Synthesis and Characterization of New Bases Derived from Nitrophenylpyrazoles, Coordination to Palladium and Antifungal Activity and Catalytic Activity in Mizoroki–Heck Reactions
Abstract
1. Introduction
2. Results and Discussion
2.1. Synthesis of Ligands (3–10)
2.2. Synthesis of Complexes [Pd2Cl4(3)2]-[Pd2Cl4(10)2]
2.3. Mass Spectrometry (EI-MS)
2.4. Infrared Spectroscopy (IR)
2.5. Nuclear Magnetic Resonance (NMR)
2.6. Molecular Orbitals
- Chemical hardness can be calculated as follows:
- Global softness is the inverse of global hardness, as follows:
2.7. Reactivity toward the Mizoroki–Heck C-C Coupling Reaction
2.7.1. Catalysis between Iodobenzene and Styrene
2.7.2. Mercury Drop Test Using [Pd2Cl4(5)2] and [Pd2Cl4(9)2] Complexes
2.7.3. Effect of Catalyst Recycling on the Catalytic Activity and Selectivity of the [Pd2Cl4(9)2] Complex
2.7.4. Effect of the Concentration on the Reactivity and Selectivity of the [Pd2Cl4(9)2] Complex
2.7.5. Effect of the Base on the Reactivity and Selectivity of the [Pd2Cl4(9)2] Complex
2.7.6. Effect of the Temperature on the Reactivity and Selectivity of the [Pd2Cl4(9)2] Complex
2.7.7. Effect of Excess Ligand on the Reactivity and Selectivity of the [Pd2Cl4(9)2] Complex
2.7.8. Catalysis between Bromobenzaldehydes and Styrene in DMF
Catalysis between Bromobenzaldehydes and Styrene in DMF/H2O
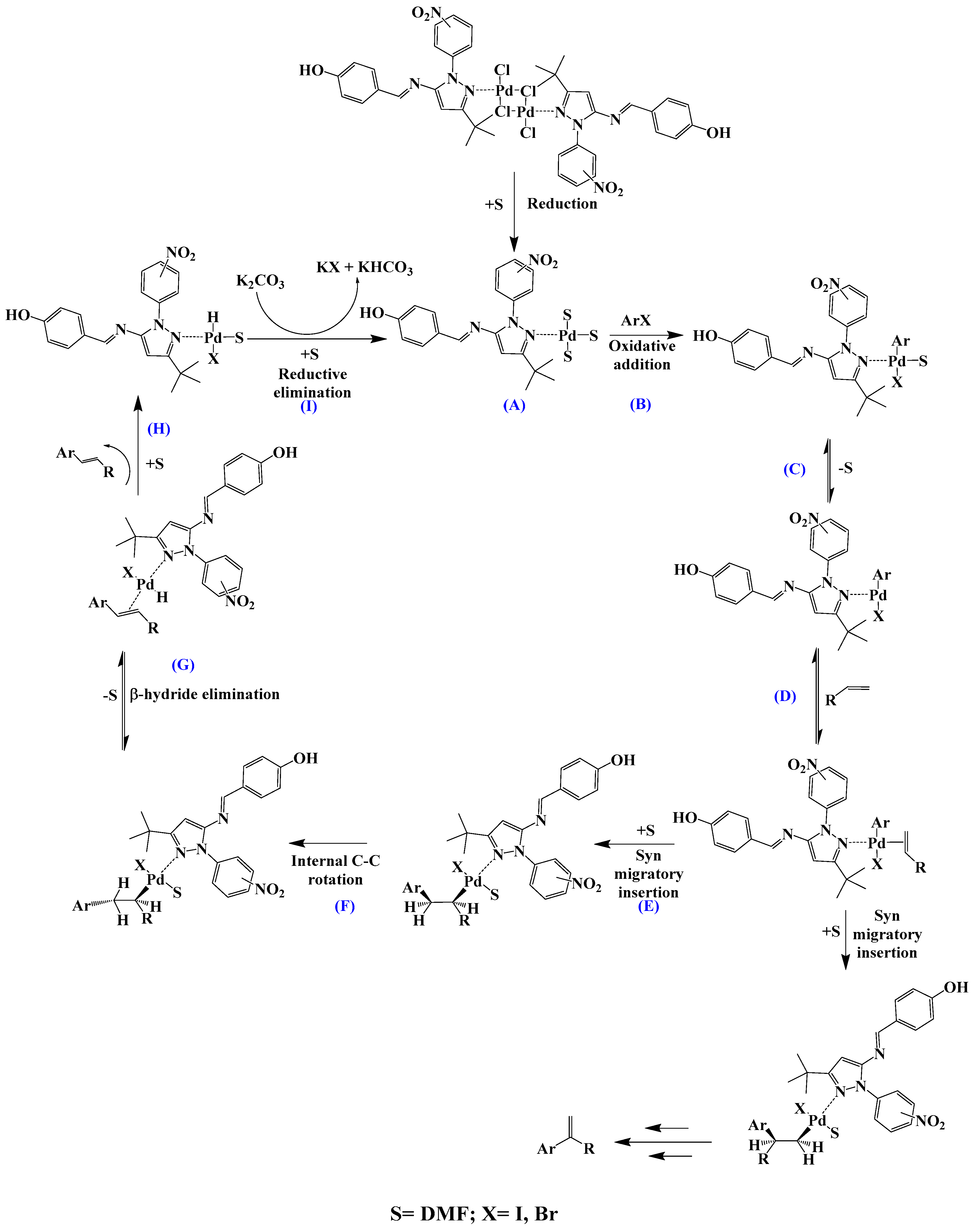
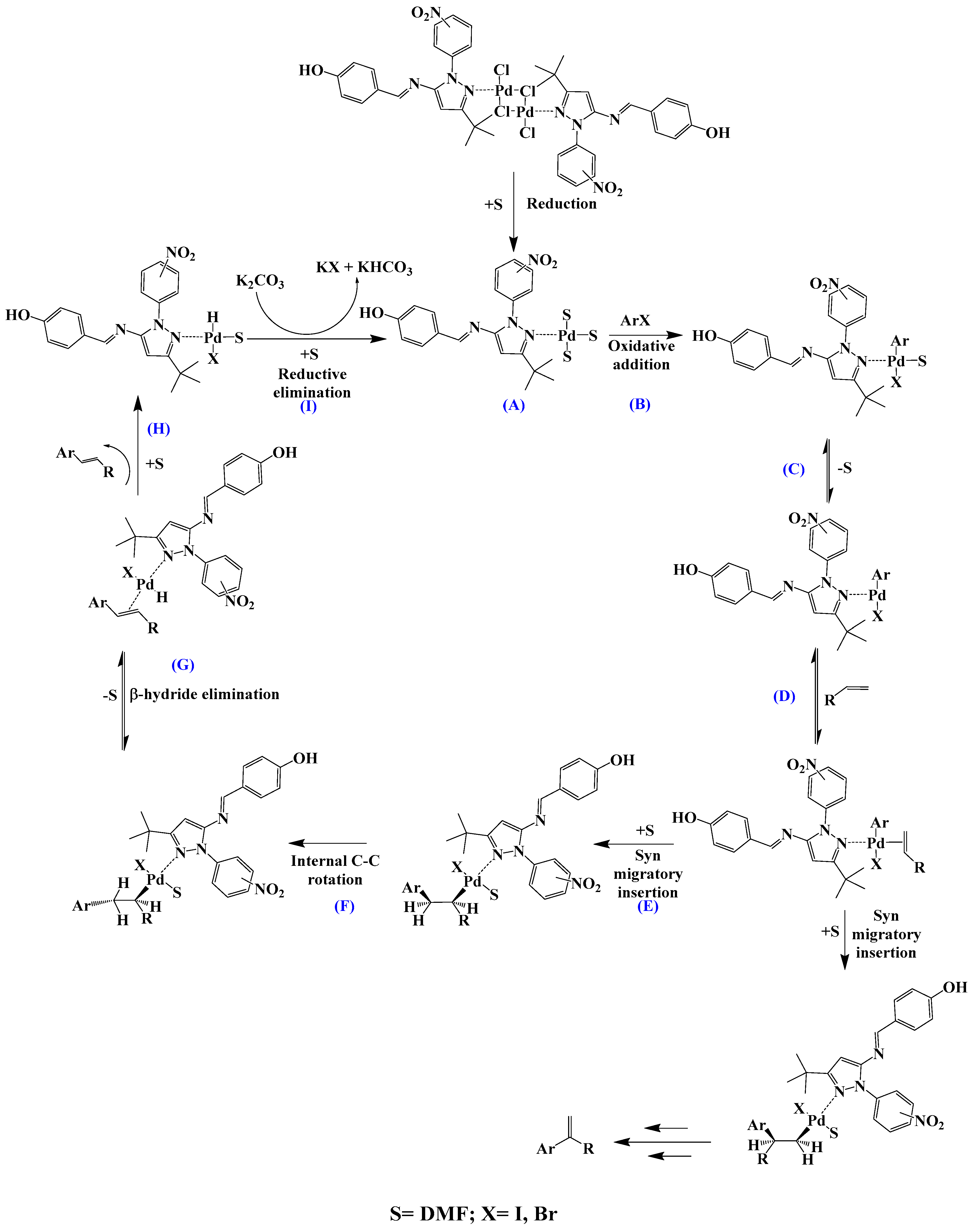
2.7.9. Proposed Mizoroki–Heck Cycle
2.8. Synthesis of New Styrylimines
2.8.1. Mass Spectrometry (EI-MS)
2.8.2. Infrared Spectroscopy (IR)
2.9. Antifungal Activity
3. Materials and Methods
3.1. General Information
3.2. Synthesis of Schiff Bases
3.2.1. Characterization of Schiff Bases
(E)-2-(((3-(tert-butyl)-1-phenyl-1H-pyrazol-5-yl)imino)methyl)phenol (3)
(E)-2-(((3-(tert-butyl)-1-(2-nitrophenyl)-1H-pyrazol-5-yl)imino)methyl)phenol (4)
(E)-2-(((3-(tert-butyl)-1-(3-nitrophenyl)-1H-pyrazol-5-yl)imino)methyl)phenol (5)
(E)-2-(((3-(tert-butyl)-1-(4-nitrophenyl)-1H-pyrazol-5-yl)imino)methyl)phenol (6)
(E)-4-(((3-(tert-butyl)-1-phenyl-1H-pyrazol-5-yl)imino)methyl)phenol (7)
(E)-4-(((3-(tert-butyl)-1-(2-nitrophenyl)-1H-pyrazol-5-yl)imino)methyl)phenol (8)
(E)-4-(((3-(tert-butyl)-1-(3-nitrophenyl)-1H-pyrazol-5-yl)imino)methyl)phenol (9)
(E)-4-(((3-(tert-butyl)-1-(4-nitrophenyl)-1H-pyrazol-5-yl)imino)methyl)phenol (10)
3.3. Synthesis of Palladium(II) Complexes [Pd2Cl4(N-het)2]
3.3.1. Characterization of Palladium(II) Complexes [Pd2Cl4(N-het)2]
[Pd2Cl4(3)2]
[Pd2Cl4(4)2]
[Pd2Cl4(5)2]
[Pd2Cl4(6)2]
[Pd2Cl4(7)2]
[Pd2Cl4(8)2]
[Pd2Cl4(9)2]
[Pd2Cl4(10)2]
3.4. Synthesis of Styrylimines
3.4.1. Characterization of Styrylimines
(E)-N-(3-(tert-butyl)-1-phenyl-1H-pyrazol-5-yl)-1-(4-((E)-styryl)phenyl)methanimine (12)
(E)-N-(3-(tert-butyl)-1-(2-nitrophenyl)-1H-pyrazol-5-yl)-1-(4-((E)-styryl)phenyl)methanimine (13)
(E)-N-(3-(tert-butyl)-1-(3-nitrophenyl)-1H-pyrazol-5-yl)-1-(4-((E)-styryl)phenyl)methanimine (14)
(E)-N-(3-(tert-butyl)-1-(4-nitrophenyl)-1H-pyrazol-5-yl)-1-(4-((E)-styryl)phenyl)methanimine (15)
3.5. Catalytic Activity toward a Model Mizoroki–Heck C-C Coupling Reactions
3.6. Antifungal Assays
3.6.1. Fungal Species
3.6.2. Fungal Growth Inhibition Percentage Determination
3.7. Computational Study
4. Conclusions
Supplementary Materials
Author Contributions
Funding
Data Availability Statement
Acknowledgments
Conflicts of Interest
References
- Gangurde, K.B.; More, R.A.; Adole, V.A.; Ghotekar, D.S. Design, synthesis and biological evaluation of new series of benzotriazole-pyrazole clubbed thiazole hybrids as bioactive heterocycles: Antibacterial, antifungal, antioxidant, cytotoxicity study. J. Mol. Struct. 2024, 1299, 136760. [Google Scholar] [CrossRef]
- Li, M.; Huang, H.; Pu, Y.; Tian, W.; Deng, Y.; Lu, J. A close look into the biological and synthetic aspects of fused pyrazole derivatives. Eur. J. Med. Chem. 2022, 243, 114739. [Google Scholar] [CrossRef]
- Thakur, S.; Jaryal, A.; Bhalla, A. Recent advances in biological and medicinal profile of schiff bases and their metal complexes: An updated version (2018–2023). Results Chem. 2024, 7, 101350. [Google Scholar] [CrossRef]
- Ahmad, S.; Nadeem; Anwar, A.; Hameed, A.; Tirmizi, S.A.; Zierkiewicz, W.; Abbas, A.; Isab, A.A.; Alotaibi, M.A. Synthesis, characterization, DFT calculations and antibacterial activity of palladium(II) cyanide complexes with thioamides. J. Mol. Struct. 2017, 1141, 204–212. [Google Scholar] [CrossRef]
- Shen, L.; Huang, S.; Nie, Y.; Lei, F. An Efficient Microwave-Assisted Suzuki Reaction using a New Pyridine-Pyrazole/Pd(II) Species as Catalyst in Aqueous Media. Molecules 2013, 18, 1602–1612. [Google Scholar] [CrossRef] [PubMed]
- Afrin, A.A.; Jayaraj, M.S.; Gayathri, C.; Swamy, P. An overview of Schiff base-based fluorescent turn-on probes: A potential candidate for tracking live cell imaging of biologically active metal ions. Sens. Diagn. 2023, 2, 988–1076. [Google Scholar] [CrossRef]
- Mehandi, R.; Twala, C.; Ali, A.; Ahmedi, S.; Rana, M.; Sultana, R.; Manzoor, N.; Abid, M.; Javed, S.; Nishat, R.N. Tuning emission of luminescent 2-7 disubstituted sila-and germafluorenes with –(trifluoromethyl)phenyl, -(malononitrile)phenyl, and -nitrobenzene substituents. J. Organomet. Chem. 2024, 1005, 122994. [Google Scholar] [CrossRef]
- Ache, H.J. Chemical Aspects of Fusion Technology. Chem. Int. Ed. Engl. 1989, 28, 1–20. [Google Scholar] [CrossRef]
- Chen, X.; Wu, T.; Du, Z.; Kang, W.; Xu, R.; Meng, F.; Liu, C.; Chen, Y.; Bao, Q.; Shen, J.; et al. Discovery of a brain-permeable bromodomain and extra terminal domain (BET) inhibitor with selectivity for BD1 for the treatment of multiple sclerosis. Eur. J. Med. Chem. 2024, 265, 116080. [Google Scholar] [CrossRef]
- Singh, P.; Paul, K.; Holzer, W. Synthesis of pyrazole-based hybrid molecules: Search for potent multidrug resistance modulators. Bioorg. Med. Chem. 2006, 14, 5061–5071. [Google Scholar] [CrossRef]
- Abdel-Wahab, B.F.; Kariuki, B.M.; Mohamed, H.A.; Bekheit, M.S.; Awad, H.M.; El-Hiti, G.A. Synthesis and anticancer activity of 3-(1-aryl-5-methyl-1H-1,2,3-triazol-4-yl)-1-phenyl-1H-pyrazole-4-carbaldehydes. J. Mol. Struct. 2023, 1294, 136528. [Google Scholar] [CrossRef]
- Chandrasekharan, S.P.; Dhami, A.; Kumar, S.; Mohanan, K. Recent advances in pyrazole synthesis employing diazo compounds and synthetic analogues. Recent advances in pyrazole synthesis employing diazo compounds and synthetic analogues. Org. Biomol. Chem. 2022, 20, 8787–8817. [Google Scholar] [CrossRef] [PubMed]
- Lamberth, C. Pyrazoie Chemistry in Crop Protection. Heterocycles 2007, 71, 1467–1502. [Google Scholar] [CrossRef]
- Alsafy, S.M.; Alrazzak, N.A. Synthesis, Characterization, and Biological Activity Study of New Heterocyclic Compounds. Eng. Proc. 2023, 59, 178. [Google Scholar]
- Hwang, S.H.; Wagner, K.M.; Morisseau, C.; Liu, J.Y.; Dong, H.; Wecksler, A.T.; Hammock, B.D. Synthesis and Structure−Activity Relationship Studies of Urea-Containing Pyrazoles as Dual Inhibitors of Cyclooxygenase-2 and Soluble Epoxide Hydrolase. J. Med. Chem. 2011, 54, 3037–3050. [Google Scholar] [CrossRef] [PubMed]
- Mohamed, M.H.; Gaffer, H.E.; Elattar, K.M. Insights into the medicinal chemistry of heterocycles integrated with a pyrazolo[1,5-a]pyrimidine scaffold. RSC. Med. Chem. 2022, 13, 1150–1196. [Google Scholar]
- Jian, J.; An, W.; Min, C.; Mengqi, W.; Chunlong, Y. Novel 5-chloro-pyrazole derivatives containing a phenylhydrazone moiety as potent antifungal agents: Synthesis, crystal structure, biological evaluation and a 3D-QSAR study. New J. Chem. 2019, 43, 6350–6360. [Google Scholar]
- Zhang, Y.; Wu, C.; Zhang, N.; Fan, R.; Ye, Y.; Xu, J. Recent Advances in the Development of Pyrazole Derivatives as Anticancer Agents. Int. J. Mol. Sci. 2023, 24, 12724. [Google Scholar] [CrossRef] [PubMed]
- Dai, H.X.; Stepan, A.F.; Plummer, M.S.; Zhang, Y.H.; Yu, J.Q. Divergent C–H Functionalizations Directed by Sulfonamide Pharmacophores: Late-Stage Diversification as a Tool for Drug Discovery. J. Am. Chem. Soc. 2011, 133, 7222–7228. [Google Scholar] [CrossRef]
- Ghorbanpour, M.; Shayanfar, A.; Soltani, B. Copper pyrazole complexes as potential anticancer agents: Evaluation of cytotoxic response against cancer cells and their mechanistic action at the molecular level. Coord. Chem. Rev. 2024, 498, 215459. [Google Scholar] [CrossRef]
- Ghatak, T.; Shah, C.; Althagafi, I.; Giri, N.G.; Gopal, N.; Nath, M.; Pratap, R. Iodine/DMSO-mediated one-pot access towards 1-aryl-2-(pyrazol-5-yl)ethane-1,2-diones via a domino reaction from functionalized pent-2-ene-1,5-diones. Biomol. Chem. 2024, 22, 1859–1870. [Google Scholar] [CrossRef]
- Zhu, L.; Cheng, L.; Zhang, Y.; Xie, R.; You, J. Highly Efficient Copper-Catalyzed N-Arylation of Nitrogen-Containing Heterocycles with Aryl and Heteroaryl Halides. J. Org. Chem. 2007, 72, 2737–2743. [Google Scholar] [CrossRef] [PubMed]
- Vyas, A.K.; Lunagariya, K.S.; Khunt, R.C. Multi-step Synthesis of Novel Pyrazole Derivatives as Anticancer Agents. Polycycl. Aromat. Compd. 2023, 1–14. [Google Scholar] [CrossRef]
- Pan, X.; Luo, Y.; Wu, J. Route to Pyrazolo[5,1-a]isoquinolines via a Copper-Catalyzed Tandem Reaction of 2-Alkynylbromobenzene with Pyrazole. J. Org. Chem. 2013, 78, 5756–5760. [Google Scholar] [CrossRef]
- Parshad, M.; Kumar, D.; Verma, V. A mini review on applications of pyrazole ligands in coordination compounds and metal organic frameworks. Inorg. Chim. Acta 2024, 560, 121789. [Google Scholar] [CrossRef]
- Bhanuchandra, M.; Kuram, M.R.; Sahoo, A.K. Silver(I)-Catalyzed Reaction between Pyrazole and Propargyl Acetates: Stereoselective Synthesis of the Scorpionate Ligands (E)-Allyl-gem-dipyrazoles (ADPs). J. Org. Chem. 2013, 78, 11824–11834. [Google Scholar] [CrossRef] [PubMed]
- Ali, F.; Hasan, N.; Bhat, S.A.; Ali, R.; Alam, S.D.; Jain, A.K.; Khan, S.A. Color tuning and violet light emission via coordination of pyrazole in tris(benzoyltrifluoroacetonate)Sm(III). Opt. Mater. 2024, 148, 114877. [Google Scholar] [CrossRef]
- Jiang, B.; Ning, Y.; Fan, W.; Tu, S.J.; Li, G. Oxidative Dehydrogenative Couplings of Pyrazol-5-amines Selectively Forming Azopyrroles. J. Org. Chem. 2014, 79, 4018–4024. [Google Scholar] [CrossRef]
- Konovalov, D.I.; Novikova, E.D.; Ivanov, A.A.; Yanshole, V.V.; Kuratieva, N.V.; Berezin, A.S.; Shestopalov, M.A. The route to Re6Te8 cluster complexes with organic ligands. Polyhedron 2024, 251, 116874. [Google Scholar] [CrossRef]
- Maeda, H.; Haketa, Y.; Nakanishi, T. Aryl-Substituted C<sub>3</sub>-Bridged Oligopyrroles as Anion Receptors for Formation of Supramolecular Organogels. J. Am. Chem. Soc. 2007, 129, 13661–13674. [Google Scholar]
- Burling, S.; Field, L.D.; Messerle, B.A.; Rumble, S.L. Late Transition Metal Catalyzed Intramolecular Hydroamination: The Effect of Ligand and Substrate Structure. Organometallics 2007, 26, 4335–4343. [Google Scholar] [CrossRef]
- Olguin, J.; Brooker, S. Spin crossover active iron(II) complexes of selected pyrazole-pyridine/pyrazine ligands. Coord. Chem. Rev. 2011, 255, 203–240. [Google Scholar] [CrossRef]
- Fustero, S.; Sanchez-Rosello, M.; Barrio, P.; Simon-Fuentes, A. From 2000 to Mid-2010: A Fruitful Decade for the Synthesis of Pyrazoles. Chem. Rev. 2011, 111, 6984–7034. [Google Scholar] [CrossRef] [PubMed]
- Makino, K.; Kim, H.S.; Kurasawa, Y. Synthesis of pyrazoles and condensed pyrazoles. J. Heterocycl. Chem. 1999, 36, 321–332. [Google Scholar] [CrossRef]
- Salazar-Muñoz, J.; Zarate, X.; Sotomayor-Jaramillo, J.; Bustos, C.; Schott, E. Synthesis and theoretical study of a new family of pyrazole derivative. J. Mol. Struct. 2024, 1301, 137267. [Google Scholar] [CrossRef]
- Makino, K.; Kim, H.S.; Kurasawa, Y. Synthesis of pyrazoles. J. Heterocycl. Chem. 1998, 35, 489–497. [Google Scholar] [CrossRef]
- Ocansey, E.; Darkwa, J.; Makhubela, B.C.E. Bis(pyrazolyl)palladium(II) complexes as catalysts for Mizoroki–Heck cross-coupling reactions. Polyhedron 2019, 166, 52–59. [Google Scholar] [CrossRef]
- Bulger, A.S.; Nasrallah, D.J.; Meza, A.T.; Garg, N.K. Enantioselective nickel-catalyzed Mizoroki–Heck cyclizations of amide electrophiles. Chem. Sci. 2024, 15, 2593–2600. [Google Scholar] [CrossRef]
- Heck, R.F.; Herrmann, W.A. N-Heterocyclic Carbenes: A New Concept in Organometallic Catalysis. Angew. Chem. Int. 2002, 41, 1290–1309. [Google Scholar]
- Zhu, Y.; Dong, W.; Tang, W. Palladium-catalyzed cross-couplings in the synthesis of agrochemicals. Adv. Agrochem 2022, 1, 125–138. [Google Scholar] [CrossRef]
- Hegde, S.; Nizam, A.; Vijayan, A. Furaldehyde-based magnetic supported palladium nanoparticles as an efficient heterogeneous catalyst for Mizoroki–Heck cross-coupling reaction. New J. Chem. 2024, 48, 1121–1129. [Google Scholar] [CrossRef]
- Townley, C.; Branduardi, D.; Chessari, G.; Cons, B.D.; Griffiths-Jones, C.; Hall, R.J.; Johnson, C.N.; Ochi, Y.; Whibley, S.; Grainge, R. Enabling synthesis in fragment-based drug discovery (FBDD): Microscale high-throughput optimisation of the medicinal chemist’s toolbox reactions. RSC Med. Chem. 2023, 14, 2699–2713. [Google Scholar] [CrossRef] [PubMed]
- Bräse, S.; de Meijere, A. Metal-Catalyzed Cross-Coupling Reactions, 2nd ed.; de Meijere, A., Diederich, F., Eds.; Wiley-VCH: Weinheim, Germany, 2004; pp. 218–225. [Google Scholar]
- Mathew, B.; Nath, M. Recent Approaches to Antifungal Therapy for Invasive Mycoses. Chem. Med. Chem. 2009, 4, 310–323. [Google Scholar] [CrossRef] [PubMed]
- Brown, E.; Wright, G. New Targets and Screening Approaches in Antimicrobial Drug Discovery. Chem. Rev. 2005, 105, 759–774. [Google Scholar] [CrossRef] [PubMed]
- Chen, S.; Playford, E.; Sorrell, T. Antifungal therapy in invasive fungal infections. Curr. Opin. Pharmacol. 2010, 10, 522–530. [Google Scholar] [CrossRef] [PubMed]
- Mukherjee, P.K.; Leidich, S.; Isham, N.; Leitner, I.; Ryder, N.S.; Ghannoum, M.A. Clinical Trichophyton rubrum Strain Exhibiting Primary Resistance to Terbinafine. Antimicrob. Agents Chemother. 2003, 47, 82–86. [Google Scholar] [CrossRef] [PubMed]
- Vicente, M.F.; Basilio, A.; Cabello, A.; Peláez, F. Microbial natural products as a source of antifungals. Clin. Microbiol. Infect. 2003, 9, 15–32. [Google Scholar] [CrossRef] [PubMed]
- Quirante, J.; Ruiz, D.; Gonzalez, A.; López, C.; Cascante, M.; Cortés, R.; Messeguer, R.; Calvis, C.; Baldomà, L.; Pascual, A.; et al. Platinum(II) and palladium(II) complexes with (N,N′) and (C,N,N′)− ligands derived from pyrazole as anticancer and antimalarial agents: Synthesis, characterization and in vitro activities. J. Inorg. Biochem. 2011, 105, 1720–1728. [Google Scholar] [CrossRef]
- Abu-Surrah, A.S.; Safieh, K.A.A.; Ahmad, I.M.; Abdalla, M.Y.; Ayoub, M.T.; Qaroush, A.K.; Abu-Mahtheieh, A.M. New palladium(II) complexes bearing pyrazole-based Schiff base ligands: Synthesis, characterization and cytotoxicity. Eur. J. Med. Chem. 2010, 45, 471–475. [Google Scholar] [CrossRef]
- Dahm, G.; Bailly, C.; Karmazin, L.; Bellemin-Laponnaz, S. Synthesis, structural characterization and in vitro anti-cancer activity of functionalized N-heterocyclic carbene platinum and palladium complexes. J. Organomet. Chem. 2015, 794, 115–124. [Google Scholar] [CrossRef]
- Restrepo-Acevedo, A.; Osorio, N.; Giraldo-López, L.E.; D’Vries, R.F.; Zacchino, S.; Abonia, R.; Le Lagadec, R.; Cuenú-Cabezas, F. Synthesis and antifungal activity of nitrophenyl-pyrazole substituted Schiff bases. J. Mol. Struc. 2022, 1253, 132289. [Google Scholar] [CrossRef]
- Cuenú, F.; Londoño-Salazar, J.; Torres, J.E.; Abonia, R.; D‘Vries, R. Synthesis, structural characterization and theoretical studies of a new Schiff base 4-(((3-(tert-Butyl)-(1-phenyl)pyrazol-5-yl) imino)methyl)phenol. J. Mol. Struct. 2018, 1152, 163–176. [Google Scholar]
- Moreno-Fuquen, R.; Cuenú, F.; Torres, J.E.; De la Vega, G.; Galarza, E.; Abonia, R.; Kennedy, A.R. Presence of π…π and Csingle bondH…π interactions in the new Schiff base 2-{(E)-[(3-tert-butyl-1-phenyl-1H-pyrazol-5-yl)imino]methyl}phenol: Experimental and DFT computational studies. J. Mol. Struct. 2017, 1150, 366–373. [Google Scholar] [CrossRef]
- Cuenú, F.; Abonia, R.; Bolaños, A.; Cabrera, A. Synthesis, structural elucidation and catalytic activity toward a model Mizoroki–Heck C–C coupling reaction of the pyrazolic Tröger’s base Pd4Cl8(PzTB)2 complex. J. Organomet. Chem. 2011, 696, 1834–1839. [Google Scholar] [CrossRef]
- Toka, F.; Kaymakçıoğlua, B.K.; Sağlıkb, B.N.; Leventb, S.; Özkayb, Y.; Kaplancıklı, Z.A. Synthesis and biological evaluation of new pyrazolone Schiff bases as monoamine oxidase and cholinesterase inhibitors. Bioorg. Chem. 2019, 84, 41–50. [Google Scholar] [CrossRef] [PubMed]
- Anuradha, S.L.; Agrahari, B.; Pathak, D.D. Synthesis and characterization of a new Pd(II)-Schiff base complex [Pd(APD)2]: An efficient and recyclable catalyst for Heck-Mizoroki and Suzuki-Miyaura reactions. J. Organomet. Chem. 2017, 846, 105–112. [Google Scholar]
- Nakamoto, K. Infrared and Raman Spectra of Inorganic and Coordination Compounds, Part A: Theory and Applications in Inorganic Chemistry. Part A, 6th ed.; Wiley, S.J., Ed.; Wiley-VCH: Weinheim, Germany, 2009; p. 193. [Google Scholar]
- Goodfellow, R.J.; Goggin, P.L.; Venanzi, L.M. The skeletal stretching frequencies of some bridged platinum and palladium chloro-complexes. J. Chem. Soc. A. 1967, 1897–1900. [Google Scholar] [CrossRef]
- Nelana, S.M.; Kumar, K.; Guzei, I.A.; Mahamo, T.; Darkwa, J. Electronic effects on the structures and catalytic properties of (pyrazol-1-yl)phenylmethanone palladium(II) complexes. J. Organomet. Chem. 2017, 848, 159–165. [Google Scholar] [CrossRef]
- Ceylan, Ü.; Tari, G.Ö.; Gökce, H.; Aʇar, E. Spectroscopic (FT–IR and UV–Vis) and theoretical (HF and DFT) investigation of 2-Ethyl-N-[(5-nitrothiophene-2-yl)methylidene]aniline. J. Mol. Struct. 2016, 1110, 1–10. [Google Scholar] [CrossRef]
- Temel, E.; Alasalvar, C.; Gökçe, H.; Güder, A.; Albayrak, Ç.; Alpaslan, Y.B.; Alpaslan, G.; Dilek, N. DFT calculations, spectroscopy and antioxidant activity studies on (E)-2-nitro-4-[(phenylimino)methyl]phenol. Spectrochim. Acta Part A Mol. Biomol. Spectrosc. 2015, 136, 534–546. [Google Scholar] [CrossRef]
- Ozdemir, M.; Sonmez, M.; Sen, F.; Dincer, M.; Ozdemir, N. A novel one-pot synthesis of heterocyclic compound (4-benzoyl-5-phenyl-2-(pyridin-2-yl)-3,3a-dihydropyrazolo[1,5-c]pyrimidin-7(6H)-one): Structural (X-ray and DFT) and spectroscopic (FT-IR, NMR, UV-Vis and Mass) characterization Studies. Spectrochim. Acta Part A Mol. Biomol. Spectrosc. 2015, 137, 1304–1314. [Google Scholar] [CrossRef] [PubMed]
- Kaya, S.; Tüzün, B.; Kaya, C.; Obot, I.B. Determination of corrosion inhibition effects of amino acids: Quantum chemical and molecular dynamic simulation study. J. Taiwan Inst. Chem. Eng. 2015, 58, 528–535. [Google Scholar] [CrossRef]
- Taira, T.; Yanagimoto, T.; Sakai, K.; Sakai, H.; Endo, A.; Imura, T. Synthesis of surface-active N-heterocyclic carbene ligand and its Pd-catalyzed aqueous Mizoroki–Heck reaction. Tetrahedron 2016, 5, 053. [Google Scholar]
- Anton, D.R.; Crabtree, R.H. Dibenzo[a,e]cyclooctatetraene in a proposed test for heterogeneity in catalysts formed from soluble platinum-group metal complexes. Organometallics 1983, 2, 855–859. [Google Scholar] [CrossRef]
- Widegren, J.A.; Finke, R.G. The Problem of Distinguishing True Homogeneous Catalysis from Soluble or Other Metal-Particle Heterogeneous Catalysis under Reducing Conditions. J. Mol. Catal. A 2003, 198, 317–341. [Google Scholar] [CrossRef]
- Herrmann, W.A.; Brossmer, C.; Öfele, K.; Reisinger, C.P.; Priermeier, T.; Beller, M.; Fischer, H. Palladacycles as Efficient Catalysts for Aryl Coupling Reactions. Chem. Int. Ed. Engl. 1995, 34, 1848–1849. [Google Scholar]
- Larhed, M.; Hallberg, A. Microwave-Promoted Palladium-Catalyzed Coupling Reactions. J. Org. Chem. 1996, 61, 9582–9584. [Google Scholar] [CrossRef]
- Buchmeiser, M.R.; Wurst, K. Access to Well-Defined Heterogeneous Catalytic Systems via Ring-Opening Metathesis Polymerization (ROMP): Applications in Palladium(II)-Mediated Coupling Reactions. J. Am. Chem. Soc. 1999, 121, 11101–11107. [Google Scholar] [CrossRef]
- Clinical and Laboratory Standards Institute (CLSI). Reference Method for Broth Dilution Antifungal Susceptibility Testing of Yeasts; Approved Standard—Third Edition. CLSI document M27-A3 (ISBN 1-56238-666-2); Clinical and Laboratory Standards Institute: 950 West Valley Road, Suite 2500, Wayne, PA 19087, USA, 2008; pp. 1–25. [Google Scholar]
- Garber, G. An overview of fungal infections. Drugs 2001, 61 (Suppl. S1), 1–12. [Google Scholar] [CrossRef]
- Patterson, T. Advances and challenges in management of invasive mycoses. Lancet 2005, 366, 1013–1025. [Google Scholar] [CrossRef]
- Kontoyiannis, D.; Mantadakis, E.; Samonis, G. Systemic mycoses in the immunocompromised host: An update in antifungal therapy. J. Hosp. Infect. 2003, 53, 243–258. [Google Scholar] [CrossRef] [PubMed]
- Singh, N. Treatment of opportunistic mycoses: How long is long enough? Lancet Infect. Dis. 2003, 3, 703–708. [Google Scholar] [CrossRef] [PubMed]
- Galgiani, J.N.; Lewis, M.L. In vitro studies of activities of the antifungal triazoles SCH56592 and itraconazole against Candida albicans, Cryptococcus neoformans, and other pathogenic yeasts. Antimicrob. Agents Chemother. 1997, 41, 180–183. [Google Scholar] [CrossRef] [PubMed]
- Frisch, M.J.; Trucks, G.W.; Schlegel, H.B.; Scuseria, G.E.; Robb, M.A.; Cheeseman, J.R.; Scalmani, G.; Barone, V.; Mennucci, B.; Petersson, G.A.; et al. Gaussian 09, Revision D.01; Gaussian, Inc.: Wallingford, CT, USA, 2013. [Google Scholar]
- Jamroz, M.H. Vibrational energy distribution analysis (VEDA): Scopes and limitations. Spectrochim. Acta A 2013, 114, 220–230. [Google Scholar] [CrossRef] [PubMed]










| Complexes | νPd-N (cm−1) | νPd-Clt (cm−1) | νPd-Clb (cm−1) | νPd-Clb (cm−1) |
|---|---|---|---|---|
| [Pd2Cl4(3)2] | 416 | 354 | 336 | 317 |
| [Pd2Cl4(4)2] | 416 | 354 | 333 | 318 |
| [Pd2Cl4(5)2] | 413 | 350 | 332 | 318 |
| [Pd2Cl4(6)2] | 417 | 354 | 333 | 317 |
| [Pd2Cl4(7)2] | 407 | 353 | 338 | 302 |
| [Pd2Cl4(8)2] | 410 | 364 | 335 | 302 |
| [Pd2Cl4(9)2] | 424 | 354 | 335 | 302 |
| [Pd2Cl4(10)2] | 397 | 349 | 337 | 302 |
| Parameters | (3) | (4) | (5) | (6) | (7) | (8) | (9) | (10) |
|---|---|---|---|---|---|---|---|---|
| EHOMO | −6.155 | −6.360 | −6.303 | −6.375 | −6.028 | −6.163 | −6.190 | −6.147 |
| ELUMO | −2.243 | −3.058 | −3.115 | −3.096 | −2.117 | −2.901 | −3.061 | −2.815 |
| ΔE | 3.912 | 3.302 | 3.188 | 3.279 | 3.911 | 3.262 | 3.129 | 3.332 |
| Chemical hardness (η) | 1.956 | 1.651 | 1.594 | 1.639 | 1.955 | 1.631 | 1.565 | 1.666 |
| Global softness (σ) | 0.511 | 0.601 | 0.627 | 0.609 | 0.511 | 0.613 | 0.639 | 0.600 |
| Complex | % Conversion | % Selectivity trans-Stilbene | % Selectivity 1,1-Diarylethene | TOF (h−1) | TON |
|---|---|---|---|---|---|
| [Pd2Cl4(3)2] | 77 | 90 | 10 | 385 | 770 |
| [Pd2Cl4(4)2] | 82 | 88 | 12 | 410 | 820 |
| [Pd2Cl4(5)2] | 100 | 89 | 11 | 500 | 1000 |
| [Pd2Cl4(6)2] | 83 | 88 | 12 | 415 | 830 |
| [Pd2Cl4(7)2] | 71 | 88 | 12 | 355 | 710 |
| [Pd2Cl4(8)2] | 92 | 88 | 12 | 460 | 920 |
| [Pd2Cl4(9)2] | 100 | 90 | 10 | 500 | 1000 |
| [Pd2Cl4(10)2] | 90 | 90 | 10 | 450 | 900 |
| Complex | Time(h) | % Conversion | % Selectivity trans-Stilbene | % Selectivity1,1-Diarylethene | TOF(h−1) | TON |
|---|---|---|---|---|---|---|
| [Pd2Cl4(5)2] | 2 | 74 | 96 | 4 | 1110 | 2220 |
| 4 | 58 | 94 | 6 | 870 | 3480 | |
| 6 | 57 | 93 | 6 | 855 | 5130 | |
| [Pd2Cl4(9)2] | 2 | 99 | 89 | 11 | 1485 | 2970 |
| 4 | 93 | 89 | 11 | 1395 | 5580 | |
| 6 | 82 | 90 | 10 | 1230 | 7380 |
| Complex | Time (h) | % Conversion | % Selectivity trans-Stilbene | % Selectivity 1,1-Diarylethene | TOF (h−1) | TON |
|---|---|---|---|---|---|---|
| [Pd2Cl4(5)2] | 2 | 74 | 96 | 4 | 1110 | 2220 |
| 4 | 58 | 94 | 6 | 870 | 3480 | |
| 6 | 57 | 93 | 6 | 855 | 5130 | |
| [Pd2Cl4(9)2] | 2 | 99 | 89 | 11 | 1485 | 2970 |
| 4 | 93 | 89 | 11 | 1395 | 5580 | |
| 6 | 82 | 90 | 10 | 1230 | 7380 |
| Time (h) | % Conversion | % Selectivity trans-Stilbene | % Selectivity 1,1-Diarylethene | TOF (h−1) | TON |
|---|---|---|---|---|---|
| 2 | 99 | 89 | 11 | 1485 | 2970 |
| 4 | 96 | 89 | 11 | 1440 | 5760 |
| 6 | 83 | 89 | 11 | 1237 | 7425 |
| 8 | 81 | 89 | 11 | 1207 | 9660 |
| 10 | 68 | 89 | 11 | 1015 | 10,155 |
| Ration | % Conversion | % Selectivity trans-Stilbene | % Selectivity 1,1-Diarylethene | TOF (h−1) | TON |
|---|---|---|---|---|---|
| 1:3000 | 99 | 89 | 11 | 1485 | 2970 |
| 1:5000 | 87 | 89 | 11 | 2175 | 4350 |
| 1:10,000 | 74 | 88 | 12 | 3700 | 7400 |
| Base | % Conversion | % Selectivity trans-Stilbene | % Selectivity 1,1-Diarylethene | TOF (h−1) | TON |
|---|---|---|---|---|---|
| K2CO3 | 99 | 89 | 11 | 1485 | 2970 |
| Na2CO3 | 53 | 89 | 11 | 795 | 1590 |
| Li2CO3 | 37 | 86 | 14 | 555 | 1110 |
| Et3N | 84 | 89 | 11 | 1260 | 2520 |
| NaAc | 78 | 89 | 11 | 1170 | 2340 |
| Temperature (°C) | % Conversion | % Selectivity trans-Stilbene | % Selectivity 1,1-Diarylethene | TOF (h−1) | TON |
|---|---|---|---|---|---|
| 100 | 68 | 89 | 11 | 1020 | 2040 |
| 120 | 77 | 89 | 11 | 1155 | 2310 |
| 140 | 92 | 89 | 11 | 1380 | 2760 |
| 160 | 99 | 89 | 11 | 1485 | 2970 |
| Time (h) | Excess Ligand | % Conversion | % Selectivity trans-Stilbene | % Selectivity 1,1-Diarylethene | TOF (h−1) | TON |
|---|---|---|---|---|---|---|
| 2 | 1:5 | 75 | 89 | 11 | 1125 | 2250 |
| 4 | 1:5 | 88 | 89 | 11 | 660 | 2640 |
| 2 | 1:10 | 16 | 91 | 9 | 240 | 480 |
| 4 | 1:10 | 23 | 92 | 8 | 172 | 690 |
| Substrate | Complex | t (h) | % Conv. | % Selectivity Styrylaldehyde | % Selectivity N-(1-Phenylethenyl)benzaldehyde | TOF (h−1) | TON |
|---|---|---|---|---|---|---|---|
![]() | [Pd2Cl4(3)2] | 2 | 36 | 100 | 0 | 540 | 1080 |
| 6 | 61 | 100 | 0 | 305 | 1830 | ||
| [Pd2Cl4(4)2] | 2 | 12 | 88 | 12 | 180 | 360 | |
| 6 | 17 | 85 | 15 | 85 | 510 | ||
| [Pd2Cl4(5)2] | 2 | 10 | 94 | 6 | 150 | 300 | |
| 6 | 25 | 91 | 9 | 125 | 750 | ||
| [Pd2Cl4(6)2] | 2 | 0 | 0 | 0 | 0 | 0 | |
| 6 | 2 | 78 | 21 | 30 | 60 | ||
| [Pd2Cl4(7)2] | 2 | 0 | 0 | 0 | 0 | 0 | |
| 6 | 6 | 70 | 30 | 30 | 180 | ||
| [Pd2Cl4(8)2] | 2 | 0 | 0 | 0 | 0 | 0 | |
| 6 | 5 | 100 | 0 | 25 | 150 | ||
| [Pd2Cl4(9)2] | 2 | 51 | 100 | 0 | 765 | 1530 | |
| 6 | 59 | 100 | 0 | 295 | 1770 | ||
| [Pd2Cl4(10)2] | 2 | 52 | 100 | 0 | 780 | 1560 | |
| 6 | 59 | 100 | 0 | 295 | 1770 | ||
![]() | [Pd2Cl4(3)2] | 2 | 61 | 100 | 0 | 915 | 1830 |
| [Pd2Cl4(4)2] | 2 | 85 | 91 | 9 | 1275 | 2550 | |
| [Pd2Cl4(5)2] | 2 | 100 | 94 | 6 | 1500 | 3000 | |
| [Pd2Cl4(6)2] | 2 | 77 | 92 | 8 | 1155 | 2310 | |
| [Pd2Cl4(7)2] | 2 | 100 | 89 | 11 | 1500 | 3000 | |
| [Pd2Cl4(8)2] | 2 | 100 | 89 | 11 | 1500 | 3000 | |
| [Pd2Cl4(9)2] | 2 | 100 | 91 | 9 | 1500 | 3000 | |
| [Pd2Cl4(10)2] | 2 | 100 | 88 | 12 | 1500 | 3000 | |
![]() | [Pd2Cl4(3)2] | 2 | 93 | 87 | 13 | 1395 | 2790 |
| 6 | 100 | 92 | 8 | 500 | 3000 | ||
| [Pd2Cl4(4)2] | 2 | 73 | 92 | 8 | 1095 | 2190 | |
| 6 | 92 | 94 | 6 | 460 | 2760 | ||
| [Pd2Cl4(5)2] | 2 | 81 | 100 | 0 | 1215 | 2430 | |
| 6 | 96 | 100 | 0 | 480 | 2880 | ||
| [Pd2Cl4(6)2] | 2 | 81 | 100 | 0 | 1215 | 2430 | |
| 6 | 94 | 100 | 0 | 470 | 2820 | ||
| [Pd2Cl4(7)2] | 2 | 43 | 65 | 35 | 645 | 1290 | |
| 6 | 95 | 82 | 18 | 475 | 2850 | ||
| [Pd2Cl4(8)2] | 2 | 60 | 93 | 7 | 900 | 1800 | |
| 6 | 84 | 95 | 5 | 420 | 2520 | ||
| [Pd2Cl4(9)2] | 2 | 100 | 95 | 5 | 1500 | 3000 | |
| 6 | 94 | 95 | 5 | 1410 | 2820 | ||
| [Pd2Cl4(10)2] | 2 | 100 | 95 | 5 | 500 | 3000 | |
| 6 | 93 | 87 | 13 | 1395 | 2790 |
| Substrate | Complex | Time (h) | % Conversion | % Selectivity Styrylaldehyde | % Selectivity N-(1-Phenylethenyl)benzaldehyde | TOF (h−1) | TON |
|---|---|---|---|---|---|---|---|
![]() | [Pd2Cl4(5)2] | 2 | 0 | 0 | 0 | 0 | 0 |
| 6 | 21 | 100 | 0 | 105 | 630 | ||
| [Pd2Cl4(9)2] | 2 | 0 | 0 | 0 | 0 | 0 | |
| 6 | 0 | 0 | 0 | 0 | 0 | ||
![]() | [Pd2Cl4(5)2] | 2 | 77 | 100 | 0 | 1155 | 2310 |
| 6 | 100 | 96 | 4 | 500 | 3000 | ||
| [Pd2Cl4(9)2] | 2 | 11 | 100 | 0 | 165 | 330 | |
| 6 | 64 | 100 | 0 | 320 | 1920 | ||
![]() | [Pd2Cl4(5)2] | 2 | 51 | 100 | 0 | 765 | 1530 |
| 6 | 98 | 100 | 0 | 490 | 2940 | ||
| [Pd2Cl4(9)2] | 2 | 31 | 67 | 33 | 465 | 930 | |
| 6 | 100 | 93 | 7 | 500 | 3000 |
Disclaimer/Publisher’s Note: The statements, opinions and data contained in all publications are solely those of the individual author(s) and contributor(s) and not of MDPI and/or the editor(s). MDPI and/or the editor(s) disclaim responsibility for any injury to people or property resulting from any ideas, methods, instructions or products referred to in the content. |
© 2024 by the authors. Licensee MDPI, Basel, Switzerland. This article is an open access article distributed under the terms and conditions of the Creative Commons Attribution (CC BY) license (https://creativecommons.org/licenses/by/4.0/).
Share and Cite
Londoño-Salazar, J.; Restrepo-Acevedo, A.; Torres, J.E.; Abonia, R.; Svetaz, L.; Zacchino, S.A.; Le Lagadec, R.; Cuenú-Cabezas, F. Synthesis and Characterization of New Bases Derived from Nitrophenylpyrazoles, Coordination to Palladium and Antifungal Activity and Catalytic Activity in Mizoroki–Heck Reactions. Catalysts 2024, 14, 387. https://doi.org/10.3390/catal14060387
Londoño-Salazar J, Restrepo-Acevedo A, Torres JE, Abonia R, Svetaz L, Zacchino SA, Le Lagadec R, Cuenú-Cabezas F. Synthesis and Characterization of New Bases Derived from Nitrophenylpyrazoles, Coordination to Palladium and Antifungal Activity and Catalytic Activity in Mizoroki–Heck Reactions. Catalysts. 2024; 14(6):387. https://doi.org/10.3390/catal14060387
Chicago/Turabian StyleLondoño-Salazar, Jennifer, Andrés Restrepo-Acevedo, John Eduard Torres, Rodrigo Abonia, Laura Svetaz, Susana A. Zacchino, Ronan Le Lagadec, and Fernando Cuenú-Cabezas. 2024. "Synthesis and Characterization of New Bases Derived from Nitrophenylpyrazoles, Coordination to Palladium and Antifungal Activity and Catalytic Activity in Mizoroki–Heck Reactions" Catalysts 14, no. 6: 387. https://doi.org/10.3390/catal14060387
APA StyleLondoño-Salazar, J., Restrepo-Acevedo, A., Torres, J. E., Abonia, R., Svetaz, L., Zacchino, S. A., Le Lagadec, R., & Cuenú-Cabezas, F. (2024). Synthesis and Characterization of New Bases Derived from Nitrophenylpyrazoles, Coordination to Palladium and Antifungal Activity and Catalytic Activity in Mizoroki–Heck Reactions. Catalysts, 14(6), 387. https://doi.org/10.3390/catal14060387







