Electrodeposition of Bismuth Dendrites on Oxide-Derived Copper Foam Enhancing Electrochemical CO2 Reduction to Formate
Abstract
1. Introduction
2. Results and Discussion
2.1. Synthesis and Characterizations of the Bi/OD-Cu
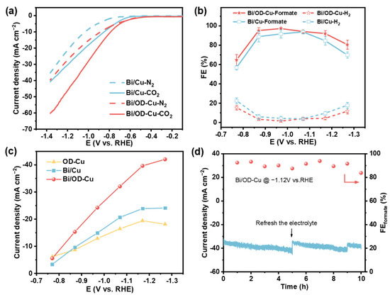
2.2. Electrochemical CO2RR Performance in an H-Cell
2.3. Mechanism Study of CO2 Reduction
2.4. Electrochemical CO2RR Performance in the Flow Cell
3. Experiments and Methods
3.1. Fabrication of Cu(OH)2 Nanoneedles
3.2. Fabrication of Oxide-Derived Cu Foam
3.3. Fabrication of Bi Dendrites on Oxidized Cu Foam
3.4. Fabrication of Bi Dendrites on Cu Foam
3.5. Characterizations
3.6. Electrochemical Measurements
3.7. Product Analysis
4. Conclusions
Supplementary Materials
Author Contributions
Funding
Data Availability Statement
Conflicts of Interest
References
- Monroe, R. The Keeling Curve Is a Daily Record of Global Atmospheric Carbon Dioxide Concentration Maintained by Scripps Institution of Oceanography at UC San Diego. Available online: https://keelingcurve.ucsd.edu (accessed on 3 October 2024).
- Jin, S.; Hao, Z.; Zhang, K.; Yan, Z.; Chen, J. Advances and Challenges for the Electrochemical Reduction of CO2 to CO: From Fundamentals to Industrialization. Angew. Chem. Int. Ed. 2021, 60, 20627–20648. [Google Scholar] [CrossRef] [PubMed]
- Zhu, J.; Lv, L.; Zaman, S.; Chen, X.; Dai, Y.; Chen, S.; He, G.; Wang, D.; Mai, L. Advances and challenges in single-site catalysts towards electrochemical CO2 methanation. Energy Environ. Sci. 2023, 16, 4812–4833. [Google Scholar] [CrossRef]
- Bonchio, M.; Bonin, J.; Ishitani, O.; Lu, T.-B.; Morikawa, T.; Morris, A.J.; Reisner, E.; Sarkar, D.; Toma, F.M.; Robert, M. Best practices for experiments and reporting in photocatalytic CO2 reduction. Nat. Catal. 2023, 6, 657–665. [Google Scholar] [CrossRef]
- Seger, B.; Robert, M.; Jiao, F. Best practices for electrochemical reduction of carbon dioxide. Nat. Sustain. 2023, 6, 236–238. [Google Scholar] [CrossRef]
- Zhu, P.; Wang, H. High-purity and high-concentration liquid fuels through CO2 electroreduction. Nat. Catal. 2021, 4, 943–951. [Google Scholar] [CrossRef]
- Li, P.; Yang, F.; Li, J.; Zhu, Q.; Xu, J.W.; Loh, X.J.; Huang, K.-W.; Hu, W.; Lu, J. Nanoscale Engineering of P-Block Metal-Based Catalysts Toward Industrial-Scale Electrochemical Reduction of CO2. Adv. Energy Mater. 2023, 13, 2301597. [Google Scholar] [CrossRef]
- Chen, Q.; Wang, X.; Zhou, Y.; Tan, Y.; Li, H.; Fu, J.; Liu, M. Electrocatalytic CO2 Reduction to C2+ Products in Flow Cells. Adv. Mater. 2024, 36, 2303902. [Google Scholar] [CrossRef]
- Wen, G.; Ren, B.; Zheng, Y.; Li, M.; Silva, C.; Song, S.; Zhang, Z.; Dou, H.; Zhao, L.; Luo, D.; et al. Engineering Electrochemical Surface for Efficient Carbon Dioxide Upgrade. Adv. Energy Mater. 2022, 12, 2103289. [Google Scholar] [CrossRef]
- Yue, P.; Fu, Q.; Li, J.; Zhang, L.; Xing, L.; Kang, Z.; Liao, Q.; Zhu, X. Triple-phase electrocatalysis for the enhanced CO2 reduction to HCOOH on a hydrophobic surface. Chem. Eng. J. 2021, 405, 126975. [Google Scholar] [CrossRef]
- Jiang, Y.; Shan, J.; Wang, P.; Huang, L.; Zheng, Y.; Qiao, S.-Z. Stabilizing Oxidation State of SnO2 for Highly Selective CO2 Electroreduction to Formate at Large Current Densities. ACS Catal. 2023, 13, 3101–3108. [Google Scholar] [CrossRef]
- Yang, F.; Elnabawy, A.O.; Schimmenti, R.; Song, P.; Wang, J.; Peng, Z.; Yao, S.; Deng, R.; Song, S.; Lin, Y.; et al. Bismuthene for highly efficient carbon dioxide electroreduction reaction. Nat. Commun. 2020, 11, 1088. [Google Scholar] [CrossRef] [PubMed]
- Cheng, Q.; Huang, M.; Ye, Q.; Deng, B.; Dong, F. Indium-based electrocatalysts for CO2 reduction to C1 products. Chin. Chem. Lett. 2024, 35, 109112. [Google Scholar] [CrossRef]
- Lu, Q.; Jiao, F. Electrochemical CO2 reduction: Electrocatalyst, reaction mechanism, and process engineering. Nano Energy 2016, 29, 439–456. [Google Scholar] [CrossRef]
- Lin, C.; Liu, Y.; Kong, X.; Geng, Z.; Zeng, J. Electrodeposited highly-oriented bismuth microparticles for efficient CO2 electroreduction into formate. Nano Res. 2022, 15, 10078–10083. [Google Scholar] [CrossRef]
- Zhang, X.; Sun, X.; Guo, S.-X.; Bond, A.M.; Zhang, J. Formation of lattice-dislocated bismuth nanowires on copper foam for enhanced electrocatalytic CO2 reduction at low overpotential. Energy Environ. Sci. 2019, 12, 1334–1340. [Google Scholar] [CrossRef]
- Chen, W.; Chen, R.; Jiang, Y.; Wang, Y.; Zhu, Y.; Li, Y.; Li, C. In-Induced Electronic Structure Modulations of Bi─O Active Sites for Selective Carbon Dioxide Electroreduction to Liquid Fuel in Strong Acid. Small 2024, 20, 2306795. [Google Scholar] [CrossRef]
- Shen, H.; Zhao, Y.; Zhang, L.; He, Y.; Yang, S.; Wang, T.; Cao, Y.; Guo, Y.; Zhang, Q.; Zhang, H. In-Situ Constructuring of Copper-Doped Bismuth Catalyst for Highly Efficient CO2 Electrolysis to Formate in Ampere-Level. Adv. Energy Mater. 2023, 13, 2202818. [Google Scholar] [CrossRef]
- Zhang, J.; Qin, C.; Liu, D.; He, J.; Li, Q.; Feng, Z.; Yang, Z.; Wang, J.; Yang, Z. Heterophase-structured bismuth nanosheets for solar energy-driven electrocatalytic reduction of CO2 to formate. J. Mater. Chem. A 2024, 12, 8526–8533. [Google Scholar] [CrossRef]
- Liang, X.-D.; Zheng, Q.-Z.; Wei, N.; Lou, Y.-Y.; Hu, S.-N.; Zhao, K.-M.; Liao, H.-G.; Tian, N.; Zhou, Z.-Y.; Sun, S.-G. In-situ constructing Bi@Bi2O2CO3 nanosheet catalyst for ampere-level CO2 electroreduction to formate. Nano Energy 2023, 114, 108638. [Google Scholar] [CrossRef]
- Lv, L.; Lu, R.; Zhu, J.; Yu, R.; Zhang, W.; Cui, E.; Chen, X.; Dai, Y.; Cui, L.; Li, J.; et al. Coordinating the Edge Defects of Bismuth with Sulfur for Enhanced CO2 Electroreduction to Formate. Angew. Chem. Int. Ed. 2023, 62, e202303117. [Google Scholar] [CrossRef]
- Zhu, J.; Li, J.; Lu, R.; Yu, R.; Zhao, S.; Li, C.; Lv, L.; Xia, L.; Chen, X.; Cai, W.; et al. Surface passivation for highly active, selective, stable, and scalable CO2 electroreduction. Nat. Commun. 2023, 14, 4670. [Google Scholar] [CrossRef] [PubMed]
- Sun, M.; Cheng, J.; Yamauchi, M. Gas diffusion enhanced electrode with ultrathin superhydrophobic macropore structure for acidic CO2 electroreduction. Nat. Commun. 2024, 15, 491. [Google Scholar] [CrossRef] [PubMed]
- Liu, T.; Ohashi, K.; Nagita, K.; Harada, T.; Nakanishi, S.; Kamiya, K. A Tin Oxide-Coated Copper Foam Hybridized with a Gas Diffusion Electrode for Efficient CO2 Reduction to Formate with a Current Density Exceeding 1 A cm−2. Small 2022, 18, 2205323. [Google Scholar] [CrossRef]
- Chang, S.; Xuan, Y.; Duan, J.; Zhang, K. High-performance electroreduction CO2 to formate at Bi/Nafion interface. Appl. Catal. B 2022, 306, 121135. [Google Scholar] [CrossRef]
- Peng, L.; Chen, C.; He, R.; Xu, N.; Qiao, J.; Lin, Z.; Zhu, Y.; Huang, H. Tin-doped bismuth dendrites for highly efficient electrocatalytic reduction of CO2 by using bipolar membrane in ultrathin liquid reactor. EcoMat 2022, 4, e12260. [Google Scholar] [CrossRef]
- Ma, S.; Wu, K.; Fan, S.; Yang, P.; Chen, L.; Ma, J.; Yang, L.; Zhu, H.; Ma, X. Lattice-dislocated bismuth nanowires formed by in-situ chemical etching on copper foam for enhanced electrocatalytic CO2 reduction. Sep. Purif. Technol. 2024, 349, 127926. [Google Scholar] [CrossRef]
- Sun, M.; Staykov, A.; Yamauchi, M. Understanding the Roles of Hydroxide in CO2 Electroreduction on a Cu Electrode for Achieving Variable Selectivity. ACS Catal. 2022, 12, 14856–14863. [Google Scholar] [CrossRef]
- Peng, C.; Yang, S.; Luo, G.; Yan, S.; Chen, N.; Zhang, J.; Chen, Y.; Wang, X.; Wang, Z.; Wei, W.; et al. Ampere-level CO2-to-formate electrosynthesis using highly exposed bismuth(110) facets modified with sulfur-anchored sodium cations. Chem 2023, 9, 2830–2840. [Google Scholar] [CrossRef]
- Li, Z.; Feng, Y.; Li, Y.; Chen, X.; Li, N.; He, W.; Liu, J. Fabrication of Bi/Sn bimetallic electrode for high-performance electrochemical reduction of carbon dioxide to formate. Chem. Eng. J. 2022, 428, 130901. [Google Scholar] [CrossRef]
- Zhang, Y.; Zhang, R.; Chen, F.; Zhang, F.; Liu, Y.; Hao, X.; Jin, H.; Zhang, X.; Lu, Z.; Dong, H.; et al. Mass-transfer-enhanced hydrophobic Bi microsheets for highly efficient electroreduction of CO2 to pure formate in a wide potential window. Appl. Catal. B 2023, 322, 122127. [Google Scholar] [CrossRef]
- Fan, J.; Zhao, X.; Mao, X.; Xu, J.; Han, N.; Yang, H.; Pan, B.; Li, Y.; Wang, L.; Li, Y. Large-Area Vertically Aligned Bismuthene Nanosheet Arrays from Galvanic Replacement Reaction for Efficient Electrochemical CO2 Conversion. Adv. Mater. 2021, 33, 2100910. [Google Scholar] [CrossRef] [PubMed]
- Zhang, M.; Wei, W.; Zhou, S.; Ma, D.-D.; Cao, A.; Wu, X.-T.; Zhu, Q.-L. Engineering a conductive network of atomically thin bismuthene with rich defects enables CO2 reduction to formate with industry-compatible current densities and stability. Energy Environ. Sci. 2021, 14, 4998–5008. [Google Scholar] [CrossRef]
- Wang, M.; Liu, S.; Chen, B.; Tian, F.; Peng, C. Synergistic Geometric and Electronic Effects in Bi–Cu Bimetallic Catalysts for CO2 Electroreduction to Formate over a Wide Potential Window. ACS Sustainable Chem. Eng. 2022, 10, 5693–5701. [Google Scholar] [CrossRef]
- Li, L.; Jin, X.; Yu, X.; Zhong, M. Bimetallic Cu-Bi catalysts for efficient electroreduction of CO2 to formate. Front. Chem. 2022, 10, 983778. [Google Scholar] [CrossRef]
- Peng, L.; Wang, Y.; Wang, Y.; Xu, N.; Lou, W.; Liu, P.; Cai, D.; Huang, H.; Qiao, J. Separated growth of Bi-Cu bimetallic electrocatalysts on defective copper foam for highly converting CO2 to formate with alkaline anion-exchange membrane beyond KHCO3 electrolyte. Appl. Catal. B 2021, 288, 120003. [Google Scholar] [CrossRef]
- Li, Z.; Sun, B.; Xiao, D.; Wang, Z.; Liu, Y.; Zheng, Z.; Wang, P.; Dai, Y.; Cheng, H.; Huang, B. Electron-Rich Bi Nanosheets Promote CO2⋅− Formation for High-Performance and pH-Universal Electrocatalytic CO2 Reduction. Angew. Chem. Int. Ed. 2023, 62, e202217569. [Google Scholar] [CrossRef]
- Li, Y.; Delmo, E.P.; Hou, G.; Cui, X.; Zhao, M.; Tian, Z.; Zhang, Y.; Shao, M. Enhancing Local CO2 Adsorption by L-histidine Incorporation for Selective Formate Production Over the Wide Potential Window. Angew. Chem. Int. Ed. 2023, 62, e202313522. [Google Scholar] [CrossRef]
- Tian, Y.; Li, D.; Wu, J.; Liu, J.; Li, C.; Liu, G.; Chen, D.; Feng, Y. Electroreduction of CO2 to formate with excellent selectivity and stability on nano-dendrite Bi film electrode. J. CO2 Util. 2021, 43, 101360. [Google Scholar] [CrossRef]
- Tang, Z.; Wang, Y.; Qian, W.; Piao, Z.; Wang, H.; Zhang, Y. Two-way rushing travel: Cathodic-anodic coupling of Bi2O3-SnO@CuO nanowires, a bifunctional catalyst with excellent CO2RR and MOR performance for the efficient production of formate. J. Colloid Interface Sci. 2023, 652, 1653–1664. [Google Scholar] [CrossRef]
- Liu, Z.; Chen, J.; Guo, H.; Huang, X. Reduction-tolerant SnO2 assisted by surface hydroxyls for selective CO2 electroreduction to formate over wide potential range. Nano Energy 2023, 108, 108193. [Google Scholar] [CrossRef]
- Deng, P.; Wang, H.; Qi, R.; Zhu, J.; Chen, S.; Yang, F.; Zhou, L.; Qi, K.; Liu, H.; Xia, B.Y. Bismuth Oxides with Enhanced Bismuth–Oxygen Structure for Efficient Electrochemical Reduction of Carbon Dioxide to Formate. ACS Catal. 2020, 10, 743–750. [Google Scholar] [CrossRef]
- Liu, S.-Q.; Shahini, E.; Gao, M.-R.; Gong, L.; Sui, P.-F.; Tang, T.; Zeng, H.; Luo, J.-L. Bi2O3 Nanosheets Grown on Carbon Nanofiber with Inherent Hydrophobicity for High-Performance CO2 Electroreduction in a Wide Potential Window. ACS Nano 2021, 15, 17757–17768. [Google Scholar] [CrossRef] [PubMed]
- Xie, H.; Lv, L.; Sun, Y.; Wang, C.; Xu, J.; Tang, M. CuSnBi Catalyst Grown on Copper Foam by Co-Electrodeposition for Efficient Electrochemical Reduction of CO2 to Formate. Catalysts 2024, 14, 191. [Google Scholar] [CrossRef]
- Yang, S.; Sun, Y.; Wang, C.; Lv, L.; Hu, M.; Jin, J.; Xie, H. One-step co-electrodeposition of SnBi for efficient electrochemical reduction of carbon dioxide to formic acid. Catal. Sci. Technol. 2023, 13, 758–766. [Google Scholar] [CrossRef]
- Wang, S.; Dong, L.; Zhang, M.; Cheng, F.; Chen, S. N-doped carbon-coated Cu2O nanowire arrays on copper foam for rapid and stable water disinfection. J. Colloid Interface Sci. 2022, 625, 761–773. [Google Scholar] [CrossRef]
- Wei, C.; Sun, S.; Mandler, D.; Wang, X.; Qiao, S.Z.; Xu, Z.J. Approaches for measuring the surface areas of metal oxide electrocatalysts for determining their intrinsic electrocatalytic activity. Chem. Soc. Rev. 2019, 48, 2518–2534. [Google Scholar] [CrossRef]
- Liu, W.; Zhai, P.; Li, A.; Wei, B.; Si, K.; Wei, Y.; Wang, X.; Zhu, G.; Chen, Q.; Gu, X.; et al. Electrochemical CO2 reduction to ethylene by ultrathin CuO nanoplate arrays. Nat. Commun. 2022, 13, 1877. [Google Scholar] [CrossRef]
- Zhang, S.; Kang, P.; Meyer, T.J. Nanostructured Tin Catalysts for Selective Electrochemical Reduction of Carbon Dioxide to Formate. J. Am. Chem. Soc. 2014, 136, 1734–1737. [Google Scholar] [CrossRef]
- Liu, M.; Pang, Y.; Zhang, B.; De Luna, P.; Voznyy, O.; Xu, J.; Zheng, X.; Dinh, C.T.; Fan, F.; Cao, C.; et al. Enhanced electrocatalytic CO2 reduction via field-induced reagent concentration. Nature 2016, 537, 382–386. [Google Scholar] [CrossRef]
- Li, D.; Wu, J.; Liu, T.; Liu, J.; Yan, Z.; Zhen, L.; Feng, Y. Tuning the pore structure of porous tin foam electrodes for enhanced electrochemical reduction of carbon dioxide to formate. Chem. Eng. J. 2019, 375, 122024. [Google Scholar] [CrossRef]
- Lei, F.; Liu, W.; Sun, Y.; Xu, J.; Liu, K.; Liang, L.; Yao, T.; Pan, B.; Wei, S.; Xie, Y. Metallic tin quantum sheets confined in graphene toward high-efficiency carbon dioxide electroreduction. Nat. Commun. 2016, 7, 12697. [Google Scholar] [CrossRef] [PubMed]
- Fu, H.Q.; Liu, J.; Bedford, N.M.; Wang, Y.; Sun, J.W.; Zou, Y.; Dong, M.; Wright, J.; Diao, H.; Liu, P.; et al. Synergistic Cr2O3@Ag Heterostructure Enhanced Electrocatalytic CO2 Reduction to CO. Adv. Mater. 2022, 34, 2202854. [Google Scholar] [CrossRef] [PubMed]
- Ahila, M.; Malligavathy, M.; Subramanian, E.; Padiyan, D.P. Controllable synthesis of α and β-Bi2O3 through anodization of thermally evaporated bismuth and its characterization. Solid State Ionics 2016, 298, 23–34. [Google Scholar] [CrossRef]
- Li, Y.; Chen, J.; Chen, S.; Liao, X.; Zhao, T.; Cheng, F.; Wang, H. In Situ Confined Growth of Bismuth Nanoribbons with Active and Robust Edge Sites for Boosted CO2 Electroreduction. ACS Energy Lett. 2022, 7, 1454–1461. [Google Scholar] [CrossRef]
- Ma, L.; Liu, N.; Mei, B.; Yang, K.; Liu, B.; Deng, K.; Zhang, Y.; Feng, H.; Liu, D.; Duan, J.; et al. In Situ-Activated Indium Nanoelectrocatalysts for Highly Active and Selective CO2 Electroreduction around the Thermodynamic Potential. ACS Catal. 2022, 12, 8601–8609. [Google Scholar] [CrossRef]
- Deng, Y.; Huang, Y.; Ren, D.; Handoko, A.D.; Seh, Z.W.; Hirunsit, P.; Yeo, B.S. On the Role of Sulfur for the Selective Electrochemical Reduction of CO2 to Formate on CuSx Catalysts. ACS Appl. Mater. Interfaces 2018, 10, 28572–28581. [Google Scholar] [CrossRef]
- Xing, Z.; Hu, L.; Ripatti, D.S.; Hu, X.; Feng, X. Enhancing carbon dioxide gas-diffusion electrolysis by creating a hydrophobic catalyst microenvironment. Nat. Commun. 2021, 12, 136. [Google Scholar] [CrossRef]
- Wen, G.; Ren, B.; Wang, X.; Luo, D.; Dou, H.; Zheng, Y.; Gao, R.; Gostick, J.; Yu, A.; Chen, Z. Continuous CO2 electrolysis using a CO2 exsolution-induced flow cell. Nat. Energy 2022, 7, 978–988. [Google Scholar] [CrossRef]
- Bi, J.; Li, P.; Liu, J.; Wang, Y.; Song, X.; Kang, X.; Sun, X.; Zhu, Q.; Han, B. High-Rate CO2 Electrolysis to Formic Acid over a Wide Potential Window: An Electrocatalyst Comprised of Indium Nanoparticles on Chitosan-Derived Graphene. Angew. Chem. Int. Ed. 2023, 62, e202307612. [Google Scholar] [CrossRef]
- Li, F.; Gu, G.H.; Choi, C.; Kolla, P.; Hong, S.; Wu, T.-S.; Soo, Y.-L.; Masa, J.; Mukerjee, S.; Jung, Y.; et al. Highly stable two-dimensional bismuth metal-organic frameworks for efficient electrochemical reduction of CO2. Appl. Catal. B 2020, 277, 119241. [Google Scholar] [CrossRef]
- Han, N.; Wang, Y.; Yang, H.; Deng, J.; Wu, J.; Li, Y.; Li, Y. Ultrathin bismuth nanosheets from in situ topotactic transformation for selective electrocatalytic CO2 reduction to formate. Nat. Commun. 2018, 9, 1320. [Google Scholar] [CrossRef] [PubMed]
- Li, H.; Ao, K.; Liu, J.; Sun, F.; Yu, X.; Zhang, X.; Shi, J.; Yue, X.; Xiang, J. Structural construction of Bi-anchored honeycomb N-doped porous carbon catalyst for efficient CO2 conversion. Chem. Eng. J. 2023, 464, 142672. [Google Scholar] [CrossRef]
- Wu, M.; Xiong, Y.; Hu, B.; Zhang, Z.; Wei, B.; Li, L.; Hao, J.; Shi, W. Indium doped bismuth subcarbonate nanosheets for efficient electrochemical reduction of carbon dioxide to formate in a wide potential window. J. Colloid Interface Sci 2022, 624, 261–269. [Google Scholar] [CrossRef]
- Duan, Y.-X.; Liu, K.-H.; Zhang, Q.; Yan, J.-M.; Jiang, Q. Efficient CO2 Reduction to HCOOH with High Selectivity and Energy Efficiency over Bi/rGO Catalyst. Small Methods 2020, 4, 1900846. [Google Scholar] [CrossRef]
- Wei, X.; Zhang, W.; Liu, D.; Liu, D.; Yan, Y.; Zhang, J.; Yang, Y.; Yan, S.; Zou, Z. Bi particles with exposed (012) facet on 3D substrate as highly active and durable electrode for CO2 reduction to formate. J. CO2 Util. 2022, 55, 101797. [Google Scholar] [CrossRef]
- Zhong, H.; Qiu, Y.; Zhang, T.; Li, X.; Zhang, H.; Chen, X. Bismuth nanodendrites as a high performance electrocatalyst for selective conversion of CO2 to formate. J. Mater. Chem. A 2016, 4, 13746–13753. [Google Scholar] [CrossRef]
- Yao, D.; Tang, C.; Vasileff, A.; Zhi, X.; Jiao, Y.; Qiao, S.-Z. The Controllable Reconstruction of Bi-MOFs for Electrochemical CO2 Reduction through Electrolyte and Potential Mediation. Angew. Chem. Int. Ed. 2021, 60, 18178–18184. [Google Scholar] [CrossRef]
- Ma, J.; Yan, J.; Xu, J.; Ni, J.; Zhang, H.; Lu, L. Dynamic ion exchange engineering BiOI-derived Bi2O2CO3 to promote CO2 electroreduction for efficient formate production. Chem. Eng. J. 2023, 455, 140926. [Google Scholar] [CrossRef]
- Wulan, B.; Zhao, L.; Tan, D.; Cao, X.; Ma, J.; Zhang, J. Electrochemically Driven Interfacial Transformation for High-Performing Solar-To-Fuel Electrocatalytic Conversion. Adv. Energy Mater. 2022, 12, 2103960. [Google Scholar] [CrossRef]
- Li, L.; Cai, F.; Qi, F.; Ma, D.-K. Cu nanowire bridged Bi nanosheet arrays for efficient electrochemical CO2 reduction toward formate. J. Alloys Compd. 2020, 841, 155789. [Google Scholar] [CrossRef]
- Zhang, F.; Chen, C.; Yan, S.; Zhong, J.; Zhang, B.; Cheng, Z. Cu@Bi nanocone induced efficient reduction of CO2 to formate with high current density. Appl. Catal. A 2020, 598, 117545. [Google Scholar] [CrossRef]
- Wu, Z.; Wu, H.; Cai, W.; Wen, Z.; Jia, B.; Wang, L.; Jin, W.; Ma, T. Engineering Bismuth-Tin Interface in Bimetallic Aerogel with a 3D Porous Structure for Highly Selective Electrocatalytic CO2 Reduction to HCOOH. Angew. Chem. Int. Ed. 2021, 60, 12554–12559. [Google Scholar] [CrossRef] [PubMed]
- Wang, D.; Wang, Y.; Chang, K.; Zhang, Y.; Wang, Z.; Zhang, Z.; Pan, C.; Lou, Y.; Zhu, Y.; Zhang, Y. Residual iodine on in-situ transformed bismuth nanosheets induced activity difference in CO2 electroreduction. J. CO2 Util. 2022, 55, 101802. [Google Scholar] [CrossRef]
- Wang, M.; Liu, S.; Chen, B.; Huang, M.; Peng, C. Co-regulation of intermediate binding and water activation in sulfur-doped bismuth nanosheets for electrocatalytic CO2 reduction to formate. Chem. Eng. J. 2023, 451, 139056. [Google Scholar] [CrossRef]
- Wang, Q.; Zhu, C.; Wu, C.; Yu, H. Direct synthesis of bismuth nanosheets on a gas diffusion layer as a high-performance cathode for a coupled electrochemical system capable of electroreduction of CO2 to formate with simultaneous degradation of organic pollutants. Electrochim. Acta 2019, 319, 138–147. [Google Scholar] [CrossRef]
- Ning, C.; Wu, Z.; Bai, S.; Ren, J.; Li, S.; Xiong, W.; Zheng, L.; Zheng, J.; Song, Y.-F.; Zhao, Y. Boosting CO2 electroreduction to HCOOH at high current density through tuning the electronic metal-support interaction. AIChE J. 2024, 70, e18350. [Google Scholar] [CrossRef]






Disclaimer/Publisher’s Note: The statements, opinions and data contained in all publications are solely those of the individual author(s) and contributor(s) and not of MDPI and/or the editor(s). MDPI and/or the editor(s) disclaim responsibility for any injury to people or property resulting from any ideas, methods, instructions or products referred to in the content. |
© 2025 by the authors. Licensee MDPI, Basel, Switzerland. This article is an open access article distributed under the terms and conditions of the Creative Commons Attribution (CC BY) license (https://creativecommons.org/licenses/by/4.0/).
Share and Cite
Xu, J.; Lv, L.; Wang, C.; Liang, Y. Electrodeposition of Bismuth Dendrites on Oxide-Derived Copper Foam Enhancing Electrochemical CO2 Reduction to Formate. Catalysts 2025, 15, 52. https://doi.org/10.3390/catal15010052
Xu J, Lv L, Wang C, Liang Y. Electrodeposition of Bismuth Dendrites on Oxide-Derived Copper Foam Enhancing Electrochemical CO2 Reduction to Formate. Catalysts. 2025; 15(1):52. https://doi.org/10.3390/catal15010052
Chicago/Turabian StyleXu, Jialin, Li Lv, Chunlai Wang, and Yun Liang. 2025. "Electrodeposition of Bismuth Dendrites on Oxide-Derived Copper Foam Enhancing Electrochemical CO2 Reduction to Formate" Catalysts 15, no. 1: 52. https://doi.org/10.3390/catal15010052
APA StyleXu, J., Lv, L., Wang, C., & Liang, Y. (2025). Electrodeposition of Bismuth Dendrites on Oxide-Derived Copper Foam Enhancing Electrochemical CO2 Reduction to Formate. Catalysts, 15(1), 52. https://doi.org/10.3390/catal15010052

