Harnessing Biomass for a Sustainable Future: The Role of Starch and Lignin
Abstract
1. Introduction
2. Origins and Classification
2.1. Starch
2.2. Lignin
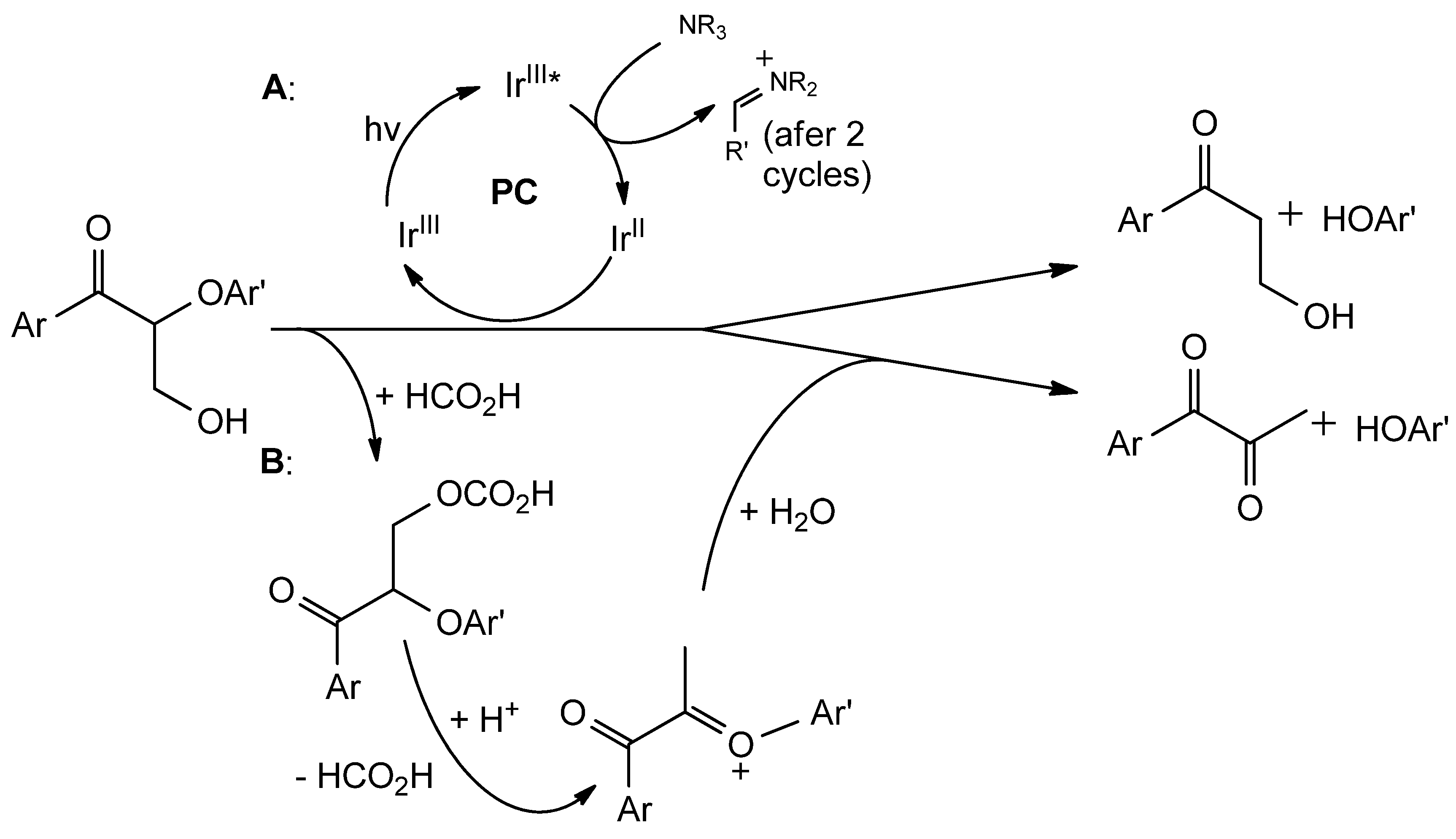
3. Catalysts for Lignin and Starch Valorization
3.1. Catalytic Modifications of Starch
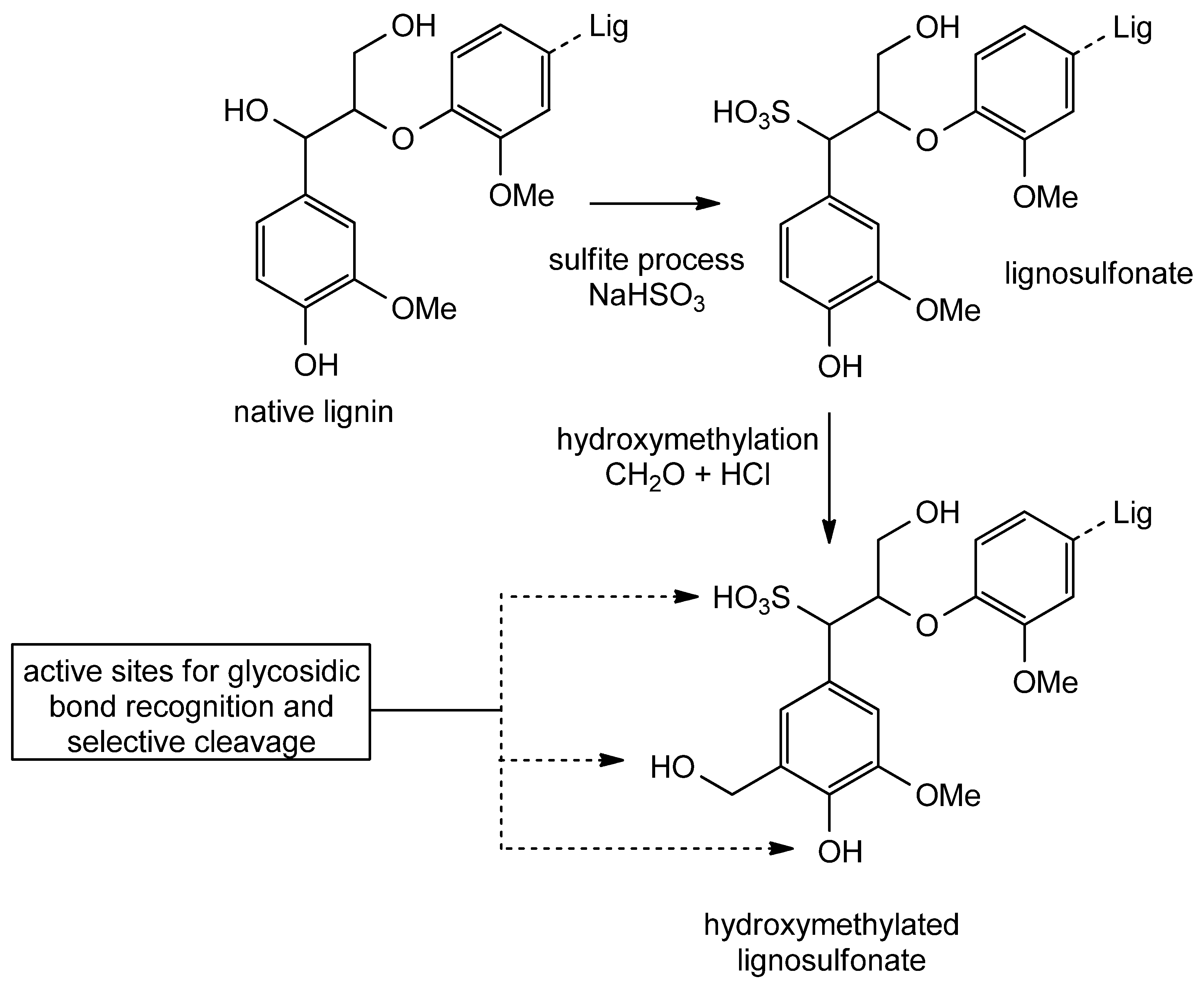
3.2. Catalytic Modifications of Lignin
4. Starch and Lignin-Derived Catalysts
4.1. Starch-Based Catalysts
4.2. Lignin-Based Catalysts
5. Conclusions
Author Contributions
Funding
Data Availability Statement
Acknowledgments
Conflicts of Interest
References
- Rhodes, C.J. Plastic Pollution and Potential Solutions. Sci. Prog. 2018, 101, 207–260. [Google Scholar] [CrossRef] [PubMed]
- Rajendran, S.; Aboobacker, V.M.; Seegobin, V.O.; Al Khayat, J.A.; Rangel-Buitrago, N.; Al-Kuwari, H.A.-S.; Sadooni, F.N.; Vethamony, P. History of a Disaster: A Baseline Assessment of the Wakashio Oil Spill on the Coast of Mauritius, Indian Ocean. Mar. Pollut. Bull. 2022, 175, 113330. [Google Scholar] [CrossRef] [PubMed]
- Cazacu, G.; Pascu, M.C.; Profire, L.; Kowarski, A.I.; Mihaes, M.; Vasile, C. Lignin Role in a Complex Polyolefin Blend. Ind. Crops Prod. 2004, 20, 261–273. [Google Scholar] [CrossRef]
- Wang, S.-K.; Yang, K.-X.; Zhu, Y.-R.; Zhu, X.-Y.; Nie, D.-F.; Jiao, N.; Angelidaki, I. One-Step Co-Cultivation and Flocculation of Microalgae with Filamentous Fungi to Valorize Starch Wastewater into High-Value Biomass. Bioresour. Technol. 2022, 361, 127625. [Google Scholar] [CrossRef]
- Beckham, G.T.; Johnson, C.W.; Karp, E.M.; Salvachúa, D.; Vardon, D.R. Opportunities and Challenges in Biological Lignin Valorization. Curr. Opin. Biotechnol. 2016, 42, 40–53. [Google Scholar] [CrossRef]
- Burritt, R.L.; Schaltegger, S. Measuring the (Un-)Sustainability of Industrial Biomass Production and Use. Sustain. Account. Manag. Policy J. 2012, 3, 109–133. [Google Scholar] [CrossRef]
- Cornejo-Ramírez, Y.I.; Martínez-Cruz, O.; Del Toro-Sánchez, C.L.; Wong-Corral, F.J.; Borboa-Flores, J.; Cinco-Moroyoqui, F.J. The Structural Characteristics of Starches and Their Functional Properties. CyTA J. Food 2018, 16, 1003–1017. [Google Scholar] [CrossRef]
- Avancini, S.R.P.; Faccin, G.L.; Vieira, M.A.; Rovaris, A.A.; Podestá, R.; Tramonte, R.; De Souza, N.M.A.; Amante, E.R. Cassava Starch Fermentation Wastewater: Characterization and Preliminary Toxicological Studies. Food Chem. Toxicol. 2007, 45, 2273–2278. [Google Scholar] [CrossRef] [PubMed]
- Goswami, K.P.; Pugazhenthi, G. Treatment of Starch-rich Wastewater Using Fly Ash-based Low-cost Tubular Ceramic Membrane. Environ. Prog. Sustain. Energy 2022, 41, e13906. [Google Scholar] [CrossRef]
- Kringel, D.H.; Dias, A.R.G.; Zavareze, E.D.R.; Gandra, E.A. Fruit Wastes as Promising Sources of Starch: Extraction, Properties, and Applications. Starch Stärke 2020, 72, 1900200. [Google Scholar] [CrossRef]
- Devereux, S.; Shuttleworth, P.S.; Macquarrie, D.J.; Paradisi, F. Isolation and Characterization of Recovered Starch from Industrial Wastewater. J. Polym. Environ. 2011, 19, 971–979. [Google Scholar] [CrossRef]
- Abe, M.M.; Martins, J.R.; Sanvezzo, P.B.; Macedo, J.V.; Branciforti, M.C.; Halley, P.; Botaro, V.R.; Brienzo, M. Advantages and Disadvantages of Bioplastics Production from Starch and Lignocellulosic Components. Polymers 2021, 13, 2484. [Google Scholar] [CrossRef] [PubMed]
- Gökçe, E. Rethinking Sustainability: A Research on Starch Based Bioplastic. J. Sustain. Constr. Mater. Technol. 2018, 3, 249–260. [Google Scholar] [CrossRef]
- Lu, Y.; Ding, Y.; Wu, Q. Simultaneous Saccharification of Cassava Starch and Fermentation of Algae for Biodiesel Production. J. Appl. Phycol. 2011, 23, 115–121. [Google Scholar] [CrossRef]
- Welker, C.; Balasubramanian, V.; Petti, C.; Rai, K.; DeBolt, S.; Mendu, V. Engineering Plant Biomass Lignin Content and Composition for Biofuels and Bioproducts. Energies 2015, 8, 7654–7676. [Google Scholar] [CrossRef]
- Santos, R.B.; Hart, P.; Jameel, H.; Chang, H. Wood Based Lignin Reactions Important to the Biorefinery and Pulp and Paper Industries. BioResources 2013, 8, 1456–1477. [Google Scholar] [CrossRef]
- Bajwa, D.S.; Pourhashem, G.; Ullah, A.H.; Bajwa, S.G. A Concise Review of Current Lignin Production, Applications, Products and Their Environmental Impact. Ind. Crops Prod. 2019, 139, 111526. [Google Scholar] [CrossRef]
- Sun, R. Lignin Source and Structural Characterization. ChemSusChem 2020, 13, 4385–4393. [Google Scholar] [CrossRef]
- Ariyanta, H.A.; Sari, F.P.; Sohail, A.; Restu, W.K.; Septiyanti, M.; Aryana, N.; Fatriasari, W.; Kumar, A. Current Roles of Lignin for the Agroindustry: Applications, Challenges, and Opportunities. Int. J. Biol. Macromol. 2023, 240, 124523. [Google Scholar] [CrossRef]
- Wang, Z.; Deuss, P.J. The Isolation of Lignin with Native-like Structure. Biotechnol. Adv. 2023, 68, 108230. [Google Scholar] [CrossRef]
- Melro, E.; Filipe, A.; Sousa, D.; Medronho, B.; Romano, A. Revisiting Lignin: A Tour through Its Structural Features, Characterization Methods and Applications. New J. Chem. 2021, 45, 6986–7013. [Google Scholar] [CrossRef]
- Chakar, F.S.; Ragauskas, A.J. Review of Current and Future Softwood Kraft Lignin Process Chemistry. Ind. Crops Prod. 2004, 20, 131–141. [Google Scholar] [CrossRef]
- Zhou, H.; Lou, H.; Yang, D.; Zhu, J.Y.; Qiu, X. Lignosulfonate To Enhance Enzymatic Saccharification of Lignocelluloses: Role of Molecular Weight and Substrate Lignin. Ind. Eng. Chem. Res. 2013, 52, 8464–8470. [Google Scholar] [CrossRef]
- Aro, T.; Fatehi, P. Production and Application of Lignosulfonates and Sulfonated Lignin. ChemSusChem 2017, 10, 1861–1877. [Google Scholar] [CrossRef]
- José Borges Gomes, F.; De Souza, R.E.; Brito, E.O.; Costa Lelis, R.C. A Review on Lignin Sources and Uses. J. Appl. Biotechnol. Bioeng. 2020, 7, 100–105. [Google Scholar] [CrossRef]
- De La Torre, M.J.; Moral, A.; Hernández, M.D.; Cabeza, E.; Tijero, A. Organosolv Lignin for Biofuel. Ind. Crops Prod. 2013, 45, 58–63. [Google Scholar] [CrossRef]
- Rabelo, S.C.; Nakasu, P.Y.S.; Scopel, E.; Araújo, M.F.; Cardoso, L.H.; Costa, A.C.D. Organosolv Pretreatment for Biorefineries: Current Status, Perspectives, and Challenges. Bioresour. Technol. 2023, 369, 128331. [Google Scholar] [CrossRef]
- Li, J.; Gellerstedt, G.; Toven, K. Steam Explosion Lignins; Their Extraction, Structure and Potential as Feedstock for Biodiesel and Chemicals. Bioresour. Technol. 2009, 100, 2556–2561. [Google Scholar] [CrossRef]
- Hu, Z.; Yeh, T.-F.; Chang, H.; Matsumoto, Y.; Kadla, J.F. Elucidation of the Structure of Cellulolytic Enzyme Lignin. Holzforschung 2006, 60, 389–397. [Google Scholar] [CrossRef]
- Vanier, N.L.; El Halal, S.L.M.; Dias, A.R.G.; Da Rosa Zavareze, E. Molecular Structure, Functionality and Applications of Oxidized Starches: A Review. Food Chem. 2017, 221, 1546–1559. [Google Scholar] [CrossRef]
- Podolean, I.; Anita, F.; García, H.; Parvulescu, V.I.; Coman, S.M. Efficient Magnetic Recoverable Acid-Functionalized-Carbon Catalysts for Starch Valorization to Multiple Bio-Chemicals. Catal. Today 2017, 279, 45–55. [Google Scholar] [CrossRef]
- Dookheh, M.; Najafi Chermahini, A. Starch Valorization: Direct Conversion of Starch to Hexyl Levulinate over SO4/ZrO2-KIT5 Composite. Int. J. Biol. Macromol. 2024, 262, 130093. [Google Scholar] [CrossRef] [PubMed]
- Lerf, A.; He, H.; Forster, M.; Klinowski, J. Structure of Graphite Oxide Revisited. J. Phys. Chem. B 1998, 102, 4477–4482. [Google Scholar] [CrossRef]
- Guo, H.; Bian, K.; Ding, S.; Cai, H.; Zhang, H.; Chen, X.; Wang, C.; Yao, S.; Chen, X. Efficient Utilization of Biomass Hydrolysis Residues in Preparing a Metal/Acid Bifunctional Catalyst for Butyl Levulinate Hydrogenation to γ-Valerolactone. Ind. Eng. Chem. Res. 2023, 62, 5502–5514. [Google Scholar] [CrossRef]
- Chen, Y.; Zhang, X.; Dong, M.; Wu, Y.; Zheng, G.; Huang, J.; Guan, X.; Zheng, X. MCM-41 Immobilized 12-Silicotungstic Acid Mesoporous Materials: Structural and Catalytic Properties for Esterification of Levulinic Acid and Oleic Acid. J. Taiwan Inst. Chem. Eng. 2016, 61, 147–155. [Google Scholar] [CrossRef]
- Appaturi, J.N.; Selvaraj, M.; Rajabathar, J.R.; Khoerunnisa, F.; Rigolet, S.; Daou, T.J.; Maireles-Torres, P.; El-Bahy, S.M.; El-Bahy, Z.M.; Ng, E.-P. Highly Efficient Non-Microwave Instant Heating Synthesis of Hexyl Levulinate Fuel Additive Enhanced by Sulfated Nanosilica Catalyst. Microporous Mesoporous Mater. 2022, 331, 111645. [Google Scholar] [CrossRef]
- Parovuori, P.; Hamunen, A.; Forssell, P.; Autio, K.; Poutanen, K. Oxidation of Potato Starch by Hydrogen Peroxide. Starch Stärke 1995, 47, 19–23. [Google Scholar] [CrossRef]
- Sangseethong, K.; Termvejsayanon, N.; Sriroth, K. Characterization of Physicochemical Properties of Hypochlorite- and Peroxide-Oxidized Cassava Starches. Carbohydr. Polym. 2010, 82, 446–453. [Google Scholar] [CrossRef]
- Maniglia, B.C.; Castanha, N.; Le-Bail, P.; Le-Bail, A.; Augusto, P.E.D. Starch Modification through Environmentally Friendly Alternatives: A Review. Crit. Rev. Food Sci. Nutr. 2021, 61, 2482–2505. [Google Scholar] [CrossRef]
- Zhang, Y.-R.; Wang, X.-L.; Zhao, G.-M.; Wang, Y.-Z. Preparation and Properties of Oxidized Starch with High Degree of Oxidation. Carbohydr. Polym. 2012, 87, 2554–2562. [Google Scholar] [CrossRef]
- Floor, M.; Schenk, K.M.; Kieboom, A.P.G.; Van Bekkum, H. Oxidation of Maltodextrins and Starch by the System Tungstate-Hydrogen Peroxide. Starch Stärke 1989, 41, 303–309. [Google Scholar] [CrossRef]
- Sorokin, A.B.; Kachkarova-Sorokina, S.L.; Donzé, C.; Pinel, C.; Gallezot, P. From Native Starch to Hydrophilic and Hydrophobic Products: A Catalytic Approach. Top. Catal. 2004, 27, 67–76. [Google Scholar] [CrossRef]
- Wang, H.; Poya, Y.; Chen, X.; Jia, T.; Wang, X.; Shi, J. Hydrogen Peroxide as an Oxidant in Starch Oxidation Using Molybdovanadophosphate for Producing a High Carboxylic Content. RSC Adv. 2015, 5, 45725–45730. [Google Scholar] [CrossRef]
- Broekman, J.O.P.; Genuino, H.C.; Heeres, H.J.; Brinksma, J.; Wielema, T.; Deuss, P.J. Benign Catalytic Oxidation of Potato Starch Using a Homogeneous Binuclear Manganese Catalyst and Hydrogen Peroxide. Catal. Sci. Technol. 2023, 13, 1233–1243. [Google Scholar] [CrossRef]
- Zhao, Y.; Deng, L.; Liao, B.; Fu, Y.; Guo, Q.-X. Aromatics Production via Catalytic Pyrolysis of Pyrolytic Lignins from Bio-Oil. Energy Fuels 2010, 24, 5735–5740. [Google Scholar] [CrossRef]
- Zakzeski, J.; Bruijnincx, P.C.A.; Jongerius, A.L.; Weckhuysen, B.M. The Catalytic Valorization of Lignin for the Production of Renewable Chemicals. Chem. Rev. 2010, 110, 3552–3599. [Google Scholar] [CrossRef]
- Rahman, M.M.; Liu, R.; Cai, J. Catalytic Fast Pyrolysis of Biomass over Zeolites for High Quality Bio-Oil—A Review. Fuel Process. Technol. 2018, 180, 32–46. [Google Scholar] [CrossRef]
- Carlson, T.R.; Jae, J.; Lin, Y.-C.; Tompsett, G.A.; Huber, G.W. Catalytic Fast Pyrolysis of Glucose with HZSM-5: The Combined Homogeneous and Heterogeneous Reactions. J. Catal. 2010, 270, 110–124. [Google Scholar] [CrossRef]
- Aho, A.; Kumar, N.; Eränen, K.; Salmi, T.; Hupa, M.; Murzin, D.Y. Catalytic Pyrolysis of Woody Biomass in a Fluidized Bed Reactor: Influence of the Zeolite Structure. Fuel 2008, 87, 2493–2501. [Google Scholar] [CrossRef]
- Park, H.J.; Heo, H.S.; Jeon, J.-K.; Kim, J.; Ryoo, R.; Jeong, K.-E.; Park, Y.-K. Highly Valuable Chemicals Production from Catalytic Upgrading of Radiata Pine Sawdust-Derived Pyrolytic Vapors over Mesoporous MFI Zeolites. Appl. Catal. B Environ. 2010, 95, 365–373. [Google Scholar] [CrossRef]
- Ben, H.; Ragauskas, A.J. Influence of Si/Al Ratio of ZSM-5 Zeolite on the Properties of Lignin Pyrolysis Products. ACS Sustain. Chem. Eng. 2013, 1, 316–324. [Google Scholar] [CrossRef]
- Widayatno, W.B.; Guan, G.; Rizkiana, J.; Du, X.; Hao, X.; Zhang, Z.; Abudula, A. Selective Catalytic Conversion of Bio-Oil over High-Silica Zeolites. Bioresour. Technol. 2015, 179, 518–523. [Google Scholar] [CrossRef]
- Ambursa, M.M.; Juan, J.C.; Yahaya, Y.; Taufiq-Yap, Y.H.; Lin, Y.-C.; Lee, H.V. A Review on Catalytic Hydrodeoxygenation of Lignin to Transportation Fuels by Using Nickel-Based Catalysts. Renew. Sustain. Energy Rev. 2021, 138, 110667. [Google Scholar] [CrossRef]
- Bjelić, A.; Likozar, B.; Grilc, M. Scaling of Lignin Monomer Hydrogenation, Hydrodeoxygenation and Hydrocracking Reaction Micro-Kinetics over Solid Metal/Acid Catalysts to Aromatic Oligomers. Chem. Eng. J. 2020, 399, 125712. [Google Scholar] [CrossRef]
- Mahdavi, B.; Lafrance, A.; Martel, A.; Lessard, J.; Me’Nard, H.; Brossard, L. Electrocatalytic hydrogenolysis of lignin model dimers at Raney nickel electrodes. J. Appl. Electrochem. 1997, 27, 605–611. [Google Scholar] [CrossRef]
- Robin, D.; Comtois, M.; Martel, A.; Lemieux, R.; Cheong, A.K.; Belot, G.; Lessard, J. The Electrocatalytic Hydrogenation of Fused PolyCyclic Aromatic Compounds at Raney Nickel Electrodes: The Influence of Catalyst Activation and Electrolysis Conditions. Can. J. Chem. 1990, 68, 1218–1227. [Google Scholar] [CrossRef]
- Mahdavi, B.; Chambrion, P.; Binette, J.; Martel, E.; Lessard, J. Electrocatalytic Hydrogenation of Conjugated Enones on Nickel Boride, Nickel, and Raney Nickel Electrodes. Can. J. Chem. 1995, 73, 846–852. [Google Scholar] [CrossRef]
- Mahdavi, B.; Chapuzet, J.M.; Lessard, J. The Electrocatalytic Hydrogenation of Phenanthrene at Raney Nickel Electrodes: The Effect of Periodic Current Control. Electrochim. Acta 1993, 38, 1377–1380. [Google Scholar] [CrossRef]
- Wijaya, Y.P.; Smith, K.J.; Kim, C.S.; Gyenge, E.L. Electrocatalytic Hydrogenation and Depolymerization Pathways for Lignin Valorization: Toward Mild Synthesis of Chemicals and Fuels from Biomass. Green Chem. 2020, 22, 7233–7264. [Google Scholar] [CrossRef]
- Zhu, H.; Wang, L.; Chen, Y.; Li, G.; Li, H.; Tang, Y.; Wan, P. Electrochemical Depolymerization of Lignin into Renewable Aromatic Compounds in a Non-Diaphragm Electrolytic Cell. RSC Adv. 2014, 4, 29917. [Google Scholar] [CrossRef]
- Wang, Y.; Yang, F.; Liu, Z.; Yuan, L.; Li, G. Electrocatalytic Degradation of Aspen Lignin over Pb/PbO2 Electrode in Alkali Solution. Catal. Commun. 2015, 67, 49–53. [Google Scholar] [CrossRef]
- Di Marino, D.; Stöckmann, D.; Kriescher, S.; Stiefel, S.; Wessling, M. Electrochemical Depolymerisation of Lignin in a Deep Eutectic Solvent. Green Chem. 2016, 18, 6021–6028. [Google Scholar] [CrossRef]
- Sun, Z.; Fridrich, B.; De Santi, A.; Elangovan, S.; Barta, K. Bright Side of Lignin Depolymerization: Toward New Platform Chemicals. Chem. Rev. 2018, 118, 614–678. [Google Scholar] [CrossRef]
- Sales, F.G.; Maranhão, L.C.A.; Filho, N.M.L.; Abreu, C.A.M. Experimental Evaluation and Continuous Catalytic Process for Fine Aldehyde Production from Lignin. Chem. Eng. Sci. 2007, 62, 5386–5391. [Google Scholar] [CrossRef]
- Pourjafar, S.; Kreft, J.; Bilek, H.; Kozliak, E.; Seames, W. Exploring Large Pore Size Alumina and Silica-Alumina Based Catalysts for Decomposition of Lignin. AIMS Energy 2018, 6, 993–1008. [Google Scholar] [CrossRef]
- Zhang, J.; Deng, H.; Lin, L. Wet Aerobic Oxidation of Lignin into Aromatic Aldehydes Catalysed by a Perovskite-Type Oxide: LaFe1−xCuxO3 (X = 0, 0.1, 0.2). Molecules 2009, 14, 2747–2757. [Google Scholar] [CrossRef] [PubMed]
- Yang, M.; Xu, A.; Du, H.; Sun, C.; Li, C. Removal of Salicylic Acid on Perovskite-Type Oxide LaFeO3 Catalyst in Catalytic Wet Air Oxidation Process. J. Hazard. Mater. 2007, 139, 86–92. [Google Scholar] [CrossRef]
- Royer, S.; Levasseur, B.; Alamdari, H.; Barbier, J., Jr.; Duprez, D.; Kaliaguine, S. Mechanism of Stearic Acid Oxidation over Nanocrystalline La1−xA′xBO3La1−xA′xBO3 (A′ = Sr, Ce; B = Co, Mn): The Role of Oxygen Mobility. Appl. Catal. B Environ. 2008, 80, 51–61. [Google Scholar] [CrossRef]
- Fortuny, A. Bimetallic Catalysts for Continuous Catalytic Wet Air Oxidation of Phenol. J. Hazard. Mater. 1999, 64, 181–193. [Google Scholar] [CrossRef]
- Nguyen, J.D.; Matsuura, B.S.; Stephenson, C.R.J. A Photochemical Strategy for Lignin Degradation at Room Temperature. J. Am. Chem. Soc. 2014, 136, 1218–1221. [Google Scholar] [CrossRef]
- Lancefield, C.S.; Ojo, O.S.; Tran, F.; Westwood, N.J. Isolation of Functionalized Phenolic Monomers through Selective Oxidation and C-O Bond Cleavage of the β-O-4 Linkages in Lignin. Angew. Chem. 2015, 127, 260–264. [Google Scholar] [CrossRef]
- Rahimi, A.; Azarpira, A.; Kim, H.; Ralph, J.; Stahl, S.S. Chemoselective Metal-Free Aerobic Alcohol Oxidation in Lignin. J. Am. Chem. Soc. 2013, 135, 6415–6418. [Google Scholar] [CrossRef] [PubMed]
- Bosque, I.; Magallanes, G.; Rigoulet, M.; Kärkäs, M.D.; Stephenson, C.R.J. Redox Catalysis Facilitates Lignin Depolymerization. ACS Cent. Sci. 2017, 3, 621–628. [Google Scholar] [CrossRef]
- Rahimi, A.; Ulbrich, A.; Coon, J.J.; Stahl, S.S. Formic-Acid-Induced Depolymerization of Oxidized Lignin to Aromatics. Nature 2014, 515, 249–252. [Google Scholar] [CrossRef] [PubMed]
- Tan, W.T.; Jusoh, M.; Zakaria, Z.Y. Starch-Derived Solid Acid Catalyst for Biodiesel Production: A Mini Review. Chem. Eng. Trans. 2021, 89, 487–492. [Google Scholar] [CrossRef]
- Lou, W.-Y.; Zong, M.-H.; Duan, Z.-Q. Efficient Production of Biodiesel from High Free Fatty Acid-Containing Waste Oils Using Various Carbohydrate-Derived Solid Acid Catalysts. Bioresour. Technol. 2008, 99, 8752–8758. [Google Scholar] [CrossRef]
- Sheshmani, S.; Mardali, M.; Shokrollahzadeh, S.; Bide, Y. Starch-Derived Carbon Quantum Dots: Unveiling Structural Insights and Photocatalytic Potential as a Bio-Sourced Metal-Free Semiconductor. Int. J. Biol. Macromol. 2024, 271, 132535. [Google Scholar] [CrossRef] [PubMed]
- Safari, J.; Aftabi, P.; Ahmadzadeh, M.; Sadeghi, M.; Zarnegar, Z. Sulfonated Starch Nanoparticles: An Effective, Heterogeneous and Bio-Based Catalyst for Synthesis of 14-Aryl-14-H-Dibenzo[a,j]Xanthenes. J. Mol. Struct. 2017, 1142, 33–39. [Google Scholar] [CrossRef]
- Patra, D.; Panja, S.; Saha, A. C–C Cross-Coupling Reactions of Organosilanes with Terminal Alkenes and Allylic Acetates Using PdII Catalyst Supported on Starch Coated Magnetic Nanoparticles. Eur. J. Org. Chem. 2020, 2020, 878–883. [Google Scholar] [CrossRef]
- Dharmendra, D.; Chundawat, P.; Vyas, Y.; Ameta, C. Ultrasound-Assisted Efficient Synthesis and Antimicrobial Evaluation of Pyrazolopyranopyrimidine Derivatives Using Starch Functionalized Magnetite Nanoparticles as a Green Biocatalyst in Water. J. Chem. Sci. 2022, 134, 47. [Google Scholar] [CrossRef]
- Dohendou, M.; Pakzad, K.; Nezafat, Z.; Nasrollahzadeh, M.; Dekamin, M.G. Progresses in Chitin, Chitosan, Starch, Cellulose, Pectin, Alginate, Gelatin and Gum Based (Nano)Catalysts for the Heck Coupling Reactions: A Review. Int. J. Biol. Macromol. 2021, 192, 771–819. [Google Scholar] [CrossRef] [PubMed]
- Arghan, M.; Koukabi, N.; Kolvari, E. Magnetic Apple Seed Starch Functionalized with 2,2′-furil as a Green Host for Cobalt Nanoparticles: Highly Active and Reusable Catalyst for Mizoroki–Heck and the Suzuki–Miyaura Reactions. Appl. Organomet. Chem. 2019, 33, e5075. [Google Scholar] [CrossRef]
- Bahadorikhalili, S.; Ansari, S.; Hamedifar, H.; Mahdavi, M. The Use of Magnetic Starch as a Support for an Ionic Liquid-β-Cyclodextrin Based Catalyst for the Synthesis of Imidazothiadiazolamine Derivatives. Int. J. Biol. Macromol. 2019, 135, 453–461. [Google Scholar] [CrossRef]
- Pandit, N.; Shah, K.; Agrawal, N.; Upmanyu, N.; Shrivastava, S.K.; Mishra, P. Synthesis, Characterization and Biological Evaluation of Some Novel Fluoroquinolones. Med. Chem. Res. 2016, 25, 843–851. [Google Scholar] [CrossRef]
- Lee, A.-L. Enantioselective Oxidative Boron Heck Reactions. Org. Biomol. Chem. 2016, 14, 5357–5366. [Google Scholar] [CrossRef]
- Ma, L.; Zhan, X. Dye-Sensitized Solar Cells (DSSCs). In Organic Optoelectronics; Hu, W., Ed.; Wiley: Hoboken, NJ, USA, 2013; pp. 437–465. ISBN 978-3-527-32968-7. [Google Scholar]
- Mariotti, N.; Bonomo, M.; Fagiolari, L.; Barbero, N.; Gerbaldi, C.; Bella, F.; Barolo, C. Recent Advances in Eco-Friendly and Cost-Effective Materials towards Sustainable Dye-Sensitized Solar Cells. Green Chem. 2020, 22, 7168–7218. [Google Scholar] [CrossRef]
- Boschloo, G.; Hagfeldt, A. Characteristics of the Iodide/Triiodide Redox Mediator in Dye-Sensitized Solar Cells. Acc. Chem. Res. 2009, 42, 1819–1826. [Google Scholar] [CrossRef]
- De Haro, J.C.; Tatsi, E.; Fagiolari, L.; Bonomo, M.; Barolo, C.; Turri, S.; Bella, F.; Griffini, G. Lignin-Based Polymer Electrolyte Membranes for Sustainable Aqueous Dye-Sensitized Solar Cells. ACS Sustain. Chem. Eng. 2021, 9, 8550–8560. [Google Scholar] [CrossRef]
- Chen, W.-J.; Zhao, C.-X.; Li, B.-Q.; Yuan, T.-Q.; Zhang, Q. Lignin-Derived Materials and Their Applications in Rechargeable Batteries. Green Chem. 2022, 24, 565–584. [Google Scholar] [CrossRef]
- Zhang, W.; Yin, J.; Lin, Z.; Lin, H.; Lu, H.; Wang, Y.; Huang, W. Facile Preparation of 3D Hierarchical Porous Carbon from Lignin for the Anode Material in Lithium Ion Battery with High Rate Performance. Electrochim. Acta 2015, 176, 1136–1142. [Google Scholar] [CrossRef]
- Xi, Y.; Wang, Y.; Yang, D.; Zhang, Z.; Liu, W.; Li, Q.; Qiu, X. K2CO3 Activation Enhancing the Graphitization of Porous Lignin Carbon Derived from Enzymatic Hydrolysis Lignin for High Performance Lithium-Ion Storage. J. Alloys Compd. 2019, 785, 706–714. [Google Scholar] [CrossRef]
- Xi, Y.; Huang, S.; Yang, D.; Qiu, X.; Su, H.; Yi, C.; Li, Q. Hierarchical Porous Carbon Derived from the Gas-Exfoliation Activation of Lignin for High-Energy Lithium-Ion Batteries. Green Chem. 2020, 22, 4321–4330. [Google Scholar] [CrossRef]
- Wang, H.; Shao, Y.; Mei, S.; Lu, Y.; Zhang, M.; Sun, J.; Matyjaszewski, K.; Antonietti, M.; Yuan, J. Polymer-Derived Heteroatom-Doped Porous Carbon Materials. Chem. Rev. 2020, 120, 9363–9419. [Google Scholar] [CrossRef] [PubMed]
- Lu, Y.; Yu, L.; Lou, X.W. (David) Nanostructured Conversion-Type Anode Materials for Advanced Lithium-Ion Batteries. Chem 2018, 4, 972–996. [Google Scholar] [CrossRef]
- Chen, F.; Wu, L.; Zhou, Z.; Ju, J.; Zhao, Z.; Zhong, M.; Kuang, T. MoS2 Decorated Lignin-Derived Hierarchical Mesoporous Carbon Hybrid Nanospheres with Exceptional Li-Ion Battery Cycle Stability. Chin. Chem. Lett. 2019, 30, 197–202. [Google Scholar] [CrossRef]
- Zhou, Z.; Chen, F.; Kuang, T.; Chang, L.; Yang, J.; Fan, P.; Zhao, Z.; Zhong, M. Lignin-Derived Hierarchical Mesoporous Carbon and NiO Hybrid Nanospheres with Exceptional Li-Ion Battery and Pseudocapacitive Properties. Electrochim. Acta 2018, 274, 288–297. [Google Scholar] [CrossRef]
- Zhao, Y.; Wen, M.; He, C.; Liu, C.; Li, Z.; Liu, Y. Preparation of Graphene by Catalytic Pyrolysis of Lignin and Its Electrochemical Properties. Mater. Lett. 2020, 274, 128047. [Google Scholar] [CrossRef]
- Reddy, K.R.; Jyothi, M.S.; Raghu, A.V.; Sadhu, V.; Naveen, S.; Aminabhavi, T.M. Nanocarbons-Supported and Polymers-Supported Titanium Dioxide Nanostructures as Efficient Photocatalysts for Remediation of Contaminated Wastewater and Hydrogen Production. In Nanophotocatalysis and Environmental Applications; Inamuddin, Asiri, A.M., Lichtfouse, E., Eds.; Environmental Chemistry for a Sustainable World; Springer International Publishing: Cham, Switzerland, 2020; Volume 30, pp. 139–169. ISBN 978-3-030-12618-6. [Google Scholar]
- Ramesh Reddy, N.; Bhargav, U.; Mamatha Kumari, M.; Cheralathan, K.K.; Sakar, M. Review on the Interface Engineering in the Carbonaceous Titania for the Improved Photocatalytic Hydrogen Production. Int. J. Hydrogen Energy 2020, 45, 7584–7615. [Google Scholar] [CrossRef]
- Zhang, Q.; Bao, N.; Wang, X.; Hu, X.; Miao, X.; Chaker, M.; Ma, D. Advanced Fabrication of Chemically Bonded Graphene/TiO2 Continuous Fibers with Enhanced Broadband Photocatalytic Properties and Involved Mechanisms Exploration. Sci. Rep. 2016, 6, 38066. [Google Scholar] [CrossRef] [PubMed]
- Vadivel, D.; Branciforti, D.S.; Speltini, A.; Sturini, M.; Bellani, V.; Malaichamy, I.; Dondi, D. Pyrolytic Formation of TiO2/Carbon Nanocomposite from Kraft Lignin: Characterization and Photoactivities. Catalysts 2020, 10, 270. [Google Scholar] [CrossRef]
- Speltini, A.; Sturini, M.; Maraschi, F.; Mandelli, E.; Vadivel, D.; Dondi, D.; Profumo, A. Preparation of Silica-Supported Carbon by Kraft Lignin Pyrolysis, and Its Use in Solid-Phase Extraction of Fluoroquinolones from Environmental Waters. Microchim. Acta 2016, 183, 2241–2249. [Google Scholar] [CrossRef]
- Dondi, D.; Zeffiro, A.; Speltini, A.; Tomasi, C.; Vadivel, D.; Buttafava, A. The Role of Inorganic Sulfur Compounds in the Pyrolysis of Kraft Lignin. J. Anal. Appl. Pyrolysis 2014, 107, 53–58. [Google Scholar] [CrossRef]
- Vadivel, D.; Suryakumar, S.; Casella, C.; Speltini, A.; Dondi, D. Advancements in Materials Science and Photocatalysts for Sustainable Development. Catalysts 2024, 14, 378. [Google Scholar] [CrossRef]
- Dondi, D.; Vadivel, D. Preparation of Catalysts from Renewable and Waste Materials. Catalysts 2020, 10, 662. [Google Scholar] [CrossRef]
- Vadivel, D.; Malaichamy, I. Pyrolytic Formation and Photoactivity of Reactive Oxygen Species in a SiO2/Carbon Nanocomposite from Kraft Lignin. F1000Research 2018, 7, 1574. [Google Scholar] [CrossRef]
- Vadivel, D.; Speltini, A.; Zeffiro, A.; Bellani, V.; Pezzini, S.; Buttafava, A.; Dondi, D. Reactive Carbons from Kraft Lignin Pyrolysis: Stabilization of Peroxyl Radicals at Carbon/Silica Interface. J. Anal. Appl. Pyrolysis 2017, 128, 346–352. [Google Scholar] [CrossRef]
- Wang, H.; Qiu, X.; Zhong, R.; Fu, F.; Qian, Y.; Yang, D. One-Pot in-Situ Preparation of a Lignin-Based Carbon/ZnO Nanocomposite with Excellent Photocatalytic Performance. Mater. Chem. Phys. 2017, 199, 193–202. [Google Scholar] [CrossRef]
- Donar, Y.O.; Bilge, S.; Sinağ, A. Utilisation of Lignin as a Model Biomass Component for Preparing a Highly Active Photocatalyst under UV and Visible Light. Mater. Sci. Semicond. Process. 2020, 118, 105151. [Google Scholar] [CrossRef]
- Mabuti, L.A.; Manding, I.K.S.; Mercado, C.C. Photovoltaic and Photocatalytic Properties of Bismuth Oxyiodide–Graphene Nanocomposites. RSC Adv. 2018, 8, 42254–42261. [Google Scholar] [CrossRef]
- Matos, J.; García, A.; Zhao, L.; Titirici, M.M. Solvothermal Carbon-Doped TiO2 Photocatalyst for the Enhanced Methylene Blue Degradation under Visible Light. Appl. Catal. A Gen. 2010, 390, 175–182. [Google Scholar] [CrossRef]
- Mennani, M.; Kasbaji, M.; Benhamou, A.A.; Boussetta, A.; Ablouh, E.-H.; Bayousfi, O.; Grimi, N.; Moubarik, A. Effects of Direct Sulfonation on the Catalytic Activity and Recyclability of Novel Lignin-Based Solid Acid Catalysts from Agri-Food Waste. Int. J. Biol. Macromol. 2023, 230, 123242. [Google Scholar] [CrossRef] [PubMed]
- Zhu, Y.; Li, Z.; Chen, J. Applications of Lignin-Derived Catalysts for Green Synthesis. Green Energy Environ. 2019, 4, 210–244. [Google Scholar] [CrossRef]
- Hu, S.; Jiang, F.; Hsieh, Y.-L. 1D Lignin-Based Solid Acid Catalysts for Cellulose Hydrolysis to Glucose and Nanocellulose. ACS Sustain. Chem. Eng. 2015, 3, 2566–2574. [Google Scholar] [CrossRef]
- Liang, F.; Song, Y.; Huang, C.; Zhang, J.; Chen, B. Preparation and Performance Evaluation of a Lignin-Based Solid Acid from Acid Hydrolysis Lignin. Catal. Commun. 2013, 40, 93–97. [Google Scholar] [CrossRef]
- Zhu, S.; Xu, J.; Cheng, Z.; Kuang, Y.; Wu, Q.; Wang, B.; Gao, W.; Zeng, J.; Li, J.; Chen, K. Catalytic Transformation of Cellulose into Short Rod-like Cellulose Nanofibers and Platform Chemicals over Lignin-Based Solid Acid. Appl. Catal. B Environ. 2020, 268, 118732. [Google Scholar] [CrossRef]
- Mennani, M.; Kasbaji, M.; Ait Benhamou, A.; Boussetta, A.; Mekkaoui, A.A.; Grimi, N.; Moubarik, A. Current Approaches, Emerging Developments and Functional Prospects for Lignin-Based Catalysts—A Review. Green Chem. 2023, 25, 2896–2929. [Google Scholar] [CrossRef]
- Hayashi, J.; Kazehaya, A.; Muroyama, K.; Watkinson, A.P. Preparation of Activated Carbon from Lignin by Chemical Activation. Carbon 2000, 38, 1873–1878. [Google Scholar] [CrossRef]
- Bergna, D.; Varila, T.; Romar, H.; Lassi, U. Activated Carbon from Hydrolysis Lignin: Effect of Activation Method on Carbon Properties. Biomass Bioenergy 2022, 159, 106387. [Google Scholar] [CrossRef]
- Liu, Y.; Xu, H.; Yu, H.; Yang, H.; Chen, T. Synthesis of Lignin-Derived Nitrogen-Doped Carbon as a Novel Catalyst for 4-NP Reduction Evaluation. Sci. Rep. 2020, 10, 20075. [Google Scholar] [CrossRef]
- Zhang, X.; Zhang, Z.; Wang, F.; Wang, Y.; Song, Q.; Xu, J. Lignosulfonate-Based Heterogeneous Sulfonic Acid Catalyst for Hydrolyzing Glycosidic Bonds of Polysaccharides. J. Mol. Catal. A Chem. 2013, 377, 102–107. [Google Scholar] [CrossRef]
- Sun, S.; Bai, R.; Gu, Y. From Waste Biomass to Solid Support: Lignosulfonate as a Cost-Effective and Renewable Supporting Material for Catalysis. Chem. A Eur. J 2014, 20, 549–558. [Google Scholar] [CrossRef] [PubMed]
- Zhang, J.; Gu, J.; Shan, R.; Yuan, H.; Chen, Y. Advances in Thermochemical Valorization of Biomass towards Carbon Neutrality. Resour. Conserv. Recycl. 2025, 212, 107905. [Google Scholar] [CrossRef]

















Disclaimer/Publisher’s Note: The statements, opinions and data contained in all publications are solely those of the individual author(s) and contributor(s) and not of MDPI and/or the editor(s). MDPI and/or the editor(s) disclaim responsibility for any injury to people or property resulting from any ideas, methods, instructions or products referred to in the content. |
© 2024 by the authors. Licensee MDPI, Basel, Switzerland. This article is an open access article distributed under the terms and conditions of the Creative Commons Attribution (CC BY) license (https://creativecommons.org/licenses/by/4.0/).
Share and Cite
Vadivel, D.; Ferraro, F.; Dondi, D. Harnessing Biomass for a Sustainable Future: The Role of Starch and Lignin. Catalysts 2024, 14, 747. https://doi.org/10.3390/catal14110747
Vadivel D, Ferraro F, Dondi D. Harnessing Biomass for a Sustainable Future: The Role of Starch and Lignin. Catalysts. 2024; 14(11):747. https://doi.org/10.3390/catal14110747
Chicago/Turabian StyleVadivel, Dhanalakshmi, Francesco Ferraro, and Daniele Dondi. 2024. "Harnessing Biomass for a Sustainable Future: The Role of Starch and Lignin" Catalysts 14, no. 11: 747. https://doi.org/10.3390/catal14110747
APA StyleVadivel, D., Ferraro, F., & Dondi, D. (2024). Harnessing Biomass for a Sustainable Future: The Role of Starch and Lignin. Catalysts, 14(11), 747. https://doi.org/10.3390/catal14110747

