Abstract
Chitin and chitosan, abundant biopolymers derived from the shells of crustaceans and the cell walls of fungi, have garnered considerable attention in pharmaceutical circles due to their biocompatibility, biodegradability, and versatile properties. Deep eutectic solvents (DESs), emerging green solvents composed of eutectic mixtures of hydrogen bond acceptors and donors, offer promising avenues for enhancing the solubility and functionality of chitin and chitosan in pharmaceutical formulations. This review delves into the potential of utilizing DESs as solvents for chitin and chitosan, highlighting their efficiency in dissolving these polymers, which facilitates the production of novel drug delivery systems, wound dressings, tissue engineering scaffolds, and antimicrobial agents. The distinctive physicochemical properties of DESs, including low toxicity, low volatility, and adaptable solvation power, enable the customization of chitin and chitosan-based materials to meet specific pharmaceutical requirements. Moreover, the environmentally friendly nature of DESs aligns with the growing demand for sustainable and eco-friendly processes in pharmaceutical manufacturing. This revision underscores recent advances illustrating the promising role of DESs in evolving the pharmaceutical applications of chitin and chitosan, laying the groundwork for the development of innovative drug delivery systems and biomedical materials with enhanced efficacy and safety profiles.
1. Introduction
Biopolymers, derived from renewable resources such as plants, animals, and microorganisms, offer a multitude of advantages over conventional petroleum-based polymers. Firstly, biopolymers are environmentally friendly, as they are biodegradable, reducing the burden of plastic pollution on ecosystems and/or marine life [1]; in fact, several studies have shown that biopolymers degrade faster in various environments compared to traditional plastics [2,3,4], thus paving the way for implementing a circular economy [5]. Additionally, the production of biopolymers typically requires lower energy consumption and emits fewer greenhouse gases, contributing to mitigating climate change [6]. Furthermore, biopolymers can be produced from sustainable feedstocks and/or industrial waste [7,8], reducing the reliance on finite fossil fuel resources and promoting agricultural diversification [9,10]. Another notable advantage is the potential for biopolymers to exhibit superior biocompatibility, making them suitable for biomedical applications such as drug delivery systems [11,12] and tissue engineering scaffolds [13,14]. Moreover, biopolymers offer versatility in terms of their properties and functionalities, with researchers exploring various modification techniques to tailor their mechanical [15,16], thermal [17,18], and barrier properties [19,20] to specific applications [21,22,23,24]. Overall, the adoption of biopolymers presents a promising pathway towards achieving sustainability goals while catering to diverse industrial and societal needs [25].
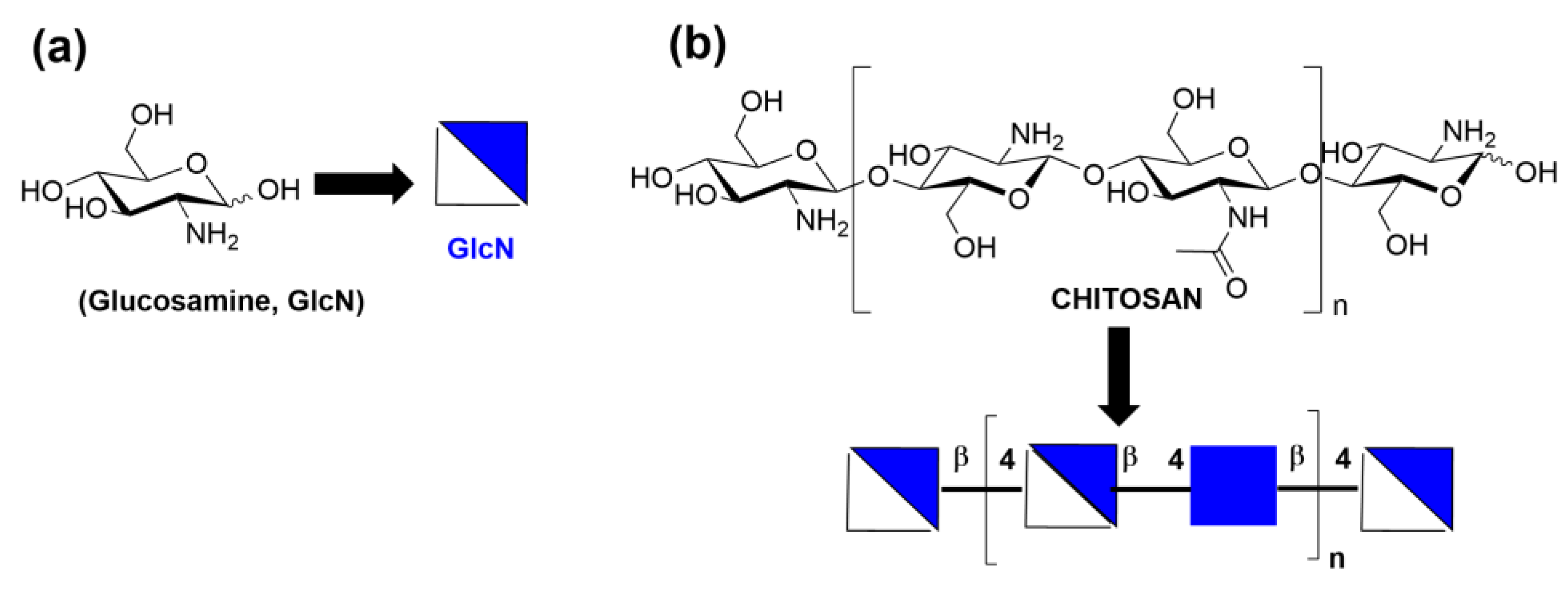
Among natural biopolymers, chitin stands out as the second most abundant natural polymer on Earth (only after cellulose, the principal component of plant cell walls and the most abundant source of renewable polysaccharides on Earth [26]). It can be found in a plethora of living beings [27], with some notable sources being crustacean shells [28,29,30,31,32], arthropods [33], mollusks [34], insects [35,36,37], and fungi [38]. Chemically, chitin is a linear polysaccharide composed by a repetition of subunits of 2-amino-2-deoxy-D-glucose (N-acetyl-glucosamine, GlcNAc, Figure 1a) connected by (β1→4) glycosidic bonds (Figure 1b,c). The presence of these (β1→4) glycosidic bonds generates a linear structure of chitin macromolecules, which permit an extended conformation resembling a regular zigzag pattern (Figure 1c). This configuration fosters robust intramolecular forces, notably hydrogen bonding [39]. These secondary interactions occur between the hydrogen atom of the hydroxyl group at carbon 3 and the oxygen atom within the cyclic structure of the preceding ring, as well as between the hydrogen atom of the hydroxyl group at carbon 6 and the oxygen atom of the acetylamino functional group of the monosaccharide preceding it, as shown in Figure 1d (blue color).
Figure 1.
(a) Chemical structure of N-acetyl glucosamine (GlcNAc) and its schematic representation according to symbol nomenclature for graphical representations of glycans (SNFG [40,41]). (b) Structure of a linear polysaccharide composed by a repetition of subunits of GlcNAc connected by (β1→4) glycosidic bonds. (c) Three-dimensional representation of a GlcNAc hexamer, using 3D symbol nomenclature for glycans (3D-SNFG) [42]. (d) Intra- (blue) and inter-chain (red) hydrogen bonding in α-chitin.
The resultant rigidity bolstered by these hydrogen bonds, along with the substantial bulk of the acetamide substituent, not only imparts inflexibility to the chains but also restricts rotation along the glycosidic bonds linking the monosaccharides, leading to highly stable chain conformations (Khoushab and Yamabhai, 2010). Chitin present in its primary natural reservoir, namely crustacean shells [28,29,30,31,32], adopts an antiparallel orientation (α-chitin), in which not only intramolecular but also intermolecular hydrogen bonding is present (Figure 1d, red color), resulting in an orthorhombic crystal structure [27,43]. Conversely, β-chitin (present in squid pens, clams, oyster shells, and bones of cuttlefish, [34]) features a parallel chain alignment, with no interchain bonding, giving rise to a monoclinic crystal symmetry [43] with higher solubilizing properties. Finally, γ-chitin, less abundant and only present in some insects, comprises a blend of both α- and β-chitin, with two parallel chains followed by an antiparallel chain [44]. Another point of interest related to chitin is related to its properties, as the polymer is biodegradable [45], biocompatible [46,47], non-toxic, and eatable [48]. Its availability, coupled with its inherent characteristics, have incited the biomedicine [49,50,51] and cosmetics industries [52] to employ chitin in various processes, while its potential use in sustainable agriculture is very promising [53,54,55].
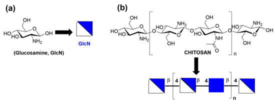
However, it should be noted that it is difficult to work with chitin, as it is insoluble in aqueous acidic media due to its acetylated residues [45,56,57]. Thus, efforts have been made to use chitin to produce more soluble compounds, such as chitosan [58,59,60,61,62,63], a biopolymer generally obtained via the chemical [64] or biotechnological [65,66] deacetylation of chitin, which exhibits a unique, versatile, and variable structure [67,68,69,70,71,72,73]. Structurally, chitosan (Figure 2b) is a copolymer formed D-glucosamine units (GlcN, major component, Figure 2) and GlcNAc units [74] connected by linear β-(1,4)-links (Figure 2b).
Figure 2.
(a) Chemical structure of glucosamine (GlcN) and its schematic representation according to symbol nomenclature for graphical representations of glycans (SNFG [40,41]). (b) Structure of a linear copolymer composed of GlcN (major component) and GlcNAc (minor) connected by (β1→4) glycosidic bonds.
Similar to chitin, chitosan also exhibits both parallel and antiparallel configurations of its chains (referred to as α, β, and γ) [27,75]. In contrast, conventional chitosan, derived from α-chitin deacetylation, demonstrates a hydrated polymorphic crystalline structure wherein chitosan macromolecules form elongated double helices within the crystal lattice, reinforced by hydrogen bonding between chitosan chains facilitated by water molecules [27]. In this sense, to be considered chitosan, a copolymer must contain at least 60% of GlcN units [76,77]. The degree of deacetylation (DDA), representing the proportion of GlcN units relative to GlcNAc, significantly influences its physicochemical properties; in fact, higher DDA values result in increased protonation of amino groups, rendering chitosan more soluble and positively charged in acidic conditions [60,74]. This property is pivotal for its interaction with negatively charged surfaces and molecules, enabling applications such as drug delivery [11,12,78,79,80,81,82], wound healing [83,84,85,86], and antimicrobial coatings [87,88,89,90]. Additionally, the molecular weight of chitosan, determined by its polymerization degree, impacts its viscosity, solubility, and biodegradability [91,92]. Chitosan’s structure also facilitates the formation of polyelectrolyte complexes with oppositely charged polymers, leading to the development of advanced materials with tailored properties. Understanding the intricacies of chitosan’s structure is paramount for optimizing its performance in diverse applications in pharma [60,93,94], biomedicine [95,96], environmentally friendly agricultural formulation [53], or even wastewater treatment [97].
Although chitosan’s solubility in acidic media is higher compared to chitin, above pH 6.5, it is not soluble in water [98,99]. Moreover, chitin and chitosan, like other biopolymers, face challenges related to their low or null solubility in solvents different from water [100], which may impede their broad applicability. One of the primary issues stems from both the inherent hydrophilic nature of most biopolymers and their complex hierarchical structures (Figure 1d), including intra- and intermolecular hydrogen bonds and crystalline regions, which makes them insoluble or poorly soluble in common organic solvents [56]. This limitation restricts their processability and hinders their potential applications in industries where solvent-based processing methods are prevalent. Attempts to enhance the solubility of chitin/chitosan and other biopolymers often involve chemical modifications, such as derivatization or grafting of functional groups [101], to disrupt these structural arrangements and introduce solubilizing moieties; specifically for chitin/chitosan modification, many examples can be found in the literature [63,95,102,103,104,105]. However, such modifications can alter the biopolymers’ properties and biodegradability, posing challenges in maintaining their eco-friendly characteristics.
Thus, ongoing research efforts are focused on developing innovative strategies to improve the solubility of biopolymers while preserving their sustainability and biocompatibility for broader industrial applications. Emerging alternatives involving what are called green solvents [106] or neoteric solvents [107] such as Room-Temperature Ionic Liquids (RTILs), bio-derived solvents, or deep eutectic solvents (DESs) are gaining attention for biomass pretreatment, extraction, and processing of natural polymers. Among them, the use of DESs is probably the most promising alternative; according to the more accurate definition of DESs, they are eutectic solvents (eutectic-type systems that are liquid at a given desired temperature where at least one of its components would, otherwise, be a solid) whose components (hydrogen bond donors (HBDs) and hydrogen bond acceptors (HBAs), Lewis or Brønsted acids and bases) present enthalpic-driven negative deviations from thermodynamic ideality [108]. DESs have been proven to be very useful not only for biopolymer processing [109,110,111,112] but also for many other uses [113,114,115,116], including the preparation of bioactive compounds trough catalytic procedures [117,118,119,120], due to their several notable advantages, including biodegradability, low toxicity, and easy, cost-effective, and solvent-free preparation from readily available natural sources [108]. In this sense, and to highlight this last aspect, the term NADESs (natural deep eutectic solvents) was coined some time ago [121,122]. Though the concept of NADESs holds allure and may find relevance in plant biology or biochemistry, it has been overexploited within the domain of novel green solvents, being generally accepted as a paradigm of the inherent sustainability of these solvents [114,123,124,125,126,127]. Yet, the sustainability and natural origin of the precursors most widely used to prepare DESs are questionable, as recently emphasized by Abranches and Coutinho [108]; for instance, choline, although it could be sourced from biochemical pathways and living organisms, is produced on a large scale by hydrogen chloride reacting with trimethylamine and ethylene oxide. Similarly, urea is mass-produced (for fertilizer and chemical industry raw materials) through ammonia–carbon dioxide reactions. Furthermore, some other ideal properties of (NA)DESs, such as biodegradability [128,129], lack of toxicity [130,131], reuse capability [132], easy product recovery and disposal after reaction [133], or inexpensiveness [134], cannot be taken for granted, but rather must be proved.
In this review, we present recent advancements in and insights into chitin/chitosan’s biomolecular behavior within DES-containing systems, aiming to produce bioactive molecules. As the first step, we will focus on the utility of DESs in the extraction of chitin from natural sources; secondly, the use of biocatalysis in DESs for the generation of chitin/chitosan-based materials will be commented on. Finally, the generation of bioactive materials will be presented.
2. DES-Assisted Chitin Extraction
The extraction of chitin and chitosan from their natural sources requires several independent processes, such as demineralization, deproteinization, and deacetylation [74,77,135]. Traditionally, the long-established methods to carry out these processes are chemical, using acid treatments with hydrochloric acid for demineralization [136] and basic treatments with sodium hydroxide at high temperature for deproteinization and deacetylation [64,137]. Conventional chemical processes have several disadvantages; most of these are associated with possible environmental contamination derived from the production of corrosive waste [138,139]. Another issue is related to the high energy consumption required to heat the sample in the deproteinization and deacetylation processes, as well as the concomitant CO2 release (estimated at about 0.9 kg CO2 per kg chitin [61]). Therefore, these disadvantages contrast with one of the most relevant aspects of the use of natural biopolymers, which is their contribution to the reduction of the environmental impact [140].
Due to this, one of the primary options for extracting chitin and chitosan, owing to their previously described characteristics, is the utilization of DESs. A recent review by Khajavian et al. covers some well-known processes involving DESs [141]; in any case, the earliest literature documenting the capability of DESs to (partially) dissolve chitin dates back to 2013, as reported by Sharma et al. [142]. These authors tested mixtures of different HBAs (choline halides or betaine) and used (thio)urea as HBD to solubilize α-chitin. In the best of the scenarios (ChCl/thiourea 1:2, 6 h heating at 100 °C), a moderate 9% w/w solubility was reported. Nevertheless, this seminal paper paved the way for further studies [57,143,144]. Nowadays, it is broadly accepted that the partial solubilization of chitin in DESs does not directly depend on the pH or pKa values of DESs, but rather on the crystallinity index and/or degree of deacetylation of chitin, and it is caused by the DES-mediated disruption of the strong hydrogen-bonding networks within chitin’s structure, facilitating a fractional dissolution and subsequent regeneration of interactions with DESs components [144].
Derived from the above-mentioned partial solubilization of chitin in DESs, currently, there are numerous studies focusing on the use of DESs in the extraction of chitin from various sources, some of which are summarized in Table 1. In all these research endeavors, subsequent to extraction, the authors analyze the end product; however, the variability observed in terms of the reported parameters is considerable. Some researchers solely assess the yield obtained relative to the weight of the initial powder, without taking into account the specific content of proteins or minerals removed from the sample in question. Conversely, others gauge the mineral and protein content extracted from the sample in the DES solution or the final product, presenting it as a percentage by weight of the sample. Nevertheless, unlike the former approaches, certain studies present these protein or mineral results as a percentage relative to the quantity removed via some conventional chemical method. Consequently, it would be highly advantageous to standardize or establish uniform criteria for reporting results to facilitate comprehension and subsequent comparison of the studies.
Table 1.
Some examples of DES-assisted extraction protocols.
In a paper published in 2017, Zhu et al. extracted chitin from lobster shells using four different DESs [145]. These authors reported that, while the use of different mixtures of choline chloride (ChCl) with thiourea, urea, or glycerol had no significant effects on demineralization or deproteinization, a one-pot procedure using a ChCl/malonic acid mixture allowed them to reach deproteinization and demineralization values comparable to those obtained by a two-step chemical method (HCl for demineralization and NaOH for deproteinization). In 2018, Hong et al. [146] confirmed that, using different DESs composed of ChCl and four organic acids (malonic, malic, lactic, or levulinic acid), the best results were obtained with malonic acid for the demineralization and deproteinization of lobster shells. It is also important to note that, depending on the temperature and on the acid used in chitin extraction, the molecular weight of the extracted chitin was significatively different; for instance, chitin extracted using malonic acid at 50 °C and 100 °C yielded molecular weights of 312 KDa and 199 KDa, respectively, whereas extraction using malic acid at 100 °C resulted in a molecular weight of 91 KDa [146]. When concentrating on an alternative source, such as shrimp shells, Saravana et al. found that the most efficient NADES was again ChCl/malonic acid [147]. These researchers observed that combinations of ChCl with urea, thiourea, oxalic acid, glycerol, or 1,6-hexanediol yielded chitin samples with ash and protein content exceeding 40% and 15%, respectively. Although these studies have shown promising results, they are not free of other issues, as the use of malonic acid can lead to water pollution, and NADESs consisting of malic acid and choline chloride may undergo pyrolysis at 150 °C. Furthermore, there has been insufficient discussion on the entire process of chitin preparation using NADESs. In this regard, Sun et al. [148] introduced an environmentally friendly approach using choline chloride/lactic acid for chitin extraction from shrimp shells. Additionally, they conducted a systematic investigation into the reaction mechanisms involved in demineralization and deproteinization. They opted for a molar ratio of 1:2.5, reasoning that part of the lactic acid would initially react with CaCO3, while the remaining lactic acid and choline chloride would form DESs to aid in protein removal. Furthermore, they chose a temperature of 150 °C for the reaction because, at this temperature, there is enhanced thermal movement of molecules, which increases the likelihood of collisions between DES and target molecules [154]. Finally, He et al. [149] recently reported an innovative ternary DES comprising N-methylurea, N-methylacetamide, and acetic acid for chitin extraction. To achieve this, shrimp shells were combined with the DES in various proportions and exposed to either microwave heating for varying durations or magnetic stirring at room temperature. The highest levels of demineralization and deproteinization were attained following an 11 min microwave treatment using a shell/DES ratio of 1:30.
Squid pen composition usually has 25–50% of β-chitin, 50–75% of protein, and <5% of minerals [155]. Due to the higher protein content and lower amounts of minerals, respectively, of β-chitin from squid compared to α-chitin from shrimp or crab shells, the acidic DESs are probably not efficient enough solvents to treat this source. In this sense, although Lv et al. did not mention the residual protein and mineral content in chitin, they proved that, using an alkaline DES (K2CO3-Glycerol), they were capable to remove 64.53% and 1.07% of proteins and minerals, respectively [150]. McReynolds et al. [151] also investigated the extraction of chitin from squid pens using acidic, neutral, and alkaline DESs. They conducted a comparison with yields obtained through conventional chemical methods and observed significantly higher yields with acidic and neutral DESs, attributed to their limited demineralization and deproteinization capabilities. However, the efficiency observed with alkaline DESs at temperatures of 100 or 120 °C was very similar to that of the chemical extraction method.
For Zhou et al. [152], the best decalcification of chitin from insects (skimmed black soldier fly (SBSF, Hermetia illucens) prepupae) was achieved with ChCl/lactic acid and betaine/urea at 80 °C. Interestingly, they also showed that the higher the operating temperature, the easier the decalcification. Regarding deproteinization, they observed the best efficiency of the betaine/urea treatment at 80 °C. Although none of the DESs used in that study achieved a deproteinization like that achieved by the chemical method, it is worth noting that the difference was insignificant (3.75% with betaine/urea vs. 2.5% with the chemical method). Chitin extracted not only from insects [152] but also from mushrooms [153] had a high deacetylation degree (DDA), higher than 60%; therefore, it can surely be considered chitosan [74]. To reach similar compositions, a second deacetylation step must be carried out to obtain chitosan from lobster, shrimp, or squid pen chitin. Once again, this deacetylation is traditionally carried out by chemical treatments with NaOH via homogeneous or heterogeneous processes [99]. However, as was mentioned, these processes have many disadvantages and can be substituted by DESs.
Unlike chitin extraction, there are fewer deacetylation studies on obtaining chitosan. An example is the study of Vicente et al., who were the first to report on deacetylation with DESs requiring only mild reaction conditions [156]. To this end, chitin was mixed with several DESs (acidic, neutral, and alkaline) in a ratio of 1:50 (w/v). DESs were tested for their ability to promote chitin deacetylation and the results were compared with the initial DDA of chitin. They observed how ChCl/malic acid showed the best result, yielding a DDA of 40% after 24 h of reaction at 120 °C. However, this degree of deacetylation is too low for the obtained product to be considered chitosan. Recently, in 2024, Sun et al. [157] proposed the use of a NADES composed of betaine and glycerol (1:2.5 molar ratio) in the deacetylation reaction of chitin to facilitate the subsequent attack of the N-acetyl groups with 25 wt% NaOH at 100 °C for 12 h. Conventionally, concentrations of 50% NaOH are employed in chemical methods to obtain chitosan, but with the mixture of betaine/glycerol and 25% NaOH, chitosan with 83.77% deacetylation was obtained. Similar work was previously conducted by Vicente et al. in 2020 [143], but they used 30% NaOH and the DDA achieved was lower (70–80%).
3. Biocatalysis for Chitin/Chitosan Modifications
Biocatalysis, the use of biological catalysts for the generation of many different valuable products, has proven to be a very useful tool, not only in the lab [158,159,160] but also at an industrial scale [161,162,163], undoubtedly fostered by the inherent sustainability associated with biocatalysis [164,165,166]. Additionally, the well-reported capability of enzymes to work in media different from water [167,168,169], and particularly in DESs [119,170,171,172,173], has expanded their applicability, up to the point that some authors are pointing towards a golden age for biocatalysis [174].
In this sense, biocatalysis is also a valuable tool for processing chitinaceous substrates [103,175,176,177]. For instance, chitin deacetylases (EC 3.5.1.41, [178,179,180,181]) are enzymes capable of catalyzing the hydrolysis of GlcNAc subunits to convert them into GlcN, while chitooligosacharide deacetylases (EC 3.5.1.105) can perform the same deacetylation on chitosan and chitooligosacharides following different endo- or exo-mechanisms [181]. These enzymes would therefore be the biotechnological option for converting chitin into chitosan, as the first step in a valorization cycle [61] leading to a chitin-based biorefinery [28].
Regarding chitin and chitosan depolymerization, these biopolymers can be specifically recognized by different glycosidase-type hydrolases present in nature, leading to different oligomeric structures, as depicted in Figure 3. Thus, chitinases [182,183] are enzymes which act on chitin following two types of mechanisms; on the one hand, endo-chitinases (EC 3.2.1.14) are enzymes which hydrolyze internal glycosidic bonds between GlcNAc subunits, producing various fragments with different sizes, ranging from dimers to polymers. Conversely, exo-chitinases (also named β-N-acetyl-glucosaminidases, EC 3.2.21.52) selectively hydrolyze chitin starting from either the reducing or non-reducing end, generating GlcNAc and, to lesser extent, dimeric (DP = 2) GlcNAc units. Chitosanases (EC 3.2.1.132 [184,185,186]) cleave bonds in chitosan following an endo path (Figure 3b); according to their specificity, they are divided into several types: type I (cutting GlcNAc-GlcN and GlcN-GlcN bonds), type II (only GlcN-GlcN), type III (hydrolysing GlcN-GlcN and GlcN-GlcNAc), and type IV (cleaving all bonds except GlcNAc-GlcNAc). Another type of enzymes acting on chitosan are exo-β-D-glucosaminidases (EC 3.2.1.165), which hydrolyze chitosan from its non-reducing end [187].
Figure 3.
(a) Schematic representation of specificity of chitinases (a) and chitosanases (b).
Besides hydrolysis by chitinases and chitosanases, chitin and chitosan can be nonspecifically degraded with other nonspecific glycosyl hydrolases, such as endoglucanases, cellobiohydrolases, endoxylanases, endomannases, lisozyme, α- and β-amylases, or hyalurodinases [175,176]. Remarkably, other hydrolases, such as proteases or lipases, are also able to degrade chitosan to render chitooligosacharides (COs) with different molecular weights. These hydrolases show a hydrolytic endo-mode of action, with optimal pH at slightly acidic values (around 5 [175]).
Now, it should be noted that achieving high hydrolytic efficiency proves challenging when employing enzymes. Particularly, chitin has a highly ordered crystalline structure that limits the accessibility of enzymes. Therefore, research efforts have been made to improve the efficacy of enzymatic processing of chitin and chitosan. One strategy would involve the synergistic utilization of physical treatments, such as microwave [188], ultrasonication [189], or mechanochemistry [190,191,192,193], to help in the enzymatic degradation of chitin by promoting its partial solubilization. Another option would be the use of strong organic solvents which have been reported to dissolve chitin [57], such as such as LiCl/dimethylacetamide (DMAc) [194], CaCl2/MeOH [195], or hexafluoroisopropanol (HFIP, [196]). These solvents were previously used in the solubilization of chitin before enzymatic hydrolysis, but they were not viable for enzyme stability [197].
In this context, as DESs are perfectly compatible with enzymes [119,171,198], the synergic combination of these solvents for promoting the solubilization of chitinaceous biomaterials and enzymatic catalysis would constitute a smart approach. Nevertheless, although the positive effect of DESs on the chitin deacetylation has been reported and explained by molecular modeling [156,157] (see Table 1), to the best of our knowledge, no examples have been reported for the combined use of enzymes and DESs, neither for chitin deacetylation nor for chitin or chitosan depolymerization.
Yet, the use of DESs and enzymes has been reported for the quaternization of chitosan. This process involves the introduction of a quaternary ammonium moiety onto or adjacent to the chitosan backbone through reactions with primary amino and hydroxyl groups under various experimental conditions [199,200]. By incorporating a quaternary moiety into chitosan, the resultant polymer gains permanent cationic charges on its backbone, leading to enhancements in properties like water solubility, antimicrobial activity, mucoadhesiveness, and permeability [201,202]. This modification enables multiple applications, primarily in the biomedical and pharmaceutical fields [203,204]. Traditional forms of quaternized chitosan, such as N,N,N-trimethyl chitosan (TMC) and N-[(2-hydroxy-3-trimethyl ammonium) propyl] chitosan (HTCC), have been widely used, alongside newer variants incorporating pyridinium or phosphonium salts [199]. A significant challenge of this chemical modification lies in its low selectivity, resulting in a mixture of O- and N-methylated products, as well as the non-desired breaking of the chitosan polymer due to the stringent conditions required (organic solvents such as N-methyl-2-pyrrolidone (NMP), dimethyl sulfate (DMS), or dimethylformamide (DMF); iodomethane as a methylating agent and NaOH as a base), consequently reducing the molecular weight of the final product. Thus, two sequential publications by Dandekar, Jain, and coworkers [205,206] reported the use of lipases from Burkholderia cepacia or Candida rugosa for the transformation of chitosan into the desired methylated products in DES/water mixtures using dimethyl carbonate (DMC) as a sustainable methylating agent (without the need for a base additive) and at lower process temperatures compared to the chemical synthesis (Figure 4).
Figure 4.
Schematic representation of enzymatic methylation of chitosan using DCM and DESs.
The conventional method for synthesizing N-methylated chitosan typically involves the use of organic solvents under alkaline conditions, with methyl iodide serving as the methylating agent. However, this approach lacks selectivity in N-methylation and often leads to significant polymer scission. Thus, Bangde et al. [205] evaluated two types of DESs, ChCl/urea 1:2 and ChCl/glycerol 1:2, either alone or in combination with other solvents (water and/or DMF) for chitosan methylation, showing selective N-methylation of products when using ChCl/urea 1:2, while those ChCl/glycerol 1:2 showed some O-methylation, with a significant reduction in polymer scission compared to traditional methods. When adding lipase, the enzyme from Burkhorlderia cepacia in ChCl/urea 1:2 furnished mainly N,N-dimethylchitosan (around 36%) and some O-methylation, while immobilized Candida antartica lipase failed in this regard. Conversely, Mahajan et al. [206] reported the use of ternary DESs composed of ChCl/urea/glycerol, showing that the 1:2:1 ternary mixture allowed for a high degree of N,N,N-trimethylation when using lipase from B. cepacia, while lipase from Candida rugosa led mainly to the O-methylated product.
4. DESs for the Generation of Chitinaceous Bioactive Materials
As already pointed out in the Introduction, and because of its unique structure, chitosan exhibits plenty of intrinsic therapeutical properties [60,62,63,77,91,207,208], summarized in Table 2 (containing some updated references).
Table 2.
Therapeutical properties of chitosan.
The medicinal relevance of chitosan is even higher if we consider that, aside from its inherent therapeutic applications per se, its ability to be processed into various forms, such as films, hydrogels, nanoparticles, and 3D scaffolds, increases their applicability to an even higher extent [96,208,258]. In this sense, the use of DESs is also highly valuable. Some recent examples are shown in Table 3.
Table 3.
DES-assisted preparation of chitosan biomaterials.
Focusing on therapeutic applications, Delgado-Rangel et al. [259] reported the use of ChCl/urea for producing 3D chitosan materials targeting V. cholerae biofilm. They developed an environmentally friendly method for creating porous monoliths and films, showcasing DES-assisted phase separation processes’ versatility. The production involved a three-step process of evaporation-induced phase separation, blending 2% chitosan with acetic acid and the DES. The resulting plasticized film structure was achieved after evaporating the acidic aqueous solvent. Opting for an equal-weight ratio of chitosan/DES yielded films with the most suitable porous structure. The thermal stability of chitosan was influenced by the presence of residual DES, impacting V. cholerae growth in the chitosan films. In another example, Wang et al. [260] reported a fully natural hydrogel formulation containing sodium hyaluronate, dopamine, aloe vera, chitosan, and a DES formed by ChCl/glucose as an eco-friendly, biodegradable wound dressing, showing excellent cytocompatibility with NIH-3T3 fibroblast cells and antibacterial efficacy against both Gram-positive (S. aureus) and Gram-negative (E. coli) bacteria. After characterizing the gel using different methodologies, these authors concluded that this hydrogel displayed not only remarkable cytocompatibility and antibacterial properties, but also facilitated skin tissue regeneration, promoting effective wound healing in mouse skin within 12 days post-surgery. Similarly, Sun et al. [261] have reported how a DES formed by ChCl/lactic acid allowed for the preparation of chitosan biofilms for antibacterial wound dressing, very active against Staphylococcus aureus and Escherichia coli, easily degradable in both soil and water, and also showing UV barrier properties.
Sun et al. [263] have recently reported the generation of a biocompatible chitosan-based supramolecular 3D aerogel, also intended for wound healing, formed by chitosan, polyvinyl alcohol, and a DES (glycerol/lactic acid) joined by hydrogen bonding, which was also very active against S. aureus and E. coli and was very active in promoting wound healing.
Chitosan-based nanoparticles and hydrogels have emerged as effective drug delivery systems due to their high loading capacity, sustained release kinetics, and targeted delivery [82,252,280]. Chitosan nanoparticles can encapsulate both hydrophilic and hydrophobic drugs, protecting them from enzymatic degradation and facilitating their transport across biological barriers. Additionally, the mucoadhesive properties of chitosan enhance the residence time of drug-loaded nanoparticles at mucosal surfaces, thereby improving drug absorption and bioavailability. Because of their unique properties, DESs are also especially suited for drug delivery [281]. As an example of this synergy, Silva et al. [263] reported a system wherein curcumin dissolved in ChCl/glycerol was encapsulated within beads formed via ionotropic gelation with chitosan and alginate. The beads were manufactured using an extrusion-dripping technique. The primary objective of the investigation was to develop hydrogel beads loaded with curcumin, exhibiting enhanced solubility and stability throughout transit along the gastrointestinal tract, therefore becoming a sustainable and promising alternative to surmount solubility challenges and the necessity for eliminating organic solvents.
Chitin present in mushrooms is bonded to β-glucan, forming complexes (CGCs, chitin–glucan complexes). Kim et al. [264] utilized ChCl/urea to pretreat white button mushrooms for the formation of CGCs (which have shown to present beneficial effect for the treatment of atherosclerosis [282]) under mild and environmentally friendly conditions. These author prepared CGCs with different compositions, varying the percentage of chitin or chitosan, in all cases resulting in different materials compared to those obtained from the extraction from shrimp chitin that displayed a distinctive morphology which was favorable for subsequent functionalization.
Chitosan’s limited water solubility restricts its utility, but introducing a sulfate group enhances solubility and biodegradability; thus, sulfated chitosan gains biological activity akin to heparin and heparin sulfate [283,284], exhibiting anticoagulant and antiviral properties, serving as substitutes for heparin or heparin sulfate in biomedicine [285]. In this area, Kazachenko et al. [265] reported the sulfation process of chitosan using sulfamic acid, both in 1,4-dioxane with urea and in a DES formed by sulfamic acid/urea. The optimal reaction conditions were fairly similar in terms of temperature (89.2 °C vs. 88.0 °C) and time (2.9 vs. 2.1 h). FTIR was used to confirm the introduction of a sulfate group into the chitosan structure, while XRD analysis revealed amorphization during the sulfation process of chitosan. Particle size distributions on the films of sulfated chitosan, obtained in both 1,4-dioxane and the sulfamic acid/urea deep eutectic solvent, were also found to be very similar or identical (around 160 nm). GPC data confirmed the main difference, as sulfated chitosan obtained using 1,4-dioxane had a molecular weight (Mw) of approximately 36.6 kDa, whereas sulfated chitosan obtained with the DES had a slightly lower molecular weight, around 27.2 kDa.
Chitosan presents a promising option for food packaging because of its biodegradability, antimicrobial activity, and barrier properties against gases and liquids [286]. Its film-forming ability allows for the creation of biodegradable and edible coatings, extending the shelf life of perishable foods by reducing microbial growth and moisture loss. Additionally, chitosan’s compatibility with food ingredients and its safety for human consumption make it a suitable material for eco-friendly and sustainable food packaging solutions, contributing to reducing plastic waste and environmental impacts [287]. Thus, it is not surprising to find plenty of uses of DESs as auxiliaries/additives to improve chitosan-based food packaging biomaterials, as shown in Table 3. In this sense, it is worth mentioning the synergic combination of chitosan (derived from chitin, the world’s most abundant renewable resource and a by-product of the fishing industry [27]) and lignin (derived from cellulose, the most abundant biopolymer on Earth [26]) for the sustainable production of biomaterials useful for food packaging [271,272]. This synergy is well known, as both chitin and lignin as natural ingredients show interesting applications in the substitution of usual synthetic chemicals for the production of innovative/healthy products [288]; in addition, chitin and lignin are used in production of phenolic monomers via catalytic depolymerization processes [289,290].
Self-healing materials, prized for their ability to repair damage autonomously, find extensive application in coating design, energy storage, corrosion protection, and tissue engineering [291]. Chitosan-derived polymers have demonstrated inherent self-healing properties due to reversible interactions leading to a dynamic physical or chemical crosslinked 3D network established either by noncovalent interactions (hydrogen bonding, electrostatic and hydrophobic interactions) or dynamic covalent bonds in chitosan-modified materials [292]. Moreover, the natural propensity of DES components to form hydrogen bonds offers a favorable characteristic for crafting self-healing ion gels. For instance, Smirnov et al. [274] prepared plasticized chitosan films with a high content (67–82 wt%) of ChCl/citric acid DES. The film, containing 67 wt% of NADES, displayed a 56% recovery of elongation at break and 72% of initial strength post-rupture, alongside self-healing capabilities. This was credited to the dynamic network of hydrogen bonds between the polymer and DES components, as confirmed by FTIR analysis. The film’s highly hydrophilic nature, coupled with internal osmotic pressure, could enable swift reversible vapor-induced movement, mimicking certain plant movements.
Up to this point, the preponderant role of chitosan for generating different biocomposites has been clearly proved [293]. DESs have been also used for facilitating the generation of chitosan-based nanofibers [275] or nanowhiskers [276]. As an additional proof of the synergic combination of DESs and chitosan, different biomaterials useful for dye absorption [278,279] or for pervaporation membranes [277] have been described.
5. Conclusions
Based on the data outlined in this review, our aim has been to document, albeit not exhaustively, the significant advantages of utilizing deep eutectic solvents (DESs) in the realm of chitin/chitosan extraction and modification. We have sought to underscore the inherent sustainability linked to the combined use of biocompatible, biodegradable, and versatile chitinaceous biomaterials in conjunction with DESs, environmentally friendly solvents comprising distinctive blends of hydrogen bond acceptors and donors with specific physicochemical properties, including low toxicity, minimal volatility, and adaptable solvation capabilities. This synergy facilitates the development of pioneering drug delivery systems, wound dressings, tissue engineering scaffolds, and antimicrobial agents. We firmly believe that we are witnessing a kind of golden era in the application of DESs for the production of therapeutic biomaterials derived from biopolymers in general, and chitin/chitosan in particular, anticipating a plethora of new and exciting developments in this field over the coming years.
Author Contributions
Conceptualization, I.A., N.A. and A.R.A.; writing—original draft preparation, D.A.D.-S., I.F.-G. and R.G.-G.; graphic design, D.A.D.-S., I.F.-G. and R.G.-G., writing—review and editing, A.R.A.; funding acquisition, I.A., N.A. and A.R.A. All authors have read and agreed to the published version of the manuscript.
Funding
This project has received funding from the EU’s Horizon Europe Doctoral Network Program under the Marie Skłodowska-Curie grant, agreement no. 101072731. This research was also partly funded by the Spanish Ministry of Science and Innovation, projects PID2019-105337RB-C22 and TED2021-129564B-I00.
Data Availability Statement
No new data were created or analyzed in this study. Data sharing is not applicable to this article.
Conflicts of Interest
The authors declare no conflict of interest.
References
- Vinod, A.; Sanjay, M.R.; Suchart, S.; Jyotishkumar, P. Renewable and sustainable biobased materials: An assessment on biofibers, biofilms, biopolymers and biocomposites. J. Clean. Prod. 2020, 258, 27. [Google Scholar] [CrossRef]
- Pires, J.R.A.; Souza, V.G.L.; Fuciños, P.; Pastrana, L.; Fernando, A.L. Methodologies to Assess the Biodegradability of Bio-Based Polymers—Current Knowledge and Existing Gaps. Polymers 2022, 14, 1359. [Google Scholar] [CrossRef]
- Ahsan, W.A.; Hussain, A.; Lin, C.; Nguyen, M.K. Biodegradation of Different Types of Bioplastics through Composting—A Recent Trend in Green Recycling. Catalysts 2023, 13, 294. [Google Scholar] [CrossRef]
- Kaing, V.; Guo, Z.; Sok, T.; Kodikara, D.; Breider, F.; Yoshimura, C. Photodegradation of biodegradable plastics in aquatic environments: Current understanding and challenges. Sci. Total Environ. 2024, 911, 168539. [Google Scholar] [CrossRef]
- Rosenboom, J.G.; Langer, R.; Traverso, G. Bioplastics for a circular economy. Nat. Rev. Mater. 2022, 7, 117–137. [Google Scholar] [CrossRef]
- Bachmann, M.; Kätelhön, A.; Winter, B.; Meys, R.; Müller, L.J.; Bardow, A. Renewable carbon feedstock for polymers: Environmental benefits from synergistic use of biomass and CO2. Faraday Discuss. 2021, 230, 227–246. [Google Scholar] [CrossRef]
- Sandoval, S.S.; Amenábar, A.; Toledo, I.; Silva, N.; Contreras, P. Advances in the Sustainable Development of Biobased Materials Using Plant and Animal Waste as Raw Materials: A Review. Sustainability 2024, 16, 1073. [Google Scholar] [CrossRef]
- Shadhin, M.; Rahman, M.; Jayaraman, R.; Chen, Y.; Mann, D.; Zhong, W. Natural biomass & waste biomass fibers—Structures, environmental footprints, sustainability, degumming methods, & surface modifications. Ind. Crops Prod. 2023, 204, 117252. [Google Scholar] [CrossRef]
- Mukherjee, A.; Knoch, S.; Chouinard, G.; Tavares, J.R.; Dumont, M.J. Use of bio-based polymers in agricultural exclusion nets: A perspective. Biosyst. Eng. 2019, 180, 121–145. [Google Scholar] [CrossRef]
- Firmanda, A.; Fahma, F.; Syamsu, K.; Mahardika, M.; Suryanegara, L.; Munif, A.; Gozan, M.; Wood, K.; Hidayat, R.; Yulia, D. Biopolymer-based slow/controlled-release fertilizer (SRF/CRF): Nutrient release mechanism and agricultural sustainability. J. Environ. Chem. Eng. 2024, 12, 117252. [Google Scholar] [CrossRef]
- Sharma, R.; Kumar, S.; Malviya, R.; Prajapati, B.G.; Puri, D.; Limmatvapirat, S.; Sriamornsak, P. Recent advances in biopolymer-based mucoadhesive drug delivery systems for oral application. J. Drug Deliv. Sci. Technol. 2024, 91, 18. [Google Scholar] [CrossRef]
- Fazal, T.; Murtaza, B.N.; Shah, M.Z.; Iqbal, S.; Rehman, M.U.; Jaber, F.; Dera, A.A.; Awwad, N.S.; Ibrahium, H.A. Recent developments in natural biopolymer based drug delivery systems. RSC Adv. 2023, 13, 23087–23121. [Google Scholar] [CrossRef] [PubMed]
- Zarrintaj, P.; Seidi, F.; Azarfam, M.Y.; Yazdi, M.K.; Erfani, A.; Barani, M.; Chauhan, N.P.S.; Rabiee, N.; Kuang, T.R.; Kucinska-Lipka, J.; et al. Biopolymer-based composites for tissue engineering applications: A basis for future opportunities. Compos. Part B-Eng. 2023, 258, 20. [Google Scholar] [CrossRef]
- Hama, R.; Ulziibayar, A.; Reinhardt, J.W.; Watanabe, T.; Kelly, J.; Shinoka, T. Recent Developments in Biopolymer-Based Hydrogels for Tissue Engineering Applications. Biomolecules 2023, 13, 16. [Google Scholar] [CrossRef] [PubMed]
- Sadasivuni, K.K.; Saha, P.; Adhikari, J.; Deshmukh, K.; Ahamed, M.B.; Cabibihan, J.J. Recent advances in mechanical properties of biopolymer composites: A review. Polym. Compos. 2020, 41, 32–59. [Google Scholar] [CrossRef]
- Ebhodaghe, S.O.; Ndibe, H. Mechanical properties of biopolymers. In Handbook of Biopolymers; Thomas, S., Ar, A., Jose Chirayil, C., Thomas, B., Eds.; Springer Nature: Singapore, 2022; pp. 1–16. [Google Scholar]
- Di Lorenzo, M.L.; Androsch, R. Thermal Properties of Bio-Based Polymers; Springer Nature: Cham, Switzerland, 2019; Volume 283. [Google Scholar]
- Amrutha, S.R.; Rejimon, P.K.; Suja, N.R.; Mart, A. Thermal properties of biopolymers. In Handbook of Biopolymers; Thomas, S., Ar, A., Jose Chirayil, C., Thomas, B., Eds.; Springer Nature: Singapore, 2023; pp. 269–296. [Google Scholar] [CrossRef]
- Rigotti, D.; Pegoretti, A.; Miotello, A.; Checchetto, R. Interfaces in biopolymer nanocomposites: Their role in the gas barrier properties and kinetics of residual solvent desorption. Appl. Surf. Sci. 2020, 507, 145066. [Google Scholar] [CrossRef]
- Maguire, L.; Stefferson, M.; Betterton, M.D.; Hough, L.E. Design principles of selective transport through biopolymer barriers. Phys. Rev. E 2019, 100, 042414. [Google Scholar] [CrossRef]
- Flórez, M.; Cazón, P.; Vázquez, M. Selected Biopolymers’ Processing and Their Applications: A Review. Polymers 2023, 15, 25. [Google Scholar] [CrossRef]
- Nath, P.C.; Sharma, R.; Debnath, S.; Nayak, P.K.; Roy, R.; Sharma, M.; Inbaraj, B.S.; Sridhar, K. Recent advances in production of sustainable and biodegradable polymers from agro-food waste: Applications in tissue engineering and regenerative medicines. Int. J. Biol. Macromol. 2024, 259, 15. [Google Scholar] [CrossRef]
- Monia, T. Sustainable natural biopolymers for biomedical applications. J. Thermoplast. Compos. Mater. 2023, 20, 08927057231214468. [Google Scholar] [CrossRef]
- Arif, Z.U.; Khalid, M.Y.; Sheikh, M.F.; Zolfagharian, A.; Bodaghi, M. Biopolymeric sustainable materials and their emerging applications. J. Environ. Chem. Eng. 2022, 10, 108159. [Google Scholar] [CrossRef]
- Patel, N.; Blumberga, D. Insights of Bioeconomy: Biopolymer Evaluation Based on Sustainability Criteria. Environ. Clim. Technol. 2023, 27, 323–338. [Google Scholar] [CrossRef]
- Abolore, R.S.; Jaiswal, S.; Jaiswal, A.K. Green and sustainable pretreatment methods for cellulose extraction from lignocellulosic biomass and its applications: A review. Carbohydr. Polym. Technol. Appl. 2024, 7, 100396. [Google Scholar] [CrossRef]
- Giraldo, J.D.; García, Y.; Vera, M.; Garrido-Miranda, K.A.; Andrade-Acuña, D.; Marrugo, K.P.; Rivas, B.L.; Schoebitz, M. Alternative processes to produce chitin, chitosan, and their oligomers. Carbohydr. Polym. 2024, 332, 121924. [Google Scholar] [CrossRef]
- Kumari, R.; Kumar, M.; Vivekanand, V.; Pareek, N. Chitin biorefinery: A narrative and prophecy of crustacean shell waste sustainable transformation into bioactives and renewable energy. Renew. Sustain. Energy Rev. 2023, 184, 113595. [Google Scholar] [CrossRef]
- Morgan, K.; Conway, C.; Faherty, S.A.-O.; Quigley, C.A.-O. A Comparative Analysis of Conventional and Deep Eutectic Solvent (DES)-Mediated Strategies for the Extraction of Chitin from Marine Crustacean Shells. Molecules 2021, 26, 113595. [Google Scholar] [CrossRef]
- Saravanan, A.; Kumar, P.S.; Yuvaraj, D.; Jeevanantham, S.; Aishwaria, P.; Gnanasri, P.B.; Gopinath, M.; Rangasamy, G. A review on extraction of polysaccharides from crustacean wastes and their environmental applications. Environ. Res. 2023, 221, 115306. [Google Scholar] [CrossRef]
- Horváth, I.T.; Wong, C.Y.Y.; Choi, A.W.-T.; Mika, L.T.; Lui, M.Y. Valorization of the Exoskeletons of Crustaceans in Seafood Wastes to Chemicals in Renewable Solvents: A Catalytic and Mechanistic Study. ACS Sustain. Chem. Eng. 2023, 11, 15350–15363. [Google Scholar] [CrossRef]
- Azelee, N.I.W.; Dahiya, D.; Ayothiraman, S.; Noor, N.M.; Rasid, Z.I.A.; Ramli, A.N.M.; Ravindran, B.; Iwuchukwu, F.U.; Selvasembian, R. Sustainable valorization approaches on crustacean wastes for the extraction of chitin, bioactive compounds and their applications—A review. Int. J. Biol. Macromol. 2023, 253, 126492. [Google Scholar] [CrossRef] [PubMed]
- Liu, X.; Zhang, J.; Zhu, K.Y. Chitin in arthropods: Biosynthesis, modification, and metabolism. In Advances in Experimental Medicine and Biology; Springer LLC: New York, NY, USA, 2019; Volume 1142, pp. 169–207. [Google Scholar]
- Rajan, D.K.; Mohan, K.; Rajarajeswaran, J.; Divya, D.; Kumar, R.; Kandasamy, S.; Zhang, S.B.; Ganesan, A.R. β-Chitin and chitosan from waste shells of edible mollusks as a functional ingredient. Food Front. 2024, 5, 46–72. [Google Scholar] [CrossRef]
- Hahn, T.; Tafi, E.; Paul, A.; Salvia, R.; Falabella, P.; Zibek, S. Current state of chitin purification and chitosan production from insects. J. Chem. Technol. Biotechnol. 2020, 95, 2775–2795. [Google Scholar] [CrossRef]
- Rehman, K.U.; Hollah, C.; Wiesotzki, K.; Heinz, V.; Aganovic, K.; Rehman, R.U.; Petrusan, J.I.; Zheng, L.Y.; Zhang, J.B.; Sohail, S.; et al. Insect-Derived Chitin and Chitosan: A Still Unexploited Resource for the Edible Insect Sector. Sustainability 2023, 15, 34. [Google Scholar] [CrossRef]
- Saenz-Mendoza, A.I.; Zamudio-Flores, P.B.; Tirado-Gallegos, J.M.; García-Anaya, M.C.; Velasco, C.R.; Acosta-Muñiz, C.H.; Espino-Díaz, M.; Hernández-González, M.; Vela-Gutiérrez, G.; Salgado-Delgado, R.; et al. Insects as a potential source of chitin and chitosan: Physicochemical, morphological and structural characterization—A review. Emir. J. Food Agric. 2023, 35, 388–407. [Google Scholar] [CrossRef]
- Alimi, B.A.; Pathania, S.; Wilson, J.; Duffy, B.; Frias, J.M.C. Extraction, quantification, characterization, and application in food packaging of chitin and chitosan from mushrooms: A review. Int. J. Biol. Macromol. 2023, 237, 8. [Google Scholar] [CrossRef]
- Pillai, C.K.S.; Paul, W.; Sharma, C.P. Chitin and chitosan polymers: Chemistry, solubility and fiber formation. Prog. Polym. Sci. 2009, 34, 641–678. [Google Scholar] [CrossRef]
- Varki, A.; Cummings, R.D.; Aebi, M.; Packer, N.H.; Seeberger, P.H.; Esko, J.D.; Stanley, P.; Hart, G.; Darvill, A.; Kinoshita, T.; et al. Symbol nomenclature for graphical representations of glycans. Glycobiology 2015, 25, 1323–1324. [Google Scholar] [CrossRef] [PubMed]
- Neelamegham, S.; Aoki-Kinoshita, K.; Bolton, E.; Frank, M.; Lisacek, F.; Lütteke, T.; O’Boyle, N.; Packer, N.H.; Stanley, P.; Toukach, P.; et al. Updates to the Symbol Nomenclature for Glycans guidelines. Glycobiology 2019, 29, 620–624. [Google Scholar] [CrossRef] [PubMed]
- Thieker, D.F.; Hadden, J.A.; Schulten, K.; Woods, R.J. 3D implementation of the symbol nomenclature for graphical representation of glycans. Glycobiology 2016, 26, 786–787. [Google Scholar] [CrossRef] [PubMed]
- Fernando, L.D.; Widanage, M.C.D.; Penfield, J.; Lipton, A.S.; Washton, N.; Latgé, J.P.; Wang, P.; Zhang, L.; Wang, T. Structural Polymorphism of Chitin and Chitosan in Fungal Cell Walls from Solid-State NMR and Principal Component Analysis. Front. Mol. Biosci. 2021, 8, 727053. [Google Scholar] [CrossRef]
- Kaya, M.; Mujtaba, M.; Ehrlich, H.; Salaberria, A.M.; Baran, T.; Amemiya, C.T.; Galli, R.; Akyuz, L.; Sargin, I.; Labidi, J. On chemistry of γ-chitin. Carbohydr. Polym. 2017, 176, 177–186. [Google Scholar] [CrossRef]
- Arshad, M.; Zubair, M.; Ullah, A. Miscibility, properties, and biodegradability of chitin and chitosan. In Handbook of Chitin and Chitosan: Volume 1: Preparation and Properties; Elsevier: Amsterdam, The Netherlands, 2020; pp. 377–399. [Google Scholar]
- Zhu, K.; Shi, S.; Cao, Y.; Lu, A.; Hu, J.; Zhang, L. Robust chitin films with good biocompatibility and breathable properties. Carbohydr. Polym. 2019, 212, 361–367. [Google Scholar] [CrossRef]
- Ye, X.; Wang, Z.; Wang, Q.; Zhu, L.; Yang, L.; Xu, D. Solid-State Utilization of Chitin to Construct Flexible Films with Enhanced Biocompatibility and Mechanical Performance. ACS Sustain. Chem. Eng. 2023, 12, 4497–4505. [Google Scholar] [CrossRef]
- Kim, D.H.; Wang, Y.; Jung, H.; Field, R.L.; Zhang, X.; Liu, T.C.; Ma, C.; Fraser, J.S.; Brestoff, J.R.; Van Dyken, S.J. A type 2 immune circuit in the stomach controls mammalian adaptation to dietary chitin. Science 2023, 381, 1092–1098. [Google Scholar] [CrossRef]
- Hema, S.; Chandran, G.U.; Jyothi, P.R.; Sambhudevan, S. Biomedical applications of chitin. In Handbook of Biopolymers; Thomas, S., Ar, A., Jose Chirayil, C., Thomas, B., Eds.; Springer Nature: Singapore, 2022; pp. 1–28. [Google Scholar]
- Azad, A.K.; Bhattacharya, T.; Hasnain, M.S.; Tripathi, G.; Nayak, A.K. Chitin- and chitosan-based nanomaterials for therapeutic applications. In Polymeric Nanosystems: Theranostic Nanosystems: Volume 1; Elsevier: Amsterdam, The Netherlands, 2023; pp. 173–205. [Google Scholar]
- Elizalde-Cárdenas, A.; Ribas-Aparicio, R.M.; Rodríguez-Martínez, A.; Leyva-Gómez, G.; Ríos-Castañeda, C.; González-Torres, M. Advances in chitosan and chitosan derivatives for biomedical applications in tissue engineering: An updated review. Int. J. Biol. Macromol. 2024, 262, 129999. [Google Scholar] [CrossRef]
- Casadidio, C.; Peregrina, D.V.; Gigliobianco, M.R.; Deng, S.; Censi, R.; Di Martino, P. Chitin and chitosans: Characteristics, eco-friendly processes, and applications in cosmetic science. Mar. Drugs 2019, 17, 30. [Google Scholar] [CrossRef]
- Giraldo, J.D.; Garrido-Miranda, K.A.; Schoebitz, M. Chitin and its derivatives: Functional biopolymers for developing bioproducts for sustainable agriculture—A reality? Carbohydr. Polym. 2023, 299, 120196. [Google Scholar] [CrossRef]
- Riseh, R.S.; Vazvani, M.G.; Kennedy, J.F. The application of chitosan as a carrier for fertilizer: A review. Int. J. Biol. Macromol. 2023, 252, 126483. [Google Scholar] [CrossRef]
- Saberi Riseh, R.; Vatankhah, M.; Hassanisaadi, M.; Varma, R.S. A review of chitosan nanoparticles: Nature’s gift for transforming agriculture through smart and effective delivery mechanisms. Int. J. Biol. Macromol. 2024, 260, 129522. [Google Scholar] [CrossRef]
- Roy, J.; Salaün, F.; Giraud, S.; Ferri, A.; Guan, J.; Chen, G. Solubility of Chitin: Solvents, Solution Behaviors and Their Related Mechanisms. Solubility Polysacch. 2017, 3, 20–60. [Google Scholar]
- Zhong, Y.; Cai, J.; Zhang, L.N. A Review of Chitin Solvents and Their Dissolution Mechanisms. Chin. J. Polym. Sci. 2020, 14, 1047–1060. [Google Scholar] [CrossRef]
- Jiang, T.; James, R.; Kumbar, S.G.; Laurencin, C.T. Chitosan as a Biomaterial: Structure, Properties, and Applications in Tissue Engineering and Drug Delivery. In Natural and Synthetic Biomedical Polymers; Kumbar, S., Laurencin, C., Deng, M., Eds.; Elsevier Science: Burlington, MA, USA, 2014; pp. 91–113. [Google Scholar]
- Crini, G. Historical review on chitin and chitosan biopolymers. Environ. Chem. Lett. 2019, 17, 1623–1643. [Google Scholar] [CrossRef]
- Aranaz, I.; Alcántara, A.R.; Civera, M.C.; Arias, C.; Elorza, B.; Heras Caballero, A.; Acosta, N. Chitosan: An Overview of Its Properties and Applications. Polymers 2021, 13, 3256. [Google Scholar] [CrossRef]
- Junceda-Mena, I.; García-Junceda, E.; Revuelta, J. From the problem to the solution: Chitosan valorization cycle. Carbohydr. Polym. 2023, 309, 120674. [Google Scholar] [CrossRef]
- Jagdale, S.; Agarwal, B.; Dixit, A.; Gaware, S. Chitosan as excellent bio-macromolecule with myriad of anti-activities in biomedical applications—A review. Int. J. Biol. Macromol. 2024, 257, 128697. [Google Scholar] [CrossRef]
- Kluczka, J. Chitosan: Structural and Chemical Modification, Properties, and Application. Int. J. Mol. Sci. 2024, 25, 554. [Google Scholar] [CrossRef]
- Novikov, V.Y.; Derkach, S.R.; Konovalova, I.N.; Dolgopyatova, N.; Kuchina, Y.A. Mechanism of Heterogeneous Alkaline Deacetylation of Chitin: A Review. Polymers 2023, 15, 23. [Google Scholar] [CrossRef]
- Sixto-Berrocal, A.M.; Vázquez-Aldana, M.; Miranda-Castro, S.P.; Martínez-Trujillo, M.A.; Cruz-Díaz, M.R. Chitin/chitosan extraction from shrimp shell waste by a completely biotechnological process. Int. J. Biol. Macromol. 2023, 230, 123204. [Google Scholar] [CrossRef]
- Rakshit, S.; Pal, K.; Mondal, S.; Jana, A.; Mondal, K.C.; Halder, S.K. Extraction of chitosan from biologically-derived chitin by bacterial chitin deacetylase: Process optimization and product quality assessment. Int. J. Biol. Macromol. 2023, 244, 125389. [Google Scholar] [CrossRef]
- Hamer, S.N.; Cord-Landwehr, S.; Biarnes, X.; Planas, A.; Waegeman, H.; Moerschbacher, B.M.; Kolkenbrock, S. Enzymatic production of defined chitosan oligomers with a specific pattern of acetylation using a combination of chitin oligosaccharide deacetylases. Sci. Rep. 2015, 5, 9. [Google Scholar] [CrossRef] [PubMed]
- Wattjes, J.; Niehues, A.; Cord-Landwehr, S.; Hossbach, J.; David, L.; Delair, T.; Moerschbacher, B.M. Enzymatic production and enzymatic-mass spectrometric fingerprinting analysis of chitosan polymers with different nonrandom patterns of acetylation. J. Am. Chem. Soc. 2019, 141, 3137–3145. [Google Scholar] [CrossRef] [PubMed]
- Basa, S.; Nampally, M.; Honorato, T.; Das, S.N.; Podile, A.R.; El Gueddari, N.E.; Moerschbacher, B.M. The Pattern of Acetylation Defines the Priming Activity of Chitosan Tetramers. J. Am. Chem. Soc. 2020, 142, 1975–1986. [Google Scholar] [CrossRef]
- Cord-Landwehr, S.; Richter, C.; Wattjes, J.; Sreekumar, S.; Singh, R.; Basa, S.; El Gueddari, N.E.; Moerschbacher, B.M. Patterns matter part 2: Chitosan oligomers with defined patterns of acetylation. React. Funct. Polym. 2020, 151, 104577. [Google Scholar] [CrossRef]
- Wattjes, J.; Sreekumar, S.; Richter, C.; Cord-Landwehr, S.; Singh, R.; El Gueddari, N.E.; Moerschbacher, B.M. Patterns matter part 1: Chitosan polymers with non-random patterns of acetylation. React. Funct. Polym. 2020, 151, 104583. [Google Scholar] [CrossRef]
- Sreekumar, S.; Wattjes, J.; Niehues, A.; Mengoni, T.; Mendes, A.C.; Morris, E.R.; Goycoolea, F.M.; Moerschbacher, B.M. Biotechnologically produced chitosans with nonrandom acetylation patterns differ from conventional chitosans in properties and activities. Nat. Commun. 2022, 13, 7125. [Google Scholar] [CrossRef] [PubMed]
- Singh, R.; Smiatek, J.; Moerschbacher, B.M. Unraveling the Impact of Acetylation Patterns in Chitosan Oligomers on Cu2+ Ion Binding: Insights from DFT Calculations. Int. J. Mol. Sci. 2023, 24, 13792. [Google Scholar] [CrossRef] [PubMed]
- Aranaz, I.; Mengibar, M.; Harris, R.; Paños, I.; Miralles, B.; Acosta, N.; Galed, G.; Heras, A. Functional Characterization of Chitin and Chitosan. Curr. Chem. Biol. 2009, 3, 203–230. [Google Scholar] [CrossRef]
- Faria, R.R.; Guerra, R.F.; De Sousa Neto, L.R.; Motta, L.F.; Franca, E.D.F. Computational study of polymorphic structures of α- And β- chitin and chitosan in aqueous solution. J. Mol. Graph. Model. 2016, 63, 78–84. [Google Scholar] [CrossRef] [PubMed]
- Rinaudo, M. Chitin and chitosan: Properties and applications. Prog. Polym. Sci. 2006, 31, 603–632. [Google Scholar] [CrossRef]
- Younes, I.; Rinaudo, M. Chitin and Chitosan Preparation from Marine Sources. Structure, Properties and Applications. Mar. Drugs 2015, 13, 1133–1174. [Google Scholar] [CrossRef]
- Xing, L.; Du, L.N.; Luo, C.Q.; Zhou, T.J.; Zhu, Y.; Gong, J.H.; Jin, Y.G.; Jiang, H.L. Chitosan and its derivatives as chemical drug delivery. Curr. Org. Chem. 2018, 22, 690–707. [Google Scholar] [CrossRef]
- Desai, N.; Rana, D.; Salave, S.; Gupta, R.; Patel, P.; Karunakaran, B.; Sharma, A.; Giri, J.; Benival, D.; Kommineni, N. Chitosan: A Potential Biopolymer in Drug Delivery and Biomedical Applications. Pharmaceutics 2023, 15, 69. [Google Scholar] [CrossRef]
- Shrestha, R.; Thenissery, A.; Khupse, R.; Rajashekara, G. Strategies for the Preparation of Chitosan Derivatives for Antimicrobial, Drug Delivery, and Agricultural Applications: A Review. Molecules 2023, 28, 7659. [Google Scholar] [CrossRef]
- Garcinuño, S.; Aranaz, I.; Civera, C.; Arias, C.; Acosta, N. Evaluating Non-Conventional Chitosan Sources for Controlled Release of Risperidone. Polymers 2022, 14, 1355. [Google Scholar] [CrossRef]
- Haider, A.; Khan, S.; Iqbal, D.N.; Shrahili, M.; Haider, S.; Mohammad, K.; Mohammad, A.; Rizwan, M.; Kanwal, Q.; Mustafa, G. Advances in chitosan-based drug delivery systems: A comprehensive review for therapeutic applications. Eur. Polym. J. 2024, 210, 112983. [Google Scholar] [CrossRef]
- Matica, M.A.; Aachmann, F.L.; Tøndervik, A.; Sletta, H.; Ostafe, V. Chitosan as a wound dressing starting material: Antimicrobial properties and mode of action. Int. J. Mol. Sci. 2019, 20, 5889. [Google Scholar] [CrossRef]
- Che, X.; Zhao, T.; Hu, J.; Yang, K.; Ma, N.; Li, A.; Sun, Q.; Ding, C.; Ding, Q. Application of Chitosan-Based Hydrogel in Promoting Wound Healing: A Review. Polymers 2024, 16, 344. [Google Scholar] [CrossRef]
- Biswal, A.; Purohit, S.S.; Swain, S.K. Chitosan based composite scaffolds in skin wound repair: A review. J. Drug Deliv. Sci. Technol. 2023, 84, 104549. [Google Scholar] [CrossRef]
- Jayabal, P.; Kannan Sampathkumar, V.; Vinothkumar, A.; Mathapati, S.; Pannerselvam, B.; Achiraman, S.; Venkatasubbu, G.D. Fabrication of a Chitosan-Based Wound Dressing Patch for Enhanced Antimicrobial, Hemostatic, and Wound Healing Application. ACS Appl. Bio Mater. 2023, 6, 615–627. [Google Scholar] [CrossRef]
- Teixeira-Santos, R.; Lima, M.; Gomes, L.C.; Mergulhão, F.J. Antimicrobial coatings based on chitosan to prevent implant-associated infections: A systematic review. iScience 2021, 24, 103480. [Google Scholar] [CrossRef] [PubMed]
- Paradowska-Stolarz, A.; Mikulewicz, M.; Laskowska, J.; Karolewicz, B.; Owczarek, A. The Importance of Chitosan Coatings in Dentistry. Mar. Drugs 2023, 21, 613. [Google Scholar] [CrossRef] [PubMed]
- Yilmaz Atay, H. Antibacterial activity of chitosan-based systems. In Functional Chitosan: Drug Delivery and Biomedical Applications; Springer: Singapore, 2020; pp. 457–489. [Google Scholar]
- Sarfraz, M.H.; Hayat, S.; Siddique, M.H.; Aslam, B.; Ashraf, A.; Saqalein, M.; Khurshid, M.; Sarfraz, M.F.; Afzal, M.; Muzammil, S. Chitosan based coatings and films: A perspective on antimicrobial, antioxidant, and intelligent food packaging. Prog. Org. Coat. 2024, 188, 108235. [Google Scholar] [CrossRef]
- Affes, S.; Aranaz, I.; Acosta, N.; Heras, Á.; Nasri, M.; Maalej, H. Physicochemical and biological properties of chitosan derivatives with varying molecular weight produced by chemical depolymerization. Biomass-Convers. Biorefinery 2022, 14, 4111–4121. [Google Scholar] [CrossRef]
- Markushin, S.G.; Akopova, I.I.; Blagodatskikh, I.V.; Kulikov, S.N.; Bezrodnykh, E.A.; Muranov, A.V.; Yamskov, I.A.; Tikhonov, V.E. Effect of molecular weight and degree of acetylation on adjuvantive properties of chitosan derivatives. Appl. Biochem. Microbiol. 2018, 54, 512–517. [Google Scholar] [CrossRef]
- Shariatinia, Z. Pharmaceutical applications of chitosan. Adv. Colloid Interface Sci. 2019, 263, 131–194. [Google Scholar] [CrossRef] [PubMed]
- de Oliveira, W.F.; Sales Albuquerque, P.B.; Ribeiro Rodrigues, N.E.; dos Santos Silva, P.M.; Kennedy, J.F.; dos Santos Correia, M.T.; Breitenbach Barroso Coelho, L.C. Pharmaceutical applications of chitosan on medical implants: A viable alternative for construction of new biomaterials? Carbohydr. Polym. Technol. Appl. 2024, 7, 100407. [Google Scholar] [CrossRef]
- Iqbal, Y.; Ahmed, I.; Irfan, M.F.; Chatha, S.A.S.; Zubair, M.; Ullah, A. Recent advances in chitosan-based materials; The synthesis, modifications and biomedical applications. Carbohydr. Polym. 2023, 321, 121318. [Google Scholar] [CrossRef] [PubMed]
- Tian, B.R.; Liu, Y.M. Chitosan-based biomaterials: From discovery to food application. Polym. Adv. Technol. 2020, 31, 2408–2421. [Google Scholar] [CrossRef]
- Zubair, M.; Arshad, M.; Ullah, A. Chapter 25—Chitosan-based materials for water and wastewater treatment. In Handbook of Chitin and Chitosan; Gopi, S., Thomas, S., Pius, A., Eds.; Elsevier: Amsterdam, The Netherlands, 2020; pp. 773–809. [Google Scholar]
- Qin, C.; Li, H.; Xiao, Q.; Liu, Y.; Zhu, J.; Du, Y. Water-solubility of chitosan and its antimicrobial activity. Carbohydr. Polym. 2006, 63, 367–374. [Google Scholar] [CrossRef]
- Akpan, E.I.; Gbenebor, O.P.; Adeosun, S.O.; Cletus, O. Solubility, degree of acetylation, and distribution of acetyl groups in chitosan. In Handbook of Chitin and Chitosan: Volume 1: Preparation and Properties; Elsevier: Amsterdam, The Netherlands, 2020; pp. 131–164. [Google Scholar]
- Tong, Z.; Zeng, S.; Tang, H.; Wang, W.; Sun, Y.; Xia, Q.; Yu, H. A room temperature dissolution solvent and its mechanism for natural biopolymers: Hydrogen bonding interaction investigation. Green Chem. 2023, 25, 5086–5096. [Google Scholar] [CrossRef]
- Das, A.; Ringu, T.; Ghosh, S.; Pramanik, N. A comprehensive review on recent advances in preparation, physicochemical characterization, and bioengineering applications of biopolymers. Polym. Bull. 2023, 80, 7247–7312. [Google Scholar] [CrossRef]
- Brasselet, C.; Pierre, G.; Dubessay, P.; Dols-Lafargue, M.; Coulon, J.; Maupeu, J.; Vallet-Courbin, A.; de Baynast, H.; Doco, T.; Michaud, P.; et al. Modification of chitosan for the generation of functional derivatives. Appl. Sci. 2019, 9, 33. [Google Scholar] [CrossRef]
- Kaczmarek, M.B.; Struszczyk-Swita, K.; Li, X.; Szczęsna-Antczak, M.; Daroch, M. Enzymatic modifications of chitin, chitosan, and chitooligosaccharides. Front. Bioeng. Biotechnol. 2019, 7, 243. [Google Scholar] [CrossRef] [PubMed]
- Arnold, N.D.; Bruck, W.M.; Garbe, D.; Bruck, T.B. Enzymatic Modification of Native Chitin and Conversion to Specialty Chemical Products. Mar. Drugs 2020, 18, 27. [Google Scholar] [CrossRef] [PubMed]
- Chapelle, C.; David, G.; Caillol, S.; Negrell, C.; Le Foll, M.D. Advances in chitooligosaccharides chemical modifications. Biopolymers 2022, 18, e23461. [Google Scholar] [CrossRef] [PubMed]
- Prasad, K.; Sharma, M. Green solvents for the dissolution and processing of biopolymers. Curr. Opin. Green Sustain. Chem. 2019, 18, 72–78. [Google Scholar] [CrossRef]
- Sequeira, R.A.; Mondal, D.; Prasad, K.; Mondal, D. Neoteric solvent-based blue biorefinery: For chemicals, functional materials and fuels from oceanic biomass. Green Chem. 2021, 23, 8821–8847. [Google Scholar] [CrossRef]
- Abranches, D.O.; Coutinho, J.A.P. Everything You Wanted to Know about Deep Eutectic Solvents but Were Afraid to Be Told. Annu. Rev. Chem. Biomol. Eng. 2023, 14, 141–163. [Google Scholar] [CrossRef] [PubMed]
- Lončarić, M.; Jakobek, L.; Molnar, M. Deep Eutectic Solvents in the Production of Biopolymer-Based Materials. Croat. Chem. Acta 2021, 94, 75–82. [Google Scholar] [CrossRef]
- McReynolds, C.; Adrien, A.; Castejon, N.; Fernandes, S.C.M. Green in the deep blue: Deep eutectic solvents as versatile systems for the processing of marine biomass. Green Chem. Lett. Rev. 2022, 15, 382–403. [Google Scholar] [CrossRef]
- Nguyen, C.-H.; Augis, L.; Fourmentin, S.; Barratt, G.; Legrand, F.-X. Deep eutectic solvents for innovative pharmaceutical formulations. In Deep Eutectic Solvents for Medicine, Gas Solubilization and Extraction of Natural Substances; Fourmentin, S., Costa Gomes, M., Lichtfouse, E., Eds.; Springer International Publishing: Cham, Switzerland, 2021; pp. 41–102. [Google Scholar]
- Zdanowicz, M.; Wilpiszewska, K.; Spychaj, T. Deep eutectic solvents for polysaccharides processing. A review. Carbohydr. Polym. 2018, 200, 361–380. [Google Scholar] [CrossRef]
- Hansen, B.B.; Spittle, S.; Chen, B.; Poe, D.; Zhang, Y.; Klein, J.M.; Horton, A.; Adhikari, L.; Zelovich, T.; Doherty, B.W.; et al. Deep Eutectic Solvents: A Review of Fundamentals and Applications. Chem. Rev. 2021, 121, 1232–1285. [Google Scholar] [CrossRef]
- González-Campos, J.B.; Pérez-Nava, A.; Valle-Sánchez, M.; Delgado-Rangel, L.H. Deep eutectic solvents applications aligned to 2030 United Nations Agenda for Sustainable Development. Chem. Eng. Process.-Process. Intensif. 2024, 199, 109751. [Google Scholar] [CrossRef]
- Kist, J.A.; Zhao, H.; Mitchell-Koch, K.R.; Baker, G.A. The study and application of biomolecules in deep eutectic solvents. J. Mater. Chem. B 2021, 9, 536–566. [Google Scholar] [CrossRef] [PubMed]
- Jesus, A.R.; Paiva, A.; Duarte, A.R.C. Current developments and future perspectives on biotechnology applications of natural deep eutectic systems. Curr. Opin. Green Sustain. Chem. 2023, 39, 100731. [Google Scholar] [CrossRef]
- Falcini, C.; de Gonzalo, G. Deep Eutectic Solvents as Catalysts in the Synthesis of Active Pharmaceutical Ingredients and Precursors. Catalysts 2024, 14, 16. [Google Scholar] [CrossRef]
- Carreiro, E.P.; Federsel, H.-J.; Hermann, G.J.; Burke, A.J. Stereoselective Catalytic Synthesis of Bioactive Compounds in Natural Deep Eutectic Solvents (NADESs): A Survey across the Catalytic Spectrum. Catalysts 2024, 14, 160. [Google Scholar] [CrossRef]
- Zhang, N.N.; de Maria, P.D.; Kara, S.; Salomone, A. Biocatalysis for the Synthesis of Active Pharmaceutical Ingredients in Deep Eutectic Solvents: State-of-the-Art and Prospects. Catalysts 2024, 14, 84. [Google Scholar] [CrossRef]
- Domingues, L.; Duarte, A.R.C.; Jesus, A.R. How Can Deep Eutectic Systems Promote Greener Processes in Medicinal Chemistry and Drug Discovery? Pharmaceuticals 2024, 17, 28. [Google Scholar] [CrossRef]
- Choi, Y.H.; van Spronsen, J.; Dai, Y.; Verberne, M.; Hollmann, F.; Arends, I.W.C.E.; Witkamp, G.J.; Verpoorte, R. Are natural deep eutectic solvents the missing link in understanding cellular metabolism and physiology? Plant Physiol. 2011, 156, 1701–1705. [Google Scholar] [CrossRef]
- Dai, Y.; van Spronsen, J.; Witkamp, G.J.; Verpoorte, R.; Choi, Y.H. Natural deep eutectic solvents as new potential media for green technology. Anal. Chim. Acta 2013, 766, 61–68. [Google Scholar] [CrossRef]
- Paiva, A.; Craveiro, R.; Aroso, I.; Martins, M.; Reis, R.L.; Duarte, A.R.C. Natural deep eutectic solvents—Solvents for the 21st century. ACS Sustain. Chem. Eng. 2014, 2, 1063–1071. [Google Scholar] [CrossRef]
- Liu, Y.; Friesen, J.B.; McAlpine, J.B.; Lankin, D.C.; Chen, S.N.; Pauli, G.F. Natural Deep Eutectic Solvents: Properties, Applications, and Perspectives. J. Nat. Prod. 2018, 81, 679–690. [Google Scholar] [CrossRef] [PubMed]
- Espino, M.; de los Ángeles Fernández, M.; Gomez, F.J.V.; Silva, M.F. Natural designer solvents for greening analytical chemistry. TrAC Trends Anal. Chem. 2016, 76, 126–136. [Google Scholar] [CrossRef]
- Li, X.; Li, J.Y.; Manzoor, M.F.; Lin, Q.Y.; Shen, J.L.; Liao, L.; Zeng, X.A. Natural deep eutectic solvent: A promising eco-friendly food bio-inspired antifreezing. Food Chem. 2024, 437, 137808. [Google Scholar] [CrossRef]
- Villa, C.; Caviglia, D.; Robustelli della Cuna, F.S.; Zuccari, G.; Russo, E. NaDES Application in Cosmetic and Pharmaceutical Fields: An Overview. Gels 2024, 10, 107. [Google Scholar] [CrossRef] [PubMed]
- Lapeña, D.; Errazquin, D.; Lomba, L.; Lafuente, C.; Giner, B. Ecotoxicity and biodegradability of pure and aqueous mixtures of deep eutectic solvents: Glyceline, ethaline, and reline. Environ. Sci. Pollut. Res. 2021, 28, 8812–8821. [Google Scholar] [CrossRef] [PubMed]
- Azzouz, A.; Hayyan, M. Are deep eutectic solvents biodegradable? Process Saf. Environ. Protect. 2023, 176, 1021–1025. [Google Scholar] [CrossRef]
- Sharma, A.; Lee, B.S. Toxicity test profile for deep eutectic solvents: A detailed review and future prospects. Chemosphere 2024, 350, 141097. [Google Scholar] [CrossRef] [PubMed]
- Hayyan, M.; Mbous, Y.P.; Looi, C.Y.; Wong, W.F.; Hayyan, A.; Salleh, Z.; Mohd-Ali, O. Natural deep eutectic solvents: Cytotoxic profile. SpringerPlus 2016, 5, 913. [Google Scholar] [CrossRef] [PubMed]
- Hooshmand, S.E.; Kumar, S.; Bahadur, I.; Singh, T.; Varma, R.S. Deep eutectic solvents as reusable catalysts and promoter for the greener syntheses of small molecules: Recent advances. J. Mol. Liq. 2023, 371, 121013. [Google Scholar] [CrossRef]
- Domínguez de María, P.; Kara, S.; Kara, S. On the fate of deep eutectic solvents after their use as reaction media: The CO2 production during downstream and ultimate disposal. RSC Sustain. 2024, 2, 608–615. [Google Scholar] [CrossRef]
- Azzouz, A.; Hayyan, M. Techno-economic feasibility analysis: The missing piece in the puzzle of deep eutectic solvents. Sustain. Mater. Technol. 2024, 39, e00795. [Google Scholar] [CrossRef]
- Oyatogun, G.M.; Esan, T.A.; Akpan, E.I.; Adeosun, S.O.; Popoola, A.P.I.; Imasogie, B.I.; Soboyejo, W.O.; Afonja, A.A.; Ibitoye, S.A.; Abere, V.D.; et al. Chitin, chitosan, marine to market. In Handbook of Chitin and Chitosan: Volume 3: Chitin- and Chitosan-Based Polymer Materials for Various Applications; Elsevier: Amsterdam, The Netherlands, 2020; pp. 341–381. [Google Scholar]
- Younes, I.; Hajji, S.; Rinaudo, M.; Chaabouni, M.; Jellouli, K.; Nasri, M. Optimization of proteins and minerals removal from shrimp shells to produce highly acetylated chitin. Int. J. Biol. Macromol. 2016, 84, 246–253. [Google Scholar] [CrossRef] [PubMed]
- Aldila, H.; Asmar; Fabiani, V.A.; Dalimunthe, D.Y.; Irwanto, R. The effect of deproteinization temperature and NaOH concentration on deacetylation step in optimizing extraction of chitosan from shrimp shells waste. IOP Conf. Ser. Earth Environ. Sci. 2020, 599, 012003. [Google Scholar] [CrossRef]
- Maddaloni, M.; Vassalini, I.; Alessandri, I. Green Routes for the Development of Chitin/Chitosan Sustainable Hydrogels. Sustain. Chem. 2020, 1, 325–344. [Google Scholar] [CrossRef]
- Mohan, K.; Ganesan, A.R.; Ezhilarasi, P.N.; Kondamareddy, K.K.; Rajan, D.K.; Sathishkumar, P.; Rajarajeswaran, J.; Conterno, L. Green and eco-friendly approaches for the extraction of chitin and chitosan: A review. Carbohydr. Polym. 2022, 287, 24. [Google Scholar] [CrossRef] [PubMed]
- Baranwal, J.; Barse, B.; Fais, A.; Delogu, G.L.; Kumar, A. Biopolymer: A Sustainable Material for Food and Medical Applications. Polymers 2022, 14, 983. [Google Scholar] [CrossRef] [PubMed]
- Khajavian, M.; Vatanpour, V.; Castro-Muñoz, R.; Boczkaj, G. Chitin and derivative chitosan-based structures—Preparation strategies aided by deep eutectic solvents: A review. Carbohydr. Polym. 2022, 275, 118702. [Google Scholar] [CrossRef] [PubMed]
- Sharma, M.; Mukesh, C.; Mondal, D.; Prasad, K. Dissolution of α-chitin in deep eutectic solvents. RSC Adv. 2013, 3, 18149–18155. [Google Scholar] [CrossRef]
- Vicente, F.A.; Bradić, B.; Novak, U.; Likozar, B. α-Chitin dissolution, N-deacetylation and valorization in deep eutectic solvents. Biopolymers 2020, 111, e23351. [Google Scholar] [CrossRef]
- Wang, X.; Zhou, P.; Lv, X.; Liang, Y. Insight into the structure-function relationships of the solubility of chitin/chitosan in natural deep eutectic solvents. Mater. Today Commun. 2021, 27, 102374. [Google Scholar] [CrossRef]
- Zhu, P.; Gu, Z.J.; Hong, S.; Lian, H.L. One-pot production of chitin with high purity from lobster shells using choline chloride-malonic acid deep eutectic solvent. Carbohydr. Polym. 2017, 177, 217–223. [Google Scholar] [CrossRef]
- Hong, S.; Yuan, Y.; Yang, Q.R.; Zhu, P.; Lian, H.L. Versatile acid base sustainable solvent for fast extraction of various molecular weight chitin from lobster shell. Carbohydr. Polym. 2018, 201, 211–217. [Google Scholar] [CrossRef] [PubMed]
- Saravana, P.S.; Ho, T.C.; Chae, S.J.; Cho, Y.J.; Park, J.S.; Lee, H.J.; Chun, B.S. Deep eutectic solvent-based extraction and fabrication of chitin films from crustacean waste. Carbohydr. Polym. 2018, 195, 622–630. [Google Scholar] [CrossRef] [PubMed]
- Sun, X.; Wei, Q.; Yang, Y.; Xiao, Z.; Ren, X. In-depth study on the extraction and mechanism of high-purity chitin based on NADESs method. J. Environ. Chem. Eng. 2022, 10, 106859. [Google Scholar] [CrossRef]
- He, Y.; Liu, Y.; Luo, J.; Mao, X.; Huang, W.C. Efficient Room-Temperature Chitin Extraction Using a Novel Ternary Deep Eutectic Solvent with Improved Molecular Mobility and Enhanced Recyclability. ACS Sustain. Chem. Eng. 2024, 12, 751–759. [Google Scholar] [CrossRef]
- Lv, J.; Fang, Y.; Wang, D.; Wu, M.; Zhang, W.; Ou, X.; Li, H.; Shang, L.; Li, Z.; Zhao, Y. Green preparation of β-chitins from squid pens by using alkaline deep eutectic solvents. Int. J. Biol. Macromol. 2023, 253, 126767. [Google Scholar] [CrossRef] [PubMed]
- McReynolds, C.; Adrien, A.; de Fraissinette, N.B.; Olza, S.; Fernandes, S.C.M. Deep eutectic solvents for the extraction of β-chitin from Loligo vulgaris squid pens: A sustainable way to valorize fishery by-products. Biomass Convers. Biorefinery 2022, 1–13. [Google Scholar] [CrossRef]
- Zhou, P.F.; Li, J.B.; Yan, T.; Wang, X.P.; Huang, J.; Kuang, Z.S.; Ye, M.Q.; Pan, M.S. Selectivity of deproteinization and demineralization using natural deep eutectic solvents for production of insect chitin (Hermetia illucens). Carbohydr. Polym. 2019, 225, 9. [Google Scholar] [CrossRef]
- Ozel, N.; Elibol, M. Chitin and chitosan from mushroom (Agaricus bisporus) using deep eutectic solvents. Int. J. Biol. Macromol. 2024, 262, 130110. [Google Scholar] [CrossRef]
- D’Agostino, C.; Harris, R.C.; Abbott, A.P.; Gladden, L.F.; Mantle, M.D. Molecular motion and ion diffusion in choline chloride based deep eutectic solvents studied by 1H pulsed field gradient NMR spectroscopy. Phys. Chem. Chem. Phys. 2011, 13, 21383–21391. [Google Scholar] [CrossRef] [PubMed]
- Youn, D.K.; No, H.K.; Prinyawiwatkul, W. Preparation and characterisation of selected physicochemical and functional properties of β-chitosans from squid pen. Int. J. Food Sci. Technol. 2013, 48, 1661–1669. [Google Scholar] [CrossRef]
- Vicente, F.A.; Huš, M.; Likozar, B.; Novak, U. Chitin Deacetylation Using Deep Eutectic Solvents: Ab Initio-Supported Process Optimization. ACS Sustain. Chem. Eng. 2021, 9, 3874–3886. [Google Scholar] [CrossRef] [PubMed]
- Sun, X.; Wang, Y.; Yu, J.; Wei, Q.; Ren, X. Study on the deacetylation and mechanism of chitin in natural deep eutectic solvent. Int. J. Biol. Macromol. 2024, 255, 127698. [Google Scholar] [CrossRef]
- Romero, E.O.; Saucedo, A.T.; Hernández-Meléndez, J.R.; Yang, D.; Chakrabarty, S.; Narayan, A.R.H. Enabling Broader Adoption of Biocatalysis in Organic Chemistry. JACS Au 2023, 3, 2073–2085. [Google Scholar] [CrossRef] [PubMed]
- Zetzsche, L.E.; Chakrabarty, S.; Narayan, A.R.H. The Transformative Power of Biocatalysis in Convergent Synthesis. J. Am. Chem. Soc. 2022, 144, 5214–5225. [Google Scholar] [CrossRef] [PubMed]
- Winkler, C.K.; Schrittwieser, J.H.; Kroutil, W. Power of Biocatalysis for Organic Synthesis. ACS Cent. Sci. 2021, 7, 55–71. [Google Scholar] [CrossRef]
- Alcántara, A.R.; Domínguez de María, P.; Littlechild, J.A.; Schürmann, M.; Sheldon, R.A.; Wohlgemuth, R. Biocatalysis as Key to Sustainable Industrial Chemistry. ChemSusChem 2022, 15, e202102709. [Google Scholar] [CrossRef]
- Buller, R.; Lutz, S.; Kazlauskas, R.J.; Snajdrova, R.; Moore, J.C.; Bornscheuer, U.T. From nature to industry: Harnessing enzymes for biocatalysis. Science 2023, 382, eadh8615. [Google Scholar] [CrossRef]
- Sheldon, R.A.; Brady, D. Green Chemistry, Biocatalysis, and the Chemical Industry of the Future. ChemSusChem 2022, 15, e202102628. [Google Scholar] [CrossRef]
- Sheldon, R.A.; Woodley, J.M. Role of Biocatalysis in Sustainable Chemistry. Chem. Rev. 2018, 118, 801–838. [Google Scholar] [CrossRef] [PubMed]
- Lozano, P.; García-Verdugo, E. From green to circular chemistry paved by biocatalysis. Green Chem. 2023, 25, 7041–7057. [Google Scholar] [CrossRef]
- Gallou, F.; Gröger, H.; Lipshutz, B.H. Status check: Biocatalysis; it’s use with and without chemocatalysis. How does the fine chemicals industry view this area? Green Chem. 2023, 25, 6092–6107. [Google Scholar] [CrossRef]
- de María, P.D. Green solvents and biocatalysis: A bigger picture. EFB Bioecon. J. 2023, 3, 100056. [Google Scholar] [CrossRef]
- Lozano, P. Biocatalysis in Green Solvents; Academic Press: Cambridge, MA, USA, 2022. [Google Scholar] [CrossRef]
- Miele, M.; Ielo, L.; Pace, V.; Alcántara, A.R. Biocatalysis in green biosolvents. In Greener Synthesis of Organic Compounds, 1st ed.; Nag, A., Ed.; CRC Press: Boca Raton, FL, USA, 2022. [Google Scholar]
- Paul, C.E.; Gotor-Fernández, V. Applied biocatalysis in deep eutectic solvents. In Biocatalysis in Green Solvents; Elsevier: Amsterdam, The Netherlands, 2022; pp. 467–510. [Google Scholar]
- Patzold, M.; Siebenhaller, S.; Kara, S.; Liese, A.; Syldatk, C.; Holtmann, D. Deep Eutectic Solvents as efficient solvents in biocatalysis. Trends Biotechnol. 2019, 37, 943–959. [Google Scholar] [CrossRef] [PubMed]
- Gotor-Fernandez, V.; Paul, C.E. Deep eutectic solvents for redox biocatalysis. J. Biotechnol. 2019, 293, 24–35. [Google Scholar] [CrossRef]
- Xu, P.; Zheng, G.W.; Zong, M.H.; Li, N.; Lou, W.Y. Recent progress on deep eutectic solvents in biocatalysis. Bioresour. Bioprocess. 2017, 4, 18. [Google Scholar] [CrossRef]
- Turner, N.J.; Kumar, R. Editorial overview: Biocatalysis and biotransformation: The golden age of biocatalysis. Curr. Opin. Chem. Biol. 2018, 43, A1–A3. [Google Scholar] [CrossRef]
- Poshina, D.N.; Raik, S.V.; Poshin, A.N.; Skorik, Y.A. Accessibility of chitin and chitosan in enzymatic hydrolysis: A review. Polym. Degrad. Stabil. 2018, 156, 269–278. [Google Scholar] [CrossRef]
- Poshina, D.N.; Raik, S.V.; Sukhova, A.A.; Tyshkunova, I.V.; Romanov, D.P.; Eneyskaya, E.V.; Kulminskaya, A.A.; Skorik, Y.A. Nonspecific enzymatic hydrolysis of a highly ordered chitopolysaccharide substrate. Carbohydr. Res. 2020, 498, 6. [Google Scholar] [CrossRef]
- Schmitz, C.; Auza, L.G.; Koberidze, D.; Rasche, S.; Fischer, R.; Bortesi, L. Conversion of chitin to defined chitosan oligomers: Current status and future prospects. Mar. Drugs 2019, 17, 22. [Google Scholar] [CrossRef] [PubMed]
- Bonin, M.; Irion, A.L.; Jürß, A.; Pascual, S.; Cord-Landwehr, S.; Planas, A.; Moerschbacher, B.M. Engineering of a chitin deacetylase to generate tailor-made chitosan polymers. PloS Biol. 2024, 22, e3002459. [Google Scholar] [CrossRef] [PubMed]
- Bonin, M.; Sreekumar, S.; Cord-Landwehr, S.; Moerschbacher, B.M. Preparation of defined Chitosan oligosaccharides using chitin deacetylases. Int. J. Mol. Sci. 2020, 21, 7835. [Google Scholar] [CrossRef] [PubMed]
- Huang, Z.; Lv, X.; Sun, G.; Mao, X.; Lu, W.; Liu, Y.; Li, J.; Du, G.; Liu, L. Chitin deacetylase: From molecular structure to practical applications. Syst. Microbiol. Biomanuf. 2022, 2, 271–284. [Google Scholar] [CrossRef]
- Grifoll-Romero, L.; Pascual, S.; Aragunde, H.; Biarnés, X.; Planas, A. Chitin deacetylases: Structures, specificities, and biotech applications. Polymers 2018, 10, 352. [Google Scholar] [CrossRef] [PubMed]
- Mahajan, G.; Sharma, V.; Gupta, R. Chitinase: A potent biocatalyst and its diverse applications. Biocatal. Biotransform. 2024, 42, 85–109. [Google Scholar] [CrossRef]
- Singh, R.V.; Sambyal, K.; Negi, A.; Sonwani, S.; Mahajan, R. Chitinases production: A robust enzyme and its industrial applications. Biocatal. Biotransform. 2021, 39, 161–189. [Google Scholar] [CrossRef]
- Thadathil, N.; Velappan, S.P. Recent developments in chitosanase research and its biotechnological applications: A review. Food Chem. 2014, 150, 392–399. [Google Scholar] [CrossRef] [PubMed]
- Sinha, S.; Chand, S.; Tripathi, P. Recent Progress in Chitosanase Production of Monomer-Free Chitooligosaccharides: Bioprocess Strategies and Future Applications. Appl. Biochem. Biotechnol. 2016, 180, 883–899. [Google Scholar] [CrossRef]
- Weikert, T.; Niehues, A.; Cord-Landwehr, S.; Hellmann, M.J.; Moerschbacher, B.M. Reassessment of chitosanase substrate specificities and classification. Nat. Commun. 2017, 8, 1698. [Google Scholar] [CrossRef]
- Schomburg, D.; Schomburg, I. exo-1,4-β-d-glucosaminidase 3.2.1.165. In Class 2–3.2 Transferases, Hydrolases: EC 2–3.2; Schomburg, D., Schomburg, I., Eds.; Springer: Berlin/Heidelberg, Germany, 2013; pp. 613–623. [Google Scholar]
- Guo, M.; Wei, X.; Chen, S.; Xiao, J.; Huang, D. Enhancing nonspecific enzymatic hydrolysis of chitin to oligosaccharides pretreated by acid and green solvents under simultaneous microwave-radiation. Int. J. Biol. Macromol. 2022, 209, 631–641. [Google Scholar] [CrossRef] [PubMed]
- Wang, Y.; Zhang, A.; Mo, X.; Zhou, N.; Yang, S.; Chen, K.; Ouyang, P. The effect of ultrasonication on enzymatic hydrolysis of chitin to N-acetyl glucosamine via sequential and simultaneous strategies. Process Biochem. 2020, 99, 265–269. [Google Scholar] [CrossRef]
- Therien, J.P.D.; Hammerer, F.; Friščić, T.; Auclair, K. Mechanoenzymatic Breakdown of Chitinous Material to N-Acetylglucosamine: The Benefits of a Solventless Environment. ChemSusChem 2019, 12, 3481–3490. [Google Scholar] [CrossRef] [PubMed]
- Yu, X.; Jiang, Z.; Xu, X.; Huang, C.; Yao, Z.; Yang, X.; Zhang, Y.; Wang, D.; Wei, C.; Zhuang, X. Mechano-Enzymatic Degradation of the Chitin from Crustacea Shells for Efficient Production of N-acetylglucosamine (GlcNAc). Molecules 2022, 27, 4720. [Google Scholar] [CrossRef] [PubMed]
- Lv, J.; Zhang, Y.; Ma, M.; Oh, D.H.; Fu, X. Characterization of chitinase from Exiguobacterium antarcticum and its bioconversion of crayfish shell into chitin oligosaccharides. Food Res. Int. 2022, 158, 111517. [Google Scholar] [CrossRef] [PubMed]
- Wang, J.; Zhu, M.; Wang, P.; Chen, W. Biochemical Properties of a Cold-Active Chitinase from Marine Trichoderma gamsii R1 and Its Application to Preparation of Chitin Oligosaccharides. Mar. Drugs 2023, 21, 332. [Google Scholar] [CrossRef] [PubMed]
- Nguyen, K.D. Chitin hydrogel prepared at various temperature of water vapor-induced phase inversion. Cell. Chem. Technol. 2022, 56, 585–591. [Google Scholar] [CrossRef]
- Borja-Urzola, A.D.; García-Gómez, R.S.; Flores, R.; Durán-Domínguez-de-Bazúa, M.D. Chitosan from shrimp residues with a saturated solution of calcium chloride in methanol and water. Carbohydr. Res. 2020, 497, 9. [Google Scholar] [CrossRef] [PubMed]
- Ramírez-Wong, D.G.; Ramírez-Cardona, M.; Sánchez-Leija, R.J.; Rugerio, A.; Mauricio-Sánchez, R.A.; Hernández-Landaverde, M.A.; Carranza, A.; Pojman, J.A.; Garay-Tapia, A.M.; Prokhorov, E.; et al. Sustainable-solvent-induced polymorphism in chitin films. Green Chem. 2016, 18, 4303–4311. [Google Scholar] [CrossRef]
- Zhou, N.; Yang, P.; Chen, J.; Wei, G.; Wang, C.; Zhang, A.; Chen, K.; Ouyang, P. Effect of organic solvents treatment on structure of chitin and its enzymatic hydrolysis. Polym. Degrad. Stab. 2022, 198, 109654. [Google Scholar] [CrossRef]
- Arnodo, D.; Maffeis, E.; Marra, F.; Nejrotti, S.; Prandi, C. Combination of Enzymes and Deep Eutectic Solvents as Powerful Toolbox for Organic Synthesis. Molecules 2023, 28, 516. [Google Scholar] [CrossRef] [PubMed]
- Freitas, E.D.; Moura, C.F.; Kerwald, J.; Beppu, M.M. An Overview of Current Knowledge on the Properties, Synthesis and Applications of Quaternary Chitosan Derivatives. Polymers 2020, 12, 41. [Google Scholar] [CrossRef] [PubMed]
- Andreica, B.I.; Cheng, X.J.; Marin, L. Quaternary ammonium salts of chitosan. A critical overview on the synthesis and properties generated by quaternization. Eur. Polym. J. 2020, 139, 16. [Google Scholar] [CrossRef]
- Borandeh, S.; Laurén, I.; Teotia, A.; Niskanen, J.; Seppälä, J. Dual functional quaternary chitosans with thermoresponsive behavior: Structure-activity relationships in antibacterial activity and biocompatibility. J. Mater. Chem. B 2023, 11, 11300–11309. [Google Scholar] [CrossRef] [PubMed]
- Arafa, E.G.; Sabaa, M.W.; Mohamed, R.R.; Kamel, E.M.; Elzanaty, A.M.; Mahmoud, A.M.; Abdel-Gawad, O.F. Eco-friendly and biodegradable sodium alginate/quaternized chitosan hydrogel for controlled release of urea and its antimicrobial activity. Carbohydr. Polym. 2022, 291, 14. [Google Scholar] [CrossRef] [PubMed]
- Qiu, Y.L.; Li, Y.X.; Zhang, G.L.; Hao, H.S.; Hou, H.M.; Bi, J.R. Quaternary-ammonium chitosan, a promising packaging material in the food industry. Carbohydr. Polym. 2024, 323, 14. [Google Scholar] [CrossRef] [PubMed]
- Marin, L.; Andreica, B.I.; Anisiei, A.; Cibotaru, S.; Bardosova, M.; Materon, E.M.; Oliveira, O.N. Quaternized chitosan (nano)fibers: A journey from preparation to high performance applications. Int. J. Biol. Macromol. 2023, 242, 24. [Google Scholar] [CrossRef] [PubMed]
- Bangde, P.S.; Jain, R.; Dandekar, P. Alternative approach to synthesize methylated chitosan using deep eutectic solvents, biocatalyst and “green” methylating agents. ACS Sustain. Chem. Eng. 2016, 4, 3552–3557. [Google Scholar] [CrossRef]
- Mahajan, T.; Bangde, P.; Dandekar, P.; Jain, R. Greener approach for synthesis of N,N,N-trimethyl chitosan (TMC) using ternary deep eutectic solvents (TDESs). Carbohydr. Res. 2020, 493, 108033. [Google Scholar] [CrossRef]
- Dilnawaz, F.; Acharya, S.; Kanungo, A. A clinical perspective of chitosan nanoparticles for infectious disease management. Polym. Bull. 2024, 81, 1071–1095. [Google Scholar] [CrossRef]
- Ul-Islam, M.; Alabbosh, K.F.; Manan, S.; Khan, S.; Ahmad, F.; Ullah, M.W. Chitosan-based nanostructured biomaterials: Synthesis, properties, and biomedical applications. Adv. Ind. Eng. Polym. Res. 2024, 7, 79–99. [Google Scholar] [CrossRef]
- Priyanka, D.N.; Prashanth, K.V.H.; Tharanathan, R.N. A review on potential anti-diabetic mechanisms of chitosan and its derivatives. Carbohydr. Polym. Technol. Appl. 2022, 3, 100188. [Google Scholar] [CrossRef]
- Tzeng, H.P.; Liu, S.H.; Chiang, M.T. Antidiabetic Properties of Chitosan and Its Derivatives. Mar. Drugs 2022, 20, 784. [Google Scholar] [CrossRef] [PubMed]
- Kalitnik, A.; Grelich-Mucha, M.; Olesiak-Bańska, J. Chitosan oligosaccharides inhibit the fibrillation of insulin and disassemble its preformed fibrils. Int. J. Biol. Macromol. 2024, 254, 127857. [Google Scholar] [CrossRef] [PubMed]
- Sarkar, S.; Das, D.; Dutta, P.; Kalita, J.; Wann, S.B.; Manna, P. Chitosan: A promising therapeutic agent and effective drug delivery system in managing diabetes mellitus. Carbohydr. Polym. 2020, 247, 116594. [Google Scholar] [CrossRef] [PubMed]
- Chang, S.H.; Lin, Y.Y.; Wu, G.J.; Huang, C.H.; Tsai, G.J. Effect of chitosan molecular weight on anti-inflammatory activity in the RAW 264.7 macrophage model. Int. J. Biol. Macromol. 2019, 131, 167–175. [Google Scholar] [CrossRef] [PubMed]
- Niu, W.; Dong, Y.; Fu, Z.; Lv, J.; Wang, L.; Zhang, Z.; Huo, J.; Ju, J. Effects of molecular weight of chitosan on anti-inflammatory activity and modulation of intestinal microflora in an ulcerative colitis model. Int. J. Biol. Macromol. 2021, 193, 1927–1936. [Google Scholar] [CrossRef] [PubMed]
- Yamabhai, M.; Khamphio, M.; Min, T.T.; Soem, C.N.; Cuong, N.C.; Aprilia, W.R.; Luesukprasert, K.; Teeranitayatarn, K.; Maneedaeng, A.; Tuveng, T.R.; et al. Valorization of shrimp processing waste-derived chitosan into anti-inflammatory chitosan-oligosaccharides (CHOS). Carbohydr. Polym. 2024, 324, 121546. [Google Scholar] [CrossRef] [PubMed]
- Min, T.T.; Yamabhai, M. Anti-inflammatory activity of well-defined chitooligosaccharides (chos) derived from enzymatic hydrolysis of chitosan. In Chitooligosaccharides: Prevention and Control of Diseases; Springer International Publishing: Berlin/Heidelberg, Germany, 2022; pp. 223–234. [Google Scholar]
- Meng, D.; Garba, B.; Ren, Y.; Yao, M.; Xia, X.; Li, M.; Wang, Y. Antifungal activity of chitosan against Aspergillus ochraceus and its possible mechanisms of action. Int. J. Biol. Macromol. 2020, 158, 1063–1070. [Google Scholar] [CrossRef]
- Gong, W.; Sun, Y.; Tu, T.; Huang, J.; Zhu, C.; Zhang, J.; Salah, M.; Zhao, L.; Xia, X.; Wang, Y. Chitosan inhibits Penicillium expansum possibly by binding to DNA and triggering apoptosis. Int. J. Biol. Macromol. 2024, 259, 129113. [Google Scholar] [CrossRef]
- Zhang, L.; Yang, Y.; Zhu, Y.; Hu, H.; Jia, Q.; Sun, C.; Zhu, X.; Liu, Y. Antifungal activity and mechanism of chitosan against Fusarium solani caused ginger soft rot during postharvest storage. Postharvest Biol. Technol. 2024, 208, 112680. [Google Scholar] [CrossRef]
- Ceja-Torres, L.F.; López-Díaz, S.; Silva-Ramos, M.G.; Silva-García, J.T.; Medina-Medrano, J.R.; Gutiérrez-Hernández, G.F. Antifungal Activity of Rue Essential Oil and Commercial Chitosan on Native Corn Foliar Diseases. Plants 2023, 12, 3416. [Google Scholar] [CrossRef] [PubMed]
- Khaled, J.M.; Alobaidi, A.S. Priming effect of chitosan on induces protection against tomato root wilt disease mediated through upregulation of defense enzymes. Physiol. Mol. Plant. Pathol. 2023, 127, 102118. [Google Scholar] [CrossRef]
- Huet, G.; Wang, Y.; Gardrat, C.; Brulé, D.; Vax, A.; Le Coz, C.; Pichavant, F.; Bonnet, S.; Poinssot, B.; Coma, V. Deep Chemical and Physico-Chemical Characterization of Antifungal Industrial Chitosans—Biocontrol Applications. Molecules 2023, 28, 966. [Google Scholar] [CrossRef] [PubMed]
- Abd El-Hack, M.E.; El-Saadony, M.T.; Shafi, M.E.; Zabermawi, N.M.; Arif, M.; Batiha, G.E.; Khafaga, A.F.; Abd El-Hakim, Y.M.; Al-Sagheer, A.A. Antimicrobial and antioxidant properties of chitosan and its derivatives and their applications: A review. Int. J. Biol. Macromol. 2020, 164, 2726–2744. [Google Scholar] [CrossRef] [PubMed]
- Aranaz, I.; Navarro-García, F.; Morri, M.; Acosta, N.; Casettari, L.; Heras, A. Evaluation of chitosan salt properties in the production of AgNPs materials with antibacterial activity. Int. J. Biol. Macromol. 2023, 235, 123849. [Google Scholar] [CrossRef] [PubMed]
- Ding, P.; Xie, X.; He, J.; Zou, Y.; Liu, F. Fabrication of a novel chitosan-based macromolecular antioxidant and its effects on the anti-aging properties of styrene-butadiene rubber/silica composites. J. Vinyl Addit. Technol. 2024, 30, 89–101. [Google Scholar] [CrossRef]
- Nair, R.; Paul, P.; Maji, I.; Gupta, U.; Mahajan, S.; Aalhate, M.; Guru, S.K.; Singh, P.K. Exploring the current landscape of chitosan-based hybrid nanoplatforms as cancer theragnostic. Carbohydr. Polym. 2024, 326, 121644. [Google Scholar] [CrossRef] [PubMed]
- Adhikari, H.S.; Yadav, P.N. Anticancer Activity of Chitosan, Chitosan Derivatives, and Their Mechanism of Action. Int. J. Biomater. 2018, 2018, 2952085. [Google Scholar] [CrossRef]
- Atmaca, H.; Oguz, F.; Ilhan, S. Chitosan in cancer therapy: A dual role as a therapeutic agent and drug delivery system. Z. Naturforsch. Sect. C J. Biosci. 2024. [Google Scholar] [CrossRef]
- Iskandar, A.; Kim, S.K.; Wong, T.W. “Drug-Free” chitosan nanoparticles as therapeutic for cancer treatment. Polym. Rev. 2024. [Google Scholar] [CrossRef]
- Ding, J.; Guo, Y. Recent Advances in Chitosan and its Derivatives in Cancer Treatment. Front. Pharmacol. 2022, 13, 888740. [Google Scholar] [CrossRef]
- Burak, D.; Seo, D.C.; An, H.E.; Jeong, S.; Lee, S.E.; Cho, S.H. Chitosan-Based Structural Color Films for Humidity Sensing with Antiviral Effect. Nanomaterials 2024, 14, 351. [Google Scholar] [CrossRef]
- Cano-Vicent, A.; Tuñón-Molina, A.; Martí, M.; Serrano-Aroca, Á. Biocompatible Chitosan Films Containing Acetic Acid Manifested Potent Antiviral Activity against Enveloped and Non-Enveloped Viruses. Int. J. Mol. Sci. 2023, 24, 12028. [Google Scholar] [CrossRef]
- El-Ganainy, S.M.; Soliman, A.M.; Ismail, A.M.; Sattar, M.N.; Farroh, K.Y.; Shafie, R.M. Antiviral Activity of Chitosan Nanoparticles and Chitosan Silver Nanocomposites against Alfalfa Mosaic Virus. Polymers 2023, 15, 2961. [Google Scholar] [CrossRef]
- Mali, A.; Franci, G.; Zannella, C.; Chianese, A.; Anthiya, S.; López-Estévez, A.M.; Monti, A.; De Filippis, A.; Doti, N.; Alonso, M.J.; et al. Antiviral Peptides Delivered by Chitosan-Based Nanoparticles to Neutralize SARS-CoV-2 and HCoV-OC43. Pharmaceutics 2023, 15, 1621. [Google Scholar] [CrossRef]
- Seo, D.S.; Lee, J.S.; Shin, Y.C.; Jang, Y. Multipotent Antiviral Effects of Deacetylated Chitosan Supplemented with Grapefruit Seed Extract against Influenza and Parainfluenza Viruses. Appl. Sci. 2023, 13, 9938. [Google Scholar] [CrossRef]
- Zhang, S.; Lei, X.; Lv, Y.; Wang, L.; Wang, L.N. Recent advances of chitosan as a hemostatic material: Hemostatic mechanism, material design and prospective application. Carbohydr. Polym. 2024, 327, 121673. [Google Scholar] [CrossRef] [PubMed]
- Fan, P.; Zeng, Y.; Zaldivar-Silva, D.; Agüero, L.; Wang, S. Chitosan-Based Hemostatic Hydrogels: The Concept, Mechanism, Application, and Prospects. Molecules 2023, 28, 1473. [Google Scholar] [CrossRef] [PubMed]
- Lunkov, A.P.; Zubareva, A.A.; Varlamov, V.P.; Nechaeva, A.M.; Drozd, N.N. Chemical modification of chitosan for developing of new hemostatic materials: A review. Int. J. Biol. Macromol. 2023, 253, 127608. [Google Scholar] [CrossRef]
- Wang, K.; Yu, D.; Bai, Y.; Cao, H.; Guo, J.; Su, Z. Isolation and Purification of Chitosan Oligosaccharides (Mw ≤ 1000) and Their Protective Effect on Acute Liver Injury Caused by CCl4. Mar. Drugs 2024, 22, 128. [Google Scholar] [CrossRef] [PubMed]
- Yahya, S.M.M.; Shalaby, R.H.; Mannaa, F.A.; Abdel-Wahhab, K.G.; Mohamed, N.R.; Shabana, M.E.; Elwakeel, S.H.B. Hepatoprotective effects of chitosan on thioacetamide-induced liver toxicity in male albino rats. Biointerface Res. Appl. Chem. 2021, 11, 14490–14505. [Google Scholar] [CrossRef]
- Hilițanu, L.N.; Mititelu-Tarțău, L.; Bogdan, M.; Buca, B.R.; Păuna, A.M.R.; Pavel, L.L.; Pelin, A.M.; Meca, A.D.; Popa, G.E. The Use of Chitosan--Coated Nanovesicles in Repairing Alcohol--Induced Damage of Liver Cells in Mice. Medicina 2022, 58, 762. [Google Scholar] [CrossRef]
- Dawoud, S.F.; Al-Akra, T.M.; Zedan, A.M. Hepatoprotective Effects of Chitosan and Chitosan Nanoparticles against Biochemical, Genetic, and Histological Disorders Induced by the Toxicity of Emamectin Benzoate. Rep. Biochem. Mol. Biol. 2021, 10, 506–517. [Google Scholar] [CrossRef]
- AlKandari, F.M.; Mohamed, H.S.; Ahmed, S.A.; Mahmoud, B.; Mahmoud, A.M. Protective Effects of Propolis and Chitosan Nanoparticles against Ibuprofen-Induced Hepatotoxicity in Albino Rats. Diseases 2024, 12, 49. [Google Scholar] [CrossRef] [PubMed]
- Ahmad, K.; Zhang, Y.; Chen, P.; Yang, X.; Hou, H. Chitosan interaction with stomach mucin layer to enhances gastric retention and mucoadhesive properties. Carbohydr. Polym. 2024, 333, 121926. [Google Scholar] [CrossRef] [PubMed]
- Ways, T.M.M.; Lau, W.M.; Khutoryanskiy, V.V. Chitosan and its derivatives for application in mucoadhesive drug delivery systems. Polymers 2018, 10, 267. [Google Scholar] [CrossRef] [PubMed]
- Yang, K.; Han, H.S.; An, S.H.; Park, K.H.; Nam, K.; Hwang, S.; Lee, Y.; Cho, S.Y.; Kim, T.; Choe, D.; et al. Mucoadhesive chitosan microcapsules for controlled gastrointestinal delivery and oral bioavailability enhancement of low molecular weight peptides. J. Control. Release 2024, 365, 422–434. [Google Scholar] [CrossRef]
- Hao, C.; Wang, W.; Wang, S.; Zhang, L.; Guo, Y. An overview of the protective effects of chitosan and acetylated chitosan oligosaccharides against neuronal disorders. Mar. Drugs 2017, 15, 89. [Google Scholar] [CrossRef]
- Hamdan, Y.A.; Elouali, S.; Ben Maloui, A.; El-Mansoury, B.; Oudadesse, H.; Rhazi, M. Chitosan and its derivatives as potential neuro-protective agents for the treatment of Parkinson’s disease. In Experimental and Clinical Evidence of the Neuropathology of Parkinson’s Disease; IGI Global: Hershey, PA, USA, 2023; pp. 253–274. [Google Scholar]
- Hamdan, Y.A.; Rhazi, M.; Kabdy, H.; Benmaloui, A.; Elouali, S.; Laadraoui, J.; Ahmad, Z.H.; Eladlani, N.; Oudadesse, H. Investigation of potential neuroprotective role of chitosan-based biomaterials and their derivatives by targeting glial cells. In Physiology and Function of Glial Cells in Health and Disease; IGI Global: Hershey, PA, USA, 2023; pp. 375–399. [Google Scholar]
- Wang, J.; Duan, X.; Zhong, D.; Zhang, M.; Li, J.; Hu, Z.; Han, F. Pharmaceutical applications of chitosan in skin regeneration: A review. Int. J. Biol. Macromol. 2024, 261, 129064. [Google Scholar] [CrossRef]
- Rajinikanth, S.B.; Rajkumar, D.S.R.; Keerthika, K.; Vijayaragavan, V. Chitosan-Based Biomaterial in Wound Healing: A Review. Cureus 2024, 16, e55193. [Google Scholar] [CrossRef] [PubMed]
- Sharifi, E.; Jamaledin, R.; Familsattarian, F.; Nejaddehbashi, F.; Bagheri, M.; Chehelgerdi, M.; Nazarzadeh Zare, E.; Akhavan, O. Bioactive chitosan/poly(ethyleneoxide)/CuFe2O4 nanofibers for potential wound healing. Environ. Res. 2023, 239, 117448. [Google Scholar] [CrossRef] [PubMed]
- Mazaheri, M.; Akhavan, O.; Simchi, A. Flexible bactericidal graphene oxide-chitosan layers for stem cell proliferation. Appl. Surf. Sci. 2014, 301, 456–462. [Google Scholar] [CrossRef]
- Muzzarelli, R.A.A. Chitosan composites with inorganics, morphogenetic proteins and stem cells, for bone regeneration. Carbohydr. Polym. 2011, 83, 1433–1445. [Google Scholar] [CrossRef]
- Chang, F.C.; James, M.M.; Qassab, A.M.; Zhou, Y.; Ando, Y.; Shi, M.; Zhang, M. 3D chitosan scaffolds support expansion of human neural stem cells in chemically defined condition. Matter 2023, 6, 3631–3660. [Google Scholar] [CrossRef]
- Scognamiglio, F.; Pizzolitto, C.; Romano, M.; Teti, G.; Zara, S.; Conz, M.; Donati, I.; Porrelli, D.; Falconi, M.; Marsich, E. A lactose-modified chitosan accelerates chondrogenic differentiation in mesenchymal stem cells spheroids. Biomater. Adv. 2024, 160, 213849. [Google Scholar] [CrossRef] [PubMed]
- Wang, Z.; Jiang, C.; Fan, Y.; Hao, X.; Dong, Y.; He, X.; Gao, J.; Zhang, Y.; Li, M.; Wang, M.; et al. The application of a 4D-printed chitosan-based stem cell carrier for the repair of corneal alkali burns. Stem Cell Res. Ther. 2024, 15, 41. [Google Scholar] [CrossRef] [PubMed]
- Hou, J.; Aydemir, B.E.; Dumanli, A.G. Understanding the structural diversity of chitins as a versatile biomaterial. Philos. Trans. R. Soc. A Math. Phys. Eng. Sci. 2021, 379, 20200331. [Google Scholar] [CrossRef]
- Delgado-Rangel, L.H.; Huerta-Saquero, A.; Eufracio-García, N.; Meza-Villezcas, A.; Mota-Morales, J.D.; González-Campos, J.B. Deep eutectic solvent-assisted phase separation in chitosan solutions for the production of 3D monoliths and films with tailored porosities. Int. J. Biol. Macromol. 2020, 164, 4084–4094. [Google Scholar] [CrossRef]
- Wang, Y.; Zhang, Y.; Lin, Z.; Huang, T.; Li, W.; Gong, W.; Guo, Y.; Su, J.; Wang, J.; Tu, Q. A green method of preparing a natural and degradable wound dressing containing aloe vera as an active ingredient. Compos. Part B Eng. 2021, 222, 109047. [Google Scholar] [CrossRef]
- Sun, X.; Yu, J.; Wei, Q.; Ren, X. Construction of chitosan-based supramolecular biofilm material for wound dressing based on natural deep eutectic solvents. Int. J. Biol. Macromol. 2023, 236, 123768. [Google Scholar] [CrossRef] [PubMed]
- Sun, X.; Yang, Y.; Yu, J.; Wei, Q.; Ren, X. Chitosan-based supramolecular aerogel with “skeletal structure” constructed in natural deep eutectic solvents for medical dressings. Int. J. Biol. Macromol. 2024, 254, 127720. [Google Scholar] [CrossRef] [PubMed]
- Silva, J.M.; Silva, E.; Reis, R.L. Therapeutic deep eutectic solvents assisted the encapsulation of curcumin in alginate-chitosan hydrogel beads. Sustain. Chem. Pharm. 2021, 24, 100553. [Google Scholar] [CrossRef]
- Kim, H.; Kang, S.; Li, K.; Jung, D.; Park, K.; Lee, J. Preparation and characterization of various chitin-glucan complexes derived from white button mushroom using a deep eutectic solvent-based ecofriendly method. Int. J. Biol. Macromol. 2021, 169, 122–129. [Google Scholar] [CrossRef] [PubMed]
- Kazachenko, A.S.; Akman, F.; Malyar, Y.N.; Issaoui, N.; Vasilieva, N.Y.; Karacharov, A.A. Synthesis optimization, DFT and physicochemical study of chitosan sulfates. J. Mol. Struct. 2021, 1245, 131083. [Google Scholar] [CrossRef]
- Valencia, H.; Yeboah, A.; Turita, S.; Muñoz, K.J.; Gaje, A.C.; Siva, C.R.; Paige, M.F.; Ponce, C.P. Urea–choline chloride deep eutectic solvent-assisted synthesis of luminescent nitrogen-doped carbon dots from chitin and their photocatalytic application in decolourizing malachite green. Can. J. Chem. 2023, 101, 790–798. [Google Scholar] [CrossRef]
- Boroujeni, M.B.; Laeini, M.S.; Nazeri, M.T.; Shaabani, A. A Novel and Green In Situ Strategy for the Synthesis of Metallophthalocyanines on Chitosan and Investigation Their Catalytic Activity in the CO 2 Fixation. Catal. Lett. 2019, 7, 16585–16594. [Google Scholar] [CrossRef]
- Rolińska, K.; Jakubowska, E.; Żmieńko, M.; Łęczycka-Wilk, K. Choline chloride-based deep eutectic solvents as plasticizer and active agent in chitosan films. Food Chem. 2024, 444, 138375. [Google Scholar] [CrossRef] [PubMed]
- Teixeira-Costa, B.E.; Ferreira, W.H.; Goycoolea, F.M.; Murray, B.S.; Andrade, C.T. Improved Antioxidant and Mechanical Properties of Food Packaging Films Based on Chitosan/Deep Eutectic Solvent, Containing Açaí-Filled Microcapsules. Molecules 2023, 28, 1507. [Google Scholar] [CrossRef]
- Yu, J.; Xu, S.; Chen, R.; Shao, P. A promising bioactive chitosan film in strawberry fresh-keeping: Plasticized with tomato processing by-product extract of deep eutectic solvent. Food Hydrocoll. 2024, 151, 109859. [Google Scholar] [CrossRef]
- Li, C.; Zheng, C.; Huang, H.; Su, H.; Huang, C. Preparation and plasticizing mechanism of deep eutectic solvent/lignin plasticized chitosan films. Int. J. Biol. Macromol. 2023, 240, 124473. [Google Scholar] [CrossRef] [PubMed]
- Zhang, W.; Gao, P.; Jiang, Q.; Xia, W. Green fabrication of lignin nanoparticles/chitosan films for refrigerated fish preservation application. Food Hydrocoll. 2023, 139, 108548. [Google Scholar] [CrossRef]
- Wen, H.; Tang, D.; Lin, Y.; Zou, J.; Liu, Z.; Zhou, P.; Wang, X. Enhancement of water barrier and antimicrobial properties of chitosan/gelatin films by hydrophobic deep eutectic solvent. Carbohydr. Polym. 2023, 303, 120435. [Google Scholar] [CrossRef] [PubMed]
- Smirnov, M.A.; Nikolaeva, A.L.; Bobrova, N.V.; Vorobiov, V.K.; Smirnov, A.V.; Lahderanta, E.; Sokolova, M.P. Self-healing films based on chitosan containing citric acid/choline chloride deep eutectic solvent. Polym. Test. 2021, 97, 107156. [Google Scholar] [CrossRef]
- Mukesh, C.; Mondal, D.; Sharma, M.; Prasad, K. Choline chloride-thiourea, a deep eutectic solvent for the production of chitin nanofibers. Carbohydr. Polym. 2014, 103, 466–471. [Google Scholar] [CrossRef]
- Chang, X.X.; Mubarak, N.M.; Karri, R.R.; Tan, Y.H.; Khalid, M.; Dehghani, M.H.; Tyagi, I.; Khan, N.A. Insights into chitosan-based cellulose nanowhiskers reinforced nanocomposite material via deep eutectic solvent in green chemistry. Environ. Res. 2023, 219, 115089. [Google Scholar] [CrossRef] [PubMed]
- Castro-Muñoz, R.; Msahel, A.; Galiano, F.; Serocki, M.; Ryl, J.; Hamouda, S.B.; Hafiane, A.; Boczkaj, G.; Figoli, A. Towards azeotropic MeOH-MTBE separation using pervaporation chitosan-based deep eutectic solvent membranes. Sep. Purif. Technol. 2022, 281, 119979. [Google Scholar] [CrossRef]
- Martínez-Rico, Ó.; Blanco, L.; Domínguez, Á.; González, B. Removal of Azo Dyes Orange II and Reactive Black 5 from Aqueous Solutions by Adsorption on Chitosan Beads Modified with Choline Chloride: Urea Deep Eutectic Solvent and FeO. Separations 2023, 10, 426. [Google Scholar] [CrossRef]
- Zhu, Y.; Qi, B.K.; Lv, H.N.; Gao, Y.; Zha, S.H.; An, R.Y.; Zhao, Q.S.; Zhao, B. Preparation of DES lignin-chitosan aerogel and its adsorption performance for dyes, catechin and epicatechin. Int. J. Biol. Macromol. 2023, 247, 125761. [Google Scholar] [CrossRef]
- Jafernik, K.; Ładniak, A.; Blicharska, E.; Czarnek, K.; Ekiert, H.; Wiącek, A.E.; Szopa, A. Chitosan-Based Nanoparticles as Effective Drug Delivery Systems—A review. Molecules 2023, 28, 1963. [Google Scholar] [CrossRef]
- Kapre, S.; Palakurthi, S.S.; Jain, A.; Palakurthi, S. DES-igning the future of drug delivery: A journey from fundamentals to drug delivery applications. J. Mol. Liq. 2024, 400, 124517. [Google Scholar] [CrossRef]
- Berecochea-Lopez, A.; Decordé, K.; Ventura, E.; Godard, M.; Bornet, A.; Teissèdre, P.L.; Cristol, J.P.; Rouanet, J.M. Fungal chitin-glucan from Aspergillus niger efficiently reduces aortic fatty streak accumulation in the high-fat fed hamster, an animal model of nutritionally induced atherosclerosis. J. Agric. Food Chem. 2009, 57, 1093–1098. [Google Scholar] [CrossRef]
- Doncel-Perez, E.; Aranaz, I.; Bastida, A.; Revuelta, J.; Camacho, C.; Acosta, N.; Garrido, L.; Civera, C.; Garcia-Junceda, E.; Heras, A.; et al. Synthesis, physicochemical characterization and biological evaluation of chitosan sulfate as heparan sulfate mimics. Carbohydr. Polym. 2018, 191, 225–233. [Google Scholar] [CrossRef]
- Revuelta, J.; Aranaz, I.; Acosta, N.; Civera, C.; Bastida, A.; Peña, N.; Monterrey, D.T.; Doncel-Pérez, E.; Garrido, L.; Heras, Á.; et al. Unraveling the Structural Landscape of Chitosan-Based Heparan Sulfate Mimics Binding to Growth Factors: Deciphering Structural Determinants for Optimal Activity. ACS Appl. Mater. Interfaces 2020, 12, 25534–25545. [Google Scholar] [CrossRef]
- Bolshakov, I.N.; Gornostaev, L.M.; Fominykh, O.I.; Svetlakov, A.V. Synthesis, Chemical and Biomedical Aspects of the Use of Sulfated Chitosan. Polymers 2022, 14, 3431. [Google Scholar] [CrossRef]
- Flórez, M.; Guerra-Rodríguez, E.; Cazón, P.; Vázquez, M. Chitosan for food packaging: Recent advances in active and intelligent films. Food Hydrocoll. 2022, 124, 107328. [Google Scholar] [CrossRef]
- Wrońska, N.; Katir, N.; Nowak-Lange, M.; El Kadib, A.; Lisowska, K. Biodegradable Chitosan-Based Films as an Alternative to Plastic Packaging. Foods 2023, 12, 3519. [Google Scholar] [CrossRef] [PubMed]
- Morganti, P.; Stoller, M. Chitin and lignin: Natural ingredients from waste materials to make innovative and healthy products for humans and plant. Chem. Eng. Trans. 2017, 60, 319–324. [Google Scholar] [CrossRef]
- Biswas, B.; Sakhakarmy, M.; Rahman, T.; Jahromi, H.; Adhikari, S.; Krishna, B.B.; Bhaskar, T.; Baltrusaitis, J.; Eisa, M.; Kouzehkanan, S.M.T.; et al. Selective production of phenolic monomer via catalytic depolymerization of lignin over cobalt-nickel-zirconium dioxide catalyst. Bioresour. Technol. 2024, 398, 130517. [Google Scholar] [CrossRef]
- Lucas, N.; Rode, C.V. Marine waste derived chitin biopolymer for N-containing supports, catalysts and chemicals. Tetrahedron Green Chem. 2023, 2, 100013. [Google Scholar] [CrossRef]
- Bekas, D.G.; Tsirka, K.; Baltzis, D.; Paipetis, A.S. Self-healing materials: A review of advances in materials, evaluation, characterization and monitoring techniques. Compos. Part B Eng. 2016, 87, 92–119. [Google Scholar] [CrossRef]
- Pan, S.Y.; Zhu, C.Y.; Wu, Y.W.; Tao, L. Chitosan-Based Self-Healing Hydrogel: From Fabrication to Biomedical Application. Polymers 2023, 15, 20. [Google Scholar] [CrossRef] [PubMed]
- Kumar, A.; Yadav, S.; Pramanik, J.; Sivamaruthi, B.S.; Jayeoye, T.J.; Prajapati, B.G.; Chaiyasut, C. Chitosan-Based Composites: Development and Perspective in Food Preservation and Biomedical Applications. Polymers 2023, 15, 22. [Google Scholar] [CrossRef]
Disclaimer/Publisher’s Note: The statements, opinions and data contained in all publications are solely those of the individual author(s) and contributor(s) and not of MDPI and/or the editor(s). MDPI and/or the editor(s) disclaim responsibility for any injury to people or property resulting from any ideas, methods, instructions or products referred to in the content. |
© 2024 by the authors. Licensee MDPI, Basel, Switzerland. This article is an open access article distributed under the terms and conditions of the Creative Commons Attribution (CC BY) license (https://creativecommons.org/licenses/by/4.0/).



