Efficient Hydrogen Production by Aqueous Phase Reforming of Ethylene Glycol over Ni-W Catalysts with Enhanced C-C Bond Cleavage Activity
Abstract
1. Introduction
2. Catalytic Tests
3. Results and Discussion
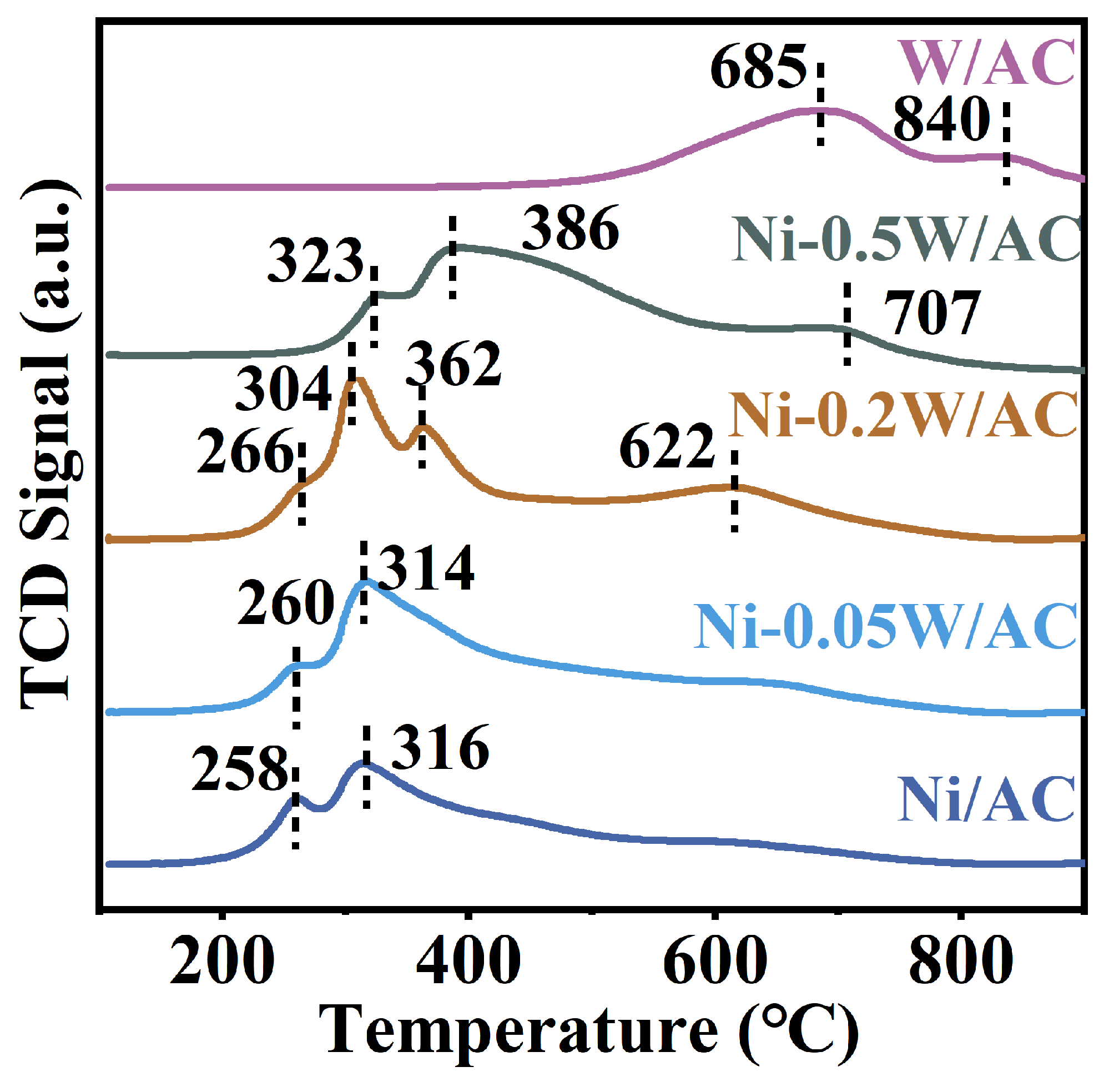
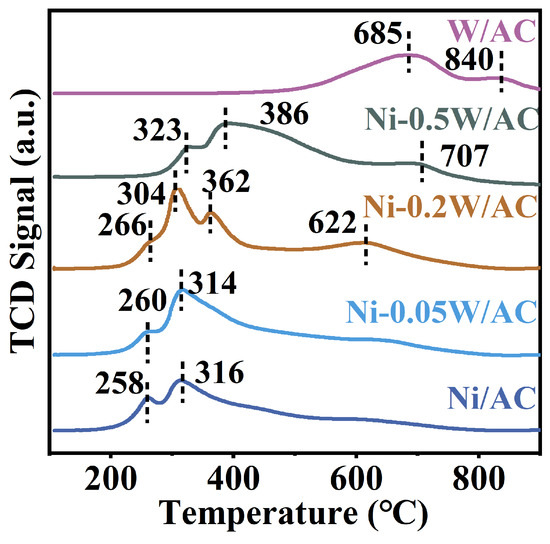
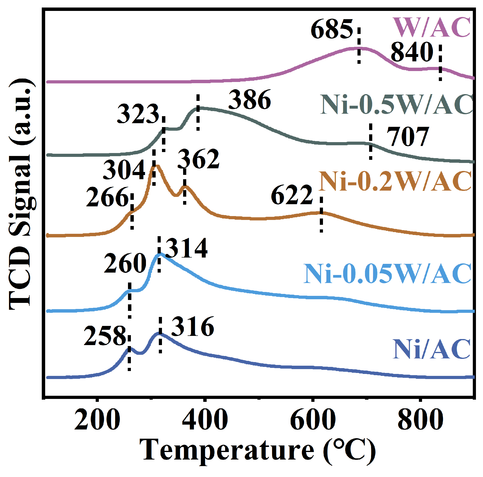
3.1. Catalyst Characterizations
3.2. Catalytic APR Performances of Ethylene Glycol
3.3. Potential Reaction Mechanism

3.4. Catalyst Stability
4. Materials and Methods
4.1. Chemicals and Materials
4.2. Synthesis of Catalysts
4.3. Characterization
5. Conclusions
Author Contributions
Funding
Data Availability Statement
Acknowledgments
Conflicts of Interest
References
- Xiong, K.; Yu, W.; Vlachos, D.G.; Chen, J.G. Reaction pathways of biomass-derived oxygenates over metals and carbides: From model surfaces to supported catalysts. ChemCatChem 2015, 7, 1402–1421. [Google Scholar] [CrossRef]
- Shabaker, J.W.; Dumesic, J.A. Kinetics of Aqueous-Phase Reforming of Oxygenated Hydrocarbons: Pt/Al2O3 and Sn-Modified Ni Catalysts. Ind. Eng. Chem. Res. 2004, 43, 3105–3112. [Google Scholar] [CrossRef]
- Coronado, I.; Stekrova, M.; Reinikainen, M.; Simell, P.; Lefferts, L.; Lehtonen, J. A review of catalytic aqueous-phase reforming of oxygenated hydrocarbons derived from biorefinery water fractions. Int. J. Hydrogen Energy 2016, 41, 11003–11032. [Google Scholar] [CrossRef]
- Lin, L.; Yan, R.; Liu, Y.; Jiang, W. In-depth investigation of enzymatic hydrolysis of biomass wastes based on three major components: Cellulose, hemicellulose and lignin. Bioresour. Technol. 2010, 101, 8217–8223. [Google Scholar] [CrossRef] [PubMed]
- Sikarwar, V.S.; Zhao, M.; Clough, P.; Yao, J.; Zhong, X.; Memon, M.Z.; Shah, N.; Anthony, E.J.; Fennell, P.S. An overview of advances in biomass gasification. Energy Environ. Sci. 2016, 9, 2939–2977. [Google Scholar] [CrossRef]
- Guan, G.; Kaewpanha, M.; Hao, X.; Abudula, A. Catalytic steam reforming of biomass tar: Prospects and challenges. Renew. Sustain. Energy Rev. 2016, 58, 450–461. [Google Scholar] [CrossRef]
- Wang, C.; Liao, M.; Bu, E.; Jiang, Z.; Chen, Y.; Cheng, Z.; Luo, X.; Liang, B.; Shu, R.; Song, Q. Effective hydrogen production from partial oxidation of propane over composite Ni/Al2O3–SiC catalyst. Int. J. Hydrogen Energy 2019, 44, 680–693. [Google Scholar] [CrossRef]
- Li, D.; Li, X.; Gong, J. Catalytic Reforming of Oxygenates: State of the Art and Future Prospects. Chem. Rev. 2016, 116, 11529–11653. [Google Scholar] [CrossRef]
- Pipitone, G.; Pirone, R.; Bensaid, S. Aqueous Phase Reforming of Dairy Wastewater for Hydrogen Production: An Experimental and Energetic Assessment. Sustainability 2024, 16, 1743. [Google Scholar] [CrossRef]
- Ruiz-Garcia, C.; Baeza, J.A.; Oliveira, A.S.; Roldán, S.; Calvo, L.; Gilarranz, M.A. Exploration of operating conditions in the direct aqueous-phase reforming of plastics. Fuel 2024, 374, 132446. [Google Scholar] [CrossRef]
- Rosmini, C.; Urrea, M.P.; Tusini, E.; Indris, S.; Kovacheva, D.; Karashanova, D.; Kolev, H.; Zimina, A.; Grunwaldt, J.D.; Rønning, M.; et al. Unveiling the synergistic effects of pH and Sn content for tuning the catalytic performance of Ni0/NixSny intermetallic compounds dispersed on Ce-Zr mixed oxides in the aqueous phase reforming of ethylene glycol. Appl. Catal. B 2024, 350, 123904. [Google Scholar] [CrossRef]
- Cortright, R.D.; Davda, R.R.; Dumesic, J.A. Hydrogen from catalytic reforming of biomass-derived hydrocarbons in liquid water. Nature 2002, 418, 964–967. [Google Scholar] [CrossRef]
- Zou, Y.Q.; von Wolff, N.; Anaby, A.; Xie, Y.; Milstein, D. Ethylene glycol as an efficient and reversible liquid-organic hydrogen carrier. Nat. Catal. 2019, 2, 415–422. [Google Scholar] [CrossRef]
- Qi, K.; Li, Z.; Zhang, C.; Tan, X.; Wan, C.; Liu, X.; Wang, L.; Lee, D.J. Biodegradation of real industrial wastewater containing ethylene glycol by using aerobic granular sludge in a continuous-flow reactor: Performance and resistance mechanism. Biochem. Eng. J. 2020, 161, 107711. [Google Scholar] [CrossRef]
- Van Haasterecht, T.; Ludding, C.C.I.; De Jong, K.P.; Bitter, J.H. Stability and activity of carbon nanofiber-supported catalysts in the aqueous phase reforming of ethylene glycol. J. Energy Chem. 2013, 22, 257–269. [Google Scholar] [CrossRef]
- Kandoi, S.; Greeley, J.; Simonetti, D.; Shabaker, J.; Dumesic, J.A.; Mavrikakis, M. Reaction kinetics of ethylene glycol reforming over platinum in the vapor versus aqueous phases. J. Phys. Chem. C 2011, 115, 961–971. [Google Scholar] [CrossRef]
- Zhang, W.J.; Tian, Z.P.; Huang, J.H.; Wang, J.Y.; Luo, X.L.; Wang, C.; Shu, R.Y.; Liu, J.P.; Chen, Y. Investigation of the promotion effect of metal oxides on the water-gas shift reaction activity over Pt-MOx/CeO2 catalysts for aqueous phase reforming. J. Fuel Chem. Technol. 2023, 51, 1791–1804. [Google Scholar] [CrossRef]
- Dongil, A.B.; Pastor-Pérez, L.; Escalona, N.; Sepúlveda-Escribano, A. Carbon nanotube-supported Ni-CeO2 catalysts. Effect of the support on the catalytic performance in the low-temperature WGS reaction. Carbon 2016, 101, 296–304. [Google Scholar] [CrossRef]
- Davda, R.R.; Shabaker, J.W.; Huber, G.W.; Cortright, R.D.; Dumesic, J.A. A review of catalytic issues and process conditions for renewable hydrogen and alkanes by aqueous-phase reforming of oxygenated hydrocarbons over supported metal catalysts. Appl. Catal. B 2005, 56, 171–186. [Google Scholar] [CrossRef]
- Pipitone, G.; Zoppi, G.; Pirone, R.; Bensaid, S. A critical review on catalyst design for aqueous phase reforming. Int. J. Hydrogen Energy 2022, 47, 151–180. [Google Scholar] [CrossRef]
- Dal Santo, V.; Gallo, A.; Naldoni, A.; Guidotti, M.; Psaro, R. Bimetallic heterogeneous catalysts for hydrogen production. Catal. Today 2012, 197, 190–205. [Google Scholar] [CrossRef]
- Wu, Q.; Wang, Z.; Zhao, B.; Zhao, R.; Yu, S.; Huang, L. Nickel-tungsten co-doped biochar catalyst boosting ethylene glycol production from cellulose hydrogenolysis. Ind. Crop. Prod. 2024, 207, 117752. [Google Scholar] [CrossRef]
- Chen, H.; Sun, W.; Hu, X.; Wang, Q.; Wu, T.; An, S.; Ding, C.; Chen, C.; Huang, L.; Wang, N. Additive WO2 promotes Ni-based catalyst for hydrogen production from auto-thermal reforming of acetic acid. Fuel 2023, 339, 126914. [Google Scholar] [CrossRef]
- Saquic, B.E.B.; Irmak, S.; Wilkins, M. Enhancement of catalytic performance of graphene supported Pt catalysts by Ni and W for hydrogen gas production by hydrothermal gasification of biomass-derived compounds. Fuel 2022, 308, 122079. [Google Scholar] [CrossRef]
- Qiao, Y.; Xia, G.-J.; Cao, W.; Zeng, K.-H.; Guo, Q.-L.; Yang, X.-F.; Wang, A.-Q.; Wang, Y.-G. Breaking the C-C bond of glucose on tungsten oxide-based catalysts in aqueous phase. J. Catal. 2023, 427, 115114. [Google Scholar] [CrossRef]
- Liu, Y.; Zhang, W.; Hao, C.; Wang, S.; Liu, H. Unveiling the mechanism for selective cleavage of C-C bonds in sugar reactions on tungsten trioxide–based catalysts. Proc. Natl. Acad. Sci. USA 2022, 119, e2206399119. [Google Scholar] [CrossRef]
- Lercher, J.A. Novel mechanism for selective cracking of sugars on WO3 and its significance for biomass utilization. Chin. J. Catal. 2023, 46, 1–3. [Google Scholar] [CrossRef]
- Jain, A.; Ong, S.P.; Hautier, G.; Chen, W.; Richards, W.D.; Dacek, S.; Cholia, S.; Gunter, D.; Skinner, D.; Ceder, G.; et al. Commentary: The materials project: A materials genome approach to accelerating materials innovation. APL Mater. 2013, 1, 011002. [Google Scholar] [CrossRef]
- Chanussot, L.; Das, A.; Goyal, S.; Lavril, T.; Shuaibi, M.; Riviere, M.; Tran, K.; Heras-Domingo, J.; Ho, C.; Hu, W.; et al. The Open Catalyst 2020 (OC20) Dataset and Community Challenges. ACS Catal. 2021, 11, 6059–6072, Erratum in ACS Catal. 2021, 11, 13062–13065. https://doi.org/10.1021/acscatal.1c04408. [Google Scholar] [CrossRef]
- Schubert, J.S.; Popovic, J.; Haselmann, G.M.; Nandan, S.P.; Wang, J.; Giesriegl, A.; Cherevan, A.S.; Eder, D. Immobilization of Co, Mn, Ni and Fe oxide co-catalysts on TiO2 for photocatalytic water splitting reactions. J. Mater. Chem. A 2019, 7, 18568–18579. [Google Scholar] [CrossRef]
- Hon, K.; Couet, S.; Kumar Vudya Sethu, K.; Swerts, J.; Kar, G.S. Effect of nitrogen doping on the structure of metastable β-W on SiO2. Thin Solid Films 2021, 732, 138795. [Google Scholar] [CrossRef]
- Cury, R.; Joubert, J.M.; Tusseau-Nenez, S.; Leroy, E.; Allavena-Valette, A. On the existence and the crystal structure of Ni4W, NiW and NiW2 compounds. Intermetallics 2009, 17, 174–178. [Google Scholar] [CrossRef]
- Ji, N.; Zhang, T.; Zheng, M.; Wang, A.; Wang, H.; Wang, X.; Chen, J.G. Direct catalytic conversion of cellulose into ethylene glycol using nickel-promoted tungsten carbide catalysts. Angew. Chem. Int. Ed. 2008, 47, 8510–8513. [Google Scholar] [CrossRef]
- Sauerwein, J.C.; Dalton, G.R. Standard Reference Data Publications, 1964–1984; NBS Special Publication 708; National Institute of Standards and Technology: Gaithersburg, MD, USA, 1985. [CrossRef]
- Yuan, X.; Cao, Y.; Li, J.; Patel, A.K.; Dong, C.D.; Jin, X.; Gu, C.; Yip, A.C.K.; Tsang, D.C.W.; Ok, Y.S. Recent advancements and challenges in emerging applications of biochar-based catalysts. Biotechnol. Adv. 2023, 67, 108181. [Google Scholar] [CrossRef]
- Du, H.; Zhou, C.; Xie, X.; Li, H.; Qi, W.; Wu, Y.; Liu, T. Pseudocapacitance of nanoporous Ni@NiO nanoparticles on Ni foam substrate: Influence of the annealing temperature. Int. J. Hydrogen Energy 2017, 42, 15236–15245. [Google Scholar] [CrossRef]
- Fu, Q.; Yang, P.; Wang, J.; Wang, H.; Yang, L.; Zhao, X. In situ synthesis of Ni nanofibers via vacuum thermal reduction and their efficient catalytic properties for hydrogen generation. J. Mater. Chem. A 2018, 6, 11370–11376. [Google Scholar] [CrossRef]
- Cheng, C.; Zhang, J.; Zeng, R.; Xing, F.; Huang, C. Schottky barrier tuning via surface plasmon and vacancies for enhanced photocatalytic H2 evolution in seawater. Appl. Catal. B 2022, 310, 121321. [Google Scholar] [CrossRef]
- Yang, F.; Komarneni, M.R.; Libretto, N.J.; Li, L.; Zhou, W.; Miller, J.T.; Ge, Q.; Zhu, X.; Resasco, D.E. Elucidating the Structure of Bimetallic NiW/SiO2 Catalysts and Its Consequences on Selective Deoxygenation of m-Cresol to Toluene. ACS Catal. 2021, 11, 2935–2948. [Google Scholar] [CrossRef]
- Tran, C.C.; Akmach, D.; Kaliaguine, S. Hydrodeoxygenation of vegetable oils over biochar supported bimetallic carbides for producing renewable diesel under mild conditions. Green Chem. 2020, 22, 6424–6436. [Google Scholar] [CrossRef]
- Wu, R.; Cheng, L.H.; Ma, C.Q.; Yuan, Z.T.; Song, J. Enhancing the sensing performance of WO2.72 toward n-butanol via loading CeO2 nanoparticles. J. Mater. Chem. A 2024, 12, 21156–21164. [Google Scholar] [CrossRef]
- Guo, X.; Liu, X.; Shan, J.; Xu, Z.; Fang, Z.; Wang, L.; Liu, S. Strong hetero-interface interaction in 2D/2D WSe2/ZnIn2S4 heterostructures for highly-efficient photocatalytic hydrogen generation. J. Energy Chem. 2024, 97, 379–387. [Google Scholar] [CrossRef]
- Vinay, G.; Singh, N.K.; Khan, S.W.; Kant, R.; Singh, H. XPS insights for optimization of laser-remelting as a post-processing technique for coatings. Surf. Interfaces 2024, 47, 104212. [Google Scholar] [CrossRef]
- Huang, J.; Xie, L.; Luo, X.; Wang, C.; Shu, R.; Song, Q.; Liu, J.; Tian, Z.; Chen, Y. Hydrogen production by aqueous phase reforming over stable La-promoted Ni-based hydrotalcite catalysts. Int. J. Hydrogen Energy 2024, 50, 681–689. [Google Scholar] [CrossRef]
- Martínez, A.; Prieto, G.; Arribas, M.A.; Concepción, P.; Sánchez-Royo, J.F. Influence of the preparative route on the properties of WOx-ZrO2 catalysts: A detailed structural, spectroscopic, and catalytic study. J. Catal. 2007, 248, 288–302. [Google Scholar] [CrossRef]
- Zhou, K.; Du, X.; Zhou, L.; Yang, H.; Lei, X.; Zeng, Y.; Li, D.; Hu, C. The deoxygenation of jatropha oil to high quality fuel via the synergistic catalytic effect of Ni, W2C and WC species. Catalysts 2021, 11, 469. [Google Scholar] [CrossRef]
- He, K.; Liu, S.; Zhao, G.; Qin, Y.; Bi, Y.; Song, L. Ni-W Catalysts Supported on Mesoporous SBA-15: Trace W Steering CO2 Methanation. Chem. Res. Chin. Univ. 2022, 38, 1504–1511. [Google Scholar] [CrossRef]
- Urrea, M.P.; Herold, F.; Chen, D.; Rønning, M. Nitrogen-containing carbon nanofibers as supports for bimetallic Pt-Mn catalysts in aqueous phase reforming of ethylene glycol. Catal. Today 2023, 418, 114066. [Google Scholar] [CrossRef]
- Tian, Z.; Lu, Y.; Zhang, W.; Shu, R.; Luo, X.; Song, Q.; Lei, L.; Wang, C.; Chen, Y.; Ma, L. Investigation on the hydrogen production by methanol aqueous phase reforming over Pt/CexMg1-xO2 catalyst: Synergistic effect of support basicity and oxygen vacancies. Renew. Energy 2024, 230, 120807. [Google Scholar] [CrossRef]
- De Vlieger, D.J.M.; Mojet, B.L.; Lefferts, L.; Seshan, K. Aqueous Phase Reforming of ethylene glycol—Role of intermediates in catalyst performance. J. Catal. 2012, 292, 239–245. [Google Scholar] [CrossRef]
- Pazos Urrea, M.; Meilinger, S.; Herold, F.; Gopakumar, J.; Tusini, E.; De Giacinto, A.; Zimina, A.; Grunwaldt, J.-D.; Chen, D.; Rønning, M. Aqueous Phase Reforming over Platinum Catalysts on Doped Carbon Supports: Exploring Platinum–Heteroatom Interactions. ACS Catal. 2024, 14, 4139–4154. [Google Scholar] [CrossRef]
- Syuhada, A.; Ameen, M.; Azizan, M.T.; Aqsha, A.; Yusoff, M.H.M.; Ramli, A.; Alnarabiji, M.S.; Sher, F. In-situ hydrogenolysis of glycerol using hydrogen produced via aqueous phase reforming of glycerol over sonochemically synthesized nickel-based nano-catalyst. Mol. Catal. 2021, 514, 111860. [Google Scholar] [CrossRef]
- So, J.; Chung, Y.; Sholl, D.S.; Sievers, C. In-situ ATR-IR study of surface reaction during aqueous phase reforming of glycerol, sorbitol and glucose over Pt/γ-Al2O3. Mol. Catal. 2019, 475, 110423. [Google Scholar] [CrossRef]
- Seretis, A.; Tsiakaras, P. Aqueous phase reforming (APR) of glycerol over platinum supported on Al2O3 catalyst. Renewable Energy 2016, 85, 1116–1126. [Google Scholar] [CrossRef]
- Hernández, I.P.; Gochi-Ponce, Y.; Contreras Larios, J.L.; Fernández, A.M. Steam reforming of ethanol over nickel-tungsten catalyst. Int. J. Hydrogen Energy 2010, 35, 12098–12104. [Google Scholar] [CrossRef]
- Han, S.; Shin, K.; Henkelman, G.; Buddie Mullins, C. Selective Oxidation of Acetaldehyde to Acetic Acid on Pd-Au Bimetallic Model Catalysts. ACS Catal. 2019, 9, 4360–4368. [Google Scholar] [CrossRef]
- Kim, H.-D.; Park, H.J.; Kim, T.-W.; Jeong, K.-E.; Chae, H.-J.; Jeong, S.-Y.; Lee, C.-H.; Kim, C.-U. Hydrogen production through the aqueous phase reforming of ethylene glycol over supported Pt-based bimetallic catalysts. Int. J. Hydrogen Energy 2012, 37, 8310–8317. [Google Scholar] [CrossRef]
- Zhang, J.; Xu, N. Hydrogen Production from Ethylene Glycol Aqueous Phase Reforming over Ni–Al Layered Hydrotalcite-Derived Catalysts. Catalysts 2020, 10, 54. [Google Scholar] [CrossRef]
- Wang, P.; Huang, Y.; Shu, R.; Wang, J.; Liu, J.; Wang, C.; Tian, Z.; Chen, Y. Efficient hydrogen production by methanol aqueous phase reforming over KMnO4 modified PtMnK/AC catalyst: Regulating the hydrophilicity of carbon support. Mol. Catal. 2024, 559, 114105. [Google Scholar] [CrossRef]







| Number | Parameter | Formula |
|---|---|---|
| 1 | Carbon conversion | |
| 2 | Selectivity | |
| 3 | Carbon to Gas | |
| 4 | Molar ratio of C1/C2+ | |
| 5 | Hydrogen yield |
| Catalysts | Ni0/∑Nix (%) a | W/Ni Iron Ratio a | H2 Consumption (μmolH2) b | W/Ni Loading Ratio c | Ni Size (nm) d | |
|---|---|---|---|---|---|---|
| Crystallite Size D (mm) | Metal Species | |||||
| Ni/AC | 11.43 | – | 118 | – | 15.39 | Ni |
| Ni-0.05W/AC | 11.73 | 0.07 | 172 | 0.16 | 14.89 | Ni4W |
| Ni-0.2W/AC | 20.88 | 0.16 | 186 | 0.67 | 8.23 | Ni4W |
| Ni-0.5W/AC | 21.51 | 0.62 | 182 | 1.62 | 10.39 | Ni4W |
| 20.83 | W2C | |||||
| W/AC | – | – | 39 | – | 17.42 | W |
| 37.02 | W2C | |||||
| Catalyst | XEG | H2/CO2 | CCgas | C1/C2+ | |
|---|---|---|---|---|---|
| W/AC | 22.21% | 8.95% | 7.87 | 3.18% | 0.31 |
| Ni-0.5W/AC | 30.41% | 15.97% | 2.68 | 20.67% | 7.14 |
| Ni-0.2W/AC | 80.08% | 47.76% | 2.66 | 56.79% | 15.87 |
| Ni-0.05W/AC | 60.82% | 29.43% | 2.03 | 44.76% | 9.69 |
| Ni/AC | 31.21% | 15.41% | 2.60 | 19.24% | 2.31 |
Disclaimer/Publisher’s Note: The statements, opinions and data contained in all publications are solely those of the individual author(s) and contributor(s) and not of MDPI and/or the editor(s). MDPI and/or the editor(s) disclaim responsibility for any injury to people or property resulting from any ideas, methods, instructions or products referred to in the content. |
© 2025 by the authors. Licensee MDPI, Basel, Switzerland. This article is an open access article distributed under the terms and conditions of the Creative Commons Attribution (CC BY) license (https://creativecommons.org/licenses/by/4.0/).
Share and Cite
Xie, L.; Huang, Z.; Zhan, Y.; Huang, J.; Wang, C.; Shu, R.; Wang, J.; Lei, L.; Liu, J.; Tian, Z.; et al. Efficient Hydrogen Production by Aqueous Phase Reforming of Ethylene Glycol over Ni-W Catalysts with Enhanced C-C Bond Cleavage Activity. Catalysts 2025, 15, 258. https://doi.org/10.3390/catal15030258
Xie L, Huang Z, Zhan Y, Huang J, Wang C, Shu R, Wang J, Lei L, Liu J, Tian Z, et al. Efficient Hydrogen Production by Aqueous Phase Reforming of Ethylene Glycol over Ni-W Catalysts with Enhanced C-C Bond Cleavage Activity. Catalysts. 2025; 15(3):258. https://doi.org/10.3390/catal15030258
Chicago/Turabian StyleXie, Ling, Zilong Huang, Yapeng Zhan, Jiahao Huang, Chao Wang, Riyang Shu, Junyao Wang, Libin Lei, Jianping Liu, Zhipeng Tian, and et al. 2025. "Efficient Hydrogen Production by Aqueous Phase Reforming of Ethylene Glycol over Ni-W Catalysts with Enhanced C-C Bond Cleavage Activity" Catalysts 15, no. 3: 258. https://doi.org/10.3390/catal15030258
APA StyleXie, L., Huang, Z., Zhan, Y., Huang, J., Wang, C., Shu, R., Wang, J., Lei, L., Liu, J., Tian, Z., & Chen, Y. (2025). Efficient Hydrogen Production by Aqueous Phase Reforming of Ethylene Glycol over Ni-W Catalysts with Enhanced C-C Bond Cleavage Activity. Catalysts, 15(3), 258. https://doi.org/10.3390/catal15030258

