Next Article in Journal
Catalyst for the Generation of OH Radicals in Advanced Electrochemical Oxidation Processes: Present and Future Perspectives
Previous Article in Journal
Aspects of Reaction Engineering for Biodiesel Production
 
 
Font Type:
Arial Georgia Verdana
Font Size:
Aa Aa Aa
Line Spacing:
Column Width:
Background:
Article

Microwave-Assisted Synthesis of Symmetrical 1,4-Disubstituted Bis-1H-1,2,3-triazoles Using Copper N-Heterocyclic Carbene Catalysts

Department of Chemistry and Biochemistry, University of Colorado Colorado Springs, Colorado Springs, CO 80918, USA
*
Author to whom correspondence should be addressed.
Catalysts 2024, 14(10), 702; https://doi.org/10.3390/catal14100702
Submission received: 3 September 2024 / Revised: 1 October 2024 / Accepted: 4 October 2024 / Published: 9 October 2024
(This article belongs to the Section Catalysis in Organic and Polymer Chemistry)

Abstract

Bis-triazoles separated by a symmetrical linking group are joined at C4 of each triazole or at N1 of each triazole. Preparation of a series of bis-1H-1,2,3-triazoles derived from o-bis(azidomethyl)benzene and an alkyne is reported with use of copper N-heterocyclic carbene catalysis with microwave-assisted heating in an aqueous solvent. The products were symmetrical N1–N1′-bis-1H-1,2,3-triazoles. Additional syntheses utilized dialkynes and organic azides to prepare symmetrical C4–C4′-bis-1H-1,2,3-triazoles. Pure products were often obtained directly when water was used as the solvent with microwave-assisted heating. Results are given for experiments using conventional heating or no heating. Sonication results are given for a reaction where microwave-assisted heating was unsatisfactory.

1. Introduction

Symmetrical bis-1H-1,2,3-triazoles having a 1,4-substitution pattern have general structures 1 and 2 (Figure 1). Each has a connecting unit known as a linker (spacer), which may be simple, consisting of several atoms, or complex, consisting of many atoms and rings. The linkers are classified as dialkyne linkers (C4–C4′ connection) or diazide (N1–N1′ connection) linkers [1]. Synthetic methods for the synthesis of bis-triazoles reflect traditional methods used for preparing 1H-1,2,3-triazoles [2].
Reported methods most common to 1,4-disubstituted 1H-1,2,3-triazoles include the seminal Cu(I) catalysis discovered by Sharpless and coworkers [3] and Meldal and coworkers [4], acid catalysis [5], heating without catalysis [6], and use of strained (activated) alkynes [7], some with microwave-assisted (MW) heating [8]. Some bis-triazoles have both 1,2,3-triazole and 1,2,4-triazole components [9]. Closely related compounds containing directly linked triazoles are known as bi-triazoles [2].
The purpose of this work was to efficiently synthesize symmetrical N1–N1′-bis-triazoles using readily available Cu(I) catalysis. We chose such an available N-heterocyclic copper carbene (NHCCu) catalyst for these studies, known to afford copper-catalyzed azide-alkyne cycloaddition (CuAAC) reactions. We anticipated enhanced rates of reaction using MW heating.
Many reported bis-triazole syntheses have been designed for specific applications, leading to several biologically active bis-1H-1,2,3-triazoles. One recent report showed inhibition of the SARS-CoV-2 main protease by a bis-triazole [10]. Lv et al. synthesized a series of novel 1H-1,2,3-triazolylnaphthalides with linkers as in 1 [11] that displayed good antibacterial activities (Figure 2).
Recent work by Chaidam and coworkers demonstrated the effectiveness of a bis-triazole as an α-glucosidase inhibitor for treatment of Type 2 diabetes [12]. Other notable examples have appeared [1,13,14,15,16,17,18,19]. Among other recent applications are self-healing of a bis-triazole-containing copper (I)-loaded [2] rotoxane [20] and work by Malkova and coworkers, who prepared an N1-C5 cyclic bis-triazole using an uncatalyzed intramolecular azide–alkyne ring closure reaction [21]. Gajurel and coworkers pursued a green chemistry project by preparing CuO–NiO bimetallic nanoparticles supported on graphitic carbon nitride with enhanced catalytic performance for the synthesis of bis-1H-1,2,3-triazoles and other triazoles [22]. These reports reflect ongoing work on bis-triazoles.
The use of copper (I) N-heterocyclic carbene (NHCCu) catalysis for synthesis of bis-triazoles has been reported by Hsueh and co-workers [23], who prepared unsymmetrical C4–C4′-linked bis-triazoles with an NHCCu rotoxane catalyst. The NHCCu catalysts [24] have a number of uses in organic synthesis [25,26]. Nolan and coworkers reported examples of NHCCu complexes for use in triazole synthesis in 2006 [27]. The [1,3-Bis(2,4,6-trimethylphenyl)imidazol-2-ylidene]copper(I) or (IMesCu) catalysts were recommended. Experiments have been reported by other workers who used several additional NHCCu catalysts to synthesize triazoles [25,26]. Reports included employing no solvent [28,29] or minimal amounts of solvent [27,30,31] to improve the effectiveness of the method. Using bound NHCCu catalysts further argues for a green principle through recycling of the catalyst [32]. We have chosen to use a commercially available NHCCu catalyst in an aqueous solvent for preparation of a number of symmetrical bis-triazoles.
Herein, we report efficient procedures for the synthesis of various novel 1,4-disubstituted o-bis-1H-1,2,3-triazoles and other bis-triazoles performed with an NHCCu catalyst [27]. The solvents chosen for this work were water or tert-butyl alcohol/water [27]. Other solvents such as chloroform, THF, or acetonitrile have been reported for syntheses of triazoles using NHCCu catalysis [33].
The most common method for synthesis of symmetric N1–N1′-1,4-disubstitued bis-triazoles, made from diazide linkers and terminal alkynes, is the CuSO4∙5H2O and sodium ascorbate in t-BuOH/H2O (conventional) method. Several other solvents and copper salts such as copper [II] acetate and copper [I] iodide have also been reported [1]. Results for bis-triazole formation by the conventional method compared with MW conditions (conventional conditions run with MW heating) have been reported by Li and coworkers [34]. A very efficient catalyst, CuO–NiO bimetallic nanoparticles supported on graphitic carbon nitride, has been developed for preparing N1–N1′-1,4-disubstituted bis-triazoles [22]. Additional methods have been reported for the preparation of C4–C4′-1,4-disubstituted bis-triazoles [1].
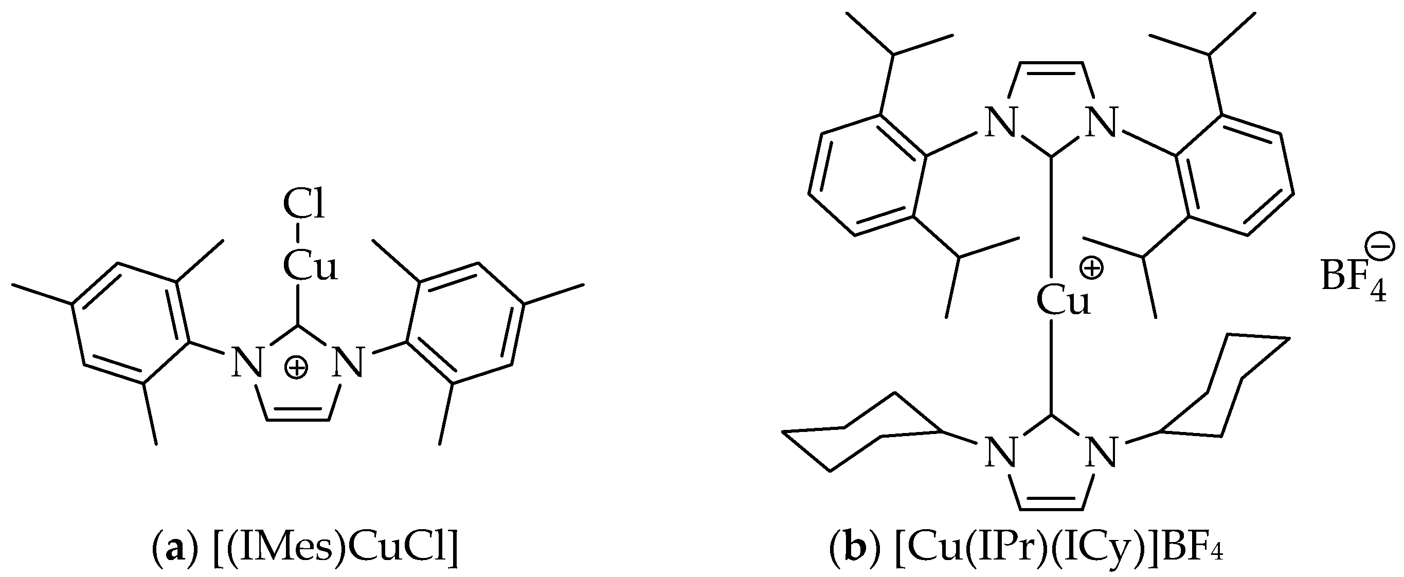
Several NHCCu catalysts have been used [27,28,29,35,36] for the synthesis of 1,4-disubstituted 1H-1,2,3-triazoles, with or without a solvent. The catalyst for our experiments was 1,3-bis(2,4,6-trimethylphenyl)imidazolium copper(I) chloride, [(IMes)CuCl] [Figure 3a] (I = imidazolylium; Mes = mesityl), which was prepared in three steps [27]. It is the catalyst used for our comparative study, where in some cases the NHCCu catalytic method gave the same or improved results compared with the conventional method or the microwave method using the CuSO4/sodium ascorbate ingredients [37]. The commercially available [(IMes)CuCl] catalyst is one of several reported to be effective for the synthesis of triazoles, such as [(IAd)CuI] (Ad = adamantyl) [38].
Among the different NHCCu catalysts used to synthesize triazoles, each effectively contributes Cu(I) to catalyze a CuAAC reaction. The NHCCu catalysts bearing two copper ligands also provide good yields of triazoles [29]. These heteroleptic bis(N-heterocyclic carbene)copper(I) complexes afforded very efficient production of triazoles (neat) with the very low catalyst loading. The catalyst [Cu(IPr)(ICy)]BF4, shown in Figure 3b, was effective in quantities of as little as 0.02 mol %. Further, the conformations of the complexes having different NHC ligands had a direct bearing on the catalyst efficiencies [29]. At least one report of a catalyst used to make bis-triazoles is of a complex interlocked NHCCu catalyst, which gave better yields than the simpler [(IMes)CuCl] catalyst [23].
A recent trend for Cu(I)-catalyzed reactions has been to use Cu+ or NHCCu species complexed or bound covalently to backbones giving supported catalytic structures, some of which serve as heterogeneous recyclable catalysts [39,40,41]. There should be a trend for synthetic chemists to use these as preferred catalysts such as these become more available commercially.
The pathway proposed originally for CuAAC reactions invoked participation of a single Cu(I) species [42], whereas a second more recent version included two Cu(I) species [43]. The latter proposal would appear to be the currently held mechanism, modified for NHCCu catalysts by Lin et al. [43], as shown in Figure 4.
According to the most recent work [43], the initial step is abstraction of the alkynyl proton by the catalyst, giving an imidazolium ion and an alkynylchlorocopper complex. Combination of the complex with a second molecule of the catalyst to form a binuclear copper alkynyl complex permits a lower energy transformation incorporating the organic azide than if the second molecule of catalyst were omitted.

2. Results and Discussion

In this report, several N1–N1′ bis-1H-1,2,3-triazoles were prepared from 1,2-bis(azidomethyl)benzene and terminal alkynes in the presence of an NHCCu catalyst. Our earlier assessment of MW completion conditions for the CuAAC preparations of triazoles suggested a temperature of 80–100 °C for 10 min [37]. These conditions also apply to the [(IMes)CuCl] catalyzed reactions as shown in Table 1. The arylcarboxylic acid 3e gave the highest yield at 60 °C.
The optimization results indicate that the best MW conditions are heating at 80 °C for 15 min. The exception is the reaction with propiolic acid leading to 3e where the best results were at 60 °C. In that case, it appears that propiolic acid undergoes decarboxylation [44] at the higher temperatures as a decarboxylated triazole product was not detected. The list of bis-triazoles prepared from the o-xylyl diazide and several functionalized terminal alkynes is shown in Scheme 1.
Results for reactions using the [(IMes)CuCl] catalyst with MW heating, in water at room temperature and with heating in water at 80 °C are given in Table 2. The conditions tolerated a wide array of substituted alkynes including several alkynols, alkynyl carboxylic acids, and alkynyl esters. We have obtained results for [(IMes)CuCl] catalyst without solvent, which are satisfactory in many cases, but the method is limited to reactions where at least one reactant is a liquid in small-scale experiments due to an exotherm often observed [30]. Solvents such as acetonitrile, methylene chloride, and water [27] have been reported for these reactions. We found that water or an alcohol/water mixture afforded acceptable results. The MW experiments required less time and gave the highest yields for the majority of the reactions tested.
For experiments where MW heating was not best, a method such as sonication was considered as an alternative. Sonication was reported earlier [45,46] and recently [47,48] to improve yields of triazoles prepared at room temperature. We investigated sonication as an alternative to MW heating in one instance as an example of the benefits of sonication. Compound 3e gave lower MW yields at higher temperatures than at 60 °C. We chose 3e for our sonication experiments, summarized in Table 3.
Ultrasonication using a sonication probe afforded a good yield of 3e in a short time (Table 3) at room temperature, matching the yield obtained by stirring at 80 °C for an hour, with both methods besting MW heating in this instance. The ultrasonication result is consistent with recent work on synthesizing triazoles, where the general observation has been that sonication improves the rate of the CuAAC of organic azides with terminal alkynes [49,50]. Ultrasonication using CuSO4/ascorbic acid with 70% probe amplitude afforded good yields of 3e (entry 7) whereas using [(Mes)CuCl resulted in deactivation of the catalyst and afforded only trace amounts of 3e. Use of the [(IMesCuCl] catalyst (entry 8), should be done only at a lower amplitude setting in sonication, such as 35%. This behavior may be related to bond breaking in the catalyst noted in earlier cavitation studies [47,48] and should be regarded as a cautionary note for users of NHCCu catalysts when employing ultrasonication. Use of structurally stabilized catalysts could avoid breakdown of the catalyst during ultrasonication [51].
We have used the [(IMes)CuCl] catalyst for the preparation of C4–C4′-1,4-disubstituted bis-1H-1,2,3-triazoles. This more common type of synthesis of bis-1,2,3-triazoles is one employing a dialkyne linker, resulting in C4–C4′-1,4-disubstituted bis-1H-1,2,3-triazoles. The methods above and others have been used for these types of syntheses [1]. The report by Hsueh and coworkers for the synthesis of C4–C4′-1,4-disubstituted bis-triazoles employed an NHC-Cu catalyst [23]. The [(IMes)CuCl] catalytic, method was used for the preparation of three C4–C4′ derivatives (4ac) shown in Scheme 2. Reaction times and purified yields are shown in Table 4.
The synthesis of 1,4,5-trisubstituted bis-1H-1,2,3-triazoles such as 5 (Figure 5) presented a challenge because a non-catalytic method was used, which employed MW conditions for reaction of the diazide linker with an unactivated internal alkyne. The yield using this method in acetonitrile was 35%. Addition of the [(IMes)CuCl] catalyst did not appear to appreciably improve the yield or lessen the reaction time required. It is likely that the MW method enabled synthesis of 5 because very forced conditions such as heating in a high-boiling solvent would be required for this Huisgen cycloaddition.
This non-catalytic result and those from experiments of the [(IMes)CuCl] catalyzed synthesis of 34 are consistent with the [(IMes)CuCl] catalyst azide–alkyne cycloaddition mechanism employing Cu(I) catalysis reported by Worrell et al. [42] and Lin et al. [43] for the [(IMes)CuCl] catalyzed cycloadditions of terminal alkynes.

3. Materials and Methods

3.1. Chemicals and Analysis Techniques

All azides are hazardous and potentially explosive. Plastic or ceramic spoons were used when weighing solid azides. All synthesized organic azides were stored at 2–8 °C to ensure protection of potentially explosive materials. All reactions were performed in a ventilated hood. Starting organic bromides and alkynes were obtained from commercial sources and were used as received. Thin layer chromatography was performed on c aluminum-backed silicon dioxide plates and products observed under 254 nm UV light. Flash column and radial chromatography were performed with SiliCycle Inc. (2500, Parc-Technologique Blvd, Quebec City, QC, Canada) silica gel 60, 0.040–0.063 mm (230–400 mesh). Microwave-assisted synthesis was performed using a CEM Discover SP Microwave Synthesizer (CEM Corporation, 3100 Smith Farm Road, Matthews, NC, USA) set at a maximum power of 200 watts. NMR spectra (300 or 400 MHz for 1H, 75 or 100 MHz for 13C and 282 MHz for 19F.) were measured in CDCl3 or DMSO-d6. Chemical shifts (δ) are given in ppm relative to the resonance of their respective residual solvent peak, CHCl3 (7.27 ppm, 1H; 77.16 ppm, the middle peak, 13C). Multiplicities are described using the following abbreviations: s = singlet, d = doublet, t = triplet, q = quartet, m = multiplet. FTIR experiments were performed using a Perkin Elmer Spectrum 1 instrument (PerkinElmer Inc., 940 Winter Street, Waltham, MA, USA) or Fisher Scientific Nicolet iS5 instrument (168 3rd Ave, Waltham, MA, USA). Melting points were performed on a Stanford Research Systems (333 Ravenswood Ave., Menlo Park, CA, USA). Digimelt MPA160 SRS instrument. All melting points are uncorrected. All elemental analyses were performed by Atlantic Microlabs Inc., Norcross, GA, USA. High-resolution MS experiments were recorded using a Voyager DE-STR MALDI-TOF (ABI) instrument (Thermo Fisher Scientific, 168 Third Avenue, Waltham, MA, USA). The sonication experiments were performed with a Bransonic Digital Sonifier 250 with probe (Branson Ultrasonics, 120 Park Ridge Road, Brookfield, CT, USA) and with cooling provided by the PolyScience LS51TX1A110C LS Series Benchtop Chiller (6600 W. Touhy Avenue, Niles, IL, USA).

3.2. Synthetic Procedures and Data

Metal azides are shock sensitive and should be handled with smooth edged, non-metallic spoons or spatulas. Purification of initially isolated products is required to remove traces of azides. Inorganic azides remaining in aqueous solutions were quenched by aqueous nitrous acid.

3.2.1. Synthesis of α,α-Diazido-o-xylene

Bis(o-bromomethyl)benzene [52] (2.940 g, 10 mmol) was added to 9:1 acetone/water (50 mL), followed by sodium azide (1.366 g, 21 mmol). The mixture was stirred at rt for 1 d. The reaction mixture was reduced in volume, water (10 mL) added, and extracted with ethyl acetate (3 × 10 mL). The organic layer was washed with brine and dried over anhydrous sodium sulfate. Solvent was removed in vacuo. The diazide was isolated as a transparent yellow oil in 98.82% yield and used directly or stored in the freezer for later use. FTIR cm−1 was 2887, 2086, 1242.

3.2.2. Procedure for the [(IMes)CuCl]-Catalyzed Cycloaddition Reaction in Water or 1:1 tert-Butyl Alcohol/Water (with or without MW Heating)

To a 35 mL MW vial containing a stir bar, α,α-diazido-o-xylene (0.188 g, 1.0 mmol), solvent (7 mL), terminal alkyne (2.1 mmol), and [(IMes)CuCl] catalyst (30 mg) were added. After capping the flask or vial, the solution was stirred at rt for 12 h. Alternatively, the mixture was heated at 100 °C at a power of 200 w with stirring for 10 min. After cooling to rt, the solution was extracted with ethyl acetate (3 × 10 mL), after which the organic layer was washed with brine and dried over anhydrous sodium sulfate. Excess solvent was removed in vacuo to afford a solid, which was recrystallized from ethanol.

3.2.3. Spectral and Analytical Data for 3a3k

Compound 3a: 1,1′-[(1,2-phenylene)bis(methylene)]bis-4-(1H-1,2,3-triazolyl)methanol; shimmery white solid; mp 182 °C; FTIR cm−1 3292, 3115, 2952, 1221, 1009; 1H NMR (400 mHz, DMSO-d6) δ8.00 (s, 2H), δ7.31–7.37 (m, 2H), δ7.10–7.15 (m, 2H), δ5.80 (s, 4H), δ5.19 (t, 2H), δ4.51 (d, 4H); 13C NMR (100 MHz, DMSO-d6) δ148.8, 134.8, 129.5, 129.2, 123.5, 55.5, 50.2, 40.6, 40.4; Anal. Calc. for C14H16N6O2: C, 55.98; H, 5.36; N, 27.99. Found C, 55.87; H, 5.46; N, 27.84.
Compound 3b: [53]: dimethyl 1,1′-[1,2-phenylenebis(methylene)]bis-1H-1,2,3-triazole-4-carboxylate; white solid; mp 236 °C; RF = 0.89 in ethyl acetate/hexanes (3:1); FTIR cm−1 3116, 1720, 1545, 1456, 1435, 1357, 1313, 1151, 1106, 1049, 1019; 1H NMR (400 MHz, DMSO-d6) δ 8.82 (s, 2H), 7.39–7.37 (m, 2H), 7.22–7.20 (m, 2H), 5.89 (s, 4H), 3.83 (s, 6H); 13C NMR (100 MHz, DMSO-d6) δ160.6, 138.7, 133.6, 129.6, 129.4, 129.2, 51.8, 50.2; Anal. Calc. for C16H16N6O4: C, 53.92; H, 4.52; N, 23.58. Found C, 53.99; H, 4.39; N, 23.57.
Compound 3c: 2-{[1,1′-(1,2-phenylene)bis(methylene)]bis-4-(1H-1,2,3-triazolyl)}-2-propanol; white solid; mp 157.1–157.4 °C; FTIR cm−1 (3335, 3100, 2975, 2930, 1161); 1H NMR (400 MHz, DMSO-d6) δ7.89 (s, 2H), δ7.33–7.38 (q, 2H), δ7.14–7.17 (q, 2H), δ5.76 (s, 4H), δ5.16 (s, 2H), δ1.49 (s, 12H); 13C NMR (100 MHz, DMSO-d6) δ156.2, 134.4, 129.2, 128.8, 120.8, 67.0, 49.7, 38.9, 30.7; Anal. Calc. for C18H24N6O2: C, 60.52; H, 6.97; N, 23.58. Found C, 60.77; H, 6.70; N, 23.52.
Compound 3d: phenyl-[1,1′-(1,2-phenylene)bis(methylene)]bis-4-(1H-1,2,3-triazolyl)-methanol; brown oil which hardened to a solid after 2–3 weeks; mp 80.4–81.8 °C; FTIR cm−1 3298, 3125, 3059, 1492, 1450, 1216, 1042; 1H NMR (400 MHz, DMSO-d6) δ7.93 (s, 2H), δ7.39 (d, 4H), δ7.31 (t, 6H), δ7.25 (m, 2H), δ7.10 (m, 2H), δ5.98 (d, 2H), δ5.81 (d, 2H), δ5.75 (s, 4H); 13C NMR (100 MHz, DMSO-d6) δ152, 144, 135, 129.5, 129.2, 128.5, 127.5, 127, 123, 67, 50; HRMS (+ESI) Calc. for [M + Na]+ C26H24N6NaO2: 475.1859. Found 475.1859.
Compound 3e: 1,1′-[(1,2-(phenylene)bis(methylene)]bis-1H-1,2,3-triazole-4,4′-carboxylic acid; chalky blue-grey solid; mp 80.4–81.8 °C; FTIR cm−1 3112, 2926, 2833, 2633, 2547, 1682, 1221, 1051, 785; 1H NMR (400 MHz, DMSO-d6) δ13.16 (s, 2H), δ8.76 (s, 2H), δ7.36–7.40 (m, 2H), δ7.17–7.21 (m, 2H), δ5.89 (s, 4H); 13C NMR (100 MHz, DMSO-d6) δ201, 162, 140, 134, 130, 129, 51; HRMS (+ESI) Calc. for [M + Na]+ C14H12N6NaO4: 351.0818. Found 351.0822.
Compound 3f: 2-{[1,1′-(1,2-phenylene)bis(methylene)]bis-4-(1H-1,2,3-triazolyl}ethanol; sparkly white solid; mp 165 °C; FTIR cm−1 3292, 3113, 2954, 2866, 1218, 1047; 1H NMR (400 MHz, DMSO-d6) δ7.84 (s, 2H), δ7.32–7.36 (m, 2H), δ7.09–7.14 (m, 2H), δ5.74 (s, 4H), δ4.68 (t, 2H), δ3.59–3.65 (q, 4H), δ2.76 (t, 4H); 13C NMR (100 MHz, DMSO-d6) δ144.9, 134.3, 129.1, 128.7, 122.8, 60.3, 49.7, 29.1; Anal. Calc. for C16H20N6O2: C, 58.69; H, 5.84; N, 25.67. Found C, 58.58; H, 6.03; N, 25.47.
Compound 3g: [54]: 1-{[1,1′-(1,2-phenylene)bis(methylene)]bis-4-(1H-1,2,3-triazolyl)}ethanol; white solid; mp 159 °C; RF = 0.75 ethanol/ethyl acetate (1:1); FTIR cm−1 3201, 1453, 1361, 1297, 1222; 1H NMR (400 MHz, DMSO-d6) δ7.92 (s, 2H), 7.37–7.32 (m, 2H), 7.17–7.13 (m, 2H), 5.78 (s,4H), 5.25–5.23 (m, 2H) 4.85–4.79 (m, 6H); 13C NMR (100 MHz, DMSO-d6) δ153.0, 134.4, 129.1, 128.8, 121.6, 61.6, 49.8, 23.7; Anal. Calc for C16H20N6O2: C, 58.69; H, 5.84; N, 25.67. Found C, 58.40; H, 6.02; N, 25.73.
Compound 3h: [55]: 1-{[1,1′-[(1,2-phenylene)bis(methylene)]bis [1H-1,2,3-triazolyl-4]}cyclohexanol; white solid; mp 168 °C; RF = 0.8 ethyl acetate; FTIR cm−1 3306, 2930, 2856, 1444, 1354, 1303, 1266, 1233, 1219, 1162, 1113, 1077, 1049; 1H NMR (400 MHz, DMSO-d6) δ7.91 (s, 2H), 7.36–7.32 (m, 2H), 7.18–7.12 (m, 2H), 5.77 (s,4H), 4.86 (s, 2H), 1.89–1.29 (m, 2H), 2.78–2.75 (m, 20H); 13C NMR (100 MHz, DMSO-d6) δ134.4, 129.1, 128.7, 121.4, 68.0, 49.7, 37.8, 25.2, 21.7; Anal. Calc. for C24H32N6O2: C, 66.02; H, 7.38; N, 19.25. Found C, 66.17; H, 7.29; N, 19.34.
Compound 3i: 1,1′-[1,2-phenylenebis(methylene)]bis [4-(2,3,5,6-tetrafluoropyridyloxymethyl)-1H-1,2,3-triazole; pale pink solid; mp 116.5–117.1 °C; FTIR cm−1 3148, 1740, 1643, 1505, 1469, 1239, 1104, 1087, 994, 726; 1H NMR (300 MHz, DMSO-d6) δ9.37 (s, 2H), δ8.66 (s, 1H), δ8.08 (d, 2H), δ7.70 (t, 1H); 13C NMR (75 MHz, DMSO-d6) δ147, 142, 135, 130.5, 130.3, 127.5, 126.6, 124.5, 123; 19F NMR (282 MHz, DMSO-d6) δ −89.4, −147.5; HRMS (+ESI) Calc. for [M + Na]+ C14H14F8N8NaO2: 621.1010. Found 621.1016.
Compound 3j: 1-phenyl-1-{[1,1′-(1,2-phenylene)bis(methylene)]bis-4-(1H-1,2,3-triazol-yl)}ethanol; fluffy, white-grey solid; mp: 93.3–95.0 °C; FTIR cm−1 3356, 2971, 1601, 1445, 1204; 1H NMR (400 MHz, DMSO-d6) δ7.89 (s, 2H), δ7.45 (d, 4H), δ7.20–7.35 (m, 6H), δ7.11–7.19 (m, 4H), δ5.86 (s, 2H), δ5.75 (s, 4H), δ1.81 (s, 6H); 13C NMR (100 MHz, DMSO-d6) δ155.9, 148.7, 134.8, 129.5, 129.2, 128.1, 126.8, 125.6, 122.4, 71.3, 50.2, 40.6, 40.4, 40.2, 40.2, 31.3; Anal. Calc. for C28H28N6O2: C, 69.98; H, 5.87; N, 17.38. Found C, 70.01; H, 5.88; N, 17.38.
Compound 3k: 4-{1,1′-[(1,2-(phenylene)bis(methylene)]bis-1H-1,2,3-triazole-4,4′-yl}-benzoic acid; orange solid; mp > 260 °C; FTIR cm−1 3108, 2996, 2810, 2654, 2539, 1677, 1607, 1395, 1282, 770; 1H NMR (400 MHz, DMSO-d6) δ8.80 (s, 2H), δ7.96–8.04 (m, 10H), δ7.60–7.64 (m, 4H), δ7.42–7.47 (m, 4H), δ7.30–7.35 (m, 4H), δ5.99 (s, 4H); 13C NMR (100 MHz, DMSO-d6) δ167.5, 167, 146, 135, 134.5, 131, 130.5, 130.3, 130, 126.5, 125.5, 84, 82, 50; HRMS (+ESI) [M + H]+ Calc. for C26H20N6O4+H+: 481.1624. Found 481.1631.

3.2.4. Procedure for the [(IMes)CuCl]-Catalyzed Cycloaddition Reaction without Solvent (Note: This Procedure Should Not Be Scaled Up Due to the Buildup of Heat during the Reaction)

To a round-bottom flask or vial containing a stir bar, 1,3-diethynylbenzene (133 μL, 1.0 mmol), organic azide (2.0 mmol), and [(IMes)CuCl] catalyst (30 mg) were added. The reaction mixture was stirred (1–3 h) at rt. An exotherm was generally noted within 30 min of stirring, yielding a solid product. The solid was recrystallized from ethyl acetate.

3.2.5. Spectral and Analytical Data for 4a4c

Compound 4a [56]: 4,4′-(1,3-phenylene)bis [1-benzyl-1H-1,2,3-triazole]; tan solid; mp 144.8–145.5 °C; FTIR cm−1 3065, 1605, 1510, 1455, 1224, 708; 1H NMR (300 MHz, DMSO-d6) δ8.71 (s, 2H), δ8.37 (s, 1H), δ7.83 (d, 2H), δ7.31–7.56 (m, 9H), δ7.24 (t, 2H), δ5.68 (s, 4H).
Compound 4b [57]: 2,2′-[1,3-phenylenebis(1H-1,2,3-triazole-4,1-diyl)]bis [1-phenyl-ethanone]; dec > 160 °C; FTIR cm−1 3061, 1696, 1596, 1449, 1226, 687; 1H NMR (400 MHz, DMSO-d6) δ8.64 (s, 2H), δ8.43 (s, 1H), δ8.12 (d, 4H), δ7.86 (d, 1H), δ7.75 (d, 2H), δ7.58–7.66 (m, 6H), δ6.30 (s, 4H).
Compound 4c: 4,4′-(1,3-phenylene)bis [1-(2,3,5,6-tetrafluoropyridyl)-1H-1,2,3-triazole]; yellow solid; dec > 163 °C; FTIR cm−1 3167, 1643, 1518, 1471, 1229, 1072, 969, 793; 1HNMR (300 MHz, DMSO-d6) δ8.37 (s, 2H), δ7.35 (d, 2H), δ7.10 (d, 2H), δ5.86 (s, 4H), δ5.67 (s, 4H); 13C NMR (75 MHz, DMSO-d6) δ141.8, 134.5, 129.4, 129.3, 126.4, 67.4, 60.2, 50.4, 21.2, 14.6; 19F NMR (282 MHz, DMSO-d6) δ -92.74, -157.47; HRMS (+ESI) calculated for C20H6F8NaN8: 533.0485. Found 533.0483.

3.2.6. Procedure for the Preparation of Compound 5, 1,1′-(o-phenylenedimethylene)bis [4,5-methyl-1-ol-1,2,3-triazole]

To a 35 mL MW vial containing a stir bar, α,α-diazido-o-xylene (0.188 g, 1.0 mmol), acetonitrile (5 mL) and 2-butyn-1,4-diol (0.362 g, 4.2 mmol) were added. After capping the flask or vial, the solution was microwaved at 150 °C at a power of 200 with stirring for six min. After cooling to rt, solvent was removed in vacuo to afford a solid, which was recrystallized from ethanol.
Compound 5: 1,1′-(o-phenylenedimethylene)bis [4,5-methyl-1-ol-1,2,3-triazole]; mp 157 °C; FTIR cm−1: (3146, 2927, 2863, 1001, 974); 1H NMR (400 MHz, DMSO-d6, δ7.23–7.36 (m, 2H), δ6.84–6.89 (m, 2H), δ5.81 (s, 4H), δ5.45 (t, 2H), δ5.10 (t, 2H), δ4.58 (d, 4H), δ4.54 (d, 4H); 13C NMR (100 MHz, DMSO-d6); δ145.1, 134.5, 134.0, 128.2, 127.9, 54.2, 50.9, 48.4; Anal. Calc. for C16H20N6O4: C, 53.32; H, 5.59; N, 23.32. Found C, 53.42; H, 5.63; N, 23.22.

3.2.7. Procedure for the Ultrasonic Probe Assisted Synthesis of 1,1′-[(1,2-(Phenylene)bis(methylene)]bis-1H-1,2,3-triazole-4,4′-carboxylic Acid 3e

To a jacketed 50 mL sonication beaker, α,α-diazido-o-xylene (1 mmol, 188 mg) was added to a solution of propiolic acid (2.1 mmol, 0.13 mL) in 10 mL of t-BuOH/H2O (1:1), followed by 1 M copper sulfate pentahydrate (200 µL) and sodium ascorbate (50 mg) or with the [(IMes)CuCl] catalyst (30 mg). The probe tip was centered and submerged in the solution and the Bransonic Digital Sonifier 250 was turned on at 70% amplitude (30% with the [(IMes)CuCl] catalyst) with cooling provided by the PolyScience LS51TX1A110C LS Series Benchtop Chiller at 13 °C. After the reaction mixture had been sonicated for the desired time, the probe was removed and 30% aq. ammonia (2–3 mL) was added and stirred for 10 min. Afterwards, 3M HCl was added until the solution reached pH 1. The solution was stirred until the color changed to off-white. The white product 3e was washed with water, dried, and weighed to determine the % yield. Results are given in Table 3.

4. Conclusions

Reaction conditions for the preparation of bis-triazoles in aqueous solvent were carried out with and without MW heating. Synthesis of several 1,4-disubstituted bis-1H-1,2,3-triazoles was accomplished using an NHCCu catalyst, [(IMes)CuCl], in good yield in an aqueous solvent under MW conditions. The catalyst was also effective when used in water with or without conventional heating, but the completion times were longer, and the yields were lower than experiments where MW heating was used. Use of the NHC catalyst sometimes required chromatographic separation and purification of the products. Reactions run neat with the NHC catalyst required at least one of the reactants to be an oil to provide thorough mixing. The yields of the [(IMes)CuCl] catalyzed reactions in an aqueous solvent were superior when compared with the other methods, but not when ultrasonication was used.
Exceptional behavior was noted when propiolic acid was submitted to MW heating in the presence of the NHCCu catalyst, for which decarboxylation of propiolic acid at elevated temperature with a copper catalyst is a likely explanation. Ultrasonication was found to be useful for the CuSO4/sodium ascorbate catalysis but problematic for the [(IMes)CuCl] catalyst, where decomposition of the catalyst is a possible explanation needing further study. The successful synthesis of bis-triazoles has been shown using available copper catalysts under several different mild conditions leading to good yields of bis-triazole products. The [(IMes)CuCl] catalyst had no effect on cycloaddition of an internal alkyne, requiring heating at high temperatures even when using MW conditions.

Supplementary Materials

The following supporting information can be downloaded at: https://www.mdpi.com/article/10.3390/catal14100702/s1, Figure S1: FTIR spectrum of α,α-diazido-o-xylene; Figure S2: 1H NMR (400 MHz) spectrum of 3a: 1,1′-[(1,2-phenylene)bis(methylene)]bis-4-(1H-1,2,3-triazolyl)methanol; Figure S3: 13C NMR (400 MHz) spectrum of 3a: 1,1′-[(1,2-phenylene)bis(methylene)]bis-4-(1H-1,2,3-triazolyl)methanol; Figure S4: FTIR spectrum of 3a: 1,1′-[(1,2-phenylene)bis(methylene)]bis-4-(1H-1,2,3-triazolyl)methanol; Figure S5: 1H NMR (400 MHz) spectrum of 3b: dimethyl 1,1′-[1,2-phenylenebis(methylene)]bis-1H-1,2,3-triazole-4-carboxylate; Figure S6: 13C NMR (400 MHz) spectrum of 3b: dimethyl 1,1′-[1,2-phenylenebis(methylene)]bis-1H-1,2,3-triazole-4-carboxylate. Figure S7: FTIR spectrum of 3b: dimethyl 1,1′-[1,2-phenylenebis(methylene)]bis-1H-1,2,3-triazole-4-carboxylate; Figure S8: 1H NMR (400 MHz) spectrum of 3c: 2-{[1,1′-(1,2-phenylene)bis(methylene)]bis-4-(1H-1,2,3-triazolyl)}-2-propanol; Figure S9: 13C NMR (400 MHz) spectrum of 3c: 2-{[1,1′-(1,2-phenylene)bis(methylene)]bis-4-(1H-1,2,3-triazolyl)}-2-propanol; Figure S10: FTIR spectrum of 3c: 2-{[1,1′-(1,2-phenylene)bis(methylene)]bis-4-(1H-1,2,3-triazolyl)}-2-propanol; Figure S11: 1H NMR (400 MHz) spectrum of 3d: phenyl-[1,1′-(1,2-phenylene)bis(methylene)]bis-4-(1H-1,2,3-triazolyl)-methanol; Figure S12: 13C NMR (400 MHz) spectrum of 3d: phenyl-[1,1′-(1,2-phenylene)bis(methylene)]bis-4-(1H-1,2,3-triazolyl)-methanol. Figure S13: FTIR spectrum of 3d: phenyl-[1,1′-(1,2-phenylene)bis(methylene)]bis-4-(1H-1,2,3-triazolyl)-methanol; Figure S14: 1H NMR (400 MHz) spectrum of 3e: 1,1′-[(1,2-(phenylene)bis(methylene)]bis-1H-1,2,3-triazole-4,4′-carboxylic acid; Figure S15: 13C NMR (400 MHz) spectrum of 3e: 1,1′-[(1,2-(phenylene)bis(methylene)]bis-1H-1,2,3-triazole-4,4′-carboxylic acid; Figure S16: FTIR spectrum of 3e: 1,1′-[(1,2-(phenylene)bis(methylene)]bis-1H-1,2,3-triazole-4,4′-carboxylic acid; Figure S17: 1H NMR (400 MHz) spectrum of 3f: 2-{[1,1′-(1,2-phenylene)bis(methylene)]bis-4-(1H-1,2,3-triazolyl}ethanol; Figure S18: 13C NMR (400 MHz) spectrum of 3f: 2-{[1,1′-(1,2-phenylene)bis(methylene)]bis-4-(1H-1,2,3-triazolyl}ethanol; Figure S19: FTIR spectrum of 3f: 2-{[1,1′-(1,2-phenylene)bis(methylene)]bis-4-(1H-1,2,3-triazolyl}ethanol; Figure S20: 1H NMR (400 MHz) spectrum of 3g: 1-{[1,1′-(1,2-phenylene)bis(methylene)]bis-4-(1H-1,2,3-triazolyl)}ethanol; Figure S21: 13C NMR (400 MHz) spectrum of 3g: 1-{[1,1′-(1,2-phenylene)bis(methylene)]bis-4-(1H-1,2,3-triazolyl)}ethanol; Figure S22: FTIR spectrum of 3g: 1-{[1,1′-(1,2-phenylene)bis(methylene)]bis-4-(1H-1,2,3-triazolyl)}ethanol; Figure S23: 1H NMR (400 MHz) spectrum of 3h: 1-{[1,1′-[(1,2-phenylene)bis(methylene)]bis [1H-1,2,3-triazolyl-4]}cyclohexanol. Figure S24: 13C NMR (400 MHz) spectrum of 3h: 1-{[1,1′-[(1,2-phenylene)bis(methylene)]bis [1H-1,2,3-triazolyl-4]}cyclohexanol; Figure S25: FTIR spectrum of 3h: 1-{[1,1′-[(1,2-phenylene)bis(methylene)]bis [1H-1,2,3-triazolyl-4]}cyclohexanol; Figure S26: 1H NMR (300 MHz) spectrum of 3i: 1,1′-[1,2-phenylenebis(methylene)]bis[4-(2,3,5,6-tetrafluoropyridyloxy-methyl)-1H-1,2,3-triazole; Figure S27: 13C NMR (300 MHz) spectrum of 3i: 1,1′-[1,2-phenylenebis(methylene)]bis[4-(2,3,5,6-tetrafluoropyridyloxy-methyl)-1H-1,2,3-triazole; Figure S28: 19F NMR (300 MHz) spectrum of 3i: 1,1′-[1,2-phenylenebis(methylene)]bis[4-(2,3,5,6-tetrafluoropyridyloxy-methyl)-1H-1,2,3-triazole; Figure S29: FTIR of 3i: 1,1′-[1,2-phenylenebis(methylene)]bis[4-(2,3,5,6-tetrafluoropyridyloxy-methyl)-1H-1,2,3-triazole; Figure S30: 1H NMR (400 MHz) spectrum of 3j: 1-phenyl-1-{[1,1′-(1,2-phenylene)bis(methylene)]bis-4-(1H-1,2,3-triazol-yl)}ethanol; Figure S31: 13C NMR (400 MHz) spectrum of 3j: 1-phenyl-1-{[1,1′-(1,2-phenylene)bis(methylene)]bis-4-(1H-1,2,3-triazol-yl)}ethanol; Figure S32: FTIR spectrum of 3j: 1-phenyl-1-{[1,1′-(1,2-phenylene)bis(methylene)]bis-4-(1H-1,2,3-triazol-yl)}ethanol; Figure S33: 1H NMR (400 MHz) spectrum of 3k: 4-{1,1′-[(1,2-(phenylene)bis(methylene)]bis-1H-1,2,3-triazole-4,4′-yl}-benzoic acid; Figure S34: 13C NMR (400 MHz) spectrum of 3k: 4-{1,1′-[(1,2-(phenylene)bis(methylene)]bis-1H-1,2,3-triazole-4,4′-yl}-benzoic acid; Figure S35: FTIR spectrum of 3k: 4-{1,1′-[(1,2-(phenylene)bis(methylene)]bis-1H-1,2,3-triazole-4,4′-yl}-benzoic acid; Figure S36: 1H NMR (300 MHz) spectrum of 4a: 4,4′-(1,3-phenylene)bis[1-benzyl-1H-1,2,3-triazole]; Figure S37: FTIR spectrum of 4a: 4,4′-(1,3-phenylene)bis[1-benzyl-1H-1,2,3-triazole]; Figure S38: 1H NMR (300 MHz) spectrum of 4b: 2,2′-[1,3-phenylenebis(1H-1,2,3-triazole-4,1-diyl)]bis[1-phenyl-ethanone]; Figure S39: FTIR spectrum of 4b: 2,2′-[1,3-phenylenebis-(1H-1,2,3-triazole-4,1-diyl)]bis[1-phenylethanone]. Figure S40: 1H NMR (300 MHz) spectrum of 4c: 4,4′-(1,3-phenylene)bis[1-(2,3,5,6-tetrafluoropyridyl)-1H-1,2,3-triazole]; Figure S41: 19F NMR (300 MHz) spectrum of 4c: 4,4′-(1,3-phenylene)bis[1-(2,3,5,6-tetrafluoropyridyl)-1H-1,2,3-triazole]; Figure S42: FTIR spectrum of 4c: 4,4′-(1,3-phenylene)bis[1-(2,3,5,6-tetrafluoropyridyl)-1H-1,2,3-triazole]; Figure S43: 1H NMR (400 MHz) spectrum of 5: 1,1′-[(1,2-phenylene)bis(methylene)]bis-4,5-(1H-1,2,3-triazolyl)dimethanol.; Figure S44: 13C NMR (400 MHz) spectrum of 5: 1,1′-[(1,2-phenylene)bis(methylene)]bis-4,5-(1H-1,2,3-triazolyl)dimethanol; Figure S45: FTIR spectrum of 5: 1,1′-[(1,2-phenylene)bis(methylene)]bis-4,5-(1H-1,2,3-triazolyl)dimethanol.

Author Contributions

Conceptualization, methodology, all authors; laboratory syntheses and experimental investigations, L.T.M., E.B., M.H. and A.R.; writing—original draft preparation, A.S.; writing—review and editing, L.T.M. and A.S.; supervision, A.S. All authors have read and agreed to the published version of the manuscript.

Funding

This research received no external funding.

Institutional Review Board Statement

Not applicable.

Informed Consent Statement

Not applicable.

Data Availability Statement

Data are contained within the article and Supplementary Materials.

Acknowledgments

The authors thank Brett Mayer for technical assistance. The corresponding author thanks Ana Ison for a discussion which led to our use of the IMesCuCl catalyst. The authors thank the UCCS Office of Research for supporting publication costs; the Undergraduate Research Academy (UCCS) for funding this project for MH; and the Central Analytical Laboratory at CU Boulder for performing HRMS analyses.

Conflicts of Interest

The authors declare no conflicts of interest.

References

  1. Zheng, Z.-J.; Wang, D.; Xu, Z.; Xu, L.-W. Synthesis of bi- and bis-1,2,3-triazoles by copper-catalyzed Huisgen cycloaddition: A family of valuable products by click chemistry. Beilstein J. Org. Chem. 2015, 11, 2557–2576. [Google Scholar] [CrossRef]
  2. Dawood, K.M.; Abdel-Wahab, B.F.; Raslan, M.A. Synthesis and applications of bi- and bis-triazole systems. ARKIVOC Online J. Org. Chem. 2018, 2018, 179–215. [Google Scholar] [CrossRef]
  3. Rostovtsev, V.V.; Green, L.G.; Fokin, V.V.; Sharpless, K.B. A stepwise Huisgen cycloaddition process: Copper(I)-catalyzed regioselective “ligation” of azides and terminal alkynes. Angew. Chem. Int. Ed. 2002, 41, 2596–2599. [Google Scholar] [CrossRef]
  4. Tornoe, C.W.; Christensen, C.; Meldal, M. Peptidotriazoles on solid phase: [1,2,3]-triazoles by regiospecific copper(I)-catalyzed 1,3-dipolar cycloadditions of terminal alkynes to azides. J. Org. Chem. 2002, 67, 3057–3064. [Google Scholar] [CrossRef]
  5. Zhang, H.; Tanimoto, T.; Morimoto, Y.; Nishiyama, K. Acid-mediated synthesis of fully substituted 1,2,3-triazoles: Multicomponent coupling reactions, mechanistic study, synthesis of serine hydrolase inhibitor and its derivatives. Tetrahedron 2014, 70, 9828–9835. [Google Scholar] [CrossRef]
  6. Huisgen, R. Kinetics and reaction mechanisms: Selected examples from the experience of forty years. Pure Appl. Chem. 1989, 61, 613–628. [Google Scholar] [CrossRef]
  7. Sutton, D.A.; Popik, V.V. Sequential photochemistry of dibenzo[a,e]dicyclopropa[c,g][8]annulene-1,6-dione: Selective formation of didehydrodibenzo[a,e][8]annulenes with ultrafast SPAAC reactivity. J. Org. Chem. 2016, 81, 8850–8857. [Google Scholar] [CrossRef]
  8. Shamim, A.; Souza, F.B.; Trossini, G.H.G.; Gatti, F.M.; Stefani, H.A. Synthesis of C-glycosyl-bis-1,2,3-triazole derivatives from 3,4,6-tri-O-acetyl-D-glucal. Mol. Divers. 2015, 19, 423–434. [Google Scholar] [CrossRef]
  9. Aher, N.G.; Pore, V.S.; Mishra, N.N.; Kumar, A.; Shukla, P.K.; Sharma, A.; Bhat, M.K. Synthesis and antifungal activity of 1, 2, 3-triazole containing fluconazole analogues. Bioorg. Med. Chem. Lett. 2009, 19, 759–763. [Google Scholar] [CrossRef]
  10. Singh, G.; Mohit, P.; Suman, D.; Sushma, P.; Saini, A.; Kaur, A. Design of new bistriazolyl structure for identification of inhibitory activity on COVID-19 main protease by molecular docking approach. J. Mol. Struct. 2022, 1250, 131858. [Google Scholar] [CrossRef]
  11. Lv, J.S.; Peng, X.M.; Kishore, B.; Zhou, C.H. 1,2,3-Triazole-derived naphthalimides as a novel type of potential antimicrobial agents: Synthesis, antimicrobial activity, interaction with calf thymus DNA and human serum albumin. Bioorg. Med. Chem. Lett. 2014, 24, 308–313. [Google Scholar] [CrossRef] [PubMed]
  12. Chaidam, S.; Saehlim, N.; Athipornchai, A.; Sirion, U.; Saeeng, R. Synthesis and biological evaluation of 1,6-bis-triazole-2,3,4-tri-O-benzyl-α-D-glucopyranosides as a novel α-glucosidase inhibitor in the treatment of Type 2 diabetes. Bioorg. Med. Chem. Lett. 2021, 50, 128331. [Google Scholar] [CrossRef] [PubMed]
  13. Elamari, H.; Slimi, R.; Chabot, G.G.; Quentin, L.; Scherman, D.; Girard, C. Synthesis and in vitro evaluation of potential anticancer activity of mono- and bis-1,2,3-triazole derivatives of bis-alkynes. Eur. J. Med. Chem. 2013, 60, 360–364. [Google Scholar] [CrossRef] [PubMed]
  14. Krim, J.; Taourirte, M.; Engels, J.W. Synthesis of 1, 4-disubstituted mono and bistriazolocarboacyclonucleoside analogues of 9-(4-hydroxybutyl) guanine by Cu (I)-catalyzed click azide-alkyne cycloaddition. Molecules 2011, 17, 179–190. [Google Scholar] [CrossRef] [PubMed]
  15. Ortega-Munoz, M.; Perez-Balderas, F.; Morales-Sanfrutos, J.; Hernandez-Mateo, F.; Isac-Garcia, J.; Santoyo-Gonzalez, F. Click multivalent heterogeneous neoglycoconjugates-modular synthesis and evaluation of their binding affinities. Eur. J. Org. Chem. 2009, 2009, 2454–2473. [Google Scholar] [CrossRef]
  16. Guo, H.-Y.; Chen, Z.-A.; Shen, Q.-K.; Quan, Z.-S. Application of triazoles in the structural modification of natural products. J. Enzym. Inhib. Med. Chem. 2021, 36, 1115–1144. [Google Scholar] [CrossRef]
  17. Németh-Rieder, A.; Keglevich, P.; Hunyadi, A.; Latif, A.D.; Zupkó, I.; Hazai, L. Synthesis and in vitro anticancer evaluation of flavone—1,2,3-triazole hybrids. Molecules 2023, 28, 626. [Google Scholar] [CrossRef]
  18. Saleh, M.M.; Abuarqoub, D.A.; Hammad, A.M.; Hossan, M.S.; Ahmed, N.; Aslam, N.; Naser, A.Y.; Moody, C.J.; Laughton, C.A.; Bradshaw, T.D. In vitro anticancer properties of novel bistriazoles. Curr. Issues Mol. Biol. 2023, 45, 175–196. [Google Scholar] [CrossRef]
  19. Vermal, N.K.; Mondal, D.; Bera1, S. Pharmacological and cellular significance of triazole-surrogated compounds. Curr. Org. Chem. 2019, 23, 2305–2572. [Google Scholar] [CrossRef]
  20. Mondal, D.; Kundu, S.; Elramadi, E.; Valiyev, I.; Schmittel, M. Self-healing of a copper(I) [2]rotaxane shuttle monitored by fluorescence. Org. Lett. 2023, 25, 933–937. [Google Scholar] [CrossRef]
  21. Malkova, K.; Bubyrev, A.; Krivovicheva, V.; Dar’in, D.; Bunev, A.; Krasavin, M. A novel bistriazole scaffold accessed via two tandem [3 + 2] cycloaddition events including an uncatalyzed room temperature azide-alkyne click reaction. Beilstein J. Org. Chem. 2022, 18, 1636–1641. [Google Scholar] [CrossRef] [PubMed]
  22. Gajurel, S.; Dam, B.; Bhushan, M.; Singh, L.R.; Pal, A.K. CuO-NiO bimetallic nanoparticles supported on graphitic carbon nitride with enhanced catalytic performance for the synthesis of 1,2,3-triazoles, bis-1,2,3-triazoles, and tetrazoles in parts per million level. Appl. Organomet. Chem. 2022, 36, e6524. [Google Scholar] [CrossRef]
  23. Hsueh, F.-C.; Tsai, C.-Y.; Lai, C.-C.; Liu, Y.-H.; Peng, S.-M.; Chiu, S.-H. N-Heterocyclic carbene copper rotaxanes mediate sequential click ligations with all reagents premixed. Angew. Chem. Int. Ed. 2020, 59, 11278–11282. [Google Scholar] [CrossRef] [PubMed]
  24. Arduengo, A.J., III; Dias, V.R.; Calabrese, J.C.; Davidson, F. Homoleptic carbene-silver(I) and carbene-copper(I) complexes. Organometallics 1993, 12, 3405–3409. [Google Scholar] [CrossRef]
  25. Danopoulos, A.A.; Simler, T.; Braunstein, P. N-Heterocyclic carbene complexes of copper, nickel, and cobalt. Chem. Rev. 2019, 119, 3730–3961. [Google Scholar] [CrossRef]
  26. Boreux, A.; Marion, N.; Gagosz, F. NHC-Copper, -silver and -gold complexes in catalysis. RSC Catal. Ser. 2017, 27, 421–455. [Google Scholar]
  27. Díez-González, S.; Correa, A.; Cavallo, L.; Nolan, S.P. (NHC)copper(I)-catalyzed [3 + 2] cycloaddition of azides and mono- or disubstituted alkynes. Chem. Eur. J. 2006, 12, 7558–7564. [Google Scholar] [CrossRef]
  28. Nakamura, T.; Terashima, T.; Ogata, K.I.; Fukuzawa, S. Copper(I) 1,2,3-triazol-5-ylidene complexes as efficient catalysts for click reactions of azides with alkynes. Org. Lett. 2011, 13, 620–623. [Google Scholar] [CrossRef] [PubMed]
  29. Lazreg, F.; Slawin, A.M.Z.; Cazin, C.S.J. Heteroleptic bis(N-heterocyclic carbene)copper(I) complexes: Highly efficient systems for the [3+2] cycloaddition of azides and alkynes. Organometallics 2012, 31, 7969–7975. [Google Scholar] [CrossRef]
  30. Berg, R.; Straub, J.; Schreiner, E.; Mader, S.; Rominger, F.; Straub, B.F. Highly active dinuclear copper catalysts for homogeneous azide-alkyne cycloadditions. Adv. Synth. Catal. 2012, 354, 3445–3450. [Google Scholar] [CrossRef]
  31. Touj, N.; Chakchouk-Mtibaa, A.; Mansour, L.; Harrath, A.H.; Al-Tamimi, J.H.; Ozdemir, I.; Mellouli, L.; Yasar, S.; Hamdi, N. Copper-catalyzed azide–alkyne cycloaddition (CuAAC) under mild condition in water: Synthesis, catalytic application and biological activities. J. Organomet. Chem. 2017, 853, 49–63. [Google Scholar] [CrossRef]
  32. Wan, L.; Cai, C. Multicomponent synthesis of 1,2,3-triazoles in water catalyzed by silica-immobilized NHC-Cu(I). Catal. Lett. 2012, 142, 1134–1140. [Google Scholar] [CrossRef]
  33. Mikhaylov, V.N.; Pavlov, A.O.; Ogorodnov, Y.V.; Spiridonova, D.V.; Sorokoumov, V.N.; Balova, I.A. N-Propargylation and copper(I)-catalyzed azide-alkyne cycloaddition as a convenient strategy for directed post-synthetic modification of 4-oxo-1,4-dihydrocinnoline derivatives. Chem. Heterocycl. Compd. 2020, 56, 915–922. [Google Scholar] [CrossRef]
  34. Jing, L.; Hongwei, L.; Fanyu, M.; Liuqing, Y.; Yanpeng, S.; Yumin, Z.; Qiang, G. Microwave-assisted synthesis of new 1,2,3-triazoles bearing an isoxazole ring by the azide-alkyne cycloaddition click chemistry. Chem. Res. Chin. Univ. 2018, 34, 197–202. [Google Scholar] [CrossRef]
  35. Schotten, C.; Manson, J.; Chamberlain, T.W.; Bourne, R.A.; Nguyen, B.N.; Kapur, N.; Willans, C.E. Development of a multistep, electrochemical flow platform for automated catalyst screening. Catal. Sci. Technol. 2022, 12, 4266–4272. [Google Scholar] [CrossRef]
  36. Szadkowska, A.; Pawlowski, R.; Zaorska, E.; Staszko, S.; Trzybinski, D.; Wozniak, K. NHC copper complexes functionalized with sulfoxide and sulfone moieties. Appl. Organomet. Chem. 2019, 33, e4983. [Google Scholar] [CrossRef]
  37. Trujillo, M.; Hull-Crew, C.; Outlaw, A.; Stewart, K.; Taylor, L.; George, L.; Duensing, A.; Tracey, B.; Schoffstall, A. Green methodologies for copper(I)-catalyzed azide-alkyne cycloadditions: A comparative study. Molecules 2019, 24, 973. [Google Scholar] [CrossRef]
  38. Diez-Gonzalez, S.; Escudero-Adan, E.C.; Benet-Buchholz, J.; Stevens, E.D.; Slawin, A.M.Z.; Nolan, S.P. [(NHC)CuX] complexes: Synthesis, characterization and catalytic activities in reduction reactions and Click Chemistry. On the advantage of using well-defined catalytic systems. J. Chem. Soc. Dalton Trans. 2010, 39, 7595–7606. [Google Scholar] [CrossRef]
  39. Yamada, Y.M.; Sarkar, S.M.; Uozumi, Y. Amphiphilic Self-Assembled Polymeric Copper Catalyst to Parts per Million Levels: Click Chemistry. J. Am. Chem. Soc. 2012, 134, 9285–9290. [Google Scholar] [CrossRef] [PubMed]
  40. Khajehzadeha, M.; Moghadamb, M.; Jamehbozorgic, S. Synthesis and characterization of a new poly(N–heterocyclic carbene Cucomplex) immobilized on nano–silica, (CuII–NHCs)n@nSiO2, and its application as an efficient and reusable catalyst in the synthesis of benzimidazoles, benzothiazoles, 1,2,3–triazoles, bis–triazoles andsonogashira–hagihara reactions. Inorg. Chim. Acta 2019, 485, 173–189. [Google Scholar] [CrossRef]
  41. Pawar, A.; Gajare, S.; Jagdale, A.; Patil, S.; Chandane, W.; Rashinkar, G.; Patil, S. Supported NHC-Benzimi@Cu Complex a Magnetically Separable and Reusable Catalyst for the Multicomponent and Click Synthesis of 1,4-Disubstituted 1,2,3-Triazoles via Huisgen 1,3-Dipolar Cycloaddition. Catal. Lett. 2022, 152, 1854–1868. [Google Scholar] [CrossRef]
  42. Worrell, B.T.; Malik, J.A.; Fokin, V.V. Direct evidence of a dinuclear copper intermediate in Cu(I)-catalyzed azide-alkyne cycloadditions. Science 2013, 340, 457–460. [Google Scholar] [CrossRef]
  43. Lin, Y.-C.; Chen, Y.-J.; Shih, T.-Y.; Chen, Y.-H.; Lai, Y.-C.; Chiang, M.Y.; Senadi, G.C.; Chen, H.-Y.; Chen, H.-Y. Mechanistic study in click reactions by using (N-heterocyclic carbene)copper(I) complexes: Anionic effects. Organometallics 2019, 38, 223–230. [Google Scholar] [CrossRef]
  44. Feng, H.; Zhao, P.; Sun, Z. CuI/CuBr2-catalyzed decarboxylative/A3 reaction of propiolic acids for the facile synthesis of 1,4-diheterocycle-2-butynes. Tetrahedron Lett. 2015, 56, 5676–5680. [Google Scholar] [CrossRef]
  45. Sreedhar, B.; Reddy, P.S. Sonochemical Synthesis of 1,4-Disubstituted 1,2,3-Triazoles in Aqueous Medium. Synth. Commun. 2007, 37, 805–812. [Google Scholar] [CrossRef]
  46. Jiang, Y.; Chen, X.L.; Qu, L.; Wang, J.; Yuan, J.; Chen, S.; Li, X. An Efficient Ultrasound-assisted Method for the Synthesis of 1,4-Disubstituted Triazoles. Z. Naturforsch. 2011, 66, 77–82. [Google Scholar] [CrossRef]
  47. Shinde, K.S.; Philipp, M.; Fuhrmann, D.; Binder, W.H. A Mechanochemically Active Metal-Organic Framework (MOF) Based on Cu-Bis-NHC-Linkers: Synthesis and Mechano-Catalytic Activation. Macromol. Chem. Phys. 2023, 224, 2200207. [Google Scholar] [CrossRef]
  48. Cravotto, G.; Gaudino, E.C.; Cintas, P. On the mechanochemical activation by ultrasound. Chem. Soc. Rev. 2013, 42, 7521–7534. [Google Scholar] [CrossRef]
  49. Alotaibi, S.H. Tretinoin (2,4-difluoro-phenyl) triazole activates proapoptotic protein expression and targets NRP2 protein to inhibit esophageal carcinoma cell growth. Environ. Toxicol. 2024, 39, 942–951. [Google Scholar] [CrossRef]
  50. Peddapayata, P.R.; Jakkula, S.K.; Ega, J.K. Ultrasonically assisted synthesis of chromen-2-one derivatives coupled 1,2,3-triazoles via 1,3-polariton cycloaddition. AIP Conf. Proc. 2024, 2971, 050001. [Google Scholar] [CrossRef]
  51. Seo, C.; Cheong, Y.-J.; Yoon, W.; Kim, J.; Shin, J.; Yun, H.; Kim, S.-J.; Jang, H.-Y. Mononuclear Copper Complexes with Tridentate Tris(N-heterocyclic carbene): Synthesis and Catalysis of Alkyne–Azide Cycloaddition. Organometallics 2021, 40, 16–22. [Google Scholar] [CrossRef]
  52. Abu-Orabi, S.T.; Harmon, R.E. Reaction of acetylenedicarboxaldehyde bis(diethyl acetal) with bis(azidomethyl)benzene. J. Chem. Eng. Data 1986, 31, 379–380. [Google Scholar] [CrossRef]
  53. Pavel, S.; Hopf, H.; Jones, P.G.; Lupu, V.V.; Birsa, L.M. Synthesis and structural characterization of some 1,2-bis[(1H-1,2,3-triazol-1-yl)methyl]benzene derivatives. Rev. Chim. 2016, 67, 683–686. [Google Scholar]
  54. Nagao, Y.; Takasu, A. Click polyester: Synthesis of polyesters containing triazole units in the main chain via safe and rapid “click” chemistry and their properties. J. Polym. Sci. A Polym. Chem. 2010, 48, 4207–4218. [Google Scholar] [CrossRef]
  55. Li, P.; Liu, Y.; Wang, L.; Xiao, J.; Tao, M. Copper(II)-Schiff base complex-functionalized polyacrylonitrile fiber as a green efficient heterogeneous catalyst for one-pot multicomponent syntheses of 1,2,3-triazoles and propargylamines. Adv. Synth. Catal. 2018, 360, 1673–1684. [Google Scholar] [CrossRef]
  56. Karthikeyan, T.; Sankararaman, S. Palladium complexes with abnormal N-heterocyclic carbene ligands derived from 1,2,3-triazolium ions and their application in Suzuki coupling. Tetrahedron Lett. 2009, 50, 5834–5837. [Google Scholar] [CrossRef]
  57. Keshavarz, M.; Badri, R. A facile and one pot synthesis of 1,4-disubstituted-1H-1,2,3-triazoles from terminal alkynes and phenacyl azides prepared from styrenes by CAN oxidant and sodium azide. Mol. Divers. 2011, 15, 957–962. [Google Scholar] [CrossRef]
Figure 1. General structures of symmetrical bis-1H-1,2,3-triazoles.
Figure 1. General structures of symmetrical bis-1H-1,2,3-triazoles.
Catalysts 14 00702 g001
Figure 2. Bis-1H-1,2,3-triazoles with demonstrated activity against SARS-CoV-2 and bacteria.
Figure 2. Bis-1H-1,2,3-triazoles with demonstrated activity against SARS-CoV-2 and bacteria.
Catalysts 14 00702 g002
Figure 3. Structures of two types of NHCCu catalysts.
Figure 3. Structures of two types of NHCCu catalysts.
Catalysts 14 00702 g003
Figure 4. Mechanism of the CuAAC reactions with NHCCu catalysts [43].
Figure 4. Mechanism of the CuAAC reactions with NHCCu catalysts [43].
Catalysts 14 00702 g004
Scheme 1. N1–N1′-1,4-Disubstituted bis-triazoles.
Scheme 1. N1–N1′-1,4-Disubstituted bis-triazoles.
Catalysts 14 00702 sch001
Scheme 2. C4–C4′-1,4-Disubstituted bis-triazoles prepared using [(IMes)CuCl] catalysis.
Scheme 2. C4–C4′-1,4-Disubstituted bis-triazoles prepared using [(IMes)CuCl] catalysis.
Catalysts 14 00702 sch002
Figure 5. Structure of a bis-1H-1,4,5-trisubstituted triazole.
Figure 5. Structure of a bis-1H-1,4,5-trisubstituted triazole.
Catalysts 14 00702 g005
Table 1. Microwave (MW) conditions for preparing bis-triazoles.
Table 1. Microwave (MW) conditions for preparing bis-triazoles.
Catalysts 14 00702 i001
EntryCompoundR Substituent60 °C for 15 min80 °C for 15 min100 °C for 10 min
13a-CH2OH65% a93% a49% a
23b-COOCH370% a88% a75% a
33c-C(CH3)2OH56% a59% a59% a
43d-CH(Ph)OH80% b87% b72% b
53e-COOH77% a,c37% a,c39% a,c
(a) Compound isolated via vacuum filtration, which showed no impurities (NMR). (b) Compound isolated via flash chromatography. (c) Reaction run in 1:1 tert-butyl alcohol/water. The preferred conditions are in bold.
Table 2. N1–N1′-1,4-Disubstituted bis-triazoles prepared using [(IMes)CuCl] catalysis.
Table 2. N1–N1′-1,4-Disubstituted bis-triazoles prepared using [(IMes)CuCl] catalysis.
Catalysts 14 00702 i002
EntryCompoundR SubstituentNo Solvent,
Time, Yield
H2O at rt
Time, Yield
H2O at 80 °C
Time, Yield
H2O in MW 80 °C
Time, Yield
13a-CH2OH4 h, 29% a24 h, 80% d1 h, 59% d0.25 h, 93% d
23b-COOCH32 h, 64%20 h, 78% d1 h, 76% d0.25 h, 88% d
33c-C(CH3)2OH3 h, 67% a20 h, 56% d1 h, 68% d0.25 h, 59% c
43d-CH(Ph)OH3 h, 73% c12 h, 67% c1 h, 70% c0.2 h, 87% c,f
53e-COOH1 h, 41% a 22 h, 73% d,e 1 h, 82% d,e0.25 h, 77% d,e,g
63f-CH2CH2OH1 h, 35% a24 h, 35% d4 h, 46% d0.25 h, 70% d
73g-CH(CH3)OH1 h, 19% a42 h, 99% d2 h, 72% d0.25 h, 98% d
83h-C(CH2)5OHb20 h, 80% d3 h, 72% d0.25 h, 83% d
93i-CH2O(C5NF4)3 h, 76% c43 h, 61% c2 h, 70% c0.25 h, 49% c
103j-C(Ph)(CH3)OHb12 h, 84% c--0.2 h, 75% c
113k-PhCOOHb22 h, 94% d,e--0.2 h, 87% d,e,f
(a) Compound isolated via recrystallization. (b) Product not synthesized neat due to the alkyne being a solid. (c) Compound isolated via flash column chromatography. (d) Compound isolated via vacuum filtration, which showed no impurities (NMR). (e) Reaction run in 1:1 tert-butyl alcohol/water. (f) 100 °C. (g) 60 °C. (rt) room temperature. The preferred conditions are in bold.
Table 3. Conditions for the synthesis a of 3e.
Table 3. Conditions for the synthesis a of 3e.
EntryMethodTime (h)Temp (°C)SolventYield
1Room temperature1rtnone41%
2Room temperature22rtt-BuOH/H2O (1:1)73%
3Conventional heating180H2O82%
4MW heating0.25100H2O39%
5MW heating0.2580H2O37%
6MW heating0.2560H2O77%
7Sonication0.25rtt-BuOH/H2O (1:1)81% b
8Sonication0.50rtt-BuOH/H2O (1:1)53% c
(a) Reaction components were 1,2-bis(azidomethyl)benzene (1 mmol), propiolic acid (2.1 mmol). (b) Average of three runs; CuSO4/sodium ascorbate catalyst; 70% amplitude. (c) The amplitude was 35%; [(IMes)CuCl] catalyst. (rt) room temperature.
Table 4. C4–C4′-1,4-Disubstituted bis-triazoles synthesized by MW or conventional heating.
Table 4. C4–C4′-1,4-Disubstituted bis-triazoles synthesized by MW or conventional heating.
EntryCompoundHeatingN1 SubstituentTime (h)Yield b
14aMW-CH2Ph0.2578% a
24bMW-CH2COPh0.2576%
34cMW-(C5NF4)0.2590% a
44aConventional-CH2Ph0.549% a
54bConventional-CH2COPh0.550% a
64cConventional-(C5NF4)3 h58% a
(a) All reactions were at 80 °C in H2O. (b) Yields after recrystallization.
Disclaimer/Publisher’s Note: The statements, opinions and data contained in all publications are solely those of the individual author(s) and contributor(s) and not of MDPI and/or the editor(s). MDPI and/or the editor(s) disclaim responsibility for any injury to people or property resulting from any ideas, methods, instructions or products referred to in the content.

Share and Cite

MDPI and ACS Style

Mitchell, L.T.; Barnett, E.; Hexom, M.; Ruiz, A.; Schoffstall, A. Microwave-Assisted Synthesis of Symmetrical 1,4-Disubstituted Bis-1H-1,2,3-triazoles Using Copper N-Heterocyclic Carbene Catalysts. Catalysts 2024, 14, 702. https://doi.org/10.3390/catal14100702

AMA Style

Mitchell LT, Barnett E, Hexom M, Ruiz A, Schoffstall A. Microwave-Assisted Synthesis of Symmetrical 1,4-Disubstituted Bis-1H-1,2,3-triazoles Using Copper N-Heterocyclic Carbene Catalysts. Catalysts. 2024; 14(10):702. https://doi.org/10.3390/catal14100702

Chicago/Turabian Style

Mitchell, Loren Taylor, Erin Barnett, Max Hexom, Alexander Ruiz, and Allen Schoffstall. 2024. "Microwave-Assisted Synthesis of Symmetrical 1,4-Disubstituted Bis-1H-1,2,3-triazoles Using Copper N-Heterocyclic Carbene Catalysts" Catalysts 14, no. 10: 702. https://doi.org/10.3390/catal14100702

APA Style

Mitchell, L. T., Barnett, E., Hexom, M., Ruiz, A., & Schoffstall, A. (2024). Microwave-Assisted Synthesis of Symmetrical 1,4-Disubstituted Bis-1H-1,2,3-triazoles Using Copper N-Heterocyclic Carbene Catalysts. Catalysts, 14(10), 702. https://doi.org/10.3390/catal14100702

Note that from the first issue of 2016, this journal uses article numbers instead of page numbers. See further details here.

Article Metrics

Back to TopTop