Degradation of Organic Dye Congo Red by Heterogeneous Solar Photocatalysis with Bi2S3, Bi2S3/TiO2, and Bi2S3/ZnO Thin Films
Abstract
1. Introduction
2. Results and Discussion
2.1. Characterization of Bi2S3 Thin Films Deposited with Two and Three Layers
2.1.1. Morphology of Bi2S3 Thin Films
2.1.2. X-ray Diffraction of Bi2S3 Thin Films
2.1.3. Optical Characterization
2.1.4. Contact Angle of Bi2S3 Thin Films
2.2. Characterization of Bi2S3/TiO2 Thin Films
2.2.1. Morphology of Bi2S3/TiO2 Thin Films
2.2.2. X-ray Diffraction of Bi2S3/TiO2 Thin Films
2.2.3. Optical Characterization of Bi2S3/TiO2 Thin Films
2.2.4. Contact Angle of Bi2S3/TiO2 Thin Films
2.3. Characterization of Bi2S3/ZnO Thin Films
2.3.1. Morphology of Bi2S3/ZnO Thin Films
2.3.2. X-ray Diffraction of Bi2S3/ZnO Thin Films
2.3.3. Optical Characterization of Bi2S3/ZnO Thin Films
2.3.4. Contact Angle of Bi2S3/ZnO Thin Films
2.4. Photocatalytic Activity of Bi2S3, Bi2S3/TiO2, and Bi2S3/ZnO Thin Films
3. Experimental Section
3.1. Deposition of Bi2S3 Thin Films
3.2. Preparation of TiO2 Nanoparticles
3.3. Preparation of the ZnO Nanoparticles
3.4. Preparation of Bi2S3/TiO2 and Bi2S3/ZnO Thin Films
3.5. Characteritation of Materials
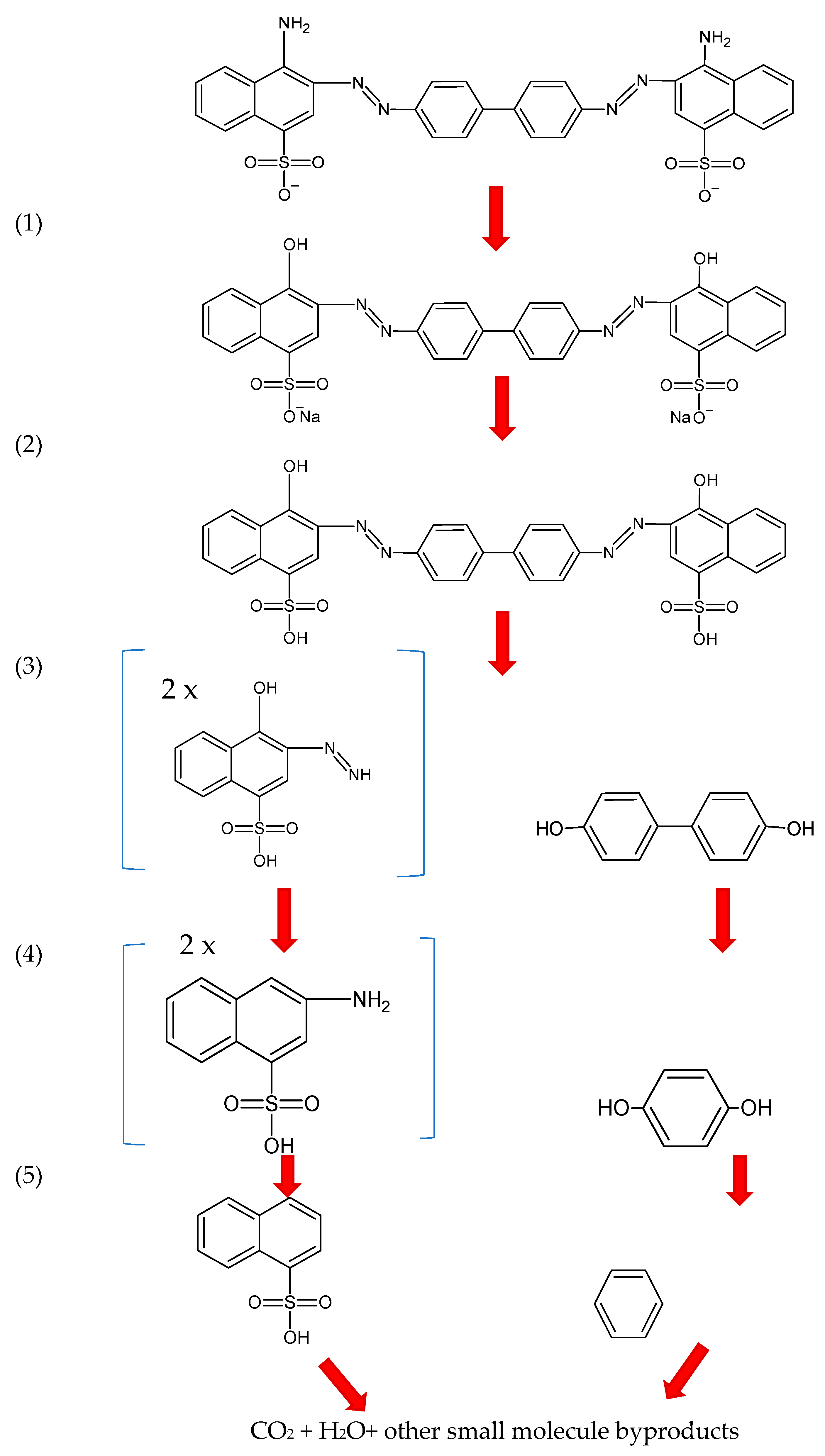
3.6. Photocatalytic Degradation of Congo Red
4. Conclusions
Supplementary Materials
Author Contributions
Funding
Data Availability Statement
Acknowledgments
Conflicts of Interest
References
- Bi, S.; Jayamani, G.; Thirumalai, K.; Swaminathan, M.; Shanthi, M. Materials Today: Proceedings Solar-light assisted photocatalytic mineralization of tartrazine dye using. Mater. Today Proc. 2020, 29, 1104–1118. [Google Scholar] [CrossRef]
- UNESCO. El valor del agua. Ecol. Política 2021, 26, 49–65. [Google Scholar]
- Sharma, K.S.; Panchal, K.; Chhimwal, M.; Kumar, D. Integrated detection and natural remediation technology as a low-cost alternative for wastewater treatment. Heal. Sci. Rev. 2023, 8, 100111. [Google Scholar] [CrossRef]
- Ljubas, D.; Smoljanić, G.; Juretić, H. Degradation of Methyl Orange and Congo Red dyes by using TiO2 nanoparticles activated by the solar and the solar-like radiation. J. Environ. Manage. 2015, 161, 83–91. [Google Scholar] [CrossRef]
- Ahmad, R.; Kumar, R. Adsorptive removal of congo red dye from aqueous solution using bael shell carbon. Appl. Surf. Sci. 2010, 257, 1628–1633. [Google Scholar] [CrossRef]
- Turcu, E.; Coromelci, C.G.; Harabagiu, V.; Ignat, M. Enhancing the Photocatalytic Activity of TiO2 for the Degradation of Congo Red Dye by Adjusting the Ultrasonication Regime Applied in Its Synthesis Procedure. Catalysts 2023, 13, 345. [Google Scholar] [CrossRef]
- Moyo, S.; Makhanya, B.P.; Zwane, P.E. Use of bacterial isolates in the treatment of textile dye wastewater: A review. Heliyon 2022, 8, e09632. [Google Scholar] [CrossRef]
- Zhu, H.; Jiang, R.; Li, J.; Fu, Y.; Jiang, S.; Yao, J. Magnetically recyclable Fe3O4/Bi2S3 microspheres for effective removal of Congo red dye by simultaneous adsorption and photocatalytic regeneration. Sep. Purif. Technol. 2017, 179, 184–193. [Google Scholar] [CrossRef]
- Huang, Z.; Li, Y.; Chen, W.; Shi, J.; Zhang, N.; Wang, X.; Li, Z.; Gao, L.; Zhang, Y. Modified bentonite adsorption of organic pollutants of dye wastewater. Mater. Chem. Phys. 2017, 202, 266–276. [Google Scholar] [CrossRef]
- Wang, X.; Deng, B.; Yu, L.; Cui, E.; Xiang, Z.; Lu, W. Degradation of azo dyes Congo red by MnBi alloy powders: Performance, kinetics and mechanism. Mater. Chem. Phys. 2020, 251, 123096. [Google Scholar] [CrossRef]
- Kim, J.R.; Kan, E. Heterogeneous photo-Fenton oxidation of methylene blue using CdS-carbon nanotube/TiO2 under visible light. J. Ind. Eng. Chem. 2015, 21, 644–652. [Google Scholar] [CrossRef]
- Erdemoǧlu, S.; Aksu, S.K.; Sayilkan, F.; Izgi, B.; Asiltürk, M.; Sayilkan, H.; Frimmel, F.; Güçer, Ş. Photocatalytic degradation of Congo Red by hydrothermally synthesized nanocrystalline TiO2 and identification of degradation products by LC-MS. J. Hazard. Mater. 2008, 155, 469–476. [Google Scholar] [CrossRef]
- Oladoye, P.O.; Ajiboye, T.O.; Omotola, E.O.; Oyewola, O.J. Methylene blue dye: Toxicity and potential elimination technology from wastewater. Results Eng. 2022, 16, 100678. [Google Scholar] [CrossRef]
- Asses, N.; Ayed, L.; Hkiri, N.; Hamdi, M. Congo Red Decolorization and Detoxification by Aspergillus Niger: Removal Mechanisms and Dye Degradation Pathway. Biomed Res. Int. 2018, 2018. [Google Scholar] [CrossRef] [PubMed]
- Hokonya, N.; Mahamadi, C.; Mukaratirwa-Muchanyereyi, N.; Gutu, T.; Zvinowanda, C. Green synthesis of P − ZrO2CeO2ZnO nanoparticles using leaf extracts of Flacourtia indica and their application for the photocatalytic degradation of a model toxic dye, Congo red. Heliyon 2022, 8. [Google Scholar] [CrossRef] [PubMed]
- Hasanpour, M.; Hatami, M. Photocatalytic performance of aerogels for organic dyes removal from wastewaters: Review study. J. Mol. Liq. 2020, 309, 113094. [Google Scholar] [CrossRef]
- Chekir, N.; Boukendakdji, H.; Igoud, S.; Taane, W. Solar energy for the benefit of water treatment: Solar photoreactor. Procedia Eng. 2012, 33, 174–180. [Google Scholar] [CrossRef]
- Molinari, R.; Lavorato, C.; Argurio, P. Recent progress of photocatalytic membrane reactors in water treatment and in synthesis of organic compounds. A review. Catal. Today 2017, 281, 144–164. [Google Scholar] [CrossRef]
- Chong, M.N.; Jin, B.; Chow, C.W.K.; Saint, C. Recent developments in photocatalytic water treatment technology: A review. Water Res. 2010, 44, 2997–3027. [Google Scholar] [CrossRef]
- Zhao, G.; Zheng, Y.; He, Z.; Lu, Z.; Wang, L.; Li, C.; Jiao, F.; Deng, C. Synthesis of Bi2S3 microsphere and its efficient photocatalytic activity under visible-light irradiation. Trans. Nonferrous Met. Soc. China 2018, 28, 2002–2010. [Google Scholar] [CrossRef]
- Lopes, F.V.S.; Monteiro, R.A.R.; Silva, A.M.T.; Silva, G.V.; Faria, J.L.; Mendes, A.M.; Vilar, V.J.P.; Boaventura, R.A.R. Insights into UV-TiO2 photocatalytic degradation of PCE for air decontamination systems. Chem. Eng. J. 2012, 204–206, 244–257. [Google Scholar] [CrossRef]
- Byrne, C.; Subramanian, G.; Pillai, S.C. Recent advances in photocatalysis for environmental applications. J. Environ. Chem. Eng. 2018, 6, 3531–3555. [Google Scholar] [CrossRef]
- Jayanthi Kalaivani, G.; Suja, S.K. TiO2(rutile) embedded inulin—A versatile bio-nanocomposite for photocatalytic degradation of methylene blue. Carbohydr. Polym. 2016, 143, 51–60. [Google Scholar] [CrossRef] [PubMed]
- Xiaofang, C.; Jia, Z.; Yuning, H.U.O.; Hexing, L.I. Preparation and visible light catalytic activity of three—Dimensional ordered macroporous CdS/TiO2 films. Chin. J. Catal. 2013, 34, 949–955. [Google Scholar] [CrossRef]
- Wu, T.; Zhou, X.; Zhang, H.; Zhong, X. Bi2S3 Nanostructures: A New Photocatalyst. Nano Res. 2010, 3, 379–386. [Google Scholar] [CrossRef]
- Liu, B.; Wen, L.; Zhao, X. Progress in Organic Coatings Efficient degradation of aqueous methyl orange over TiO2 and CdS electrodes using photoelectrocatalysis under UV and visible light irradiation. Prog. Org. Coat. 2009, 64, 120–123. [Google Scholar] [CrossRef]
- Lv, T.; Pan, L.; Liu, X.; Sun, Z. Electrochimica Acta Visible-light photocatalytic degradation of methyl orange by CdS—TiO2—Au composites synthesized via microwave-assisted reaction. Electrochim. Acta 2012, 83, 216–220. [Google Scholar] [CrossRef]
- Yan, X.; Yuan, K.; Lu, N.; Xu, H.; Zhang, S.; Takeuchi, N.; Kobayashi, H.; Li, R. The interplay of sulfur doping and surface hydroxyl in band gap engineering: Mesoporous sulfur-doped TiO2coupled with magnetite as a recyclable, efficient, visible light active photocatalyst for water purification. Appl. Catal. B Environ. 2017, 218, 20–31. [Google Scholar] [CrossRef]
- Peng, S.; Huang, Y.; Li, Y. Rare earth doped TiO2-CdS and TiO2-CdS composites with improvement of photocatalytic hydrogen evolution under visible light irradiation. Mater. Sci. Semicond. Process. 2013, 16, 62–69. [Google Scholar] [CrossRef]
- Cebriano, T.; García-Díaz, I.; Fernández, A.L.; Fernández, P.; López, F.A. Synthesis and characterization of ZnO micro- and nanostructures grown from recovered ZnO from spent alkaline batteries. J. Environ. Chem. Eng. 2017, 5, 2903–2911. [Google Scholar] [CrossRef]
- Balachandran, S.; Swaminathan, M. The simple, template free synthesis of a Bi2S3-ZnO heterostructure and its superior photocatalytic activity under UV-A light. Dalt. Trans. 2013, 42, 5338–5347. [Google Scholar] [CrossRef] [PubMed]
- Bessekhouad, Y.; Robert, D.; Weber, J.V. Bi2S3/TiO2 and CdS/TiO2 heterojunctions as an available configuration for photocatalytic degradation of organic pollutant. J. Photochem. Photobiol. A Chem. 2004, 163, 569–580. [Google Scholar] [CrossRef]
- Liu, W.; He, T.; Wang, Y.; Ning, G.; Xu, Z.; Chen, X. Synergistic adsorption—Photocatalytic degradation effect and norfloxacin mechanism of ZnO/ZnS @ BC under UV—light irradiation. Sci. Rep. 2020, 10, 11903. [Google Scholar] [CrossRef]
- Schneider, J.; Matsuoka, M.; Takeuchi, M.; Zhang, J.; Horiuchi, Y.; Anpo, M.; Bahnemann, D.W. Understanding TiO2photocatalysis: Mechanisms and materials. Chem. Rev. 2014, 114, 9919–9986. [Google Scholar] [CrossRef]
- Biswas, K.; Zhao, L.D.; Kanatzidis, M.G. Tellurium-free thermoelectric: The anisotropic n-type semiconductor Bi2S3. Adv. Energy Mater. 2012, 2, 634–638. [Google Scholar] [CrossRef]
- Salunkhe, D.B.; Dubal, D.P.; Sali, J.V.; Sankapal, B.R. Linker free synthesis of TiO2/Bi2S3 heterostructure towards solar cell application: Facile chemical routes. Mater. Sci. Semicond. Process. 2015, 30, 335–342. [Google Scholar] [CrossRef]
- Yang, L.; Sun, W.; Luo, S.; Luo, Y. White fungus-like mesoporous Bi2S3 ball/TiO2 heterojunction with high photocatalytic efficiency in purifying 2,4-dichlorophenoxyacetic acid/Cr(VI) contaminated water. Appl. Catal. B Environ. 2014, 156–157, 25–34. [Google Scholar] [CrossRef]
- Spasiano, D.; Marotta, R.; Malato, S.; Fernandez-Iba??ez, P.; Di Somma, I. Solar photocatalysis: Materials, reactors, some commercial, and pre-industrialized applications. A comprehensive approach. Appl. Catal. B Environ. 2015, 170–171, 90–123. [Google Scholar] [CrossRef]
- Carrillo-castillo, A.; Rivas-valles, B.G.; Castillo, S.J.; Ramirez, M.M.; Luque-morales, P.A. SS symmetry New Formulation to Synthetize Semiconductor Bi2S3 Thin Films Using Chemical Bath Deposition for Optoelectronic Applications. Symmetry 2022, 14, 2487. [Google Scholar] [CrossRef]
- Demir, H.; Şahin, Ö.; Baytar, O.; Horoz, S. Investigation of the properties of photocatalytically active Cu-doped—Bi2S3 nanocomposite catalysts. J. Mater. Sci. Mater. Electron. 2020, 2, 10347–10354. [Google Scholar] [CrossRef]
- Lokhande, R.S.; Thakur, S.R.; Chate, P.A. Chemical deposition of bismuth sulphide thin films using malonic acid ligand. Optik 2020, 219, 165230. [Google Scholar] [CrossRef]
- Shinde, N.S.; Rath, M.C.; Dhaigude, H.D.; Lokhande, C.D.; Fulari, V.J. Characterization of electrodeposited Bi2S3 thin films by holographic interferometry. Opt. Commun. 2009, 282, 3127–3131. [Google Scholar] [CrossRef]
- Momeni, M.; Saghafian, H.; Golestani-Fard, F.; Barati, N.; Khanahmadi, A. Effect of SiO2 addition on photocatalytic activity, water contact angle and mechanical stability of visible light activated TiO2 thin films applied on stainless steel by a sol gel method. Appl. Surf. Sci. 2017, 392, 80–87. [Google Scholar] [CrossRef]
- Rong, Y.; Yang, Z.; Deng, L.; Fu, Z. ZnO@Ag microspheres used as the anodic materials of superior alkaline rechargeable Zn–Ni batteries. Ceram. Int. 2020, 46, 16908–16917. [Google Scholar] [CrossRef]
- Shah, A.H.; Rather, M.A. Effect of calcination temperature on the crystallite size, particle size and zeta potential of TiO2 nanoparticles synthesized via polyol-mediated method. Mater. Today Proc. 2021, 44, 482–488. [Google Scholar] [CrossRef]
- Wu, Z.; Yuan, D.; Lin, S.; Guo, W.; Zhan, D.; Sun, L.; Lin, C. Enhanced photoelectrocatalytic activity of Bi2S3–TiO2 nanotube arrays hetero-structure under visible light irradiation. Int. J. Hydrogen Energy 2020, 45, 32012–32021. [Google Scholar] [CrossRef]
- Mota-gonzález, M.; Hernández-carrillo, H.; Alaniz-hernandez, M. TiO2 obtenido por el proceso sol gel asistido con microondas. Lat. Am. J. Appl. Eng. 2018, 3, 12–15. [Google Scholar] [CrossRef]
- Kumar, S.; Sharma, S.; Sood, S.; Umar, A.; Kansal, S.K. Bismuth sulfide (Bi2S3) nanotubes decorated TiO2 nanoparticles heterojunction assembly for enhanced solar light driven photocatalytic activity. Ceram. Int. 2016, 42, 17551–17557. [Google Scholar] [CrossRef]
- Sarentuya; Bai, H. Amurishana Synthesis of Bi2S3-TiO2 nanocomposite and its electrochemical and enhanced photocatalytic properties for phenol degradation. Int. J. Electrochem. Sci. 2023, 18, 100071. [Google Scholar] [CrossRef]
- Carvalho, H.W.P.; Batista, A.P.L.; Hammer, P.; Ramalho, T.C. Photocatalytic degradation of methylene blue by TiO2-Cu thin films: Theoretical and experimental study. J. Hazard. Mater. 2010, 184, 273–280. [Google Scholar] [CrossRef]
- Bagheri, M.; Mahjoub, A.R.; Mehri, B. Enhanced photocatalytic degradation of congo red by solvothermally synthesized CuInSe2-ZnO nanocomposites. RSC Adv. 2014, 4, 21757–21764. [Google Scholar] [CrossRef]
- AL-Zahrani, A.A.; Zainal, Z.; Talib, Z.A.; Lim, H.N.; Holi, A.M. Bismuth sulphide decorated ZnO nanorods heterostructure assembly via controlled SILAR cationic concentration for enhanced photoelectrochemical cells. Mater. Res. Express 2020, 7, 025510. [Google Scholar] [CrossRef]
- Qi, K.; Cheng, B.; Yu, J.; Ho, W. Review on the improvement of the photocatalytic and antibacterial activities of ZnO. J. Alloys Compd. 2017, 727, 792–820. [Google Scholar] [CrossRef]
- Nikam, P.R.; Baviskar, P.K.; Sali, J.V.; Gurav, K.V.; Kim, J.H.; Sankapal, B.R. SILAR coated Bi2S3 nanoparticles on vertically aligned ZnO nanorods: Synthesis and characterizations. Ceram. Int. 2015, 41, 10394–10399. [Google Scholar] [CrossRef]
- Yu, H.; Wu, Z.; Dong, Y.; Huang, C.; Shi, S.; Zhang, Y. ZnO nanorod arrays modified with Bi2S3 nanoparticles as cathode for efficient polymer solar cells. Org. Electron. 2019, 75, 105369. [Google Scholar] [CrossRef]
- Ye, F.; Qian, J.; Xia, J.; Li, L.; Wang, S.; Zeng, Z.; Mao, J.; Ahamad, M.; Xiao, Z.; Zhang, Q. Efficient photoelectrocatalytic degradation of pollutants over hydrophobic carbon felt loaded with Fe-doped porous carbon nitride via direct activation of molecular oxygen. Environ. Res. 2024, 249, 118497. [Google Scholar] [CrossRef] [PubMed]
- Wang, S.; Luo, C.; Tan, F.; Cheng, X.; Ma, Q.; Wu, D.; Li, P.; Zhang, F.; Ma, J. Degradation of Congo red by UV photolysis of nitrate: Kinetics and degradation mechanism. Sep. Purif. Technol. 2021, 262, 118276. [Google Scholar] [CrossRef]
- Argote-Fuentes, S.; Feria-Reyes, R.; Ramos-Ramírez, E.; Gutiérrez-Ortega, N.; Cruz-Jiménez, G. Photoelectrocatalytic degradation of congo red dye with activated hydrotalcites and copper anode. Catalysts 2021, 11, 211. [Google Scholar] [CrossRef]
- Telke, A.A.; Joshi, S.M.; Jadhav, S.U.; Tamboli, D.P.; Govindwar, S.P. Decolorization and detoxification of Congo red and textile industry effluent by an isolated bacterium Pseudomonas sp. SU-EBT. Biodegradation 2010, 21, 283–296. [Google Scholar] [CrossRef]
- Thomas, M.; Naikoo, G.A.; Sheikh, M.U.D.; Bano, M.; Khan, F. Effective photocatalytic degradation of Congo red dye using alginate/carboxymethyl cellulose/TiO2 nanocomposite hydrogel under direct sunlight irradiation. J. Photochem. Photobiol. A Chem. 2016, 327, 33–43. [Google Scholar] [CrossRef]
- Asaad Mahdi, M.; Farhan, M.A.; Mahmoud, Z.H.; Mahdi Rheima, A.; sabri Abbas, Z.; Kadhim, M.M.; Dhari Jawad Al-Bayati, A.; Salam Jaber, A.; Hachim, S.K.; Hussain Ismail, A. Direct sunlight photodegradation of congo red in aqueous solution by TiO2/rGO binary system: Experimental and DFT study. Arab. J. Chem. 2023, 16, 104992. [Google Scholar] [CrossRef]
- Muneer, M.; Saeed, M.; Bhatti, I.A.; Haq, A.U.; Khosa, M.K.; Jamal, M.A.; Ali, S. Radiation induced degradation of Congo red dye: A mechanistic study. Nukleonika 2019, 64, 49–53. [Google Scholar] [CrossRef]
- Hitkari, G.; Chowdhary, P.; Kumar, V.; Singh, S.; Motghare, A. Potential of Copper-Zinc Oxide nanocomposite for photocatalytic degradation of congo red dye. Clean. Chem. Eng. 2022, 1, 100003. [Google Scholar] [CrossRef]
- Habibi, M.H.; Rahmati, M.H. The effect of operational parameters on the photocatalytic degradation of Congo red organic dye using ZnO-CdS core-shell nano-structure coated on glass by Doctor Blade method. Spectrochim. Acta Part A Mol. Biomol. Spectrosc. 2015, 137, 160–164. [Google Scholar] [CrossRef]
- Díaz De León, C.L.; Olivas-Armendariz, I.; Hernández Paz, J.F.; Gómez-Esparza, C.D.; Reyes-Blas, H.; Hernández González, M.; Velasco-Santos, C.; Rivera-Armenta, J.L.; Rodríguez-González, C.A. Synthesis by sol-gel and cytotoxicity of Zinc Oxide nanoparticles using wasted alkaline batteries. Dig. J. Nanomater. Biostructures 2017, 12, 371–379. [Google Scholar]
- Palma-Soto, E.; MOTA-GONZÁLEZ, M.; Luque-Morales, P.A.; Carrillo-Castillo, A. Determination of photocatalytic activity for the system: CdS chemical bath deposited thin films coated with TiO2 NPs. Chalcogenide Lett. 2021, 18, 47–58. [Google Scholar] [CrossRef]



















| Congo Red | ||||||
|---|---|---|---|---|---|---|
| 1st Replica | 2nd Replica | 3rd Replica | ||||
| Material | Concentration | % Degradation | Concentration | % Degradation | Concentration | % Degradation |
| C initial | 20.011 | 0 | 20.495 | 0 | 20.373 | 0 |
| Two-layer Bi2S3 | 15.727 | 21.408 | 16.696 | 18.53622835 | 17.510 | 14.05291317 |
| Three-layer Bi2S3 | 15.904 | 20.523 | 16.58 | 19.10222005 | 18.560 | 8.899033034 |
| Two-layer Bi2S3/ZnO | 13.846 | 30.808 | 15.225 | 25.71358868 | 17.475 | 14.22470917 |
| Three-layer Bi2S3/ZnO | 15.237 | 23.856 | 15.264 | 25.52329837 | 17.312 | 15.02478771 |
| Two-layer Bi2S3/TiO2 | 15.46 | 22.742 | 16.654 | 18.74115638 | 17.237 | 15.392922 |
| Three-layer Bi2S3/TiO2 | 15.691 | 21.588 | 15.728 | 23.25933154 | 17.378 | 14.70082953 |
| Conditions/Number of Replicas | 1 | 2 | 3 |
|---|---|---|---|
| Date and time | 17 May 2023 (11:30 a.m. to 12:00 p.m.) | 19 July 2023 (12:20 p.m. to 12:50 p.m.) | 9 August 2023 (11:50 a.m. to 12:20 p.m.) |
| Solar radiation (W/m2) | 1000 | 910 | 870 |
| Solar UV index | 7.12 | 11 | 10 |
| Temperature (°C) | 25 | 39 | 33 |
| Humidity (%) | 24 | 13 | 26 |
| Initial concentration (Co) (mg/L) | 20.011 | 20.495 | 20.373 |
Disclaimer/Publisher’s Note: The statements, opinions and data contained in all publications are solely those of the individual author(s) and contributor(s) and not of MDPI and/or the editor(s). MDPI and/or the editor(s) disclaim responsibility for any injury to people or property resulting from any ideas, methods, instructions or products referred to in the content. |
© 2024 by the authors. Licensee MDPI, Basel, Switzerland. This article is an open access article distributed under the terms and conditions of the Creative Commons Attribution (CC BY) license (https://creativecommons.org/licenses/by/4.0/).
Share and Cite
Palma Soto, E.; Rodriguez Gonzalez, C.A.; Luque Morales, P.A.; Reyes Blas, H.; Carrillo Castillo, A. Degradation of Organic Dye Congo Red by Heterogeneous Solar Photocatalysis with Bi2S3, Bi2S3/TiO2, and Bi2S3/ZnO Thin Films. Catalysts 2024, 14, 589. https://doi.org/10.3390/catal14090589
Palma Soto E, Rodriguez Gonzalez CA, Luque Morales PA, Reyes Blas H, Carrillo Castillo A. Degradation of Organic Dye Congo Red by Heterogeneous Solar Photocatalysis with Bi2S3, Bi2S3/TiO2, and Bi2S3/ZnO Thin Films. Catalysts. 2024; 14(9):589. https://doi.org/10.3390/catal14090589
Chicago/Turabian StylePalma Soto, Eli, Claudia A. Rodriguez Gonzalez, Priscy Alfredo Luque Morales, Hortensia Reyes Blas, and Amanda Carrillo Castillo. 2024. "Degradation of Organic Dye Congo Red by Heterogeneous Solar Photocatalysis with Bi2S3, Bi2S3/TiO2, and Bi2S3/ZnO Thin Films" Catalysts 14, no. 9: 589. https://doi.org/10.3390/catal14090589
APA StylePalma Soto, E., Rodriguez Gonzalez, C. A., Luque Morales, P. A., Reyes Blas, H., & Carrillo Castillo, A. (2024). Degradation of Organic Dye Congo Red by Heterogeneous Solar Photocatalysis with Bi2S3, Bi2S3/TiO2, and Bi2S3/ZnO Thin Films. Catalysts, 14(9), 589. https://doi.org/10.3390/catal14090589

