Abstract
Landfill leachate, a complex wastewater generated from municipal solid waste (MSW) landfills, presents significant environmental challenges due to its high organic content and toxic pollutants. This study proposes a sustainable solution by employing the green synthesis of copper oxide nanoparticles (CuO NPs) using durian (Durio zibethinus) husk extract, which serves as a natural reducing and stabilizing agent. This approach transforms agricultural waste into a valuable resource for environmental remediation. The synthesis was carried out under mild conditions, avoiding harmful chemicals and reducing energy consumption. The CuO NPs were characterized by scanning electron microscopy (SEM), high-resolution transmission electron microscopy (HR-TEM), X-ray diffraction (XRD), energy-dispersive X-ray spectroscopy (EDX), Fourier-transform infrared spectroscopy (FTIR), and UV-Vis spectroscopy to examine their morphology, crystallinity, purity, and optical properties. SEM and HR-TEM analyses revealed mainly spherical nanoparticles with an average size of 35–50 nm and minimal aggregation. XRD analysis confirmed the presence of a highly crystalline monoclinic phase of CuO, while the EDX spectrum showed distinct peaks corresponding to copper (72%) and oxygen (28%) by weight, confirming the high purity of the material. Preliminary tests demonstrated the photocatalytic efficiency of the CuO NPs, achieving up to a 79% reduction in chemical oxygen demand (COD) in landfill leachate. These findings underscore the potential of green-synthesized CuO NPs for environmental applications, offering an innovative, sustainable method for wastewater treatment and supporting the advancement of solid waste management practices.
1. Introduction
The exponential growth of urbanization and industrialization has resulted in a significant increase in global solid waste generation. Landfills, commonly used for waste disposal, produce leachate as a by-product of waste degradation and percolation of rainwater through waste layers [1,2]. Landfill leachate is a complex and highly contaminated liquid containing a mixture of organic and inorganic pollutants, including heavy metals, ammonia, nitrates, and persistent organic compounds. If left untreated, leachate can infiltrate groundwater or surface water, posing severe environmental and public health risks. Conventional methods for leachate treatment, such as biological treatment, coagulation, and chemical oxidation, often struggle with treating highly toxic and recalcitrant pollutants [3,4]. As a result, there is an urgent need to develop alternative, environmentally friendly treatment approaches [5,6]. In this context, photocatalysis has emerged as an efficient and sustainable alternative for treating landfill leachate, leveraging advanced oxidation processes to degrade and mineralize harmful contaminants.
Photocatalysis is a light-driven process that employs semiconductor materials to generate reactive species, such as hydroxyl radicals, that are capable of breaking down complex organic pollutants into less harmful by-products. Among various semiconductor materials, including zinc oxide nanoparticles (ZnO NPs) [7,8,9] and titanium dioxide nanoparticles (TiO2 NPs) [10], copper oxide nanoparticles (CuO NPs) have garnered significant attention due to their excellent photocatalytic activity, chemical stability, and low cost [11,12]. The narrow bandgap of CuO NPs allows them to utilize visible light effectively, making them suitable for practical environmental applications. However, the synthesis of CuO NPs through conventional methods often involves hazardous chemicals, high energy consumption, and the generation of toxic by-products, posing environmental and health risks. To address these challenges, green synthesis methods utilizing plant-based materials have emerged as a sustainable alternative [13,14].
Durian (Durio zibethinus), often referred to as the ‘king of fruits’, is a tropical fruit widely cultivated in Southeast Asia, including Malaysia and Indonesia, and it is highly valued for its unique taste and aroma. However, its cultivation generates a significant amount of waste, with the husk accounting for nearly 60–70% of the fruit’s weight. This husk, typically discarded as agricultural waste, is rich in lignocellulosic materials and bioactive compounds, including polyphenols, flavonoids, and other naturally occurring reducing agents that make it an ideal candidate for nanoparticle synthesis. Utilizing durian husks not only reduces waste but also aligns with circular economy principles by transforming an agricultural by-product into a valuable resource [15,16,17,18].
This study addresses the limitations of conventional landfill leachate treatment methods by developing a green synthesis approach for CuO NPs using durian husk extract and evaluating their photocatalytic potential [2,19,20,21]. The research focuses on synthesizing and characterizing CuO NPs, applying them to treat municipal solid waste (MSW) landfill leachate, and assessing their efficiency in removing pollutants. Key parameters, such as chemical oxygen demand (COD), biological oxygen demand (BOD), ammoniacal nitrogen (AN), and heavy metals, are examined to understand their performance in treating complex wastewater compositions [22,23,24,25,26].
The significance of this study is multi-dimensional. Environmentally, it contributes to the development of an eco-friendly method for synthesizing CuO NPs, reducing dependence on hazardous chemicals and enhancing the sustainability of nanoparticle production [8,12,20,27,28,29]. By utilizing agricultural waste like durian husks, the study promotes waste valorization, aligning with circular economy principles and addressing the challenges of agricultural waste disposal [6,30]. From a wastewater treatment perspective, this study provides an innovative solution to the challenges posed by landfill leachate. The photocatalytic properties of green-synthesized CuO NPs help degrade harmful contaminants, such as organic matter and ammoniacal nitrogen, reducing environmental risks associated with landfill sites [31,32]. Thus, the key novelty of this study is the use of green-synthesized CuO NPs for the photocatalytic degradation of pollutants found in landfill leachate, with a focus on organic matter and ammoniacal nitrogen. This offers a fresh and sustainable way to lessen the environmental risks connected to wastewater from landfills, a topic that is still ignored by existing wastewater treatment techniques.
This research also contributes to global sustainability initiatives, particularly Sustainable Development Goal (SDG) 6 (Clean Water and Sanitation) and SDG 12 (Responsible Consumption and Production), by tackling water pollution and promoting sustainable waste management practices [33,34,35]. Moreover, the green synthesis process, which employs widely available plant-based waste, is cost-effective and scalable, offering significant potential for industrial applications in waste treatment [13,25,36,37,38,39].
2. Results
2.1. Optical, Structural, and Morphological Properties of CuO NPs Derived from Durian Husk Extract
2.1.1. UV-Vis Spectroscopy
The UV-Vis spectroscopy analysis of durian husk extract-mediated CuO NPs exhibited a broad absorption band in the range of 200–800 nm, with an absorption feature centered at 389.50 nm. (Figure 1). This peak corresponds to the intrinsic band-to-band transitions in CuO nanoparticles, confirming their successful synthesis. This broad absorption profile suggests polydispersity in particle size and their surface plasmon resonance (SPR) interactions with phytochemicals from the durian husk extract, which influence the optical properties of the CuO nanoparticles.
Figure 1.
UV-Vis absorption spectra of durian husk extract-mediated CuO NPs.
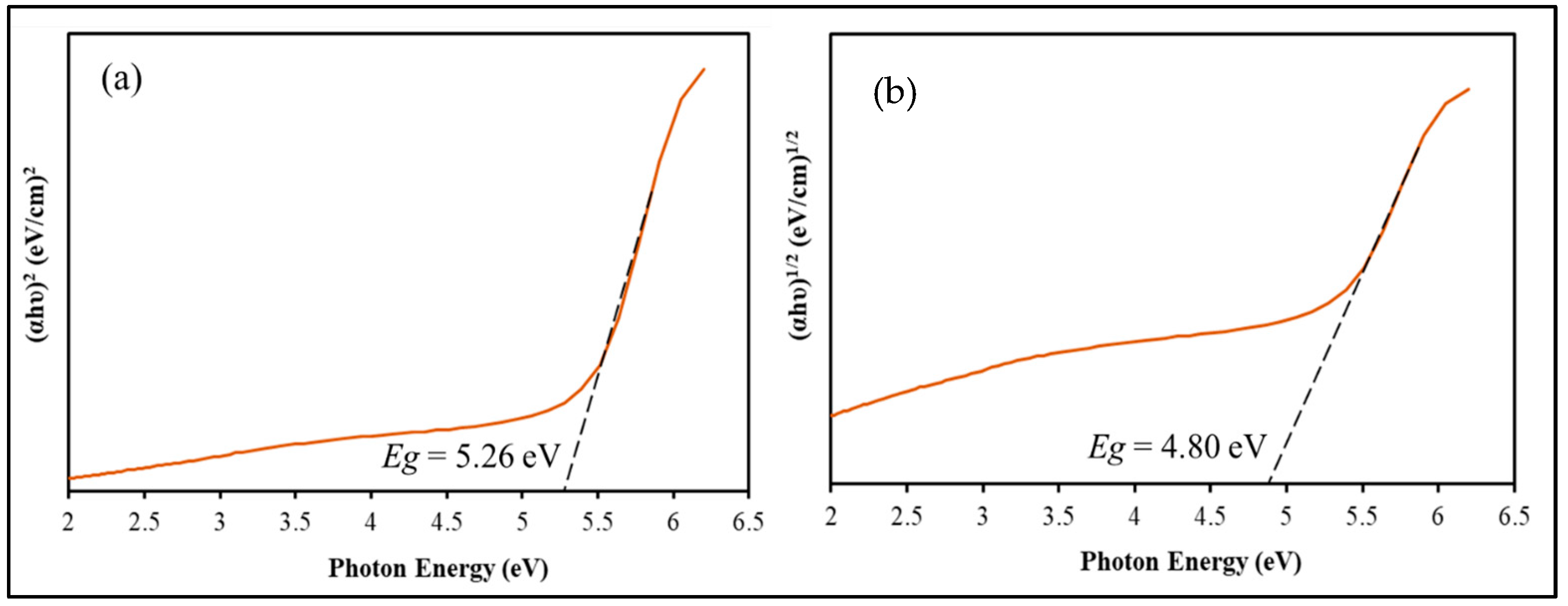
The optical bandgap of the synthesized CuO NPs was determined using the Tauc plot (Figure 2). By using the Tauc plot approach, the band gap energy (Eg) of the synthesized CuO NPs was calculated using the following Equation (1):
where α is the absorption coefficient, hν is the energy of a photon, A is the proportionality constant, and n is the electronic transition with an exponent factor (n = ½ for indirect transition or 2 for direct transition). As shown in Figure 2, Eg was calculated by plotting (αhν)n versus the energy axis (hυ), yielding a band gap energy (ΔEg) of approximately 5.26 eV for the direct bandgap and 4.80 eV for the indirect bandgap, significantly higher than the typical bulk CuO bandgap of 1.7–2.1 eV. This blue shift in the bandgap energy indicates the semiconducting nature of the nanoparticles, which is attributed to the quantum confinement effect. This indicates that these nanoparticles have great potential for photocatalytic applications, particularly under visible light conditions, due to their enhanced electronic transitions.
A(hν − Eg)n = αhv
Figure 2.
The band gap energy (Eg) of durian husk extract-mediated CuO NPs: (a) indirect bandgap and (b) direct bandgap.
2.1.2. FTIR Spectroscopy
The functional groups present in the durian husk extract and their interaction with copper ions during CuO NP synthesis were analyzed using Fourier-transform infrared (FTIR) spectroscopy (Figure 3). A broad absorption band observed at 3422 cm−1 corresponds to O–H stretching vibrations, which is indicative of hydroxyl groups from phenolic compounds. This peak shifts to 3398 cm−1 in CuO NPs, suggesting the involvement of hydroxyl groups in reducing and stabilizing copper ions. Peaks at 2373 cm−1 and 2345 cm−1 (C=O stretching) and 1636 cm−1 (C=C stretching or amide I) also exhibited shifts, confirming their role in nanoparticle stabilization. The Cu–O stretching vibration was observed at 528 cm−1, confirming CuO formation. The identification of such functional groups highlights the dual role of the extract as a reducing and capping agent.
Figure 3.
FTIR analysis of durian husk extract and durian husk extract-mediated synthesized CuO NPs.
2.1.3. Morphological Analysis by SEM and HR-TEM
SEM images revealed that durian husk-mediated synthesized CuO NPs exhibited a predominantly spherical shape, with an average particle size ranging from 35 to 50 nm (Figure 4). HR-TEM analysis confirmed a similar morphology, with a particle size distribution showing an average of 33.09 ± 14.43 nm. The histogram analysis demonstrated a near-normal distribution, suggesting controlled nucleation and growth (Figure 5). The minimal agglomeration that was observed highlights the effectiveness of the bioactive compounds in the durian husk extract in stabilizing the nanoparticles. Such uniformity in morphology and size is a crucial factor for achieving high photocatalytic efficiency.
Figure 4.
SEM images of durian husk-mediated synthesized CuO NPs at ×40,000 magnification, illustrating particle morphology and distribution.
Figure 5.
HR-TEM micrographs of durian husk-mediated synthesized CuO NPs at (a) ×17,500 magnification and (b) ×39,000 magnifications, respectively and (c) is the histogram of particle size distribution.
2.1.4. XRD Analysis
X-ray diffraction (XRD) analysis (Figure 6) revealed distinct diffraction peaks at 2θ values of 32.44°, 35.65°, 38.70°, 48.64°, and 53.45°, corresponding to the (110), (002), (111), (202), and (020) planes, respectively. These indices are in excellent agreement with the standard diffraction pattern for monoclinic CuO (JCPDS Card No. 801916), confirming the successful synthesis of CuO NPs with a monoclinic crystalline structure [40]. The characteristic peaks at 31.92, 35.45, 38.69, 48.75, 53.41, 58.26, 61.52, 66.12, 67.95, 72.36, and 75.06 degree positions can be observed and indexed to the (hkl) planes of CuO, such as (110), (−111), (111), (−202), (020), (202), (−113), (022), (220), (312), and (203). The sharpness and intensity of the observed peaks indicate a high degree of crystallinity, which can be attributed to the effective capping and stabilizing action of phytochemicals present in the durian extract. The average crystallite size was calculated using the Debye-Scherrer equation [41]:
where λ is the X-ray wavelength, θ is the Bragg diffraction angle, and β is the full width at half maximum of the XRD peak appearing at a diffraction angle θ.
Figure 6.
XRD patterns of durian husk extract-mediated CuO NPs.
The calculated crystallite size using the Debye-Scherrer equation was estimated to be approximately 15.60 nm (Table 1), and the particle size was found to be in the range of 30–40 nm, which aligns with the particle size distribution observed in the HR-TEM analysis. The high crystallinity observed can be attributed to the calcination process, which enhances structural integrity [8,12]. The difference between the crystallite size (15.60 nm) calculated using the Debye-Scherrer equation and the particle size (30–40 nm) observed in HR-TEM can be attributed to the fact that a single particle may consist of multiple crystallites. The Debye-Scherrer equation estimates the size of coherently diffracting crystalline domains, which may not account for grain boundaries, agglomeration, or non-crystalline regions within a particle. In contrast, HR-TEM provides a direct visualization of the overall particle size, including any aggregation or amorphous components, leading to a larger observed size.
Table 1.
Crystallite size distribution of durian husk extract-mediated CuO NPs based on Debye–Scherrer’s equation.
The well-defined peaks indicate a consistent and robust crystalline phase of the durian husk-mediated synthesized CuO NPs, which plays a vital role in improving the photocatalytic and electronic properties of the nanoparticles.
2.1.5. EDX Analysis
The energy-dispersive X-ray (EDX) spectrum confirmed the elemental composition of CuO NPs. Peaks for Cu (72%) and O (28%) by weight validated the purity of the synthesized nanoparticles, with minimal contamination (Figure 7). The high elemental purity observed ensures that the nanoparticles are suitable for catalytic applications, as impurities can negatively impact catalytic activity. The analysis underscores the ability of the green synthesis method to produce nanoparticles of high chemical quality.
Figure 7.
EDX spectrum of durian husk-mediated synthesized CuO NPs.
2.2. Photocatalytic Activity of CuO Nanoparticles in Landfill Leachate Treatment
2.2.1. Reduction of Chemical Oxygen Demand (COD)
Municipal solid waste (MSW) landfill leachate with an initial COD of 1420 mg/L was treated with CuO NPs under UV light. The COD was reduced by 79% after 3 h, reaching 298 mg/L, demonstrating the nanoparticles’ effectiveness in degrading organic pollutants (Figure 8). This substantial reduction in COD highlights the strong oxidative potential of CuO NPs, likely driven by the generation of reactive oxygen species (ROS) under UV light.
Figure 8.
Comparison of different pollutant concentrations in untreated and durian husk-mediated synthesized CuO NP-treated leachate.
2.2.2. Removal of Biochemical Oxygen Demand (BOD)
The BOD concentration in landfill leachate decreased from 780 mg/L to 117 mg/L (85% reduction) after treatment with CuO NPs, highlighting their ability to mineralize biodegradable organic matter effectively (Figure 8). This significant decrease in BOD indicates a high degree of pollutant mineralization, further validating the nanoparticles’ suitability for wastewater remediation applications.
2.2.3. Ammoniacal Nitrogen Removal
Ammoniacal nitrogen levels dropped from 165 mg/L to 25 mg/L (85% reduction) after 3 h of photocatalytic treatment, indicating the nanoparticles’ potential for mitigating eutrophication risks (Figure 8). The removal of ammoniacal nitrogen is critical for minimizing ecological damage, as elevated levels can lead to algal blooms and oxygen depletion in aquatic ecosystems. The results emphasize the versatility of CuO NPs in addressing diverse pollutants in complex wastewater matrices.
3. Discussion
3.1. Optical Properties and Bandgap Analysis
The UV-Vis spectroscopy results confirmed the successful synthesis of CuO nanoparticles (CuO NPs) using durian husk extract, as evidenced by the prominent absorption peak at 389.50 nm. This peak corresponds to the intrinsic band-to-band transitions in CuO nanoparticles, consistent with previous reports of green-synthesized CuO NPs where bioactive compounds act as stabilizing agents [8,12,31,36]. The calculated bandgap energies (ΔEg) of 5.26 eV (direct bandgap) and 4.80 eV (indirect bandgap) highlight the quantum confinement effect observed in nanoparticles. This phenomenon, caused by the reduced dimensions of nanoparticles, enhances their electronic transitions and photocatalytic potential. Compared to bulk CuO, which typically exhibits a bandgap between 1.7 and 2.1 eV, the blue shift observed in this study suggests that these nanoparticles are highly suitable for visible light-driven photocatalytic applications. Such enhancements align with recent studies demonstrating the impact of reduced particle size on improving the efficiency of photocatalytic materials [42].
3.2. Structural and Morphological Characteristics
FTIR spectroscopy identified key functional groups responsible for the reduction and stabilization of CuO NPs. For the durian husk extract, a broad absorption band observed at 3422 cm−1 corresponds to the stretching vibrations of O–H groups, indicating the presence of hydroxyl groups from phenolic compounds and water molecules. In the spectrum of CuO NPs, this peak shifts to 3398 cm−1, suggesting the involvement of hydroxyl groups in the reduction and stabilization of copper ions during nanoparticle synthesis.
The peaks at 2373 cm−1 and 2345 cm−1 in the extract correspond to C=O stretching vibrations from carbonyl groups, which are commonly associated with organic acids or other carbonyl-containing compounds. These peaks are retained in the CuO NP spectrum at 2374 cm−1 and 2345 cm−1, confirming that these groups are involved in capping and stabilizing the nanoparticles.
A prominent peak at 1636 cm−1 in the extract, attributed to C=C stretching vibrations of aromatic compounds or amide I from proteins, shifts slightly to 1630 cm−1 in the CuO NPs. This shift indicates that the aromatic or proteinaceous compounds in the extract play a crucial role in binding with the CuO nanoparticle surface.
The peak at 1384 cm−1 in the CuO NPs corresponds to C–O stretching vibrations, confirming the interaction of carboxylate groups with the nanoparticle surface. This suggests that organic acids, or similar compounds from the durian husk extract, contributed to the synthesis and stabilization process.
Notably, the CuO NP spectrum exhibits a new absorption peak at 528 cm−1, which is absent in the extract spectrum. This peak is characteristic of Cu–O stretching vibrations, confirming the formation of CuO nanoparticles. The absence of this peak in the durian husk extract spectrum indicates that this bond formation is unique to the synthesized nanoparticles.
Additional peaks at 1053 cm−1, assigned to C–O–C stretching vibrations, appear in both spectra but are more pronounced in the CuO NP spectrum, suggesting that polysaccharides or similar compounds from the extract may also contribute to nanoparticle capping to prevent agglomeration [43]. The unique role of these compounds is further substantiated by their presence in other plant-mediated green synthesis processes, where similar stabilization mechanisms have been observed [37].
SEM and HR-TEM analyses revealed spherical nanoparticles with an average size of approximately 33 nm, displaying a near-normal size distribution [44]. Such uniformity is critical for achieving enhanced surface area-to-volume ratios, which are directly correlated with improved catalytic activity. Minimal agglomeration observed in the micrographs underscores the effectiveness of durian husk extract in producing stable nanoparticles. XRD analysis confirmed the monoclinic crystalline phase of CuO NPs, with distinct diffraction peaks corresponding to (110), (002), and (111) planes. The calculated crystallite sizes (ranging from 15.60 nm to 30–40 nm) closely matched the particle sizes observed in TEM analysis, validating the reliability of the synthesis method. High crystallinity ensures better electronic mobility and enhances photocatalytic efficiency, as it reduces the recombination rates of charge carriers.
3.3. Photocatalytic Activity in Leachate Treatment
The synthesized CuO NPs demonstrated exceptional photocatalytic efficiency in degrading pollutants in landfill leachate. The 79% reduction in chemical oxygen demand (COD) after 3 h of treatment highlights the strong oxidative potential of CuO NPs. This efficiency is attributed to the generation of reactive oxygen species (ROS), such as hydroxyl radicals (•OH) and superoxide anions (O2•−), under UV light irradiation. These ROS play a crucial role in breaking down complex organic pollutants into smaller, less harmful molecules, eventually leading to their mineralization [19,36].
The reduction in biochemical oxygen demand (BOD) by 85% underscores the effectiveness of CuO NPs in mineralizing biodegradable organic matter. Such a high degree of pollutant degradation aligns with the performance metrics of other plant-mediated CuO nanoparticles reported in recent studies [45]. Additionally, the removal of ammoniacal nitrogen (85%) demonstrates the nanoparticles’ versatility in addressing nitrogenous pollutants, which are known to contribute to eutrophication and water quality degradation. The ability of CuO NPs to address various pollutants highlights their potential as a robust solution for complex wastewater treatment [46].
Mechanism of Photocatalytic Activity
The mechanism underlying the photocatalytic activity of CuO NPs involves the generation of reactive oxygen species (ROS) upon UV light irradiation. When CuO NPs are exposed to UV light, electrons in the valence band absorb energy and transition to the conduction band, leaving behind positively charged holes in the valence band. These charge carriers (–electrons and holes) initiate redox reactions that produce ROS, including hydroxyl radicals (•OH) and superoxide anions (O2•−). These ROS are highly reactive and play a critical role in breaking down complex organic pollutants into smaller, less harmful molecules such as CO2 and H2O. The presence of bioactive compounds on the nanoparticle surface further enhances the generation of ROS by facilitating charge separation and reducing electron–hole recombination rates. This mechanism has been extensively reported in previous studies, where CuO NPs synthesized via green methods demonstrated superior photocatalytic efficiency [12,36].
The schematic representation of the photocatalytic degradation mechanism for landfill leachate using biogenic CuO NPs is depicted in Scheme 1. The ability to generate ROS efficiently, combined with the minimal environmental impact of the synthesis method, underscores the potential of CuO NPs for large-scale wastewater treatment applications.
Scheme 1.
Schematic diagram of the landfill leachate photocatalytic degradation mechanism using durian husk-mediated synthesized CuO NPs.
The removal of ammoniacal nitrogen (NH4+-N) from landfill leachate using CuO nanoparticles (CuO NPs) primarily involves photocatalytic oxidation. The mechanism can be explained in the following two steps: generation of reactive oxygen species (ROS) and conversion of ammoniacal nitrogen.
Under light irradiation, CuO NPs absorb photons, exciting electrons (e−) from the valence band (VB) to the conduction band (CB), leaving behind holes (h+) in the VB:
These charge carriers react with water and oxygen to produce highly reactive species such as hydroxyl radicals (•OH) and superoxide radicals (O2•−).
The generated radicals (especially •OH) are strong oxidizing agents that convert ammoniacal nitrogen (NH4+/NH3) into nitrogen gas (N2) and other intermediates. The stepwise oxidation pathway is shown as follows:
Studies have shown that CuO NPs can effectively generate ROS under light irradiation, which are responsible for the degradation of organic and inorganic pollutants, including ammonia. The oxidation of NH3 to N2 or NO3− has been documented in photocatalytic systems using metal oxide nanoparticles, including CuO.
3.4. Environmental and Industrial Implications
The use of durian husk, an abundant agricultural waste product, as a raw material for nanoparticle synthesis exemplifies a sustainable approach to addressing environmental challenges. This methodology aligns with circular economy principles, transforming waste into a valuable resource for environmental remediation. The green synthesis process eliminates the need for hazardous chemicals and reduces energy consumption, offering a cost-effective and environmentally benign alternative to conventional nanoparticle synthesis methods.
The scalability of this synthesis method, combined with the superior photocatalytic properties of the resulting CuO NPs, makes it a promising candidate for industrial applications [43,47,48]. For example, the high efficiency observed in degrading organic and nitrogenous pollutants in landfill leachate can be extended to other types of wastewaters, such as industrial effluents and agricultural runoff. Furthermore, the minimal environmental footprint of the synthesis process enhances its appeal for large-scale adoption.
4. Materials and Methods
4.1. Materials
Durian husks were sourced from local fruit markets in Malaysia. Copper (II) nitrate trihydrate [Cu(NO3)2·3H2O] was obtained from Sigma-Aldrich (Saint Louis, MO, USA). Municipal solid waste (MSW) landfill leachate was collected from a landfill site in Malaysia and stored at 4 °C until further use. For chemical oxygen demand (COD) analysis, low-range COD (LR-COD, 3–150 mg/L) vials were purchased from HACH, a manufacturer based in Bangkok, Thailand. Meanwhile, Nessler’s reagent, mineral stabilizer, and polyvinyl alcohol dispersion agent for ammonia nitrogen (AN) analysis were sourced from HACH in Loveland, CO, USA. All glassware and reagents were thoroughly rinsed with deionized water to ensure cleanliness.
4.2. Preparation of Durian Husk Extract (DHE)
The collected durian husks were thoroughly cleaned with deionized water to eliminate dust and impurities. Approximately 100 g of chopped durian husk pieces was placed in a beaker containing 150 mL of deionized water and heated to 80 °C for 30 min. After cooling to room temperature, the mixture was filtered through Whatman No. 1 filter paper, yielding durian husk extract (DHE) with a concentration of 0.67 g/mL. The extract was then stored at 4 °C and utilized for nanoparticle synthesis within 24 h [12].
4.3. Green Synthesis of CuO Nanoparticles
For the green synthesis of CuO nanoparticles (CuO NPs), 40 mL of freshly prepared durian husk extract (DHE) was heated to 70 °C with constant stirring [19]. Subsequently, 1 g of Cu(NO3)2·3H2O was gradually added to the extract, leading to a noticeable color change from light green to deep green, indicating the formation of CuO NPs. The mixture was stirred continuously and heated at 70 °C for 2 h until a green paste was formed. This paste was then dried overnight in an oven set at 60 °C. The following day, the dried paste was transferred to a crucible and calcined in a muffle furnace at 450 °C for 2 h. This process resulted in the formation of black CuO NPs, which were stored in a desiccator for subsequent characterization and application [12,19].
4.4. Characterization of CuO Nanoparticles
The absorption spectra of the CuO nanoparticles (CuO NPs) were measured using a Thermo Scientific GENESYS 10S UV-Vis spectrophotometer (Waltham, MA, USA). Tauc’s plot method was employed to calculate the energy bandgap (Eg) of the nanoparticles. Fourier transform infrared (FTIR) spectroscopy was performed using a Perkin Elmer (Waltham, MA, USA) RX1 spectrophotometer at room temperature, covering the range of 4000–400 cm−1 with a resolution of 4 cm−1, utilizing KBr pellets. The X-ray powder diffraction (XRD) patterns of the CuO NPs were obtained using a Shimadzu XRD 6000 diffractometer (Kyoto, Japan) operating in continuous scanning mode at 40 kV/30 mA and a scanning rate of 0.02 min−1 with Cu Kα radiation (λ = 1.5406 Å) across a 2θ range of 10–80° [12,19]. The morphology and elemental composition of the CuO NPs were analyzed using a field emission scanning electron microscope (FE-SEM, JEOL JSM-6710F, Kyoto, Japan) equipped with an energy dispersive X-ray (EDX) analyzer (X-max, 150 Oxford Instruments, Abingdon, UK) and high-resolution transmission electron microscopy (HR-TEM, JEOL JEM-3010, Peabody, MA, USA).
4.5. Photocatalytic Treatment of Landfill Leachate
The photocatalytic performance of green-synthesized nanomaterials was determined by the COD removal efficiency in the leachate treatment, with slight modification, based on the study by Phang et al. [12] and Kamala et al. [49]. The photocatalytic performance of the CuO nanoparticles (CuO NPs) was assessed using landfill leachate as the target pollutant. A 200 mL sample of landfill leachate was combined with 150 mg of CuO NPs and stirred in the dark for 30 min to achieve adsorption–desorption equilibrium. Following this, the mixture was subjected to UV irradiation (18 W) for 3 h with continuous stirring. Samples were taken at 30 min intervals and analyzed for chemical oxygen demand (COD), biochemical oxygen demand (BOD), and ammoniacal nitrogen (AN) using standard procedures.
For COD analysis, 2 mL of both untreated and treated landfill leachate samples was collected and introduced into LR-COD vials then digested at 150 °C for 2 h using a HACH DRB 200 COD digital reactor (HACH Company, Berlin, Germany). COD values were measured with a DR3900 digital reactor (HACH Company, Germany) operating under program 430.
Ammoniacal nitrogen analysis was performed using Nessler’s method. Three drops of mineral stabilizer and polyvinyl alcohol dispersion agent were added to 25 mL of both untreated and treated landfill leachate samples. Subsequently, 1 mL of Nessler’s reagent was mixed in and left to react for one minute. A 10 mL aliquot of the resulting yellowish solution was analyzed for AN using a DR3900 digital reactor (HACH Company, Germany) under program 380.
The pollutant removal efficiency was calculated as a percentage reduction from the initial concentration based on the following equation:
where,
- i = initial value of parameter in mg/L;
- f = value of parameter after photo-degradation in mg/L.
4.6. Statistical Analyses
The removal efficiency of COD (expressed as a percentage) achieved by the synthesized CuO NPs was reported as the mean ± standard deviation (SD). Statistical analyses, including a two-way analysis of variance (ANOVA) followed by Tukey’s post hoc test, were performed to compare the COD removal efficiencies in the presence and absence of biogenic CuO NPs. All statistical calculations were conducted using Microsoft Excel 2013, with the significance level set at p < 0.05.
5. Conclusions
This study introduces a novel and sustainable method for synthesizing copper oxide nanoparticles (CuO NPs) using durian husk extract as a natural reducing agent, advancing green nanotechnology and environmental remediation. The biogenic CuO NPs, which exhibit uniform morphology, high crystallinity, and chemical purity, demonstrated remarkable photocatalytic performance in treating municipal solid waste (MSW) landfill leachate. Under UV light, these CuO NPs significantly degraded pollutants, resulting in a 79% decrease in chemical oxygen demand (COD), an 85% decrease in biochemical oxygen demand (BOD), and an 85% decrease in ammoniacal nitrogen levels.
This research highlights both the potential of converting agricultural waste into valuable nanomaterials and the effectiveness of CuO NPs in treating complex environmental contaminants in landfill leachate. The successful application of waste-derived nanomaterials in wastewater treatment paves the way for sustainable resource recovery and pollution reduction. Future studies should examine the scalability and cost-effectiveness of this green synthesis approach and assess its applicability to various wastewater systems, with an emphasis on optimizing light source conditions and enhancing catalyst reusability. This work lays the groundwork for utilizing green nanotechnology in large-scale environmental applications, supporting global sustainability goals and advancing eco-friendly remediation technologies.
Author Contributions
Conceptualization, M.A. and L.-H.T.; methodology, M.A. and L.-H.T.; formal analysis, Y.-P.L. and Y.-B.C.; resources, L.-H.T., S.-Y.L., L.-S.W. and M.A.; writing—original draft preparation, Y.-P.L., L.-H.T. and M.A.; writing—review and editing, M.A., L.-H.T., Y.-B.C., L.-S.W., S.-Y.L., M.S., S.D. and K.T.; supervision, M.A. and L.-H.T.; project administration, M.A. and L.-H.T.; funding acquisition, M.A., L.-H.T. and L.-S.W. All authors have read and agreed to the published version of the manuscript.
Funding
This research was funded by Universiti Tunku Abdul Rahman (UTAR), grant number UTARRF (IPSR/RMC/UTARRF/2018-C2/T03).
Data Availability Statement
The data presented in this study are available upon request from the corresponding author.
Acknowledgments
The authors would like to express their appreciation to Universiti Tunku Abdul Rahman (UTAR) for providing financial support and research facilities to carry out the research work. Moreover, the authors would also like to thank Universiti Malaya (UM) for providing HR-TEM service and analysis.
Conflicts of Interest
The authors declare no conflicts of interest.
References
- Kamaruddin, M.A.; Yusoff, M.S.; Rui, L.M.; Isa, A.M.; Zawawi, M.H.; Alrozi, R. An Overview of Municipal Solid Waste Management and Landfill Leachate Treatment: Malaysia and Asian Perspectives. Environ. Sci. Pollut. Res. 2017, 24, 26988–27020. [Google Scholar] [CrossRef]
- Teng, C.; Zhou, K.; Peng, C.; Chen, W. Characterization and treatment of landfill leachate: A review. Water Res. 2023, 203, 117525. [Google Scholar] [CrossRef]
- Sasidharan, S.; Tey, L.H.; Djearamane, S.; Ab Rashid, N.K.M.; Raajeswari, P.A.; Wong, L.S.; Dhanapal, A.C.T.A. Development of Novel Biofilm Using Musa acuminata (Waste Banana Leaves) Mediated Biogenic Zinc Oxide Nanoparticles Reinforced with Chitosan Blend. J. King Saud Univ. Sci. 2024, 36, 103080. [Google Scholar] [CrossRef]
- Lindamulla, L.; Nanayakkara, N.; Othman, M.; Jinadasa, S.; Herath, G.; Jegatheesan, V. Municipal Solid Waste Landfill Leachate Characteristics and Their Treatment Options in Tropical Countries. Curr. Pollut. Rep. 2022, 8, 273–287. [Google Scholar] [CrossRef]
- Jamrah, A.; AL-Zghoul, T.M.; Al-Qodah, Z. An Extensive Analysis of Combined Processes for Landfill Leachate Treatment. Water 2024, 16, 1640. [Google Scholar] [CrossRef]
- Chan, Y.B.; Aminuzzaman, M.; Tey, L.-H.; Win, Y.F.; Watanabe, A.; Djearamame, S.; Akhtaruzzaman, M. Impact of Diverse Parameters on the Physicochemical Characteristics of Green-Synthesized Zinc Oxide–Copper Oxide Nanocomposites Derived from an Aqueous Extract of Garcinia mangostana L. Leaf. Materials 2023, 16, 5421. [Google Scholar] [CrossRef] [PubMed]
- Chan, Y.B.; Aminuzzaman, M.; Rahman, M.K.; Win, Y.F.; Sultana, S.; Cheah, S.Y.; Watanabe, A.; Wong, L.S.; Guha, S.K.; Djearamane, S.; et al. Green synthesis of ZnO nanoparticles using the mangosteen (Garcinia mangostana L.) leaf extract: Comparative preliminary in vitro antibacterial study. Green Process. Synth. 2024, 13, 20230251. [Google Scholar] [CrossRef]
- Chan, Y.B.; Aminuzzaman, M.; Win, Y.F.; Djearamane, S.; Wong, L.S.; Guha, S.K.; Almohammadi, H.; Akhtaruzzaman, M.; Tey, L.-H. Garcinia mangostana L. Leaf-Extract-Assisted Green Synthesis of CuO, ZnO and CuO-ZnO Nanomaterials for the Photocatalytic Degradation of Palm Oil Mill Effluent (POME). Catalysts 2024, 14, 486. [Google Scholar] [CrossRef]
- Selvanathan, V.; Aminuzzaman, M.; Tan, L.X.; Win, Y.F.; Cheah, E.S.G.; Heng, M.H.; Tey, L.H.; Arullappan, S.; Algethami, N.; Alharthi, S.S.; et al. Synthesis, characterization, and preliminary in vitro antibacterial evaluation of ZnO nanoparticles derived from soursop (Annona muricata L.) leaf extract as a green reducing agent. J. Mater. Res. Technol. 2022, 20, 2931–2941. [Google Scholar] [CrossRef]
- Zango, Z.U.; Khoo, K.S.; Garba, A.; Garba, Z.N.; Danmallam, U.N.; Aldaghri, O.; Ibnaouf, K.H.; Ahmad, N.M.; Binzowaimil, A.M.; Lim, J.W.; et al. A review on titanium oxide nanoparticles modified metal-organic frameworks for effective CO2 conversion and efficient wastewater remediation. Environ. Res. 2024, 252, 119024. [Google Scholar] [CrossRef]
- Derakhshani, E.; Asri, M.; Naghizadeh, A. Plant-Based Green Synthesis of Copper Oxide Nanoparticles Using Berberis vulgaris Leaf Extract: An Update on Their Applications in Antibacterial Activity. BioNanoScience 2023, 13, 212–218. [Google Scholar] [CrossRef]
- Phang, Y.K.; Aminuzzaman, M.; Akhtaruzzaman, M.; Muhammad, G.; Ogawa, S.; Watanabe, A.; Tey, L.H. Green Synthesis and Characterization of CuO Nanoparticles Derived from Papaya Peel Extract for the Photocatalytic Degradation of Palm Oil Mill Effluent (POME). Sustainability 2021, 13, 796. [Google Scholar] [CrossRef]
- Jadoun, S.; Arif, R.; Jangid, N.K.; Meena, R.K. Green Synthesis of Nanoparticles Using Plant Extracts: A Review. Environ. Chem. Lett. 2021, 19, 355–374. [Google Scholar] [CrossRef]
- Samuel, M.S.; Ravikumar, M.; John, J.A.; Selvarajan, E.; Patel, H.; Chander, P.S.; Soundarya, J.; Vuppala, S.; Balaji, R.; Chandrasekar, N. A review on green synthesis of nanoparticles and their diverse biomedical and environmental applications. Catalysts 2022, 12, 459. [Google Scholar] [CrossRef]
- Ali, M.M.; Hashim, N.; Abd Aziz, S.; Lasekan, O. Exploring the chemical composition, emerging applications, potential uses, and health benefits of durian: A review. Food Control 2020, 113, 107189. [Google Scholar]
- Ali, N.A.W.A.; Wong, G.R.; Tan, B.C.; Lum, W.S.; Mazumdar, P. Unleashing the Potential of Durian: Challenges, Opportunities, and the Way Forward. Appl. Fruit Sci. 2025, 67, 1–15. [Google Scholar] [CrossRef]
- Gamay, R.A.J.; Botecario, P.M.N.; Sanchez, P.D.C.; Alvarado, M.C. Durian (Durio zibenthinus) waste: A promising resource for food and diverse applications—A comprehensive review. Food Prod. Process. Nutr. 2024, 6, 27. [Google Scholar] [CrossRef]
- Zhivkova, V. Durian waste valorization–some research tendencies: A review. IOP Conf. Ser. Earth Environ. Sci. 2024, 1420, 12032. [Google Scholar] [CrossRef]
- Masudi, A.; Jusoh, N.W.C.; Bakri, Z.; Jalil, A.A.; Ali, R.R.; Jaafar, N.F. Durian Shell Husk Extract Assisted Synthesis of Copper Oxides Nanoparticles for the Photodegradation of Paracetamol. Malays. J. Anal. Sci. 2019, 23, 818–827. [Google Scholar]
- Yadav, A.A.; Hunge, Y.M.; Kang, S.W. Spongy ball-like copper oxide nanostructure modified by reduced graphene oxide for enhanced photocatalytic hydrogen production. Mater. Res. Bull. 2021, 133, 111026. [Google Scholar] [CrossRef]
- Duong, N.L.; Nguyen, V.M.; Tran, T.A.N.; Phan, T.D.T.; Tran, T.B.Y.; Do, B.L.; Phung Anh, N.; Nguyen, T.A.T.; Ho, T.G.T.; Nguyen, T. Durian shell-mediated simple green synthesis of nanocopper against plant pathogenic fungi. ACS Omega 2023, 8, 10968–10979. [Google Scholar] [CrossRef]
- Al-Balushi, F.; Ibrahim, O.; Rajamohan, N. Sustainable Treatment of Landfill Leachate: A Review on Methods. Int. J. Environ. Sci. Technol. 2024, 21, 1–16. [Google Scholar] [CrossRef]
- Kamaruddin, M.A.; Yusoff, M.S.; Aziz, H.A.; Hung, Y.T. Sustainable Treatment of Landfill Leachate. Appl. Water Sci. 2015, 5, 113–126. [Google Scholar] [CrossRef]
- Vaidh, S.; Parekh, D.; Patel, D.; Vishwakarma, G.S. Leachate Treatment Potential of Nanomaterial Based Assemblies: A Systematic Review on Recent Development. Water Sci. Technol. 2022, 11, 3285–3300. [Google Scholar] [CrossRef]
- Eid, A.M.; Fouda, A.; Hassan, S.E.; Hamza, M.F.; Alharbi, N.K.; Elkelish, A.; Alharthi, A.; Salem, W.M. Plant-based copper oxide nanoparticles; biosynthesis, characterization, antibacterial activity, tanning wastewater treatment, and heavy metals sorption. Catalysts 2023, 13, 348. [Google Scholar] [CrossRef]
- Abdelbasir, S.M.; Rayan, D.A.; Ismail, M.M. Synthesis of Cu and CuO nanoparticles from e-waste and evaluation of their antibacterial and photocatalytic properties. Environ. Sci. Pollut. Res. 2023, 38, 89690–89704. [Google Scholar] [CrossRef]
- Sharma, S.; Kumar, K.; Thakur, N.; Chauhan, S.; Chauhan, M.S. Eco-friendly Ocimum tenuiflorum green route synthesis of CuO nanoparticles: Characterizations on photocatalytic and antibacterial activities. J. Environ. Chem. Eng. 2021, 9, 105395. [Google Scholar] [CrossRef]
- Kayalvizhi, S.; Sengottaiyan, A.; Selvankumar, T.; Senthilkumar, B.; Sudhakar, C.; Selvam, K. Eco-friendly cost-effective approach for synthesis of copper oxide nanoparticles for enhanced photocatalytic performance. Optik 2020, 202, 163507. [Google Scholar] [CrossRef]
- Yadav, A.A.; Hunge, Y.M.; Majumder, S.; Mourad, A.H.I.; Islam, M.M.; Sakurai, T.; Kang, S.W. Multiplicative rGO/Cu-BDC MOF for 4-nitrophenol reduction and supercapacitor applications. J. Colloid Interface Sci. 2025, 677, 161–170. [Google Scholar] [CrossRef] [PubMed]
- Shamin-Shazwana, K.; Shaharia, R.; Amria, C.N.; Zinb, N.H. A Review: Potential Of Durio Zibethinus L. (Durian) Waste. Science 2022, 6, 21–26. [Google Scholar] [CrossRef]
- Saif, S.; Tahir, A.; Asim, T.; Chen, Y. Plant mediated green synthesis of CuO nanoparticles: Comparison of toxicity of engineered and plant mediated CuO nanoparticles towards Daphnia Magna. Nanometers 2016, 6, 205. [Google Scholar] [CrossRef] [PubMed]
- Jayakodi, S.; Shanmugam, V.K. Green synthesis of CuO nanoparticles and its application on toxicology evaluation. Biointerface Res. Appl. Chem 2020, 10, 6343–6353. [Google Scholar]
- Awewomom, J.; Dzeble, F.; Takyi, Y.D.; Ashie, W.B.; Ettey, E.N.; Afua, P.E.; Sackey, L.N.; Opoku, F.; Akoto, O. Addressing global environmental pollution using environmental control techniques: A focus on environmental policy and preventive environmental management. Discov. Environ. 2024, 2, 8. [Google Scholar] [CrossRef]
- Siddique, I. Sustainable Water Management in Urban Areas: Integrating Innovative Technologies and Practices to Address Water Scarcity and Pollution. Pharm. Chem. J. 2021, 8, 172–178. [Google Scholar] [CrossRef]
- Bernstein, S. The United Nations and the Governance of Sustainable Development Goals. In Governing Through Goals: Sustainable Development Goals as Governance Innovation; MIT Press: Cambridge, MA, USA, 2017; pp. 213–239. [Google Scholar]
- Rathi, V.H.; Jeice, A.R. Green-fabrication of CuO nanoparticles using various plant extracts and their multifaceted applications in photocatalytic cationic dye degradation and antimicrobial activities. Biomass Convers. Biorefin. 2024, 14, 18551–18562. [Google Scholar] [CrossRef]
- Papitha, R.; Selvaraj, C.I. Synthesis of CuO-based nanomaterials and its biological studies using Parkia timoriana bark. Biomass Convers. Biorefin. 2024, 1–17. [Google Scholar] [CrossRef]
- Saratale, R.G.; Saratale, G.D.; Shin, H.S.; Jacob, J.M.; Pugazhendhi, A.; Bhaisare, M.; Kumar, G. New insights on the green synthesis of metallic nanoparticles using plant and waste biomaterials: Current knowledge, their agricultural and environmental applications. Environ. Sci. Pollut. Res. 2018, 25, 10164–10183. [Google Scholar] [CrossRef]
- Soltys, L.; Olkhovyy, O.; Tatarchuk, T.; Naushad, M. Green synthesis of metal and metal oxide nanoparticles: Principles of green chemistry and raw materials. Magnetochemistry 2021, 7, 145. [Google Scholar] [CrossRef]
- Sagadevan, S.; Pal, K.; Chowdhury, Z.Z. Fabrication of CuO nanoparticles for structural, optical and dielectric analysis using chemical precipitation method. J. Mater. Sci. Mater. Electron. 2017, 28, 12591–12597. [Google Scholar] [CrossRef]
- Felix, S.; Chakkravarthy, R.B.P.; Grace, A.N. Microwave assisted synthesis of copper oxide and its application in electrochemical sensing. IOP Conf. Ser. Mater. Sci. Eng. 2015, 73, 12115. [Google Scholar] [CrossRef]
- Vetrimani, A.; Geetha, K.; Jemima, E.A.; Arulnathan, N.; Kim, H.S.; Kathalingam, A. Effect of the green synthesis of CuO plate-like nanoparticles on their photodegradation and antibacterial activities. Phys. Chem. Chem. Phys. 2022, 24, 28923–28933. [Google Scholar] [CrossRef] [PubMed]
- Murthy, H.A.; Abebe, B.; Prakash, C.H.; Shantaveerayya, K. A review on green synthesis of Cu and CuO nanomaterials for multifunctional applications. Mater. Sci. Res. India 2018, 15, 279–295. [Google Scholar] [CrossRef]
- Reshma Shaik, H.; Venkatesan, K.; Kadeer, M.D.; Somaiah, P.V. Green Synthesis, Characterization, Biological Activities of CuO Nanoparticles and Their Photocatalytic Degradative Mechanistic Study of Methylene Blue Dye Using Mass Spectroscopy. Russ. J. Gen. Chem. 2024, 94, 220–233. [Google Scholar] [CrossRef]
- Mojiri, A.; Zhou, J.L.; Ratnaweera, H.; Ohashi, A.; Ozaki, N.; Kindaichi, T.; Asakura, H. Treatment of landfill leachate with different techniques: An overview. Water Reuse 2021, 11, 66–96. [Google Scholar] [CrossRef]
- Prakruthi, R.; Deepakumari, H.N. CuO nanoparticles: Green combustion synthesis, applications to antioxidant, photocatalytic and sensor studies. RSC Adv. 2024, 14, 28703–28715. [Google Scholar] [CrossRef] [PubMed]
- Saleem, M.H.; Ejaz, U.; Vithanage, M.; Bolan, N.; Siddique, K.H. Synthesis, characterization, and advanced sustainable applications of copper oxide nanoparticles: A review. Clean Technol. Environ. Policy 2024, 13, 1–26. [Google Scholar] [CrossRef]
- Alangari, A.; Aboul-Soud, M.A.; Alqahtani, M.S.; Shahid, M.; Syed, R.; Lakshmipathy, R.; Modigunta, J.K.; Jaiswal, H.; Verma, M. Green synthesis of copper oxide nanoparticles using genus Inula and evaluation of biological therapeutics and environmental applications. Nanotechnol. Rev. 2024, 13, 20240039. [Google Scholar] [CrossRef]
- Kamala, S.S.; Tey, L.H.; Sim, Y.L. Combined chemical, physical and biological treatment using Chlorella vulgaris sp. on landfill leachate. AIP Conf. Proc. 2018, 2026, 2006. [Google Scholar]
Disclaimer/Publisher’s Note: The statements, opinions and data contained in all publications are solely those of the individual author(s) and contributor(s) and not of MDPI and/or the editor(s). MDPI and/or the editor(s) disclaim responsibility for any injury to people or property resulting from any ideas, methods, instructions or products referred to in the content. |
© 2025 by the authors. Licensee MDPI, Basel, Switzerland. This article is an open access article distributed under the terms and conditions of the Creative Commons Attribution (CC BY) license (https://creativecommons.org/licenses/by/4.0/).








