [65] |
| NiO NPs | Green synthesis | 37 s | In NaBH4 | 10 mg/L | MO | 90 | [66] |
| Ag NPs | Green synthesis | 20 min | In NaBH4 | 1 mM | MO | 86.68 | [67] |
| ZnO NPs | Green synthesis | 90 min | Solar light at 42 °C | 10 ppm | 80 | [68] | |
| ZnO NPs | Green synthesis | 180 min | Visible light | 20 mg/L | 70 | [69] | |
| ZnO NPs | Mechanochemical synthesis | 90 min | Visible light | 5 ppm | 67.25 | Present study | |
| Ag-ZnO NPs | Mechanochemical synthesis | 90 min | Visible light | 5 ppm | 82.63 | Present study | |
| Ppy/Ag-ZnO | Mechanochemical synthesis | 90 min | Visible light | 5 ppm | MO | 91.11 | Present study |
| Catalyst | Temperature (K) | KL(Lmg−1) | ∆G° (kJmol−1K) | ∆H° (kJmol−1) | ∆S° (kJmol−1K−1) | R2 |
|---|---|---|---|---|---|---|
| Ppy/Ag-ZnO | 303 | 9.73 | −5.71 | 2612.924 | 26.61644 | 0.90977 |
| 313 | 9.13 | −5.75 | ||||
| 323 | 8.81 | −5.82 |
Disclaimer/Publisher’s Note: The statements, opinions and data contained in all publications are solely those of the individual author(s) and contributor(s) and not of MDPI and/or the editor(s). MDPI and/or the editor(s) disclaim responsibility for any injury to people or property resulting from any ideas, methods, instructions or products referred to in the content. |
© 2025 by the authors. Licensee MDPI, Basel, Switzerland. This article is an open access article distributed under the terms and conditions of the Creative Commons Attribution (CC BY) license (https://creativecommons.org/licenses/by/4.0/).
Share and Cite
Nazir, M.K.; Taj, M.B.; Al-Ghamdi, A.A.; Almasoudi, A.; AlSulami, F.M.H.; Banbela, H.M.; Ali, O.M.; Ahmed, M.M.; Khan, M.I.; Shanableh, A.; et al. Eco-Friendly Mechanochemical Fabrication of Polypyrrole/Ag-ZnO Heterostructures for Enhanced Photocatalytic Degradation of Methyl Orange. Catalysts 2025, 15, 284. https://doi.org/10.3390/catal15030284
Nazir MK, Taj MB, Al-Ghamdi AA, Almasoudi A, AlSulami FMH, Banbela HM, Ali OM, Ahmed MM, Khan MI, Shanableh A, et al. Eco-Friendly Mechanochemical Fabrication of Polypyrrole/Ag-ZnO Heterostructures for Enhanced Photocatalytic Degradation of Methyl Orange. Catalysts. 2025; 15(3):284. https://doi.org/10.3390/catal15030284
Chicago/Turabian StyleNazir, Muhammad Khalid, Muhammad Babar Taj, Azza A. Al-Ghamdi, Afaf Almasoudi, Fatimah Mohammad H. AlSulami, Hadeel M. Banbela, Omar Makram Ali, Muhammad Mahboob Ahmed, Muhammad Imran Khan, Abdallah Shanableh, and et al. 2025. "Eco-Friendly Mechanochemical Fabrication of Polypyrrole/Ag-ZnO Heterostructures for Enhanced Photocatalytic Degradation of Methyl Orange" Catalysts 15, no. 3: 284. https://doi.org/10.3390/catal15030284
APA StyleNazir, M. K., Taj, M. B., Al-Ghamdi, A. A., Almasoudi, A., AlSulami, F. M. H., Banbela, H. M., Ali, O. M., Ahmed, M. M., Khan, M. I., Shanableh, A., & Fernandez-Garcia, J. (2025). Eco-Friendly Mechanochemical Fabrication of Polypyrrole/Ag-ZnO Heterostructures for Enhanced Photocatalytic Degradation of Methyl Orange. Catalysts, 15(3), 284. https://doi.org/10.3390/catal15030284

