The Effect of the Pore Size of TiO2 Aerogel on the Photocatalytic Decomposition of Formaldehyde
Abstract
1. Introduction
2. Results and Discussion
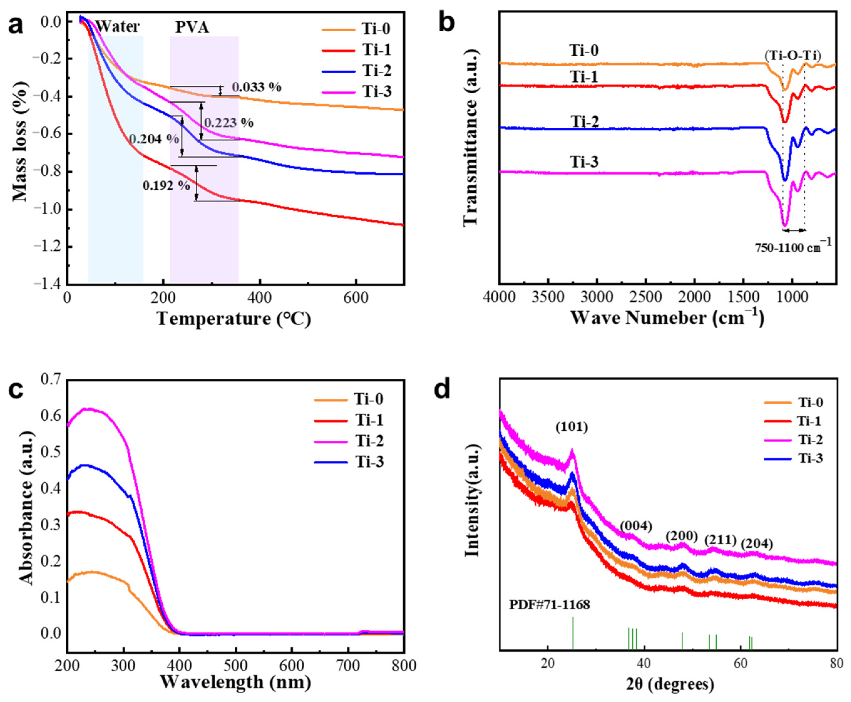
2.1. Structure and Composition Characterization
2.2. Morphology Characterization
2.3. Characterization of Photocatalytic Properties
2.4. Theoretical Model and Mechanism Analysis
3. Materials and Methods
3.1. Materials and Preparation
3.2. Photocatalysis Experiment
3.3. Materials Characterization
4. Conclusions
Supplementary Materials
Author Contributions
Funding
Data Availability Statement
Acknowledgments
Conflicts of Interest
References
- Duan, C.M.; Meng, M.W.; Huang, H.; Wang, H.; Ding, H.; Zhang, Q. Adsorptivity and kinetics for low concentration of gaseous formaldehyde on bamboo-based activated carbon loaded with ammonium acetate particles. Environ. Res. 2023, 222, 115364. [Google Scholar] [CrossRef] [PubMed]
- Belaissaoui, B.; Le Moullec, Y.; Favre, E. Energy efficiency of a hybrid membrane/condensation process for VOC (Volatile Organic Compounds) recovery from air: A generic approach. Energy 2016, 95, 291–302. [Google Scholar] [CrossRef]
- Zhang, C.; Gao, X.; Qin, J.C.; Guo, Q.K.; Zhou, H.L.; Jin, W.Q. Microporous polyimide VOC-rejective membrane for the separation of nitrogen/VOC mixture. J. Hazard. Mater. 2021, 402, 123817. [Google Scholar] [CrossRef]
- Chen, Y.S.; Hsu, Y.C.; Lin, C.C.; Tai, C.Y.D.; Liu, H.S. Volatile organic compounds absorption in a cross-flow rotating packed bed. Environ. Sci. Technol. 2008, 42, 2631–2636. [Google Scholar] [CrossRef] [PubMed]
- Shah, R.K.; Thonon, B.; Benforado, D.M. Opportunities for heat exchanger applications in environmental systems. Appl. Therm. Eng. 2000, 20, 631–650. [Google Scholar] [CrossRef]
- Nian, H.J.; Meng, Q.C.; Zhang, W.; Chen, L.M. Overexpression of the formaldehyde dehydrogenase gene from brevibacillus brevis to enhance formaldehyde tolerance and detoxification of tobacco. Appl. Biochem. Biotech. 2013, 169, 170–180. [Google Scholar] [CrossRef] [PubMed]
- Mohamed, E.F.; Awad, G.; Ibrahim, A.S.S. Biodegradation of formaldehyde gas pollutant by a novel immobilized haloalkaliphilic Salipaludibacillus agaradhaerens strain NRC-R isolated from hypersaline soda lakes. Results Eng. 2023, 19, 101374. [Google Scholar] [CrossRef]
- Kumar, V.; Lee, Y.S.; Shin, J.W.; Kim, K.H.; Kukkar, D.; Tsang, Y.F. Potential applications of graphene-based nanomaterials as adsorbent for removal of volatile organic compounds. Environ. Int. 2020, 135, 105356. [Google Scholar] [CrossRef]
- Fan, X.; Zhu, T.L.; Sun, Y.F.; Yan, X. The roles of various plasma species in the plasma and plasma-catalytic removal of low-concentration HCHO in air. J. Hazard. Mater. 2011, 196, 380–385. [Google Scholar] [CrossRef]
- Wang, F.P.; Li, W.; Zhang, W.M.; Ye, R.R.; Tan, X.H. Facile fabrication of the Ag nanoparticles decorated graphitic carbon nitride photocatalyst film for indoor air purification under visible light. Build. Environ. 2022, 222, 109402. [Google Scholar] [CrossRef]
- Kwon, D.W.; Seo, P.W.; Kim, G.J.; Hong, S.C. Characteristics of the HCHO oxidation reaction over Pt/TiO2 catalysts at room temperature: The effect of relative humidity on catalytic activity. Appl. Catal. B-Environ. 2015, 163, 436–443. [Google Scholar] [CrossRef]
- Sabia, P.; Romeo, F.; de Joannon, M.; Cavaliere, A. VOC destruction by water diluted hydrogen mild combustion. Chemosphere 2007, 68, 330–337. [Google Scholar] [CrossRef]
- Yang, C.T.; Miao, G.; Pi, Y.H.; Xia, Q.B.; Wu, J.L.; Li, Z.; Xiao, J. Abatement of various types of VOCs by adsorption/catalytic oxidation: A review. Chem. Eng. J. 2019, 370, 1128–1153. [Google Scholar] [CrossRef]
- Zhang, K.; Ding, H.L.; Pan, W.G.; Mu, X.T.; Qiu, K.N.; Ma, J.C.; Zhao, Y.T.; Song, J.; Zhang, Z.Y. Research progress of a composite metal oxide catalyst for VOC degradation. Environ. Sci. Technol. 2022, 56, 9220–9236. [Google Scholar] [CrossRef] [PubMed]
- Rao, Z.P.; Lu, G.H.; Chen, L.; Mahmood, A.; Shi, G.S.; Tang, Z.X.; Xie, X.F.; Sun, J. Photocatalytic oxidation mechanism of Gas-Phase VOCs: Unveiling the role of holes, ·OH and ·O2−. Chem. Eng. J. 2022, 430, 132766. [Google Scholar] [CrossRef]
- Roose, B.; Pathak, S.; Steiner, U. Doping of TiO2 for sensitized solar cells. Chem. Soc. Rev. 2015, 44, 8326–8349. [Google Scholar] [CrossRef]
- Keihan, A.H.; Rasoulnezhad, H.; Mohammadgholi, A.; Sajjadi, S.; Hosseinzadeh, R.; Farhadian, M.; Hosseinzadeh, G. Pd nanoparticle loaded TiO2 semiconductor for photocatalytic degradation of Paraoxon pesticide under visible-light irradiation. J. Mater. Sci. Mater. Electron. 2017, 28, 16718–16727. [Google Scholar] [CrossRef]
- Song, J.; Wang, X.; Bu, Y.; Wang, X.; Zhang, J.; Huang, J.Y.; Ma, R.R.; Zhao, J.F. Photocatalytic enhancement of floating photocatalyst: Layer-by-layer hybrid carbonized chitosan and Fe-N-codoped TiO2 on fly ash cenospheres. Appl. Surf. Sci. 2017, 391, 236–250. [Google Scholar] [CrossRef]
- Wang, W.J.; Lin, F.W.; An, T.C.; Qiu, S.X.; Yu, H.D.; Yan, B.B.; Chen, G.Y.; Hou, L.A. Photocatalytic mineralization of indoor VOC mixtures over unique ternary TiO2/C/MnO2 with high adsorption selectivity. Chem. Eng. J. 2021, 425, 131678. [Google Scholar] [CrossRef]
- Huang, H.B.; Ye, X.G.; Huang, H.L.; Zhang, L.; Leung, D.Y.C. Mechanistic study on formaldehyde removal over Pd/TiO2 catalysts: Oxygen transfer and role of water vapor. Chem. Eng. J. 2013, 230, 73–79. [Google Scholar] [CrossRef]
- Li, Y.B.; Chen, X.Y.; Wang, C.Y.; Zhang, C.B.; He, H. Sodium enhances Ir/TiO2 activity for catalytic oxidation of formaldehyde at ambient temperature. ACS Catal. 2018, 8, 11377–11385. [Google Scholar] [CrossRef]
- Zykov, F.; Selyanin, I.; Shishkin, R.; Kartashov, V.; Borodianskiy, K.; Yuferov, Y. Study of the photocatalytic properties of Ni-doped nanotubular titanium oxide. Coatings 2023, 13, 144. [Google Scholar] [CrossRef]
- Keller, K.; Khramenkova, E.V.; Slabov, V.L.; Musin, A.; Kalashnikov, A.; Vinogradov, A.V.; Pidko, E.A. Inkjet printing of Sc-doped TiO2 with enhanced photoactivity. Coatings 2019, 9, 78. [Google Scholar] [CrossRef]
- Serga, V.; Burve, R.; Krumina, A.; Pankratova, V.; Popov, A.I.; Pankratov, V. Study of phase composition, photocatalytic activity, and photoluminescence of TiO2 with Eu additive produced by the extraction-pyrolytic method. J. Mater. Res. Technol. 2021, 13, 2350–2360. [Google Scholar] [CrossRef]
- Liu, W.X.; Jiang, P.; Shao, W.N.; Zhang, J.; Cao, W.B. A novel approach for the synthesis of visible-light-active nanocrystalline N-doped TiO2 photocatalytic hydrosol. Solid. State Sci. 2014, 33, 45–48. [Google Scholar] [CrossRef]
- Tompsett, G.A.; Bowmaker, G.A.; Cooney, R.P.; Metson, J.B.; Rodgers, K.A.; Seakins, J.M. The Raman spectrum of brookite, TiO2 (Pbca, Z = 8). J. Raman Spectrosc. 1995, 26, 57–62. [Google Scholar] [CrossRef]
- Rasoulnezhad, H.; Hosseinzadeh, G.; Hosseinzadeh, R.; Ghasemian, N. Preparation of transparent nanostructured N-doped TiO2 thin films by combination of sonochemical and CVD methods with visible light photocatalytic activity. J. Adv. Ceram. 2018, 7, 185–196. [Google Scholar] [CrossRef]
- Devi, L.G.; Kavitha, R. A review on non metal ion doped titania for the photocatalytic degradation of organic pollutants under UV/solar light: Role of photogenerated charge carrier dynamics in enhancing the activity. Appl. Catal. B-Environ. 2013, 140–141, 559–587. [Google Scholar] [CrossRef]
- Yue, X.; Xiang, J.H.; Chen, J.Y.; Li, H.X.; Qiu, Y.S.; Yu, X.B. High surface area, high catalytic activity titanium dioxide aerogels prepared by solvothermal crystallization. J. Mater. Sci. Technol. 2020, 47, 223–230. [Google Scholar] [CrossRef]
- Cao, S.L.; Yeung, K.L.; Kwan, J.K.C.; To, P.M.T.; Yu, S.C.T. An investigation of the performance of catalytic aerogel filters. Appl. Catal. B-Environ. 2009, 86, 127–136. [Google Scholar] [CrossRef]
- Chen, W.; Sui, L.X.; Long, X.; Liao, J.X.; Wang, S.Z.; Wei, X.B. Anatase TiO2 aerogel with high specific surface areas and porous network structures for ultra-fast response hydrogen sensor. Int. J. Hydrogen Energ. 2024, 50, 973–991. [Google Scholar] [CrossRef]
- Kim, Y.N.; Shao, G.N.; Jeon, S.J.; Imran, S.M.; Sarawade, P.B.; Kim, H.T. Sol–gel synthesis of sodium silicate and titanium oxychloride based TiO2-SiO2 aerogels and their photocatalytic property under UV irradiation. Chem. Eng. J. 2013, 231, 502–511. [Google Scholar] [CrossRef]
- Noman, M.T.; Ashraf, M.A.; Ali, A. Synthesis and applications of nano-TiO2: A review. Environ. Sci. Pollut. Res. 2019, 26, 3262–3291. [Google Scholar] [CrossRef] [PubMed]
- Trinh, T.T.P.N.X.; Giang, N.T.H.; Huong, L.M.; Thinh, D.B.; Dat, N.M.; Trinh, D.N.; Hai, N.D.; Oanh, D.T.Y.; Nam, H.M.; Phong, M.T.; et al. Hydrothermal synthesis of titanium dioxide/graphene aerogel for photodegradation of methylene blue in aqueous solution. J. Sci-Adv. Mater. Dev. 2022, 7, 100433. [Google Scholar] [CrossRef]
- Coles, M.P.; Lugmair, C.G.; Terry, K.W.; Tilley, T.D. Titania-silica materials from the molecular precursor Ti[OSi(OtBu)3]4: Selective epoxidation catalysts. Chem. Mater. 1999, 12, 122–131. [Google Scholar] [CrossRef]
- Yang, X.; Ma, J.J.; Ling, J.; Li, N.; Wang, D.; Yue, F.; Xu, S.M. Cellulose acetate-based SiO2/TiO2 hybrid microsphere composite aerogel films for water-in-oil emulsion separation. Appl. Surf. Sci. 2018, 435, 609–616. [Google Scholar] [CrossRef]
- Giang, N.T.H.; Tan, N.N.; Huong, L.; Hai, N.D.; Thinh, N.T.; Phuc, N.T.; Dat, N.M.; Phong, M.T.; Hieu, N.H. Photocatalytic degradation of crystal violet on titanium dioxide/graphene aerogel doped sulfur. J. Mol. Struct. 2023, 1271, 134031. [Google Scholar] [CrossRef]
- Doneliene, J.; Fataraite-Urboniene, E.; Danchova, N.; Gutzov, S.; Ulbikas, J. The influence of the precursor’s nature and drying conditions on the structure, morphology, and thermal properties of TiO2 aerogels. Gels 2022, 8, 422. [Google Scholar] [CrossRef]
- Doneliene, J.; Fataraite-Urboniene, E.; Rudzikas, M.; Pakalka, S.; Danchova, N.; Ulbikas, J. Effect of precursor nature and sol-gel synthesis conditions on TiO2 aerogel’s structure. Molecules 2021, 26, 5059. [Google Scholar] [CrossRef]
- Feng, Q.G.; Cai, H.D.; Lin, H.Y.; Qin, S.Y.; Liu, Z.; Ma, D.C.; Ye, Y.Y. Synthesis and structural characteristics of high surface area TiO2 aerogels by ultrasonic-assisted sol–gel method. Nanotechnology 2018, 29, 050702. [Google Scholar]
- Su, X.P.; Liao, Q.; Liu, L.; Meng, R.J.; Qian, Z.Q.; Gao, H.Y.; Yao, J.M. Cu2O nanoparticle-functionalized cellulose-based aerogel as high-performance visible-light photocatalyst. Cellulose 2017, 24, 1017–1029. [Google Scholar] [CrossRef]
- Habibi, S.; Jamshidi, M. Synthesis of TiO2 nanoparticles coated on cellulose nanofibers with different morphologies: Effect of the template and sol-gel parameters. Mater. Sci. Semicond. Process. 2020, 109, 104927. [Google Scholar] [CrossRef]
- Rebber, M.; Sannemüller, H.; Jaruszewski, M.; Pfannkuche, D.; Urakawa, A.; Koziej, D. Light and mass transport computations guide the fabrication of 3D-structured TiO2 and Au/TiO2 aerogel photocatalysts for efficient hydrogen production in the gas phase. Chem. Mater. 2023, 35, 3849–3858. [Google Scholar] [CrossRef]
- Dong, G.L.; Gao, Y.B.; Chen, S.Y. Effects of different drying methods on the properties of TiO2 particles. Acta Phys.-Chim. Sin. 1998, 14, 142–146. [Google Scholar]
- Liu, J.X.; Bai, L.N.; Shi, F.; Hu, Z.Q.; Jiang, Y.Y.; Zhao, T. Pore structure characterization of TiO2-SiO2 composite aerogel prepared via ambient pressure drying by sol pre-modification process. Adv. Mater. Res. 2012, 534, 101–105. [Google Scholar] [CrossRef]
- Moussaoui, R.; Elghniji, K.; ben Mosbah, M.; Elaloui, E.; Moussaoui, Y. Sol-gel synthesis of highly TiO2 aerogel photocatalyst via high temperature supercritical drying. J. Saudi Chem. Soc. 2017, 21, 751–760. [Google Scholar] [CrossRef]
- Ghosal, S.; Baumann, T.F.; King, J.S.; Kucheyev, S.O.; Wang, Y.M.; Worsley, M.A.; Biener, J.; Bent, S.F.; Hamza, A.V. Controlling atomic layer deposition of TiO2 in aerogels through surface functionalization. J. Immunol. 2009, 183, 6619–6628. [Google Scholar] [CrossRef]
- Xia, Y.; Man, J.W.; Wu, X.D.; Huang, S.T.; Lu, A.Q.; Shen, X.D.; Cui, S.; Chen, X.B.; Fu, G.T. Oxygen-vacancy-assisted construction of Ce–TiO2 aerogel for efficiently boosting photocatalytic CO2 reduction without any sacrifice agent. Ceram. Int. 2023, 49, 6100–6112. [Google Scholar] [CrossRef]
- Zhang, L.X.; Rao, L.; Wang, P.F.; Shi, Z.Y. Durable, strong, and flexible superhydrophobic N-TiO2 silicone composite aerogels with unique air-liquid-solid triphase photocatalytic properties. Appl. Surf. Sci. 2023, 609, 155348. [Google Scholar] [CrossRef]
- Zu, G.Q.; Shen, J.; Wang, W.Q.; Zou, L.P.; Lian, Y.; Zhang, Z.H. Silica-titania composite aerogel photocatalysts by chemical liquid deposition of titania onto nanoporous silica scaffolds. Acs Appl. Mater. Interfaces 2015, 7, 5400–5409. [Google Scholar] [CrossRef] [PubMed]
- Li, S.T.; Li, G.; Chen, Q.; Wang, F. Facile green synthesis of degraded-PVA coated TiO2 nanoparticles with enhanced photocatalytic activity under visible light. J. Phys. Chem. Solids 2019, 129, 92–98. [Google Scholar] [CrossRef]
- Li, L.S.; Yang, G.D.; Lyu, J.; Sheng, Z.Z.; Ma, F.G.; Zhang, X.T. Folk arts-inspired twice-coagulated configuration-editable tough aerogels enabled by transformable gel precursors. Nat. Commun. 2024, 14, 8450. [Google Scholar] [CrossRef]
- Shayegan, Z.; Lee, C.S.; Haghighat, F. TiO2 photocatalyst for removal of volatile organic compounds in gas phase—A review. Chem. Eng. J. 2017, 334, 2408–2439. [Google Scholar] [CrossRef]
- Xu, H.M.; Wang, H.C.; Shen, Y.; Lin, Y.H.; Nan, C.W. Low-dimensional nanostructured photocatalysts. J. Adv. Ceram. 2015, 4, 159–182. [Google Scholar] [CrossRef]









| Sample | Specific Surface Area (m2/g) | Average Pore Size (nm) | Pore Volume (cm3/g) |
|---|---|---|---|
| Ti-0 | 79.2 ± 0.5 | 64.62 ± 0.05 | 0.821 ± 10−3 |
| Ti-1 | 281.8 ± 0.5 | 7.91 ± 0.05 | 0.515 ± 10−3 |
| Ti-2 | 240.7 ± 0.5 | 12.93 ± 0.05 | 0.414 ± 10−3 |
| Ti-3 | 269.0 ± 0.5 | 48.58 ± 0.05 | 0.386 ± 10−3 |
| Sample | 0 h (mM) | 1 h (mM) | 2 h (mM) | 3 h (mM) | 4 h (mM) | /% |
|---|---|---|---|---|---|---|
| Ti-0 | 100.0 | 99.2 | 98.1 | 97.8 | 97.6 | 2.4% |
| Ti-1 | 100.0 | 74.5 | 63.1 | 45.7 | 45.1 | 54.9% |
| Ti-2 | 100.0 | 91.4 | 84.7 | 82.3 | 81.5 | 18.5% |
| Ti-3 | 100.0 | 81.5 | 77.4 | 69.2 | 66.9 | 33.1% |
Disclaimer/Publisher’s Note: The statements, opinions and data contained in all publications are solely those of the individual author(s) and contributor(s) and not of MDPI and/or the editor(s). MDPI and/or the editor(s) disclaim responsibility for any injury to people or property resulting from any ideas, methods, instructions or products referred to in the content. |
© 2025 by the authors. Licensee MDPI, Basel, Switzerland. This article is an open access article distributed under the terms and conditions of the Creative Commons Attribution (CC BY) license (https://creativecommons.org/licenses/by/4.0/).
Share and Cite
Sun, F.; Yue, X.; Yu, X.; Di, Y.; Chen, H.; Xie, S.; Han, W.; Xi, X.; Zhang, W.; Zou, H.; et al. The Effect of the Pore Size of TiO2 Aerogel on the Photocatalytic Decomposition of Formaldehyde. Catalysts 2025, 15, 171. https://doi.org/10.3390/catal15020171
Sun F, Yue X, Yu X, Di Y, Chen H, Xie S, Han W, Xi X, Zhang W, Zou H, et al. The Effect of the Pore Size of TiO2 Aerogel on the Photocatalytic Decomposition of Formaldehyde. Catalysts. 2025; 15(2):171. https://doi.org/10.3390/catal15020171
Chicago/Turabian StyleSun, Fenglei, Xian Yue, Xianbo Yu, Yuqian Di, Hu Chen, Shuao Xie, Wei Han, Xiaoxue Xi, Wenjing Zhang, Hanyu Zou, and et al. 2025. "The Effect of the Pore Size of TiO2 Aerogel on the Photocatalytic Decomposition of Formaldehyde" Catalysts 15, no. 2: 171. https://doi.org/10.3390/catal15020171
APA StyleSun, F., Yue, X., Yu, X., Di, Y., Chen, H., Xie, S., Han, W., Xi, X., Zhang, W., Zou, H., Li, H., & Xiang, J. (2025). The Effect of the Pore Size of TiO2 Aerogel on the Photocatalytic Decomposition of Formaldehyde. Catalysts, 15(2), 171. https://doi.org/10.3390/catal15020171

