2D Nanostructured MXene-Based Silver Nanoparticles for Photocatalytic Degradation of Safranin Dye
Abstract
1. Introduction
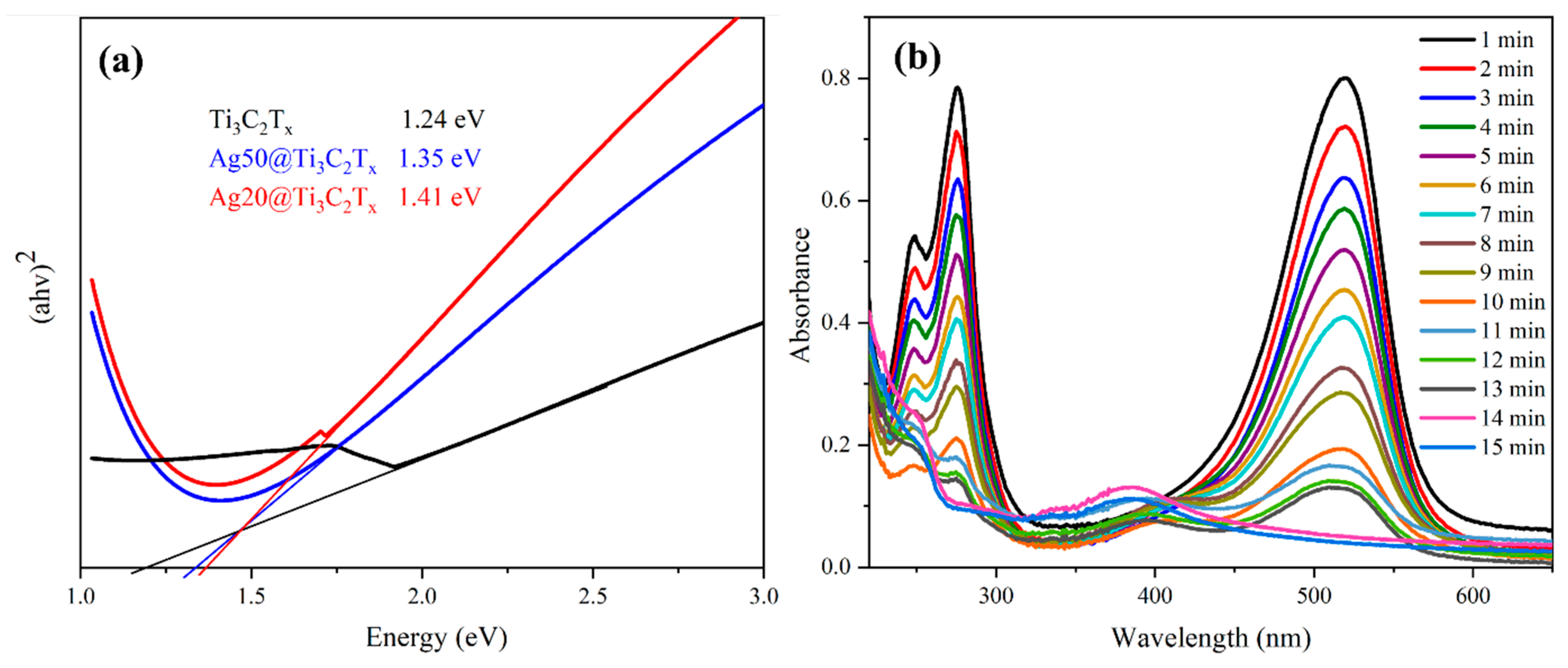
2. Results and Discussion
Proposed Photocatalytic Mechanism
3. Experimental Details
3.1. Materials
3.2. Synthesis of MXene
3.3. Synthesis of MXene-Reduced Silver Nanoparticles
3.4. The Catalytic Activity of Ag@Ti3C2Tx Nanocomposite for Dye Degradation
3.5. Characterizations
4. Conclusions
Supplementary Materials
Author Contributions
Funding
Data Availability Statement
Conflicts of Interest
References
- Bai, S.; Yang, M.; Jiang, J.; He, X.; Zou, J.; Xiong, Z.; Liao, G.; Liu, S. Recent advances of MXenes as electrocatalysts for hydrogen evolution reaction. NPJ 2D Mater. Appl. 2021, 5, 78. [Google Scholar] [CrossRef]
- Natu, V.; Pai, R.; Sokol, M.; Carey, M.; Kalra, V.; Barsoum, M.W. 2D Ti3C2Tz MXene synthesized by water-free etching of Ti3AlC2 in polar organic solvents. Chem 2020, 6, 616–630. [Google Scholar] [CrossRef]
- Anasori, B.; Lukatskaya, M.R.; Gogotsi, Y. 2D metal carbides and nitrides (MXenes) for energy storage. Nat. Rev. Mater. 2017, 2, 16098. [Google Scholar] [CrossRef]
- Tasleem, S.; Tahir, M.; Zakaria, Z.Y. Fabricating structured 2D Ti3AlC2 MAX dispersed TiO2 heterostructure with Ni2P as a cocatalyst for efficient photocatalytic H2 production. J. Alloys Compd. 2020, 842, 155752. [Google Scholar] [CrossRef]
- Husmann, S.; Budak, Ö.; Shim, H.; Liang, K.; Aslan, M.; Kruth, A.; Quade, A.; Naguib, M.; Presser, V. Ionic liquid-based synthesis of MXene. Chem. Commun. 2020, 56, 11082–11085. [Google Scholar] [CrossRef]
- Zhao, J.; Zhang, L.; Xie, X.-Y.; Li, X.; Ma, Y.; Liu, Q.; Fang, W.-H.; Shi, X.; Cui, G.; Sun, X. Ti3C2Tx (T = F, OH) MXene nanosheets: Conductive 2D catalysts for ambient electrohydrogenation of N2 to NH3. J. Mater. Chem. A 2018, 6, 24031–24035. [Google Scholar] [CrossRef]
- Feng, X.; Yu, Z.; Sun, Y.; Long, R.; Shan, M.; Li, X.; Liu, Y.; Liu, J. Review MXenes as a new type of nanomaterial for environmental applications in the photocatalytic degradation of water pollutants. Ceram. Int. 2021, 47, 7321–7343. [Google Scholar] [CrossRef]
- Wang, K.; Li, Y.; Li, J.; Zhang, G. Boosting interfacial charge separation of Ba5Nb4O15/g-C3N4 photocatalysts by 2D/2D nanojunction towards efficient visible-light driven H2 generation. Appl. Catal. B Environ. 2020, 263, 117730. [Google Scholar] [CrossRef]
- Jiang, L.; Li, J.; Wang, K.; Zhang, G.; Li, Y.; Wu, X. Low boiling point solvent mediated strategy to synthesize functionalized monolayer carbon nitride for superior photocatalytic hydrogen evolution. Appl. Catal. B Environ. 2020, 260, 118181. [Google Scholar] [CrossRef]
- Sun, Y.; Li, Y. Potential environmental applications of MXenes: A critical review. Chemosphere 2021, 271, 129578. [Google Scholar] [CrossRef]
- Tunesi, M.M.; Soomro, R.A.; Han, X.; Zhu, Q.; Wei, Y.; Xu, B. Application of MXenes in environmental remediation technologies. Nano Converg. 2021, 8, 5. [Google Scholar] [CrossRef]
- Jiang, X.; Kuklin, A.V.; Baev, A.; Ge, Y.; Ågren, H.; Zhang, H.; Prasad, P.N. Two-dimensional MXenes: From morphological to optical, electric, and magnetic properties and applications. Phys. Rep. 2020, 848, 1–58. [Google Scholar] [CrossRef]
- Im, J.K.; Sohn, E.J.; Kim, S.; Jang, M.; Son, A.; Zoh, K.-D.; Yoon, Y. Review of MXene-based nanocomposites for photocatalysis. Chemosphere 2021, 270, 129478. [Google Scholar] [CrossRef]
- Othman, Z.; Sinopoli, A.; Mackey, H.R.; Mahmoud, K.A. Efficient Photocatalytic Degradation of Organic Dyes by AgNPs/TiO2/Ti3C2Tx MXene Composites under UV and Solar Light. ACS Omega 2021, 6, 33325–33338. [Google Scholar] [CrossRef]
- Luo, S.; Wang, R.; Yin, J.; Jiao, T.; Chen, K.; Zou, G.; Zhang, L.; Zhou, J.; Zhang, L.; Peng, Q. Preparation and dye degradation performances of self-assembled MXene-Co3O4 nanocomposites synthesized via solvothermal approach. ACS Omega 2019, 4, 3946–3953. [Google Scholar] [CrossRef]
- Tariq, A.; Ali, S.I.; Akinwande, D.; Rizwan, S. Efficient visible-light photocatalysis of 2D-MXene nanohybrids with Gd3+-and Sn4+-codoped bismuth ferrite. ACS Omega 2018, 3, 13828–13836. [Google Scholar] [CrossRef]
- Li, Y.; Yin, Z.; Ji, G.; Liang, Z.; Xue, Y.; Guo, Y.; Tian, J.; Wang, X.; Cui, H. 2D/2D/2D heterojunction of Ti3C2 MXene/MoS2 nanosheets/TiO2 nanosheets with exposed (001) facets toward enhanced photocatalytic hydrogen production activity. Appl. Catal. B Environ. 2019, 246, 12–20. [Google Scholar] [CrossRef]
- Tie, L.; Yang, S.; Yu, C.; Chen, H.; Liu, Y.; Dong, S.; Sun, J.; Sun, J. In situ decoration of ZnS nanoparticles with Ti3C2 MXene nanosheets for efficient photocatalytic hydrogen evolution. J. Colloid Interface Sci. 2019, 545, 63–70. [Google Scholar] [CrossRef]
- Low, J.; Zhang, L.; Tong, T.; Shen, B.; Yu, J. TiO2/MXene Ti3C2 composite with excellent photocatalytic CO2 reduction activity. J. Catal. 2018, 361, 255–266. [Google Scholar] [CrossRef]
- Liu, Q.; Ai, L.; Jiang, J. MXene-derived TiO2@C/gC3N4 heterojunctions for highly efficient nitrogen photofixation. J. Mater. Chem. A 2018, 6, 4102–4110. [Google Scholar] [CrossRef]
- Cao, Y.; Fang, Y.; Lei, X.; Tan, B.; Hu, X.; Liu, B.; Chen, Q. Fabrication of novel CuFe2O4/MXene hierarchical heterostructures for enhanced photocatalytic degradation of sulfonamides under visible light. J. Hazard. Mater. 2020, 387, 122021. [Google Scholar] [CrossRef]
- Fang, H.; Pan, Y.; Yan, H.; Qin, X.; Wang, C.; Xu, L.; Pan, C. Facile preparation of Yb3+/Tm3+ co-doped Ti3C2/Ag/Ag3VO4 composite with an efficient charge separation for boosting visible-light photocatalytic activity. Appl. Surf. Sci. 2020, 527, 146909. [Google Scholar] [CrossRef]
- Wang, Z.; Wang, K.; Li, Y.; Jiang, L.; Zhang, G. Novel BiSbO4/BiOBr nanoarchitecture with enhanced visible-light driven photocatalytic performance: Oxygen-induced pathway of activation and mechanism unveiling. Appl. Surf. Sci. 2019, 498, 143850. [Google Scholar] [CrossRef]
- Wu, Y.; Li, X.; Yang, Q.; Wang, D.; Yao, F.; Cao, J.; Chen, Z.; Huang, X.; Yang, Y.; Li, X. Mxene-modulated dual-heterojunction generation on a metal-organic framework (MOF) via surface constitution reconstruction for enhanced photocatalytic activity. Chem. Eng. J. 2020, 390, 124519. [Google Scholar] [CrossRef]
- Li, Z.K.; Wei, Y.; Gao, X.; Ding, L.; Lu, Z.; Deng, J.; Yang, X.; Caro, J.; Wang, H. Antibiotics separation with MXene membranes based on regularly stacked high-aspect-ratio nanosheets. Angew. Chem. Int. Ed. 2020, 59, 9751–9756. [Google Scholar] [CrossRef]
- Liu, Y.; Luo, R.; Li, Y.; Qi, J.; Wang, C.; Li, J.; Sun, X.; Wang, L. Sandwich-like Co3O4/MXene composite with enhanced catalytic performance for Bisphenol A degradation. Chem. Eng. J. 2018, 347, 731–740. [Google Scholar] [CrossRef]
- Iravani, S.; Varma, R.S. MXene-based photocatalysts in degradation of organic and pharmaceutical pollutants. Molecules 2022, 27, 6939. [Google Scholar] [CrossRef]
- Lorencova, L.; Gajdosova, V.; Hroncekova, S.; Bertok, T.; Jerigova, M.; Velic, D.; Sobolciak, P.; Krupa, I.; Kasak, P.; Tkac, J. Electrochemical Investigation of Interfacial Properties of Ti3C2Tx MXene Modified by Aryldiazonium Betaine Derivatives. Front. Chem. 2020, 8, 553. [Google Scholar] [CrossRef]
- Zhu, X.; Zhu, Y.; Jia, K.; Abraha, B.S.; Li, Y.; Peng, W.; Zhang, F.; Fan, X.; Zhang, L. A near-infrared light-mediated antimicrobial based on Ag/Ti3C2Tx for effective synergetic antibacterial applications. Nanoscale 2020, 12, 19129–19141. [Google Scholar] [CrossRef]
- Na, L.-Å.; Persson, P.O.; Rosen, J. X-ray Photoelectron Spectroscopy of Ti3AlC2, Ti3C2Tz, and TiC Provides Evidence for the Electrostatic Interaction between Laminated Layers in MAX-Phase Materials. J. Phys. Chem. C 2020, 124, 27732–27742. [Google Scholar]
- Lv, Y.; Wang, K.; Li, D.; Li, P.; Chen, X.; Han, W. Rare Ag nanoparticles loading induced surface-enhanced pollutant adsorption and photocatalytic degradation on Ti3C2Tx MXene-based nanosheets. Chem. Phys. 2022, 560, 111591. [Google Scholar] [CrossRef]
- Ahmad, K.S.; Jaffri, S.B. Phytosynthetic Ag doped ZnO nanoparticles: Semiconducting green remediators: Photocatalytic and antimicrobial potential of green nanoparticles. Open Chem. 2018, 16, 556–570. [Google Scholar] [CrossRef]
- Saraffin, R.S.; Kapuria, A.; Saha, S.K.; Dutta, K. Eco-friendly hetero-system silver decorated nanocomposite zinc oxide/reduced graphene oxide: Improved broad-ranged absorptivity and enhanced photocatalytic performance under white-light irradiation. React. Kinet. Mech. Catal. 2022, 135, 2827–2850. [Google Scholar] [CrossRef]
- Nenavathu, B.P.; Kandula, S.; Verma, S. Visible-light-driven photocatalytic degradation of safranin-T dye using functionalized graphene oxide nanosheet (FGS)/ZnO nanocomposites. RSC Adv. 2018, 8, 19659–19667. [Google Scholar] [CrossRef]
- El-Berry, M.F.; Sadeek, S.A.; Abdalla, A.M.; Nassar, M.Y. Microwave-assisted fabrication of copper nanoparticles utilizing different counter ions: An efficient photocatalyst for photocatalytic degradation of safranin dye from aqueous media. Mater. Res. Bull. 2021, 133, 111048. [Google Scholar] [CrossRef]
- Oh, W.-C.; Fatema, K.N.; Liu, Y.; Lim, C.S.; Cho, K.Y.; Jung, C.-H.; Biswas, M.R.U.D. Sonochemical synthesis of quaternary LaNiSbWO4-G-PANI polymer nanocomposite for photocatalytic degradation of Safranin-O and gallic acid under visible light irradiation. J. Photochem. Photobiol. A Chem. 2020, 394, 112484. [Google Scholar] [CrossRef]
- Boudraa, R.; Talantikite-Touati, D.; Souici, A.; Djermoune, A.; Saidani, A.; Fendi, K.; Amrane, A.; Bollinger, J.-C.; Tran, H.N.; Hadadi, A. Optical and photocatalytic properties of TiO2–Bi2O3–CuO supported on natural zeolite for removing Safranin-O dye from water and wastewater. J. Photochem. Photobiol. A Chem. 2023, 443, 114845. [Google Scholar] [CrossRef]
- Sadiq, M.U.; Shah, A.; Nisar, J.; Shah, I. Photoelectrocatalytic Detection and Degradation Studies of a Hazardous Textile Dye Safranin T. Nanomaterials 2023, 13, 2218. [Google Scholar] [CrossRef]
- Bendjama, M.; Hamdaoui, O.; Ferkous, H.; Alghyamah, A. Degradation of Safranin O in Water by UV/TiO2/IO4− Process: Effect of Operating Conditions and Mineralization. Catalysts 2022, 12, 1460. [Google Scholar] [CrossRef]
- Ekka, B.; Sahu, M.K.; Patel, R.K.; Dash, P. Titania coated silica nanocomposite prepared via encapsulation method for the degradation of Safranin-O dye from aqueous solution: Optimization using statistical design. Water Resour. Ind. 2019, 22, 100071. [Google Scholar] [CrossRef]
- Ge, M.; Hu, Z.; Wei, J.; He, Q.; He, Z. Recent advances in persulfate-assisted TiO2-based photocatalysis for wastewater treatment: Performances, mechanism and perspectives. J. Alloys Compd. 2021, 888, 161625. [Google Scholar] [CrossRef]
- Hayat, K.; Gondal, M.; Khaled, M.; Yamani, Z.; Ahmed, S. Laser induced photocatalytic degradation of hazardous dye (Safranin-O) using self synthesized nanocrystalline WO3. J. Hazard. Mater. 2011, 186, 1226–1233. [Google Scholar] [CrossRef] [PubMed]
- Iqbal, M.A.; Ali, S.I.; Amin, F.; Tariq, A.; Iqbal, M.Z.; Rizwan, S. La-and Mn-codoped Bismuth Ferrite/Ti3C2 MXene composites for efficient photocatalytic degradation of Congo Red dye. ACS Omega 2019, 4, 8661–8668. [Google Scholar] [CrossRef] [PubMed]
- Irfan, S.; Shen, Y.; Rizwan, S.; Wang, H.C.; Khan, S.B.; Nan, C.W. Band-gap engineering and enhanced photocatalytic activity of Sm and Mn doped BiFeO3 nanoparticles. J. Am. Ceram. Soc. 2017, 100, 31–40. [Google Scholar] [CrossRef]
- Li, X.; Yu, J.; Jaroniec, M.; Chen, X. Cocatalysts for selective photoreduction of CO2 into solar fuels. Chem. Rev. 2019, 119, 3962–4179. [Google Scholar] [CrossRef]








| Catalyst | Pollutant | Light Source | Concentration | Irradiation Time (min) | Degradation Efficiency (%) | Ref. |
|---|---|---|---|---|---|---|
| Ag-ZnO | Safranin T | Sunlight | 2 mg | 60 | 74.11 | [32] |
| Ag-decorated ZnO/rGO | Safranin | Philips white LED | 14 mg | 80 | 100 | [33] |
| FGS/ZnO nanocomposite | Safranin T | Visible light | 20 mg | 90 | 94.5 | [34] |
| Cu nanoparticles | Safranin | UV light | 25–200 g | 70 | 95–98 | [35] |
| LaNiSbWO4-G-PANI | Safranin O | Visible light | 100 mg | 180 | 84 | [36] |
| TiO2-Bi2O3-CuO/natural zeolite | Safranin O | Sunlight | 80 mg | 270 | 94.1 normal water 80.23 wastewater | [37] |
| Fe-ZnO | Safranin T | Sunlight | 2 mg | 60 | 99 | [38] |
| (FGS)/ZnO nanocomposites | Safranin | Visible light | 5 mg | 90 | 94.5 | [34] |
| Ag20@Ti3C2Tx Ag50@Ti3C2Tx | Safranin | Visible light | 5 mg | 35 15 | 99.6 90.1 | This study |
| Catalyst | Concentration | Degradation Time, Efficiency | Light Source | Reference |
|---|---|---|---|---|
| UV/Degussa, P25 TiO2 | 0.4 g/L | 50 min, 72% | UV laser | [39] |
| Titanium-coated SiO2 NP, P25 TiO2 | 89.8 mg/g 100 mg | 12 min, 93.29% 20 min, ~50.75% | UV light (15W bulb of Philips) | [40] |
| TiO2 (P25) | 1 g/L | 25 min, 100% | Simulated solar light (Xenon lamp) | [41] |
| WO3 (by ppt method) WO3 (by sol–gel) Degussa P-25 TiO2 | 1–8 g/L | 10 min, 94% | 140 mJ laser source irradiation | [42] |
| Ag20@Ti3C2Tx Ag50@Ti3C2Tx | 5 mg | 15 min, 99.6% 35 min, 90.1% | Sunlight | This study |
Disclaimer/Publisher’s Note: The statements, opinions and data contained in all publications are solely those of the individual author(s) and contributor(s) and not of MDPI and/or the editor(s). MDPI and/or the editor(s) disclaim responsibility for any injury to people or property resulting from any ideas, methods, instructions or products referred to in the content. |
© 2024 by the authors. Licensee MDPI, Basel, Switzerland. This article is an open access article distributed under the terms and conditions of the Creative Commons Attribution (CC BY) license (https://creativecommons.org/licenses/by/4.0/).
Share and Cite
Faheem, M.; Riaz, A.; Alam, M.; Wahad, F.; Sohail, M.; Altaf, M.; Abbas, S.M. 2D Nanostructured MXene-Based Silver Nanoparticles for Photocatalytic Degradation of Safranin Dye. Catalysts 2024, 14, 201. https://doi.org/10.3390/catal14030201
Faheem M, Riaz A, Alam M, Wahad F, Sohail M, Altaf M, Abbas SM. 2D Nanostructured MXene-Based Silver Nanoparticles for Photocatalytic Degradation of Safranin Dye. Catalysts. 2024; 14(3):201. https://doi.org/10.3390/catal14030201
Chicago/Turabian StyleFaheem, Muhammad, Asim Riaz, Manawwer Alam, Faiza Wahad, Manzar Sohail, Muhammad Altaf, and Syed Mustansar Abbas. 2024. "2D Nanostructured MXene-Based Silver Nanoparticles for Photocatalytic Degradation of Safranin Dye" Catalysts 14, no. 3: 201. https://doi.org/10.3390/catal14030201
APA StyleFaheem, M., Riaz, A., Alam, M., Wahad, F., Sohail, M., Altaf, M., & Abbas, S. M. (2024). 2D Nanostructured MXene-Based Silver Nanoparticles for Photocatalytic Degradation of Safranin Dye. Catalysts, 14(3), 201. https://doi.org/10.3390/catal14030201

