Polymeric Carbon Nitride-CNTs-Ferric Oxide All-Solid Z-Scheme Heterojunction with Improved Photocatalytic Activity towards Organic Dye Removal
Abstract
1. Introduction
2. Results and Discussion
2.1. Morphology and Structure
2.2. Optical Absorption and Photoluminescence (PL) Spectra
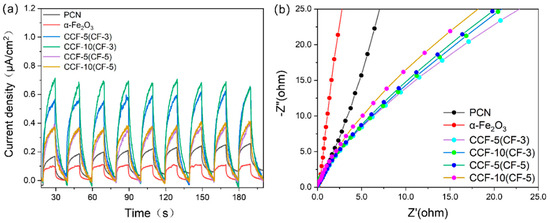
2.3. Photoelectrochemical (PEC) Properties
2.4. Assessment of Photocatalytic Performance
2.5. BET Tests and Dye Adsorption Capacity
2.6. Energy Band Alignment Analysis
2.7. Identification of Z-Scheme Mechanism
2.8. Proposed Z-Scheme Photocatalytic Mechanism
3. Experimental Section
3.1. Synthesis of Polymeric Carbon Nitride (PCN)
3.2. Synthesis of α-Fe2O3
3.3. Synthesis of PCN/CNTs/α-Fe2O3
3.4. Characterization
3.5. Photoelectrochemical Measurements
3.6. Photocatalytic Degradation of Organic Dyes
3.7. Adsorption Measurements
4. Conclusions
Supplementary Materials
Author Contributions
Funding
Data Availability Statement
Conflicts of Interest
References
- Ismail, M.; Akhtar, K.; Khan, M.I.; Kamal, T.; Khan, M.A.; M Asiri, A.; Seo, J.; Khan, S.B. Pollution, toxicity and carcinogenicity of organic dyes and their catalytic bio-remediation. Curr. Pharm. Des. 2019, 25, 3645–3663. [Google Scholar] [CrossRef] [PubMed]
- Lanjwani, M.F.; Tuzen, M.; Khuhawar, M.Y.; Saleh, T.A. Trends in photocatalytic degradation of organic dye pollutants using nanoparticles: A review. Inorg. Chem. Commun. 2024, 159, 111613. [Google Scholar] [CrossRef]
- Zhou, Y.; Zhang, J.; Wu, D. Fabrication of g-C3N4/Bi4O5Br2 2D Nanosheet Photocatalyst for Removal of Organic Pollutants under Visible Light Irradiation. ChemistrySelect 2023, 8, e202301237. [Google Scholar] [CrossRef]
- Krobthong, S.; Rungsawang, T.; Wongrerkdee, S. Comparison of ZnO Nanoparticles Prepared by Precipitation and Combustion for UV and Sunlight-Driven Photocatalytic Degradation of Methylene Blue. Toxics 2023, 11, 266. [Google Scholar] [CrossRef]
- Pang, A.L.; Arsad, A.; Ahmad Zaini, M.A.; Garg, R.; Saqlain Iqbal, M.; Pal, U.; Mohammad Haniff, M.A.S.; Azlan Hamzah, A.; Pung, S.Y.; Ahmadipour, M. A comprehensive review on photocatalytic removal of heavy metal ions by polyaniline-based nanocomposites. Chem. Eng. Commun. 2024, 211, 275–299. [Google Scholar] [CrossRef]
- Tian, L.; Xing, L.; Shen, X.; Li, Q.; Ge, S.; Liu, B.; Jie, L. Visible light enhanced Fe–I–TiO2 photocatalysts for the degradation of gaseous benzene. Atmos. Pollut. Res. 2020, 11, 179–185. [Google Scholar] [CrossRef]
- Wang, X.; Maeda, K.; Thomas, A.; Takanabe, K.; Xin, G.; Carlsson, J.M.; Domen, K.; Antonietti, M. A metal-free polymeric photocatalyst for hydrogen production from water under visible light. Nat. Mater. 2009, 8, 76–80. [Google Scholar] [CrossRef] [PubMed]
- Ong, W.-J.; Tan, L.-L.; Ng, Y.H.; Yong, S.-T.; Chai, S.-P. Graphitic Carbon Nitride (g-C3N4)-Based Photocatalysts for Artificial Photosynthesis and Environmental Remediation: Are We a Step Closer to Achieving Sustainability? Chem. Rev. 2016, 116, 7159–7329. [Google Scholar] [CrossRef]
- Gong, X.; Yu, S.; Guan, M.; Zhu, X.; Xue, C. Pyrene-functionalized polymeric carbon nitride with promoted aqueous–organic biphasic photocatalytic CO2 reduction. J. Mater. Chem. A 2019, 7, 7373–7379. [Google Scholar] [CrossRef]
- Zhen, W.; Xue, C. Atomic-and Molecular-Level Functionalizations of Polymeric Carbon Nitride for Solar Fuel Production. Solar RRL 2021, 5, 2000440. [Google Scholar] [CrossRef]
- Xia, C.; Wang, H.; Kim, J.K.; Wang, J. Rational design of metal oxide-based heterostructure for efficient photocatalytic and photoelectrochemical systems. Adv. Funct. Mater. 2021, 31, 2008247. [Google Scholar] [CrossRef]
- Li, G.; Yang, C.; He, Q.; Liu, J. Ag-based photocatalytic heterostructures: Construction and photocatalytic energy conversion application. J. Environ. Chem. Eng. 2022, 10, 107374. [Google Scholar] [CrossRef]
- Gu, H.; Tang, Y.; Chen, F.; Li, M.; Shi, W. Preparation of a novel composite g-C3N4/TiO2/NiWO4 with enhanced photocatalytic activity toward the degradation of rhodamine B. J. Mater. Sci. Mater. Electron. 2022, 33, 14581–14592. [Google Scholar] [CrossRef]
- Che, L.; Pan, J.; Cai, K.; Cong, Y.; Lv, S.W. The construction of p-n heterojunction for enhancing photocatalytic performance in environmental application: A review. Sep. Purif. Technol. 2023, 315, 123708. [Google Scholar] [CrossRef]
- Xu, Q.; Zhang, L.; Yu, J.; Wageh, S.; Al-Ghamdi, A.A.; Jaroniec, M. Direct Z-scheme photocatalysts: Principles, synthesis, and applications. Mater. Today 2018, 21, 1042–1063. [Google Scholar] [CrossRef]
- Mahalakshmi, K.; Ranjith, R.; Thangavelu, P.; Priyadharshini, M.; Palanivel, B.; Manthrammel, M.A.; Shkir, M.; Diravidamani, B. Augmenting the photocatalytic performance of direct Z-scheme Bi2O3/g-C3N4 nanocomposite. Catalysts 2022, 12, 1544. [Google Scholar] [CrossRef]
- Li, X.; Qiu, Y.; Zhu, Z.; Zhang, H.; Yin, D. Novel recyclable Z-scheme g-C3N4/carbon nanotubes/Bi25FeO40 heterostructure with enhanced visible-light photocatalytic performance towards tetracycline degradation. Chem. Eng. J. 2022, 429, 132130. [Google Scholar] [CrossRef]
- Cheng, Y.; Guo, Z.; Wu, C.; Zuo, H.; Liu, J.; Chang, X.; Yan, Q. Construction of BiOCl/Bi2WO6 Z-scheme heterojunction with close interfacial contact using CNT as electron medium. Colloids Surf. A Physicochem. Eng. Asp. 2024, 681, 132847. [Google Scholar] [CrossRef]
- Fu, Z.; Wang, H.; Wang, Y.; Wang, S.; Li, Z.; Sun, Q. Construction of three-dimensional g-C3N4/Gr-CNTs/TiO2 Z-scheme catalyst with enhanced photocatalytic activity. Appl. Surf. Sci. 2020, 510, 145494. [Google Scholar] [CrossRef]
- Gong, R.; Yang, X.; Liu, G.; Dong, Z.; Guan, M.; Gong, X.; Tang, J. Tailored Polymeric Carbon Nitride Coupled with Bi2O3 for Constructing Z-Scheme Heterojunction with Enhanced Photocatalytic Activity. ChemPhotoChem 2024, e202300255. [Google Scholar] [CrossRef]
- Zhu, J.; Yin, Z.; Yang, D.; Sun, T.; Yu, H.; Hoster, H.E.; Hng, H.H.; Zhang, H.; Yan, Q. Hierarchical hollow spheres composed of ultrathin Fe2O3 nanosheets for lithium storage and photocatalytic water oxidation. Energy Environ. Sci. 2013, 6, 987–993. [Google Scholar] [CrossRef]
- Chen, Z.; Zhang, S.; Liu, Y.; Alharbi, N.S.; Rabah, S.O.; Wang, S.; Wang, X. Synthesis and fabrication of g-C3N4-based materials and their application in elimination of pollutants. Sci. Total Environ. 2020, 731, 139054. [Google Scholar] [CrossRef] [PubMed]
- Li, Y.; Zhou, M.; Cheng, B.; Shao, Y. Recent advances in g-C3N4-based heterojunction photocatalysts. J. Mater. Sci. Technol. 2020, 56, 1–17. [Google Scholar] [CrossRef]
- She, X.; Wu, J.; Xu, H.; Zhong, J.; Wang, Y.; Song, Y.; Nie, K.; Liu, Y.; Yang, Y.; Rodrigues, M.T.F.; et al. High Efficiency Photocatalytic Water Splitting Using 2D α-Fe2O3/g-C3N4 Z-Scheme Catalysts. Adv. Energy Mater. 2017, 7, 1700025. [Google Scholar] [CrossRef]
- Bojdys, M.J.; Müller, J.O.; Antonietti, M.; Thomas, A. Ionothermal Synthesis of Crystalline, Condensed, Graphitic Carbon Nitride. Chem.-Eur. J. 2008, 14, 8177–8182. [Google Scholar] [CrossRef] [PubMed]
- Song, L.; Kang, X.; Zhang, S. CNT/g-C3N4 photocatalysts with enhanced hydrogen evolution ability for water splitting based on a noncovalent interaction. Int. J. Energy Res. 2018, 42, 1649–1656. [Google Scholar] [CrossRef]
- Christoforidis, K.C.; Syrgiannis, Z.; La Parola, V.; Montini, T.; Petit, C.; Stathatos, E.; Godin, R.; Durrant, J.R.; Prato, M.; Fonasero, P. Metal-free dual-phase full organic carbon nanotubes/g-C3N4 heteroarchitectures for photocatalytic hydrogen production. Nano Energy 2018, 50, 468–478. [Google Scholar] [CrossRef]
- Zhu, X.; Guan, M.; Gong, R.; Gong, X.; Dai, C.; Tang, J. A conjugated polymer coupled with graphitic carbon nitride for boosting photocatalytic hydrogen generation under visible light. Sustain. Energy Fuels 2023, 7, 15377. [Google Scholar] [CrossRef]
- Jiang, L.; Yuan, X.; Zeng, G.; Liang, J.; Chen, X.; Yu, H.; Wang, H.; Wu, Z.; Zhang, J.; Xiong, T. In-situ synthesis of direct solid-state dual Z-scheme WO3/g-C3N4/Bi2O3 photocatalyst for the degradation of refractory pollutant. Appl. Catal. B Environ. 2018, 227, 376–385. [Google Scholar] [CrossRef]
- Wang, Y.; Yang, W.; Chen, X.; Wang, J.; Zhu, Y. Photocatalytic activity enhancement of core-shell structure g-C3N4@ TiO2 via controlled ultrathin g-C3N4 layer. Appl. Catal. B Environ. 2018, 220, 337–347. [Google Scholar] [CrossRef]
- Athar, M.S.; Danish, M.; Muneer, M. Fabrication of visible light-responsive dual Z-Scheme (α-Fe2O3/CdS/g-C3N4) ternary nanocomposites for enhanced photocatalytic performance and adsorption study in aqueous suspension. J. Environ. Chem. Eng. 2021, 9, 105754. [Google Scholar] [CrossRef]
- Wu, X.; Liu, C.; Li, X.; Zhang, X.; Wang, C.; Liu, Y. Effect of morphology on the photocatalytic activity of g-C3N4 photocatalysts under visible-light irradiation. Mat. Sci. Semicon. Proc. 2015, 32, 76–81. [Google Scholar] [CrossRef]
- Li, G.; Xie, Z.; Chai, S.; Chen, X.; Wang, X. A facile one-step fabrication of holey carbon nitride nanosheets for visible-light-driven hydrogen evolution. Appl. Catal. B Environ. 2021, 283, 119637. [Google Scholar] [CrossRef]
- Wang, J.; Zhang, W.; Wu, H.; Su, F.; Dai, Q.; Jiang, Z.; Kong, C.; Yang, Z.; Wang, T.; Zhu, H. Hydrothermal supramolecular preorganization synthesis of multi-morphological g-C3N4/Fe2O3 for photocatalytic removal of indoor formaldehyde under visible light. J. Environ. Chem. Eng. 2023, 11, 109305. [Google Scholar] [CrossRef]
- Hu, X.; Yang, Y.; Wang, W.; Wang, Y.; Gong, X.; Geng, C.; Tang, J. Hollow Fe3+-Doped Anatase Titanium Dioxide Nanosphere for Photocatalytic Degradation of Organic Dyes. ACS Appl. Nano Mater. 2023, 6, 18999–19009. [Google Scholar] [CrossRef]
- Xia, P.; Cheng, B.; Jiang, J.; Tang, H. Localized π-conjugated structure and EPR investigation of g-C3N4 photocatalyst. Appl. Surf. Sci. 2019, 487, 335–342. [Google Scholar] [CrossRef]
- Li, X.; Lyu, S.; Lang, X. Superoxide generated by blue light photocatalysis of g-C3N4/TiO2 for selective conversion of amines. Environ. Res. 2021, 195, 110851. [Google Scholar] [CrossRef] [PubMed]
- Zheng, Y.; Chen, G.; Yu, Y.; Sun, J.; Zhou, Y.; He, F. Ion exchange synthesis of an all tungsten based Z-scheme photocatalytic system with highly enhanced photocatalytic activity. RSC Adv. 2015, 5, 46897–46903. [Google Scholar] [CrossRef]
- Huang, C.; Wen, J.; Shen, Y.; He, F.; Mi, L.; Gan, Z.; Ma, J.; Liu, S.; Ma, H.; Zhang, Y. Dissolution and homogeneous photocatalysis of polymeric carbon nitride. Chem. Sci. 2018, 9, 7912–7915. [Google Scholar] [CrossRef]











Disclaimer/Publisher’s Note: The statements, opinions and data contained in all publications are solely those of the individual author(s) and contributor(s) and not of MDPI and/or the editor(s). MDPI and/or the editor(s) disclaim responsibility for any injury to people or property resulting from any ideas, methods, instructions or products referred to in the content. |
© 2024 by the authors. Licensee MDPI, Basel, Switzerland. This article is an open access article distributed under the terms and conditions of the Creative Commons Attribution (CC BY) license (https://creativecommons.org/licenses/by/4.0/).
Share and Cite
Yang, X.; Gong, R.; Dong, Z.; Liu, G.; Han, Y.; Hou, Y.; Li, Y.; Guan, M.; Gong, X.; Tang, J. Polymeric Carbon Nitride-CNTs-Ferric Oxide All-Solid Z-Scheme Heterojunction with Improved Photocatalytic Activity towards Organic Dye Removal. Catalysts 2024, 14, 516. https://doi.org/10.3390/catal14080516
Yang X, Gong R, Dong Z, Liu G, Han Y, Hou Y, Li Y, Guan M, Gong X, Tang J. Polymeric Carbon Nitride-CNTs-Ferric Oxide All-Solid Z-Scheme Heterojunction with Improved Photocatalytic Activity towards Organic Dye Removal. Catalysts. 2024; 14(8):516. https://doi.org/10.3390/catal14080516
Chicago/Turabian StyleYang, Xinxin, Rongcai Gong, Zhaocen Dong, Guiqing Liu, Yunyi Han, Yuwei Hou, Yanjun Li, Meili Guan, Xuezhong Gong, and Jianguo Tang. 2024. "Polymeric Carbon Nitride-CNTs-Ferric Oxide All-Solid Z-Scheme Heterojunction with Improved Photocatalytic Activity towards Organic Dye Removal" Catalysts 14, no. 8: 516. https://doi.org/10.3390/catal14080516
APA StyleYang, X., Gong, R., Dong, Z., Liu, G., Han, Y., Hou, Y., Li, Y., Guan, M., Gong, X., & Tang, J. (2024). Polymeric Carbon Nitride-CNTs-Ferric Oxide All-Solid Z-Scheme Heterojunction with Improved Photocatalytic Activity towards Organic Dye Removal. Catalysts, 14(8), 516. https://doi.org/10.3390/catal14080516

