Next Article in Journal
Tannic Acid-Induced Morphological and Electronic Tuning of Metal–Organic Frameworks Toward Efficient Oxygen Evolution
Previous Article in Journal
Effects of Sodium-to-OSDA Ratio in the Synthesis Gel on SSZ-39 Formation and Material Properties
 
 
Font Type:
Arial Georgia Verdana
Font Size:
Aa Aa Aa
Line Spacing:
Column Width:
Background:
Article

Exploration of Novel Extracellular Xylanase-Producing Lactic Acid Bacteria from Plant Sources

1
Department of Bioprocess Technology, Faculty of Biotechnology and Biomolecular Sciences, Universiti Putra Malaysia, Serdang 43400 UPM, Selangor, Malaysia
2
Department of Medical Microbiology, College of Science, Cihan University-Erbil, Erbil 44001, Iraq
3
Lactic Acid Bacteria Biota Technology Research Program, Research Laboratory of Probiotics and Cancer Therapeutics, UPM-MAKNA Cancer Research Laboratory (CANRES), Institute of Bioscience, Universiti Putra Malaysia, Serdang 43400 UPM, Selangor, Malaysia
4
Department of Food Sciences, College of Agriculture, Tikrit University, Tikrit 34001, Iraq
*
Author to whom correspondence should be addressed.
Catalysts 2025, 15(10), 990; https://doi.org/10.3390/catal15100990
Submission received: 8 May 2025 / Revised: 1 October 2025 / Accepted: 8 October 2025 / Published: 16 October 2025
(This article belongs to the Section Biocatalysis)

Abstract

Xylanases play a crucial role in bio-transforming sustainable agricultural polymers into xylose-based oligosaccharides, which have great potential in various biotechnology applications. Nevertheless, the application of bacterial xylanase is hindered by the high cost of developing recombinant bacteria to overcome the low activity and narrow pH stability. Considerable efforts have been made to discover and explore new wild bacterial strains that produce highly effective and environmentally sustainable extracellular xylanase enzymes for various targeted biotechnological and industrial applications. Lactic acid bacteria (LAB) have recently been proven to be versatile producers of extracellular hydrolytic enzymes. Therefore, this study aimed to isolate and characterise extracellular xylanase-producing LAB (EXLAB) from plant sources. The specific extracellular xylanase activity was determined across a wide pH range, from acidic to alkaline. Subsequently, the expression of xylanase genes of EXLAB grown under acidic and alkaline conditions was determined by quantitative reverse transcription polymerase chain reaction. A total of 45 putative LAB were isolated from radish, gundelia and rhubarb plants. They were identified by phenotypic and genotypic approaches. However, only 15 LAB isolates were confirmed as EXLAB. Weissella confusa and Pediococcus pentosaceus were the most common species among the identified EXLAB. The XylW (~196 bp) and XylP (189 bp) xylanase genes were then amplified from W. confusa and P. pentosaceus, respectively. P. pentosaceus G4 demonstrated the most versatile extracellular xylanase production that was active from pH 5 to pH 8. However, a significant increase in extracellular xylanase gene expression (13.45-fold) at pH 5 was noted as compared to pH 8. Similarly, P. pentosaceus G4 also exhibited the highest extracellular xylanase activity (0.88 U/mg) at pH 5. This study reveals the potential of P. pentosaceus G4 as an eco-friendly and novel extracellular xylanase producer possessing broad pH stability. The robust gene expression and activity of extracellular xylanase imply P. pentosaceus G4 is a promising candidate for sustainable enzymatic processes essential for the environmentally friendly enzymatic reactions and applications.

1. Introduction

Lactic acid bacteria (LAB) are Gram-positive bacteria that appear in a coccus or rod shape. They are non-spore-forming and ferment carbohydrates to produce lactic acid as the predominant end-product [1]. LAB are generally considered non-pathogenic and non-toxic [2,3,4] and environmentally friendly microorganisms with specific enzymatic functions [5]. Hence, they have been deemed as Generally Regarded as Safe (GRAS) microorganisms. Furthermore, they possess a long track record for safe use across various industries, such as pharmaceuticals, food chemicals and as the biotransformation agent for lignocellulosic biomass [6,7,8,9]. LAB have garnered significant interest due to its vast potential to produce versatile extracellular hydrolytic enzymes, including xylanase [7,9,10,11,12,13]. Recently, Ali et al. [14] optimised the extracellular xylanase production of Pediococcus pentosaceus G4.
Xylanases are glycosidases (O-glycoside hydrolases, EC 3.2.1. x) responsible for catalysing the endohydrolysis of 1,4-β-D-xylosidic linkages of xylan (essential constituent of hemicelluloses) into xylose and xylooligosaccharides. The synergistic action of multiple xylanases would break down xylan effectively [15,16,17]. Xylanases are mainly divided into two functional groups. Endo-xylanases cleave the internal xylosidic links of the complex polysaccharide xylan [18]. Exo-xylanases hydrolyse long-chain xylo-oligomers from the reducing end to short-chain xylo-oligomers and xylose. The xylose yield is enhanced when both exo and endo-xylanases react together [19]. Xylanase enzymes are categorised based on substrate affinity, attributed to the amino acid sequences of their catalytic domains [15]. Xylanases are categorised into glycoside hydrolase (GH) families, namely GH 5, 7, 8, 9, 10, 11, 12, 16, 26, 30, 43, 44, 51, and 62, according to the Carbohydrate-Active Enzymes (CAZy) database (www.cazy.org). GH10 and GH11 are widespread xylanases that are determined by the hydrophobic clusters and the amino acid sequences in the catalytic module [16,20,21,22]. Environmental factors, including temperature and pH, significantly influence the activity and stability of xylanases. Most xylanases have a pH optimum between 4.0 and 9.0 and a temperature optimum of 30 to 60 °C, depending on the organism and the structural stability of the enzyme [23].
Xylanases are vital in several industrial applications [7]. They facilitate the conversion of xylan into xylose and xylooligosaccharides [16,17], providing potential advantages in diverse industries such as the food industry [24], animal feed industry [25], brewing industry, biofuel production, xylitol and ethanol production, saccharification of xylan to xylose, plant cell protoplast production, pigment and plant oil extraction, silage production, deinking waste paper, textile industries, biorefinery and the bleaching process of paper and pulp [20,23,26,27,28,29]. The capacity of xylanase to expedite several biochemical processes, enhance product quality and improve digestibility has led to a significant increase in its demand in recent years in sectors of animal feed and food industries [24,25,30]. However, the search for xylanase-producing bacterial strains capable of withstanding the high temperatures and across acidic and alkaline conditions remains a challenge [25].
Many organisms have been reported to produce xylanases, such as molluscs, snails, crustaceans, insects, rumen bacteria, cyanobacteria, protozoa, fungi and marine algae [31]. Recently, bacterial xylanases have gained high popularity, attributed to their faster growth rate, reduced space requirements, ease of maintenance and potential for genetic engineering of bacterial xylanases [32]. Bacteria have demonstrated an impressive ability to withstand challenging environmental conditions [33]. Hence, the ability of the bacteria to produce xylanases under such conditions has garnered significant interest [34].
Choosing non-pathogenic and nontoxigenic microbe strains is essential to ensure the safe production of xylanase by the producer strain, such as those that have been safely used in the food industry for a long history [35]. The safe and ecologically friendly microorganisms that produce xylanases would warrant the safe application of xylanases across various sectors. Exploring xylanase-producing microbes, specifically LAB, offers a promising approach to addressing the safety and toxic challenges. Recent investigations have discovered that various LAB have the potential to produce extracellular xylanase, which broadens the microbial sources for xylanase enzyme producers [7]. Although LAB have been reported as promising candidates for xylanase production, attempts to identify environmentally friendly LAB that are capable of producing extracellular xylanase under broader pH conditions are very limited.
Understanding the gene expression profiles of xylanase-producing LAB is essential for comprehending their potential in industrial processes. Various molecular approaches can be employed to assess the expression of xylanase genes, including reverse transcription polymerase chain reaction (RT-PCR) [36]. Nevertheless, there is a dearth of extensive research on the expression of xylanase genes in LAB, underscoring the necessity for additional exploration in this field of study.
Hence, the objective of this study is to isolate extracellular xylanase-producing LAB (EXLAB) from plant sources and characterise the respective extracellular xylanase activity under various pH conditions. Additionally, the comparative expression of xylanase genes was assessed for the selected EXLAB grown in acidic and alkaline conditions. Understanding the extracellular xylanase production capacity and xylanase gene expression would facilitate the development of environmentally friendly EXLAB applications in various industrial settings.

2. Results and Discussion

2.1. Isolation, Identification, and Characterisation of the Extracellular Xylanase-Producing Lactic Acid Bacteria

A total of 45 putative LAB cultures were isolated from radish (Raphanus sativus), rhubarb (Rheum rhabarbarum) and gundelia (Gundelia tournefortii). Nevertheless, only 15 (33.33%) extracellular xylanase-producing lactic acid bacteria were detected using both qualitative and quantitative methods (Table 1). The plant source employed for the EXLAB isolation contains abundant xylan [18,37]. Hence, the selected plant sources could potentially harbour xylanase-producing bacteria.
The xylan composition of the lignocellulosic components of selected plant sources induces the production of xylanase enzymes [31,38]. Therefore, the environments within and surrounding the plants are likely to contain bacteria that have adapted and thrive to utilise xylan as an energy source, making them an ideal habitat for their growth. However, plants are diverse, and their cell walls are highly heterogeneous structures [39]. The nature of xylan differs across plant species [40]. Thus, selecting different types of plants may facilitate access to a broad array of microorganisms with potentially distinct xylanase-producing capabilities. Plants vary in their ability to support different species of xylanase-producing bacteria, each with distinct substrate specificities and biochemical characteristics. Therefore, isolating EXLAB from different sources will enhance the discovery of new xylanase-producing bacteria with improved features and capabilities for diverse industrial applications, including pulp and paper, feed production, detergents and textiles [41,42].
Our findings are consistent with previous reports of isolating xylanase-producing bacteria from plant sources. For instance, Suto et al. [43] isolated xylanase-producing bacteria from Gnaphalium japonicum and Ulmmus davidiana. Seo et al. [44] found that xylanase was produced effectively by endophytic bacteria, Bacillus sp. isolated from the interior of radish leaves and roots. Furthermore, Bacillus sp. and Glutamicibacter sp. that were isolated from Arthrocnemum macrostachyum have the capability to produce industrially important xylanase [45]. These reports highlight the potential of plant-isolated bacteria as a xylanase producer. Therefore, finding new plant sources to isolate EXLAB, particularly for industrial use, remains necessary.

2.1.1. Semi-Quantitative Determination of Extracellular Xylanase Activity of Lactic Acid Bacteria

A total of 45 putative LAB isolates were screened for their ability to produce extracellular xylanase enzyme using xylan agar medium. The LAB isolates were grown on xylan-containing MRS media. Subsequently, a Congo red stain was added to detect undegraded xylan, which formed a dark brown colour complex. Clear zones surrounding the bacterial suspension well imply the production of xylanase by the LAB isolates. The diameter of the clear zones was measured, and a total of 15 LAB isolates showed positive extracellular xylanase activity (Table 2) and were designated as the EXLAB.
This findings demonstrated that the 15 EXLAB bacterial isolates could utilise beechwood xylan as a carbon source by producing extracellular xylanase enzymes. Bacterial isolates with a clear zone of hydrolysis have been classified as good extracellular xylanase producers (Figure 1). The EXLAB G4, isolated from gundelia, produced the largest clearance zone diameters (6.53 mm) among the studied EXLAB isolates. In comparison, the smallest clear zone diameter of xylan hydrolysis (3.03 mm) was noted for the EXLAB R7 isolate.
Our finding agrees with earlier studies. Shrestha et al. [46] used the same screening method to reveal the potential of Streptomyces sp. for xylanase enzyme production. Moreover, the largest zone of hydrolysis on the xylan agar plate has confirmed that Bacillus tequilensis UD-3 has the capability of producing xylanase enzyme [47]. In addition, the bacteria Bacillus subtilis S1C6 and Bacillus pumilus S2C5 have been demonstrated to form hydrolysis zones when streaked over xylan-containing media, as reported by Pandey and Gupta [48]. Moreover, the Streptomyces sp. isolates (SSA3, SSA7, SSA19, and SSA20) grown on xylan agar medium hydrolyse xylan, as evidenced by the clear zones around the colonies against a red background. The plate screening process also revealed that Bacillus sonorensis T6 possessed xylanolytic activity, as evidenced by the formation of a white halo surrounding the colonies [49]. Based on these findings, the plate assay technique is a practical preliminary method for semi-quantitative assessment of xylanase-producing bacteria.

2.1.2. Quantitative Determination of Extracellular Xylanase Activity of Lactic Acid Bacteria

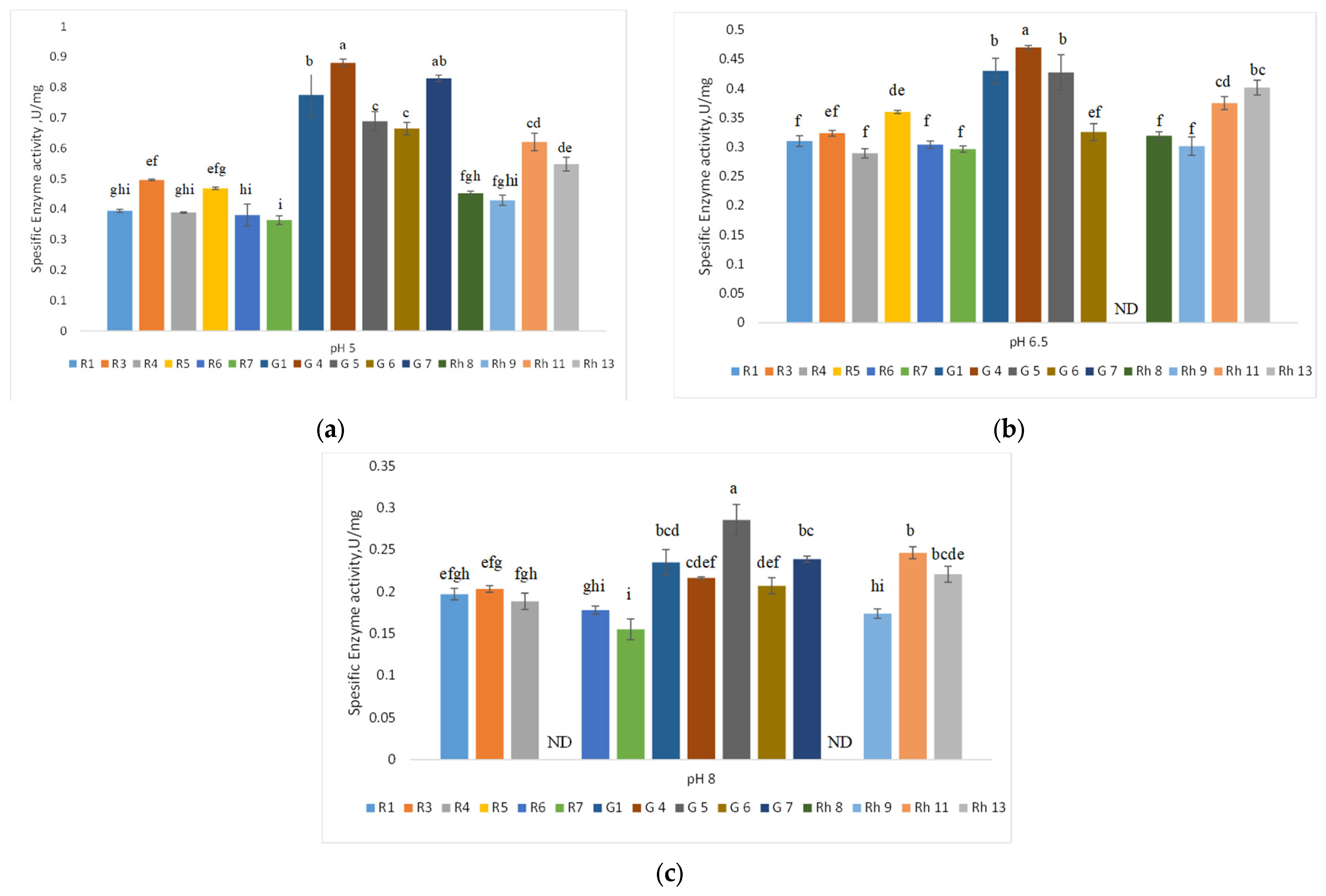
In this study, a total of 15 EXLAB isolated from plant sources showed positive extracellular xylanase activity. The extracellular xylanase activity of 15 EXLAB isolates was determined quantitatively at pH 5, 6.5 and 8. The extracellular xylanase assay was performed by using the cell-free supernatant (CFS) of EXLAB isolates cultured in de Man, Rogosa, Sharpe (MRS) broth medium. Figure 2 illustrates that the specific extracellular xylanase activities of the 15 EXLAB isolates varied substantially from acidic to alkaline pH conditions. Generally, the specific extracellular xylanase activities detected for all studied EXLAB were significantly (p < 0.05) higher at pH 5 as compared to pH 6.5 and 8, respectively. Although all studied EXLAB isolates produced substantial extracellular xylanase activity at pH 5 (Figure 2a), different specific extracellular xylanase activities were observed for different EXLAB isolates. In comparison, the highest specific extracellular xylanase activity (0.88 U/mg) was detected for the G4 EXLAB isolated from the gundelia plant at pH 5, whereas the R7 EXLAB isolated from the radish plant demonstrated the lowest specific extracellular xylanase activity of 0.36 U/mg.
Most of the studied EXLAB demonstrated extracellular xylanase activity at pH 6.5, except for the G7 EXLAB, which displayed no extracellular xylanase activity (Figure 2b). Interestingly, the G4 EXLAB also exhibited the highest specific xylanase activity of 0.47 U/mg at pH 6.5 (Figure 2b), as compared to the EXLAB R4 isolate, which demonstrated the lowest extracellular xylanase activity of 0.29 U/mg. At pH 8, the G5 EXLAB showed the highest specific extracellular xylanase activity of 0.29 U/mg, whilst the R7 EXLAB displayed the lowest extracellular xylanase activity of 0.16 U/mg (Figure 2c). It is noteworthy that both R5 EXLAB and Rh8 EXLAB displayed no extracellular xylanase activity at pH 8, as illustrated in Figure 2c.
The findings in this study implied that the EXLAB isolated from gundelia plants produced significantly greater specific extracellular xylanase activity as compared to EXLAB isolated from other plant sources. Furthermore, the EXLAB isolates generally demonstrated significantly higher (p < 0.05) specific extracellular xylanase activity in acidic conditions and the lowest specific extracellular xylanase activity was detected under alkaline conditions.
The significantly higher specific extracellular xylanase activity observed in EXLAB isolated from gundelia could be attributed to the distinctive lignocellulosic composition, particularly the hemicellulose content, compared to other plant sources. The recent study of Rozhgar [50] revealed a notable carbohydrate content of 12.67% in fresh samples of gundelia from the Mawat region (Sulaimani, Iraq). The considerably high carbohydrate concentration suggests a potentially greater lignocellulosic structure, such as hemicellulose, including xylan content, as indicated by the markedly high extracellular xylanase activity of EXLAB isolated from the gundelia plant. Radish exhibits a maturation-dependent alteration in polysaccharide composition, marked by a substantial increase in xylan composition [51]. Thus, it is a xylan-rich plant. Rhubarb has been shown to contain hemicellulose in its pomace; however, the exact amount of xylan remains undetermined [52]. Therefore, a detailed biochemical analysis of the hemicellulose composition in selected plant sources is essential to understand and correlate plant-microbe extracellular xylanase enzymatic activities and interactions.
LAB are microaerophilic bacteria known for their ability to produce lactic acid from various carbohydrates through a fermentation process, which occurs in anaerobic and facultative anaerobic conditions. Heterofermentative or homofermentative LAB have been reported [53,54,55]. Their application in the fermented food industry has gained significant traction [56], with an ongoing exploration of their potential as starter cultures in the food industry and as bio-preservative agents, which is attributed to their ability to extend the shelf life of fermented foods by creating acidic conditions through the biosynthesis of lactic acid [57,58] from the carbohydrate fermentation process.
Although xylanolytic fungi and bacteria are well-documented, the occurrence of extracellular xylanase enzymes produced from LAB isolated from plant sources has not been previously reported. In the present study, we investigated the capability of LAB isolated from hemicellulose-rich plant sources to produce versatile extracellular xylanase enzymes that are active in a broad pH range, from acidic to alkaline pH conditions. Indeed, the findings of the current study demonstrated the production of extracellular xylanase enzyme by the studied EXLAB isolates over a broad pH range, spanning from acidic pH 5 to alkaline pH 8. Therefore, they may play a promising role in the degradation of the polysaccharide component of the renewable hemicellulose biomass. Our results also highlighted that the studied EXLAB could be considered a promising choice for producing extracellular xylanase enzymes. These enzymes offer numerous benefits, such as cost-effectiveness with the adoption of renewable agro biomass as substrates and safer production conditions, since LAB are generally regarded as safe (GRAS) microorganisms.
Typically, xylanolytic fungi are the leading industrial xylanase enzyme producers [59,60,61,62]. However, more bacterial species have been demonstrated to have the ability to produce xylanase, such as Bacillus species, which have been reported as notable xylanase producers [47,63,64,65,66]. As for LAB, Lee et al. [7] reported that the Lactiplantibacillus plantarum RS5 exhibited a maximum xylanase activity of 0.17 U/mg at pH 5. In contrast, the highest activities were observed at pH 6.5 and pH 8.0 for the Lactiplantibacillus plantarum RG14 (0.21 U/mg) and the Lactiplantibacillus plantarum B4 (0.15 U/mg). Moreover, Adiguzel et al. [10] found that Pediococcus acidilactici GC25 demonstrated its highest level of activity at a pH of 7. The versatile extracellular xylanase enzyme activities of the G4 EXLAB, which are active over a wide pH range, correspond with the finding of Zabidi et al. [9], who also reported that Lactiplantibacillus plantarum RI 11 exhibited hemicellulolytic enzyme activity across a broad pH range.
The results of the present study are consistent with previous studies that have investigated the effect of pH on xylanase activity. For instance, Fu et al. [67] reported that xylanase activity was stable at pH 5. Likewise, Olopoda et al. [61] demonstrated that the highest xylanase activity was noted between pH 4 and 5. In addition, Rajabi et al. [68] reported that maximum xylanase activity was detected at pH 5, but decreased as the pH increased. According to Malhotra and Chapadgaonkar [69], the xylanase activity of Bacillus licheniformis exhibited significant activity between pH 6.5 and 9.5. Furthermore, Ulucay, Gormez and Ozic [70] reported that the maximum xylanase activity of Bacillus subtilis occurred at pH 7. In contrast, Raj et al. [71] exhibited the highest xylanase activity of Bacillus Licheniformis at pH 9, while demonstrating a significant decline in activity at pH 4 and pH 5, respectively, implying that different xylanase producers exhibit different pH-dependent enzymatic activity.
Generally, the stability of enzymes at various pH conditions is determined by a spatially uneven arrangement of charged residues around the particular enzyme. The acid-stable xylanase exhibits a notable abundance of acidic residues on its surface, which is hypothesised to minimise the electrostatic repulsion between positively charged residues under low pH conditions, preserving its structural integrity and enzymatic activity. On the other hand, enzymes that exhibit stability in alkaline environments are commonly distinguished by reduced acidic residues and a higher amount of arginine [15]. In addition, a further distinction among various xylanase enzymes lies in their respective quantities of salt bridges. Salt bridges are electrostatic interactions formed between amino acids with opposite charges, which play a crucial role in maintaining the structural stability of enzymes. Acidophilic xylanases have a reduced number of salt bridges compared to alkaliphilic xylanases, primarily due to an increased number of negatively charged residues on their surface, which results in electrostatic repulsion [15].
This study demonstrated that the evaluated EXLAB isolates can produce xylanase enzymes, enabling the breakdown of xylan-containing materials across a wide range of pH conditions. The potential suitability of the EXLAB candidate for various industrial applications that specifically require both stability and activity within acidic environments, such as those used in the maceration and purification processes for producing fruit juices and wines. Additionally, the studied EXLAB also exhibited promising stability and activity in neutral or alkaline environments, making them potentially applicable to other relevant industrial processes. In comparison, the extracellular xylanase enzyme produced by G4 EXLAB holds considerable potential due to its enhanced enzymatic activity and stability at acidic pH conditions, as well as its exceptional tolerance over a broad pH range up to pH 8. These attributes make it a highly suitable candidate for many industrial applications [10]. Nevertheless, to gain a deeper understanding of the physicochemical characteristics and molecular structure of the extracellular xylanase enzyme, future studies should focus on the purified extracellular xylanases.

2.1.3. Phenotypic Characteristics of Extracellular Xylanase-Producing Lactic Acid Bacteria

Morphological and biochemical investigations showed that the EXLAB isolates R1, R3, R4 and R6 were Gram-positive coccobacilli (Figure 3). In contrast, EXLAB isolates R5, R7, G1, G4, G5, G6, G7, Rh8, Rh9 and Rh11 were observed as Gram-positive cocci under microscopic observation (Figure 4). The EXLAB colonies were white to creamy in appearance with circular forms and convex elevation. They were catalase-negative and produced lactic acid. They grew at a wide range of temperatures and tolerate salt concentrations up to 6.5% (w/v).

2.1.4. Genotypic Characterisation of Xylanase-Producing Lactic Acid Bacteria

The 16S rDNA gene is widely used for genotypic bacterial identification, providing species-level identification and enabling phylogenetic analysis [72]. Altogether, 45 putative LAB were isolated from radish, gundelia, and rhubarb plants. Nevertheless, only 15 putative LAB were confirmed as EXLAB after determining their specific extracellular xylanase activities, as shown in Figure 2. The 16S rDNA of EXLAB was amplified and sequenced for genotypic identification. A single band of 16S rDNA was detected on a 15% (w/v) agarose gel electrophoresis (Supplementary Figure S1).
Four EXLAB isolates (R1, R3, R4 and R6) were identified as Weissella confusa and 11 EXLAB isolates (R7, G1, G4, G5, G6, G7, Rh8, Rh9, Rh11 and Rh13) were identified as Pediococcus pentosaceus. The alignment of the 16S rDNA sequences with the NCBI database revealed that all the studied EXLAB exhibited sequence homology greater than 99%, for both W. confusa and P. pentosaceus. However, 16S rDNA sequences have limitations in discriminating closely related strains. Therefore, to differentiate EXLAB strains, whole-genome sequencing is required to identify strains of both species isolated in this study.
A phylogenetic tree was subsequently constructed using the Maximum Composite Likelihood (MCL) model in the MEGA programme by comparing the 16S rDNA sequences of EXLAB, as shown in Figure 5, which presents the Neighbour-joining phylogenetic tree used to determine the evolutionary relationship among the EXLAB strains of both W. confusa and P. pentosaceus obtained in this study. The genera and species observed in this study were found to be the predominant microorganisms that were capable of growing in MRS medium. Species of the genus Pediococcus exhibited rapid growth, often constituting the predominant proportion of LAB as compared to Weissella species.

2.2. Molecular Characterisation of the Xylanase Gene of Extracellular Xylanase-Producing Lactic Acid Bacteria

The 15 selected EXLAB were evaluated and confirmed for their xylanolytic enzyme production capability, demonstrating that they are xylanolytic bacteria via XylW and XylP gene expression analyses for both W. confusa and P. pentosaceus strains, respectively.

2.2.1. Detection of XylW and XylP Xylanase Genes

In this study, the XylW gene was employed to amplify the xylanase gene from the extracted genomic DNA of W. confusa strains with the following forward (F) primer: GGCTTCTTCAAGTGGTCAGC and reverse (R) primer: CGCCTTCTTCTTCATCCTTG. The results of the XylW gene detection were 100%, as all W. confusa strains were positive for the presence of the XylW xylanase gene. The amplified XylW gene, with a molecular weight of ~196 bp, was observed when analysed by 15% (w/v) agarose gel electrophoresis (Supplementary Figure S2).
As for the XylP gene detection, the F primer: TTTACCTGCCGTTACCCAAG and R primer: TGGGTGTTTTTGGTTTGACA were explicitly designed to amplify the XylP xylanase gene from the extracted genomic DNA of P. pentosaceus strains. The amplicon of the XylP amplification, with a predicted molecular weight of 189 bp, was successfully detected on 15% (w/v) agarose gel electrophoresis, where the band was positioned between the 100 bp and 200 bp bands of the 100 bp DNA ladder, suggesting the presence of this XylP xylanase gene, as shown in Supplementary Figure S2.
PCR amplification of both XylW and XylP xylanase genes produced amplicons of the expected sizes of 196 bp and 189 bp, respectively, confirming the presence of the respective xylanase genes in all studied strains. Identical amplicon sizes were observed since both primers targeted the conserved region of the xylanase genes harboured in different xylanase-producing strains. Complete sequencing of the xylanase gene amplicons is vital for studying the diversity of xylanase genes.
Generally, the molecular characterisation of the LAB xylanase genes is limited. The presence of XylW and XylP xylanase genes among the 15 EXLAB confirmed that the studied W. confusa and P. pentosaceus strains were xylanolytic LAB. Hence, the EXLAB could be a potential resource(s) for xylanolytic enzymes. The results of the current study were similar to those of Lei et al. [13], who revealed Pediococcus acidilactici BCC-1 harboured xylan oligosaccharide (XOS) transportation genes, xylanase and xylosidase enzymes. In another study, Gilad et al. [73] reported that Bifidobacterium animalis subsp. lactis BB-12 encoded genes for xylanases and β-d-xylosidase enzymes when it grew on xylooligosaccharides. Interestingly, Lactococcus lactis 210, Lactococcus lactis IO-1 and Lactococcus lactis NRRL B-4449 have been demonstrated to be deficient in the xylan degradation pathway associated with the xylose operon [74]. However, genes encoding xylanolytic enzymes have been found in Lactobacillus lactis (Lactobacillus delbrueckii lactis) [75], indicating genetic diversities and strain-specific xylanase activity amongst the LAB.

2.2.2. Expression Analysis of XylW and XylP Xylanase Genes

The RT-qPCR method is the most accurate and sensitive for estimating gene expression. Therefore, it was established as the gold standard in gene expression studies. The concept of this technique relies on comparing the expression level of a particular gene among different treatments [76].
The present study investigates the impact of pH conditions, specifically pH 5 and pH 8, on the expression of XylW and XylP genes in EXLAB. The 15 EXLAB were cultured in MRS broth under pH 5 and pH 8 conditions, with pH 6.5 as a control. However, the normalisation of the expression of the targeted xylanase gene was conducted using housekeeping genes recAW and recAP for W. confusa and P. pentosaceus, respectively. The Ct values of the gene amplification were obtained from the RT-PCR programme, and the quantification was performed by calculating the ΔCt value. Gene expression fold change was determined using relative quantification (RQ) based on the delta-delta Ct value.
As for W. confusa strains, the highest fold of XylW xylanase gene expression was observed for the W. confusa R3 strain (12.53) at pH 5. In contrast, the lowest XylW gene expression fold was demonstrated by W. confusa R6 strain (1.58), as shown in Figure 6a. Similarly, at pH 8, W. confusa R3 strain also showed the highest fold of XylW xylanase expression (0.85). In contrast, W. confusa R6 strain exhibited the lowest fold of XylW gene expression (0.07), as illustrated in Figure 6b. The xylanase gene expression results indicated that W. confusa strains grown at pH 5 showed significantly higher XylW gene expression fold than those grown at pH 8.
Similarly, this study also investigated the impact of acidic and alkaline conditions on XylP gene expression in P. pentosaceus strains. At pH 5, P. pentosaceus G4 strain demonstrated the highest fold of XylP gene expression (13.45), whereas P. pentosaceus R7 strain exhibited the lowest fold of XylP gene expression (0.16), as illustrated in Figure 6c. In contrast, at pH 8, the highest fold of XylP gene was observed for P. pentosaceus G5 strain (0.95), while P. pentosaceus R5 strain demonstrated the lowest fold of XylP gene expression (0.004), as shown in Figure 6d.
The findings of the XylW and XylP xylanase gene expression demonstrated a significant increase in the expression of either XylW or XylP genes by the 15 EXLAB strains under pH 5 growth conditions. Nevertheless, a reduction in the expression of the targeted xylanase genes was noted when the EXLAB strains were cultured in MRS broth at pH 8. Therefore, the acidic environment has significantly induced the expression of the studied xylanase genes in all EXLAB strains, which is in line with the quantitative analysis of extracellular xylanase activity discussed in Section 2.1.2 and illustrated in Figure 2. These findings expand our understanding of how pH affects the expression of the xylanolytic gene in EXLAB.
The pH of the growth medium plays a critical role in modulating xylanase synthesis and influencing various metabolic processes. The pH variable is of utmost importance on EXLAB since it has a direct impact on both microbial growth and enzyme biosynthesis [77,78], whereby the pH condition strongly affected the xylanase-encoding genes. Our results are in line with earlier reports related to the expression of the pH-dependent genes. For instance, the RT-qPCR analysis revealed a remarkable and parallel increase in mRNA accumulation for xyn1 in Humicola grisea var. thermoidea at pH 8, in comparison to the acidic environment of pH 5.0 [36]. Moreover, Tanaka, Muguruma and Ohta [79] found higher expression levels of the xynII xylanase gene at pH 6.0 and 8.0, compared to pH 2.7, with fold increases of 8 and 22, respectively. Similarly, Lee et al. [80] demonstrated that the xylanase gene xynT, derived from Bacillus alcalophilus AX2000, which encoded an endo-beta-1,4 xylanase belonging to GH family 10, displayed its highest activity between pH 7 and 9.
Many microbes in nature experience wide swings in pH. Thus, a powerful pH homeostasis system and a regulatory mechanism are essential to meet the challenges of pH change [81]. Moreover, the microorganisms face a significant barrier to growth and survival when they are unable to adapt to pH variations. Adaptation typically involves changes in gene expression, which can trigger alterations in metabolic pathways or the production of exported molecules with potential environmental effects. This process also occurred in regulating the synthesis of extracellular hydrolytic enzymes. Xylanase-encoding gene expression has been reported to be pH-regulated [36].
Despite the considerable studies that have been conducted on the control of xylanase gene expression in many other bacteria and fungi, there is a noticeable lack of studies focusing on LAB and their pH-dependent gene expression. Understanding the pH regulatory processes involved in LAB xylanase enzyme production is crucial for advancing biotechnology and effectively utilising renewable polymers. The examination of xylanase gene expression in LAB across different pH conditions provides valuable insights into the unique regulatory mechanisms involved, thereby adding valuable and essential information to the extracellular xylanase enzyme production and its applications.

3. Materials and Methods

3.1. Isolation of Lactic Acid Bacteria from Plant Sources

Fresh radish (Raphanus sativus), rhubarb (Rheum rhabarbarum) and gundelia (Gundelia tournefortii) were purchased from the wet market located in Erbil, Iraq and kept in a sanitised plastic bag. Subsequently, the entire plant was rinsed with sterile distilled water before being chopped into approximately 5 mm pieces. One gram of the chopped plant was suspended in 9 mL of sterile 0.85% (w/v) NaCl solution (Pharmacia, Uppsala, Sweden), followed by a 10-fold dilution and mixing well by vortex (Stuart Scientific, Stafford, UK) for 3 min. A volume of 100 μL of suspension was evenly spread onto MRS agar plates (Neogen Co., Lansing, MI, USA). Subsequently, the cultured MRS plates were incubated under anaerobic conditions for 3 days at 30 °C. The single colonies from the cultured MRS plates were selected and cultured again on a new MRS agar plate [82]. Pure presumptive LAB isolates were maintained by culturing them on the surface of MRS slant agar that was tightly wrapped with parafilm and kept at 4 °C for 4–6 weeks. For long-term preservation, the pure presumptive LAB isolates were cultured in MRS broth (Neogen Co., Lansing, MI, USA), which consisted of 20% (v/v) glycerol (Merck, Darmstadt, Germany) and kept at −30 °C [83].

3.2. Screening of Extracellular Xylanase-Producing Lactic Acid Bacteria

The isolated presumptive LAB were determined for their capability of producing extracellular xylanase by culturing them on xylan-MRS agar supplemented with 2.5 g/L xylan and incubated at 30 °C for 48 h prior to embedding with a 0.5% (w/v) Congo red (BDH Chemicals Ltd., Poole, UK) solution prepared in 5% (v/v) ethanol (Sigma-Aldrich, Steinheim, Germany) for 15 min. Then, the plates were rinsed with 1 M NaCl (Pharmacia, Uppsala, Sweden) to remove the Congo red stain. The EXLAB was selected based on the presence of distinct, clear zones formed around the bacterial suspension well after the Congo red staining [84,85]. The diameter of the clear zone formed by each EXLAB-isolate was measured.

3.3. Specific Extracellular Xylanase Activity Determination

The specific extracellular xylanase activity was determined by quantifying the reducing sugars released from xylan substrate with 3,5-dinitrosalicyclic acid (DNS) method developed by Miller [86].

3.3.1. Preparation of Extracellular Xylanase Enzymes

The procedure of Lee et al. [7] and Zabidi et al. [9] were employed to prepare the extracellular xylanase enzymes. The 15 EXLAB were grown in MRS broth for 24 h at 30 °C. The active EXLAB cultures (1 mL) were then collected by centrifugation for 15 min at 10,000× g, 4 °C. The cell pellet was then rinsed once with a sterile 0.85% (w/v) NaCl solution (Pharmacia, Uppsala, Sweden), followed by resuspension of the washed cell pellet in 1 mL of sterile 0.85% (w/v) NaCl. The cell population of each EXLAB cell suspension was then adjusted with sterile 0.85% (w/v) NaCl to achieve an optical density (OD) of 0.1 at 600 nm, corresponding to a cell population of approximately 109 CFU/mL. The working cultures of EXLAB isolates were prepared by introducing 10% (v/w) of an OD-adjusted active inoculum (containing approximately 109 CFU/mL viable cells) into MRS broth and incubating at 30 °C for 24 h. The CFS was collected by centrifugation for 15 min at 10,000× g, 4 °C, followed by filtration using a cellulose acetate membrane filter (Sartorius Minisart, 0.22 µm, Göttingen, Germany) as described by Lee et al. [7]. The clear-filtered supernatant was considered a crude enzyme used to determine the specific extracellular xylanase activity at pH 5, 6.5 and 8, respectively. The filtered CFS was kept at −20 °C until xylanase enzyme assays were performed.

3.3.2. Effect of pH on Extracellular Xylanase Activity

The specific extracellular xylanase enzyme activities of the 15 EXLAB isolates were determined according to the method described by Zabidi et al. [9] at pH 5.0 with a 0.1 M sodium acetate buffer solution, pH 6.5 with a 0.1 M sodium phosphate buffer solution and pH 8.0 with a 0.1 M Tris-hydrochloric acid buffer solution. Birchwood xylan (Sigma, St. Louis, MO, USA) solution of 1% (w/v) was used as substrate. The xylan solution was prepared using the corresponding buffer solutions of pH 5, 6.5, and 8, respectively. The extracellular xylanase enzyme assay mixtures included: (1) enzyme blank (EB) as positive control, which contained the enzyme and buffer but no substrate; (2) substrate blank (SB) as negative control, which contained the substrate and buffer but no enzyme; and (3) reaction mixture (RM), which contained the enzyme, substrate and buffer, respectively All assay mixtures were incubated at 37 °C for 1 h.
The reduced sugar concentrations produced from xylan substrate by the extracellular xylanase were determined using the modified DNS method of Miller [86], as described by Zabidi et al. [9]. At the end of the 1 h incubation, 100 µL of DNS reagent and 10 µL of sodium hydroxide (0.1 M NaOH) were added to the 100 µL assay mixture solution. Subsequently, the assay mixture solution was boiled for 5 min prior to adding 800 µL of deionised water (dH2O) and left at room temperature for 20 min. The absorbance (Abs) at 540 nm was measured using a UV–visible spectrophotometer (Genesys 20, Thermo Fisher Scientific, Waltham, MA, USA). To determine the extracellular xylanase activity, xylose was employed as a standard reference.
The reference solution for Abs determination (RA) consisted of a mixture of DNS and NaOH. The reference absorbance was adjusted by subtracting the net absorbance derived from the enzyme blank, substrate blank and reaction assay mixture. The net Abs value was calculated using the following Equation (1).
Net Abs = (RM − RA) − (SB − RA) − (EB − RA)
where RM is the absorbance of the reaction mixture, SB is the absorbance of the substrate blank, EB is the absorbance of the enzyme blank and RA is the absorbance of the reference solution.

3.3.3. Protein Concentration Determination

The protein concentration of filtered CFS was determined by the modified Lowry method, as outlined by Miller [87]. Bovine serum albumin (Sigma Aldrich, St. Louis, MO, USA) served as a standard reference. The term “one unit of specific enzyme activity (U/mg)” refers to the quantity of reducing sugar (µg) released in one minute of reaction time by 1 mg of protein under the specified assay conditions.

3.4. Phenotypic Identification of Extracellular Xylanase-Producing Lactic Acid Bacteria

Morphological and biochemical investigations were conducted for phenotypic identification. The presumptive xylanase-producing LAB isolate was cultured on MRS agar to examine its morphological features. The colony’s shapes, edges, height and size were evaluated by careful observation. To investigate the morphology, the EXLAB underwent Gram’s staining. Following the staining process, the presumptive EXLAB morphology was observed under an oil immersion objective lens at a magnification of 100× to assess its form, size and reaction to the Gram stain. To assess catalase activity, a single colony of EXLAB was mixed with 3% (v/v) hydrogen peroxide (BDH, Merck, Poole, UK). The absence of bubbles within 15 s is an indication of the negative result [88]. The EXLAB were tested for their capabilities of producing lactic acid by culturing on MRS agar supplemented with 20 g/L calcium carbonate (Sigma-Aldrich, St. Louis, MO, USA). The plates were incubated at 30 °C for 48 h. A soluble calcium around the EXLAB was considered a positive result [89]. Furthermore, EXLAB were further characterised for their growth at different temperatures by inoculating MRS broth with a 5% (v/v) overnight culture and incubating 3 days at 10, 25, 30, 37 and 45 °C, respectively [82]. The growth at different salt concentrations was also investigated in MRS broth containing 3.0, 4.5 and 6.5% (w/v) NaCl) at 30 °C for 72 h [82].

3.5. Genotypic Identification of Extracellular Xylanase-Producing Lactic Acid Bacteria

The selected 15 EXLAB were identified using a full-length 16S rDNA sequence with universal primers 27F and 1492R.

3.5.1. Genomic DNA Extraction and Amplification

DNA was extracted from the 15 selected EXLAB isolates according to the manufacturer’s instructions of PrestoTM Mini gDNA Bacteria Kit (Geneaid Biotech Ltd., New Taipei, Taiwan). The integrity and purity of the extracted genomic DNA were evaluated using a NanoDrop (Thermo Scientific, Waltham, MA, USA). To amplify the 16S rDNA fragment, universal primers 27F (5′-AGAGTTTGATCCTGGCTCAG-3′) and 1492R (5′TACGGTTACCTTGTTACGACTT-3′) (Macrogen, Seoul, Republic of Korea) were employed. After PCR amplification, a 15% (w/v) agarose gel electrophoresis was used to analyse the amplicon. The amplicon of the 15 EXLAB isolates was subjected to DNA sequencing by Macrogen Corporation in Korea. The retrieved 16S rDNA sequences were then compared with the consensus sequences deposited at the GenBank database of the National Centre for Biotechnology Information (NCBI). The alignment of the 16S rDNA sequence was evaluated with the NCBI BLAST tool for the EXLAB genotypic identification.

3.5.2. Phylogenetic Tree Analysis

Phylogenetic analysis was performed using the full 16S rDNA sequences of EXLAB. The 16S rDNA sequences were aligned for the evolutionary history studies using the MEGA X programme [90]. The initial trees for the heuristic search were obtained by applying the Neighbour-Join and BioNJ algorithms on a matrix of pairwise distances evaluated using the Maximum Composite Likelihood (MCL) model [91].

3.6. Amplification of XylW and XylP Xylanase Genes

The extracted genomic DNA of EXLAB were used to amplify the XylW and XylP genes from the W. confusa and P. pentosaceus strains, respectively. The XylW fragment was amplified using the XylW forward (F) primer: GGCTTCTTCAAGTGGTCAGC and reverse (R) primer: CGCCTTCTTCTTCATCCTTG. Meanwhile, the XylP fragment was amplified using the XylP F primer: TTTACCTGCCGTTACCCAAG and R primer: TGGGTGTTTTTGGTTTGACA. The thermal cycles of amplification involved one cycle of initial denaturation at 94 °C for 5 min, followed by 30 cycles of denaturation at 94 °C for 20 s, annealing at 57 °C for 20 s and extension at 72 °C for 20 s. Following the completion of the PCR cycles, a final extension step at 72 °C for 6 min was conducted. The amplified XylW and XylP genes were analysed by 15% (w/v) agarose gel electrophoresis. The size of the amplicon was determined by using a 100 bp DNA ladder as a reference.

3.7. Expression of XylW and XylP Genes by RT-qPCR

The expression of the XylW and XylP genes was analysed using RT-qPCR. The primers designed for this study are listed in Table 3. The sequences available at NCBI were used to design the primers with the primer3plus software (version: 3.2.0).

3.7.1. RNA Extraction and Quantification

The total RNA from the 15 EXLAB that grew at pH 5, 6.5, and 8 was extracted with TRIzol® Plus RNA Purification Kit (Thermo Fisher Scientific, Waltham, USA), following the manufacturer’s instructions. Briefly, EXLAB culture was centrifuged for 1 min at 13,000× g. The supernatant was discarded. Then, 1 mL of TRIzol was added to lyse the EXLAB cell pellet at room temperature for 5 min. A volume of 0.2 mL of chloroform was then added to the lysate and incubated at room temperature for 2–3 min, prior to centrifugation for 15 min at 12,000× g to separate the mixture into a lower organic phase, an interphase and a colourless upper aqueous phase. The aqueous phase containing the RNA was transferred into a new tube. A volume of 200 μL of isopropanol was then added to the aqueous phase, followed by centrifugation for 15 s at 12,000× g. The total RNA was precipitated on the filter of the spin column. The supernatant was then discarded. The precipitated total RNA was resuspended in 0.5 mL of washing buffer I, followed by centrifugation for 15 s at 12,000× g, and the supernatant was discarded. The total RNA in the column was resuspended again with 0.5 mL of washing buffer II, followed by centrifugation for 15 s at 12,000× g, and the supernatant was discarded. Next, 75 µL RNase-free water was added and centrifuged at 12,000× g for 2 min to elute RNA. The 260/280 adsorption ratio of more than 2.00 was considered optimal purity of the extracted RNA. Finally, the purified total RNA was stored at −20 °C.

3.7.2. Reverse Transcription and Pre-Amplification of cDNA

Purified total RNA was converted to complementary DNA (cDNA) using a cDNA synthesis kit (Bioneer, Daejeon, Korea) according to the manufacturer’s instructions. The reverse transcription reactions contained 1 µg of purified total RNA and 2 µL of hexamer primer. Nuclease-free water was then added to reach a total volume of 20 μL. The PCR was performed with the following amplification conditions: 37 °C for 10 min, followed by 42 °C for 1 h and 95 °C for 5–10 min in a single cycle. Then, RT-qPCR was performed to amplify either the XylW or XylP xylanase gene from the cDNA, using their respective primers. RecAW and recAP were employed as the housekeeping genes to standardise the expression of both xylanase genes. The qPCR mixture was made in an AccuPower® RT PreMix tube, which comprises 1 μL of forward and reverse primers, 2 μL of template cDNA and the volume was brought to 20 μL with DNase-free distilled water and mixed well. The following Real-Time PCR programme was performed: one cycle at 95 °C for 3 min, followed by 40 cycles at 95 °C for 15 s, 55 °C for 45 s and 72 °C for 60 s. The relative changes in mRNA expression levels were determined using a comparative threshold cycle (CT) method (2−ΔΔCt) as described by Livak and Schmittgen [92]. The Levak equation was used to evaluate the fold expression of the target xylanase genes against housekeeping genes, as described in Equation (2).
Relative Fold of gene expression = (2−ΔΔCt)
ΔΔCt = ΔCt of the treated sample − ΔCt of the untreated sample
∆Ct of treated sample:
ΔCt of treated sample = Ct of interest gene − Ct of housekeeping gene
∆Ct of untreated sample:
ΔCt of untreated sample = Ct of interest gene − Ct of housekeeping gene
where Ct: Represents the sample’s cycle threshold (Ct).
Delta (∆): to describe the difference between two numbers.

3.8. Statistical Analysis

The experiments were performed using biological replicates. The values were reported as the mean ± standard error of the mean (SEM). The statistical analyses were conducted using R Studio software (version 2023.09.1+494).

4. Conclusions

LAB have been reported for their ability to produce versatile extracellular enzymes. They have attracted vast attention for several decades, owing to their GRAS status and involvement in many biotechnological and industrial applications. Therefore, an attempt was made to isolate EXLAB from various plant sources in this study. We have successfully identified and characterised 15 EXLAB isolated from radish, rhubarb and gundelia, respectively, using semi-qualitative and quantitative assay methods to determine the extracellular xylanase activity. The EXLAB isolates of R1, R3, R4 and R6 were identified as W. confusa, and the EXLAB isolates of R5, R7, G1, G4, G5, G6, G7, Rh8, Rh9, Rh11 and Rh13 were identified as P. pentosaceus. The 15 selected EXLAB isolates demonstrated extracellular xylanase activity over a broad pH range, spanning from acidic pH 5 to alkaline pH 8. Nevertheless, P. pentosaceus G4 displayed the most significant extracellular xylanase activity (0.88 U/mg) at pH 5. The presence of XylW or XylP xylanase genes was verified for W. confusa strains and P. pentosaceus strains, respectively. The investigation of xylanase gene expression in the 15 EXLAB strains revealed that the expression of the xylanase genes occurred over a broad pH range, from acidic to alkaline, which was in line with the displayed specific extracellular xylanase activity of the studied EXLAB strains, inferring the potential adaptation of EXLAB to various environmental pH conditions. Notably, the highest fold of extracellular xylanase gene expression was observed in P. pentosaceus G4, with a fold of 13.45 at pH 5, suggesting a pH-dependent regulatory mechanism involved in the xylanase gene expression. This reflects the metabolic traits of this strain and highlights its acidophilic nature. The robust xylanase gene expression, with the specific extracellular xylanase activity presented in this study, has revealed the vast potential of P. pentosaceus G4 as a versatile and eco-friendly extracellular xylanase producer for various xylanase enzymatic processes in respective industries and for environmentally friendly solutions.

Supplementary Materials

The following supporting information can be downloaded at: https://www.mdpi.com/article/10.3390/catal15100990/s1, Supplementary Figure S1: Agarose gel electrophoresis analysis of the 16S rDNA amplified from the selected EXLAB. M: 100 bp ladder marker, Lanes 1–15 resemble 1500 bp PCR products, 1: R1, 2: R3, 3: 4, 4: R5, 5: R6, 6: R7, 7: G1, 8: G4, 9: G5, 10: G6, 11: G7, 12: Rh8, 13: Rh9, 14: Rh11, 15: Rh13; Supplementary Figure S2: Agarose gel electrophoresis analysis of the amplified xylanase genes of the selected EXLAB. (a) Amplified 196 bp XylW.

Author Contributions

Conceptualisation, H.L.F.; Data curation, N.L.A., H.L.F., N.R. and M.H.; Formal analysis, N.L.A.; Investigation, N.L.A.; Methodology, N.L.A. and H.L.F.; Project administration, H.L.F., N.R., M.H. and K.M.T.; Resources, H.L.F.; Supervision, H.L.F., N.R., M.H. and K.M.T.; Validation, H.L.F., N.R., M.H. and K.M.T.; Writing—original draft, N.L.A., H.L.F., N.R. and M.H.; Writing—review & editing, N.L.A. and H.L.F. All authors have read and agreed to the published version of the manuscript.

Funding

This research received no external funding.

Data Availability Statement

The original contributions presented in this study are included in the article. Further inquiries can be directed to the corresponding authors.

Conflicts of Interest

The authors declare no conflicts of interest.

References

  1. Rahman, M.S.; Soltani, S.; LaPointe, G.; Karboune, S.; Fliss, I. Lactic acid bacteria: Beyond fermentation to bio-protection against fungal spoilage and mycotoxins in food systems. Front. Microbiol. 2025, 16, 1580670. [Google Scholar] [CrossRef]
  2. Ayed, L.; M’Hir, S.; Nuzzolese, D.; Di Cagno, R.; Filannino, P. Harnessing the health and techno-functional potential of lactic acid bacteria: A comprehensive review. Foods 2024, 13, 1538. [Google Scholar] [CrossRef]
  3. Sewalt, V.; Shanahan, D.; Gregg, L.; La Marta, J.; Carrillo, R. The Generally Recognized as Safe (GRAS) process for industrial microbial enzymes. Ind. Biotechnol. 2016, 12, 295–302. [Google Scholar] [CrossRef]
  4. Gueimonde, M.; Frias, R.; Ouwehand, A. Assuring the continued safety of lactic acid bacteria used as probiotics. Biologia 2006, 61, 755–760. [Google Scholar] [CrossRef]
  5. Vieco-Saiz, N.; Belguesmia, Y.; Raspoet, R.; Auclair, E.; Gancel, F.; Kempf, I.; Drider, D. Benefits and inputs from lactic acid bacteria and their bacteriocins as alternatives to antibiotic growth promoters during food-animal production. Front. Microbiol. 2019, 10, 57. [Google Scholar] [CrossRef]
  6. Liang, S.; Wang, X.; Li, C.; Liu, L. Biological activity of lactic acid bacteria exopolysaccharides and their applications in the food and pharmaceutical Industries. Foods 2024, 13, 1621. [Google Scholar] [CrossRef] [PubMed]
  7. Lee, F.H.; Wan, S.Y.; Foo, H.L.; Loh, T.C.; Mohamad, R.; Abdul Rahim, R.; Idrus, Z. Comparative study of extracellular proteolytic, cellulolytic, and hemicellulolytic enzyme activities and biotransformation of palm kernel cake biomass by lactic acid bacteria isolated from Malaysian foods. Int. J. Mol. Sci. 2019, 20, 4979. [Google Scholar] [CrossRef] [PubMed]
  8. Shoukat, S. Potential anti-carcinogenic effect of probiotic and lactic acid bacteria in detoxification of benzo[a]pyrene: A review. Trends Food Sci. Technol. 2020, 99, 450–459. [Google Scholar] [CrossRef]
  9. Zabidi, N.A.M.; Foo, H.L.; Loh, T.C.; Mohamad, R.; Abdul Rahim, R. Enhancement of versatile extracellular cellulolytic and hemicellulolytic enzyme productions by Lactobacillus plantarum RI 11 isolated from Malaysian food using renewable natural polymers. Molecules 2020, 25, 2607. [Google Scholar] [CrossRef]
  10. Adiguzel, G.; Faiz, O.; Sisecioglu, M.; Sari, B.; Baltaci, O.; Akbulut, S.; Genc, B.; Adiguzel, A. A novel endo-β-1,4-xylanase from Pediococcus acidilactici GC25; purification, characterization and application in clarification of fruit juices. Int. J. Biol. Macromol. 2019, 129, 571–578. [Google Scholar] [CrossRef]
  11. Iliev, I.; Vasileva, T.; Bivolarski, V.; Momchilova, A.; Ivanova, I. Metabolic profiling of xylooligosaccharides by Lactobacilli. Polymers 2020, 12, 2387. [Google Scholar] [CrossRef]
  12. Kanpiengjai, A.; Nuntikaew, P.; Wongsanittayarak, J.; Leangnim, N.; Khanongnuch, C. Isolation of efficient xylooligosaccharides-fermenting probiotic lactic acid bacteria from ethnic pickled bamboo shoot products. Biology 2022, 11, 638. [Google Scholar] [CrossRef]
  13. Lei, Z.; Wu, Y.; Nie, W.; Yin, D.; Yin, X.; Guo, Y.; Aggrey, S.E.; Yuan, J. Transcriptomic analysis of xylan oligosaccharide utilization systems in Pediococcus acidilactici strain BCC-1. J. Agric. Food Chem. 2018, 66, 4725–4733. [Google Scholar] [CrossRef]
  14. Ali, N.L.; Foo, H.L.; Ramli, N.; Halim, M.; Thalij, K.M. Efficient assessment and optimisation of medium components influencing extracellular xylanase production by Pediococcus pentosaceus G4 using statistical approaches. Int. J. Mol. Sci. 2025, 26, 7219. [Google Scholar] [CrossRef] [PubMed]
  15. Collins, T.; Gerday, C.; Feller, G. Xylanases, xylanase families and extremophilic xylanases. FEMS Microbiol. Rev. 2005, 29, 3–23. [Google Scholar] [CrossRef] [PubMed]
  16. Garg, S. Xylanase: Applications in biofuel production. Curr. Metabolomics 2016, 4, 23–37. [Google Scholar] [CrossRef]
  17. Malgas, S.; Mafa, M.S.; Mkabayi, L.; Pletschke, B.I. A mini review of xylanolytic enzymes with regards to their synergistic interactions during hetero-xylan degradation. World J. Microbiol. Biotechnol. 2019, 35, 187. [Google Scholar] [CrossRef]
  18. Mendonça, M.; Barroca, M.; Collins, T. Endo-1,4-β-xylanase-containing glycoside hydrolase families: Characteristics, singularities and similarities. Biotechnol. Adv. 2023, 65, 108148. [Google Scholar] [CrossRef]
  19. Juturu, V.; Wu, J.C. Microbial Exo-xylanases: A mini review. Appl. Biochem. Biotechnol. 2014, 174, 81–92. [Google Scholar] [CrossRef]
  20. Bhardwaj, N.; Kumar, B.; Verma, P. A detailed overview of xylanases: An emerging biomolecule for current and future prospective. Bioresour. Bioprocess. 2019, 6, 40. [Google Scholar] [CrossRef]
  21. Chakdar, H.; Kumar, M.; Pandiyan, K.; Singh, A.; Nanjappan, K.; Kashyap, P.L.; Srivastava, A.K. Bacterial xylanases: Biology to biotechnology. 3 Biotech 2016, 6, 150. [Google Scholar] [CrossRef] [PubMed]
  22. Uday, U.S.P.; Choudhury, P.; Bandyopadhyay, T.K.; Bhunia, B. Classification, mode of action and production strategy of xylanase and its application for biofuel production from water hyacinth. Int. J. Biol. Macromol. 2016, 82, 1041–1054. [Google Scholar] [CrossRef] [PubMed]
  23. Alokika; Singh, B. Production, characteristics, and biotechnological applications of microbial xylanases. Appl. Microbiol. Biotechnol. 2019, 103, 8763–8784. [Google Scholar] [CrossRef] [PubMed]
  24. Kumar, M.; Kumar, P.; Das, P.; Solanki, R.; Kapur, M.K. Potential applications of extracellular enzymes from Streptomyces spp. in various industries. Arch. Microbiol. 2020, 202, 1597–1615. [Google Scholar] [CrossRef]
  25. Zhang, T.; Cheng, Z.; Fan, Y.; Lan, Y.; Shu, H.; Chen, J.; Jin, F.; Qin, L.; Feng, D. Isolation, expression and characterization of a novel thermo-acid/alkali-stable GH10 xylanase BsXynA from Bacillus safensis L7 and its potential for xylooligosaccharide production and animal feed saccharification. Enzym. Microb. Technol. 2025, 191, 110735. [Google Scholar] [CrossRef]
  26. Qeshmi, F.I.; Homaei, A.; Fernandes, P.; Hemmati, R.; Dijkstra, B.W.; Khajeh, K. Xylanases from marine microorganisms: A brief overview on scope, sources, features and potential applications. Biochim. Biophys. Acta (BBA)-Proteins Proteom. 2020, 1868, 140312. [Google Scholar] [CrossRef]
  27. Bajaj, P.; Mahajan, R. Cellulase and xylanase synergism in industrial biotechnology. Appl. Microbiol. Biotechnol. 2019, 103, 8711–8724. [Google Scholar] [CrossRef]
  28. Juturu, V.; Wu, J.C. Microbial xylanases: Engineering, production and industrial applications. Biotechnol. Adv. 2012, 30, 1219–1227. [Google Scholar] [CrossRef]
  29. Paës, G.; Berrin, J.-G.; Beaugrand, J. GH11 xylanases: Structure/function/properties relationships and applications. Biotechnol. Adv. 2012, 30, 564–592. [Google Scholar] [CrossRef]
  30. Karlsson, E.N.; Schmitz, E.; Linares-Pastén, J.A.; Adlercreutz, P. Endo-xylanases as tools for production of substituted xylooligosaccharides with prebiotic properties. Appl. Microbiol. Biotechnol. 2018, 102, 9081–9088. [Google Scholar] [CrossRef]
  31. Walia, A.; Guleria, S.; Mehta, P.; Chauhan, A.; Parkash, J. Microbial xylanases and their industrial application in pulp and paper biobleaching: A review. 3 Biotech 2017, 7, 11. [Google Scholar] [CrossRef]
  32. Devi, S.; Dwivedi, D.; Bhatt, A.K. Utilization of agroresidues for the production of xylanase by Bacillus safensis XPS7 and optimization of production parameters. Fermentation 2022, 8, 221. [Google Scholar] [CrossRef]
  33. Schultz, J.; Rosado, A.S. Extreme environments: A source of biosurfactants for biotechnological applications. Extremophiles 2020, 24, 189–206. [Google Scholar] [CrossRef] [PubMed]
  34. Verma, D. Extremophilic Prokaryotic Endoxylanases: Diversity, applicability, and molecular insights. Front. Microbiol 2021, 12, 728475. [Google Scholar] [CrossRef] [PubMed]
  35. Pariza, M.W.; Johnson, E.A. Evaluating the safety of microbial enzyme preparations used in food processing: Update for a new century. Regul. Toxicol. Pharmacol. 2001, 33, 173–186. [Google Scholar] [CrossRef] [PubMed]
  36. Mello-de-Sousa, T.M.; Silva-Pereira, I.; Poças-Fonseca, M.J. Carbon source and pH-dependent transcriptional regulation of cellulase genes of Humicola grisea var. thermoidea grown on sugarcane bagasse. Enzym. Microb. Technol. 2011, 48, 19–26. [Google Scholar] [CrossRef]
  37. Wierzbicki, M.P.; Maloney, V.; Mizrachi, E.; Myburg, A.A. Xylan in the middle: Understanding xylan biosynthesis and its metabolic dependencies toward Improving wood fiber for industrial processing. Front. Plant Sci. 2019, 10, 176. [Google Scholar] [CrossRef]
  38. Bhardwaj, N.; Kumar, B.; Agarwal, K.; Chaturvedi, V.; Verma, P. Purification and characterization of a thermo-acid/alkali stable xylanases from Aspergillus oryzae LC1 and its application in xylo-oligosaccharides production from lignocellulosic agricultural wastes. Int. J. Biol. Macromol. 2019, 122, 1191–1202. [Google Scholar] [CrossRef]
  39. Swaminathan, S.; Lionetti, V.; Zabotina, O.A. Plant cell wall integrity perturbations and priming for defense. Plants 2022, 11, 3539. [Google Scholar] [CrossRef]
  40. Zhang, L.; Zhou, Y.; Zhang, B. Xylan-directed cell wall assembly in grasses. Plant Physiol. 2023, 194, 2197–2207. [Google Scholar] [CrossRef]
  41. Fernandes de Souza, H.; Aguiar Borges, L.; Dédalo Di Próspero Gonçalves, V.; Vitor dos Santos, J.; Sousa Bessa, M.; Fronja Carosia, M.; Vieira de Carvalho, M.; Viana Brandi, I.; Setsuko Kamimura, E. Recent advances in the application of xylanases in the food industry and production by actinobacteria: A review. Food Res. Int. 2022, 162, 112103. [Google Scholar] [CrossRef]
  42. Saavedra-Bouza, A.; Escuder-Rodríguez, J.-J.; deCastro, M.-E.; Becerra, M.; González-Siso, M.-I. Xylanases from thermophilic archaea: A hidden treasure. Curr. Res. Biotechnol. 2023, 5, 100116. [Google Scholar] [CrossRef]
  43. Suto, M.; Takebayashi, M.; Saito, K.; Tanaka, M.; Yokota, A.; Tomita, F. Endophytes as producers of xylanase. J. Biosci. Bioeng. 2002, 93, 88–90. [Google Scholar] [CrossRef] [PubMed]
  44. Seo, W.T.; Lim, W.J.; Kim, E.J.; Yun, H.D.; Lee, Y.H.; Cho, K.M. Endophytic bacterial diversity in the young radish and their antimicrobial activity against pathogens. J. Korean Soc. Appl. Biol. Chem. 2010, 53, 493–503. [Google Scholar] [CrossRef]
  45. Khan, T.; Alzahrani, O.M.; Sohail, M.; Hasan, K.A.; Gulzar, S.; Rehman, A.U.; Mahmoud, S.F.; Alswat, A.S.; Abdel-Gawad, S.A. Enzyme profiling and identification of endophytic and rhizospheric bacteria isolated from Arthrocnemum macrostachyum. Microorganisms 2022, 10, 2112. [Google Scholar] [CrossRef] [PubMed]
  46. Shrestha, S.; Chio, C.; Khatiwada, J.R.; Kognou, A.L.M.; Qin, W. Formulation of the agro-waste mixture for multi-enzyme (pectinase, xylanase, and cellulase) production by mixture design method exploiting Streptomyces sp. Bioresour. Technol. Rep. 2022, 19, 101142. [Google Scholar] [CrossRef]
  47. Patel, K.; Dudhagara, P. Optimization of xylanase production by Bacillus tequilensis strain UD-3 using economical agricultural substrate and its application in rice straw pulp bleaching. Biocatal. Agric. Biotechnol. 2020, 30, 101846. [Google Scholar] [CrossRef]
  48. Pandey, C.; Gupta, N. Assessment and optimization of xylanase production using mono-culture and co-cultures of Bacillus subtilis and Bacillus pumilus. Microbiol. Biotechnol. Lett. 2023, 51, 59–68. [Google Scholar] [CrossRef]
  49. Kiribayeva, A.; Mukanov, B.; Silayev, D.; Akishev, Z.; Ramankulov, Y.; Khassenov, B. Cloning, expression, and characterization of a recombinant xylanase from Bacillus sonorensis T6. PLoS ONE 2022, 17, e0265647. [Google Scholar] [CrossRef]
  50. Rozhgar, M.A. Phytochemical diversity and nutritional value of kenger at different locations in sulaimani region-Iraq. Iraqi J. Agric. Sci. 2024, 55, 479–493. [Google Scholar] [CrossRef]
  51. Schäfer, J.; Brett, A.; Trierweiler, B.; Bunzel, M. Characterization of cell wall composition of radish (Raphanus sativus L. var. sativus) and maturation related changes. J. Agric. Food Chem. 2016, 64, 8625–8632. [Google Scholar] [CrossRef]
  52. Wang, T.; Jung, J.; Zhao, Y. Isolation, characterization, and applications of holocellulose nanofibers from apple and rhubarb pomace using eco-friendly approach. Food Bioprod. Process. 2022, 136, 166–175. [Google Scholar] [CrossRef]
  53. Sakamoto, M.; Komagata, K. Aerobic growth of and activities of NADH oxidase and NADH peroxidase in lactic acid bacteria. J. Ferment. Bioeng. 1996, 82, 210–216. [Google Scholar] [CrossRef]
  54. Kim, J.; Kim, Y.-M.; Lebaka, V.R.; Wee, Y.-J. Lactic acid for green chemical industry: Recent advances in and future prospects for production technology, recovery, and applications. Fermentation 2022, 8, 609. [Google Scholar] [CrossRef]
  55. Ojo, A.O.; de Smidt, O. Lactic acid: A comprehensive review of production to purification. Processes 2023, 11, 688. [Google Scholar] [CrossRef]
  56. Wang, Y.; Wu, J.; Lv, M.; Shao, Z.; Hungwe, M.; Wang, J.; Bai, X.; Xie, J.; Wang, Y.; Geng, W. Metabolism characteristics of lactic acid bacteria and the expanding applications in food industry. Front. Bioeng. Biotechnol. 2021, 9, 612285. [Google Scholar] [CrossRef]
  57. Raj, T.; Chandrasekhar, K.; Kumar, A.N.; Kim, S.-H. Recent biotechnological trends in lactic acid bacterial fermentation for food processing industries. Syst. Microbiol. Biomanufacturing 2022, 2, 14–40. [Google Scholar] [CrossRef]
  58. Sharma, H.; Fidan, H.; Özogul, F.; Rocha, J.M. Recent development in the preservation effect of lactic acid bacteria and essential oils on chicken and seafood products. Front. Microbiol. 2022, 13, 1092248. [Google Scholar] [CrossRef]
  59. Bai, Z.-Y.; You, S.; Zhang, F.; Dong, Z.-W.; Zhao, Y.-F.; Wen, H.-J.; Wang, J. Efficient fermentable sugar production from mulberry branch based on a rational design of GH10 xylanase with improved thermal stability. Renew. Energy 2023, 206, 566–573. [Google Scholar] [CrossRef]
  60. Cruz-Davila, J.; Perez, J.V.; Castillo, D.S.; Diez, N. Fusarium graminearum as a producer of xylanases with low cellulases when grown on wheat bran. Biotechnol. Rep. 2022, 35, e00738. [Google Scholar] [CrossRef]
  61. Olopoda, I.A.; Lawal, O.T.; Omotoyinbo, O.V.; Kolawole, A.N.; Sanni, D.M. Biochemical characterization of a thermally stable, acidophilic and surfactant-tolerant xylanase from Aspergillus awamori AFE1 and hydrolytic efficiency of its immobilized form. Process Biochem. 2022, 121, 45–55. [Google Scholar] [CrossRef]
  62. Sanguine, I.S.; Cavalheiro, G.F.; Garcia, N.F.L.; dos Santos, M.V.; Gandra, J.R.; de Buschinelli, R.H.D.T.; da Paz, M.F.; Fonseca, G.G.; Leite, R.S.R. Xylanases of Trichoderma koningii and Trichoderma pseudokoningii: Production, characterization and application as additives in the digestibility of forage for cattle. Biocatal. Agric. Biotechnol. 2022, 44, 102482. [Google Scholar] [CrossRef]
  63. Kaushal, J.; Khatri, M.; Singh, G.; Arya, S.K. A multifaceted enzyme conspicuous in fruit juice clarification: An elaborate review on xylanase. Int. J. Biol. Macromol. 2021, 193, 1350–1361. [Google Scholar] [CrossRef]
  64. Srivastava, N.; Mishra, P.K.; Upadhyay, S.N. 6-Xylanases: For digestion of hemicellulose. In Industrial Enzymes for Biofuels Production; Srivastava, N., Mishra, P.K., Upadhyay, S.N., Eds.; Elsevier: Amsterdam, The Netherlands, 2020; pp. 101–132. [Google Scholar]
  65. Kaur, P.; Khatri, M.; Singh, G.; Selvaraj, M.; Assiri, M.A.; Lalthazuala Rokhum, S.; Kumar Arya, S.; Jones, S.; Greff, B.; Woong Chang, S.; et al. Xylopentose production from crop residue employing xylanase enzyme. Bioresour. Technol. 2023, 370, 128572. [Google Scholar] [CrossRef] [PubMed]
  66. Dutta, P.D.; Neog, B.; Goswami, T. Xylanase enzyme production from Bacillus australimaris P5 for prebleaching of bamboo (Bambusa tulda) pulp. Mater. Chem. Phys. 2020, 243, 122227. [Google Scholar] [CrossRef]
  67. Fu, L.-H.; Jiang, N.; Li, C.-X.; Luo, X.-M.; Zhao, S.; Feng, J.-X. Purification and characterization of an endo-xylanase from Trichoderma sp., with xylobiose as the main product from xylan hydrolysis. World J. Microbiol. Biotechnol. 2019, 35, 171. [Google Scholar] [CrossRef] [PubMed]
  68. Rajabi, M.; Nourisanami, F.; Ghadikolaei, K.K.; Changizian, M.; Noghabi, K.A.; Zahiri, H.S. Metagenomic psychrohalophilic xylanase from camel rumen investigated for bioethanol production from wheat bran using Bacillus subtilis AP. Sci. Rep. 2022, 12, 8152. [Google Scholar] [CrossRef]
  69. Malhotra, G.; Chapadgaonkar, S.S. Partial purification and characterization of a thermostable xylanase from Bacillus licheniformis isolated from hot water geyser. J. Genet. Eng. Biotechnol. 2022, 20, 50. [Google Scholar] [CrossRef]
  70. Ulucay, O.; Gormez, A.; Ozic, C. For biotechnological applications: Purification and characterization of recombinant and nanoconjugated xylanase enzyme from thermophilic Bacillus subtilis. Biocatal. Agric. Biotechnol. 2022, 44, 102478. [Google Scholar] [CrossRef]
  71. Raj, A.; Kumar, S.; Singh, S.K.; Prakash, J. Production and purification of xylanase from alkaliphilic Bacillus licheniformis and its pretreatment of eucalyptus kraft pulp. Biocatal. Agric. Biotechnol. 2018, 15, 199–209. [Google Scholar] [CrossRef]
  72. Wahyuni, S.; Sarinah; Purnamasari, W.O.G.; Pato, U.; Susilowati, P.E.; Asnani; Khaeruni, A. Identification and genetic diversity of amylase producing lactic acid bacteria from brown rice (Oryza nivara) Wakawondu cultivar based on 16S rRNA gene. Fermentation 2022, 8, 691. [Google Scholar] [CrossRef]
  73. Gilad, O.; Jacobsen, S.; Stuer-Lauridsen, B.; Pedersen, M.B.; Garrigues, C.; Svensson, B. Combined transcriptome and proteome analysis of Bifidobacterium animalis subsp. lactis BB-12 grown on xylo-oligosaccharides and a model of their utilization. Appl. Environ. Microbiol. 2010, 76, 7285–7291. [Google Scholar] [CrossRef]
  74. Erlandson, K.A.; Delamarre, S.C.; Batt, C.A. Genetic evidence for a defective xylan degradation pathway in Lactococcus lactis. Appl. Environ. Microbiol. 2001, 67, 1445–1452. [Google Scholar] [CrossRef]
  75. Siezen, R.J.; Starrenburg, M.J.; Boekhorst, J.; Renckens, B.; Molenaar, D.; van Hylckama Vlieg, J.E. Genome-scale genotype-phenotype matching of two Lactococcus lactis isolates from plants identifies mechanisms of adaptation to the plant niche. Appl. Environ. Microbiol. 2008, 74, 424–436. [Google Scholar] [CrossRef] [PubMed]
  76. Derveaux, S.; Vandesompele, J.; Hellemans, J. How to do successful gene expression analysis using real-time PCR. Methods 2010, 50, 227–230. [Google Scholar] [CrossRef] [PubMed]
  77. Ezeilo, U.R.; Wahab, R.A.; Mahat, N.A. Optimization studies on cellulase and xylanase production by Rhizopus oryzae UC2 using raw oil palm frond leaves as substrate under solid state fermentation. Renew. Energy 2019, 156, 1301–1312. [Google Scholar] [CrossRef]
  78. Limkar, M.B.; Pawar, S.V.; Rathod, V.K. Statistical optimization of xylanase and alkaline protease co-production by Bacillus spp using Box-Behnken Design under submerged fermentation using wheat bran as a substrate. Biocatal. Agric. Biotechnol. 2019, 17, 455–464. [Google Scholar] [CrossRef]
  79. Tanaka, H.; Muguruma, M.; Ohta, K. Purification and properties of a family-10 xylanase from Aureobasidium pullulans ATCC 20524 and characterization of the encoding gene. Appl. Microbiol. Biotechnol. 2006, 70, 202–211. [Google Scholar] [CrossRef]
  80. Lee, D.-S.; Lee, K.-H.; Cho, E.-J.; Kim, H.M.; Kim, C.-S.; Bae, H.-J. Characterization and pH-dependent substrate specificity of alkalophilic xylanase from Bacillus alcalophilus. J. Ind. Microbiol. Biotechnol. 2012, 39, 1465–1475. [Google Scholar] [CrossRef]
  81. MacCabe, A.P.; Orejas, M.; Pérez-González, J.A.; Ramón, D. Opposite patterns of expression of two Aspergillus nidulans xylanase genes with respect to ambient pH. J. Bacteriol. 1998, 180, 1331–1333. [Google Scholar] [CrossRef]
  82. Ali, B.; Foo, H.; Sieo, C.; Raha, A.R. Isolation, identification and characterization of lactic acid bacteria from Polygonum minus. Rom. Biotechnol. Lett. 2012, 17, 7245–7252. [Google Scholar]
  83. Foo, H.; Loh, T.; Lai, P.; Lim, Y.; Kufli, C.; Rusul, G. Effects of adding Lactobacillus plantarum I-UL4 metabolites in drinking water of rats. Pak. J. Nutr. 2003, 2, 283–288. [Google Scholar] [CrossRef]
  84. Ninawe, S.; Lal, R.; Kuhad, R.C. Isolation of three xylanase-producing strains of actinomycetes and their identification using molecular methods. Curr. Microbiol. 2006, 53, 178–182. [Google Scholar] [CrossRef] [PubMed]
  85. Kasana, R.C.; Salwan, R.; Dhar, H.; Dutt, S.; Gulati, A. A rapid and easy method for the detection of microbial cellulases on agar plates using Gram’s Iodine. Curr. Microbiol. 2008, 57, 503–507. [Google Scholar] [CrossRef]
  86. Miller, G.L. Use of dinitrosalicylic acid reagent for determination of reducing sugar. Anal. Chem. 1959, 31, 426–428. [Google Scholar] [CrossRef]
  87. Miller, G.L. Protein determination of large numbers of samples. Anal. Chem. 1959, 31, 964. [Google Scholar] [CrossRef]
  88. Filimon, R.V.; Bunea, C.-I.; Nechita, A.; Bora, F.D.; Dunca, S.I.; Mocan, A.; Filimon, R.M. New malolactic bacteria strains isolated from wine microbiota: Characterization and technological properties. Fermentation 2022, 8, 31. [Google Scholar] [CrossRef]
  89. Xiao, P.; Huang, Y.; Yang, W.; Zhang, B.; Quan, X. Screening lactic acid bacteria with high yielding-acid capacity from pickled tea for their potential uses of inoculating to ferment tea products. J. Food Sci. Technol. 2015, 52, 6727–6734. [Google Scholar] [CrossRef]
  90. Kumar, S.; Stecher, G.; Li, M.; Knyaz, C.; Tamura, K. MEGA X: Molecular evolutionary genetics analysis across computing platforms. Mol. Biol. Evol. 2018, 35, 1547–1549. [Google Scholar] [CrossRef]
  91. Tamura, K.; Nei, M.; Kumar, S. Prospects for inferring very large phylogenies by using the neighbor-joining method. Proc. Natl. Acad. Sci. USA 2004, 101, 11030–11035. [Google Scholar] [CrossRef]
  92. Livak, K.J.; Schmittgen, T.D. Analysis of relative gene expression data using real-time quantitative PCR and the 2−ΔΔCT Method. Methods 2001, 25, 402–408. [Google Scholar] [CrossRef]
Figure 1. Representative semi-quantitative screening of extracellular xylanase activity of lactic acid bacteria isolated from plant sources using MRS medium supplemented with xylan. (a) growth of xylanase-producing bacteria on MRS medium containing xylan. (b) A clear zone of xylan hydrolysis surrounding the well, as observed with the growth of the G4 isolate, stained with Congo red dye. (c) A negative control of Lactococcus lactis showed no clear zone of xylan hydrolysis.
Figure 1. Representative semi-quantitative screening of extracellular xylanase activity of lactic acid bacteria isolated from plant sources using MRS medium supplemented with xylan. (a) growth of xylanase-producing bacteria on MRS medium containing xylan. (b) A clear zone of xylan hydrolysis surrounding the well, as observed with the growth of the G4 isolate, stained with Congo red dye. (c) A negative control of Lactococcus lactis showed no clear zone of xylan hydrolysis.
Catalysts 15 00990 g001
Figure 2. Effect of pH on specific extracellular xylanase activity produced by the presumptive LAB isolated from radish, rhubarb and gundelia samples. (a) Specific extracellular xylanase activity at pH 5. (b) Specific extracellular xylanase at pH 6.5. (c) Specific extracellular xylanase at pH 8. Bars represented with different lowercase letters are statistically significant at p < 0.05. ND = Not detected.
Figure 2. Effect of pH on specific extracellular xylanase activity produced by the presumptive LAB isolated from radish, rhubarb and gundelia samples. (a) Specific extracellular xylanase activity at pH 5. (b) Specific extracellular xylanase at pH 6.5. (c) Specific extracellular xylanase at pH 8. Bars represented with different lowercase letters are statistically significant at p < 0.05. ND = Not detected.
Catalysts 15 00990 g002
Figure 3. Representative micrographs of Weissella confusa. (a) Gram-positive coccobacilli; (b) Colony morphology on de Man, Rogosa and Sharpe agar.
Figure 3. Representative micrographs of Weissella confusa. (a) Gram-positive coccobacilli; (b) Colony morphology on de Man, Rogosa and Sharpe agar.
Catalysts 15 00990 g003
Figure 4. Representative micrographs of Pediococcus pentosaceus. (a) Gram-positive tetra cocci; (b) Colony morphology on de Man, Rogosa and Sharpe agar.
Figure 4. Representative micrographs of Pediococcus pentosaceus. (a) Gram-positive tetra cocci; (b) Colony morphology on de Man, Rogosa and Sharpe agar.
Catalysts 15 00990 g004
Figure 5. Neighbour-joining phylogenetic tree of Weissella confusa and Pediococcus pentosaceus.
Figure 5. Neighbour-joining phylogenetic tree of Weissella confusa and Pediococcus pentosaceus.
Catalysts 15 00990 g005
Figure 6. Xylanase gene expression of the selected 15 extracellular xylanase-producing lactic acid bacteria. (a) Fold of XylW xylanase gene expression of W. confusa at pH 5; (b) Fold of XylW xylanase gene expression of W. confusa at pH 8. (c) Fold of XylP xylanase gene expression of P. pentosaceus at pH 5. (d) Fold of XylP xylanase gene expression of P. pentosaceus at pH 8. The fold of xylanase gene expression was calculated by the 2−ΔΔCt method. Data are plotted as average values of relative fold change ± standard error. Bars represented with different lowercase letters are statistically significant at p < 0.05.
Figure 6. Xylanase gene expression of the selected 15 extracellular xylanase-producing lactic acid bacteria. (a) Fold of XylW xylanase gene expression of W. confusa at pH 5; (b) Fold of XylW xylanase gene expression of W. confusa at pH 8. (c) Fold of XylP xylanase gene expression of P. pentosaceus at pH 5. (d) Fold of XylP xylanase gene expression of P. pentosaceus at pH 8. The fold of xylanase gene expression was calculated by the 2−ΔΔCt method. Data are plotted as average values of relative fold change ± standard error. Bars represented with different lowercase letters are statistically significant at p < 0.05.
Catalysts 15 00990 g006
Table 1. Lactic acid bacteria isolated from selected plant sources.
Table 1. Lactic acid bacteria isolated from selected plant sources.
Plant SourceTotal Lactic Acid Bacteria NumberXylanase-Producing Lactic Acid Bacteria
Isolate NumberIsolate Label% of Xylanase-Producing Bacteria
Radish196R131.57%
R3
R4
R5
R6
R7
Gundelia125G141.66%
G4
G5
G6
G7
Rhubarb144Rh828.57%
Rh9
Rh11
Rh13
Total4515 33.33%
Table 2. Semi-quantitative analysis of extracellular xylanase-producing lactic acid bacteria isolated from plant sources.
Table 2. Semi-quantitative analysis of extracellular xylanase-producing lactic acid bacteria isolated from plant sources.
SourcesIsolate No.Clear zone Diameter (mm)
RadishR15.2 d ± 0.1154
R34.1 f ± 0.0577
R44.03 f ± 0.0333
R55.33 d ± 0.1452
R65.83 b ± 0.1452
R73.03 g ± 0.0333
GundeliaG14.7 e ± 0.0577
G46.53 a ± 0.0881
G55.2 d ± 0.1154
G65.7 bc ± 0.0577
G76.5 a ± 0.1154
RhubarbRh 86.3 a ± 0.0577
Rh 94.7 e ± 0.0577
Rh 114.53 e ± 0.1452
Rh 135.43 cd ± 0.0881
Values are mean ± SEM, n = 3. Means ± SEM within the same column that share a common superscript (a–g) are not significantly different (p > 0.05).
Table 3. Xylanase genes and the respective designed primers.
Table 3. Xylanase genes and the respective designed primers.
PrimerPrimer Sequence (5-3)Product Size (bp)Annealing Temp (°C)Strain, Accession Number and Region
XylW FGGCTTCTTCAAGTGGTCAGC19657Weissella confusa strain VTT E-133279
Accession number (CP027563.1)
Region 1..1167
XylW RCGCCTTCTTCTTCATCCTTG
XylP FTTTACCTGCCGTTACCCAAG18957Pediococcus acidilactici strain SRCM101189
Accession number (CP021529.1)
Region 1..897
XylP RTGGGTGTTTTTGGTTTGACA
recAW FTGACTCAACTGTCGGTTTGC15658Weissella confusa strain LM1
Accession number CP080582.1
region: 899577..900722
recAW RGTCCACCAGGTGTCGTTTCT
recAP FGCAGTTGCTGAAGTGCAAAA16757Pediococcus pentosaceus strain MR001
Accession number CP047081.1
Region 1246887..1247945
recAP RGATACCAAAGCATCGGCAAT
Notes: recAW and recAP are housekeeping genes, whereas XylW and XylP are xylanase genes.
Disclaimer/Publisher’s Note: The statements, opinions and data contained in all publications are solely those of the individual author(s) and contributor(s) and not of MDPI and/or the editor(s). MDPI and/or the editor(s) disclaim responsibility for any injury to people or property resulting from any ideas, methods, instructions or products referred to in the content.

Share and Cite

MDPI and ACS Style

Ali, N.L.; Foo, H.L.; Ramli, N.; Halim, M.; Thalij, K.M. Exploration of Novel Extracellular Xylanase-Producing Lactic Acid Bacteria from Plant Sources. Catalysts 2025, 15, 990. https://doi.org/10.3390/catal15100990

AMA Style

Ali NL, Foo HL, Ramli N, Halim M, Thalij KM. Exploration of Novel Extracellular Xylanase-Producing Lactic Acid Bacteria from Plant Sources. Catalysts. 2025; 15(10):990. https://doi.org/10.3390/catal15100990

Chicago/Turabian Style

Ali, Noor Lutphy, Hooi Ling Foo, Norhayati Ramli, Murni Halim, and Karkaz M. Thalij. 2025. "Exploration of Novel Extracellular Xylanase-Producing Lactic Acid Bacteria from Plant Sources" Catalysts 15, no. 10: 990. https://doi.org/10.3390/catal15100990

APA Style

Ali, N. L., Foo, H. L., Ramli, N., Halim, M., & Thalij, K. M. (2025). Exploration of Novel Extracellular Xylanase-Producing Lactic Acid Bacteria from Plant Sources. Catalysts, 15(10), 990. https://doi.org/10.3390/catal15100990

Note that from the first issue of 2016, this journal uses article numbers instead of page numbers. See further details here.

Article Metrics

Back to TopTop