Titanium Dioxide 1D Nanostructures as Photocatalysts for Degradation and Removal of Pollutants in Water
Abstract
1. Introduction
2. Results
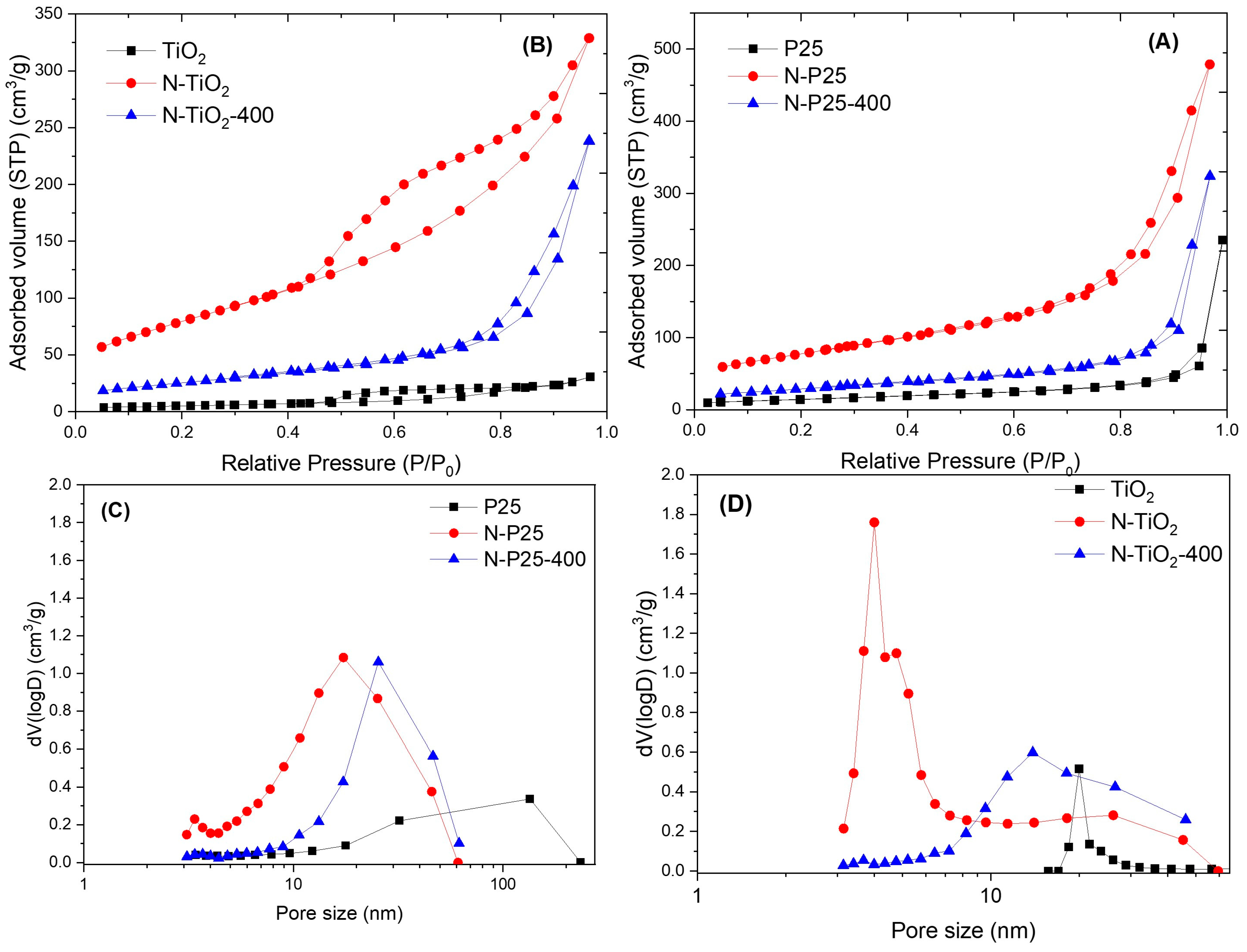
2.1. Nanomaterials’ Characterization
2.2. Removal of Pollutants
2.2.1. Photodegradation of Methyl Orange and Phenol
2.2.2. Methylene Blue Removal
2.2.3. Photoreduction of 4-Nitrophenol
3. Discussion
4. Materials and Methods
4.1. Chemicals
4.2. Synthesis of TiO2 by the Sol–Gel Method
4.3. Hydrothermal Treatment of TiO2 Nanopowders
4.4. Characterization of TiO2 Nanomaterials
4.5. Photoactivity Assessment for Methyl Orange, Phenol, and 4-Nitrophenol
4.6. Methylene Blue Removal in Dark
5. Conclusions
Supplementary Materials
Author Contributions
Funding
Data Availability Statement
Acknowledgments
Conflicts of Interest
References
- Dewil, R.; Mantzavinos, D.; Poulios, I. New perspectives for Advanced Oxidation Processes. J. Environ. Manag. 2017, 195, 93–99. [Google Scholar] [CrossRef] [PubMed]
- Simonsen, M.E. Heterogeneous Photocatalysis in Chemistry of Advanced Environmental Purification Processes of Water; Saagard, E.G., Ed.; Elsevier: Amsterdam, The Netherlands, 2014; pp. 135–170. [Google Scholar] [CrossRef]
- Teichner, S.J.; Formenti, M. Heterogeneous Photocatalysis in Photoelectrochemistry: Photocatalysis and Photoreactors, 1st ed.; Schiavello, M., Ed.; Springer: Dordrecht, The Netherlands, 1985; pp. 457–489. [Google Scholar] [CrossRef]
- El-Kady, K.; Raslan, M.; Zaki, A.H. Effect of different TiO2 morphologies on the activity of immobilized lipase for biodiesel production. ACS Omega 2021, 6, 35484–35493. [Google Scholar] [CrossRef] [PubMed]
- Luo, W.; Blanchard, J.; Xue, Y.; Taleb, A. The influence of TiO2 nanoparticles morphologies on the performance of lithium-ion batteries. Nanomaterials 2023, 13, 2636. [Google Scholar] [CrossRef] [PubMed]
- Camposeco, R.; Castillo, S.; Gómez, R. Synthesis, characterization and photocatalytic activity of TiO2 nanostructures: Nanotubes, nanofibers, nanowires and nanoparticles. Catal. Today 2016, 266, 90–101. [Google Scholar] [CrossRef]
- Nakata, K.; Ochiai, T.; Murakami, T.; Fujishima, A. Photoenergy conversion with TiO2 photocatalysis: New materials and recent applications. Electrochim. Acta 2012, 84, 103–111. [Google Scholar] [CrossRef]
- Grimes, C.A.; Mor, G.K. TiO2 Nanotube Arrays: Synthesis, Properties, and Applications, 1st ed.; Springer: Dordrecht, The Netherlands, 2009; pp. 285–314. [Google Scholar] [CrossRef]
- Yan, J.; Zhou, F. TiO2 nanotubes: Structure optimization for solar cells. J. Mater. Chem. 2011, 21, 9406–9418. [Google Scholar] [CrossRef]
- Miyazaki, H.; Hyodo, T.; Shimizu, Y.; Egashira, M. Hydrogen-sensing properties of anodically oxidized TiO2 film sensors: Effects of preparation and pretreatment conditions. Sens. Actuators B Chem. 2005, 108, 467–472. [Google Scholar] [CrossRef]
- Karaman, M.; Sariipek, F.; Köysüren, Ö.; Yildiz, H.B. Template assisted synthesis of photocatalytic titanium dioxide nanotubes by hot filament chemical vapor deposition method. Appl. Surf. Sci. 2013, 283, 993–998. [Google Scholar] [CrossRef]
- Chen, C.C.; Cheng, C.H.; Lin, C.K. Template assisted fabrication of TiO2 and WO3 nanotubes. Ceram. Int. 2013, 39, 6631–6636. [Google Scholar] [CrossRef]
- Yoriya, S.; Chumphu, A. Anodic TiO2 nanorod arrays and surface wettability. Int. J. Electrochem. Sci. 2015, 10, 9286–9296. [Google Scholar] [CrossRef]
- Kmentova, H.; Kment, S.; Wang, L.; Pausova, S.; Vaclavu, T.; Kuzel, R.; Han, H.; Hubica, Z.; Zlamal, M.; Olejnicek, J.; et al. Photoelectrochemical and structural properties of TiO2 nanotubes and nanorods grown on FTO substrate: Comparative study between electrochemical anodization and hydrothermal method used for the nanostructures fabrication. Catal. Today 2017, 287, 130–136. [Google Scholar] [CrossRef]
- Luo, Z.; Yang, W.; Peng, A.; Zeng, Y.; Yao, J. Sol–gel template synthesis and characterization of aligned anatase-TiO2 nanorod arrays with different diameter. Nanotechnology 2009, 20, 345601. [Google Scholar] [CrossRef] [PubMed]
- Eidsvåg, H.; Bentouba, S.; Vajeeston, P.; Yohi, S.; Velauthapillai, D. TiO2 as a photocatalyst for water splitting-an experimental and theoretical review. Molecules 2021, 26, 1687. [Google Scholar] [CrossRef] [PubMed]
- Reghunath, S.; Pinheiro, D.; KR, S.D. A review of hierarchical nanostructures of TiO2: Advances and applications. Appl. Surf. Sci. Adv. 2021, 3, 100063. [Google Scholar] [CrossRef]
- Liu, Z.; Liu, C.; Ya, J.; Lei, E. Controlled synthesis of ZnO and TiO2 nanotubes by chemical method and their application in dye-sensitized solar cells. Renew. Energy 2011, 36, 1177–1181. [Google Scholar] [CrossRef]
- Rajput, R.B.; Kale, R.B. Photocatalytic activity of solvothermally synthesized rutile TiO2 nanorods for the removal of water contaminants. Mater. Sci. Eng. B 2023, 294, 116556. [Google Scholar] [CrossRef]
- Hwang, Y.J.; Yang, S.; Lee, H. Surface analysis of N-doped TiO2 nanorods and their enhanced photocatalytic oxidation activity. Appl. Catal. B Environ. 2017, 204, 209–215. [Google Scholar] [CrossRef]
- Yamakazi, Y.; Azami, K.; Katoh, R.; Yamakazi, S. Developing active TiO2 nanorods by examining the influence of morphological changes from nanorods to nanoparticles on photocatalytic activity. ACS Appl. Nano Mater. 2018, 1, 5927–5935. [Google Scholar] [CrossRef]
- Wang, F.; Ma, Z.; Ban, P.; Xu, X. C, N and S co-doped rutile TiO2 nanorods for enhanced visible-light photocatalytic activity. Mater. Lett. 2017, 195, 143–146. [Google Scholar] [CrossRef]
- Zhang, Z.; Yang, Y.; Cheng, D. Fabrication of N-doped TiO2 nanorods and its visible-light photocatalytic activity for resorcinol degradation in wastewater. Int. J. Electrochem. Sci. 2021, 16, 21115. [Google Scholar] [CrossRef]
- Huyen, T.T.T.; Chi, T.T.K.; Dung, N.D.; Kosslick, H.; Liem, N.Q. Enhanced photocatalytic activity of {110}-faceted TiO2 rutile nanorods in the photodegradation of hazardous pharmaceuticals. Nanomaterials 2018, 8, 276. [Google Scholar] [CrossRef] [PubMed]
- Yanagida, S.; Yajima, T.; Takei, T.; Kumada, N. Removal of hexavalent chromium from water by Z-scheme photocatalysis using TiO2 (rutile) nanorods loaded with Au core–Cu2O shell particles. J. Environ. Sci. 2022, 115, 173–189. [Google Scholar] [CrossRef] [PubMed]
- Liu, J.; Li, Y.; Ke, J.; Wang, S.; Wang, L. Black NiO-TiO2 nanorods for solar photocatalysis: Recognition of electronic structure and reaction mechanism. Appl. Catal. B Environ. 2018, 224, 705–714. [Google Scholar] [CrossRef]
- Dhandole, L.K.; Mahadik, M.A.; Kin, S.-G.; Chung, H.-S.; Seo, Y.-S.; Cho, M.; Ryu, J.H.; Jang, J.S. Boosting photocatalytic performance of inactive rutile TiO2 nanorods under solar light irradiation: Synergistic effect of acid treatment and metal oxide co-catalysts. ACS Appl. Mater. Interfaces 2017, 9, 23602–23613. [Google Scholar] [CrossRef] [PubMed]
- Dutta, S.; Adhikary, S.; Bhattacharya, S.; Roy, D.; Chatterjee, S.; Chakraborty, A.; Banerjee, D.; Ganguly, A.; Nanda, S.; Rajak, P. Contamination of textile dyes in aquatic environment: Adverse impacts on aquatic ecosystem and human health, and its management using bioremediation. J. Environ. Manag. 2024, 353, 120103. [Google Scholar] [CrossRef]
- Happeman-Somich, C.J. Mineralization of pesticide degradation products. ACS Sympos. Ser. 1991, 459, 133–147. [Google Scholar] [CrossRef]
- Coats, J.R. What Happens to degradable pesticides? Chemtech 1993, 23, 25–29. [Google Scholar]
- Alharbi, O.M.L.; Basheer, A.A.; Khattab, R.A.; Ali, I. Health and environmental effects of persistent organic pollutants. J. Mol. Liq. 2018, 263, 442–453. [Google Scholar] [CrossRef]
- Li, X.; Zhu, Z.; Li, F.; Huang, Y.; Hu, X.; Huang, H.; Peng, R.; Zhai, X.; Fu, Z.; Lu, Y. Multifunctional single-phase photocatalysts: Extended near infrared photoactivity and reliable magnetic recyclability. Sci. Rep. 2015, 5, 15511. [Google Scholar] [CrossRef]
- Yang, L.; Zhang, Z.; Zhang, C.; Li, S.; Liu, G.; Wang, X. An excellent multifunctional photocatalyst with a polyoxometalate–viologen framework for CEES oxidation, Cr(VI) reduction and dye decolorization under different light regimes. Inorg. Chem. Front. 2022, 9, 4824–4833. [Google Scholar] [CrossRef]
- Zhang, Y.; Xu, J.; Zhou, J.; Wang, L. Metal-organic framework-derived multifunctional photocatalysts. Chin. J. Catal. 2022, 43, 971–1000. [Google Scholar] [CrossRef]
- Yan, F.; Hu, L.; Wang, M.; Huang, S.; Zhang, S.; He, L.; Zhang, Z. Multifunctional photocatalyst of graphitic carbon embedded with Fe2O3/Fe3O4 nanocrystals derived from lichen for efficient photodegradation of tetracycline and methyl blue. Environ. Technol. 2023, 45, 2045–2066. [Google Scholar] [CrossRef] [PubMed]
- Nosaka, Y.; Nosaka, A.Y. Reconsideration of intrinsic band alignments within anatase and rutile TiO2. J. Phys. Chem. Lett. 2016, 7, 431–434. [Google Scholar] [CrossRef] [PubMed]
- Schwenzer, B.; Wang, L.; Swensen, J.S.; Padmaperuma, A.B.; Silverman, G.; Korotkov, R.; Gaspar, D.J. Tuning the optical properties of mesoporous TiO2 films by nanoscale engineering. Langmuir 2012, 28, 10072–10081. [Google Scholar] [CrossRef]
- Zaki, M.F.; Tayel, A.; El Basaty, A.B. Tuning the optical properties, AC conductivity and dielectric modulus of PVA membrane by inclusion of TiO2 nanoparticles. Bull. Mater. Sci. 2022, 45, 236. [Google Scholar] [CrossRef]
- López, R.; Gómez, R. Band-Gap energy estimation from diffuse reflectance measurements on sol-gel and commercial TiO2: A comparative study. J. Sol-Gel Sci. Technol. 2012, 61, 1–7. [Google Scholar] [CrossRef]
- Dzhurinskii, B.F.; Gati, D.; Sergushin, N.; Nefedov, V. Simple and coordination compounds. An X-ray photoelectron spectroscopic study of certain oxides. Russian J. Inorg. Chem. 1975, 20, 2307–2314. [Google Scholar]
- Rodriguez, C.E. XAS study of the local environment of impurities in doped TiO2 thin films. Phys. B 2007, 398, 219–222. [Google Scholar] [CrossRef]
- Thommes, M.; Kaneko, K.; Neimark, A.V.; Olivier, J.P.; Rodríguez-Reinoso, F.; Rouquerol, J.; Sing, K.S.W. Physisorption of gases, with special reference to the evaluation of surface area and pore size distribution (IUPAC Technical Report). Pure Appl. Chem. 2015, 87, 1051–1069. [Google Scholar] [CrossRef]
- Lai, C.W.; Bee Abd Hamid, S.; Tan, T.L.; Lee, W.H. Rapid formation of 1D titanate nanotubes using alkaline hydrothermal treatment and its photocatalytic performance. J. Nanomater. 2015, 2015, 145360. [Google Scholar] [CrossRef]
- Meor Yusoff, M.S.; Masliana, M.; Paulus, W.; Devi, P.; Mahmoud, M.E. Fabrication of titania nanotubes by a modified hydrothermal method. J. Sci. Technol. 2010, 2. Available online: https://publisher.uthm.edu.my/ojs/index.php/JST/article/view/242 (accessed on 10 June 2024).
- Sadeghzadeh Attar, A.; Mirdamadi Sh Hajiesmaeilbaigi, F.; Sasani Ghamsari, M. Growth of TiO2 Nanorods by sol-gel template process. J. Mater. Sci. Technol. 2007, 23, 611–613. Available online: https://www.jmst.org/EN/Y2007/V23/I05/611 (accessed on 9 June 2024). [CrossRef]
- Wen, P.; Zhang, Y.; Xu, G.; Ma, D.; Qiu, P.; Zhao, X. Ti3+ self-doped TiO2 as a photocatalyst for cyclohexane oxidation under visible light irradiation. J. Mater. 2019, 5, 697–705. [Google Scholar] [CrossRef]
- Perillo, P.M.; Rodríguez, D.F. Photocatalysis of Methyl Orange using free standing TiO2 nanotubes under solar light. Environ. Nanotechnol. Monit. Manag. 2021, 16, 100479. [Google Scholar] [CrossRef]
- Seal, K.; Chaudhuri, C. A novel understanding of morphological anisotropy features of nanorod units in brookite dominated triphase mesoporous TiO2 and its excellent photocatalytic activity in phenol decomposition: The role of synthesis pH and surface hydroxylation. Surf. Interfaces 2022, 29, 101715. [Google Scholar] [CrossRef]
- Gao, J.J.; Qin, Y.B.; Zhou, T.; Cao, D.D.; Xu, P.; Hochstetter, D.; Wang, Y.F. Adsorption of methylene blue onto activated carbon produced from tea (Camellia sinensis L.) seed shells: Kinetics, equilibrium, and thermodynamics studies. J Zhejiang Univ. Sci. B 2013, 14, 650–658. [Google Scholar] [CrossRef]
- Zhang, Z.; Xu, L.; Feng, R.; Zou, T.; Zhang, Y.; Kang, Y.; Zhou, P. Efficient removal of methylene blue using the mesoporous activated carbon obtained from mangosteen peel wastes: Kinetic, equilibrium, and thermodynamic studies. Micropor. Mesopor. Mat. 2021, 315, 110904. [Google Scholar] [CrossRef]
- Hua, Z.S.; Yu, X.; Li, F.; Duan, J.; Ji, H.; Liu, W. Hydrogen titanate nanosheets with both adsorptive and photocatalytic properties used for organic dyes removal. Colloid Surf. A Physico Chem. Eng. Asp. 2017, 516, 211–218. [Google Scholar] [CrossRef]
- Vallejo, W.; Díaz-Uribe, C.E.; Durán, F. Kinetic and thermodynamic study of methylene blue adsorption on TiO2 and ZnO thin films. Materials 2023, 16, 4434. [Google Scholar] [CrossRef]
- Sun, Z.; Ni, Y.; Wu, Y.; Yue, W.; Zhang, G.; Bai, J. Electrocatalytic degradation of methyl orange and 4-nitrophenol on a Ti/TiO2-NTA/La-PbO2 electrode: Electrode characterization and operating parameters. Environ. Sci. Pollut. Res. Int. 2023, 30, 6262–6274. [Google Scholar] [CrossRef]
- Tian, M.; Wu, G.; Adams, B.; Wen, J.; Chen, A. Kinetics of photoelectrocatalytic degradation of nitrophenols on nanostructured TiO2 Electrodes. J. Phys. Chem. C 2008, 112, 825–831. [Google Scholar] [CrossRef]








| Photocatalyst | Description | Crystallite Size (nm) | Eg (eV) | SBET (m2/g) | Pore Volume (cm3/g) | Mean Pore Diameter (nm) |
|---|---|---|---|---|---|---|
| P25 | Aerosil™, as received | 21 * | 3.20 | 50 | 0.18 | 3.4 |
| N-P25 | Aerosil™ hydrothermally treated and dried at 60 °C | 15 | 3.25 | 276 | 0.693 | 3.3 |
| N-P25-400 | N-P25 calcined at 400 °C | 14 * | 3.10 | 89 | 0.489 | 25.4 |
| TiO2 | TiO2 obtained by sol–gel and calcined at 500 °C | 19 * | 3.10 | 37 | 0.055 | 3.9 |
| N-TiO2 | TiO2-SG hydrothermally treated and dried at 60 °C | 15 | 3.21 | 294 | 0.503 | 4.0 |
| N-TiO2-400 | N-TiO2-SG calcined at 400 °C | 14 * | 3.10 | 95 | 0.366 | 18.8 |
| Photocatalyst | k (min−1) | t1/2 (min) | Degradation (%) | R2 |
|---|---|---|---|---|
| N-P25-400 | 0.0071 | 97.62 | 71.20 | 0.9849 |
| N-TiO2-400 | 0.011 | 63.01 | 86.43 | 0.9569 |
| Photocatalyst | k (min−1) | t1/2 (min) | Degradation (%) | R2 |
|---|---|---|---|---|
| N-P25-400 | 0.0994 | 72.56 | 100 | 0.9862 |
| N-TiO2-400 | 0.0669 | 135.75 | 63.68 | 0.9453 |
Disclaimer/Publisher’s Note: The statements, opinions and data contained in all publications are solely those of the individual author(s) and contributor(s) and not of MDPI and/or the editor(s). MDPI and/or the editor(s) disclaim responsibility for any injury to people or property resulting from any ideas, methods, instructions or products referred to in the content. |
© 2024 by the authors. Licensee MDPI, Basel, Switzerland. This article is an open access article distributed under the terms and conditions of the Creative Commons Attribution (CC BY) license (https://creativecommons.org/licenses/by/4.0/).
Share and Cite
Frías Márquez, D.M.; Méndez González, J.Á.; López González, R.; García Mendoza, C.; Tzompantzi Morales, F.J.; Quintana Owen, P.; Alvarez Lemus, M.A. Titanium Dioxide 1D Nanostructures as Photocatalysts for Degradation and Removal of Pollutants in Water. Catalysts 2024, 14, 896. https://doi.org/10.3390/catal14120896
Frías Márquez DM, Méndez González JÁ, López González R, García Mendoza C, Tzompantzi Morales FJ, Quintana Owen P, Alvarez Lemus MA. Titanium Dioxide 1D Nanostructures as Photocatalysts for Degradation and Removal of Pollutants in Water. Catalysts. 2024; 14(12):896. https://doi.org/10.3390/catal14120896
Chicago/Turabian StyleFrías Márquez, Dora María, José Ángel Méndez González, Rosendo López González, Cinthia García Mendoza, Francisco Javier Tzompantzi Morales, Patricia Quintana Owen, and Mayra Angélica Alvarez Lemus. 2024. "Titanium Dioxide 1D Nanostructures as Photocatalysts for Degradation and Removal of Pollutants in Water" Catalysts 14, no. 12: 896. https://doi.org/10.3390/catal14120896
APA StyleFrías Márquez, D. M., Méndez González, J. Á., López González, R., García Mendoza, C., Tzompantzi Morales, F. J., Quintana Owen, P., & Alvarez Lemus, M. A. (2024). Titanium Dioxide 1D Nanostructures as Photocatalysts for Degradation and Removal of Pollutants in Water. Catalysts, 14(12), 896. https://doi.org/10.3390/catal14120896

