Next Article in Journal
Synthesis of Novel s-Indacene-1,5-dione and Isoxazole Derivatives via NaNO2-Catalyzed/Involved Transformation of Cyclopentenone-MBH Acetates
Next Article in Special Issue
Strategies and Recent Trends in Engineering Thermostable GH11 Xylanases
Previous Article in Journal
Enhanced Photocatalytic CO2 Reduction via CCH/g-C3N4 Heterojunction: Optimizing Charge Carrier Dynamics and Visible-Light Utilization
Previous Article in Special Issue
Enantioselectivity Enhancement of a Geobacillus thermoleovorans CCR11 Lipase by Rational Design
 
 
Font Type:
Arial Georgia Verdana
Font Size:
Aa Aa Aa
Line Spacing:
Column Width:
Background:
Article

Self-Assembly of Benzyloxycarbonyl Histidine with Zinc Ions for the Construction of Esterase Mimics

1
State Key Laboratory of Synthetic Biology (Tianjin University), School of Chemical Engineering and Technology, Tianjin University, Tianjin 300350, China
2
Department of Biochemical Engineering, School of Chemical Engineering and Technology, Tianjin University, Tianjin 300350, China
3
Frontier Science Center for Synthetic Biology, Tianjin University, Tianjin 300350, China
4
Key Laboratory of Systems Bioengineering (MOE), Tianjin University, Tianjin 300350, China
5
School of Chemistry and Materials Science, Langfang Normal University, Langfang 065000, China
*
Author to whom correspondence should be addressed.
These authors contributed equally to this work.
Catalysts 2025, 15(2), 185; https://doi.org/10.3390/catal15020185
Submission received: 26 December 2024 / Revised: 8 February 2025 / Accepted: 11 February 2025 / Published: 17 February 2025
(This article belongs to the Special Issue New Trends in Industrial Biocatalysis, 2nd Edition)

Abstract

Esterases have been applied in many industrial fields. However, many esterases have inherent defects as natural enzyme, such as low long-term storability, poor operational stability, and difficulty in recovery for reuse. Herein, two histidine derivatives with different structures, L-benzyloxycarbonyl histidine (Z-L-His) and D-benzyloxycarbonyl histidine (Z-D-His), were used to self-assemble with zinc ions to construct esterase mimics (Z-L-His/Zn2+ and Z-D-His/Zn2+) based on a minimalist strategy. Two natural enzymes were used for comparison. It was found that the Z-His structure influenced only the stereoselectivity of the enzyme mimic. The kinetics of Z-L-His/Zn2+ followed the classical Michaelis–Menten equation, and its catalytic efficiency was comparable to that of natural enzymes. It was verified that Z-L-His/Zn2+ had good catalytic stability over a wide range of pH, organic solvent concentrations, ionic strengths, and incubation temperatures. Z-L-His/Zn2+ retained high activity after incubation in different environments for 7 d, demonstrating excellent long-term storage stability. Moreover, Z-L-His/Zn2+ exhibited good reusability, retaining 93% of its original activity after six cycles, proving its potential for industrial applications in mimicking esterase.

1. Introduction

The high-performance nature of enzymes in catalytic reactions, characterized by high efficiency, high selectivity, and mild reaction conditions, provides significant advantages in industrial catalysis. However, the low long-term storability and poor operational stability of natural enzymes limit their industrial applications [1]. Additionally, the difficulty in recycling/reusing natural enzymes substantially increases the cost of industrial production [2]. Thus, many approaches have been developed to improve the industrial performance of natural enzymes [3], including protein engineering and immobilization [4,5,6]. Alternatively, enzyme-mimetic catalysts with high catalytic activity, stability, and recyclability offer a competitive option for industrial production and various aspects of life [7].
Carboxylic ester hydrolases (CEHs, EC 3.1.1.X) are a large class of enzymes that catalyze the hydrolysis of carboxylic ester bonds [8,9]. Their prominent members are generally referred to as esterases and lipases. Esterases are commonly used in food, flavors, pharmaceuticals, and organic synthesis [10]. Therefore, constructing esterase mimics is of significant importance. Most esterases feature a catalytic triad, with histidine at the active center [11]. Inspired by this concept, numerous esterase mimetics have been developed based on the catalytic triad. Notably, histidine can be used alone as the active center to construct esterase mimics [12,13,14], providing a more convenient approach to esterase mimic construction. Additionally, the carboxyl, amino, and imidazole groups of histidine are excellent sites for metal binding [15]. Using histidine to coordinate Zn2+, which plays a critical role in the assembly and catalytic activity of the mimetic enzymes [16,17], facilitates the construction of systems with esterase-like activity. For example, Ehud Gazit’s group constructed an esterase mimic, cyclo-HH-ZnI2, for the hydrolysis of p-nitrophenyl acetate using a cyclic histidine dipeptide with Zn2+ [16]. Although organometallic frameworks [18], peptides [8,19], and carbon-based materials [20] have been used to construct esterase mimics, nanomaterials formed through the assembly of amino acids with metal ions demonstrate a strong ability to construct simple and efficient mimics due to their good biodegradability and similarity to natural hydrolases in terms of catalytic properties and structure. Notably, Ehud Gazit’s group prepared an enzyme mimic with high esterase-like activity and stability using a single amino acid, phenylalanine (Phe), combined with Zn2+ via coordination self-assembly [17]. This one-pot method, using only a single amino acid to coordinate with metal ions, is known as the minimalistic strategy [17] for constructing catalytic supramolecular assemblies, which offers advantages such as simplicity, speed, and efficiency. In addition to natural amino acids, unnatural amino acids can also be used to construct enzyme mimics through this minimalistic strategy [21,22,23]. Extending from amino acids to their derivatives further enriches the ligand diversity and provides more choices for the de novo design of various enzyme mimetics for industrial applications.
Therefore, in this study, two histidine derivations with different optical isomerism, L-benzyloxycarbonyl histidine (Z-L-His) and D-benzyloxycarbonyl histidine (Z-D-His), were used to self-assemble with zinc ions for the construction of esterase mimics based on the minimalist strategy (Figure 1). These mimics were named Z-L-His/Zn2+ and Z-D-His/Zn2+, respectively. The effects of the optical isomerism of Z-His on catalytic reactions were investigated, and the possible catalytic mechanism of these esterase mimics was proposed. The systematic study of the catalytic reaction kinetics, stability, and reusability of these esterase mimics, in comparison with natural lipase [24], demonstrated their significant advantages for industrial applications.

2. Results and Discussion

2.1. Characterization

Two supramolecular assemblies, Z-L-His/Zn2+ and Z-D-His/Zn2+, were synthesized by self-assembling histidine derivatives of different optical isomers, Z-L-His and Z-D-His, with Zn2+, and their morphology and structure characterization results are presented in Figure 2, Figure 3 and Figure 4. The scanning electron microscope (SEM) images in Figure 2a show that both Z-L-His/Zn2+ and Z-D-His/Zn2+ exhibited block-like structures of varying sizes. The energy-dispersive X-ray spectroscopy (EDS) spectra in Figure 2b confirmed the presence of Zn and N elements in both assemblies, supporting the successful coordination of Zn2+ with Z-L-His and Z-D-His. Elemental analysis and inductively coupled plasma optical emission spectrometry (ICP-OES) were employed to determine the ratios of C, H, O, N, and Zn within the assemblies, and the results are summarized in Table S1. Based on the elemental ratios of N and Zn, the molar ratio of Zn2+ to Z-L-His or Z-D-His in the assemblies was calculated to be 1:2.
The full-scan X-ray photoelectron spectroscopy (XPS) spectra of Z-L-His, Z-D-His, Z-L-His/Zn2+, and Z-D-His/Zn2+ in Figure 3a–d show a new Zn 2p peak in both assemblies (Z-L-His/Zn2+ and Z-D-His/Zn2+) compared to the histidine derivatives (Z-L-His and Z-D-His), indicating the successful coordination of Zn2+ with the histidine derivatives during self-assembly. The N1s spectra in Figure 3e,f show peaks at 398.5 eV and 400.2 eV, corresponding to C-N and N-H bonds, respectively [25]. Additionally, Zn-N peaks are present at 399.1 eV in Z-L-His/Zn2+ and 399.2 eV in Z-D-His/Zn2+. Meanwhile, Zn-O peaks appear at 532.2 eV for Z-L-His/Zn2+ and 531.8 eV for Z-D-His/Zn2+, as illustrated in Figure 3i,j, suggesting that Zn2+ coordinated with both N and O atoms in the histidine derivatives to form the assemblies. Figure 3g,h,k,l further confirm that Zn2+ is present in a divalent state within both assemblies.
The X-ray diffractometer (XRD) patterns of Z-L-His, Z-D-His, Z-L-His/Zn2+, and Z-D-His/Zn2+ in Figure 4a,b show that both Z-L-His and Z-D-His exhibit clear crystalline structures, while the two assemblies of Z-L-His/Zn2+ and Z-D-His/Zn2+ displayed smoother, broader curves, further confirming that Zn2+ interacts with the histidine derivatives in the formation of the assemblies. Additionally, the XRD patterns indicate that Z-L-His/Zn2+ and Z-D-His/Zn2+ are amorphous in nature [26]. The Fourier transform infrared (FTIR) spectra in Figure 4c,d show that for the two histidine derivatives, the absorption peaks at 1540 cm−1 and 3240 cm−1 correspond to the N-H deformation and stretching vibrations of the imidazole ring, respectively [27]. However, these peaks shift to lower wavelengths in the assemblies, indicating coordination of the imidazole nitrogen with Zn2+. In addition, the two histidine derivatives also exhibited characteristic carboxylic acid peaks at 1410 cm−1 and 1630 cm−1, and these characteristic peaks similarly shifted to lower wavelengths for the assemblies, suggesting that their carboxyl oxygen also coordinated with Zn2+ [28,29]. The peak observed at 3400 cm−1 for the assemblies was attributed to the stretching vibration of O-H or hydrogen bonding [30], indicating potential hydrogen bonding or the presence of water within Z-L-His/Zn2+ and Z-D-His/Zn2+, and the hydrogen bonding or the presence of water may play an important role in the hydrolysis of substrates (Figure 1). Based on these characterization results, it can be concluded that both assemblies were successfully synthesized, with probable structures as illustrated in Figure 1, where Zn2+ coordinates with the nitrogen of the imidazole group and the oxygen of the carboxylic acid group in Z-His, forming a zinc-based hydrolase-like active center. Additionally, hydrogen bonding, hydrophobic interactions, and π-π stacking processes in the self-assembled units further helped the formation of esterase-like mimics.
The pore size structure and specific surface area of the assemblies (Z-L-His/Zn2+ and Z-D-His/Zn2+) were characterized using nitrogen adsorption–desorption experiments (Figure 4e–h). Both isotherms (Figure 4e,g) are type IV isotherms, indicating the presence of mesopores in the assemblies. Due to the weak nitrogen adsorption capacity of Z-L-His and Z-D-His, their isothermal adsorption–desorption curves were not tested. Figure 4f,h show the pore size distributions of the two assemblies, and the Brunauer–Emmett–Teller (BET) specific surface areas of Z-L-His/Zn2+ and Z-D-His/Zn2+ were 2.82 m2/g and 2.79 m2/g, respectively. In addition, their total pore volumes were 7.5 × 10−3 cm3/g and 5.8 × 10−3cm3/g, while their average pore sizes based on the Barrett–Joyner–Halend (BJH) method were 6.6 nm and 7.6 nm, respectively. The porous structure of Z-L-His/Zn2+ and Z-D-His/Zn2+ increases specific surface area, providing more catalytic active sites to substances and finally resulting in favorable catalytic performances.

2.2. Catalytic Activity Analysis of Z-His and Z-His/Zn2+

The ester hydrolysis reaction is one of the most common reactions in industrial production. Thus, p-nitrophenyl acetate (pNPA) and 4-Nitrophenyl butyrate (pNPB) were used as model substrates, and the hydrolysis ability of various catalysts was assessed by detecting the production of the colored product p-nitrophenol (pNP) at 405 nm (Figure 5 and Figure 6). Firstly, the absorption peaks of the substrates (pNPA and pNPB), the product pNP, and the various catalysts used in the 2-[4-(2-Hydroxyethyl)piperazin-1-yl]ethanesulfonic acid (HEPES) buffer solution (pH 8) were determined, with the results presented in Figure 5a. The strong absorption peak of pNP at 405 nm is characteristic of its adsorption, while the tiny adsorption at 405 nm for the substrates pNPA and pNPB was attributed to their spontaneous hydrolysis. In contrast, the catalysts showed no absorption in the wavelength range of 375–500 nm. Thus, the generation of pNP can be monitored by measuring the absorption intensity at 405 nm to determine the reaction process.
Subsequently, the catalytic activities of the assemblies Z-L-His/Zn2+ and Z-D-His/Zn2+ were investigated, with their relative activities calculated using the catalytic activity of Z-L-His as 100% (Figure 5b,c). Due to the self-hydrolysis of pNPA and pNPB in an alkaline environment (pH 8), the blank group exhibited a tiny activity. However, ZnCl2, a salt of a strong acid and a weak base, lowered the pH of the reaction system, reducing the self-hydrolysis of pNPA and pNPB, and resulting in an activity (Zn2+ groups in Figure 5b,c) lower than that of the blank group. For the hydrolysis of both pNPA and pNPB, the two histidine derivatives and two assemblies exhibited similar ester hydrolysis activity. In particular, the assemblies achieved over 80% of the activity of the corresponding histidine derivatives, while the molar ratio of histidine derivatives in the assemblies was 0.9:1, as calculated from the data in Table S1, This implies the esterase-like activity of the assemblies mainly originates from the histidine derivatives. Based on the structure characterization in Section 2.1, it was hypothesized that the activity of the assemblies arises from two sources: one is the formation of a zinc active center similar to a metal hydrolase through self-assembly, and the other is the catalytic activity of the imidazole group in histidine derivatives. Therefore, the catalytic efficiency of the imidazole group in the assemblies was reduced due to metal coordination, while the zinc active center in the assemblies partially compensated, finally maintaining the overall activity of the assemblies at a high level. Overall, although the assemblies exhibited slightly reduced activity compared to the histidine derivatives, Z-L-His/Zn2+ and Z-D-His/Zn2+ could be recovered by centrifugation or filtration, making them low-cost for industrial applications.
Considering the faster catalysis of the histidine derivatives than their assemblies, the time-dependent absorbance of the system during the hydrolysis of pNPA and pNPB catalyzed at varying concentrations of Z-L-His and Z-D-His were checked to ensure linear kinetics of the 30-min reaction for the subsequent experiments (Figure 6). Clearly, the absorbance of the reaction system appeared to increase with increasing the concentration of histidine derivatives (Figure 6a,b,d,e). When using the same substrate (pNPA or pNPB), the increase in absorbance for Z-L-His and Z-D-His followed a similar trend, indicating that both catalysts exhibited comparable catalytic rates. Additionally, the hydrolysis of pNPA occurred more rapidly than that of pNPB, demonstrating a substrate preference for pNPA over pNPB. Furthermore, when the concentrations of Z-L-His or Z-D-His in the reaction system exceeded 100 μg/mL, the absorbance increased nonlinearly within 30 min with pNPA as the substrate. Hence, a catalyst concentration of 100 μg/mL was selected for subsequent studies.
L-His, D-His, and two lipases, lipase from Aspergillus niger (ANL) and lipase from porcine pancreas (PPL), both of which are widely used in similar studies [24,31], were selected for comparison, as shown in Figure 6c,f. The hydrolysis of pNPA by Z-L-His/Zn2+ and Z-D-His/Zn2+ was slightly slower than that of Z-L-His and Z-D-His but significantly faster than that of lipases (ANL and PPL) and histidines (L-His, D-His), as illustrated in Figure 6c. When pNPB was the substrate, the catalytic activities of Z-L-His/Zn2+ and Z-D-His/Zn2+ were slightly lower than that of Z-L-His and Z-D-His but significantly higher than that of PPL and histidines (L-His, D-His), demonstrating robust hydrolysis abilities for the histidine derivatives than their assemblies against both pNPA and pNPB. However, the two natural enzymes displayed distinct substrate preferences: ANL exhibited the strongest hydrolysis activity toward pNPB over the other catalysts in Figure 6f, which was quite higher than that toward pNPA, while PPL showed a slight preference for catalyzing the hydrolysis of pNPB over pNPA.
To evaluate substrate universality, carboxylic esters composed of fatty acids of varying lengths [pNPA, pNPB, p-nitrophenyl valerate (pNPV), p-nitrophenyl hexanoate (pNPH), and p-nitrophenyl octanoate (pNPO)], along with the phosphate ester disodium 4-nitrophenyl phosphate hexahydrate (pNPP) and aromatic acid ester p-nitrophenyl salicylate (pNPS), were tested (Figure 7a,b). The activities were normalized by the hydrolysis activity of pNPA by Z-L-His and Z-L-His/Zn2+, respectively. It was evident that the optical isomerism of the catalysts did not influence their catalytic activity, as Z-L-His and Z-D-His exhibited similar hydrolysis rates for the tested substrates (Figure 7a), and Z-L-His/Zn2+ and Z-D-His/Zn2+ showed comparable activity (Figure 7b). Additionally, the hydrolysis activity of each catalyst decreased as the lipid chain length increased, consistent with the findings of Ehud’s group, where the activity of the enzyme mimic of Phe-Zn also declined with longer lipid chains [16]. Notably, as the lipid chain length increased from pNPA to pNPO, the relative activity of the assemblies decreased more slowly compared to the histidine derivatives, suggesting better substrate universality of Z-L-His and Z-L-His/Zn2+. Furthermore, none of the four catalysts exhibited significant hydrolysis activity toward esters containing phosphate or aromatic acid groups (pNPP and pNPS), indicating that these catalysts specifically catalyzed the hydrolysis of esters derived from aliphatic acids, rather than those with more complex functional groups.
To further elucidate the impact of the stereoselectivity of catalysts, enantiomers (L- and D-Boc-phenylalanine 4-nitrophenyl ester, L-pNPA, and D-pNPA, respectively) [17] were used as substrates (Figure 7c), and the activity was normalized using the hydrolysis activity of L-pNPA by Z-L-His. The catalysts displayed stereoselectivity to the substrates. For example, Z-L-His only catalyzed the hydrolysis of D-pNPA with 90.4% of the activity for L-pNPA (Figure 7c). Moreover, Z-D-His exhibited 88.2% of the activity of Z-L-His in catalyzing L-pNPA hydrolysis (Figure 7c), while both catalysts showed similar activities in catalyzing racemic pNPA hydrolysis (Figure 7a).
In summary, Z-L-His, Z-D-His, Z-L-His/Zn2+, and Z-D-His/Zn2+ could efficiently catalyze the hydrolysis of a series of aliphatic acid esters, and Z-L-His/Zn2+ and Z-D-His/Zn2+ exhibited both enantioselectivity and broad substrate compatibility. Because the catalysis towards the racemic substrates pNPA and pNPB was not influenced by the optical isomerism of catalysts, Z-L-His and Z-L-His/Zn2+ were subsequently used as the subjects of this study to assess the catalytic performance.

2.3. Kinetic Parameters of Z-L-His and Z-L-His/Zn2+

Kinetic parameters are important for assessing the performance of catalysts, and thus the initial rates of Z-L-His and Z-L-His/Zn2+ in catalyzing the hydrolysis of the racemic substrates pNPA and pNPB at various substrate concentrations were measured and compared with the two natural enzymes (ANL and PPL) (Figure 8).
Using pNPA as a substrate, Z-L-His, Z-L-His/Zn2+, and ANL followed the typical Michaelis–Menten kinetics (Figure 8a). The kinetic parameters, the maximum initial velocity (Vmax) and Michaelis–Menten constant (Km), were determined by fitting the data to the Michaelis–Menten model (Table S2). However, due to substrate solubility limitations, the rate of PPL-catalyzed product formation increased linearly with substrate concentration within the detected concentration range, and the first-stage reaction kinetics for determining the catalytic efficiency kcat/Km was attempted. Similarly, when pNPB was used as the substrate, the kcat/Km value for Z-L-His was calculated using first-stage reaction kinetics. The well-fitted experimental data by the Michaelis–Menten model (Figure 8) for Z-L-His/Zn2+ in hydrolyzing both pNPA and pNPB confirmed the enzyme-like catalytic characteristics of Z-L-His/Zn2+. Thus, Z-L-His/Zn2+ could be regarded as an esterase mimic.
As listed in Table S2, the Km value of Z-L-His/Zn2+ was smaller than that of Z-L-His when pNPA was used as the substrate, indicating that the formation of the assemblies improves the substrate affinity. According to the proposed structure of Z-L-His/Zn2+ (Figure 1) and the discussion in the above sections, a zinc active center was formed in Z-L-His/Zn2+, in comparison to Z-L-His, and it afforded more efficient nucleophilic attack on the substrate [16], resulting in higher affinity. Furthermore, Z-L-His/Zn2+ exhibited a high Vmax value, resulting in a 20% higher kcat/Km value than that of the natural enzyme ANL, which is 5.3 times that of the natural enzyme PPL. Moreover, the kcat/Km value of Z-L-His was 1.4-fold and 6.3-fold that of ANL and PPL, respectively. When pNPB served as the substrate, ANL exhibited the maximum catalytic efficiency, whereas the catalytic efficiency of Z-L-His/Zn2+ was similar to that of PPL and 1.6 times higher than that of Z-L-His, suggesting that the formation of the assemblies improved the catalytic ability for the substrate pNPB. The kinetic parameters of other esterase mimics are summarized in Table S2. Although direct comparisons of catalytic performance are challenging due to differences in reaction systems, the kcat/Km values suggest that Z-L-His/Zn2+ exhibit comparable catalytic efficiency, highlighting their superior catalytic ability and proving their usefulness in mimicking natural esterases.
Overall, the catalytic efficiencies of Z-L-His/Zn2+ for the two substrates were comparable and consistently high, which is even more efficient than the natural enzymes, demonstrating its excellent performance in catalyzing hydrolysis.

2.4. Catalytic Stability of Z-L-His and Z-L-His/Zn2+

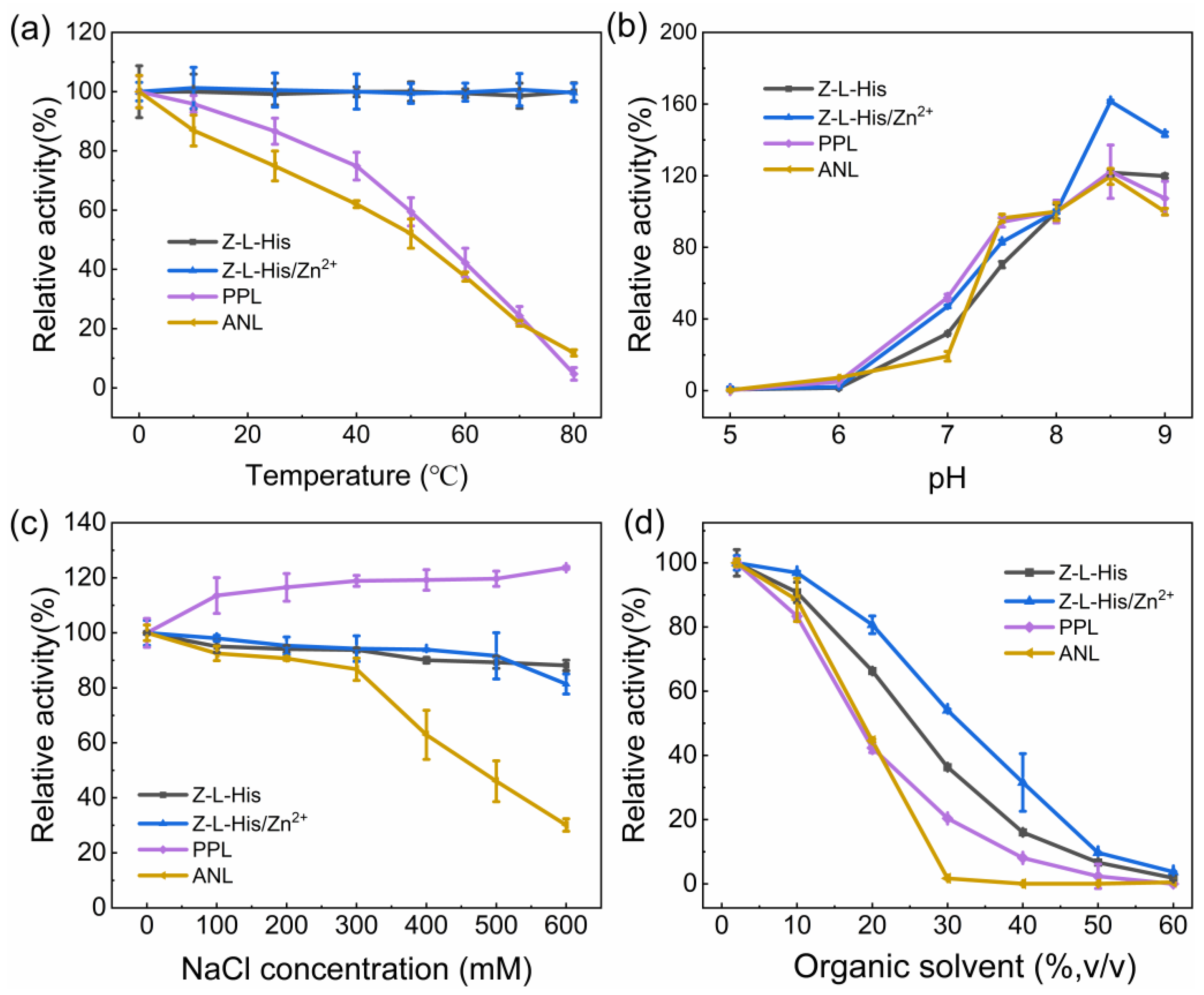
For practical applications of industrial hydrolysis, catalytic stability at various conditions is required. The catalytic activities of Z-L-His and Z-L-His/Zn2+ after a 30-min incubation at different temperatures and in conditions of varying pH, ionic strength (NaCl concentration), and organic solvent concentration were investigated, and the natural enzymes PPL and ANL were used for comparison (Figure 9). Because pNPA exhibited more pronounced autohydrolysis than pNPB (Figure 5b,c) and it aggravated under varying pH conditions, making it hard to control the blank group, pNPB was selected as the substrate for catalytic stability investigation.
Z-L-His and Z-L-His/Zn2+ displayed excellent thermal stability, maintaining their activities after 30 min of incubation across a temperature range of 0–80 °C (Figure 9a). In contrast, the natural enzymes PPL and ANL exhibited poor thermal tolerance, with their activities dropping to 4.7% and 11.8%, respectively, after incubation at 80 °C for 30 min. Moreover, compared to other hydrolase mimics [20], Z-L-His and Z-L-His/Zn2+ exhibited better thermostability. Due to the activity at pH 8 being set as 100% (Figure 9b), it is shown that the optimal pH for the catalytic activity of each catalyst is around 8.5, presenting activities larger than 100%. Alkaline conditions enhanced the catalytic reaction, whereas acidic conditions inhibited the catalytic reaction, likely due to the inability to neutralize the hydrolysis product of the aliphatic acid under acidic conditions [16]. Additionally, Z-L-His/Zn2+ exhibited significantly higher activity in the pH range of 7–9 than Z-L-His, indicating its advantages under alkaline conditions. For the effect of ionic strength, Z-L-His and Z-L-His/Zn2+ maintained their catalytic activity even at NaCl concentrations up to 600 mM, while ANL showed poor tolerance to ionic strength, exhibiting a 30.1% residual activity at 600 mM NaCl (Figure 9c). The high ionic strength tolerance of Z-L-His and Z-L-His/Zn2+ proved their advantages under complex industrial catalytic environments. The irregular increasing trend with increased ionic strength for PPL might be due to salt-activation, which was similar to porcine pancreas-derived lipases reported by Goswami et al. [32]. In view of the fact that esters are often poorly soluble, the addition of an organic co-solvent to the hydrolysis system is an effective approach. Therefore, the effect of the organic solvent was explored by adding acetonitrile (ACN) at different concentrations (Figure 9d). As the organic solvent content increased, the number of water molecules decreased, leading to a gradual reduction in hydrolysis activity. Nevertheless, Z-L-His and Z-L-His/Zn2+ retained higher activities than the natural enzymes. Specifically, at 20% (v/v) ACN, Z-L-His and Z-L-His/Zn2+ maintained 66.3% and 80.7% activity, respectively, whereas PPL and ANL retained only 42.8% and 44.6% of their initial activity, respectively. Z-L-His/Zn2+ showed superior organic solvent tolerance over the others, suggesting its strong resistance to organic solvents.
Long-term storage of natural enzymes often results in a decline in enzymatic activity, making it challenging to meet industrial application requirements. In this study, we systematically investigated the long-term storage stability under various incubation conditions of different temperatures, ionic strengths, organic solvent contents, and pH values for 7 d. Samples were collected every 24 h to measure the residual activity, with the activity of the free catalysts on day 0 set as 100% (Figure 10). Specifically, a 5 mg/mL solution of the natural or mimetic enzyme was incubated and periodically added to the reaction system by a 50-fold dilution, ensuring that the effect of the incubation conditions on the reaction system was negligible.
Figure 10a–c illustrate the changes in the residual activity of the different catalysts during 7 d of incubation at 4, 30, and 60 °C, respectively. Z-L-His and Z-L-His/Zn2+ exhibited excellent thermostability with no significant loss in activity (residual activity > 95%). In contrast, the residual activity of ANL and PPL gradually decreased over time, and higher incubation temperatures accelerated the loss of activity. After incubation at 60 °C for just 1 d, the residual activity of PPL and ANL dropped to 29.6% and 22.7%, respectively, and the two natural enzymes were completely inactivated in 3 d. Figure 10a,d,g show the relative activity changes of the catalysts after incubation at pH 7, 8, and 9, where Z-L-His and Z-L-His/Zn2+ exhibited high tolerance to neutral and alkaline environments, maintaining over 92% activity after 7-d. However, PPL only retained 39.7%, 42.2%, and 32.7% of its original activity after a 7-d incubation at pH 7, 8, and 9, respectively. Figure 10a,e,h illustrate the effects of ionic strength on the storage stability of the catalysts. Z-L-His and Z-L-His/Zn2+ exhibited good tolerance to high ionic strength, retaining over 92% activity after a 7-d incubation in 600 mM NaCl. In contrast, the residual activity of ANL reduced to 78.4%, 67.9%, and 59.3%, while that of PPL dropped to 42.2%, 44.0%, and 53.1%, respectively, after a 7-d incubation in systems containing 0, 300, and 600 mM NaCl. It is worth noting, that though PPL showed increased activity at high ionic strength (Figure 9c), long-term storage in a high ionic strength environment still resulted in a significant decline in enzymatic activity, indicating the poor salt-tolerance of PPL. Figure 10a,f,i display the changes in the residual activity of different catalysts incubated in a buffer system with ACN contents of 0%, 20%, and 40% (v/v), respectively. Z-L-His and Z-L-His/Zn2+ exhibited good organic solvent tolerance, with unchanged activity in 7 d. However, the residual activity of ANL decreased to 71.7% after 7-d incubation at 40% (v/v), indicating that high concentrations of ACN impair ANL stability, a similar phenomenon also observed by Serebryakova et al. [33]. The residual activity of PPL after a 7 d incubation with 0%, 20%, and 40% (v/v) ACN was 42.2%, 62.9%, and 48.3%, respectively, indicating that ACN helped the long-term storage of PPL with higher residual activity [34]. Nevertheless, this increase in PPL residual activity due to ACN was insufficient to counteract the impairments caused by the overall system and extended incubation times, resulting in a significant loss of activity during long-term storage.
In summary, the above results demonstrated that Z-L-His and Z-L-His/Zn2+ are robust enough for long-term operation under a wide range of temperatures, ionic strengths, organic solvent concentrations, and pH values, highlighting their significant potential for industrial applications.

2.5. Reusability of Z-L-His/Zn2+

Beyond operational stability, the reusability of the catalyst is another critical factor in evaluating its industrial application potential. Although both Z-L-His and Z-L-His/Zn2+ exhibited excellent stability over natural enzymes as discussed in the above sections, the water-soluble feature of histidine derivative Z-L-His made it unable to be recovered from the reaction system after its first use. Thus, the reusability of the esterase mimic Z-L-His/Zn2+ was evaluated using pNPB as a substrate (Figure 11).
Remarkably, Z-L-His/Zn2+ retained 93.0% of its original activity after six cycles of reuse (Figure 11a). For comparison, the histidine-based nanoenzyme cyclo-HH-ZnI2 with hydrolase activity only retained 80% of its activity after five cycles [12]. Additionally, in 2022, a glycine-doped ZIF-8 carbonic anhydrase mimic retained less than 80% of its activity after five cycles. More recently, in 2024, a cobalt-doped carbonic anhydrase mimic with a bimetallic active center (Co50%/ZIF-8) retained only 58.6% of its activity after six cycles using pNPA as a substrate [35]. These results indicate the superior reusability of Z-L-His/Zn2+ in this work.
Moreover, FTIR data (Figure 11b) proved that the chemical bonds and state of Z-L-His/Zn2+ remained unchanged after recycling six times. SEM images of recycled Z-L-His/Zn2+ (Figure 11c) also revealed no significant morphological changes after recycling. Furthermore, the XPS spectral data (Figure 11d) displayed a consistent elemental composition before and after use, where the atomic ratios of C, N, O, and Zn in Z-L-His/Zn2+ were 65.78%, 17.44%, 13.43%, and 3.34% before using, and 66.53%, 18.95%, 10.43%, and 4.08% after six cycle, respectively. Thus, the morphology, structural, and elemental integrity of Z-L-His/Zn2+ before and after six recycles were proved, and the tiny decrease in activity after six cycles is mainly caused by the ordinary mass loss of Z-L-His/Zn2+ during each recovery. In short, the excellent stability and superior recyclability of Z-L-His/Zn2+ underscore its significant potential for industrial applications.

2.6. Catalytic Mechanism

Figure 12 illustrates the possible mechanisms of pNPA hydrolysis catalyzed by the imidazole group of histidine derivatives and the zinc active center within the assemblies, respectively. For the histidine derivatives Z-L-His and Z-D-His, their catalytic activities are from the imidazole group [16], and the hydrolysis process catalyzed by the imidazole group is shown in Figure 12a. In brief, the imidazole group works as a nucleophile, attacking the carbonyl carbon of pNPA to form an intermediate. This intermediate then decomposes, releasing pNP and acetate ions in the presence of water molecules, with the imidazole group returning to its original state [36]. Because the imidazole groups still exist in the assemblies of Z-L-His/Zn2+ and Z-D-His/Zn2+, imidazole group-mediated catalysis would also work.
In addition, as detailed in Section 2.1 and Section 2.2, the zinc active center is formed in the assemblies, and the structural unit of the Z-His/Zn2+ can be deduced, where Zn2+ formes coordination bonds with the nitrogen and carboxyl oxygen atoms of the imidazole groups. In the assemblies, hydrogen bonding, hydrophobic interactions, and π-π stacking between the aromatic rings contribute to facilitating the hydrolysis reaction (Figure 12b). A possible catalytic mechanism for the zinc active center-mediated catalysis of the pNPA hydrolysis is proposed as follows: In state 1, pNPA binding at the oxygen atoms coordinated with the zinc atom, and generated state 2. Then the oxygen nucleophile attacks the carbonyl carbon of pNPA, leading to the formation of a transition state (state 3). Subsequently, in the presence of water molecules (state 4), one product, pNP, is released from the transition state, forming a new intermediate (state 5). This intermediate is then nucleophilically attacked by a water molecule’s oxygen atom (state 6), and the second product, acetic acid, is finally released, so Z-His/Zn2+ returns to its initial state (state 1).

3. Materials and Methods

3.1. Materials

Z-D-His and pNP were procured from Shanghai Aladdin Biochemical Technology Co., Ltd. (Shanghai, China). Zinc chloride was obtained from Sigma-Aldrich (Shanghai, China). HEPES, dibasic sodium phosphate, and sodium dihydrogen phosphate were purchased from Sangon Biotech (Shanghai) Co., Ltd. (Shanghai, China). ANL was purchased from ZanCheng (Tianjin) Technology Co., Ltd. (Tianjin, China). PPL was purchased from Beijing Soleberg Technology Co., Ltd. (Beijing, China). pNPB and other chemicals were of the highest purity available from local sources. All materials were used as received without further purification.

3.2. Synthesis of Z-His/Zn2+

A 10 mM NaOH solution was prepared using deionized water. Then, 1.45 g of each of the amino acid derivatives Z-L-His and Z-D-His were weighed and dissolved in 200 mL of the NaOH solution, respectively. The solution was filtered through a 0.45 μm membrane to obtain a 25 mM solution of amino acid derivatives. A 50 mM solution of ZnCl2 was then prepared with deionized water and filtered using the same membrane. The ZnCl2 solution was added slowly dropwise to the NaOH solution containing Z-L-His or Z-D-His at room temperature in a molar ratio of Zn2+ to the amino acid derivative of 1:1. Upon addition of the ZnCl2 solution, white flocs immediately formed in the system. After the dropwise addition of the ZnCl2 solution was completed, the mixture was left to stand at room temperature for 1 h. The products were then collected by centrifugation at 9000 rpm for 5 min using a high-speed centrifuge and were washed four times with deionized water. The resulting products were denoted as Z-His/Zn2+ (Z-L-His/Zn2+ and Z-D-His/Zn2+), based on the amino acid derivative used. The washed products were dried in a vacuum oven at 60 °C for 24 h and stored in a refrigerator at 4 °C for future use. It is worth noting that the displacement of ZnCl2 by Zn(NO3)2 and ZnSO4 would not obtain the high-performance catalyst.

3.3. Characterization

SEM (Apreo S LoVac, FEI, Hillsboro, OR, USA) was used to characterize the morphology of Z-His/Zn2+. Moreover, FTIR (Spectrum 100, PerkinElmer, Waltham, MA, USA) was employed to analyze the functional groups and chemical bonds of Z-His/Zn2+. The elements of Z-His/Zn2+ were detected with XPS (K-AIpha+, Thermo Fisher Scientific, Waltham, MA, USA) and EDS (X-MaxN 80T IE250, Oxford Instruments, Oxford, UK). The crystal structure of Z-His/Zn2+ was recorded with XRD (Smartlab, Rigaku, Japan).

3.4. Esterase-like Activity Assay

The catalytic ability of Z-L-His/Zn2+ and Z-D-His/Zn2+ to hydrolyze carboxylic acid esters was evaluated using pNPA and pNPB as substrates. The specific experimental procedure was as follows: 50 mM solutions of pNPA and pNPB were prepared separately in ACN, and the catalyst was prepared as a 1 mg/mL solution in reaction buffer (HEPES buffer). Then, 20 μL of the substrate solution and 100 μL of the catalyst solution were mixed with 880 μL of HEPES buffer (10 mM, pH 8). The reaction was conducted at 25 °C for 30 min, followed by centrifugation at 12,000 rpm for 3 min. The supernatant was collected, and the change in absorbance at 405 nm was measured using an enzyme marker. A control system without the catalyst was also tested. The absorbance of the supernatant was measured using a microplate reader (Infinite M Nano, Tecan, Switzerland). Each assay was conducted in triplicate and the average value with its standard deviation is reported.

3.5. Determination of Kinetic Parameters

To further analyze the catalytic behavior of the mimetic enzymes, the initial reaction rates of Z-L-His, Z-D-His, Z-L-His/Zn2+, and Z-D-His/Zn2+, along with those of the natural lipases ANL and PPL, were determined for pNPA concentrations ranging from 0 to 1 mM and for pNPB concentrations ranging from 0 to 0.5 mM, using the method described in Section 3.4. The reaction kinetic curves were then plotted. The concentration of the mimetic enzymes in the reaction system was fixed at 10 μg/mL, with 10 mM HEPES buffer (pH 8) as the reaction medium. The kinetic parameters of each catalyst were obtained by fitting the Michaelis–Menten equation (Equation (1)),
V 0 = V m a x · [ S ] K m + [ S ]
where V0 is the initial reaction rate, Vmax is the maximum reaction rate, [S] is the substrate concentration, and Km is the Michaelis constant. Nonlinear regression was used to fit the experimental data of varying V0 at different [S]. The catalytic constant (kcat) was calculated according to the following equation (Equation (2))
K c a t K m = V m a x [ E 0 ] · K m
where [E0] is the natural or simulated enzyme concentration in the reaction, and kcat/Km is the catalytic efficiency.

3.6. Catalytic Stability and Recyclability

To evaluate the catalytic stability of the catalysts, the catalysts were exposed to varying temperatures, pH levels, ionic strengths, and organic solvent concentrations. In the temperature stability experiments, the catalysts were incubated at 0, 10, 25, 40, 50, 60, and 70 °C for 30 min. After returning to room temperature, the activity assays were conducted using the method described in Section 3.4, with the catalytic activity at 25 °C set as 100% for calculating the relative viability of each group. For the pH tolerance assay, the catalysts were exposed to buffer solutions at different pH levels: pH 5–6 was maintained by a 10 mM citrate-sodium citrate buffer, pH 7–8.5 was maintained by a 10 mM HEPES buffer, and pH 9 was buffered by a 50 mM Tris-HCl solution. The activity was determined as described in Section 3.4, with the activity at pH 8 set as 100%, and the relative activity was calculated for other pH conditions. The effect of ionic strength on catalytic activity was examined by adding 0, 100, 200, 300, 400, 500, and 600 mM NaCl to the HEPES buffer, with the viability in the absence of NaCl set as 100%. For the organic solvent stability assay, the catalysts were tested in reaction systems containing 2%, 10%, 20%, 30%, 40%, and 50% (v/v) ACN. The activity in the reaction system with 2% (v/v) ACN was set as 100% to determine the relative activity of the catalysts under different organic solvent concentrations.
To investigate the long-term stability of the catalysts, they were incubated in various environments for 7 d, and changes in their residual activity were monitored under consistent conditions. For temperature stability, 5 mg/mL catalyst solutions were prepared in HEPES buffer and incubated at 4, 30, and 60 °C for 7 d. To assess pH stability, 5 mg/mL catalyst solutions were prepared using 10 mM HEPES buffer at pH 7 and 8, and 50 mM Tris-HCl buffer at pH 9, followed by storage at 4 °C for 7 d. Ionic strength stability was tested by preparing 5 mg/mL catalyst solutions in 10 mM HEPES buffer with NaCl concentrations of 0, 300, and 600 mM, and incubating them at 4 °C for 7 d. Organic solvent stability was evaluated by preparing 5 mg/mL catalyst solutions in HEPES buffer containing 0%, 20%, and 40% ACN, and incubating at 4 °C for 7 d. Every 24 h, 10 μL of each incubated catalyst solution was mixed with 10 μL of pNPB solution and 480 μL of 10 mM HEPES buffer (pH 8), and the absorbance at 405 nm was measured. The relative activity was calculated by taking the catalytic activity on day 0 as 100%.
To evaluate the reusability of Z-L-His/Zn2+, 3 mg of Z-L-His/Zn2+ was added to 29.4 mL of 10 mM HEPES buffer (pH 8). Afterward, 600 μL of pNPB solution was introduced, and the reaction was allowed to proceed for 30 min at 25 °C with shaking. Following the reaction, the supernatant and precipitate were separated by centrifugation, and 200 μL of the supernatant was transferred to an enzyme plate to measure the absorbance at 405 nm. The precipitated Z-L-His/Zn2+ was then washed three times with deionized water and reused for subsequent reactions. This cycle was repeated six times to assess the changes in the catalytic activity of Z-L-His/Zn2+ over multiple uses.

4. Conclusions

In this study, two esterase mimics Z-L-His/Zn2+ and Z-D-His/Zn2+, were successfully constructed by the self-assembly of benzyloxycarbonyl histidine (Z-L-His and Z-D-His) with zinc ions, respectively. The two assemblies exhibited both amorphous structures with mesoporous characteristics, with a histidine derivative to zinc ion molar ratio of 2:1, as evidenced by SEM, XRD, XPS, FTIR, and BET characterizations. Catalytic experiments demonstrated that Z-L-His/Zn2+ and Z-D-His/Zn2+ exhibited excellent catalytic activity on two typical substrates, pNPA and pNPB, even higher than the natural lipases. Moreover, Z-L-His/Zn2+ and Z-D-His/Zn2+ also displayed good substrate versatility and enantioselectivity, while the conformation of the amino acid derivatives did not affect the catalytic activity towards the racemic substrate. Kinetic analysis further confirmed that the catalytic efficiency of Z-L-His/Zn2+ was higher than or comparable to the existing esterase mimics. Z-L-His and Z-L-His/Zn2+ displayed superior operational stability under varying pH levels, organic solvents, ionic strengths, and temperatures for 7 d. Notably, Z-L-His/Zn2+ retained 93.0% of its activity after six cycles, demonstrating excellent reusability. In conclusion, Z-L-His/Zn2+ and Z-D-His/Zn2+ demonstrate significant potential for industrial applications for mimicking esterases, characterized by their high catalytic efficiency, superior long-term stability, and excellent reusability. This study offers valuable insights for future industrial biocatalysis development. Considering many natural esterases and lipases exhibit good long-term and operational stabilities, and that immobilization techniques facilitate their recovery in industrial applications [3,4,5,6], natural esterases and lipases with high performance in industrial applications will be chosen for a more comprehensive comparison in our future work. Additionally, practical esters other than pNPA and pNPB will be chosen as substrates for a comprehensive comparison of hydrolytic capabilities in future work.

Supplementary Materials

The following supporting information can be downloaded at: https://www.mdpi.com/article/10.3390/catal15020185/s1, Table S1: The element mass ratio of Z-L-His/Zn2+ and Z-D-His/Zn2+; Table S2: The kinetic parameters of several esterase mimics and lipases.

Author Contributions

Conceptualization, L.Y.; methodology, J.S. and J.G.; software, J.S. and L.L.; validation, J.S. and L.L.; formal analysis, Y.L. and L.L.; investigation, L.L., J.S. and Y.L.; resource J.G., L.Y. and Y.S.; data curation, J.G. and Y.L.; writing—original draft preparation, J.S. and J.G.; writing—review and editing, L.Y. and Y.S.; supervision, L.Y. and Y.S.; project administration, J.G.; funding acquisition, L.Y. All authors have read and agreed to the published version of the manuscript.

Funding

This research was funded by the National Natural Science Foundation of China (No. 22378306).

Data Availability Statement

Data is available on request from the authors.

Conflicts of Interest

The authors declare no conflicts of interest.

References

  1. Sun, S.; Liu, H.; Xin, Q.; Chen, K.; Ma, H.; Liu, S.; Mu, X.; Hao, W.; Liu, S.; Gao, Y.; et al. Atomic Engineering of Clusterzyme for Relieving Acute Neuroinflammation through Lattice Expansion. Nano Lett. 2021, 21, 2562–2571. [Google Scholar] [CrossRef] [PubMed]
  2. Makam, P.; Yamijala, S.S.R.K.C.; Bhadram, V.S.; Shimon, L.J.W.; Wong, B.M.; Gazit, E. Single amino acid bionanozyme for environmental remediation. Nat. Commun. 2022, 13, 1505. [Google Scholar] [CrossRef] [PubMed]
  3. Bornscheuer, U.T.; Kazlauskas, R.J. Hydrolases in Organic Synthesis:Regio- and Stereoselective Biotransformations; John Wiley and Sons: New York, NY, USA, 2006. [Google Scholar]
  4. Sheldon, R.A.; Woodley, J.M. Role of Biocatalysis in Sustainable Chemistry. Chem. Rev. 2018, 118, 801–838. [Google Scholar] [CrossRef] [PubMed]
  5. Wu, S.; Snajdrova, R.; Moore, J.C.; Baldenius, K.; Bornscheuer, U.T. Biocatalysis: Enzymatic Synthesis for Industrial Applications. Angew. Chem. Int. Ed. 2021, 60, 88–119. [Google Scholar] [CrossRef] [PubMed]
  6. O’Connell, A.; Barry, A.; Burke, A.J.; Hutton, A.E.; Bell, E.L.; Green, A.P.; O’Reilly, E. Biocatalysis: Landmark discoveries and applications in chemical synthesis. Chem. Soc. Rev. 2024, 53, 2828–2850. [Google Scholar] [CrossRef] [PubMed]
  7. Liu, F.; He, L.; Dong, S.; Xuan, J.; Cui, Q.; Feng, Y. Artificial Small Molecules as Cofactors and Biomacromolecular Building Blocks in Synthetic Biology: Design, Synthesis, Applications, and Challenges. Molecules 2023, 28, 5850. [Google Scholar] [CrossRef] [PubMed]
  8. Romano, D.; Bonomi, F.; de Mattos, M.C.; de Sousa Fonseca, T.; de Oliveira, M.d.C.F.; Molinari, F. Esterases as stereoselective biocatalysts. Biotechnol. Adv. 2015, 33, 547–565. [Google Scholar] [CrossRef] [PubMed]
  9. Levisson, M.; van der Oost, J.; Kengen, S.W.M. Carboxylic ester hydrolases from hyperthermophiles. Extremophiles 2009, 13, 567–581. [Google Scholar] [CrossRef] [PubMed]
  10. Chen, Y. A Study of Carboxylic Ester Hydrolases: Structural Classification, Properties, and Database. 2015. Available online: https://dr.lib.iastate.edu/entities/publication/8354a5bf-4264-4fc2-98bc-2dd83293302a/full (accessed on 10 February 2025).
  11. Vaquero, M.E.; Barriuso, J.; Martínez, M.J.; Prieto, A. Properties, structure, and applications of microbial sterol esterases. Appl. Microbiol. Biotechnol. 2016, 100, 2047–2061. [Google Scholar] [CrossRef]
  12. Huang, Z.; Guan, S.; Wang, Y.; Shi, G.; Cao, L.; Gao, Y.; Dong, Z.; Xu, J.; Luo, Q.; Liu, J. Self-assembly of amphiphilic peptides into bio-functionalized nanotubes: A novel hydrolase model. J. Mater. Chem. B 2013, 1, 2297–2304. [Google Scholar] [CrossRef] [PubMed]
  13. Garcia, A.M.; Kurbasic, M.; Kralj, S.; Melchionna, M.; Marchesan, S. A biocatalytic and thermoreversible hydrogel from a histidine-containing tripeptide. Chem. Commun. 2017, 53, 8110–8113. [Google Scholar] [CrossRef] [PubMed]
  14. Bélières, M.; Chouini-Lalanne, N.; Déjugnat, C. Synthesis, self-assembly, and catalytic activity of histidine-based structured lipopeptides for hydrolysis reactions in water. RSC Adv. 2015, 5, 35830–35842. [Google Scholar] [CrossRef]
  15. Chen, L.; Bu, X. Histidine-Controlled Two-Dimensional Assembly of Zinc Phosphite Four-Ring Units. Chem. Mater. 2006, 18, 1857–1860. [Google Scholar] [CrossRef]
  16. Chen, Y.; Yang, Y.; Orr, A.A.; Makam, P.; Redko, B.; Haimov, E.; Wang, Y.; Shimon, L.J.W.; Rencus-Lazar, S.; Ju, M.; et al. Self-Assembled Peptide Nano-Superstructure towards Enzyme Mimicking Hydrolysis. Angew. Chem. 2021, 60, 17164–17170. [Google Scholar] [CrossRef] [PubMed]
  17. Makam, P.; Yamijala, S.S.R.K.C.; Tao, K.; Shimon, L.J.W.; Eisenberg, D.S.; Sawaya, M.R.; Wong, B.M.; Gazit, E. Non-proteinaceous hydrolase comprised of a phenylalanine metallo-supramolecular amyloid-like structure. Nat. Catal. 2019, 2, 977–985. [Google Scholar] [CrossRef]
  18. Fan, C.; Tang, Y.; Wang, H.; Huang, Y.; Xu, F.; Yang, Y.; Huang, Y.; Rong, W.; Lin, Y. ZIF-90 with biomimetic Zn–N coordination structures as an effective nanozyme to mimic natural hydrolase. Nanoscale 2022, 14, 7985–7990. [Google Scholar] [CrossRef] [PubMed]
  19. Bai, Y.; Ling, Y.; Shi, W.; Cai, L.; Jia, Q.; Jiang, S.; Liu, K. Heteromeric Assembled Polypeptidic Artificial Hydrolases with a Six-Helical Bundle Scaffold. ChemBioChem 2011, 12, 2647–2658. [Google Scholar] [CrossRef]
  20. Zhang, Q.; He, X.; Han, A.; Tu, Q.; Fang, G.; Liu, J.; Wang, S.; Li, H. Artificial hydrolase based on carbon nanotubes conjugated with peptides. Nanoscale 2016, 8, 16851–16856. [Google Scholar] [CrossRef]
  21. Guan, M.; Wang, M.; Qi, W.; Su, R.; He, Z. Biomineralization-inspired copper-cystine nanoleaves capable of laccase-like catalysis for the colorimetric detection of epinephrine. Front. Chem. Sci. Eng. 2021, 15, 310–318. [Google Scholar] [CrossRef]
  22. Liu, Y.; Liu, L.; Qu, Z.; Yu, L.; Sun, Y. Supramolecular assembly of benzophenone alanine and copper presents high laccase-like activity for the degradation of phenolic pollutants. J. Hazard. Mater. 2023, 443, 130198. [Google Scholar] [CrossRef] [PubMed]
  23. Tao, K.; Orr, A.A.; Hu, W.; Makam, P.; Zhang, J.; Geng, Q.; Li, B.; Jakubowski, J.M.; Wang, Y.; Tamamis, P.; et al. EDTA-mimicking amino acid–metal ion coordination for multifunctional packings. J. Mater. Chem. A 2021, 9, 20385–20394. [Google Scholar] [CrossRef]
  24. Jia, R.; Hu, Y.; Huang, H. Improving the catalytic performance of porcine pancreatic lipase in the presence of [MMIm][MeSO4] with the modification of functional ionic liquids. Process Biochem. 2014, 49, 668–672. [Google Scholar] [CrossRef]
  25. Yuan, X.; Wu, X.; Xiong, J.; Yan, B.; Gao, R.; Liu, S.; Zong, M.; Ge, J.; Lou, W. Hydrolase mimic via second coordination sphere engineering in metal-organic frameworks for environmental remediation. Nat. Commun. 2023, 14, 5974. [Google Scholar] [CrossRef] [PubMed]
  26. Wang, J.; Huang, R.; Qi, W.; Su, R.; He, Z. Construction of biomimetic nanozyme with high laccase- and catecholase-like activity for oxidation and detection of phenolic compounds. J. Hazard. Mater. 2022, 429, 128404. [Google Scholar] [CrossRef] [PubMed]
  27. Han, J.; Zou, Q.; Su, W.; Yan, X. Minimal metallo-nanozymes constructed through amino acid coordinated self-assembly for hydrolase-like catalysis. Chem. Eng. J. 2020, 394, 124987. [Google Scholar] [CrossRef]
  28. Li, S.; Zou, Q.; Li, Y.; Yuan, C.; Xing, R.; Yan, X. Smart Peptide-Based Supramolecular Photodynamic Metallo-Nanodrugs Designed by Multicomponent Coordination Self-Assembly. J. Am. Chem. Soc. 2018, 140, 10794–10802. [Google Scholar] [CrossRef] [PubMed]
  29. Imaz, I.; Rubio-Martínez, M.; Saletra, W.J.; Amabilino, D.B.; Maspoch, D. Amino Acid Based Metal−Organic Nanofibers. J. Am. Chem. Soc. 2009, 131, 18222–18223. [Google Scholar] [CrossRef]
  30. Lo, C.; Zhang, J.; Somasundaran, P.; Lee, J.W. Investigations of surfactant effects on gas hydrate formation via infrared spectroscopy. J. Colloid Interface Sci. 2012, 376, 173–176. [Google Scholar] [CrossRef] [PubMed]
  31. Farah Naz, T.; Sidra, K.; Ahsanullah, U.; Hassan Imran, A.; Adnan, I.; Muhammad Sohail, B. Efficient Hydrolysis of Cottonseed Oil with Amano Lipase Entrapped on Hydrolysed Polyvinyl Alcohol Gel Pellets Optimized via Factorial Design. Curr. Org. Chem. 2023, 27, 1641–1650. [Google Scholar] [CrossRef]
  32. Goswami, D.; De, S.; Basu, J.K. Effects of process variables and additives on mustard oil hydrolysis by porcine pancreas lipase. Braz. J. Chem. Eng. 2012, 29, 449–460. [Google Scholar] [CrossRef]
  33. Serebryakova, L.T.; Zorin, N.A.; Karyakin, A.A. Improvement of hydrogenase enzyme activity by water-miscible organic solvents. Enzym. Microb. Technol. 2009, 44, 329–333. [Google Scholar] [CrossRef]
  34. Anbu, P.; So, J.-S.; Hur, B.-K.; Yun, H.-S. Organic solvent stable protease isolation and characterization from organic solvent tolerant strain of Lysinibacillus sphaericus PAP02. Biologia 2016, 71, 972–979. [Google Scholar] [CrossRef]
  35. Xiang, Y.; Yu, D.; Qin, C.; Deng, J.; Wang, X.; Ge, B.; Huang, F. Bimetallic zeolitic imidazolate frameworks Co/ZIF-8 crystals as carbonic anhydrase-mimicking nanozyme. Colloids Surf. A Physicochem. Eng. Asp. 2024, 685, 133227. [Google Scholar] [CrossRef]
  36. Chen, J.; Zhang, Y.; Cao, X.-Y.; Wang, J.; Chen, Y.; Zhao, Y.-F. Monitoring the Hydrolysis of p-Nitrophenyl Acetate Catalyzed by Seryl-histidine with Electrospray Ionization Mass Spectrometry. Chin. J. Chem. 2002, 20, 1097–1101. [Google Scholar] [CrossRef]
Figure 1. Scheme of the synthesis of Z-His/Zn2+ and the hydrolysis of p-nitrophenyl acetate.
Figure 1. Scheme of the synthesis of Z-His/Zn2+ and the hydrolysis of p-nitrophenyl acetate.
Catalysts 15 00185 g001
Figure 2. (a) SEM images and (b) EDS mappings of Z-L-His/Zn2+ and Z-D-His/Zn2+.
Figure 2. (a) SEM images and (b) EDS mappings of Z-L-His/Zn2+ and Z-D-His/Zn2+.
Catalysts 15 00185 g002
Figure 3. XPS spectra of Z-L-His, Z-D-His, Z-L-His/Zn2+, and Z-L-His/Zn2+. (ad) Full-scan XPS spectra of (a) Z-L-His, (b) Z-D-His, (c) Z-L-His/Zn2+, and (d) Z-L-His/Zn2+. (e,f) N1s spectra of (e) Z-L-His and Z-L-His/Zn2+, and (f) Z-D-His and Z-D-His/Zn2+. (g,h) Zn 2p spectra of (g) Z-L-His/Zn2+ and (h) Z-D-His/Zn2+. (i,j) O1s spectra of (i) Z-L-His and Z-L-His/Zn2+ and (j) Z-D-His and Z-D-His/Zn2+. (k,l) Zn LM2 spectra of (k) Z-L-His/Zn2+ and (l) of Z-D-His/Zn2+.
Figure 3. XPS spectra of Z-L-His, Z-D-His, Z-L-His/Zn2+, and Z-L-His/Zn2+. (ad) Full-scan XPS spectra of (a) Z-L-His, (b) Z-D-His, (c) Z-L-His/Zn2+, and (d) Z-L-His/Zn2+. (e,f) N1s spectra of (e) Z-L-His and Z-L-His/Zn2+, and (f) Z-D-His and Z-D-His/Zn2+. (g,h) Zn 2p spectra of (g) Z-L-His/Zn2+ and (h) Z-D-His/Zn2+. (i,j) O1s spectra of (i) Z-L-His and Z-L-His/Zn2+ and (j) Z-D-His and Z-D-His/Zn2+. (k,l) Zn LM2 spectra of (k) Z-L-His/Zn2+ and (l) of Z-D-His/Zn2+.
Catalysts 15 00185 g003
Figure 4. (a,b) XRD patterns, (c,d) FTIR spectra, (e,g) nitrogen isotherm adsorption–desorption isotherms, and (f,h) pore size distribution of Z-L-His/Zn2+ and Z-D-His/Zn2+.
Figure 4. (a,b) XRD patterns, (c,d) FTIR spectra, (e,g) nitrogen isotherm adsorption–desorption isotherms, and (f,h) pore size distribution of Z-L-His/Zn2+ and Z-D-His/Zn2+.
Catalysts 15 00185 g004
Figure 5. (a) UV–Vis spectra of different catalysts, substrates, and pNP. (b,c) Relative catalytic activity of different combinations of catalyst components with (b) pNPA or (c) pNPB as the substrate.
Figure 5. (a) UV–Vis spectra of different catalysts, substrates, and pNP. (b,c) Relative catalytic activity of different combinations of catalyst components with (b) pNPA or (c) pNPB as the substrate.
Catalysts 15 00185 g005
Figure 6. Time-dependent hydrolysis of pNPA and pNPB by Z-L-His and Z-D-His. (a,b) Time-dependent changes in absorbance at 405 nm with Z-L-His (a) and Z-D-His (b) for hydrolysis of pNPA. (c) UV–Vis spectra of different catalysts for hydrolysis of pNPA. (d,e) Time-dependent changes in absorbance at 405 nm with Z-L-His (d) and Z-D-His (e) for hydrolysis of pNPB. (f) UV–Vis spectra of different catalysts for hydrolysis of pNPB.
Figure 6. Time-dependent hydrolysis of pNPA and pNPB by Z-L-His and Z-D-His. (a,b) Time-dependent changes in absorbance at 405 nm with Z-L-His (a) and Z-D-His (b) for hydrolysis of pNPA. (c) UV–Vis spectra of different catalysts for hydrolysis of pNPA. (d,e) Time-dependent changes in absorbance at 405 nm with Z-L-His (d) and Z-D-His (e) for hydrolysis of pNPB. (f) UV–Vis spectra of different catalysts for hydrolysis of pNPB.
Catalysts 15 00185 g006
Figure 7. Substrate universality of Z-L-His, Z-D-His, Z-L-His/Zn2+, and Z-D-His/Zn2+. (a,b) Relative catalytic activity of (a) Z-L-His and Z-D-His, and (b) Z-L-His/Zn2+ and Z-D-His/Zn2+ for various substrates. (c) Relative activity of the four catalyzers with D-pNPA and L-pNPA as substrates.
Figure 7. Substrate universality of Z-L-His, Z-D-His, Z-L-His/Zn2+, and Z-D-His/Zn2+. (a,b) Relative catalytic activity of (a) Z-L-His and Z-D-His, and (b) Z-L-His/Zn2+ and Z-D-His/Zn2+ for various substrates. (c) Relative activity of the four catalyzers with D-pNPA and L-pNPA as substrates.
Catalysts 15 00185 g007
Figure 8. Enzymatic kinetics of varying catalysts with pNPA (a) and pNPB (b) as the substrates.
Figure 8. Enzymatic kinetics of varying catalysts with pNPA (a) and pNPB (b) as the substrates.
Catalysts 15 00185 g008
Figure 9. Relative activity of Z-L-His, Z-L-His/Zn2+, PPL, and ANL under different (a) incubation temperatures, (b) pH, (c) NaCl concentrations, and (d) ACN concentrations.
Figure 9. Relative activity of Z-L-His, Z-L-His/Zn2+, PPL, and ANL under different (a) incubation temperatures, (b) pH, (c) NaCl concentrations, and (d) ACN concentrations.
Catalysts 15 00185 g009
Figure 10. Long-term storage stability of Z-L-His, Z-L-His/Zn2+, PPL and ANL at different (ac) temperatures, (a,d,g) pH, (a,e,h) ion strengths and (a,f,i) organic solvents.
Figure 10. Long-term storage stability of Z-L-His, Z-L-His/Zn2+, PPL and ANL at different (ac) temperatures, (a,d,g) pH, (a,e,h) ion strengths and (a,f,i) organic solvents.
Catalysts 15 00185 g010
Figure 11. Reusability of Z-L-His/Zn2+. (a) Relative activity during the recycling process. (b) FTIR spectrum of Z-L-His/Zn2+ after 6 cycles. (c) SEM images of Z-L-His/Zn2+ after 6 cycles. (d) XPS spectrum of Z-L-His/Zn2+ before and after 6 cycles.
Figure 11. Reusability of Z-L-His/Zn2+. (a) Relative activity during the recycling process. (b) FTIR spectrum of Z-L-His/Zn2+ after 6 cycles. (c) SEM images of Z-L-His/Zn2+ after 6 cycles. (d) XPS spectrum of Z-L-His/Zn2+ before and after 6 cycles.
Catalysts 15 00185 g011
Figure 12. (a) Mechanism diagram for the hydrolysis of pNPA catalyzed by imidazole group in Z-His and Z-His/Zn2+. (b) Catalytic mechanism of Z-L-His/Zn2+ or Z-D-His/Zn2+.
Figure 12. (a) Mechanism diagram for the hydrolysis of pNPA catalyzed by imidazole group in Z-His and Z-His/Zn2+. (b) Catalytic mechanism of Z-L-His/Zn2+ or Z-D-His/Zn2+.
Catalysts 15 00185 g012
Disclaimer/Publisher’s Note: The statements, opinions and data contained in all publications are solely those of the individual author(s) and contributor(s) and not of MDPI and/or the editor(s). MDPI and/or the editor(s) disclaim responsibility for any injury to people or property resulting from any ideas, methods, instructions or products referred to in the content.

Share and Cite

MDPI and ACS Style

Sun, J.; Guo, J.; Liu, L.; Liu, Y.; Yu, L.; Sun, Y. Self-Assembly of Benzyloxycarbonyl Histidine with Zinc Ions for the Construction of Esterase Mimics. Catalysts 2025, 15, 185. https://doi.org/10.3390/catal15020185

AMA Style

Sun J, Guo J, Liu L, Liu Y, Yu L, Sun Y. Self-Assembly of Benzyloxycarbonyl Histidine with Zinc Ions for the Construction of Esterase Mimics. Catalysts. 2025; 15(2):185. https://doi.org/10.3390/catal15020185

Chicago/Turabian Style

Sun, Jiacheng, Jingjing Guo, Ling Liu, Yu Liu, Linling Yu, and Yan Sun. 2025. "Self-Assembly of Benzyloxycarbonyl Histidine with Zinc Ions for the Construction of Esterase Mimics" Catalysts 15, no. 2: 185. https://doi.org/10.3390/catal15020185

APA Style

Sun, J., Guo, J., Liu, L., Liu, Y., Yu, L., & Sun, Y. (2025). Self-Assembly of Benzyloxycarbonyl Histidine with Zinc Ions for the Construction of Esterase Mimics. Catalysts, 15(2), 185. https://doi.org/10.3390/catal15020185

Note that from the first issue of 2016, this journal uses article numbers instead of page numbers. See further details here.

Article Metrics

Back to TopTop