Enhanced Catalytic Reduction of 4-Nitrophenol over Porous Silica Nanospheres Encapsulating Pt-SnxOy Hybrid Nanoparticles
Abstract
1. Introduction
2. Results and Discussion
2.1. Synthesis and Characterization
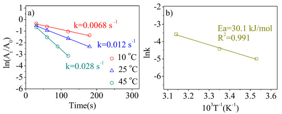
2.2. Catalytic Reduction of 4-NP
3. Materials and Methods
3.1. Materials
3.2. Synthesis of Pt-SnxOy@PSNs, Pt@PSNs, and SnxOy@PSNs
3.3. Catalytic Reduction of 4-NP with NaBH4
3.4. Catalytic Stability of 4-NP Reduction
4. Conclusions
Supplementary Materials
Author Contributions
Funding
Data Availability Statement
Conflicts of Interest
References
- Huang, C.; Ye, W.; Liu, Q.; Qiu, X. Dispersed Cu2O Octahedrons on h-BN Nanosheets for p-Nitrophenol Reduction. ACS Appl. Mater. Interfaces 2014, 6, 14469–14476. [Google Scholar] [CrossRef] [PubMed]
- Wei, F.; Luo, M.; Lan, J.; Xie, F.; Cai, L.; Chan, T.-S.; Peng, M.; Tan, Y. Pd Atomic Engineering of Nanoporous Ni/NiO for Efficient Nitrophenol Hydrogenation Reaction. ACS Appl. Mater. Interfaces 2023, 15, 26746–26754. [Google Scholar] [CrossRef] [PubMed]
- Song, Y.; Jian, M.; Qiao, L.; Zhao, Z.; Yang, Y.; Jiao, T.; Zhang, Q. Efficient Removal and Recovery of Ag from Wastewater Using Charged Polystyrene-Polydopamine Nanocoatings and Their Sustainable Catalytic Application in 4-Nitrophenol Reduction. ACS Appl. Mater. Interfaces 2024, 16, 5834–5846. [Google Scholar] [CrossRef] [PubMed]
- Wu, G.; Liang, X.; Zhang, L.; Tang, Z.; Al-Mamun, M.; Zhao, H.; Su, X. Fabrication of Highly Stable Metal Oxide Hollow Nanospheres and Their Catalytic Activity toward 4-Nitrophenol Reduction. ACS Appl. Mater. Interfaces 2017, 9, 18207–18214. [Google Scholar] [CrossRef]
- Wang, X.; Liu, D.; Song, S.; Zhang, H. Pt@CeO2 Multicore@Shell Self-Assembled Nanospheres: Clean Synthesis, Structure Optimization, and Catalytic Applications. J. Am. Chem. Soc. 2013, 135, 15864–15872. [Google Scholar] [CrossRef]
- Wang, Z.; Zhang, H.; Chen, L.; Miao, S.; Wu, S.; Hao, X.; Zhang, W.; Jia, M. Interfacial Synergy of PtPd Nanoparticles Dispersed on Amine-Modified ZrSBA-15 in Catalytic Dehydrogenation of Ammonia Borane and Reduction of p-Nitrophenol. J. Phys. Chem. C 2018, 122, 12975–12983. [Google Scholar] [CrossRef]
- Strachan, J.; Barnett, C.F.; Masters, A.; Maschmeyer, T. 4-Nitrophenol Reduction: Probing the Putative Mechanism of the Model Reaction. ACS Catal. 2020, 10, 5516–5521. [Google Scholar] [CrossRef]
- Li, M.; Chen, G. Revisiting Catalytic Model Reaction p-nitrophenol/NaBH4 Using Metallic Nanoparticles Coated on Polymeric Spheres. Nanoscale 2013, 5, 11919–11927. [Google Scholar] [CrossRef]
- Yu, H.; Wu, C.; Wang, S.; Li, T.; Yin, H. Transition Metal Oxide-Modified Ir Nanoparticles Supported on SBA-15 Silica for Selective Hydrogenation of Substituted Nitroaromatics. ACS Appl. Nano Mater. 2021, 4, 7213–7220. [Google Scholar] [CrossRef]
- Cui, K.; Zhong, W.; Li, L.; Zhuang, Z.; Li, L.; Bi, J.; Yu, Y. Well-Defined Metal Nanoparticles@Covalent Organic Framework Yolk-Shell Nanocages by ZIF-8 Template as Catalytic Nanoreactors. Small 2019, 15, 1804419. [Google Scholar] [CrossRef]
- Liu, T.; Sun, Y.; Jiang, B.; Guo, W.; Qin, W.; Xie, Y.; Zhao, B.; Zhao, L.; Liang, Z.; Jiang, L. Pd Nanoparticle-Decorated 3D-Printed Hierarchically Porous TiO2 Scaffolds for the Efficient Reduction of a Highly Concentrated 4-Nitrophenol Solution. ACS Appl. Mater. Interfaces 2020, 12, 28100–28109. [Google Scholar] [CrossRef] [PubMed]
- Zhuang, Z.; Yang, Q.; Chen, W. One-Step Rapid and Facile Synthesis of Subnanometer-Sized Pd6 (C12H25S) 11 Clusters with Ultra-High Catalytic Activity for 4-Nitrophenol Reduction. ACS Sustainable Chem. Eng. 2019, 7, 2916–2923. [Google Scholar] [CrossRef]
- Li, W.; Xian, L.; Zhao, Y.; Sun, C. Stepwise Preparation of Uniform-Size Ultrafine Pt Nanoparticles for High-Performance Catalysis of Methanol Oxidation and Nitrophenol Reduction. ACS Appl. Nano Mater. 2023, 6, 19176–19188. [Google Scholar] [CrossRef]
- Chairunnisa, R.; Noorenza Biutty, M.; Yoo, S.; Il Yoo, S. Porous Polydopamine-Coated Polydimethylsiloxane/Pt Composites for Solar-Light-Mediated Catalytic Reactions for Water Treatment. ACS Appl. Polym. Mater. 2024, 6, 12049–12058. [Google Scholar] [CrossRef]
- Qi, B.; Wu, C.; Liu, Y.; Liu, J.; Zhang, H. Self-Assembled Magnetic Pt Nanocomposites for the Catalytic Reduction of Nitrophenol. ACS Appl. Nano Mater. 2019, 2, 4377–4385. [Google Scholar] [CrossRef]
- Neal, R.D.; Hughes, R.A.; Sapkota, P.; Ptasinska, S.; Neretina, S. Effect of Nanoparticle Ligands on 4-Nitrophenol Reduction: Reaction Rate, Induction Time, and Ligand Desorption. ACS Catal. 2020, 10, 10040–10050. [Google Scholar] [CrossRef]
- Gamraoui, H.; Khojastehnezhad, A.; Bélanger-Bouliga, M.; Nazemi, A.; Siaj, M. Covalent Organic Framework-Templated N-Heterocyclic Carbene-Functionalized Gold Nanoparticles for the Catalytic Reduction of Nitrophenol. ACS Appl. Nano Mater. 2024, 7, 22570–22580. [Google Scholar] [CrossRef]
- Hu, R.; Xu, R.; Wang, Z.; Wang, J.; Zhou, S. Enhanced Catalytic Nitrophenol Reduction via Highly Porous Hollow Silica Nanospheres Stabilized Au Nanoclusters. Chem. Eng. J. 2023, 471, 144780. [Google Scholar] [CrossRef]
- Yeh, Y.-J.; Chiang, W.-H. Ag Microplasma-Engineered Nanoassemblies on Cellulose Papers for Surface-Enhanced Raman Scattering and Catalytic Nitrophenol Reduction. ACS Appl. Nano Mater. 2021, 4, 6364–6375. [Google Scholar] [CrossRef]
- Chen, T.; Liu, Z.; Zhang, K.; Su, B.; Hu, Z.; Wan, H.; Chen, Y.; Fu, X.; Gao, Z. Mussel-Inspired Ag NPs Immobilized on Melamine Sponge for Reduction of 4-Nitrophenol, Antibacterial Applications and Its Superhydrophobic Derivative for Oil-Water Separation. ACS Appl. Mater. Interfaces 2021, 13, 50539–50551. [Google Scholar] [CrossRef]
- Zaarour, M.; Cazemier, J.; Navarro de Miguel, J.C.; Almukhtar, F.; Komaty, S.; Ruiz-Martinez, J. Influence of Support Polarity on the Selective Hydrogenation of Nitrostyrene over Pt-based Heterogenous Catalysts. Micropor. Mesopor. Mat. 2024, 379, 113272. [Google Scholar] [CrossRef]
- Li, Z.; He, M.; Wen, Y.; Zhang, X.; Hu, M.; Li, R.; Liu, J.; Chu, J.; Ma, Z.; Xing, X.; et al. Highly Monodisperse Cu-Sn Alloy Nanoplates for Efficient Nitrophenol Reduction Reaction via Promotion Effect of Tin. Inorg. Chem. 2020, 59, 1522–1531. [Google Scholar] [CrossRef] [PubMed]
- Fageria, P.; Uppala, S.; Nazir, R.; Gangopadhyay, S.; Chang, C.-H.; Basu, M.; Pande, S. Synthesis of Monometallic (Au and Pd) and Bimetallic (AuPd) Nanoparticles Using Carbon Nitride (C3N4) Quantum Dots via the Photochemical Route for Nitrophenol Reduction. Langmuir 2016, 32, 10054–10064. [Google Scholar] [CrossRef] [PubMed]
- Wu, X.-Q.; Zhao, J.; Wu, Y.-P.; Dong, W.-W.; Li, D.-S.; Li, J.-R.; Zhang, Q. Ultrafine Pt Nanoparticles and Amorphous Nickel Supported on 3D Mesoporous Carbon Derived from Cu-Metal-Organic Framework for Efficient Methanol Oxidation and Nitrophenol Reduction. ACS Appl. Mater. Interfaces 2018, 10, 12740–12749. [Google Scholar] [CrossRef]
- Feng, D.; Wei, Z.; Wang, Q.; Feng, A.; Zhang, H. Controllable Synthesis of Cobalt-Containing Nanosheet Array-Like Ternary CuCoAl-LDH/rGO Hybrids to Boost the Catalytic Efficiency for 4-Nitrophenol Reduction. ACS Appl. Mater. Interfaces 2022, 14, 24265–24280. [Google Scholar] [CrossRef]
- Liu, D.; Wang, Z.; Ma, Y.; Xu, C.; Zhou, S. Au-CuxOy Nanoparticles Encapsulated in Hollow Porous Silica Nanospheres as Efficient Catalysts for Nitrophenol Reduction. ACS Appl. Nano Mater. 2023, 6, 461–468. [Google Scholar] [CrossRef]
- Ye, H.; Hu, R.; Wang, Z.; Wang, J.; Zhou, S. Confinement Effect of Hollow Nanoreactors Enforcing the Formation of Pd-NixOy Hybrid Nanoparticles Inside for 4-Nitrophenol Catalytic Reduction. Ind. Eng. Chem. Res. 2024, 63, 288–295. [Google Scholar] [CrossRef]
- Long, Y.; Song, S.; Li, J.; Wu, L.; Wang, Q.; Liu, Y.; Jin, R.; Zhang, H. Pt/CeO2@MOF Core@Shell Nanoreactor for Selective Hydrogenation of Furfural via the Channel Screening Effect. ACS Catal. 2018, 8, 8506–8512. [Google Scholar] [CrossRef]
- Li, K.; Duan, C.; Mao, W.; Wang, D.; Liang, Y.; Ye, W.; He, G.; Liu, X. SnOx-Decorated Pt Catalysts for the Reductive N-Methylation of Quinoline with Methanol. ACS Sustain. Chem. Eng. 2024, 12, 7644–7654. [Google Scholar] [CrossRef]
- Wu, P.; He, Z.; Liu, Y.; Song, L.; Wang, C.; Muhumuza, E.; Bai, P.; Zhao, L.; Mintova, S.; Yan, Z. Compatibility between Activity and Selectivity in Catalytic Oxidation of Benzyl Alcohol with Au-Pd Nanoparticles through Redox Switching of SnOx. ACS Appl. Mater. Interfaces 2021, 13, 49780–49792. [Google Scholar] [CrossRef]
- Liu, M.; Tang, W.; Xie, Z.; Yu, H.; Yin, H.; Xu, Y.; Zhao, S.; Zhou, S. Design of Highly Efficient Pt-SnO2 Hydrogenation Nanocatalysts Using Pt@Sn Core-Shell Nanoparticles. ACS Catal. 2017, 7, 1583–1591. [Google Scholar] [CrossRef]
- Tang, J.; Liu, P.; Liu, X.; Chen, L.; Wen, H.; Zhou, Y.; Wang, J. In Situ Encapsulation of Pt Nanoparticles within Pure Silica TON Zeolites for Space-Confined Selective Hydrogenation. ACS Appl. Mater. Interfaces 2020, 12, 11522–11532. [Google Scholar] [CrossRef] [PubMed]
- Zhao, H.; Yao, S.; Zhang, M.; Huang, F.; Fan, Q.; Zhang, S.; Liu, H.; Ma, D.; Gao, C. Ultra-Small Platinum Nanoparticles Encapsulated in Sub-50 nm Hollow Titania Nanospheres for Low-Temperature Water-Gas Shift Reaction. ACS Appl. Mater. Interfaces 2018, 10, 36954–36960. [Google Scholar] [CrossRef] [PubMed]
- Wang, Y.; Wang, Z.; Xu, C.; Zhou, S. Synthesis of Alumina Supported Pt-SnO2 Hybrid Nanostructures by In Situ Transformation of PtSn Alloy Nanoparticles and Their Application as Highly Efficient Catalysts for Selective Hydrogenation of Furfural. J. Phys. Chem. C 2023, 127, 4033–4041. [Google Scholar] [CrossRef]
- Wang, Z.; Hu, R.; Wang, L.; Zhou, S. Enhanced Selective Hydrogenation of Cinnamaldehyde to Cinnamyl Alcohol over Silica-Coated Pt-CoxOy Hybrid Nanoparticles. ACS Appl. Mater. Interfaces 2024, 16, 924–932. [Google Scholar] [CrossRef]
- Huang, M.; Zhang, J.; Wu, C.; Guan, L. Pt Nanoparticles Densely Coated on SnO2-Covered Multiwalled Carbon Nanotubes with Excellent Electrocatalytic Activity and Stability for Methanol Oxidation. ACS Appl. Mater. Interfaces 2017, 9, 26921–26927. [Google Scholar] [CrossRef]
- Li, W.; Li, Z.; Yang, F.; Fang, X.; Tang, B. Synthesis and Electrochemical Performance of SnOx Quantum Dots@ UiO-66 Hybrid for Lithium Ion Battery Applications. ACS Appl. Mater. Interfaces 2017, 9, 35030–35039. [Google Scholar] [CrossRef]
- Yan, P.; Ma, L.; Wang, S.; Fang, L.; Meng, X.; Kong, X.; Zhou, S. SnO2 Modified Intermetallic PdSn for Selective Hydrogenation of Phenol to Cyclohexanone with Hydrogen Donor. Chem. Eng. J. 2024, 479, 147794. [Google Scholar] [CrossRef]
- Ye, B.; Xu, L.; Wu, W.; Ye, Y.; Yang, Z.; Qiu, Y.; Gong, Z.; Zhou, Y.; Huang, Q.; Shen, Z.; et al. Construction of Hierarchical SnO2@NC@MoS2/C Nanotubes for Ultrastable Lithium- and Sodium-Ion Batteries. ACS Sustainable Chem. Eng. 2022, 10, 3166–3179. [Google Scholar] [CrossRef]
- Yan, Y.; An, Q.; Xiao, Z.; Zheng, W.; Zhai, S. Flexible Core-Shell/Bead-Like Alginate@PEI with Exceptional Adsorption Capacity, Recycling Performance toward Batch and Column Sorption of Cr (VI). Chem. Eng. J. 2017, 313, 475–486. [Google Scholar] [CrossRef]
- Do, Q.C.; Kim, D.-G.; Ko, S.-O. Nonsacrificial Template Synthesis of Magnetic-Based Yolk-Shell Nanostructures for the Removal of Acetaminophen in Fenton-like Systems. ACS Appl. Mater. Interfaces 2017, 9, 28508–28518. [Google Scholar] [CrossRef] [PubMed]
- Chen, H.; Hu, T.; Zhang, X.; Huo, K.; Chu, P.K.; He, J. One-Step Synthesis of Monodisperse and Hierarchically Mesostructured Silica Particles with a Thin Shell. Langmuir 2010, 26, 13556–13563. [Google Scholar] [CrossRef] [PubMed]
- Yu, B.; Han, B.; Jiang, X.; Zhou, C.; Xia, K.; Gao, Q.; Wu, J. Toward High Activity and Durability: An Oxygen-Rich Boron NitrideSupported Au Nanoparticles for 4-Nitrophenol Hydrogenation. J. Phys. Chem. C 2019, 123, 10389–10397. [Google Scholar] [CrossRef]
- Liu, Y.; Dong, H.; Huang, H.; Zong, W.; Miao, Y.-E.; He, G.; Parkin, I.P.; Lai, F.; Liu, T. Electron-Deficient Au Nanoparticles Confined in Organic Molecular Cages for Catalytic Reduction of 4-Nitrophenol. ACS Appl. Nano Mater. 2022, 5, 1276–1283. [Google Scholar] [CrossRef]
- Ye, J.; Li, C.; Yao, X.; Jin, M.; Wan, D. Customizing a Hyperbranched Ligand Confers Supported Platinum Nanoclusters with Unexpected Catalytic Activity toward the Reduction of 4-Nitrophenol. Langmuir 2023, 39, 18093–18100. [Google Scholar] [CrossRef]
- Zhang, H.-J.; Qi, S.-D.; Niu, X.-Y.; Hu, J.; Ren, C.-L.; Chen, H.-L.; Chen, X.-G. Metallic Nanoparticles Immobilized in Magnetic Metal-Organic Frameworks: Preparation and Application as Highly Active, Magnetically Isolable and Reusable Catalysts. Catal. Sci. Technol. 2014, 4, 3013–3024. [Google Scholar] [CrossRef]
- Dai, Y.; Chai, Y.; Sun, Y.; Fu, W.; Wang, X.; Qing Gu, Q.; Ying, T.; Zeng, H.; Sun, Y. New Versatile Pt Supports Composed of Graphene Sheets Decorated by Fe2O3 Nanorods and N-dopants with High Activity based on Improved Metal/Support Interactions. J. Mater. Chem. A 2015, 3, 125–130. [Google Scholar] [CrossRef]
- Wang, Q.; Wei, Z.; Li, J.; Feng, D.; Feng, A.; Zhang, H. Hierarchical-Structured Pd Nanoclusters Catalysts x-PdNCs/CoAl(O)/rGO-T by the Captopril-Capped Pd Cluster Precursor Method for the Highly Efficient 4-Nitrophenol Reduction. ACS Appl. Mater. Interfaces 2022, 14, 27775–27790. [Google Scholar] [CrossRef]
- Ye, W.; Yu, J.; Zhou, Y.; Gao, D.; Wang, D.; Wang, C.; Xue, D. Green synthesis of Pt-Au Dendrimer-Like Nanoparticles Supported on Polydopamine-Functionalized Graphene and Their High Performance toward 4-Nitrophenol Reduction. Appl. Catal. B Environ. 2016, 181, 371. [Google Scholar] [CrossRef]
- Long, Y.; Li, J.; Wu, L.; Li, J.; Wang, X.; Yao, S.; Song, S.; Zhang, H. One-Pot Synthesis of Cobalt-Doped Pt-Au Alloy Nanoparticles Supported on Ultrathin α-Co(OH)2 Nanosheets and Their Enhanced Performance in the Reduction of p-Nitrophenol. Eru. J. Inorg. Chem. 2017, 2017, 146–152. [Google Scholar] [CrossRef]










| Calcination Temperature (°C) | SBET (cm2/g) a | Pore Volume (cm3/g) b |
|---|---|---|
| 200 | 76 | 0.3 |
| 300 | 657 | 0.9 |
| 400 | 708 | 0.9 |
| 500 | 674 | 1.0 |
Disclaimer/Publisher’s Note: The statements, opinions and data contained in all publications are solely those of the individual author(s) and contributor(s) and not of MDPI and/or the editor(s). MDPI and/or the editor(s) disclaim responsibility for any injury to people or property resulting from any ideas, methods, instructions or products referred to in the content. |
© 2025 by the authors. Licensee MDPI, Basel, Switzerland. This article is an open access article distributed under the terms and conditions of the Creative Commons Attribution (CC BY) license (https://creativecommons.org/licenses/by/4.0/).
Share and Cite
Li, K.; Wang, Q.; Zhao, Q.; Yu, H.; Yin, H. Enhanced Catalytic Reduction of 4-Nitrophenol over Porous Silica Nanospheres Encapsulating Pt-SnxOy Hybrid Nanoparticles. Catalysts 2025, 15, 263. https://doi.org/10.3390/catal15030263
Li K, Wang Q, Zhao Q, Yu H, Yin H. Enhanced Catalytic Reduction of 4-Nitrophenol over Porous Silica Nanospheres Encapsulating Pt-SnxOy Hybrid Nanoparticles. Catalysts. 2025; 15(3):263. https://doi.org/10.3390/catal15030263
Chicago/Turabian StyleLi, Kaijie, Qin Wang, Qifan Zhao, Hongbo Yu, and Hongfeng Yin. 2025. "Enhanced Catalytic Reduction of 4-Nitrophenol over Porous Silica Nanospheres Encapsulating Pt-SnxOy Hybrid Nanoparticles" Catalysts 15, no. 3: 263. https://doi.org/10.3390/catal15030263
APA StyleLi, K., Wang, Q., Zhao, Q., Yu, H., & Yin, H. (2025). Enhanced Catalytic Reduction of 4-Nitrophenol over Porous Silica Nanospheres Encapsulating Pt-SnxOy Hybrid Nanoparticles. Catalysts, 15(3), 263. https://doi.org/10.3390/catal15030263
