Next Article in Journal
Immobilization and Kinetic Properties of ß-N-Acetylhexosaminidase from Penicillium oxalicum
Previous Article in Journal
Microporous and Mesoporous Materials for Catalytic Applications
 
 
Font Type:
Arial Georgia Verdana
Font Size:
Aa Aa Aa
Line Spacing:
Column Width:
Background:
Article

Carbon Materials with Different Dimensions Supported Pt Catalysts for Selective Hydrogenation of 3,4-Dichloronitrobenzene to 3,4-Dichloroaniline

1
Hangzhou Institute of Advanced Studies, Zhejiang Normal University, Hangzhou 311231, China
2
Key Laboratory of the Ministry of Education for Advanced Catalysis Materials, Zhejiang Normal University, 688 Yingbin Road, Jinhua 321004, China
3
Dalian National Laboratory for Clean Energy, Dalian Institute of Chemical Physics, Chinese Academy of Sciences, 457 Zhongshan Road, Dalian 116023, China
4
The State Key Laboratory of Catalysis, Dalian Institute of Chemical Physics, Chinese Academy of Sciences, 457 Zhongshan Road, Dalian 116023, China
*
Authors to whom correspondence should be addressed.
Catalysts 2024, 14(10), 724; https://doi.org/10.3390/catal14100724
Submission received: 31 August 2024 / Revised: 8 October 2024 / Accepted: 14 October 2024 / Published: 16 October 2024
(This article belongs to the Section Nanostructured Catalysts)

Abstract

In this study, carbon materials with different dimensions, including the typical one-dimensional (1D) carbon nanotube (CNT), two-dimensional (2D) graphene (GF), and three-dimensional (3D) activated carbon (AC), were investigated as a support for Pt catalysts for the selective hydrogenation of 3,4-dichloronitrobenzene (3,4-DCNB) to 3,4-dichloroaniline (3,4-DCAN). Notably, the Pt/CNT catalyst with the lowest dimension exhibited the best conversion of 3,4-DCNB under mild reaction conditions, followed by Pt/GF. Comprehensive characterizations, including XRD, TEM, XPS, and in situ CO DRIFTS, reveal that the dimension of carbon supports plays an important role in the particle size and electronic properties of Pt species, consequently affecting the catalytic performances of Pt catalysts. According to the results, electron-deficient Pt particles with small sizes are more favorable for the hydrogenation of 3,4-DCNB to 3,4-DCAN. In addition, dynamic tests and in situ DRIFTS of 3,4-DCNB indicated that the carbonaceous supports will largely influence the adsorption and activation capacity of the Pt catalysts, so that Pt loaded on CNT and GF are superior to that on the AC. We believe this study will provide good guidance for designing efficient carbon-supported metal catalysts for selective hydrogenation.

Graphical Abstract

1. Introduction

The selective hydrogenation of aromatic nitro compounds is of significant interest in catalysis research due to its extensive industrial applications in the production of chemicals and fuels [1,2,3]. However, the selective reduction of the nitro group in the presence of other reducible functional groups, such as C-Cl, C=C, and C=O, presents a significant challenge [4,5,6]. This challenge arises because of the potential for undesired side products, such as nitroso, hydroxylamine, azoxy, azo, hydrazo, or aniline derivatives [7,8]. The selective hydrogenation of chloronitrobenzene, especially those bearing two or three chloro-substituents, is of particular interest due to the high demand for the corresponding aniline compounds in various industries, such as the manufacturing of pesticides, dyes, and fragrances [3,9]. For instance, 3,4-dichloronitrobenzene (3,4-DCNB) is a representative and significant substrate, which is primarily used in the synthesis of various herbicides [10]. However, the development of highly efficient and selective catalysts for the selective hydrogenation of 3,4-DCNB is urgently required to suppress dehalogenation and enhance the production of desired aniline products [9,11].
Noble metal catalysts, particularly those based on platinum (Pt), have been extensively utilized in the hydrogenation of chloronitrobenzene (CNB) [12,13,14,15]. However, the performance of these catalysts is highly dependent on several factors, including the choice of support materials [13,14], the particle size of Pt species [15], the reaction medium [16], and the reaction conditions [9]. For example, Wang et al. employed the orthogonal decomposition method to investigate the geometrical and electronic properties of Pt catalysts in the hydrogenation of p-CNB [15]. Their findings suggest that variations in selectivity are primarily attributed to the size of Pt particles and the electronic effects induced by different support materials [15]. Song et al. reported that the catalytic performance of Pt catalysts for the chemoselective hydrogenation of o-CNB is significantly influenced by the pore structures of carbon-based supports [17]. More recently, Jiang et al. developed a series of Pt@COF-Sx catalysts for the hydrogenation of p-CNB. They discovered that the catalytic performance can be modulated by manipulating the thioether groups on the pore walls of covalent organic frameworks (COFs) [13]. This modification enhances the interaction between thiols and Pt nanoparticles, leading to a positively charged Pt surface, which is critical for the selective hydrogenation of p-CNB [13]. The collective findings increase the importance of the textural properties and chemical environments of support materials due to their effect on the dispersion of Pt nanoparticles, as well as their effect on the interactions between Pt and the support [15,18]. These, in turn, have a profound impact on the catalytic performance of the hydrogenation process.
Catalyst supports made of carbonaceous materials are crucial in selective hydrogenation reactions due to their distinctive chemical and structural properties [19,20,21]. Carbon-supported metal catalysts are widely applied in various hydrogenation processes, attributed to their ready availability, excellent stability, and superior particle distribution [20,22]. The dimensionality of carbon materials significantly influences electron transfer, surface area accessibility, the dispersion of active sites, and the interfacial interactions between the metal and the support [23,24,25]. Consequently, the rational regulation of the dimensionality of carbon materials is imperative for the advancement of highly efficient metal catalysts for the conversion of CNB. In this study, we synthesized a range of carbon materials with different dimensions to support Pt catalysts, aimed at the selective hydrogenation of 3,4-dichloronitrobenzene (3,4-DCNB) to 3,4-dichloroaniline (3,4-DCAN). We explored the correlation between the carbon dimensions and the physicochemical properties of Pt catalysts that affect the reaction. A suite of characterization techniques, including X-ray diffraction (XRD), transmission electron microscopy (TEM), scanning electron microscopy (SEM), hydrogen temperature-programmed reduction (H2-TPR), and X-ray photoelectron spectroscopy (XPS), were employed to elucidate the structural and electronic properties of the Pt catalysts. Additionally, in situ diffuse reflectance infrared Fourier-transform spectroscopy (DRIFTS) of the substrate was utilized to reveal the adsorption and conversion of the reactants. We anticipate that our findings will contribute to the design and synthesis of highly efficient carbon-supported metal catalysts and offer profound insights into chemical processes such as hydrogenation.

2. Results and Discussion

2.1. Characterization of the Catalysts

Three carbon materials with different dimensions, including one-dimensional (1D) carbon nanotube (CNT), two-dimensional (2D) graphene (GF), and three-dimensional (3D) activated carbon (AC), were utilized to support Pt catalysts via a simple impregnation method, with a targeted theoretical Pt loading of 1 wt.%. The actual Pt loadings, as determined by inductively coupled plasma optical emission spectroscopy (ICP-OES) analysis, were 0.7% for Pt/AC, and 1.3% for both Pt/GF and Pt/CNT. N2 adsorption–desorption measurements revealed distinct pore structures among the catalysts, primarily influenced by the inherent pore structures of the support materials. As displayed in Table 1 and Figure 1, Pt/AC exhibited a pronounced microporous structure, characterized by a specific surface area (SBET) of 1339 m²/g, a total pore volume (Vtotal) of 0.7 cm³/g, and an average pore size (Dpore) of 2.1 nm. Notably, the microporous component contributed significantly, with an SBET of 1202 m²/g and a pore volume of 0.6 cm³/g. Conversely, Pt/GF displayed a relatively low SBET of 56 m²/g and Vtotal of 0.1 cm³/g, which can be attributed to the 2D layered structure of graphene, lacking a 3D pore network. In contrast, Pt/CNT featured a prominent mesoporous structure, with an SBET of 315.3 m²/g, a Vtotal of 1.6 cm³/g, and a pore size of 20.0 nm, indicative of its more open and larger pore structure compared to the other catalysts [19,20].
The crystalline phase structure and composition of the catalysts were examined by X-ray diffraction (XRD) and Raman spectroscopy, as depicted in Figure 2. The XRD patterns in Figure 2a reveal a pronounced peak at 2θ = 26.0° for all catalysts, corresponding to the C (002) phase of carbon materials (PDF No. 00-041-8437). Pt/GF displayed the most ordered crystallinity, likely due to graphene’s well-ordered 2D layered structure. Conversely, Pt/AC showed the least crystallinity, probably because of its amorphous and less defined structure. Additionally, clear peaks at 2θ = 40° are observed in both Pt/AC and Pt/GF, which can be attributed to the Pt (111) crystalline plane (PDF No. 01-070-2057). By utilizing Scherrer’s equation, the crystallite sizes of C (002) and Pt (111) in these catalysts were calculated based on the fitting results (Figure S1), which have been detailed in Table 2. The crystallite sizes of C (002) are 19.0 nm for Pt/GF, 3.1 nm for Pt/CNT, and 1.1 nm for Pt/AC. The estimated Pt nanoparticles sizes are 3.5 nm for Pt/CNT, 4.6 nm for Pt/GF, and 12.4 nm for Pt/AC. These findings suggest that the dimensions of carbon support can significantly influence the pore structure and the dispersion of Pt nanoparticles.
Figure 2b displays the Raman spectra of the Pt catalysts supported on various carbon materials. The spectra reveal two distinct peaks at 1330 cm−1 and 1580 cm−1, corresponding to the D and G bands of the carbon materials, respectively [26,27]. The D band is indicative of the presence of disordered carbon structures, while the G band represents the graphitic carbon phase [28,29]. The intensity ratio of the D to G bands (ID/IG) serves as a metric for the relative amount of surface defects in the carbon materials [29,30]. For the Pt/AC catalyst, an ID/IG ratio of 3.38 suggests a higher degree of disorder and surface defects compared to the Pt/CNT, which exhibits an ID/IG ratio of 1.98. In contrast, the Pt/GF catalyst shows an ID/IG ratio of 0.22, indicating a more graphitized and ordered carbon structure [19,21]. This trend in surface defect structure is corroborated by the XRD results, which showed the highest crystallinity for Pt/GF.
Figure 3 presents the scanning electron microscope (SEM) images of the Pt catalysts supported on different carbon materials, revealing their distinct morphological features. The Pt/AC exhibits an amorphous block-like structure (Figure 3a), while the Pt/GF displays a sheet-like structure characteristic of graphene (Figure 3b). In contrast, the Pt/CNT is replete with nanotube-like structures, originating from the carbon nanotubes themselves (Figure 3c). To further elucidate the morphological differences, transmission electron microscopy (TEM) was employed. Figure 4 confirms the amorphous, lamellar, and tubular structures of Pt/AC, Pt/GF, and Pt/CNT, respectively, which are in accordance with the SEM observations. Additionally, the type of carbon material significantly influences the dispersion of Pt nanoparticles, as evidenced by the mean particle sizes of 9.5 ± 4.7 nm for Pt/AC (Figure 4a), 6.4 ± 3.0 nm for Pt/GF (Figure 4b), and 2.8 ± 0.8 nm for Pt/CNT (Figure 4c). These findings are consistent with the XRD results, indicating that the dimensions of carbon support affect the dispersion of Pt nanoparticles. Furthermore, high-resolution TEM images of the catalysts, shown in Figure 4d–f, reveal the presence of Pt nanoparticles and carbon layers within the catalysts. The interplanar spacings of 0.21 nm and 0.33 nm correspond to the lattice fringes of Pt nanoparticles and carbon layers, respectively [21,31].
X-ray photoelectron spectroscopy (XPS) was conducted to analyze the surface chemical state of Pt nanoparticles. Figure 5 presents Pt 4f and O 1s XPS spectra for the Pt/AC, Pt/GF, and Pt/CNT catalysts. The binding energies (B.E.) of Pt and O were calibrated by using the C1s peak at 284.5 eV as an internal standard. As shown in Figure 5a, the Pt XPS spectrum of all catalysts exhibited two characteristic peaks at approximately 71.2 and 74.5 eV, which correspond to Pt 4f7/2 and 4f5/2 of zero-valent Pt0, respectively [32,33]. In addition, higher B.E. values of 71.3 eV and 71.4 eV were observed for Pt/GF and Pt/AC, respectively, which has been reported by Roth et al., and the slight shift of the Pt peak towards higher B.E. is indicative of the effect seen with smaller particles [34]. Furthermore, another set of peaks at 72.2 and 75.5 eV can be ascribed to Pt 4f7/2 and 4f5/2 of Pt2+, respectively [35]. By quantifying the proportions of different Pt species, it was determined that the ratio of Pt0 to total Pt (Pt0/Ptotal) is 79.1% for Pt/AC, 78.2% for Pt/GF, and 70.1% for Pt/CNT. A summary of the peak fitting results is provided in Table 3, which indicates that Pt/CNT possesses more electron-deficient properties compared to the Pt/AC and Pt/GF catalysts. Figure 5b displays the O 1s XPS spectra of Pt catalysts supported on different carbon materials. Three peaks at 530.5, 531.8, and 532.9 eV can be deconvoluted from the O 1s profiles, which correspond to lattice oxygen (Oα), oxygen defects (Oβ), and surface-adsorbed oxygen species (Oγ), including hydroxyl groups (OH-) and adsorbed molecular water [36,37]. The relative percentages of these oxygen species were calculated and are detailed in Table 3. Notably, a significant presence of Oγ species was observed in both Pt/AC and Pt/CNT catalysts. In contrast, a higher concentration of Oβ species was particularly evident in the Pt/GF catalyst.
In situ diffuse reflectance infrared Fourier-transform (DRIFT) spectra of adsorbed CO were recorded over Pt catalysts supported on different carbon materials to assess the chemical state of the Pt. Figure 6 illustrates that a relatively strong band at 2079 cm−1 is present in the Pt/AC, which can be attributed to CO adsorbed on metallic Pt sites. In contrast, a distinct peak at 2096 cm−1 is observed in the Pt/CNT, suggesting an increased positive charge on the Pt surface in the Pt/CNT catalyst [13]. In summary, the combined results from XPS and CO-DRIFTS indicate an electron-deficient nature of the Pt surfaces in the Pt/CNT catalyst. This observation may be attributed to the superior electron transport capabilities of CNT compared to AC.

2.2. Catalytic Performances of Different Carbon Materials Supported Pt Catalysts

The catalytic performances of Pt catalysts supported on various carbon materials were evaluated for the selective hydrogenation of 3,4-dichloronitrobenzene (3,4-DCNB) to 3,4-dichloroaniline (3,4-DCAN). These reactions were conducted in a stainless-steel autoclave equipped with magnetic stirring and temperature measurement devices. The findings are compiled and presented in Table 4. It is evident that the Pt/AC catalyst exhibits relatively lower activity in the hydrogenation of 3,4-DCNB (Table 4, entries 1–4). Even with increased reaction times and temperatures, the conversion of 3,4-DCNB remains below 20%, and the selectivity for 3,4-DCAN is below 65%. In contrast, the Pt/GF catalyst demonstrates improved performance regarding both 3,4-DCNB conversion and 3,4-DCAN selectivity (Table 4, entries 5–9). However, extending the reaction time from 10 min to 60 min only achieves a conversion of 3,4-DCAN and a selectivity of 86.2% and 80.5%, respectively. Similarly, raising the reaction temperature from 50 °C to 70 °C results in a conversion of 3,4-DCAN and a selectivity of 75.9% and 82.5%, respectively.
The performance of the Pt/CNT catalyst is markedly different and superior under identical reaction conditions (Table 4, entries 10–15). For instance, at a reaction temperature of 50 °C and a reaction time of 10 min, the conversion of 3,4-DCAN and the selectivity are 59.1% and 77.8%, respectively. Prolonging the reaction time to 60 min enhances the conversion of 3,4-DCAN and the selectivity to 99.7% and 95.5%, respectively. Increasing the reaction temperature to 70 °C, with a reaction time of 20 min, further improves the conversion of 3,4-DCAN and the selectivity to 92.9% and 91.6%, respectively. Notably, under relatively mild conditions—30 °C and a reaction time of 60 min—the conversion of 3,4-DCAN and the selectivity reach as high as 95.9% and 96.9%, respectively, which are among the best results reported for the selective hydrogenation of chloronitrobenzene. To compare the intrinsic activities of the Pt/AC, Pt/GF, and Pt/CNT catalysts, the specific reaction rates were calculated based on the moles of transformed 3,4-DCNB per unit moles of Pt per hour. The Pt/CNT catalyst shows an exceptionally high value of 30,960 h−1, which is 1.5 times that of Pt/GF (21,176 h−1) and seven times that of Pt/AC (4312 h−1). These results suggest that Pt catalysts supported on lower-dimensional carbon materials exhibit superior performance in the hydrogenation of 3,4-DCNB. The comparison of other Pt catalysts for the hydrogenation of chloronitrobenzene has been summarized in Table S1.

2.3. Dynamic Tests of Different Pt Catalysts for Selective Hydrogenation of 3,4-DCNB

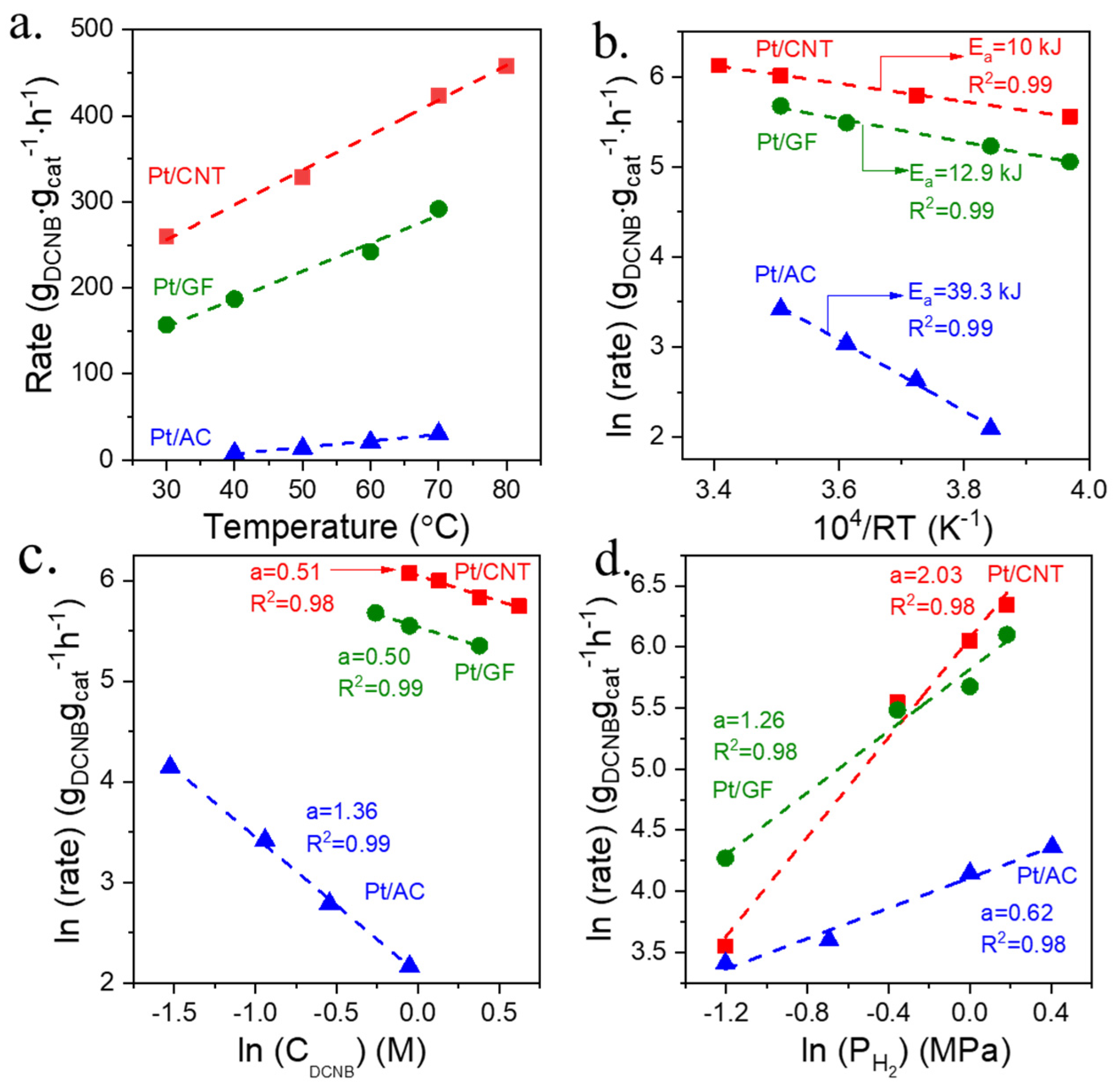
In order to gain a deeper comprehension of the factors affecting the catalytic performance, dynamic tests were conducted over the Pt/AC, Pt/GF, and Pt/CNT catalysts. The reaction rates were depicted as a function of reaction temperature (Figure 7a), the concentration of 3,4-DCNB (Figure 7c), and the pressure of H2 (Figure 7d). In addition, the apparent activation energies (Ea) for these catalysts were determined based on the Arrhenius plots for 3,4-DCNB hydrogenation (Figure 7b), with the Ea values of 10, 12.9, and 39.3 kJ/mol for Pt/CNT, Pt/GF, and Pt/AC, respectively. The data indicate that the Pt/CNT catalyst is more catalytically efficient than Pt/GF, particularly when compared to Pt/AC, due to its significantly lower Ea and higher reaction rates across various temperature ranges for the hydrogenation of 3,4-DCNB (Figure 7a). In addition, the reaction rates for 3,4-DCNB over the Pt/AC, Pt/GF, and Pt/CNT catalysts are highly dependent on the substrate concentration and H2 pressure. As illustrated in Figure 7c, an increase in 3,4-DCNB concentration resulted in a decrease in reaction rates for all catalysts. However, the decline was more pronounced for the Pt/AC catalyst compared to Pt/GF and Pt/CNT. The reaction order for Pt/AC was 1.36, exceeding that of the other two catalysts, with values of 0.50 and 0.51 for Pt/GF and Pt/CNT, respectively. This suggests that the Pt/AC catalyst is less active and more sensitive to variations in 3,4-DCNB concentration. Notably, in terms of hydrogen pressure, the Pt/CNT catalyst displayed the highest reaction order at 2.03, surpassing that of Pt/GF (1.26) and Pt/AC (0.62). As shown in Figure 7d, an increase in hydrogen pressure led to a more substantial increase in reaction rate for the Pt/CNT catalyst compared to Pt/GF and Pt/AC, indicating the superior capacity of Pt/CNT to activate hydrogen. The results collectively suggest that the disparity in catalytic performance for the selective hydrogenation of 3,4-DCNB over the Pt/AC, Pt/GF, and Pt/CNT catalysts is rooted in their ability to adsorb and activate substrate molecules. The enhanced capability of Pt/CNT to activate both 3,4-DCNB and hydrogen results in a lower reaction barrier and superior catalytic performance. Conversely, the Pt/AC catalyst exhibits a higher reaction barrier and diminished catalytic activity due to its reduced capacity for substrate and hydrogen activation.

2.4. In Situ DRIFT Spectra of Different Pt Catalysts for Selective Hydrogenation of 3,4-DCNB

In order to elucidate the adsorption and reaction behavior of various Pt catalysts, in situ DRIFTS of 3,4-DCNB was performed on AC, GF, and CNT supports as well as their respective Pt catalysts. As shown in Figure 8a, the AC support exhibited no significant absorption peaks, suggesting that 3,4-DCNB has limited adsorption affinity for AC. Conversely, the GF and CNT supports displayed prominent peaks at 1519 and 1348 cm−1 (Figure 8b,c), indicative of the asymmetric (vas) and symmetric (vs) stretching vibrations of the nitro (–NO2) group [38,39]. Additionally, peaks at 1573, 1536, and 1456 cm−1 are attributed to the vibrations of the aromatic ring skeleton [40,41], implying that 3,4-DCNB readily adsorbs onto the GF and CNT supports. However, no signals corresponding to the products were detected over these supports alone, indicating that Pt species are indispensable for the hydrogenation of 3,4-DCNB. Notably, the presence of Pt species enhances the adsorption of 3,4-DCNB, as evidenced by a marked increase in the intensity of the adsorption peaks over the Pt/AC, Pt/GF, and Pt/CNT catalysts, as displayed in Figure 9. Furthermore, over the Pt/GF (Figure 9b) and Pt/CNT (Figure 9c) catalysts, new peaks emerging at 1625, 1600, and 1479 cm−1 in a hydrogen atmosphere can be assigned to N-H stretching vibrations [41,42], indicative of the formation of the aniline product. In contrast, over the Pt/AC (Figure 9a) catalyst, the adsorption peaks of 3,4-DCNB are significantly weaker, and no new peaks indicative of product formation are observed, suggesting that aniline is less likely to form over the Pt/AC catalyst. This observation aligns well with the observed catalytic performance.

2.5. Influence on Catalytic Performances

The catalytic performances of the above Pt catalysts suggested that the carbon materials with different dimensions significantly influence the catalytic activity and selectivity of the hydrogenation process. This effect is likely due to the impact of the supports on the geometric and electronic structure of the Pt species. Figure 10 presents a radar plot comparing the conversion of 3,4-DCNB, the selectivity of 3,4-DCAN, specific reaction rates, Pt particle sizes, and the Pt0/Pt2+ ratio of the discussed Pt catalysts. The results show that Pt supported on CNTs, which have small particle sizes and a low Pt0/Pt2+ ratio, exhibited the best performance in the hydrogenation of 3,4-DCNB, followed by Pt/GF. In contrast, Pt/AC demonstrates the poorest activity for this reaction. Notably, the Pt/CNT catalyst achieves the highest conversion of 3,4-DCNB and selectivity of 3,4-DCAN under mild reaction conditions of 50 °C, 1MPa H2, and 60 min. Furthermore, its specific reaction rate is 1.5 times that of Pt/GF and seven times that of Pt/AC.
Previous studies have established that the catalytic performances of supported Pt catalysts are largely dependent on the particle size and the properties of the supports [15,17]. In this work, we inferred that the carbon material supported Pt catalysts display distinct performances in the hydrogenation of 3,4-DCNB due to the different properties conferred by the support effect. Firstly, XRD (Figure 2) and TEM (Figure 4) results reveal different metal dispersions of Pt onto AC, GF, and CNT. Among these, Pt supported on CNT has the narrowest size distribution, with a mean particle size of 2.8 ± 0.8 nm. However, this value increases to 6.4 ± 3.0 nm and 9.5 ± 4.7 nm when supported on GF and AC, respectively. We propose that smaller Pt particle sizes facilitate the activation of hydrogen on the catalyst surface. Dynamic tests of Pt/GF and Pt/CNT show similar reaction orders with respect to the concentration of 3,4-DCNB (Figure 7c, 0.50 and 0.51 for Pt/GF and Pt/CNT, respectively), but distinct reaction orders with respect to the pressure of H2 (Figure 7d, 1.26 and 2.03 for Pt/GF and Pt/CNT, respectively).
In situ DRIFTS of 3,4-DCNB (Figure 8) indicates that 3,4-DCNB readily adsorbs onto GF and CNT supports, suggesting that the distinct performances of Pt/GF and Pt/CNT may primarily stem from the activation of hydrogen. Additionally, the support effect might significantly impact the adsorption properties of the substrates. For the Pt/AC catalyst, dynamic tests suggest a reaction order of 1.36 for the concentration of 3,4-DCNB (Figure 7c), implying a considerable difficulty for Pt/AC in activating the reactant. Moreover, in situ DRIFTS of 3,4-DCNB (Figure 9a) indicates that the catalyst has almost no adsorption of the reactant molecule, which may account for the catalyst’s very low activity in this reaction. A characterization analysis of N2-physical adsorption–desorption suggests that the structure of Pt/AC is predominantly microporous, whereas Pt/GF and Pt/CNT have predominantly mesoporous structures. The extremely low adsorption capacity of Pt/AC might be due to mass transfer issues in micropores [24]. Consequently, Pt/AC shows almost no adsorption of 3,4-DCNB. Furthermore, the extremely low activity for the hydrogenation reaction also results from the poor activation of hydrogen over the Pt/AC catalyst, as the capacity for hydrogenation is closely related to the size of Pt nanoparticles. Collectively, these factors lead to a reduced reaction barrier and enhanced catalytic performance for Pt/CNT but result in inferior performance for Pt/AC.

3. Materials and Methods

3.1. Material

Methanol (CH3OH, 99.5%) was purchased from Sinopharm Chemical Reagent Co., Ltd. (Shanghai, China). Carbon nanotubes (CNTs, >98%), and graphene (>98%) were purchased from Shenzhen Suiheng Graphene Technology Co., Ltd. (Shenzhen, China). Activated carbon was purchased form CABOT Company (Boston, MA, USA). 3,4-dichloronitrobenzene (C6H3Cl2NO2, >97.0%), 3,4-dichloroaniline (C6H5Cl2N2, 98.0%), p-chloroaniline (p-CAN, C6H6ClN, 99.0%), o-xylene (C8H10, 98.0%), chloroplatinic acid (H2PtCl6·6H2O, 99.95%), and sodium borohydride (NaBH4, 98.0%) were purchased from Shanghai Aladdin Biotechnology Co., Ltd. (Shanghai, China). All of the acquired reagents were used without any further treatment. In addition, the water was deionized before use throughout the experimental process.

3.2. Preparation of Different Carbon Materials Supported Pt Catalysts

The Pt catalysts supported on different carbon materials were synthesized via a NaBH4 reduction method, targeting a Pt loading of 1 wt.%. Typically, 2 g of the carbon supports were dispersed in 80 mL of an aqueous solution containing H2PtCl6 (with 15.6 wt.% Pt) as the metal precursor and stirred for 1 h. Subsequently, a freshly prepared 0.5 M NaBH4 solution was added in a ratio of 10:1. After an additional 2 h of stirring at room temperature, the mixture was filtered, washed with deionized water, and subjected to freeze-drying in a vacuum environment for 4 h. The sample was calcined in a muffle furnace for two hours at 300 °C in air atmosphere at a ramp rate of 5 °C/min. The resulting catalyst was designated as Pt/CNT, Pt/GF, and Pt/AC.

3.3. Catalytic Test

The hydrogenation of 3,4-dichloronitrobenzene (3,4-DCNB) was conducted in a batch-type stainless-steel autoclave with a capacity of 30 mL, equipped with a magnetic stirrer and a heating device. Prior to the reaction, 2 mmol of the substrates, 5 mL of methanol (CH3OH) as the solvent, 0.5 mmol o-xylene as an internal standard, and a specific amount of catalyst were introduced into the autoclave. The autoclave was then sealed, purged with hydrogen for six times to remove air, and pressurized to the desired pressure. To initiate the reaction, the reactor was heated in a water bath without stirring until the temperature reached the specified value. Once the temperature was reached, the mixture was stirred for a predetermined duration to allow the reaction to proceed. Upon completion, the autoclave was rapidly cooled in an ice bath to quench the reaction. The products were collected and analyzed using a gas chromatography system (GC, Agilent 7890A) equipped with a flame ionization detector (FID) and an Agilent HP-5 column for separation and quantification (Agilent Technologies, Santa Clara, CA, USA).

3.4. Characterizations

The actual contents of Pt were analyzed by inductively coupled plasma atomic emission spectroscopy (ICP-AES) on an Agilent 720 instrument (Agilent Technologies, Santa Clara, CA, USA). The samples were weighted and dissolved in aqua regia to extract the metal species from the support. Nitrogen physisorption isotherms were measured on a QUANTACHROME autosorb IQ at 77 K (Anton Paar, Graz, Austria). Before testing, the samples were outgassed at 300 °C for 3 h. The specific surface area, total pore volumes, and pore size distribution were calculated by the BET and BJH methods. Powder X-ray diffraction (XRD) analysis was obtained on a PW3040/60 X’Pert PRO (PANalytical, Almelo, The Netherlands) diffractometer using Cu Ka radiation (λ = 0.15432 nm) over a 2θ range of 15° to 80°. Scanning electron microscopy (SEM) was performed on FE-SEM: JSM-7800F with an accelerating voltage of 3 kV. Transmission electron microscopy (TEM) and high-resolution TEM measurements were conducted on a JEM-2100F microscope field emission TEM at 200 kV ((JEOL Ltd., Tokyo, Japan). The samples were prepared by dispersing the catalyst powder into ethanol via ultrasonication onto a copper grid coated with carbon. X-ray photoelectron spectra (XPS) were performed on an ESCLALAB 250Xi X-ray photoelectron spectrometer equipped with monochromatic Al Ka radiation (1846.6 eV) as the X-ray source (Thermo Fisher Scientific, Waltham, MA, USA). The binding energies were calibrated by using the C1s peak of contaminant carbon (284.5 eV) as an internal standard. In situ diffuse reflectance infrared Fourier-transform spectroscopy (DRIFTS) of CO adsorption (CO-DRIFTS) was conducted using a Bruker INVENIO Fourier-transform infrared spectrometer, equipped with a mercury–cadmium–telluride (MCT) detector in the wavenumber range of 600–4000 cm−1 (Bruker, Billerica, MA, USA). Prior to the analysis, the catalyst was packed into an in situ cell featuring two zinc selenide (ZnSe) windows and subjected to a pretreatment at 200 °C for 30 min. Subsequently, the background spectrum was collected, followed by the recording of spectra under atmospheric pressure in a helium environment. The sample was exposed to CO for adsorption, and once the saturation of adsorption was achieved, the sample was purged with helium to remove any physically adsorbed CO. In situ DRIFTS of 3,4-DCNB was also conducted on a Bruker INVENIO Fourier-transform infrared spectrometer, equipped with an MCT detector in the range of 400–4000 cm−1. Before the experiment, the catalyst was packed into a high-temperature chamber with two ZnSe windows. Then, the sample was heated to 200 °C for 30 min under a flow of high purity helium at a rate of 30 mL/min. The background spectrum was collected at room temperature and under atmospheric pressure in helium. Upon heating the sample to 85 °C, approximately 75 μL of 3,4-DCNB was introduced for adsorption. After adsorbing for 1 min, the sample was scanned repeatedly for 10 cycles. Subsequently, hydrogen was introduced into the cell, and the spectra of the hydrogenation process of 3,4-DCNB were recorded.

4. Conclusions

In this study, a series of Pt catalysts supported on carbon materials with varying dimensions, including carbon nanotubes (CNT), graphene (GF), and activated carbon (AC), were prepared using the impregnation method. Comprehensive characterization revealed that the dimensionality of the carbon support significantly influences the geometric and electronic structure of the Pt catalysts. Specifically, Pt supported on CNTs exhibited smaller particle sizes and a higher degree of electron deficiency compared to those on GF and AC. Dynamic tests and in situ DRIFTS of 3,4-DCNB demonstrated that the type of carbonaceous support affects the adsorption and activation capacity of the Pt catalysts. Notably, the catalytic performance of Pt/CNT was markedly superior to that of Pt/GF and Pt/AC. The enhanced activity of the Pt/CNT catalyst is attributed to its greater ability to activate both 3,4-DCNB and hydrogen, which leads to a reduced reaction barrier and enhanced catalytic performance. In contrast, the Pt/AC catalyst showed inferior performance and a higher reaction barrier due to its lower capacity for substrate and hydrogen activation. These findings offer valuable insights into the development of highly efficient Pt catalysts for the selective hydrogenation of nitroarenes. They also contribute to the understanding of how the dimensionality of carbon materials impacts the structure and properties of Pt catalysts in selective hydrogenation processes.

Supplementary Materials

The following supporting information can be downloaded at: https://www.mdpi.com/article/10.3390/catal14100724/s1, Figure S1. The fitting results of XRD patterns over different supported Pt catalysts. Table S1. Selective hydrogenation of chloronitrobenzenes in presence of different supported Pt catalysts.

Author Contributions

Y.T. conceived the study; N.Z. performed most of the experiments; Y.X. contributed with some of the characterizations; X.C. and Y.D. provided some valuable suggestions. All authors have read and agreed to the published version of the manuscript.

Funding

This research is supported by the National Natural Science Foundation of China (No. 22102149).

Data Availability Statement

The original contributions presented in the study are included in the article/Supplementary Material, further inquiries can be directed to the corresponding authors.

Acknowledgments

The authors appreciate the support from the public testing platform of Zhejiang Normal University and the Zhongbo chuangke Testing Instrument Sharing Platform.

Conflicts of Interest

The authors declare no conflicts of interest.

References

  1. Booth, G. Nitro compounds, Aromatic. Ullmann’s Encycl. Ind. Chem. 2000, 4, 301–349. [Google Scholar]
  2. Das, A.; Mondal, S.; Hansda, K.M.; Adak, M.K.; Dhak, D. A critical review on the role of carbon supports of metal catalysts for selective catalytic hydrogenation of chloronitrobenzenes. Appl. Catal. A 2023, 649, 118955. [Google Scholar] [CrossRef]
  3. Blaser, H.U.; Steiner, H.; Studer, M. Selective catalytic hydrogenation of functionalized nitroarenes: An update. ChemCatChem 2009, 1, 210–221. [Google Scholar] [CrossRef]
  4. Corma, A.; Serna, P. Chemoselective Hydrogenation of Nitro Compounds with Supported Gold Catalysts. Science 2006, 313, 332–334. [Google Scholar] [CrossRef] [PubMed]
  5. Macino, M.; Barnes, A.J.; Althahban, S.M.; Qu, R.; Gibson, E.K.; Morgan, D.J.; Freakley, S.J.; Dimitratos, N.; Kiely, C.J.; Gao, X.; et al. Tuning of catalytic sites in Pt/TiO2 catalysts for the chemoselective hydrogenation of 3-nitrostyrene. Nat. Catal. 2019, 2, 873–881. [Google Scholar] [CrossRef]
  6. Gao, R.; Pan, L.; Li, Z.; Zhang, X.; Wang, L.; Zou, J.-J. Cobalt nanoparticles encapsulated in nitrogen-doped carbon for room-temperature selective hydrogenation of nitroarenes. Chin. J. Catal. 2018, 39, 664–672. [Google Scholar] [CrossRef]
  7. Liu, X.; Li, H.Q.; Ye, S.; Liu, Y.M.; He, H.Y.; Cao, Y. Gold-catalyzed direct hydrogenative coupling of nitroarenes to synthesize aromatic azo compounds. Angew. Chem. Int. Ed. 2014, 126, 7754–7758. [Google Scholar] [CrossRef]
  8. Wu, Q.; Su, W.; Huang, R.; Shen, H.; Qiao, M.; Qin, R.; Zheng, N. Full selectivity control over the catalytic hydrogenation of nitroaromatics into six products. Angew. Chem. Int. Ed. 2024, 136, e202408731. [Google Scholar] [CrossRef]
  9. Dorokhov, V.G.; Dorokhova, G.F.; Savchenko, V.I. Liquid-phase catalytic hydrogenation of 3,4-dichloronitrobenzene over Pt/C catalyst under gradient free flow conditions in the presence of pyridine. Russ. Chem. Bull. Int. Ed. 2016, 65, 2040–2045. [Google Scholar] [CrossRef]
  10. Ma, L.; Chen, S.; Lu, C.; Zhang, Q.; Li, X. Highly selective hydrogenation of 3,4-dichloronitrobenzene over Pd/C catalysts without inhibitors. Catal. Today 2011, 173, 62–67. [Google Scholar] [CrossRef]
  11. Lu, C.S.; Lu, J.H.; Ma, L.; Zhang, Q.F.; Li, X.N. Effect of solvent polarity properties on the selectivity and activity for 3,4-dichloronitrobenzene hydrogenation over Pd/C catalyst. Adv. Mat. Res. 2011, 396–398, 2379–2383. [Google Scholar] [CrossRef]
  12. Yan, M.; Wu, T.; Chen, L.; Yu, Y.; Liu, B.; Wang, Y.; Chen, W.; Liu, Y.; Lian, C.; Li, Y. Effect of protective agents upon the catalytic property of platinum nanocrystals. ChemCatChem 2018, 10, 2433–2441. [Google Scholar] [CrossRef]
  13. Guo, M.; Guan, X.; Meng, Q.; Gao, M.L.; Li, Q.; Jiang, H.L. Tailoring catalysis of encapsulated platinum nanoparticles by pore wall engineering of covalent organic frameworks. Angew. Chem. Int. Ed. 2024, 136, e202410097. [Google Scholar] [CrossRef]
  14. Zhang, Y.; Zhou, J. Synergistic catalysis by a hybrid nanostructure Pt catalyst for high-efficiency selective hydrogenation of nitroarenes. J. Catal. 2021, 395, 445–456. [Google Scholar] [CrossRef]
  15. Wang, Z.; Wang, C.; Mao, S.; Lu, B.; Chen, Y.; Zhang, X.; Chen, Z.; Wang, Y. Decoupling the electronic and geometric effects of Pt catalysts in selective hydrogenation reaction. Nat. Commun. 2022, 13, 3561. [Google Scholar] [CrossRef] [PubMed]
  16. Xu, D.-Q.; Hu, Z.-Y.; Li, W.-W.; Luo, S.-P.; Xu, Z.-Y. Hydrogenation in ionic liquids: An alternative methodology toward highly selective catalysis of halonitrobenzenes to corresponding haloanilines. J. Mol. Catal. A Chem. 2005, 235, 137–142. [Google Scholar] [CrossRef]
  17. Lv, Y.P.; Yu, F.; Wang, Z.P.; Liu, H.W.; Wang, L.Y.; Song, J.; Li, Y.; Huang, G.Q.; Cui, J. Regulating pore structures of carbon supports toward efficient selective hydrogenation of o-chloronitrobenzene on Pt nanoparticles. New J. Chem. 2023, 47, 11577–11583. [Google Scholar] [CrossRef]
  18. Zhou, Y.; Zheng, Y.; Lu, C.; Maity, B.; Chen, Y.; Ueno, T.; Liu, Z.; Lu, D. Apo-ferritin-caged Pt nanoparticles for selective hydrogenation of p-chloronitrobenzene. ACS Appl. Nano Mater. 2023, 6, 5835–5843. [Google Scholar] [CrossRef]
  19. Wang, X.; Zhang, C.; Jin, B.; Liang, X.; Wang, Q.; Zhao, Z.; Li, Q. Pt–carbon interaction-determined reaction pathway and selectivity for hydrogenation of 5-hydroxymethylfurfural over carbon supported Pt catalysts. Catal. Sci. Technol. 2021, 11, 1298–1310. [Google Scholar] [CrossRef]
  20. Yu, L.; Li, D.; Xu, Z.; Zheng, S. Polyaniline coated Pt/CNT as highly stable and active catalyst for catalytic hydrogenation reduction of Cr(VI). Chemosphere 2023, 310, 136685. [Google Scholar] [CrossRef]
  21. Xia, L.; Li, D.; Long, J.; Huang, F.; Yang, L.; Guo, Y.; Jia, Z.; Xiao, J.; Liu, H. N-doped graphene confined Pt nanoparticles for efficient semi-hydrogenation of phenylacetylene. Carbon 2019, 145, 47–52. [Google Scholar] [CrossRef]
  22. Shi, W.; Zhang, B.; Lin, Y.; Wang, Q.; Zhang, Q.; Su, D.S. Enhanced chemoselective hydrogenation through tuning the interaction between Pt nanoparticles and carbon supports: Insights from identical location transmission electron microscopy and X-ray photoelectron spectroscopy. ACS Catal. 2016, 6, 7844–7854. [Google Scholar] [CrossRef]
  23. Du, Y.; Meng, X.; Ma, Y.; Qi, J.; Xu, G.; Zou, H.; Qiu, J. Dimensionality engineering toward carbon materials for electrochemical CO2 reduction: Progress and prospect. Adv. Funct. Mater. 2024, 2408013. [Google Scholar] [CrossRef]
  24. Bi, Z.; Kong, Q.; Cao, Y.; Sun, G.; Su, F.; Wei, X.; Li, X.; Ahmad, A.; Xie, L.; Chen, C.-M. Biomass-derived porous carbon materials with different dimensions for supercapacitor electrodes: A review. J. Mater. Chem. A 2019, 7, 16028–16045. [Google Scholar] [CrossRef]
  25. Zhang, M.; Peng, Z. Porous carbon materials with different dimensions and their applications in supercapacitors. J. Phys. D Appl. Phys. 2024, 57, 433001. [Google Scholar] [CrossRef]
  26. Swamy, S.S. Stability of single-wall carbon nanotubes under hydrothermal conditions. J. Mater. Res. 2002, 17, 734–737. [Google Scholar] [CrossRef]
  27. Luo, J.; Yao, C.; Ma, D.; Chen, Y.; Tian, M.; Xie, H.; Chen, R.; Wu, J.; Zhen, Y.; Pan, L.; et al. Mechanism-guided design of sulfur-modified platinum catalysts for selective hydrogenation of nitrobenzene. Appl. Catal. A 2023, 660, 119198. [Google Scholar] [CrossRef]
  28. Hasa, B.; Martino, E.; Vakros, J.; Trakakis, G.; Galiotis, C.; Katsaounis, A. Effect of carbon support on the electrocatalytic properties of Pt−Ru catalysts. ChemElectroChem 2019, 6, 4970–4979. [Google Scholar] [CrossRef]
  29. Zhou, Y.; Bao, Q.; Tang, L.A.L.; Loh, K.P. Hydrothermal dehydration for the “green” reduction of exfoliated graphene oxide to graphene and demonstration of tunable optical limiting properties. Chem. Mater. 2009, 21, 2950–2956. [Google Scholar] [CrossRef]
  30. Shi, L.; Li, X.; Tuo, Y.; Jiang, H.; Duan, X.; Li, P. Microwave-assisted hydrogen releasing from liquid organic hydride over Pt/CNT catalyst: Effects of oxidation treatment of CNTs. Catal. Today 2016, 276, 121–127. [Google Scholar] [CrossRef]
  31. Zhang, D.; Wang, Z.; Wu, X.; Shi, Y.; Nie, N.; Zhao, H.; Miao, H.; Chen, X.; Li, S.; Lai, J.; et al. Noble metal (Pt, Rh, Pd, Ir) doped Ru/CNT ultra-small alloy for acidic hydrogen evolution at high current density. Small 2021, 18, 2104559. [Google Scholar] [CrossRef] [PubMed]
  32. Jing, P.; Gan, T.; Qi, H.; Zheng, B.; Chu, X.; Yu, G.; Yan, W.; Zou, Y.; Zhang, W.; Liu, G. Synergism of Pt nanoparticles and iron oxide support for chemoselective hydrogenation of nitroarenes under mild conditions. Chin. J. Catal. 2019, 40, 214–222. [Google Scholar] [CrossRef]
  33. Zhang, Y.; Zhou, J.; Wang, F.; Zhao, X. Hybrid nanostructure catalyst with low loading of Pt for the high-efficiency catalytic hydrogenation of chloronitrobenzene. Langmuir 2022, 38, 7699–7708. [Google Scholar] [CrossRef] [PubMed]
  34. Roth, C.; Goetz, M.; Fuess, H. Synthesis and characterization of carbon-supported Pt-Ru-WOx catalysts by spectroscopic and diffraction methods. J. Appl. Electrochem. 2001, 31, 793–798. [Google Scholar] [CrossRef]
  35. Chen, Q.; Jiang, W.; Fan, G. Pt nanoparticles on Ti3C2Tx-based MXenes as efficient catalysts for the selective hydrogenation of nitroaromatic compounds to amines. Dalton Trans. 2020, 49, 14914–14920. [Google Scholar] [CrossRef] [PubMed]
  36. Jiang, F.; Wang, S.; Liu, B.; Liu, J.; Wang, L.; Xiao, Y.; Xu, Y.; Liu, X. Insights into the influence of CeO2 crystal facet on CO2 hydrogenation to methanol over Pd/CeO2 catalysts. ACS Catal. 2020, 10, 11493–11509. [Google Scholar] [CrossRef]
  37. Ou, G.; Xu, Y.; Wen, B.; Lin, R.; Ge, B.; Tang, Y.; Liang, Y.; Yang, C.; Huang, K.; Zu, D.; et al. Tuning defects in oxides at room temperature by lithium reduction. Nat. Commun. 2018, 9, 1302. [Google Scholar] [CrossRef]
  38. Tan, Y.; Liu, X.Y.; Zhang, L.; Wang, A.; Li, L.; Pan, X.; Miao, S.; Haruta, M.; Wei, H.; Wang, H.; et al. ZnAl-hydrotalcite-supported Au25 nanoclusters as precatalysts for chemoselective hydrogenation of 3-nitrostyrene. Angew. Chem. Int. Ed. 2017, 56, 2709–2713. [Google Scholar] [CrossRef]
  39. Xu, J.; Chen, X.; Bai, J.Q.; Miao, Z.; Tan, Y.; Zhan, N.; Liu, H.; Ma, M.; Cai, M.; Cheng, Q.; et al. Efficient Co/NSPC catalyst for selective hydrogenation of halonitrobenzenes and mechanistic insight. Catal. Sci. Technol. 2024, 14, 1167–1180. [Google Scholar] [CrossRef]
  40. Li, X.; Tan, Y.; Liu, Z.; Su, J.; Xiao, Y.; Qiao, B.; Ding, Y. NiOx-promoted Cu-based catalysts supported on AlSBA-15 for chemoselective hydrogenation of nitroarenes. J. Catal. 2022, 416, 332–343. [Google Scholar] [CrossRef]
  41. Szczepanik, B.; Słomkiewicz, P.; Garnuszek, M.; Czech, K.; Banaś, D.; Kubala-Kukuś, A.; Stabrawa, I. The effect of chemical modification on the physico-chemical characteristics of halloysite: FTIR, XRF, and XRD studies. J. Mol. Struct. 2015, 1084, 16–22. [Google Scholar] [CrossRef]
  42. Słomkiewicz, P.M.; Szczepanik, B.; Garnuszek, M. Determination of adsorption isotherms of aniline and 4-chloroaniline on halloysite adsorbent by inverse liquid chromatography. Appl. Clay Sci. 2015, 114, 221–228. [Google Scholar] [CrossRef]
Figure 1. (a) N2 adsorption–desorption isotherms. (b) BJH pore size distributions.
Figure 1. (a) N2 adsorption–desorption isotherms. (b) BJH pore size distributions.
Catalysts 14 00724 g001
Figure 2. (a) XRD patterns and (b) Raman spectra of different supported Pt catalysts.
Figure 2. (a) XRD patterns and (b) Raman spectra of different supported Pt catalysts.
Catalysts 14 00724 g002
Figure 3. SEM images of different supported Pt catalysts: (a) Pt/AC; (b) Pt/GF; and (c) Pt/CNT.
Figure 3. SEM images of different supported Pt catalysts: (a) Pt/AC; (b) Pt/GF; and (c) Pt/CNT.
Catalysts 14 00724 g003
Figure 4. TEM and HRTEM images of different supported Pt catalysts: (a,d) Pt/AC; (b,e) Pt/GF; and (c,f) Pt/CNT.
Figure 4. TEM and HRTEM images of different supported Pt catalysts: (a,d) Pt/AC; (b,e) Pt/GF; and (c,f) Pt/CNT.
Catalysts 14 00724 g004
Figure 5. (a) Pt 4f and (b) O 1s XPS spectra of different carbon materials supported Pt catalysts.
Figure 5. (a) Pt 4f and (b) O 1s XPS spectra of different carbon materials supported Pt catalysts.
Catalysts 14 00724 g005
Figure 6. In situ DRIFT spectra of adsorbed CO on different Pt catalysts.
Figure 6. In situ DRIFT spectra of adsorbed CO on different Pt catalysts.
Catalysts 14 00724 g006
Figure 7. Dependence of reaction rates on different factors for the hydrogenation of 3,4-DCNB over the Pt/AC, Pt/GF, and Pt/CNT catalysts: (a) reaction temperature, (b) Arrhenius plots, (c) the concentration of DCNB, and (d) the pressure of H2. The reaction rates were calculated based on the weight of transformed 3,4-DCNB (g) per unit of catalyst (g) per hour, with the conversion of 3,4-DCNB kept below 20%.
Figure 7. Dependence of reaction rates on different factors for the hydrogenation of 3,4-DCNB over the Pt/AC, Pt/GF, and Pt/CNT catalysts: (a) reaction temperature, (b) Arrhenius plots, (c) the concentration of DCNB, and (d) the pressure of H2. The reaction rates were calculated based on the weight of transformed 3,4-DCNB (g) per unit of catalyst (g) per hour, with the conversion of 3,4-DCNB kept below 20%.
Catalysts 14 00724 g007
Figure 8. In situ DRIFTS of 3,4-DCNB at 85 °C, over the (a) AC, (b) GF, and (c) CNT supports.
Figure 8. In situ DRIFTS of 3,4-DCNB at 85 °C, over the (a) AC, (b) GF, and (c) CNT supports.
Catalysts 14 00724 g008
Figure 9. In situ DRIFTS of 3,4-DCNB at 85 °C, over the (a) Pt/AC, (b) Pt/GF, and (c) Pt/CNT catalysts.
Figure 9. In situ DRIFTS of 3,4-DCNB at 85 °C, over the (a) Pt/AC, (b) Pt/GF, and (c) Pt/CNT catalysts.
Catalysts 14 00724 g009
Figure 10. The radar plot of the conversion of 3,4-DCNB, selectivity of 3,4-DCAN, specific reaction rates, Pt particle sizes, and Pt0/Pt2+ ratio of presented Pt catalysts.
Figure 10. The radar plot of the conversion of 3,4-DCNB, selectivity of 3,4-DCAN, specific reaction rates, Pt particle sizes, and Pt0/Pt2+ ratio of presented Pt catalysts.
Catalysts 14 00724 g010
Table 1. The physicochemical properties of different carbon materials supported Pt catalysts.
Table 1. The physicochemical properties of different carbon materials supported Pt catalysts.
EntryCatalystsLoading of Pt (%) aSBET (m2·g−1) bVtotal (cm3·g−1) bDpore (nm) bParticle size (nm) cParticle Size (nm) d
1Pt/AC0.71339.0
(Smicro: 1202)
0.7
(Vmicro: 0.6)
2.19.5 ± 4.712.4
2Pt/GF1.356.00.110.46.4 ± 3.04.6
3Pt/CNT1.3315.31.620.02.8 ± 0.83.5
a Determined by ICP-OES. b Determined by N2 physical absorption and desorption measurement. c Calculated from the HRTEM. d Calculated by the Scherrer equation based on the XRD patterns.
Table 2. The fitting results of different diffraction peaks of carbon materials supported Pt catalysts.
Table 2. The fitting results of different diffraction peaks of carbon materials supported Pt catalysts.
EntryCatalystsC (002)Pt (111)
Position (°)FWHMCrystal Size (nm)Position (°)FWHMCrystal Size (nm)
1Pt/AC24.058.531.139.680.7612.4
2Pt/GF26.390.5119.039.861.904.6
3Pt/CNT25.712.713.139.632.483.5
Table 3. The B.E. and percentage of Pt and O species in different Pt catalysts.
Table 3. The B.E. and percentage of Pt and O species in different Pt catalysts.
CatalystPt 4fO 1s
Pt2+ (B.E.)Pt2+ (%)Pt0 (B.E.)Pt0 (%)Oγ (B.E.)Oγ (%)Oβ (B.E.)Oβ (%)Oα (B.E.)Oα (%)
Pt/AC72.220.971.279.1532.954.6531.830.7530.514.7
Pt/GF72.221.871.378.2532.936.3531.850.0530.613.7
Pt/CNT72.329.971.470.1533.056.3531.928.8530.614.9
Table 4. Catalytic performances of the supported Pt catalysts for the hydrogenation of 3,4-DCNB.
Table 4. Catalytic performances of the supported Pt catalysts for the hydrogenation of 3,4-DCNB.
EntryCatalystsT (°C)t (min)Conv. (%)Sel. (%)Reaction Rates (mol∙mol−1∙h−1) c
DCANNSBABAOB
1Pt/AC50103.462.223.6014.2
2Pt/AC506020.951.217.91.629.3
3Pt/AC60208.863.818.70.916.6
4Pt/AC702012.955.023.31.020.74312
5Pt/GF501048.868.48.90.422.3
6Pt/GF506086.280.55.20.413.9
7Pt/GF602071.680.55.20.413.9
8Pt/GF a70515.471.410.00.218.421,176
9Pt/GF 702075.982.55.70.311.5
10Pt/CNT b306095.996.91.31.20.6
11Pt/CNT501059.177.86.82.912.5
12Pt/CNT506099.795.50.54.00
13Pt/CNT602090.49033.73.3
14Pt/CNT a70521.572.99.50.517.930,960
15Pt/CNT702092.991.63.02.33.1
Reaction Conditions: a Cat. 5 mg, 20 wt.% DCNB/CH3OH 5 mL, H2 pressure 1 MPa. b Cat. 25 mg, 10 wt.% DCNB/CH3OH 5 mL, H2 pressure 1 MPa. Others without footnote: Cat. 5 mg; 10 wt.% DCNB/CH3OH 5 mL; H2 pressure 1 MPa. c Reaction rates were calculated by the molar weight of transformed 3,4-DCNB (mol) per unit of Pt (mol) per hour.
Disclaimer/Publisher’s Note: The statements, opinions and data contained in all publications are solely those of the individual author(s) and contributor(s) and not of MDPI and/or the editor(s). MDPI and/or the editor(s) disclaim responsibility for any injury to people or property resulting from any ideas, methods, instructions or products referred to in the content.

Share and Cite

MDPI and ACS Style

Zhan, N.; Xiao, Y.; Chen, X.; Tan, Y.; Ding, Y. Carbon Materials with Different Dimensions Supported Pt Catalysts for Selective Hydrogenation of 3,4-Dichloronitrobenzene to 3,4-Dichloroaniline. Catalysts 2024, 14, 724. https://doi.org/10.3390/catal14100724

AMA Style

Zhan N, Xiao Y, Chen X, Tan Y, Ding Y. Carbon Materials with Different Dimensions Supported Pt Catalysts for Selective Hydrogenation of 3,4-Dichloronitrobenzene to 3,4-Dichloroaniline. Catalysts. 2024; 14(10):724. https://doi.org/10.3390/catal14100724

Chicago/Turabian Style

Zhan, Nannan, Yan Xiao, Xingkun Chen, Yuan Tan, and Yunjie Ding. 2024. "Carbon Materials with Different Dimensions Supported Pt Catalysts for Selective Hydrogenation of 3,4-Dichloronitrobenzene to 3,4-Dichloroaniline" Catalysts 14, no. 10: 724. https://doi.org/10.3390/catal14100724

APA Style

Zhan, N., Xiao, Y., Chen, X., Tan, Y., & Ding, Y. (2024). Carbon Materials with Different Dimensions Supported Pt Catalysts for Selective Hydrogenation of 3,4-Dichloronitrobenzene to 3,4-Dichloroaniline. Catalysts, 14(10), 724. https://doi.org/10.3390/catal14100724

Note that from the first issue of 2016, this journal uses article numbers instead of page numbers. See further details here.

Article Metrics

Back to TopTop