Selecting the Most Suitable DFT-XC Functional for Consistent Modeling of Subnanometric Gold Clusters in Catalytic Systems
Abstract
1. Introduction
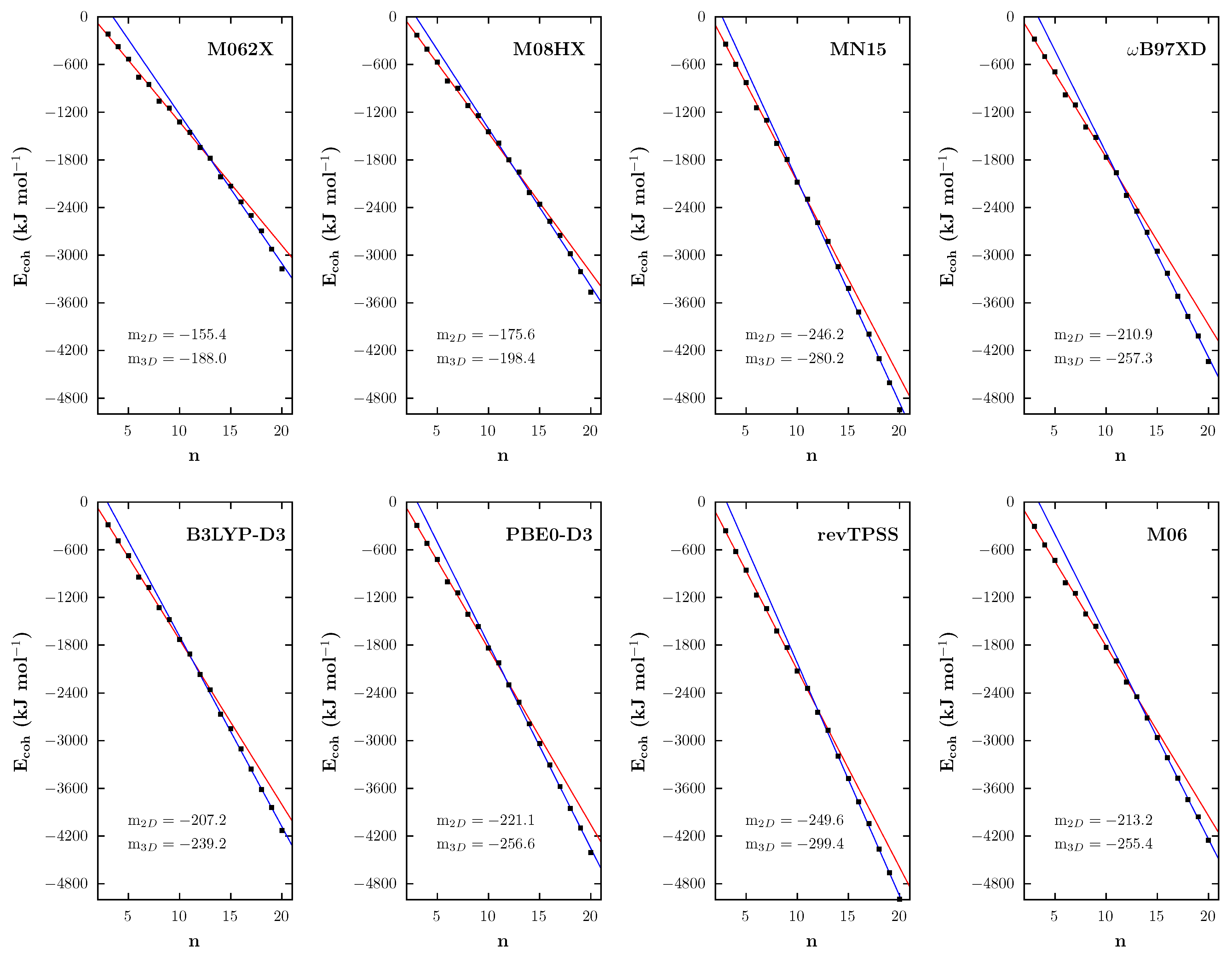
2. Results and Discussion
- the existence of a three-dimensional Au7 cluster is predicted;
- the absolute value of reaches a minimum for Au9 and then rises again;
- the crossing point is from Au12 to Au13;
- near the crossing point the magnitudes of are very low: the two functionals agree in suggesting the possibility of the co-presence of the two types of geometric shape;
- finally, M06 shows the smallest deviations from revTPSS as regards the numerical values of resulting for all the clusters up to Au20.
3. Computational Methods
- M062X [35], a hybrid meta-GGA functional with 54% HF exchange, one of the most reliable choices for main group chemistry but seemingly not suitable for transition metals;
- M08HX [36], a hybrid meta-GGA functional having 52.2% of HF exchange, with good accuracy for the description of atomization energies, noncovalent interactions, barrier heights, changes of multiplicity;
- MN15 [37], one of the latest functionals from Minnesota group, it is a global meta-hybrid GGA functional (44% HF exchange) showing a good performance for systems whose electronic structure requires a multireference treatment;
- M06 [35], a hybrid meta-GGA functional with 27% HF exchange, which showed good reliability both for main group and transition metal chemistry;
- revTPSS [38], a semi-local meta-GGA functional with improved treatment of condensed matter and solid state;
4. Conclusions
Supplementary Materials
Author Contributions
Funding
Data Availability Statement
Conflicts of Interest
Abbreviations
| AuNC | Gold NanoCluster |
| cc-pVDZ-PP | Correlation Consistent Polarized Valence Double Zeta + PseudoPotentials |
| CCSD(T) | Coupled Cluster Singles Doubles and perturbative Triples |
| DFT | Density Functional Theory |
| GGA | Generalized Gradient Approximation |
| HF | Hartree–Fock |
| HMF | 5-HydroxyMethylFurfural |
| MP2 | Möller-Plesset theory at second order |
| WTMAD | Weighted Total Mean Absolute Deviations |
References
- Li, J.; Zhao, X.; Ma, Z.; Pei, Y. Structure and Catalytic Activity of Gold Clusters Supported on Nitrogen-Doped Graphene. J. Phys. Chem. C 2021, 125, 5006–5019. [Google Scholar] [CrossRef]
- Serna-Gallén, P.; Muzina, K. Metallic Nanoparticles at the Forefront of Research: Novel Trends in Catalysis and Plasmonics. Nano Mater. Sci. 2024; in press. [Google Scholar] [CrossRef]
- Mato, M.; Franchino, A.; García-Morales, C.; Echavarren, A.M. Gold-Catalyzed Synthesis of Small Rings. Chem. Rev. 2020, 121, 8613–8684. [Google Scholar] [CrossRef]
- Cai, X.; Li, G.; Hu, W.; Zhu, Y. Catalytic Conversion of CO2 over Atomically Precise Gold-Based Cluster Catalysts. ACS Catal. 2022, 12, 10638–10653. [Google Scholar] [CrossRef]
- Qin, L.; Wang, Z.; Fu, Y.; Lai, C.; Liu, X.; Li, B.; Liu, S.; Yi, H.; Li, L.; Zhang, M.; et al. Gold Nanoparticles-Modified MnFe2O4 with Synergistic Catalysis for Photo-Fenton Degradation of Tetracycline Under Neutral pH. J. Hazard. Mater. 2021, 414, 125448. [Google Scholar] [CrossRef]
- Susan Punnoose, M.; Bijimol, D.; Mathew, B. Microwave Assisted Green Synthesis of Gold Nanoparticles for Catalytic Degradation of Environmental Pollutants. Environ. Nanotechnol. Monit. Manag. 2021, 16, 100525. [Google Scholar] [CrossRef]
- Qian, H.; Zhu, M.; Wu, Z.; Jin, R. Quantum Sized Gold Nanoclusters with Atomic Precision. Acc. Chem. Res. 2012, 45, 1470–1479. [Google Scholar] [CrossRef] [PubMed]
- Parker, J.F.; Fields-Zinna, C.A.; Murray, R.W. The Story of a Monodisperse Gold Nanoparticle: Au25L18. Acc. Chem. Res. 2010, 43, 1289–1296. [Google Scholar] [CrossRef] [PubMed]
- Zhang, Q.F.; Chen, X.; Wang, L.S. Toward Solution Syntheses of the Tetrahedral Au20 Pyramid and Atomically Precise Gold Nanoclusters with Uncoordinated Sites. Acc. Chem. Res. 2018, 51, 2159–2168. [Google Scholar] [CrossRef]
- Gruene, P.; Rayner, D.M.; Redlich, B.; van der Meer, A.F.G.; Lyon, J.T.; Meijer, G.; Fielicke, A. Structures of Neutral Au7, Au19, and Au20 Clusters in the Gas Phase. Science 2008, 321, 674–676. [Google Scholar] [CrossRef] [PubMed]
- Zhai, H.; Alexandrova, A.N. Fluxionality of Catalytic Clusters: When It Matters and How to Address It. ACS Catal. 2017, 7, 1905–1911. [Google Scholar] [CrossRef]
- Ferrari, P.; Hansen, K. Computing Gold Cluster Energies with Density Functional Theory: The Importance of Correlation. Phys. Chem. Chem. Phys. 2021, 23, 14830–14835. [Google Scholar] [CrossRef]
- Nania, C.; Bertini, M.; Gueci, L.; Ferrante, F.; Duca, D. DFT Insights into Competing Mechanisms of Guaiacol Hydrodeoxygenation on a Platinum Cluster. Phys. Chem. Chem. Phys. 2023, 25, 10460–10471. [Google Scholar] [CrossRef] [PubMed]
- Nania, C.; Ferrante, F.; Bertini, M.; Gueci, L.; Duca, D. Decomposition of Guaiacol on a Subnanometric Platinum Cluster: A DFT Investigation Followed by Microkinetic Analysis. Phys. Chem. Chem. Phys. 2025, 27, 3916–3929. [Google Scholar] [CrossRef]
- Ferrante, F.; Nania, C.; Duca, D. Computational Investigation of Isoeugenol Transformations on a Platinum Cluster—I: Direct Deoxygenation to Propylcyclohexane. Mol. Catal. 2022, 529, 112541. [Google Scholar] [CrossRef]
- Nania, C.; Ferrante, F.; Bertini, M.; Gueci, L.; Duca, D. Computational Investigation of Isoeugenol Transformations on a Platinum Cluster—II: Deoxygenation through Hydrogenation to Propylcyclohexane. Mol. Catal. 2024, 564, 114298. [Google Scholar] [CrossRef]
- Gueci, L.; Ferrante, F.; Prestianni, A.; Di Chio, R.; Patti, A.F.; Duca, D.; Arena, F. DFT Insights into the Oxygen-Assisted Selective Oxidation of Benzyl Alcohol on Manganese Dioxide Catalysts. Inorg. Chim. Acta 2020, 511, 119812. [Google Scholar] [CrossRef]
- Gueci, L.; Ferrante, F.; Prestianni, A.; Arena, F.; Duca, D. Structural, Energetic and Kinetic Database of Catalytic Reactions: Benzyl Alcohol to Benzaldehyde Oxidation on MnOx Clusters. Data Brief 2021, 38, 107369. [Google Scholar] [CrossRef]
- Ferrante, F.; Bertini, M.; Gueci, L.; Duca, D. Butene Isomerization on Palladium Surfaces: Time-Dependent Monte Carlo Studies. Ind. Eng. Chem. Res. 2023, 62, 20608–20621. [Google Scholar] [CrossRef]
- Bertini, M.; Ferrante, F.; Gueci, L.; Prestianni, A.; Duca, D.; Arena, F.; Murzin, D.Y. Alternative Algebraic Perspectives on CO/H2 PROX over MnO2 Composite Catalysts. J. Chem. Inf. Model. 2025, 65, 4952–4967. [Google Scholar] [CrossRef]
- Bertini, M.; Ferrante, F.; Guercio, L.; Lisuzzo, L.; Duca, D. Modified Halloysite as Catalyst for the Conversion of Hydroxymethylfurfural to Furandicarboxylic Acid: A DFT Investigation. ChemCatChem 2024, 16, e202400179. [Google Scholar] [CrossRef]
- Zhang, Z.; Deng, K. Recent Advances in the Catalytic Synthesis of 2,5-Furandicarboxylic Acid and Its Derivatives. ACS Catal. 2015, 5, 6529–6544. [Google Scholar] [CrossRef]
- Lisuzzo, L.; Guercio, L.; Cavallaro, G.; Duca, D.; Ferrante, F. Halloysite Clay Nanotubes for Catalytic Conversion of Biomass: Synergy between Computational Modeling and Experimental Studies. ACS Catal. 2024, 14, 18167–18203. [Google Scholar] [CrossRef]
- Rozza, R.; Ferrante, F. Computational Study of Water Adsorption on Halloysite Nanotube in Different pH Environments. Appl. Clay Sci. 2020, 190, 105589. [Google Scholar] [CrossRef]
- Ferrante, F.; Bertini, M.; Ferlito, C.; Lisuzzo, L.; Lazzara, G.; Duca, D. A Computational and Experimental Investigation of Halloysite Silicic Surface Modifications after Alkaline Treatment. Appl. Clay Sci. 2023, 232, 106813. [Google Scholar] [CrossRef]
- Lisuzzo, L.; Bertini, M.; Lazzara, G.; Ferlito, C.; Ferrante, F.; Duca, D. A Computational and Experimental Investigation of the Anchoring of Organosilanes on the Halloysite Silicic Surface. Appl. Clay Sci. 2023, 245, 107121. [Google Scholar] [CrossRef]
- Massaro, M.; Colletti, C.G.; Lazzara, G.; Milioto, S.; Noto, R.; Riela, S. Halloysite Nanotubes as Support for Metal-Based Catalysts. J. Mater. Chem. A 2017, 5, 13276–13293. [Google Scholar] [CrossRef]
- Sidorenko, A.; Kurban, Y.; Aho, A.; Ihnatovich, Z.; Kuznetsova, T.; Heinmaa, I.; Murzin, D.; Agabekov, V. Solvent-Free Synthesis of Tetrahydropyran Alcohols over Acid-Modified Clays. Mol. Catal 2021, 499, 111306. [Google Scholar] [CrossRef]
- Baek, H.; Moon, J.; Kim, J. Benchmark Study of Density Functional Theory for Neutral Gold Clusters, Aun (n = 2–8). J. Phys. Chem. A 2017, 121, 2410–2419. [Google Scholar] [CrossRef]
- Goerigk, L.; Hansen, A.; Bauer, C.; Ehrlich, S.; Najibi, A.; Grimme, S. A look at the Density Functional Theory Zoo with the Advanced GMTKN55 Database for General Main Group Thermochemistry, Kinetics and Noncovalent Interactions. Phys. Chem. Chem. Phys. 2017, 19, 32184–32215. [Google Scholar] [CrossRef]
- Grimme, S. GMTKN55—A Database for General Main Group Thermochemistry, Kinetics, and Non-Covalent Interactions. 2019. Available online: https://www.chemie.uni-bonn.de/grimme/de/software/gmtkn/gmtkn55 (accessed on 11 December 2024).
- Kim, J.; Seo, W.; Park, J.; Kim, I.; Park, E.; Kim, J. Revisiting the Global Minimum of Au10 Clusters. J. Chem. Phys. 2024, 161, 184301. [Google Scholar] [CrossRef]
- Goldsmith, B.R.; Florian, J.; Liu, J.X.; Gruene, P.; Lyon, J.T.; Rayner, D.M.; Fielicke, A.; Scheffler, M.; Ghiringhelli, L.M. Two-to-three Dimensional Transition in Neutral Gold Clusters: The Crucial Role of Van der Waals Interactions and Temperature. Phys. Rev. Mater. 2019, 3, 016002. [Google Scholar] [CrossRef]
- Frisch, M.J.; Trucks, G.W.; Schlegel, H.B.; Scuseria, G.E.; Robb, M.A.; Cheeseman, J.R.; Scalmani, G.; Barone, V.; Petersson, G.A.; Nakatsuji, H.; et al. Gaussian~16 Revision C.01; Gaussian Inc.: Wallingford, CT, USA, 2016. [Google Scholar]
- Zhao, Y.; Truhlar, D.G. The M06 Suite of Density Functionals for Main Group Thermochemistry, Thermochemical Kinetics, Noncovalent Interactions, Excited States, and Transition Elements: Two New Functionals and Systematic Testing of Four M06-Class Functionals and 12 Other Functionals. Theor. Chem. Acc. 2007, 120, 215–241. [Google Scholar] [CrossRef]
- Zhao, Y.; Truhlar, D.G. Exploring the Limit of Accuracy of the Global Hybrid Meta Density Functional for Main-Group Thermochemistry, Kinetics, and Noncovalent Interactions. J. Chem. Theory Comput. 2008, 4, 1849–1868. [Google Scholar] [CrossRef]
- Yu, H.S.; He, X.; Li, S.L.; Truhlar, D.G. MN15: A Kohn-Sham Global-Hybrid Exchange-Correlation Density Functional with Broad Accuracy for Multi-Reference and Single-Reference Systems and Noncovalent Interactions. Chem. Sci. 2016, 7, 5032–5051. [Google Scholar] [CrossRef]
- Perdew, J.P.; Ruzsinszky, A.; Csonka, G.I.; Constantin, L.A.; Sun, J. Workhorse Semilocal Density Functional for Condensed Matter Physics and Quantum Chemistry. Phys. Rev. Lett. 2009, 103, 026403. [Google Scholar] [CrossRef]
- Chai, J.D.; Head-Gordon, M. Long-range Corrected Hybrid Density Functionals with Damped Atom–Atom Dispersion Dorrections. Phys. Chem. Chem. Phys. 2008, 10, 6615. [Google Scholar] [CrossRef]
- Grimme, S.; Antony, J.; Ehrlich, S.; Krieg, H. A Consistent and Accurate Ab Initio Parametrization of Density Functional Dispersion Correction (DFT-D) for the 94 Elements H-Pu. J. Chem. Phys. 2010, 132, 154104. [Google Scholar] [CrossRef]
- Stephens, P.J.; Devlin, F.J.; Chabalowski, C.F.; Frisch, M.J. Ab Initio Calculation of Vibrational Absorption and Circular Dichroism Spectra Using Density Functional Force Fields. J. Phys. Chem. 1994, 98, 11623–11627. [Google Scholar] [CrossRef]
- Adamo, C.; Barone, V. Toward Reliable Density Functional Methods without Adjustable Parameters: The PBE0 Model. J. Chem. Phys. 1999, 110, 6158–6170. [Google Scholar] [CrossRef]
- Peterson, K.A.; Puzzarini, C. Systematically Convergent Basis Sets for Transition Metals. II. Pseudopotential-Based Correlation Consistent Basis Sets for the Group 11 (Cu, Ag, Au) and 12 (Zn, Cd, Hg) Elements. Theor. Chem. Acc. 2005, 114, 283–296. [Google Scholar] [CrossRef]
- Shi, Y.K.; Li, Z.H.; Fan, K.N. Validation of Density Functional Methods for the Calculation of Small Gold Clusters. J. Phys. Chem. A 2010, 114, 10297–10308. [Google Scholar] [CrossRef]
- Okumura, M.; Kitagawa, Y.; Yabushita, H.; Saito, T.; Kawakami, T. Theoretical investigation of the interaction between oxygen molecules and small Au clusters using approximately spin-projected geometry optimization (AP-opt) method. Catal. Today 2009, 143, 282–285. [Google Scholar] [CrossRef]
- Dubecký, M.; Su, H. Magnetism in Thiolated Gold Model Junctions. J. Phys. Chem. C 2012, 116, 17714–17720. [Google Scholar] [CrossRef]
- Sekhar De, H.; Krishnamurty, S.; Pal, S. Understanding the Reactivity Properties of Aun (6 ≤ n ≤ 13) Clusters Using Density Functional Theory Based Reactivity Descriptors. J. Phys. Chem. C 2010, 114, 6690–6703. [Google Scholar] [CrossRef]
- Wang, J.; Wang, G.; Zhao, J. Density-Functional Study of Aun (n = 2–20) Clusters: Lowest-Energy Structures and Electronic Properties. Phys. Rev. B 2002, 66, 035418. [Google Scholar] [CrossRef]
- Luchini, G.; Alegre-Requena, J.V.; Funes-Ardoiz, I.; Paton, R.S. Goodvibes: Automated Thermochemistry for Heterogeneous Computational Chemistry Data. F1000Research 2020, 9, 291. [Google Scholar] [CrossRef]



| Large 1 | BH 2 | NCI 3 | All 4 | |
|---|---|---|---|---|
| M062X | 12.7/12.4 | 10.1/10.0 | 12.2/12.3 | 11.7/11.6 |
| M08HX | 12.1/11.8 | 8.3/8.3 | 16.2/15.7 | 12.6/12.4 |
| MN15 | 13.8/13.8 | 9.2/9.2 | 17.5/17.7 | 14.3/14.3 |
| B97XD | 12.8 5 | 8.7 | 10.7 | 11.3 |
| B3LYP | 32.8/21.0 | 13.5/13.1 | 64.6/12.3 | 39.0/15.1 |
| PBE0 | 21.3/17.8 | 18.5/16.4 | 41.9/15.1 | 26.7/16.2 |
| revTPSS | 30.8/23.1 | 20.7/23.6 | 48.1/16.5 | 32.9/19.6 |
| M06 | 18.2/16.8 | 11.2/10.8 | 14.2/18.7 | 14.3/15.6 |
| n | M062X | M08HX | MN15 | B97XD | B3LYP-D3 | PBE0-D3 | revTPSS | M06 |
|---|---|---|---|---|---|---|---|---|
| 7 | −46.1 | −24.6 | −25.4 | −12.6 | −10.5 | |||
| 8 | −45.6 | −4.0 | 0.3 | −69.0 | −12.5 | −25.1 | −3.3 | −6.8 |
| 9 | −18.5 | 21.3 | 15.9 | −17.3 | 18.2 | 1.5 | 2.1 | −4.3 |
| 10 | −13.0 | 22.8 | 13.4 | 6.7 | 32.2 | 11.7 | −8.3 | −8.6 |
| 11 | −13.6 | 31.4 | 20.5 | 22.0 | 46.1 | 19.8 | −9.0 | −3.8 |
| 12 | 8.3 | 39.1 | 21.9 | 58.3 | 55.5 | 28.4 | −11.1 | −10.2 |
| 13 | 8.6 | 56.1 | 54.4 | 79.1 | 79.7 | 68.4 | 14.8 | 16.7 |
| 14 | 182.6 | 147.4 | 196.3 | 137.1 | 97.4 | 99.0 | ||
| 15 | 157.0 | 188.9 | 185.4 | 176.5 | 145.8 | 136.2 | ||
| 16 | 59.7 | 238.0 | 181.4 | 170.8 | ||||
| 17 | 149.6 | 224.8 | 268.3 | 284.5 | 280.4 | 200.1 | 217.2 | |
| 18 | 164.3 | 263.2 | 266.6 | 342.5 | 304.4 | 293.7 | 216.9 | 233.0 |
| 19 | 245.5 | 322.4 | 334.9 | 377.2 | 329.3 | 316.4 | 248.2 | 233.0 |
| 20 | 332.0 | 407.0 | 424.6 | 471.8 | 406.2 | 400.3 | 327.9 | 309.0 |
Disclaimer/Publisher’s Note: The statements, opinions and data contained in all publications are solely those of the individual author(s) and contributor(s) and not of MDPI and/or the editor(s). MDPI and/or the editor(s) disclaim responsibility for any injury to people or property resulting from any ideas, methods, instructions or products referred to in the content. |
© 2025 by the authors. Licensee MDPI, Basel, Switzerland. This article is an open access article distributed under the terms and conditions of the Creative Commons Attribution (CC BY) license (https://creativecommons.org/licenses/by/4.0/).
Share and Cite
Guercio, L.; Ferrante, F.; Bertini, M.; Gueci, L.; Lisuzzo, L.; Duca, D. Selecting the Most Suitable DFT-XC Functional for Consistent Modeling of Subnanometric Gold Clusters in Catalytic Systems. Catalysts 2025, 15, 1083. https://doi.org/10.3390/catal15111083
Guercio L, Ferrante F, Bertini M, Gueci L, Lisuzzo L, Duca D. Selecting the Most Suitable DFT-XC Functional for Consistent Modeling of Subnanometric Gold Clusters in Catalytic Systems. Catalysts. 2025; 15(11):1083. https://doi.org/10.3390/catal15111083
Chicago/Turabian StyleGuercio, Ludovico, Francesco Ferrante, Marco Bertini, Laura Gueci, Lorenzo Lisuzzo, and Dario Duca. 2025. "Selecting the Most Suitable DFT-XC Functional for Consistent Modeling of Subnanometric Gold Clusters in Catalytic Systems" Catalysts 15, no. 11: 1083. https://doi.org/10.3390/catal15111083
APA StyleGuercio, L., Ferrante, F., Bertini, M., Gueci, L., Lisuzzo, L., & Duca, D. (2025). Selecting the Most Suitable DFT-XC Functional for Consistent Modeling of Subnanometric Gold Clusters in Catalytic Systems. Catalysts, 15(11), 1083. https://doi.org/10.3390/catal15111083

