Strategies to Prepare Chitin and Chitosan-Based Bioactive Structures Aided by Deep Eutectic Solvents: A Review
Abstract
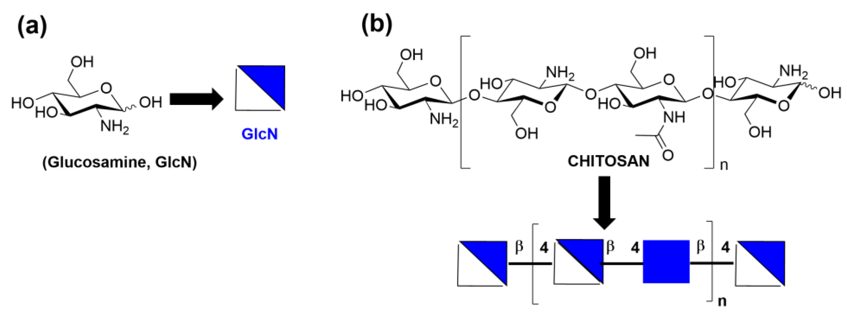
1. Introduction
2. DES-Assisted Chitin Extraction
3. Biocatalysis for Chitin/Chitosan Modifications
4. DESs for the Generation of Chitinaceous Bioactive Materials
5. Conclusions
Author Contributions
Funding
Data Availability Statement
Conflicts of Interest
References
- Vinod, A.; Sanjay, M.R.; Suchart, S.; Jyotishkumar, P. Renewable and sustainable biobased materials: An assessment on biofibers, biofilms, biopolymers and biocomposites. J. Clean. Prod. 2020, 258, 27. [Google Scholar] [CrossRef]
- Pires, J.R.A.; Souza, V.G.L.; Fuciños, P.; Pastrana, L.; Fernando, A.L. Methodologies to Assess the Biodegradability of Bio-Based Polymers—Current Knowledge and Existing Gaps. Polymers 2022, 14, 1359. [Google Scholar] [CrossRef]
- Ahsan, W.A.; Hussain, A.; Lin, C.; Nguyen, M.K. Biodegradation of Different Types of Bioplastics through Composting—A Recent Trend in Green Recycling. Catalysts 2023, 13, 294. [Google Scholar] [CrossRef]
- Kaing, V.; Guo, Z.; Sok, T.; Kodikara, D.; Breider, F.; Yoshimura, C. Photodegradation of biodegradable plastics in aquatic environments: Current understanding and challenges. Sci. Total Environ. 2024, 911, 168539. [Google Scholar] [CrossRef]
- Rosenboom, J.G.; Langer, R.; Traverso, G. Bioplastics for a circular economy. Nat. Rev. Mater. 2022, 7, 117–137. [Google Scholar] [CrossRef]
- Bachmann, M.; Kätelhön, A.; Winter, B.; Meys, R.; Müller, L.J.; Bardow, A. Renewable carbon feedstock for polymers: Environmental benefits from synergistic use of biomass and CO2. Faraday Discuss. 2021, 230, 227–246. [Google Scholar] [CrossRef]
- Sandoval, S.S.; Amenábar, A.; Toledo, I.; Silva, N.; Contreras, P. Advances in the Sustainable Development of Biobased Materials Using Plant and Animal Waste as Raw Materials: A Review. Sustainability 2024, 16, 1073. [Google Scholar] [CrossRef]
- Shadhin, M.; Rahman, M.; Jayaraman, R.; Chen, Y.; Mann, D.; Zhong, W. Natural biomass & waste biomass fibers—Structures, environmental footprints, sustainability, degumming methods, & surface modifications. Ind. Crops Prod. 2023, 204, 117252. [Google Scholar] [CrossRef]
- Mukherjee, A.; Knoch, S.; Chouinard, G.; Tavares, J.R.; Dumont, M.J. Use of bio-based polymers in agricultural exclusion nets: A perspective. Biosyst. Eng. 2019, 180, 121–145. [Google Scholar] [CrossRef]
- Firmanda, A.; Fahma, F.; Syamsu, K.; Mahardika, M.; Suryanegara, L.; Munif, A.; Gozan, M.; Wood, K.; Hidayat, R.; Yulia, D. Biopolymer-based slow/controlled-release fertilizer (SRF/CRF): Nutrient release mechanism and agricultural sustainability. J. Environ. Chem. Eng. 2024, 12, 117252. [Google Scholar] [CrossRef]
- Sharma, R.; Kumar, S.; Malviya, R.; Prajapati, B.G.; Puri, D.; Limmatvapirat, S.; Sriamornsak, P. Recent advances in biopolymer-based mucoadhesive drug delivery systems for oral application. J. Drug Deliv. Sci. Technol. 2024, 91, 18. [Google Scholar] [CrossRef]
- Fazal, T.; Murtaza, B.N.; Shah, M.Z.; Iqbal, S.; Rehman, M.U.; Jaber, F.; Dera, A.A.; Awwad, N.S.; Ibrahium, H.A. Recent developments in natural biopolymer based drug delivery systems. RSC Adv. 2023, 13, 23087–23121. [Google Scholar] [CrossRef] [PubMed]
- Zarrintaj, P.; Seidi, F.; Azarfam, M.Y.; Yazdi, M.K.; Erfani, A.; Barani, M.; Chauhan, N.P.S.; Rabiee, N.; Kuang, T.R.; Kucinska-Lipka, J.; et al. Biopolymer-based composites for tissue engineering applications: A basis for future opportunities. Compos. Part B-Eng. 2023, 258, 20. [Google Scholar] [CrossRef]
- Hama, R.; Ulziibayar, A.; Reinhardt, J.W.; Watanabe, T.; Kelly, J.; Shinoka, T. Recent Developments in Biopolymer-Based Hydrogels for Tissue Engineering Applications. Biomolecules 2023, 13, 16. [Google Scholar] [CrossRef] [PubMed]
- Sadasivuni, K.K.; Saha, P.; Adhikari, J.; Deshmukh, K.; Ahamed, M.B.; Cabibihan, J.J. Recent advances in mechanical properties of biopolymer composites: A review. Polym. Compos. 2020, 41, 32–59. [Google Scholar] [CrossRef]
- Ebhodaghe, S.O.; Ndibe, H. Mechanical properties of biopolymers. In Handbook of Biopolymers; Thomas, S., Ar, A., Jose Chirayil, C., Thomas, B., Eds.; Springer Nature: Singapore, 2022; pp. 1–16. [Google Scholar]
- Di Lorenzo, M.L.; Androsch, R. Thermal Properties of Bio-Based Polymers; Springer Nature: Cham, Switzerland, 2019; Volume 283. [Google Scholar]
- Amrutha, S.R.; Rejimon, P.K.; Suja, N.R.; Mart, A. Thermal properties of biopolymers. In Handbook of Biopolymers; Thomas, S., Ar, A., Jose Chirayil, C., Thomas, B., Eds.; Springer Nature: Singapore, 2023; pp. 269–296. [Google Scholar] [CrossRef]
- Rigotti, D.; Pegoretti, A.; Miotello, A.; Checchetto, R. Interfaces in biopolymer nanocomposites: Their role in the gas barrier properties and kinetics of residual solvent desorption. Appl. Surf. Sci. 2020, 507, 145066. [Google Scholar] [CrossRef]
- Maguire, L.; Stefferson, M.; Betterton, M.D.; Hough, L.E. Design principles of selective transport through biopolymer barriers. Phys. Rev. E 2019, 100, 042414. [Google Scholar] [CrossRef]
- Flórez, M.; Cazón, P.; Vázquez, M. Selected Biopolymers’ Processing and Their Applications: A Review. Polymers 2023, 15, 25. [Google Scholar] [CrossRef]
- Nath, P.C.; Sharma, R.; Debnath, S.; Nayak, P.K.; Roy, R.; Sharma, M.; Inbaraj, B.S.; Sridhar, K. Recent advances in production of sustainable and biodegradable polymers from agro-food waste: Applications in tissue engineering and regenerative medicines. Int. J. Biol. Macromol. 2024, 259, 15. [Google Scholar] [CrossRef]
- Monia, T. Sustainable natural biopolymers for biomedical applications. J. Thermoplast. Compos. Mater. 2023, 20, 08927057231214468. [Google Scholar] [CrossRef]
- Arif, Z.U.; Khalid, M.Y.; Sheikh, M.F.; Zolfagharian, A.; Bodaghi, M. Biopolymeric sustainable materials and their emerging applications. J. Environ. Chem. Eng. 2022, 10, 108159. [Google Scholar] [CrossRef]
- Patel, N.; Blumberga, D. Insights of Bioeconomy: Biopolymer Evaluation Based on Sustainability Criteria. Environ. Clim. Technol. 2023, 27, 323–338. [Google Scholar] [CrossRef]
- Abolore, R.S.; Jaiswal, S.; Jaiswal, A.K. Green and sustainable pretreatment methods for cellulose extraction from lignocellulosic biomass and its applications: A review. Carbohydr. Polym. Technol. Appl. 2024, 7, 100396. [Google Scholar] [CrossRef]
- Giraldo, J.D.; García, Y.; Vera, M.; Garrido-Miranda, K.A.; Andrade-Acuña, D.; Marrugo, K.P.; Rivas, B.L.; Schoebitz, M. Alternative processes to produce chitin, chitosan, and their oligomers. Carbohydr. Polym. 2024, 332, 121924. [Google Scholar] [CrossRef]
- Kumari, R.; Kumar, M.; Vivekanand, V.; Pareek, N. Chitin biorefinery: A narrative and prophecy of crustacean shell waste sustainable transformation into bioactives and renewable energy. Renew. Sustain. Energy Rev. 2023, 184, 113595. [Google Scholar] [CrossRef]
- Morgan, K.; Conway, C.; Faherty, S.A.-O.; Quigley, C.A.-O. A Comparative Analysis of Conventional and Deep Eutectic Solvent (DES)-Mediated Strategies for the Extraction of Chitin from Marine Crustacean Shells. Molecules 2021, 26, 113595. [Google Scholar] [CrossRef]
- Saravanan, A.; Kumar, P.S.; Yuvaraj, D.; Jeevanantham, S.; Aishwaria, P.; Gnanasri, P.B.; Gopinath, M.; Rangasamy, G. A review on extraction of polysaccharides from crustacean wastes and their environmental applications. Environ. Res. 2023, 221, 115306. [Google Scholar] [CrossRef]
- Horváth, I.T.; Wong, C.Y.Y.; Choi, A.W.-T.; Mika, L.T.; Lui, M.Y. Valorization of the Exoskeletons of Crustaceans in Seafood Wastes to Chemicals in Renewable Solvents: A Catalytic and Mechanistic Study. ACS Sustain. Chem. Eng. 2023, 11, 15350–15363. [Google Scholar] [CrossRef]
- Azelee, N.I.W.; Dahiya, D.; Ayothiraman, S.; Noor, N.M.; Rasid, Z.I.A.; Ramli, A.N.M.; Ravindran, B.; Iwuchukwu, F.U.; Selvasembian, R. Sustainable valorization approaches on crustacean wastes for the extraction of chitin, bioactive compounds and their applications—A review. Int. J. Biol. Macromol. 2023, 253, 126492. [Google Scholar] [CrossRef] [PubMed]
- Liu, X.; Zhang, J.; Zhu, K.Y. Chitin in arthropods: Biosynthesis, modification, and metabolism. In Advances in Experimental Medicine and Biology; Springer LLC: New York, NY, USA, 2019; Volume 1142, pp. 169–207. [Google Scholar]
- Rajan, D.K.; Mohan, K.; Rajarajeswaran, J.; Divya, D.; Kumar, R.; Kandasamy, S.; Zhang, S.B.; Ganesan, A.R. β-Chitin and chitosan from waste shells of edible mollusks as a functional ingredient. Food Front. 2024, 5, 46–72. [Google Scholar] [CrossRef]
- Hahn, T.; Tafi, E.; Paul, A.; Salvia, R.; Falabella, P.; Zibek, S. Current state of chitin purification and chitosan production from insects. J. Chem. Technol. Biotechnol. 2020, 95, 2775–2795. [Google Scholar] [CrossRef]
- Rehman, K.U.; Hollah, C.; Wiesotzki, K.; Heinz, V.; Aganovic, K.; Rehman, R.U.; Petrusan, J.I.; Zheng, L.Y.; Zhang, J.B.; Sohail, S.; et al. Insect-Derived Chitin and Chitosan: A Still Unexploited Resource for the Edible Insect Sector. Sustainability 2023, 15, 34. [Google Scholar] [CrossRef]
- Saenz-Mendoza, A.I.; Zamudio-Flores, P.B.; Tirado-Gallegos, J.M.; García-Anaya, M.C.; Velasco, C.R.; Acosta-Muñiz, C.H.; Espino-Díaz, M.; Hernández-González, M.; Vela-Gutiérrez, G.; Salgado-Delgado, R.; et al. Insects as a potential source of chitin and chitosan: Physicochemical, morphological and structural characterization—A review. Emir. J. Food Agric. 2023, 35, 388–407. [Google Scholar] [CrossRef]
- Alimi, B.A.; Pathania, S.; Wilson, J.; Duffy, B.; Frias, J.M.C. Extraction, quantification, characterization, and application in food packaging of chitin and chitosan from mushrooms: A review. Int. J. Biol. Macromol. 2023, 237, 8. [Google Scholar] [CrossRef]
- Pillai, C.K.S.; Paul, W.; Sharma, C.P. Chitin and chitosan polymers: Chemistry, solubility and fiber formation. Prog. Polym. Sci. 2009, 34, 641–678. [Google Scholar] [CrossRef]
- Varki, A.; Cummings, R.D.; Aebi, M.; Packer, N.H.; Seeberger, P.H.; Esko, J.D.; Stanley, P.; Hart, G.; Darvill, A.; Kinoshita, T.; et al. Symbol nomenclature for graphical representations of glycans. Glycobiology 2015, 25, 1323–1324. [Google Scholar] [CrossRef] [PubMed]
- Neelamegham, S.; Aoki-Kinoshita, K.; Bolton, E.; Frank, M.; Lisacek, F.; Lütteke, T.; O’Boyle, N.; Packer, N.H.; Stanley, P.; Toukach, P.; et al. Updates to the Symbol Nomenclature for Glycans guidelines. Glycobiology 2019, 29, 620–624. [Google Scholar] [CrossRef] [PubMed]
- Thieker, D.F.; Hadden, J.A.; Schulten, K.; Woods, R.J. 3D implementation of the symbol nomenclature for graphical representation of glycans. Glycobiology 2016, 26, 786–787. [Google Scholar] [CrossRef] [PubMed]
- Fernando, L.D.; Widanage, M.C.D.; Penfield, J.; Lipton, A.S.; Washton, N.; Latgé, J.P.; Wang, P.; Zhang, L.; Wang, T. Structural Polymorphism of Chitin and Chitosan in Fungal Cell Walls from Solid-State NMR and Principal Component Analysis. Front. Mol. Biosci. 2021, 8, 727053. [Google Scholar] [CrossRef]
- Kaya, M.; Mujtaba, M.; Ehrlich, H.; Salaberria, A.M.; Baran, T.; Amemiya, C.T.; Galli, R.; Akyuz, L.; Sargin, I.; Labidi, J. On chemistry of γ-chitin. Carbohydr. Polym. 2017, 176, 177–186. [Google Scholar] [CrossRef]
- Arshad, M.; Zubair, M.; Ullah, A. Miscibility, properties, and biodegradability of chitin and chitosan. In Handbook of Chitin and Chitosan: Volume 1: Preparation and Properties; Elsevier: Amsterdam, The Netherlands, 2020; pp. 377–399. [Google Scholar]
- Zhu, K.; Shi, S.; Cao, Y.; Lu, A.; Hu, J.; Zhang, L. Robust chitin films with good biocompatibility and breathable properties. Carbohydr. Polym. 2019, 212, 361–367. [Google Scholar] [CrossRef]
- Ye, X.; Wang, Z.; Wang, Q.; Zhu, L.; Yang, L.; Xu, D. Solid-State Utilization of Chitin to Construct Flexible Films with Enhanced Biocompatibility and Mechanical Performance. ACS Sustain. Chem. Eng. 2023, 12, 4497–4505. [Google Scholar] [CrossRef]
- Kim, D.H.; Wang, Y.; Jung, H.; Field, R.L.; Zhang, X.; Liu, T.C.; Ma, C.; Fraser, J.S.; Brestoff, J.R.; Van Dyken, S.J. A type 2 immune circuit in the stomach controls mammalian adaptation to dietary chitin. Science 2023, 381, 1092–1098. [Google Scholar] [CrossRef]
- Hema, S.; Chandran, G.U.; Jyothi, P.R.; Sambhudevan, S. Biomedical applications of chitin. In Handbook of Biopolymers; Thomas, S., Ar, A., Jose Chirayil, C., Thomas, B., Eds.; Springer Nature: Singapore, 2022; pp. 1–28. [Google Scholar]
- Azad, A.K.; Bhattacharya, T.; Hasnain, M.S.; Tripathi, G.; Nayak, A.K. Chitin- and chitosan-based nanomaterials for therapeutic applications. In Polymeric Nanosystems: Theranostic Nanosystems: Volume 1; Elsevier: Amsterdam, The Netherlands, 2023; pp. 173–205. [Google Scholar]
- Elizalde-Cárdenas, A.; Ribas-Aparicio, R.M.; Rodríguez-Martínez, A.; Leyva-Gómez, G.; Ríos-Castañeda, C.; González-Torres, M. Advances in chitosan and chitosan derivatives for biomedical applications in tissue engineering: An updated review. Int. J. Biol. Macromol. 2024, 262, 129999. [Google Scholar] [CrossRef]
- Casadidio, C.; Peregrina, D.V.; Gigliobianco, M.R.; Deng, S.; Censi, R.; Di Martino, P. Chitin and chitosans: Characteristics, eco-friendly processes, and applications in cosmetic science. Mar. Drugs 2019, 17, 30. [Google Scholar] [CrossRef]
- Giraldo, J.D.; Garrido-Miranda, K.A.; Schoebitz, M. Chitin and its derivatives: Functional biopolymers for developing bioproducts for sustainable agriculture—A reality? Carbohydr. Polym. 2023, 299, 120196. [Google Scholar] [CrossRef]
- Riseh, R.S.; Vazvani, M.G.; Kennedy, J.F. The application of chitosan as a carrier for fertilizer: A review. Int. J. Biol. Macromol. 2023, 252, 126483. [Google Scholar] [CrossRef]
- Saberi Riseh, R.; Vatankhah, M.; Hassanisaadi, M.; Varma, R.S. A review of chitosan nanoparticles: Nature’s gift for transforming agriculture through smart and effective delivery mechanisms. Int. J. Biol. Macromol. 2024, 260, 129522. [Google Scholar] [CrossRef]
- Roy, J.; Salaün, F.; Giraud, S.; Ferri, A.; Guan, J.; Chen, G. Solubility of Chitin: Solvents, Solution Behaviors and Their Related Mechanisms. Solubility Polysacch. 2017, 3, 20–60. [Google Scholar]
- Zhong, Y.; Cai, J.; Zhang, L.N. A Review of Chitin Solvents and Their Dissolution Mechanisms. Chin. J. Polym. Sci. 2020, 14, 1047–1060. [Google Scholar] [CrossRef]
- Jiang, T.; James, R.; Kumbar, S.G.; Laurencin, C.T. Chitosan as a Biomaterial: Structure, Properties, and Applications in Tissue Engineering and Drug Delivery. In Natural and Synthetic Biomedical Polymers; Kumbar, S., Laurencin, C., Deng, M., Eds.; Elsevier Science: Burlington, MA, USA, 2014; pp. 91–113. [Google Scholar]
- Crini, G. Historical review on chitin and chitosan biopolymers. Environ. Chem. Lett. 2019, 17, 1623–1643. [Google Scholar] [CrossRef]
- Aranaz, I.; Alcántara, A.R.; Civera, M.C.; Arias, C.; Elorza, B.; Heras Caballero, A.; Acosta, N. Chitosan: An Overview of Its Properties and Applications. Polymers 2021, 13, 3256. [Google Scholar] [CrossRef]
- Junceda-Mena, I.; García-Junceda, E.; Revuelta, J. From the problem to the solution: Chitosan valorization cycle. Carbohydr. Polym. 2023, 309, 120674. [Google Scholar] [CrossRef]
- Jagdale, S.; Agarwal, B.; Dixit, A.; Gaware, S. Chitosan as excellent bio-macromolecule with myriad of anti-activities in biomedical applications—A review. Int. J. Biol. Macromol. 2024, 257, 128697. [Google Scholar] [CrossRef]
- Kluczka, J. Chitosan: Structural and Chemical Modification, Properties, and Application. Int. J. Mol. Sci. 2024, 25, 554. [Google Scholar] [CrossRef]
- Novikov, V.Y.; Derkach, S.R.; Konovalova, I.N.; Dolgopyatova, N.; Kuchina, Y.A. Mechanism of Heterogeneous Alkaline Deacetylation of Chitin: A Review. Polymers 2023, 15, 23. [Google Scholar] [CrossRef]
- Sixto-Berrocal, A.M.; Vázquez-Aldana, M.; Miranda-Castro, S.P.; Martínez-Trujillo, M.A.; Cruz-Díaz, M.R. Chitin/chitosan extraction from shrimp shell waste by a completely biotechnological process. Int. J. Biol. Macromol. 2023, 230, 123204. [Google Scholar] [CrossRef]
- Rakshit, S.; Pal, K.; Mondal, S.; Jana, A.; Mondal, K.C.; Halder, S.K. Extraction of chitosan from biologically-derived chitin by bacterial chitin deacetylase: Process optimization and product quality assessment. Int. J. Biol. Macromol. 2023, 244, 125389. [Google Scholar] [CrossRef]
- Hamer, S.N.; Cord-Landwehr, S.; Biarnes, X.; Planas, A.; Waegeman, H.; Moerschbacher, B.M.; Kolkenbrock, S. Enzymatic production of defined chitosan oligomers with a specific pattern of acetylation using a combination of chitin oligosaccharide deacetylases. Sci. Rep. 2015, 5, 9. [Google Scholar] [CrossRef] [PubMed]
- Wattjes, J.; Niehues, A.; Cord-Landwehr, S.; Hossbach, J.; David, L.; Delair, T.; Moerschbacher, B.M. Enzymatic production and enzymatic-mass spectrometric fingerprinting analysis of chitosan polymers with different nonrandom patterns of acetylation. J. Am. Chem. Soc. 2019, 141, 3137–3145. [Google Scholar] [CrossRef] [PubMed]
- Basa, S.; Nampally, M.; Honorato, T.; Das, S.N.; Podile, A.R.; El Gueddari, N.E.; Moerschbacher, B.M. The Pattern of Acetylation Defines the Priming Activity of Chitosan Tetramers. J. Am. Chem. Soc. 2020, 142, 1975–1986. [Google Scholar] [CrossRef]
- Cord-Landwehr, S.; Richter, C.; Wattjes, J.; Sreekumar, S.; Singh, R.; Basa, S.; El Gueddari, N.E.; Moerschbacher, B.M. Patterns matter part 2: Chitosan oligomers with defined patterns of acetylation. React. Funct. Polym. 2020, 151, 104577. [Google Scholar] [CrossRef]
- Wattjes, J.; Sreekumar, S.; Richter, C.; Cord-Landwehr, S.; Singh, R.; El Gueddari, N.E.; Moerschbacher, B.M. Patterns matter part 1: Chitosan polymers with non-random patterns of acetylation. React. Funct. Polym. 2020, 151, 104583. [Google Scholar] [CrossRef]
- Sreekumar, S.; Wattjes, J.; Niehues, A.; Mengoni, T.; Mendes, A.C.; Morris, E.R.; Goycoolea, F.M.; Moerschbacher, B.M. Biotechnologically produced chitosans with nonrandom acetylation patterns differ from conventional chitosans in properties and activities. Nat. Commun. 2022, 13, 7125. [Google Scholar] [CrossRef] [PubMed]
- Singh, R.; Smiatek, J.; Moerschbacher, B.M. Unraveling the Impact of Acetylation Patterns in Chitosan Oligomers on Cu2+ Ion Binding: Insights from DFT Calculations. Int. J. Mol. Sci. 2023, 24, 13792. [Google Scholar] [CrossRef] [PubMed]
- Aranaz, I.; Mengibar, M.; Harris, R.; Paños, I.; Miralles, B.; Acosta, N.; Galed, G.; Heras, A. Functional Characterization of Chitin and Chitosan. Curr. Chem. Biol. 2009, 3, 203–230. [Google Scholar] [CrossRef]
- Faria, R.R.; Guerra, R.F.; De Sousa Neto, L.R.; Motta, L.F.; Franca, E.D.F. Computational study of polymorphic structures of α- And β- chitin and chitosan in aqueous solution. J. Mol. Graph. Model. 2016, 63, 78–84. [Google Scholar] [CrossRef] [PubMed]
- Rinaudo, M. Chitin and chitosan: Properties and applications. Prog. Polym. Sci. 2006, 31, 603–632. [Google Scholar] [CrossRef]
- Younes, I.; Rinaudo, M. Chitin and Chitosan Preparation from Marine Sources. Structure, Properties and Applications. Mar. Drugs 2015, 13, 1133–1174. [Google Scholar] [CrossRef]
- Xing, L.; Du, L.N.; Luo, C.Q.; Zhou, T.J.; Zhu, Y.; Gong, J.H.; Jin, Y.G.; Jiang, H.L. Chitosan and its derivatives as chemical drug delivery. Curr. Org. Chem. 2018, 22, 690–707. [Google Scholar] [CrossRef]
- Desai, N.; Rana, D.; Salave, S.; Gupta, R.; Patel, P.; Karunakaran, B.; Sharma, A.; Giri, J.; Benival, D.; Kommineni, N. Chitosan: A Potential Biopolymer in Drug Delivery and Biomedical Applications. Pharmaceutics 2023, 15, 69. [Google Scholar] [CrossRef]
- Shrestha, R.; Thenissery, A.; Khupse, R.; Rajashekara, G. Strategies for the Preparation of Chitosan Derivatives for Antimicrobial, Drug Delivery, and Agricultural Applications: A Review. Molecules 2023, 28, 7659. [Google Scholar] [CrossRef]
- Garcinuño, S.; Aranaz, I.; Civera, C.; Arias, C.; Acosta, N. Evaluating Non-Conventional Chitosan Sources for Controlled Release of Risperidone. Polymers 2022, 14, 1355. [Google Scholar] [CrossRef]
- Haider, A.; Khan, S.; Iqbal, D.N.; Shrahili, M.; Haider, S.; Mohammad, K.; Mohammad, A.; Rizwan, M.; Kanwal, Q.; Mustafa, G. Advances in chitosan-based drug delivery systems: A comprehensive review for therapeutic applications. Eur. Polym. J. 2024, 210, 112983. [Google Scholar] [CrossRef]
- Matica, M.A.; Aachmann, F.L.; Tøndervik, A.; Sletta, H.; Ostafe, V. Chitosan as a wound dressing starting material: Antimicrobial properties and mode of action. Int. J. Mol. Sci. 2019, 20, 5889. [Google Scholar] [CrossRef]
- Che, X.; Zhao, T.; Hu, J.; Yang, K.; Ma, N.; Li, A.; Sun, Q.; Ding, C.; Ding, Q. Application of Chitosan-Based Hydrogel in Promoting Wound Healing: A Review. Polymers 2024, 16, 344. [Google Scholar] [CrossRef]
- Biswal, A.; Purohit, S.S.; Swain, S.K. Chitosan based composite scaffolds in skin wound repair: A review. J. Drug Deliv. Sci. Technol. 2023, 84, 104549. [Google Scholar] [CrossRef]
- Jayabal, P.; Kannan Sampathkumar, V.; Vinothkumar, A.; Mathapati, S.; Pannerselvam, B.; Achiraman, S.; Venkatasubbu, G.D. Fabrication of a Chitosan-Based Wound Dressing Patch for Enhanced Antimicrobial, Hemostatic, and Wound Healing Application. ACS Appl. Bio Mater. 2023, 6, 615–627. [Google Scholar] [CrossRef]
- Teixeira-Santos, R.; Lima, M.; Gomes, L.C.; Mergulhão, F.J. Antimicrobial coatings based on chitosan to prevent implant-associated infections: A systematic review. iScience 2021, 24, 103480. [Google Scholar] [CrossRef] [PubMed]
- Paradowska-Stolarz, A.; Mikulewicz, M.; Laskowska, J.; Karolewicz, B.; Owczarek, A. The Importance of Chitosan Coatings in Dentistry. Mar. Drugs 2023, 21, 613. [Google Scholar] [CrossRef] [PubMed]
- Yilmaz Atay, H. Antibacterial activity of chitosan-based systems. In Functional Chitosan: Drug Delivery and Biomedical Applications; Springer: Singapore, 2020; pp. 457–489. [Google Scholar]
- Sarfraz, M.H.; Hayat, S.; Siddique, M.H.; Aslam, B.; Ashraf, A.; Saqalein, M.; Khurshid, M.; Sarfraz, M.F.; Afzal, M.; Muzammil, S. Chitosan based coatings and films: A perspective on antimicrobial, antioxidant, and intelligent food packaging. Prog. Org. Coat. 2024, 188, 108235. [Google Scholar] [CrossRef]
- Affes, S.; Aranaz, I.; Acosta, N.; Heras, Á.; Nasri, M.; Maalej, H. Physicochemical and biological properties of chitosan derivatives with varying molecular weight produced by chemical depolymerization. Biomass-Convers. Biorefinery 2022, 14, 4111–4121. [Google Scholar] [CrossRef]
- Markushin, S.G.; Akopova, I.I.; Blagodatskikh, I.V.; Kulikov, S.N.; Bezrodnykh, E.A.; Muranov, A.V.; Yamskov, I.A.; Tikhonov, V.E. Effect of molecular weight and degree of acetylation on adjuvantive properties of chitosan derivatives. Appl. Biochem. Microbiol. 2018, 54, 512–517. [Google Scholar] [CrossRef]
- Shariatinia, Z. Pharmaceutical applications of chitosan. Adv. Colloid Interface Sci. 2019, 263, 131–194. [Google Scholar] [CrossRef] [PubMed]
- de Oliveira, W.F.; Sales Albuquerque, P.B.; Ribeiro Rodrigues, N.E.; dos Santos Silva, P.M.; Kennedy, J.F.; dos Santos Correia, M.T.; Breitenbach Barroso Coelho, L.C. Pharmaceutical applications of chitosan on medical implants: A viable alternative for construction of new biomaterials? Carbohydr. Polym. Technol. Appl. 2024, 7, 100407. [Google Scholar] [CrossRef]
- Iqbal, Y.; Ahmed, I.; Irfan, M.F.; Chatha, S.A.S.; Zubair, M.; Ullah, A. Recent advances in chitosan-based materials; The synthesis, modifications and biomedical applications. Carbohydr. Polym. 2023, 321, 121318. [Google Scholar] [CrossRef] [PubMed]
- Tian, B.R.; Liu, Y.M. Chitosan-based biomaterials: From discovery to food application. Polym. Adv. Technol. 2020, 31, 2408–2421. [Google Scholar] [CrossRef]
- Zubair, M.; Arshad, M.; Ullah, A. Chapter 25—Chitosan-based materials for water and wastewater treatment. In Handbook of Chitin and Chitosan; Gopi, S., Thomas, S., Pius, A., Eds.; Elsevier: Amsterdam, The Netherlands, 2020; pp. 773–809. [Google Scholar]
- Qin, C.; Li, H.; Xiao, Q.; Liu, Y.; Zhu, J.; Du, Y. Water-solubility of chitosan and its antimicrobial activity. Carbohydr. Polym. 2006, 63, 367–374. [Google Scholar] [CrossRef]
- Akpan, E.I.; Gbenebor, O.P.; Adeosun, S.O.; Cletus, O. Solubility, degree of acetylation, and distribution of acetyl groups in chitosan. In Handbook of Chitin and Chitosan: Volume 1: Preparation and Properties; Elsevier: Amsterdam, The Netherlands, 2020; pp. 131–164. [Google Scholar]
- Tong, Z.; Zeng, S.; Tang, H.; Wang, W.; Sun, Y.; Xia, Q.; Yu, H. A room temperature dissolution solvent and its mechanism for natural biopolymers: Hydrogen bonding interaction investigation. Green Chem. 2023, 25, 5086–5096. [Google Scholar] [CrossRef]
- Das, A.; Ringu, T.; Ghosh, S.; Pramanik, N. A comprehensive review on recent advances in preparation, physicochemical characterization, and bioengineering applications of biopolymers. Polym. Bull. 2023, 80, 7247–7312. [Google Scholar] [CrossRef]
- Brasselet, C.; Pierre, G.; Dubessay, P.; Dols-Lafargue, M.; Coulon, J.; Maupeu, J.; Vallet-Courbin, A.; de Baynast, H.; Doco, T.; Michaud, P.; et al. Modification of chitosan for the generation of functional derivatives. Appl. Sci. 2019, 9, 33. [Google Scholar] [CrossRef]
- Kaczmarek, M.B.; Struszczyk-Swita, K.; Li, X.; Szczęsna-Antczak, M.; Daroch, M. Enzymatic modifications of chitin, chitosan, and chitooligosaccharides. Front. Bioeng. Biotechnol. 2019, 7, 243. [Google Scholar] [CrossRef] [PubMed]
- Arnold, N.D.; Bruck, W.M.; Garbe, D.; Bruck, T.B. Enzymatic Modification of Native Chitin and Conversion to Specialty Chemical Products. Mar. Drugs 2020, 18, 27. [Google Scholar] [CrossRef] [PubMed]
- Chapelle, C.; David, G.; Caillol, S.; Negrell, C.; Le Foll, M.D. Advances in chitooligosaccharides chemical modifications. Biopolymers 2022, 18, e23461. [Google Scholar] [CrossRef] [PubMed]
- Prasad, K.; Sharma, M. Green solvents for the dissolution and processing of biopolymers. Curr. Opin. Green Sustain. Chem. 2019, 18, 72–78. [Google Scholar] [CrossRef]
- Sequeira, R.A.; Mondal, D.; Prasad, K.; Mondal, D. Neoteric solvent-based blue biorefinery: For chemicals, functional materials and fuels from oceanic biomass. Green Chem. 2021, 23, 8821–8847. [Google Scholar] [CrossRef]
- Abranches, D.O.; Coutinho, J.A.P. Everything You Wanted to Know about Deep Eutectic Solvents but Were Afraid to Be Told. Annu. Rev. Chem. Biomol. Eng. 2023, 14, 141–163. [Google Scholar] [CrossRef] [PubMed]
- Lončarić, M.; Jakobek, L.; Molnar, M. Deep Eutectic Solvents in the Production of Biopolymer-Based Materials. Croat. Chem. Acta 2021, 94, 75–82. [Google Scholar] [CrossRef]
- McReynolds, C.; Adrien, A.; Castejon, N.; Fernandes, S.C.M. Green in the deep blue: Deep eutectic solvents as versatile systems for the processing of marine biomass. Green Chem. Lett. Rev. 2022, 15, 382–403. [Google Scholar] [CrossRef]
- Nguyen, C.-H.; Augis, L.; Fourmentin, S.; Barratt, G.; Legrand, F.-X. Deep eutectic solvents for innovative pharmaceutical formulations. In Deep Eutectic Solvents for Medicine, Gas Solubilization and Extraction of Natural Substances; Fourmentin, S., Costa Gomes, M., Lichtfouse, E., Eds.; Springer International Publishing: Cham, Switzerland, 2021; pp. 41–102. [Google Scholar]
- Zdanowicz, M.; Wilpiszewska, K.; Spychaj, T. Deep eutectic solvents for polysaccharides processing. A review. Carbohydr. Polym. 2018, 200, 361–380. [Google Scholar] [CrossRef]
- Hansen, B.B.; Spittle, S.; Chen, B.; Poe, D.; Zhang, Y.; Klein, J.M.; Horton, A.; Adhikari, L.; Zelovich, T.; Doherty, B.W.; et al. Deep Eutectic Solvents: A Review of Fundamentals and Applications. Chem. Rev. 2021, 121, 1232–1285. [Google Scholar] [CrossRef]
- González-Campos, J.B.; Pérez-Nava, A.; Valle-Sánchez, M.; Delgado-Rangel, L.H. Deep eutectic solvents applications aligned to 2030 United Nations Agenda for Sustainable Development. Chem. Eng. Process.-Process. Intensif. 2024, 199, 109751. [Google Scholar] [CrossRef]
- Kist, J.A.; Zhao, H.; Mitchell-Koch, K.R.; Baker, G.A. The study and application of biomolecules in deep eutectic solvents. J. Mater. Chem. B 2021, 9, 536–566. [Google Scholar] [CrossRef] [PubMed]
- Jesus, A.R.; Paiva, A.; Duarte, A.R.C. Current developments and future perspectives on biotechnology applications of natural deep eutectic systems. Curr. Opin. Green Sustain. Chem. 2023, 39, 100731. [Google Scholar] [CrossRef]
- Falcini, C.; de Gonzalo, G. Deep Eutectic Solvents as Catalysts in the Synthesis of Active Pharmaceutical Ingredients and Precursors. Catalysts 2024, 14, 16. [Google Scholar] [CrossRef]
- Carreiro, E.P.; Federsel, H.-J.; Hermann, G.J.; Burke, A.J. Stereoselective Catalytic Synthesis of Bioactive Compounds in Natural Deep Eutectic Solvents (NADESs): A Survey across the Catalytic Spectrum. Catalysts 2024, 14, 160. [Google Scholar] [CrossRef]
- Zhang, N.N.; de Maria, P.D.; Kara, S.; Salomone, A. Biocatalysis for the Synthesis of Active Pharmaceutical Ingredients in Deep Eutectic Solvents: State-of-the-Art and Prospects. Catalysts 2024, 14, 84. [Google Scholar] [CrossRef]
- Domingues, L.; Duarte, A.R.C.; Jesus, A.R. How Can Deep Eutectic Systems Promote Greener Processes in Medicinal Chemistry and Drug Discovery? Pharmaceuticals 2024, 17, 28. [Google Scholar] [CrossRef]
- Choi, Y.H.; van Spronsen, J.; Dai, Y.; Verberne, M.; Hollmann, F.; Arends, I.W.C.E.; Witkamp, G.J.; Verpoorte, R. Are natural deep eutectic solvents the missing link in understanding cellular metabolism and physiology? Plant Physiol. 2011, 156, 1701–1705. [Google Scholar] [CrossRef]
- Dai, Y.; van Spronsen, J.; Witkamp, G.J.; Verpoorte, R.; Choi, Y.H. Natural deep eutectic solvents as new potential media for green technology. Anal. Chim. Acta 2013, 766, 61–68. [Google Scholar] [CrossRef]
- Paiva, A.; Craveiro, R.; Aroso, I.; Martins, M.; Reis, R.L.; Duarte, A.R.C. Natural deep eutectic solvents—Solvents for the 21st century. ACS Sustain. Chem. Eng. 2014, 2, 1063–1071. [Google Scholar] [CrossRef]
- Liu, Y.; Friesen, J.B.; McAlpine, J.B.; Lankin, D.C.; Chen, S.N.; Pauli, G.F. Natural Deep Eutectic Solvents: Properties, Applications, and Perspectives. J. Nat. Prod. 2018, 81, 679–690. [Google Scholar] [CrossRef] [PubMed]
- Espino, M.; de los Ángeles Fernández, M.; Gomez, F.J.V.; Silva, M.F. Natural designer solvents for greening analytical chemistry. TrAC Trends Anal. Chem. 2016, 76, 126–136. [Google Scholar] [CrossRef]
- Li, X.; Li, J.Y.; Manzoor, M.F.; Lin, Q.Y.; Shen, J.L.; Liao, L.; Zeng, X.A. Natural deep eutectic solvent: A promising eco-friendly food bio-inspired antifreezing. Food Chem. 2024, 437, 137808. [Google Scholar] [CrossRef]
- Villa, C.; Caviglia, D.; Robustelli della Cuna, F.S.; Zuccari, G.; Russo, E. NaDES Application in Cosmetic and Pharmaceutical Fields: An Overview. Gels 2024, 10, 107. [Google Scholar] [CrossRef] [PubMed]
- Lapeña, D.; Errazquin, D.; Lomba, L.; Lafuente, C.; Giner, B. Ecotoxicity and biodegradability of pure and aqueous mixtures of deep eutectic solvents: Glyceline, ethaline, and reline. Environ. Sci. Pollut. Res. 2021, 28, 8812–8821. [Google Scholar] [CrossRef] [PubMed]
- Azzouz, A.; Hayyan, M. Are deep eutectic solvents biodegradable? Process Saf. Environ. Protect. 2023, 176, 1021–1025. [Google Scholar] [CrossRef]
- Sharma, A.; Lee, B.S. Toxicity test profile for deep eutectic solvents: A detailed review and future prospects. Chemosphere 2024, 350, 141097. [Google Scholar] [CrossRef] [PubMed]
- Hayyan, M.; Mbous, Y.P.; Looi, C.Y.; Wong, W.F.; Hayyan, A.; Salleh, Z.; Mohd-Ali, O. Natural deep eutectic solvents: Cytotoxic profile. SpringerPlus 2016, 5, 913. [Google Scholar] [CrossRef] [PubMed]
- Hooshmand, S.E.; Kumar, S.; Bahadur, I.; Singh, T.; Varma, R.S. Deep eutectic solvents as reusable catalysts and promoter for the greener syntheses of small molecules: Recent advances. J. Mol. Liq. 2023, 371, 121013. [Google Scholar] [CrossRef]
- Domínguez de María, P.; Kara, S.; Kara, S. On the fate of deep eutectic solvents after their use as reaction media: The CO2 production during downstream and ultimate disposal. RSC Sustain. 2024, 2, 608–615. [Google Scholar] [CrossRef]
- Azzouz, A.; Hayyan, M. Techno-economic feasibility analysis: The missing piece in the puzzle of deep eutectic solvents. Sustain. Mater. Technol. 2024, 39, e00795. [Google Scholar] [CrossRef]
- Oyatogun, G.M.; Esan, T.A.; Akpan, E.I.; Adeosun, S.O.; Popoola, A.P.I.; Imasogie, B.I.; Soboyejo, W.O.; Afonja, A.A.; Ibitoye, S.A.; Abere, V.D.; et al. Chitin, chitosan, marine to market. In Handbook of Chitin and Chitosan: Volume 3: Chitin- and Chitosan-Based Polymer Materials for Various Applications; Elsevier: Amsterdam, The Netherlands, 2020; pp. 341–381. [Google Scholar]
- Younes, I.; Hajji, S.; Rinaudo, M.; Chaabouni, M.; Jellouli, K.; Nasri, M. Optimization of proteins and minerals removal from shrimp shells to produce highly acetylated chitin. Int. J. Biol. Macromol. 2016, 84, 246–253. [Google Scholar] [CrossRef] [PubMed]
- Aldila, H.; Asmar; Fabiani, V.A.; Dalimunthe, D.Y.; Irwanto, R. The effect of deproteinization temperature and NaOH concentration on deacetylation step in optimizing extraction of chitosan from shrimp shells waste. IOP Conf. Ser. Earth Environ. Sci. 2020, 599, 012003. [Google Scholar] [CrossRef]
- Maddaloni, M.; Vassalini, I.; Alessandri, I. Green Routes for the Development of Chitin/Chitosan Sustainable Hydrogels. Sustain. Chem. 2020, 1, 325–344. [Google Scholar] [CrossRef]
- Mohan, K.; Ganesan, A.R.; Ezhilarasi, P.N.; Kondamareddy, K.K.; Rajan, D.K.; Sathishkumar, P.; Rajarajeswaran, J.; Conterno, L. Green and eco-friendly approaches for the extraction of chitin and chitosan: A review. Carbohydr. Polym. 2022, 287, 24. [Google Scholar] [CrossRef] [PubMed]
- Baranwal, J.; Barse, B.; Fais, A.; Delogu, G.L.; Kumar, A. Biopolymer: A Sustainable Material for Food and Medical Applications. Polymers 2022, 14, 983. [Google Scholar] [CrossRef] [PubMed]
- Khajavian, M.; Vatanpour, V.; Castro-Muñoz, R.; Boczkaj, G. Chitin and derivative chitosan-based structures—Preparation strategies aided by deep eutectic solvents: A review. Carbohydr. Polym. 2022, 275, 118702. [Google Scholar] [CrossRef] [PubMed]
- Sharma, M.; Mukesh, C.; Mondal, D.; Prasad, K. Dissolution of α-chitin in deep eutectic solvents. RSC Adv. 2013, 3, 18149–18155. [Google Scholar] [CrossRef]
- Vicente, F.A.; Bradić, B.; Novak, U.; Likozar, B. α-Chitin dissolution, N-deacetylation and valorization in deep eutectic solvents. Biopolymers 2020, 111, e23351. [Google Scholar] [CrossRef]
- Wang, X.; Zhou, P.; Lv, X.; Liang, Y. Insight into the structure-function relationships of the solubility of chitin/chitosan in natural deep eutectic solvents. Mater. Today Commun. 2021, 27, 102374. [Google Scholar] [CrossRef]
- Zhu, P.; Gu, Z.J.; Hong, S.; Lian, H.L. One-pot production of chitin with high purity from lobster shells using choline chloride-malonic acid deep eutectic solvent. Carbohydr. Polym. 2017, 177, 217–223. [Google Scholar] [CrossRef]
- Hong, S.; Yuan, Y.; Yang, Q.R.; Zhu, P.; Lian, H.L. Versatile acid base sustainable solvent for fast extraction of various molecular weight chitin from lobster shell. Carbohydr. Polym. 2018, 201, 211–217. [Google Scholar] [CrossRef] [PubMed]
- Saravana, P.S.; Ho, T.C.; Chae, S.J.; Cho, Y.J.; Park, J.S.; Lee, H.J.; Chun, B.S. Deep eutectic solvent-based extraction and fabrication of chitin films from crustacean waste. Carbohydr. Polym. 2018, 195, 622–630. [Google Scholar] [CrossRef] [PubMed]
- Sun, X.; Wei, Q.; Yang, Y.; Xiao, Z.; Ren, X. In-depth study on the extraction and mechanism of high-purity chitin based on NADESs method. J. Environ. Chem. Eng. 2022, 10, 106859. [Google Scholar] [CrossRef]
- He, Y.; Liu, Y.; Luo, J.; Mao, X.; Huang, W.C. Efficient Room-Temperature Chitin Extraction Using a Novel Ternary Deep Eutectic Solvent with Improved Molecular Mobility and Enhanced Recyclability. ACS Sustain. Chem. Eng. 2024, 12, 751–759. [Google Scholar] [CrossRef]
- Lv, J.; Fang, Y.; Wang, D.; Wu, M.; Zhang, W.; Ou, X.; Li, H.; Shang, L.; Li, Z.; Zhao, Y. Green preparation of β-chitins from squid pens by using alkaline deep eutectic solvents. Int. J. Biol. Macromol. 2023, 253, 126767. [Google Scholar] [CrossRef] [PubMed]
- McReynolds, C.; Adrien, A.; de Fraissinette, N.B.; Olza, S.; Fernandes, S.C.M. Deep eutectic solvents for the extraction of β-chitin from Loligo vulgaris squid pens: A sustainable way to valorize fishery by-products. Biomass Convers. Biorefinery 2022, 1–13. [Google Scholar] [CrossRef]
- Zhou, P.F.; Li, J.B.; Yan, T.; Wang, X.P.; Huang, J.; Kuang, Z.S.; Ye, M.Q.; Pan, M.S. Selectivity of deproteinization and demineralization using natural deep eutectic solvents for production of insect chitin (Hermetia illucens). Carbohydr. Polym. 2019, 225, 9. [Google Scholar] [CrossRef]
- Ozel, N.; Elibol, M. Chitin and chitosan from mushroom (Agaricus bisporus) using deep eutectic solvents. Int. J. Biol. Macromol. 2024, 262, 130110. [Google Scholar] [CrossRef]
- D’Agostino, C.; Harris, R.C.; Abbott, A.P.; Gladden, L.F.; Mantle, M.D. Molecular motion and ion diffusion in choline chloride based deep eutectic solvents studied by 1H pulsed field gradient NMR spectroscopy. Phys. Chem. Chem. Phys. 2011, 13, 21383–21391. [Google Scholar] [CrossRef] [PubMed]
- Youn, D.K.; No, H.K.; Prinyawiwatkul, W. Preparation and characterisation of selected physicochemical and functional properties of β-chitosans from squid pen. Int. J. Food Sci. Technol. 2013, 48, 1661–1669. [Google Scholar] [CrossRef]
- Vicente, F.A.; Huš, M.; Likozar, B.; Novak, U. Chitin Deacetylation Using Deep Eutectic Solvents: Ab Initio-Supported Process Optimization. ACS Sustain. Chem. Eng. 2021, 9, 3874–3886. [Google Scholar] [CrossRef] [PubMed]
- Sun, X.; Wang, Y.; Yu, J.; Wei, Q.; Ren, X. Study on the deacetylation and mechanism of chitin in natural deep eutectic solvent. Int. J. Biol. Macromol. 2024, 255, 127698. [Google Scholar] [CrossRef]
- Romero, E.O.; Saucedo, A.T.; Hernández-Meléndez, J.R.; Yang, D.; Chakrabarty, S.; Narayan, A.R.H. Enabling Broader Adoption of Biocatalysis in Organic Chemistry. JACS Au 2023, 3, 2073–2085. [Google Scholar] [CrossRef] [PubMed]
- Zetzsche, L.E.; Chakrabarty, S.; Narayan, A.R.H. The Transformative Power of Biocatalysis in Convergent Synthesis. J. Am. Chem. Soc. 2022, 144, 5214–5225. [Google Scholar] [CrossRef] [PubMed]
- Winkler, C.K.; Schrittwieser, J.H.; Kroutil, W. Power of Biocatalysis for Organic Synthesis. ACS Cent. Sci. 2021, 7, 55–71. [Google Scholar] [CrossRef]
- Alcántara, A.R.; Domínguez de María, P.; Littlechild, J.A.; Schürmann, M.; Sheldon, R.A.; Wohlgemuth, R. Biocatalysis as Key to Sustainable Industrial Chemistry. ChemSusChem 2022, 15, e202102709. [Google Scholar] [CrossRef]
- Buller, R.; Lutz, S.; Kazlauskas, R.J.; Snajdrova, R.; Moore, J.C.; Bornscheuer, U.T. From nature to industry: Harnessing enzymes for biocatalysis. Science 2023, 382, eadh8615. [Google Scholar] [CrossRef]
- Sheldon, R.A.; Brady, D. Green Chemistry, Biocatalysis, and the Chemical Industry of the Future. ChemSusChem 2022, 15, e202102628. [Google Scholar] [CrossRef]
- Sheldon, R.A.; Woodley, J.M. Role of Biocatalysis in Sustainable Chemistry. Chem. Rev. 2018, 118, 801–838. [Google Scholar] [CrossRef] [PubMed]
- Lozano, P.; García-Verdugo, E. From green to circular chemistry paved by biocatalysis. Green Chem. 2023, 25, 7041–7057. [Google Scholar] [CrossRef]
- Gallou, F.; Gröger, H.; Lipshutz, B.H. Status check: Biocatalysis; it’s use with and without chemocatalysis. How does the fine chemicals industry view this area? Green Chem. 2023, 25, 6092–6107. [Google Scholar] [CrossRef]
- de María, P.D. Green solvents and biocatalysis: A bigger picture. EFB Bioecon. J. 2023, 3, 100056. [Google Scholar] [CrossRef]
- Lozano, P. Biocatalysis in Green Solvents; Academic Press: Cambridge, MA, USA, 2022. [Google Scholar] [CrossRef]
- Miele, M.; Ielo, L.; Pace, V.; Alcántara, A.R. Biocatalysis in green biosolvents. In Greener Synthesis of Organic Compounds, 1st ed.; Nag, A., Ed.; CRC Press: Boca Raton, FL, USA, 2022. [Google Scholar]
- Paul, C.E.; Gotor-Fernández, V. Applied biocatalysis in deep eutectic solvents. In Biocatalysis in Green Solvents; Elsevier: Amsterdam, The Netherlands, 2022; pp. 467–510. [Google Scholar]
- Patzold, M.; Siebenhaller, S.; Kara, S.; Liese, A.; Syldatk, C.; Holtmann, D. Deep Eutectic Solvents as efficient solvents in biocatalysis. Trends Biotechnol. 2019, 37, 943–959. [Google Scholar] [CrossRef] [PubMed]
- Gotor-Fernandez, V.; Paul, C.E. Deep eutectic solvents for redox biocatalysis. J. Biotechnol. 2019, 293, 24–35. [Google Scholar] [CrossRef]
- Xu, P.; Zheng, G.W.; Zong, M.H.; Li, N.; Lou, W.Y. Recent progress on deep eutectic solvents in biocatalysis. Bioresour. Bioprocess. 2017, 4, 18. [Google Scholar] [CrossRef]
- Turner, N.J.; Kumar, R. Editorial overview: Biocatalysis and biotransformation: The golden age of biocatalysis. Curr. Opin. Chem. Biol. 2018, 43, A1–A3. [Google Scholar] [CrossRef]
- Poshina, D.N.; Raik, S.V.; Poshin, A.N.; Skorik, Y.A. Accessibility of chitin and chitosan in enzymatic hydrolysis: A review. Polym. Degrad. Stabil. 2018, 156, 269–278. [Google Scholar] [CrossRef]
- Poshina, D.N.; Raik, S.V.; Sukhova, A.A.; Tyshkunova, I.V.; Romanov, D.P.; Eneyskaya, E.V.; Kulminskaya, A.A.; Skorik, Y.A. Nonspecific enzymatic hydrolysis of a highly ordered chitopolysaccharide substrate. Carbohydr. Res. 2020, 498, 6. [Google Scholar] [CrossRef]
- Schmitz, C.; Auza, L.G.; Koberidze, D.; Rasche, S.; Fischer, R.; Bortesi, L. Conversion of chitin to defined chitosan oligomers: Current status and future prospects. Mar. Drugs 2019, 17, 22. [Google Scholar] [CrossRef] [PubMed]
- Bonin, M.; Irion, A.L.; Jürß, A.; Pascual, S.; Cord-Landwehr, S.; Planas, A.; Moerschbacher, B.M. Engineering of a chitin deacetylase to generate tailor-made chitosan polymers. PloS Biol. 2024, 22, e3002459. [Google Scholar] [CrossRef] [PubMed]
- Bonin, M.; Sreekumar, S.; Cord-Landwehr, S.; Moerschbacher, B.M. Preparation of defined Chitosan oligosaccharides using chitin deacetylases. Int. J. Mol. Sci. 2020, 21, 7835. [Google Scholar] [CrossRef] [PubMed]
- Huang, Z.; Lv, X.; Sun, G.; Mao, X.; Lu, W.; Liu, Y.; Li, J.; Du, G.; Liu, L. Chitin deacetylase: From molecular structure to practical applications. Syst. Microbiol. Biomanuf. 2022, 2, 271–284. [Google Scholar] [CrossRef]
- Grifoll-Romero, L.; Pascual, S.; Aragunde, H.; Biarnés, X.; Planas, A. Chitin deacetylases: Structures, specificities, and biotech applications. Polymers 2018, 10, 352. [Google Scholar] [CrossRef] [PubMed]
- Mahajan, G.; Sharma, V.; Gupta, R. Chitinase: A potent biocatalyst and its diverse applications. Biocatal. Biotransform. 2024, 42, 85–109. [Google Scholar] [CrossRef]
- Singh, R.V.; Sambyal, K.; Negi, A.; Sonwani, S.; Mahajan, R. Chitinases production: A robust enzyme and its industrial applications. Biocatal. Biotransform. 2021, 39, 161–189. [Google Scholar] [CrossRef]
- Thadathil, N.; Velappan, S.P. Recent developments in chitosanase research and its biotechnological applications: A review. Food Chem. 2014, 150, 392–399. [Google Scholar] [CrossRef] [PubMed]
- Sinha, S.; Chand, S.; Tripathi, P. Recent Progress in Chitosanase Production of Monomer-Free Chitooligosaccharides: Bioprocess Strategies and Future Applications. Appl. Biochem. Biotechnol. 2016, 180, 883–899. [Google Scholar] [CrossRef]
- Weikert, T.; Niehues, A.; Cord-Landwehr, S.; Hellmann, M.J.; Moerschbacher, B.M. Reassessment of chitosanase substrate specificities and classification. Nat. Commun. 2017, 8, 1698. [Google Scholar] [CrossRef]
- Schomburg, D.; Schomburg, I. exo-1,4-β-d-glucosaminidase 3.2.1.165. In Class 2–3.2 Transferases, Hydrolases: EC 2–3.2; Schomburg, D., Schomburg, I., Eds.; Springer: Berlin/Heidelberg, Germany, 2013; pp. 613–623. [Google Scholar]
- Guo, M.; Wei, X.; Chen, S.; Xiao, J.; Huang, D. Enhancing nonspecific enzymatic hydrolysis of chitin to oligosaccharides pretreated by acid and green solvents under simultaneous microwave-radiation. Int. J. Biol. Macromol. 2022, 209, 631–641. [Google Scholar] [CrossRef] [PubMed]
- Wang, Y.; Zhang, A.; Mo, X.; Zhou, N.; Yang, S.; Chen, K.; Ouyang, P. The effect of ultrasonication on enzymatic hydrolysis of chitin to N-acetyl glucosamine via sequential and simultaneous strategies. Process Biochem. 2020, 99, 265–269. [Google Scholar] [CrossRef]
- Therien, J.P.D.; Hammerer, F.; Friščić, T.; Auclair, K. Mechanoenzymatic Breakdown of Chitinous Material to N-Acetylglucosamine: The Benefits of a Solventless Environment. ChemSusChem 2019, 12, 3481–3490. [Google Scholar] [CrossRef] [PubMed]
- Yu, X.; Jiang, Z.; Xu, X.; Huang, C.; Yao, Z.; Yang, X.; Zhang, Y.; Wang, D.; Wei, C.; Zhuang, X. Mechano-Enzymatic Degradation of the Chitin from Crustacea Shells for Efficient Production of N-acetylglucosamine (GlcNAc). Molecules 2022, 27, 4720. [Google Scholar] [CrossRef] [PubMed]
- Lv, J.; Zhang, Y.; Ma, M.; Oh, D.H.; Fu, X. Characterization of chitinase from Exiguobacterium antarcticum and its bioconversion of crayfish shell into chitin oligosaccharides. Food Res. Int. 2022, 158, 111517. [Google Scholar] [CrossRef] [PubMed]
- Wang, J.; Zhu, M.; Wang, P.; Chen, W. Biochemical Properties of a Cold-Active Chitinase from Marine Trichoderma gamsii R1 and Its Application to Preparation of Chitin Oligosaccharides. Mar. Drugs 2023, 21, 332. [Google Scholar] [CrossRef] [PubMed]
- Nguyen, K.D. Chitin hydrogel prepared at various temperature of water vapor-induced phase inversion. Cell. Chem. Technol. 2022, 56, 585–591. [Google Scholar] [CrossRef]
- Borja-Urzola, A.D.; García-Gómez, R.S.; Flores, R.; Durán-Domínguez-de-Bazúa, M.D. Chitosan from shrimp residues with a saturated solution of calcium chloride in methanol and water. Carbohydr. Res. 2020, 497, 9. [Google Scholar] [CrossRef] [PubMed]
- Ramírez-Wong, D.G.; Ramírez-Cardona, M.; Sánchez-Leija, R.J.; Rugerio, A.; Mauricio-Sánchez, R.A.; Hernández-Landaverde, M.A.; Carranza, A.; Pojman, J.A.; Garay-Tapia, A.M.; Prokhorov, E.; et al. Sustainable-solvent-induced polymorphism in chitin films. Green Chem. 2016, 18, 4303–4311. [Google Scholar] [CrossRef]
- Zhou, N.; Yang, P.; Chen, J.; Wei, G.; Wang, C.; Zhang, A.; Chen, K.; Ouyang, P. Effect of organic solvents treatment on structure of chitin and its enzymatic hydrolysis. Polym. Degrad. Stab. 2022, 198, 109654. [Google Scholar] [CrossRef]
- Arnodo, D.; Maffeis, E.; Marra, F.; Nejrotti, S.; Prandi, C. Combination of Enzymes and Deep Eutectic Solvents as Powerful Toolbox for Organic Synthesis. Molecules 2023, 28, 516. [Google Scholar] [CrossRef] [PubMed]
- Freitas, E.D.; Moura, C.F.; Kerwald, J.; Beppu, M.M. An Overview of Current Knowledge on the Properties, Synthesis and Applications of Quaternary Chitosan Derivatives. Polymers 2020, 12, 41. [Google Scholar] [CrossRef] [PubMed]
- Andreica, B.I.; Cheng, X.J.; Marin, L. Quaternary ammonium salts of chitosan. A critical overview on the synthesis and properties generated by quaternization. Eur. Polym. J. 2020, 139, 16. [Google Scholar] [CrossRef]
- Borandeh, S.; Laurén, I.; Teotia, A.; Niskanen, J.; Seppälä, J. Dual functional quaternary chitosans with thermoresponsive behavior: Structure-activity relationships in antibacterial activity and biocompatibility. J. Mater. Chem. B 2023, 11, 11300–11309. [Google Scholar] [CrossRef] [PubMed]
- Arafa, E.G.; Sabaa, M.W.; Mohamed, R.R.; Kamel, E.M.; Elzanaty, A.M.; Mahmoud, A.M.; Abdel-Gawad, O.F. Eco-friendly and biodegradable sodium alginate/quaternized chitosan hydrogel for controlled release of urea and its antimicrobial activity. Carbohydr. Polym. 2022, 291, 14. [Google Scholar] [CrossRef] [PubMed]
- Qiu, Y.L.; Li, Y.X.; Zhang, G.L.; Hao, H.S.; Hou, H.M.; Bi, J.R. Quaternary-ammonium chitosan, a promising packaging material in the food industry. Carbohydr. Polym. 2024, 323, 14. [Google Scholar] [CrossRef] [PubMed]
- Marin, L.; Andreica, B.I.; Anisiei, A.; Cibotaru, S.; Bardosova, M.; Materon, E.M.; Oliveira, O.N. Quaternized chitosan (nano)fibers: A journey from preparation to high performance applications. Int. J. Biol. Macromol. 2023, 242, 24. [Google Scholar] [CrossRef] [PubMed]
- Bangde, P.S.; Jain, R.; Dandekar, P. Alternative approach to synthesize methylated chitosan using deep eutectic solvents, biocatalyst and “green” methylating agents. ACS Sustain. Chem. Eng. 2016, 4, 3552–3557. [Google Scholar] [CrossRef]
- Mahajan, T.; Bangde, P.; Dandekar, P.; Jain, R. Greener approach for synthesis of N,N,N-trimethyl chitosan (TMC) using ternary deep eutectic solvents (TDESs). Carbohydr. Res. 2020, 493, 108033. [Google Scholar] [CrossRef]
- Dilnawaz, F.; Acharya, S.; Kanungo, A. A clinical perspective of chitosan nanoparticles for infectious disease management. Polym. Bull. 2024, 81, 1071–1095. [Google Scholar] [CrossRef]
- Ul-Islam, M.; Alabbosh, K.F.; Manan, S.; Khan, S.; Ahmad, F.; Ullah, M.W. Chitosan-based nanostructured biomaterials: Synthesis, properties, and biomedical applications. Adv. Ind. Eng. Polym. Res. 2024, 7, 79–99. [Google Scholar] [CrossRef]
- Priyanka, D.N.; Prashanth, K.V.H.; Tharanathan, R.N. A review on potential anti-diabetic mechanisms of chitosan and its derivatives. Carbohydr. Polym. Technol. Appl. 2022, 3, 100188. [Google Scholar] [CrossRef]
- Tzeng, H.P.; Liu, S.H.; Chiang, M.T. Antidiabetic Properties of Chitosan and Its Derivatives. Mar. Drugs 2022, 20, 784. [Google Scholar] [CrossRef] [PubMed]
- Kalitnik, A.; Grelich-Mucha, M.; Olesiak-Bańska, J. Chitosan oligosaccharides inhibit the fibrillation of insulin and disassemble its preformed fibrils. Int. J. Biol. Macromol. 2024, 254, 127857. [Google Scholar] [CrossRef] [PubMed]
- Sarkar, S.; Das, D.; Dutta, P.; Kalita, J.; Wann, S.B.; Manna, P. Chitosan: A promising therapeutic agent and effective drug delivery system in managing diabetes mellitus. Carbohydr. Polym. 2020, 247, 116594. [Google Scholar] [CrossRef] [PubMed]
- Chang, S.H.; Lin, Y.Y.; Wu, G.J.; Huang, C.H.; Tsai, G.J. Effect of chitosan molecular weight on anti-inflammatory activity in the RAW 264.7 macrophage model. Int. J. Biol. Macromol. 2019, 131, 167–175. [Google Scholar] [CrossRef] [PubMed]
- Niu, W.; Dong, Y.; Fu, Z.; Lv, J.; Wang, L.; Zhang, Z.; Huo, J.; Ju, J. Effects of molecular weight of chitosan on anti-inflammatory activity and modulation of intestinal microflora in an ulcerative colitis model. Int. J. Biol. Macromol. 2021, 193, 1927–1936. [Google Scholar] [CrossRef] [PubMed]
- Yamabhai, M.; Khamphio, M.; Min, T.T.; Soem, C.N.; Cuong, N.C.; Aprilia, W.R.; Luesukprasert, K.; Teeranitayatarn, K.; Maneedaeng, A.; Tuveng, T.R.; et al. Valorization of shrimp processing waste-derived chitosan into anti-inflammatory chitosan-oligosaccharides (CHOS). Carbohydr. Polym. 2024, 324, 121546. [Google Scholar] [CrossRef] [PubMed]
- Min, T.T.; Yamabhai, M. Anti-inflammatory activity of well-defined chitooligosaccharides (chos) derived from enzymatic hydrolysis of chitosan. In Chitooligosaccharides: Prevention and Control of Diseases; Springer International Publishing: Berlin/Heidelberg, Germany, 2022; pp. 223–234. [Google Scholar]
- Meng, D.; Garba, B.; Ren, Y.; Yao, M.; Xia, X.; Li, M.; Wang, Y. Antifungal activity of chitosan against Aspergillus ochraceus and its possible mechanisms of action. Int. J. Biol. Macromol. 2020, 158, 1063–1070. [Google Scholar] [CrossRef]
- Gong, W.; Sun, Y.; Tu, T.; Huang, J.; Zhu, C.; Zhang, J.; Salah, M.; Zhao, L.; Xia, X.; Wang, Y. Chitosan inhibits Penicillium expansum possibly by binding to DNA and triggering apoptosis. Int. J. Biol. Macromol. 2024, 259, 129113. [Google Scholar] [CrossRef]
- Zhang, L.; Yang, Y.; Zhu, Y.; Hu, H.; Jia, Q.; Sun, C.; Zhu, X.; Liu, Y. Antifungal activity and mechanism of chitosan against Fusarium solani caused ginger soft rot during postharvest storage. Postharvest Biol. Technol. 2024, 208, 112680. [Google Scholar] [CrossRef]
- Ceja-Torres, L.F.; López-Díaz, S.; Silva-Ramos, M.G.; Silva-García, J.T.; Medina-Medrano, J.R.; Gutiérrez-Hernández, G.F. Antifungal Activity of Rue Essential Oil and Commercial Chitosan on Native Corn Foliar Diseases. Plants 2023, 12, 3416. [Google Scholar] [CrossRef] [PubMed]
- Khaled, J.M.; Alobaidi, A.S. Priming effect of chitosan on induces protection against tomato root wilt disease mediated through upregulation of defense enzymes. Physiol. Mol. Plant. Pathol. 2023, 127, 102118. [Google Scholar] [CrossRef]
- Huet, G.; Wang, Y.; Gardrat, C.; Brulé, D.; Vax, A.; Le Coz, C.; Pichavant, F.; Bonnet, S.; Poinssot, B.; Coma, V. Deep Chemical and Physico-Chemical Characterization of Antifungal Industrial Chitosans—Biocontrol Applications. Molecules 2023, 28, 966. [Google Scholar] [CrossRef] [PubMed]
- Abd El-Hack, M.E.; El-Saadony, M.T.; Shafi, M.E.; Zabermawi, N.M.; Arif, M.; Batiha, G.E.; Khafaga, A.F.; Abd El-Hakim, Y.M.; Al-Sagheer, A.A. Antimicrobial and antioxidant properties of chitosan and its derivatives and their applications: A review. Int. J. Biol. Macromol. 2020, 164, 2726–2744. [Google Scholar] [CrossRef] [PubMed]
- Aranaz, I.; Navarro-García, F.; Morri, M.; Acosta, N.; Casettari, L.; Heras, A. Evaluation of chitosan salt properties in the production of AgNPs materials with antibacterial activity. Int. J. Biol. Macromol. 2023, 235, 123849. [Google Scholar] [CrossRef] [PubMed]
- Ding, P.; Xie, X.; He, J.; Zou, Y.; Liu, F. Fabrication of a novel chitosan-based macromolecular antioxidant and its effects on the anti-aging properties of styrene-butadiene rubber/silica composites. J. Vinyl Addit. Technol. 2024, 30, 89–101. [Google Scholar] [CrossRef]
- Nair, R.; Paul, P.; Maji, I.; Gupta, U.; Mahajan, S.; Aalhate, M.; Guru, S.K.; Singh, P.K. Exploring the current landscape of chitosan-based hybrid nanoplatforms as cancer theragnostic. Carbohydr. Polym. 2024, 326, 121644. [Google Scholar] [CrossRef] [PubMed]
- Adhikari, H.S.; Yadav, P.N. Anticancer Activity of Chitosan, Chitosan Derivatives, and Their Mechanism of Action. Int. J. Biomater. 2018, 2018, 2952085. [Google Scholar] [CrossRef]
- Atmaca, H.; Oguz, F.; Ilhan, S. Chitosan in cancer therapy: A dual role as a therapeutic agent and drug delivery system. Z. Naturforsch. Sect. C J. Biosci. 2024. [Google Scholar] [CrossRef]
- Iskandar, A.; Kim, S.K.; Wong, T.W. “Drug-Free” chitosan nanoparticles as therapeutic for cancer treatment. Polym. Rev. 2024. [Google Scholar] [CrossRef]
- Ding, J.; Guo, Y. Recent Advances in Chitosan and its Derivatives in Cancer Treatment. Front. Pharmacol. 2022, 13, 888740. [Google Scholar] [CrossRef]
- Burak, D.; Seo, D.C.; An, H.E.; Jeong, S.; Lee, S.E.; Cho, S.H. Chitosan-Based Structural Color Films for Humidity Sensing with Antiviral Effect. Nanomaterials 2024, 14, 351. [Google Scholar] [CrossRef]
- Cano-Vicent, A.; Tuñón-Molina, A.; Martí, M.; Serrano-Aroca, Á. Biocompatible Chitosan Films Containing Acetic Acid Manifested Potent Antiviral Activity against Enveloped and Non-Enveloped Viruses. Int. J. Mol. Sci. 2023, 24, 12028. [Google Scholar] [CrossRef]
- El-Ganainy, S.M.; Soliman, A.M.; Ismail, A.M.; Sattar, M.N.; Farroh, K.Y.; Shafie, R.M. Antiviral Activity of Chitosan Nanoparticles and Chitosan Silver Nanocomposites against Alfalfa Mosaic Virus. Polymers 2023, 15, 2961. [Google Scholar] [CrossRef]
- Mali, A.; Franci, G.; Zannella, C.; Chianese, A.; Anthiya, S.; López-Estévez, A.M.; Monti, A.; De Filippis, A.; Doti, N.; Alonso, M.J.; et al. Antiviral Peptides Delivered by Chitosan-Based Nanoparticles to Neutralize SARS-CoV-2 and HCoV-OC43. Pharmaceutics 2023, 15, 1621. [Google Scholar] [CrossRef]
- Seo, D.S.; Lee, J.S.; Shin, Y.C.; Jang, Y. Multipotent Antiviral Effects of Deacetylated Chitosan Supplemented with Grapefruit Seed Extract against Influenza and Parainfluenza Viruses. Appl. Sci. 2023, 13, 9938. [Google Scholar] [CrossRef]
- Zhang, S.; Lei, X.; Lv, Y.; Wang, L.; Wang, L.N. Recent advances of chitosan as a hemostatic material: Hemostatic mechanism, material design and prospective application. Carbohydr. Polym. 2024, 327, 121673. [Google Scholar] [CrossRef] [PubMed]
- Fan, P.; Zeng, Y.; Zaldivar-Silva, D.; Agüero, L.; Wang, S. Chitosan-Based Hemostatic Hydrogels: The Concept, Mechanism, Application, and Prospects. Molecules 2023, 28, 1473. [Google Scholar] [CrossRef] [PubMed]
- Lunkov, A.P.; Zubareva, A.A.; Varlamov, V.P.; Nechaeva, A.M.; Drozd, N.N. Chemical modification of chitosan for developing of new hemostatic materials: A review. Int. J. Biol. Macromol. 2023, 253, 127608. [Google Scholar] [CrossRef]
- Wang, K.; Yu, D.; Bai, Y.; Cao, H.; Guo, J.; Su, Z. Isolation and Purification of Chitosan Oligosaccharides (Mw ≤ 1000) and Their Protective Effect on Acute Liver Injury Caused by CCl4. Mar. Drugs 2024, 22, 128. [Google Scholar] [CrossRef] [PubMed]
- Yahya, S.M.M.; Shalaby, R.H.; Mannaa, F.A.; Abdel-Wahhab, K.G.; Mohamed, N.R.; Shabana, M.E.; Elwakeel, S.H.B. Hepatoprotective effects of chitosan on thioacetamide-induced liver toxicity in male albino rats. Biointerface Res. Appl. Chem. 2021, 11, 14490–14505. [Google Scholar] [CrossRef]
- Hilițanu, L.N.; Mititelu-Tarțău, L.; Bogdan, M.; Buca, B.R.; Păuna, A.M.R.; Pavel, L.L.; Pelin, A.M.; Meca, A.D.; Popa, G.E. The Use of Chitosan--Coated Nanovesicles in Repairing Alcohol--Induced Damage of Liver Cells in Mice. Medicina 2022, 58, 762. [Google Scholar] [CrossRef]
- Dawoud, S.F.; Al-Akra, T.M.; Zedan, A.M. Hepatoprotective Effects of Chitosan and Chitosan Nanoparticles against Biochemical, Genetic, and Histological Disorders Induced by the Toxicity of Emamectin Benzoate. Rep. Biochem. Mol. Biol. 2021, 10, 506–517. [Google Scholar] [CrossRef]
- AlKandari, F.M.; Mohamed, H.S.; Ahmed, S.A.; Mahmoud, B.; Mahmoud, A.M. Protective Effects of Propolis and Chitosan Nanoparticles against Ibuprofen-Induced Hepatotoxicity in Albino Rats. Diseases 2024, 12, 49. [Google Scholar] [CrossRef] [PubMed]
- Ahmad, K.; Zhang, Y.; Chen, P.; Yang, X.; Hou, H. Chitosan interaction with stomach mucin layer to enhances gastric retention and mucoadhesive properties. Carbohydr. Polym. 2024, 333, 121926. [Google Scholar] [CrossRef] [PubMed]
- Ways, T.M.M.; Lau, W.M.; Khutoryanskiy, V.V. Chitosan and its derivatives for application in mucoadhesive drug delivery systems. Polymers 2018, 10, 267. [Google Scholar] [CrossRef] [PubMed]
- Yang, K.; Han, H.S.; An, S.H.; Park, K.H.; Nam, K.; Hwang, S.; Lee, Y.; Cho, S.Y.; Kim, T.; Choe, D.; et al. Mucoadhesive chitosan microcapsules for controlled gastrointestinal delivery and oral bioavailability enhancement of low molecular weight peptides. J. Control. Release 2024, 365, 422–434. [Google Scholar] [CrossRef]
- Hao, C.; Wang, W.; Wang, S.; Zhang, L.; Guo, Y. An overview of the protective effects of chitosan and acetylated chitosan oligosaccharides against neuronal disorders. Mar. Drugs 2017, 15, 89. [Google Scholar] [CrossRef]
- Hamdan, Y.A.; Elouali, S.; Ben Maloui, A.; El-Mansoury, B.; Oudadesse, H.; Rhazi, M. Chitosan and its derivatives as potential neuro-protective agents for the treatment of Parkinson’s disease. In Experimental and Clinical Evidence of the Neuropathology of Parkinson’s Disease; IGI Global: Hershey, PA, USA, 2023; pp. 253–274. [Google Scholar]
- Hamdan, Y.A.; Rhazi, M.; Kabdy, H.; Benmaloui, A.; Elouali, S.; Laadraoui, J.; Ahmad, Z.H.; Eladlani, N.; Oudadesse, H. Investigation of potential neuroprotective role of chitosan-based biomaterials and their derivatives by targeting glial cells. In Physiology and Function of Glial Cells in Health and Disease; IGI Global: Hershey, PA, USA, 2023; pp. 375–399. [Google Scholar]
- Wang, J.; Duan, X.; Zhong, D.; Zhang, M.; Li, J.; Hu, Z.; Han, F. Pharmaceutical applications of chitosan in skin regeneration: A review. Int. J. Biol. Macromol. 2024, 261, 129064. [Google Scholar] [CrossRef]
- Rajinikanth, S.B.; Rajkumar, D.S.R.; Keerthika, K.; Vijayaragavan, V. Chitosan-Based Biomaterial in Wound Healing: A Review. Cureus 2024, 16, e55193. [Google Scholar] [CrossRef] [PubMed]
- Sharifi, E.; Jamaledin, R.; Familsattarian, F.; Nejaddehbashi, F.; Bagheri, M.; Chehelgerdi, M.; Nazarzadeh Zare, E.; Akhavan, O. Bioactive chitosan/poly(ethyleneoxide)/CuFe2O4 nanofibers for potential wound healing. Environ. Res. 2023, 239, 117448. [Google Scholar] [CrossRef] [PubMed]
- Mazaheri, M.; Akhavan, O.; Simchi, A. Flexible bactericidal graphene oxide-chitosan layers for stem cell proliferation. Appl. Surf. Sci. 2014, 301, 456–462. [Google Scholar] [CrossRef]
- Muzzarelli, R.A.A. Chitosan composites with inorganics, morphogenetic proteins and stem cells, for bone regeneration. Carbohydr. Polym. 2011, 83, 1433–1445. [Google Scholar] [CrossRef]
- Chang, F.C.; James, M.M.; Qassab, A.M.; Zhou, Y.; Ando, Y.; Shi, M.; Zhang, M. 3D chitosan scaffolds support expansion of human neural stem cells in chemically defined condition. Matter 2023, 6, 3631–3660. [Google Scholar] [CrossRef]
- Scognamiglio, F.; Pizzolitto, C.; Romano, M.; Teti, G.; Zara, S.; Conz, M.; Donati, I.; Porrelli, D.; Falconi, M.; Marsich, E. A lactose-modified chitosan accelerates chondrogenic differentiation in mesenchymal stem cells spheroids. Biomater. Adv. 2024, 160, 213849. [Google Scholar] [CrossRef] [PubMed]
- Wang, Z.; Jiang, C.; Fan, Y.; Hao, X.; Dong, Y.; He, X.; Gao, J.; Zhang, Y.; Li, M.; Wang, M.; et al. The application of a 4D-printed chitosan-based stem cell carrier for the repair of corneal alkali burns. Stem Cell Res. Ther. 2024, 15, 41. [Google Scholar] [CrossRef] [PubMed]
- Hou, J.; Aydemir, B.E.; Dumanli, A.G. Understanding the structural diversity of chitins as a versatile biomaterial. Philos. Trans. R. Soc. A Math. Phys. Eng. Sci. 2021, 379, 20200331. [Google Scholar] [CrossRef]
- Delgado-Rangel, L.H.; Huerta-Saquero, A.; Eufracio-García, N.; Meza-Villezcas, A.; Mota-Morales, J.D.; González-Campos, J.B. Deep eutectic solvent-assisted phase separation in chitosan solutions for the production of 3D monoliths and films with tailored porosities. Int. J. Biol. Macromol. 2020, 164, 4084–4094. [Google Scholar] [CrossRef]
- Wang, Y.; Zhang, Y.; Lin, Z.; Huang, T.; Li, W.; Gong, W.; Guo, Y.; Su, J.; Wang, J.; Tu, Q. A green method of preparing a natural and degradable wound dressing containing aloe vera as an active ingredient. Compos. Part B Eng. 2021, 222, 109047. [Google Scholar] [CrossRef]
- Sun, X.; Yu, J.; Wei, Q.; Ren, X. Construction of chitosan-based supramolecular biofilm material for wound dressing based on natural deep eutectic solvents. Int. J. Biol. Macromol. 2023, 236, 123768. [Google Scholar] [CrossRef] [PubMed]
- Sun, X.; Yang, Y.; Yu, J.; Wei, Q.; Ren, X. Chitosan-based supramolecular aerogel with “skeletal structure” constructed in natural deep eutectic solvents for medical dressings. Int. J. Biol. Macromol. 2024, 254, 127720. [Google Scholar] [CrossRef] [PubMed]
- Silva, J.M.; Silva, E.; Reis, R.L. Therapeutic deep eutectic solvents assisted the encapsulation of curcumin in alginate-chitosan hydrogel beads. Sustain. Chem. Pharm. 2021, 24, 100553. [Google Scholar] [CrossRef]
- Kim, H.; Kang, S.; Li, K.; Jung, D.; Park, K.; Lee, J. Preparation and characterization of various chitin-glucan complexes derived from white button mushroom using a deep eutectic solvent-based ecofriendly method. Int. J. Biol. Macromol. 2021, 169, 122–129. [Google Scholar] [CrossRef] [PubMed]
- Kazachenko, A.S.; Akman, F.; Malyar, Y.N.; Issaoui, N.; Vasilieva, N.Y.; Karacharov, A.A. Synthesis optimization, DFT and physicochemical study of chitosan sulfates. J. Mol. Struct. 2021, 1245, 131083. [Google Scholar] [CrossRef]
- Valencia, H.; Yeboah, A.; Turita, S.; Muñoz, K.J.; Gaje, A.C.; Siva, C.R.; Paige, M.F.; Ponce, C.P. Urea–choline chloride deep eutectic solvent-assisted synthesis of luminescent nitrogen-doped carbon dots from chitin and their photocatalytic application in decolourizing malachite green. Can. J. Chem. 2023, 101, 790–798. [Google Scholar] [CrossRef]
- Boroujeni, M.B.; Laeini, M.S.; Nazeri, M.T.; Shaabani, A. A Novel and Green In Situ Strategy for the Synthesis of Metallophthalocyanines on Chitosan and Investigation Their Catalytic Activity in the CO 2 Fixation. Catal. Lett. 2019, 7, 16585–16594. [Google Scholar] [CrossRef]
- Rolińska, K.; Jakubowska, E.; Żmieńko, M.; Łęczycka-Wilk, K. Choline chloride-based deep eutectic solvents as plasticizer and active agent in chitosan films. Food Chem. 2024, 444, 138375. [Google Scholar] [CrossRef] [PubMed]
- Teixeira-Costa, B.E.; Ferreira, W.H.; Goycoolea, F.M.; Murray, B.S.; Andrade, C.T. Improved Antioxidant and Mechanical Properties of Food Packaging Films Based on Chitosan/Deep Eutectic Solvent, Containing Açaí-Filled Microcapsules. Molecules 2023, 28, 1507. [Google Scholar] [CrossRef]
- Yu, J.; Xu, S.; Chen, R.; Shao, P. A promising bioactive chitosan film in strawberry fresh-keeping: Plasticized with tomato processing by-product extract of deep eutectic solvent. Food Hydrocoll. 2024, 151, 109859. [Google Scholar] [CrossRef]
- Li, C.; Zheng, C.; Huang, H.; Su, H.; Huang, C. Preparation and plasticizing mechanism of deep eutectic solvent/lignin plasticized chitosan films. Int. J. Biol. Macromol. 2023, 240, 124473. [Google Scholar] [CrossRef] [PubMed]
- Zhang, W.; Gao, P.; Jiang, Q.; Xia, W. Green fabrication of lignin nanoparticles/chitosan films for refrigerated fish preservation application. Food Hydrocoll. 2023, 139, 108548. [Google Scholar] [CrossRef]
- Wen, H.; Tang, D.; Lin, Y.; Zou, J.; Liu, Z.; Zhou, P.; Wang, X. Enhancement of water barrier and antimicrobial properties of chitosan/gelatin films by hydrophobic deep eutectic solvent. Carbohydr. Polym. 2023, 303, 120435. [Google Scholar] [CrossRef] [PubMed]
- Smirnov, M.A.; Nikolaeva, A.L.; Bobrova, N.V.; Vorobiov, V.K.; Smirnov, A.V.; Lahderanta, E.; Sokolova, M.P. Self-healing films based on chitosan containing citric acid/choline chloride deep eutectic solvent. Polym. Test. 2021, 97, 107156. [Google Scholar] [CrossRef]
- Mukesh, C.; Mondal, D.; Sharma, M.; Prasad, K. Choline chloride-thiourea, a deep eutectic solvent for the production of chitin nanofibers. Carbohydr. Polym. 2014, 103, 466–471. [Google Scholar] [CrossRef]
- Chang, X.X.; Mubarak, N.M.; Karri, R.R.; Tan, Y.H.; Khalid, M.; Dehghani, M.H.; Tyagi, I.; Khan, N.A. Insights into chitosan-based cellulose nanowhiskers reinforced nanocomposite material via deep eutectic solvent in green chemistry. Environ. Res. 2023, 219, 115089. [Google Scholar] [CrossRef] [PubMed]
- Castro-Muñoz, R.; Msahel, A.; Galiano, F.; Serocki, M.; Ryl, J.; Hamouda, S.B.; Hafiane, A.; Boczkaj, G.; Figoli, A. Towards azeotropic MeOH-MTBE separation using pervaporation chitosan-based deep eutectic solvent membranes. Sep. Purif. Technol. 2022, 281, 119979. [Google Scholar] [CrossRef]
- Martínez-Rico, Ó.; Blanco, L.; Domínguez, Á.; González, B. Removal of Azo Dyes Orange II and Reactive Black 5 from Aqueous Solutions by Adsorption on Chitosan Beads Modified with Choline Chloride: Urea Deep Eutectic Solvent and FeO. Separations 2023, 10, 426. [Google Scholar] [CrossRef]
- Zhu, Y.; Qi, B.K.; Lv, H.N.; Gao, Y.; Zha, S.H.; An, R.Y.; Zhao, Q.S.; Zhao, B. Preparation of DES lignin-chitosan aerogel and its adsorption performance for dyes, catechin and epicatechin. Int. J. Biol. Macromol. 2023, 247, 125761. [Google Scholar] [CrossRef]
- Jafernik, K.; Ładniak, A.; Blicharska, E.; Czarnek, K.; Ekiert, H.; Wiącek, A.E.; Szopa, A. Chitosan-Based Nanoparticles as Effective Drug Delivery Systems—A review. Molecules 2023, 28, 1963. [Google Scholar] [CrossRef]
- Kapre, S.; Palakurthi, S.S.; Jain, A.; Palakurthi, S. DES-igning the future of drug delivery: A journey from fundamentals to drug delivery applications. J. Mol. Liq. 2024, 400, 124517. [Google Scholar] [CrossRef]
- Berecochea-Lopez, A.; Decordé, K.; Ventura, E.; Godard, M.; Bornet, A.; Teissèdre, P.L.; Cristol, J.P.; Rouanet, J.M. Fungal chitin-glucan from Aspergillus niger efficiently reduces aortic fatty streak accumulation in the high-fat fed hamster, an animal model of nutritionally induced atherosclerosis. J. Agric. Food Chem. 2009, 57, 1093–1098. [Google Scholar] [CrossRef]
- Doncel-Perez, E.; Aranaz, I.; Bastida, A.; Revuelta, J.; Camacho, C.; Acosta, N.; Garrido, L.; Civera, C.; Garcia-Junceda, E.; Heras, A.; et al. Synthesis, physicochemical characterization and biological evaluation of chitosan sulfate as heparan sulfate mimics. Carbohydr. Polym. 2018, 191, 225–233. [Google Scholar] [CrossRef]
- Revuelta, J.; Aranaz, I.; Acosta, N.; Civera, C.; Bastida, A.; Peña, N.; Monterrey, D.T.; Doncel-Pérez, E.; Garrido, L.; Heras, Á.; et al. Unraveling the Structural Landscape of Chitosan-Based Heparan Sulfate Mimics Binding to Growth Factors: Deciphering Structural Determinants for Optimal Activity. ACS Appl. Mater. Interfaces 2020, 12, 25534–25545. [Google Scholar] [CrossRef]
- Bolshakov, I.N.; Gornostaev, L.M.; Fominykh, O.I.; Svetlakov, A.V. Synthesis, Chemical and Biomedical Aspects of the Use of Sulfated Chitosan. Polymers 2022, 14, 3431. [Google Scholar] [CrossRef]
- Flórez, M.; Guerra-Rodríguez, E.; Cazón, P.; Vázquez, M. Chitosan for food packaging: Recent advances in active and intelligent films. Food Hydrocoll. 2022, 124, 107328. [Google Scholar] [CrossRef]
- Wrońska, N.; Katir, N.; Nowak-Lange, M.; El Kadib, A.; Lisowska, K. Biodegradable Chitosan-Based Films as an Alternative to Plastic Packaging. Foods 2023, 12, 3519. [Google Scholar] [CrossRef] [PubMed]
- Morganti, P.; Stoller, M. Chitin and lignin: Natural ingredients from waste materials to make innovative and healthy products for humans and plant. Chem. Eng. Trans. 2017, 60, 319–324. [Google Scholar] [CrossRef]
- Biswas, B.; Sakhakarmy, M.; Rahman, T.; Jahromi, H.; Adhikari, S.; Krishna, B.B.; Bhaskar, T.; Baltrusaitis, J.; Eisa, M.; Kouzehkanan, S.M.T.; et al. Selective production of phenolic monomer via catalytic depolymerization of lignin over cobalt-nickel-zirconium dioxide catalyst. Bioresour. Technol. 2024, 398, 130517. [Google Scholar] [CrossRef]
- Lucas, N.; Rode, C.V. Marine waste derived chitin biopolymer for N-containing supports, catalysts and chemicals. Tetrahedron Green Chem. 2023, 2, 100013. [Google Scholar] [CrossRef]
- Bekas, D.G.; Tsirka, K.; Baltzis, D.; Paipetis, A.S. Self-healing materials: A review of advances in materials, evaluation, characterization and monitoring techniques. Compos. Part B Eng. 2016, 87, 92–119. [Google Scholar] [CrossRef]
- Pan, S.Y.; Zhu, C.Y.; Wu, Y.W.; Tao, L. Chitosan-Based Self-Healing Hydrogel: From Fabrication to Biomedical Application. Polymers 2023, 15, 20. [Google Scholar] [CrossRef] [PubMed]
- Kumar, A.; Yadav, S.; Pramanik, J.; Sivamaruthi, B.S.; Jayeoye, T.J.; Prajapati, B.G.; Chaiyasut, C. Chitosan-Based Composites: Development and Perspective in Food Preservation and Biomedical Applications. Polymers 2023, 15, 22. [Google Scholar] [CrossRef]




| Source | DES | Molar Ratio | Solid/Liquid Ratio | Temp. Reaction a | Yield (%) | Protein (%) | Ash (%) | Ref. |
|---|---|---|---|---|---|---|---|---|
| Lobster shells | ChCl/malonic acid | 1:2 | 7% (w/w) | 50 | 20.63 | 2.02 | 0.3 | [145] |
| ChCl/malonic acid | 1:2 | 1:10 (w/w) | 50 | 22.21 | 1.81 | 0.21 | [146] | |
| ChCl/malic acid | 1:1 | 50 | 23.06 | 3.11 | 0.31 | |||
| ChCl/lactic acid | 1:2 | 50 | 23.31 | 3.25 | 0.35 | |||
| ChCl/levulinic acid | 1:2 | 50 | 20.23 | 2.62 | 0.30 | |||
| Shrimp shells | ChCl/malonic acid | 1:2 | 1:25 (w/v) | 80 | 23.86 | 1.53 | 0.74 | [147] |
| ChCl/malic acid | 1:2 | 80 | 25.00 | 3.59 | 1.44 | |||
| ChCl/lactic acid | 1:2 | 80 | 29.20 | 3.01 | 0.48 | |||
| ChCl/citric acid | 1:2 | 80 | 25.18 | 8.37 | 1.18 | |||
| ChCl/lactic acid | 1:2.5 | 1:20 | 150 | - | 0.61 | 0.064 | [148] | |
| N-methylurea, N-methylacetamide/acetic acid | 1:1:3 | 1:30 (w/w) | -- b | 5.71 | 3.26 | [149] | ||
| Squid pens | K2CO3/glycerol | 1:10 | 5% w/w | 80 | 32.00 | - | - | [150] |
| Bet/urea | 1:1 | 1:25 | 120 | 31.7 | - | - | [151] | |
| K2CO3/glycerol | 1:5 | 1:25 | 120 | 31.5 | - | - | ||
| Insect | ChCl/lactic acid | 1:2 | 1:10 | 50 | 23.33 | 8.50 | 0.25 | [152] |
| 80 | 16.40 | 5.00 | 0.25 | |||||
| ChCl/urea | 1:2 | 50 | 26.02 | 4.00 | 3.25 | |||
| 80 | 22.82 | 7.50 | 1.45 | |||||
| Bet/lactic acid | 1:2 | 50 | 25.70 | 10.00 | 2.45 | |||
| 80 | 14.27 | 11.50 | 0.50 | |||||
| Bet/urea | 1:1 | 50 | 26.71 | 12.50 | 0.90 | |||
| 80 | 12.01 | 3.75 | 1.25 | |||||
| Mushroom | ChCl/acetic acid | 1:2 | 1:10 | 75 | - | 94.40 | - | [153] |
| 95 | - | 82.80 | - | |||||
| 55 c | - | 90.00 | - | |||||
| -- d | - | 61.30 | - | |||||
| -- e | - | 25.00 | - | |||||
| ChCl/lactic acid | 1:1 | -- e | - | 35.00 | - | |||
| ChCl/glycerol | 1:2 | -- e | - | 45.00 | - |
| Property/Activity | References |
|---|---|
| Antidiabetic | [209,210,211,212] |
| Anti-inflammatory | [213,214,215,216] |
| Antifungal | [217,218,219,220,221,222] |
| Antimicrobial | [90,223,224] |
| Antioxidant | [90,223,225] |
| Antitumoral | [226,227,228,229,230] |
| Antiviral | [231,232,233,234,235] |
| Hemostatic | [84,236,237,238] |
| Hepatoprotective | [239,240,241,242,243] |
| Mucoadhesive | [244,245,246] |
| Neuroprotective | [247,248,249] |
| Skin regeneration/wound healing | [84,250,251,252] |
| Stem cell proliferation | [253,254,255,256,257] |
| Application | DES | Biomaterial | Ref. |
|---|---|---|---|
| Reducing bacterial biofilms | ChCl/urea | Porous monoliths and films | [259] |
| Antibacterial wound dressing formulation | ChCl/glucose | Sodium hyaluronate, dopamine, chitosan, and aloe vera | [260] |
| Antibacterial wound dressing formulation | ChCl/lactic acid | Chitosan biofilm | [261] |
| Antibacterial wound dressing formulation | Glycerol/lactic acid | Chitosan/PVA skeleton-type 3D networks | [262] |
| Drug delivery (curcumin) | ChCl/glycerol | Chitosan/alginate hydrogen beads | [263] |
| Reducing atherosclerosis | ChCl/urea | Chitin–glucan complexes | [264] |
| Anticoagulant and antiviral properties | Sulfamic acid/urea | Sulfated chitosan | [265] |
| Alternative to traditional fluorophores and metal-based catalysts | ChCl/urea | Luminescent nitrogen-doped carbon dots from chitin | [266] |
| Catalyst for aerobic oxidation of β-isophorone | ChCl/urea | Metallophthalocyanines on chitosan | [267] |
| Food packaging | ChCl/several HBDs | Chitosan films | [268] |
| ChCl/glycerol | Chitosan films | [269] | |
| ChCl/lactic acid | Chitosan films | [270] | |
| ChCl/lactic acid | Chitosan/lignin films | [271] | |
| Betaine/lactic acid | Chitosan/lignin nanoparticle films | [272] | |
| Thymol/octanoic acid | Chitosan/gelatin films | [273] | |
| Self-healing biomaterials | ChCl/citric acid | Self-healing chitosan films | [274] |
| Biocomposites | ChCl/thiourea | Chitosan nanofibers | [275] |
| Biocomposites | ChCl/urea | cellulose nanowhiskers (CNW)/chitosan nanocomposite | [276] |
| Non-porous (dense) membranes for pervaporation | L-proline/sulfolane | Chitosan crosslinked with glutaraldehyde | [277] |
| Dye absorption | ChCl/urea | Chitosan beads | [278] |
| ChCl/lactate | Chitosan/lignin | [279] |
Disclaimer/Publisher’s Note: The statements, opinions and data contained in all publications are solely those of the individual author(s) and contributor(s) and not of MDPI and/or the editor(s). MDPI and/or the editor(s) disclaim responsibility for any injury to people or property resulting from any ideas, methods, instructions or products referred to in the content. |
© 2024 by the authors. Licensee MDPI, Basel, Switzerland. This article is an open access article distributed under the terms and conditions of the Creative Commons Attribution (CC BY) license (https://creativecommons.org/licenses/by/4.0/).
Share and Cite
Durante-Salmerón, D.A.; Fraile-Gutiérrez, I.; Gil-Gonzalo, R.; Acosta, N.; Aranaz, I.; Alcántara, A.R. Strategies to Prepare Chitin and Chitosan-Based Bioactive Structures Aided by Deep Eutectic Solvents: A Review. Catalysts 2024, 14, 371. https://doi.org/10.3390/catal14060371
Durante-Salmerón DA, Fraile-Gutiérrez I, Gil-Gonzalo R, Acosta N, Aranaz I, Alcántara AR. Strategies to Prepare Chitin and Chitosan-Based Bioactive Structures Aided by Deep Eutectic Solvents: A Review. Catalysts. 2024; 14(6):371. https://doi.org/10.3390/catal14060371
Chicago/Turabian StyleDurante-Salmerón, D. Alonzo, Isabel Fraile-Gutiérrez, Rubén Gil-Gonzalo, Niuris Acosta, Inmaculada Aranaz, and Andrés R. Alcántara. 2024. "Strategies to Prepare Chitin and Chitosan-Based Bioactive Structures Aided by Deep Eutectic Solvents: A Review" Catalysts 14, no. 6: 371. https://doi.org/10.3390/catal14060371
APA StyleDurante-Salmerón, D. A., Fraile-Gutiérrez, I., Gil-Gonzalo, R., Acosta, N., Aranaz, I., & Alcántara, A. R. (2024). Strategies to Prepare Chitin and Chitosan-Based Bioactive Structures Aided by Deep Eutectic Solvents: A Review. Catalysts, 14(6), 371. https://doi.org/10.3390/catal14060371

