Abstract
A series of Ni/Al2O3, Ni/K2O-Al2O3 and Ni/La2O3-K2O-Al2O3 catalysts that possess high activities for partial hydrogenation of adiponitrile to 6-aminocapronitrile has been successfully synthesized by the impregnation method. The catalytic performance was investigated under atmospheric pressure and in the absence of ammonia and a significant enhancement in the activity after the introduction of potassium oxide and lanthana was observed. Aiming to study the influence of K2O and La2O3 promoters on the physicochemical properties, we characterized the catalysts by N2 adsorption/desorption, XRD, H2-TPR, H2-chemisorption, H2-TPD and TEM techniques. A combination of XRD, TEM and H2-chemisorption showed that Ni0 particles with a higher dispersion are obtained after the addition of La2O3. Compared with the Ni/Al2O3 catalyst, the Ni/La2O3-K2O-Al2O3 catalyst with an appropriate amount of promoter enjoys a more catalyst surface alkalescence, enhances the electronic density of nickel and higher dispersion of nickel and exhibits higher activity and 6-aminocapronitrile selectivity than Ni/α-Al2O3 during the hydrogenation of adiponitrile in the absence of ammonia, i.e., K2O and La2O3 improved the performance of the nickel-based catalyst.
1. Introduction
Aminonitriles are a class of important chemicals that have a variety of industrial applications. For example, aminonitriles can be used as monomers for producing high molecular weight polyamides. In particular, 6-aminocapronitrile (ACN) is the key intermediate in a new route for synthesis of caprolactam (CPL) [1] for the fabrication of nylon-6 [2,3]. Given the continuing expansion of the polyamide market, the need for CPL is constantly growing.
Traditionally, CPL is mainly produced from cyclohexanone, a process that generates 4.5 kg of ammonium sulfate per kg of CPL produced. Alternatively, the route of hydrocyanation of butadiene is a novel salt-free process to obtain CPL at a lower cost than is needed for the current process, and it is comprised of three courses, i.e., hydrocyanation of butadiene to adiponitrile (ADN), partial hydrogenation of ADN to ACN and the hydrolysis cyclization of ACN to CPL. The key step of this new process is the partial hydrogenation of ADN to ACN, and the challenge is to stop the reaction halfway to avoid deep hydrogenation to 1,6-hexanediamine (HMDA). Compared with the current ketone-hydroxylamine processes, the novel route has some advantages, such as a lower cost, less environmental pollution and the absence of ammonium sulfate [4]. This minimizes waste, one of the criteria of green chemistry for the manufacturing and application of chemical products [5].
In industry, the hydrogenation of ADN is performed in a liquid phase at a high pressure, in which the Raney Ni is probably the most frequently used catalyst [6,7,8,9,10]. Raney Ni is very active, but it has a low mechanical resistance, is pyrophoric and is difficult to completely remove from the process fluid. Meanwhile, a large amount of ammonia or other alkaline hydrate is necessary to decrease side reactions leading to secondary and tertiary amines, presumably due to the presence of diamine intermediate. These condensation compounds can also remain on the metallic surface and block the catalytic active sites [11]. Therefore, a great number of attempts have been made to replace Raney Ni with catalysts with a cleaner preparation, which are more resistant and more selective supported [12,13,14,15,16,17,18,19], or unsupported [20,21,22,23] catalysts, over which the ADN hydrogenation could be performed under mild conditions [24]. Other precursors, such as hydrotalcites of Ni/Mg/Al, allow variation in the MgO/Al2O3 ratio and thus allow control of the acidity of the final catalysts [25]; when this ratio increases, the selectivity to primary amines increases for the hydrogenation of ADN. From these selected examples, it comes out that Ni-based materials are excellent candidates for preparing active and selective catalysts. Nevertheless, some questions still exist in the partial hydrogenation of ADN, such as difficulty in achieving high ACN selectivity and ADN conversion simultaneously and the catalyst being able to be deactivated easily; meanwhile, the regeneration of the catalyst after use has been seldom dealt with.
When the activity and selectivity of a reaction depends on the size of the metal particles, the reaction is called “structure sensitive” and in this case, the choice of proper preparation methods becomes of primary importance to obtain the best catalyst performance [26]. F. Medina et al. [21] think that the hydrogenation of adiponitrile gives selectively to the primary amines as a structure-sensitive reaction, and S. Alini et al. [19] also find that the Rh/Al2O3 catalyst, prepared with precipitation via urea decomposition and is reduced using the liquid phase route, gives a lower conversion and lower selectivity than the catalyst obtained by the ion exchange technique and is reduced in the same way in ADN hydrogenation. This would suggest a certain “structure sensitivity” of the reaction studied, and this idea was enforced by the fact that very low performance in this reaction was showed by an Rh/Al2O3 catalyst prepared by wet impregnation with a mean Rh crystallite size of 20 nm.
As we all know, lanthana usually acted as a textural promoter, which can improve the dispersion of Ni particle crystallites and further increase the hydrogen adsorption capacity of the catalysts [27]; on the other hand, it is reported that the addition of potassium oxide in small amounts could enhance ACN selectivity over nickel catalysts [13,15,21]. In this work, an attempt was made to prepare a novel nickel catalyst co-promoted with potassium oxide and lanthana for the partial hydrogenation ADN to ACN at atmospheric pressure and in the absence of ammonia, in order to find a catalyst with better catalytic performance for ADN hydrogenation, and furthermore, to validate the “structure sensitivity” of the partial hydrogenation of ADN to ACN.
2. Results and Discussion
2.1. Catalyst Characterization
2.1.1. Structural and Textural Properties
The effects of K2O and La2O3 on the textural characteristic of the Ni/α-Al2O3 sample were studied by the nitrogen adsorption/desorption technique. Figure 1 shows the N2 adsorption–desorption isotherms of NA, NKA and NKLA. All samples possessed type IV hysteresis loop isotherms, and the adsorbed quantity at p/p0 of 0.99 increased in the following sequence: NA, NKA and NKLA. A higher adsorbed quantity indicates larger pore volume.
Figure 1.
N2 adsorption–desorption isotherms of NA, NKA and NKLA.
The surface areas (SBET), pore volumes (Vp) and average pore sizes (Dp) of the catalysts are summarized in Table 1. Obviously, the NKLA sample possessed the highest specific surface area of 18.9 m2∙g−1 and the largest pore volume of 0.077cm3∙g−1. As a general tendency, the addition of the promoter apparently decreased the SBET value as well as the Vp, which suggested a negative effect of additive on the textural properties. Yet here, very interestingly, with the dope of K2O, the SBET values decreased and the Vp and Dp increased. While the addition of La2O3 significantly increased the SBET and Vp, the Dp had no nearly change, which might be associated with the positive effect of La on the dispersion of Ni. Yet, all the samples retained the mesopores in the 15.5 < Dp < 17.5 nm range.
Table 1.
Textural properties and H2-chemisorption data of NA, NKA and NKLA catalysts.
2.1.2. H2-TPR
Figure 2 shows H2-TPR profiles of all three samples and NiO as a reference. There were two peaks in all of the TPR curves. The reduction peak at around 523 K could be assigned to the reduction of the nickel oxide, and some authors thought that its occurrence or nonoccurrence did not affect the remainder of the TPR profile [28]. The main reduction peak at about 673 K should be attributed to bulk NiO. It is clear that the addition of the promoters increases the initial reduction temperature of the catalysts, suggesting that the interaction between them may elevate the activation energy of the nickel oxide reduction and inhibit its reduction. The hydrogen consumption peaks gradually widen in the following sequence: NA, NKA and NKLA, which indicates that the addition of promoters leads to a better dispersion of the nickel oxide particles, thus improving the reduction rate of the catalyst.
Figure 2.
TPR profiles of the three catalysts for NA, NKA and NKLA.
Otherwise, here we also found that the addition of La improved the terminal reduction temperature of the catalyst. This can perhaps be attributed to the presence of adsorbed H2O molecules or hydroxyl groups on the surface. Richardson and Twigg, in discussing the reduction behaviors of the impregnated La-promoted NiO/α-Al2O3 catalysts, also observed the retardation effect of the La2O3 additive [29].
2.1.3. XRD
Figure 3 shows the XRD patterns of the NA, NKA and NKLA samples before and after reduction. There were only α-alumina and nickel oxide detected in all of the unreduced catalysts (as shown in Figure 3a); that is, the addition of K2O and La2O3 did not affect the phases of NA. La containing phases, such as La2O3 (05-0602, JCPDS), LaAlO3 (85-1071, JCPDS) and LaAl12O19 (77-0335, JCPDS), were not detected, although its presence was reported by other authors [30]. This indicates that the La species dispersed very well and/or did not react with the support due to low temperature calcination. It is noteworthy that the intensity of NiO diffraction peaks decreased markedly due to La2O3, whereas it was not affected by K2O.

Figure 3.
XRD patterns of NA, NKA and NKLA: (a) before reduction; (b) after reduction.
Figure 3b presents the XRD diffraction patterns of NA, NKA and NKLA after reduction. Apart from α-Al2O3, only metal nickel was detected. Similar to the unreduced catalysts, the addition of La2O3 led to the decrease of metal nickel. According to the calculation of the main X-ray diffraction peak of NiO (200) by the Scherrer Equation, the Ni particle sizes were 28.0 nm, 28.3 nm and 16.0 nm in NA, NKA and NKLA catalysts, respectively.
2.1.4. FE-TEM
Figure 4 shows the TEM pictures of the catalysts reduced to 623 K for 2 h. It is obvious that the Ni particles were dispersed on α-Al2O3 particles in every catalyst. However, there was a remarkable difference in the nickel particles’ size and the distribution for NA, NKA and NKLA. Compared with NA and NKA, NKLA had a narrower nickel particle size distribution and much smaller nickel particles. Though nickel crystallite sizes observed from images are different from those calculated with the Scherrer formula to a certain extent, the effect of the promoters was similar; that is, La2O3 markedly improved the nickel dispersion, and K2O did not affect the nickel particles size.
Figure 4.
TEM pictures of (a-1,a-2) NA; (b-1,b-2) NKA; (c-1,c-2) NKLA reduced to 623 K for 2 h.
2.1.5. H2-Chemisorption and H2-TPD
Table 1 also lists the H2-chemisorption amounts of the reduced NA, NKA and NKLA catalysts. The H2 chemisorption amounts of NA, NKA and NKLA were 9.4, 12.9 and 53.4 μmol H2/g.cat, respectively. NKA had slightly higher H2 chemisorption amount than NA, while the H2 chemisorption amount of NKLA was about 5.7 times that of NA; that is, La2O3 greatly increased the H2 chemisorption amount of NA. The results were consistent with the nickel particle sizes on NA, NKA and NKLA catalysts as shown in XRD and TEM. Usually, the smaller the nickel particles, the larger the nickel surface area and the more H2 is chemisorbed.
After the H2-chemisorption measurement, the H2-TPD experiments were performed, and the H2-TPD profiles of the NA, NKA and NKLA catalysts are shown in Figure 5. For all samples, H2 desorption occurred below 573 K, which is generally attributed to hydrogen species adsorbed on the metal nickel particles [31,32,33,34,35]. No H2-desorption peaks appeared at higher temperature indicating that there was no spilt-over hydrogen species and/or the subsurface hydrogen species [36].
Figure 5.
H2-TPD profiles of (a) NA; (b) NKA; (c) NKLA catalyst.
In short, XRD and TEM results have shown that an apparent decrease in the Ni0 particle size as the La2O3 promoter was introduced, while the catalyst doped with only K nearly did not change, implying that the La2O3 strained the sintering of nickel during the reduction process. This also tested the fact that lanthanide is usually used as a structural promoter to increase the dispersion of metal (e.g., Ni), causing enhanced sintering resistance, leading to smaller nickel crystallites in Ni/Al2O3 catalysts [27]. Moreover, according to the H2-chemisorption experiments, perhaps the bigger H2 uptakes for the catalyst NKLA than NA and NKA catalysts should not be interpreted in terms of a partial improvement of the hydrogen adsorption capacity, but instead, in terms of change of the particle size. Although the metal dispersion and the surface structure of the metal particles may affect the catalyst performance [37], according to usual conditions, the smaller the nickel particles, the larger the nickel surface area and the more chemisorbed H2, which was consistent with the catalytic performance and the average size of nickel particles in the catalysts. All the data from different approaches for the determination of the average metal particles’ size made the agreement between the values obtained from H2-chemisorption and those provided by independent techniques (TEM or XRD).
2.2. Catalyst Performance
2.2.1. Effects of Promoters
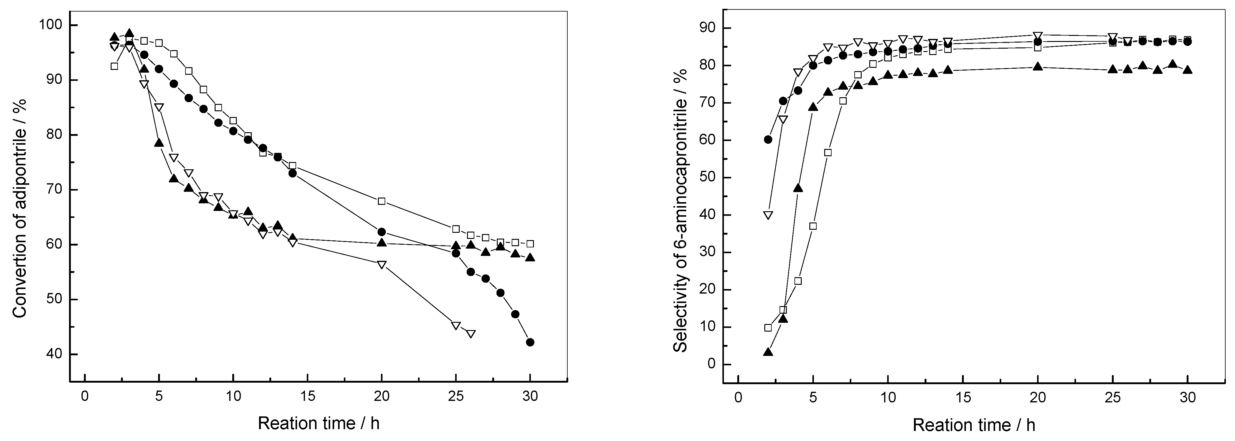
Figure 6 shows the hydrogenation performance of NA, NKA and NKLA catalysts. All of the catalysts had a high initial ADN conversion; however, they deactivated along with the reaction to different extents. The NA catalyst showed the most drastic decrease of ADN conversion from 99.9 to 52.3% during the first 6 h. Over NKA and NKLA, ADN conversion was similar and did not remarkably change during the first 7.0 h, and then it decreased gradually. However, a higher conversion loss was observed for NKA. For example, ADN conversion (86.1%) over NKA was 7% lower than that (93.1%) over NKLA at the tenth hour. ADN conversion decreased to about 40.2% at the thirtieth hour over NKA, while that over NKLA was 63.6% at the fortieth hour and fell to about 40.1% at the fiftieth hour.

Figure 6.
Reactivity of NA, NKA and NKLA catalysts in the hydrogenation of ADN. Symbols: ADN conversion (□), cracking products selectivity (×), ACH selectivity (▲), HMDA selectivity (▼), ACN selectivity (◆) and condensation products selectivity (○).
As shown in Figure 6, apart from the aim product ACN, the main by-products were hexamethylenediamine (HMDA) and azacycloheptane (ACH) during the partial hydrogenation of ADN. ACN selectivity increased with the reaction time over every catalyst until it reached a constant, which was much lower over the NA catalyst than that over the NKA and NKLA catalysts. Eventually, ACN selectivity was about 70% over the NA catalyst and it exceeded 80% over the NKA and NKLA catalysts, with a slightly higher ACN selectivity over NKLA than that of NKA. It was worth noticing that selectivity with respect to HMDA and ACH followed the opposite trend for ACN selectivity, respectively, indicating different structural requirements for the active sites responsible for the production of ACN with respect to those of HMDA and ACH. Besides, the initial ACH selectivity was much higher than the initial HMDA selectivity over NA, while the contrary case occurred over NKA and NKLA.
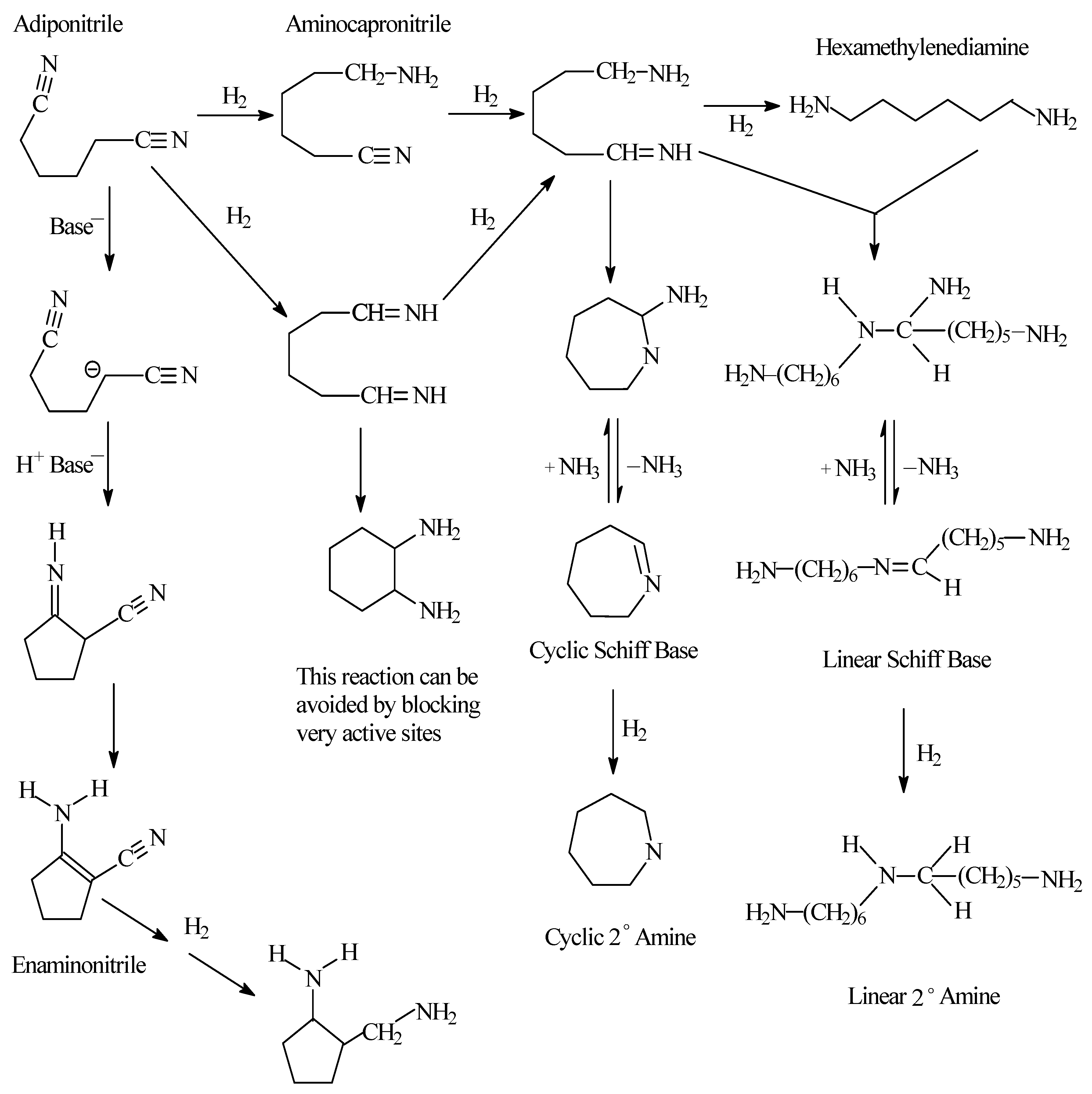
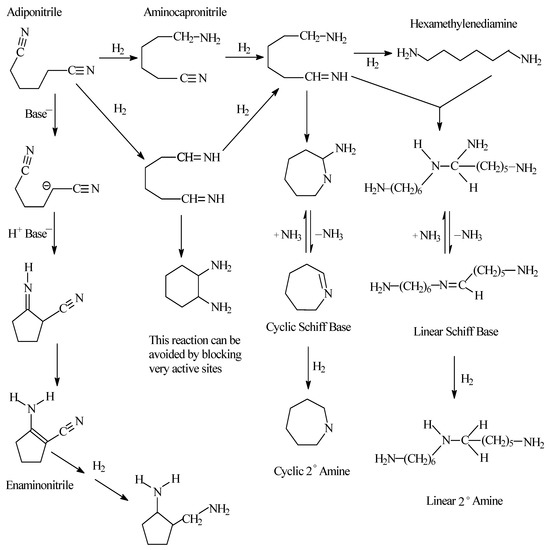
The hydrogenation of nitriles is a complex process, which consists of a complex set of reactions, such as the hydrogenations of nitriles to imines and amines, the condensations between imines and amines, and deaminations and cyclization, involving a number of reactive intermediates. Additionally, the presence of a second nitrile group can lead to intermolecular or intramolecular condensation reactions as well, thus giving rise to a wide product spectrum. Due to the ring structure of the imine–amine intramolecular condensation product, deamination and dehydrogenation reactions assume an important role in the determination of the final product. During the process of hydrogenation of ADN as shown in Figure 7 [38], ADN can be initially hydrogenated to ACN and then finally to HMDA. Over basic surface sites, ADN can form 2-methylamino-1-aminocyclopentane via Thorpe–Ziegler cyclization. Other unwanted reactions include the formation of 1,2-diaminocyclohexane (DCH) by a diamine intermediate as well as cyclic and linear Schiff bases [39]. DCH can be avoided by blocking the most active sites with NaOH [40] or deposited coke from the reaction [41], and the Schiff base formation is inhibited by the presence of ammonia or group IA hydroxides [42,43]. Of course, the addition of alkali metal may play a negative effect on the hydrogenation reaction to a certain extent. Moreover, several reasons can be given for the negative effect of basic additives. The presence of alkali could depress the (acid catalyzed) elimination of ammonia from intermediate and, therefore, lead to the accumulation of reactive intermediates and to uncontrolled condensation reactions. Alternatively, the residence time of basic compounds on the catalytic surface could be negatively affected by the basicity of the catalyst. The lower residence time on the metal surface decreases the chance of the hydrogenation, dehydrogenation and deamination of reactive intermediates, which, on leaving the catalytic surface, may undergo condensations in the vapor phase. A third reason might be that base-catalyzed reactions (e.g., Thorpe and Thorpe–Ziegler reactions), which probably take place on the support, are favored by the presence of strong basic centers. This enhanced formation of C-C by-products, which contain amino groups and are partly unsaturated, decreases the selectivity to desired products and simultaneously increases the amount of potentially strongly adsorbing compounds.
Figure 7.
The possible hydrogenation of ADN.
Figure 6 indicates that K2O improved not only catalyst stability but also ACN selectivity, while La2O3 mainly improved catalyst stability. Several reasons can be given for the positive effect of K2O. K2O could increase the basic property of the catalyst surface [21], which favored the desorption of the hydrogenation products that were of basic substance and tended to avoid the deactivation of the catalyst. Thus, the longer residence time of the imines would favor hydrogenation reactions, producing lighter by-products as well as some higher molecular side reactions such as imines trimerization, yielding heavy compounds which stay on the metallic surface and block catalytically active sites. In addition, taking into account the electronic effect, K donated an electron to Ni and made the Ni atom electron-enriched [13]. The Ni-rich electrons were in favor of the dissolved adsorption of H2. Moreover, there is the competitive adsorption between H2 and ADN on the Ni active phase, while the Ni-rich electrons could weaken the adsorption of ADN due to the repulsion of the C≡N band with lone pair electrons, which was also a benefit of the adsorption of H2. According to the Braun mechanism [44], the Ni-rich electrons could also inhibit the condensation reactions and thus serve to prevent or delay the rapid deactivation of the catalyst. In short, the addition of K2O favored the hydrogenation of ADN and desorption of ACN, inhibiting the further conversion of ACN and avoiding other side reactions. Thus, the ACN selectivity and the catalyst stability were increased.
As shown in the TEM images (Figure 4), there was not a remarkable difference in the size of nickel particles between NA and NKA, while the nickel particles over NKLA were smaller than that over NA and NKA, indicating that La2O3 improved the nickel dispersion. As a result, the amount of H2-chemisorption was larger for NKLA, and it was 9.4, 12.9 and 53.4 umol/g.cat for NA, NKA and NKLA, respectively. Moreover, the La2O3 was a weak basic substance, which was also a benefit of improving the reactivity of the catalyst. Due to the above reasons, when Ni/α-Al2O3 was co-promoted with La2O3 and K2O, its performance for the partial hydrogenation of ADN increased remarkably. In short, with our catalyst with a high metal dispersion, it was possible to achieve good ADN conversion and high ACN selectivity.
2.2.2. Catalyst Deactivation and Regeneration
The hydrogenation of ADN is a complex reaction system, and the catalyst used in this system tends to be deactivated. While so far, the deactivation phenomenon and reactivation information are not easily available in the open literature, here, we made a primary investigation of the deactivation of the NKLA catalyst in the hydrogenation of ADN and studied the regeneration method of the deactivated catalyst.
Figure 8 depicts the TG curve of the used NKLA catalyst. In the TG profile, there were mainly three weight-change stages: a 5.8 wt.% mass-loss stage (from room temperature to 650 K) was owed to the desorption of the free solvent and the oxidation of some organic compounds; a 0.2 wt.% mass-increase stage (from 650 K to 705 K) was attributed to the oxidation of metallic nickel; and the third stage (about 1.2 wt.% mass loss, above 705 K) was due to the oxidation of the organic species on the catalyst. Because the oxidation of the metallic nickel and some of the organic species occurred in the similar temperature range, the mass-increase stage due to the oxidation of metallic nickel in the used one could be masked by the mass-loss stage of the oxidation of the organic species.
Figure 8.
TG curves of the deactivated NKLA catalyst.
Aside, Table 2 lists the ESEM-EDX analysis results of the fresh catalyst and the used one, which showed that there was an increase in C and N on the deactivated sample compared to the fresh one.
Table 2.
The EDX data of the fresh NKLA catalyst and the deactivated one.
EDX results were consistent with the conclusions drawn from the literature. For example, Alan M. Allgeier et al. [45] pointed out that Raney Ni deactivated during ADN hydrogenation reactions in the absence of the base as a result of the deposition of polyamines, which physically blocked the surface. BASF corporation [5] also claimed that low polyamines were the main reason for the deactivation of the Ni-based catalyst in the hydrogenation of ADN, but it did not provide vigorous evidence for this. Otherwise, some authors also found in the hydrogenation of acetonitrile that the formation of surface nickel carbides was the major cause of the loss of activity with time on stream. The presence of partly dehydrogenated species was a second factor causing the loss of activity. The resulting species were strongly adsorbed on the nickel surface and blocked some of the active sites for hydrogenation [46].
For an industrial catalyst, one of the key factors is the regeneration of the deactivated catalyst. S. Alini et al. [19] found that the slight decrease in and conversion can be recovered by treating the catalysts after their use with ethanol and H2 in the gaseous phase, but the ACN selectivity is only partially recovered. Lei Ye et al. [47] also pointed out in the hydrogenation of acetonitrile that the treatment of the deactivated catalyst with hydrogen at an elevated temperature (>200 °C) restored both the catalytic activity and the selectivity of the catalyst.
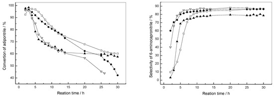
Additionally, the performance of the renewed NKLA catalyst after some reuses of the same batch of NKLA is reported in Figure 9. The slight decrease in ADN conversion can be recovered by treating the catalyst after their use with gaseous H2 in situ, though after use, the catalyst deactivated more rapidly. Yet, after reduction with gaseous H2, the initial ACN selectivity is partially improved and the final of that reaches about the same value. Figure 9 showed only the hydrogenation results of the fifth run after reduction with H2 in situ. Aside from this, when the deactivated catalyst was washed only with absolute ethanol, the initial activity decreased and finally achieved the same or a higher value with the time, while the ACN selectivity decreased in the end. Thirdly, the ADN conversion and the ACN selectivity both decreased when the deactivated catalyst was calcined and reduced in the H2 atmosphere again. The deactivation cause and regeneration research will be in further studies, and the next paper will describe the phenomenon in detail.
Figure 9.
Catalytic performance of NKLA catalyst for the fresh catalyst (□) and the fifth run on the same batch (●) and the deactivated ones washed only with absolute ethanol (▲) and calcined and reduced in H2 again (▽).
3. Experimental Work
3.1. Catalyst Preparation
The α-Al2O3-supported catalysts were prepared by the impregnation method. The porous α-Al2O3 was incipiently impregnated with an aqueous solution of Ni (NO3)2 or an aqueous solution of Ni (NO3)2 and the additive nitrate, and left at room temperature for 24 h. The sample was then dried at 393 K for 12 h and calcined in air at 623 K for 4 h. Since the target Ni loading was about 25 wt.% and a single impregnation gave about 15–18 wt.% loading, two separate impregnation steps were necessary. NiO/α-Al2O3 catalysts un-promoted or promoted with K2O or K2O and La2O3 were labeled as NA, NKA and NKLA, respectively. Based on α-Al2O3, the mass contents of Ni, K and La were set at 25, 0.1 and 3%, respectively.
3.2. Catalyst Characterization
N2 adsorption and desorption isotherms of the samples were measured on a Micromeritics ASAP 2020 automated physisorption instrument (Micromeritics, Norcross, GA, USA) at 77 K. Prior to the measurement, the samples were degassed in a vacuum at 573 K for 2 h. The specific surface area was determined by the Brunauer–Emmett–Teller (BET) method. The pore volume and pore size were determined from the desorption branch of the N2 adsorption isotherm.
X-ray powder diffraction (XRD) patterns of the samples were measured on a PANalytical’s X’Pert PRO powder X-ray diffractometer (Malvern PANalytical Ltd., Almelo, The Netherlands) with CoKα radiation. The average nickel crystallite size was estimated from XRD line-broadening by employing the Scherrer equation, d = (0.9 λ)/(β cosθ), where d is the crystallite size, λ is the wavelength of the radiation, β is the full width at half maximum of the peak and θ is the Bragg angle.
Temperature programmed reduction (TPR) was carried out in a tubular quartz reactor, where 100 mg catalyst was loaded in the thermostatic zone. The reduction was conducted in a flow of a H2-N2 mixture (volume ratio, 10:90) at a heating rate of 15 K/min. The consumption of hydrogen was detected using a thermal conductivity detector (TCD).
The nickel crystallites over the reduced catalysts were observed on a Field Emission Gun Transmission Electron Microscope (FETEM, PHILIPS Tecnai G2 F20, FEI, Oregon, USA).
Hydrogen chemisorption was performed on a Thermo Finnegan TPD/R/O 1100 instrument (Waltham, MA, USA). After reduction at 623 K for 2 h, the hydrogen on the nickel surface was removed with 20 mL/min of He (99.999%) for 30 min. The sample was cooled to 298 K under a He stream, and the He stream was then switched to N2 (99.999%). After the TCD was stable under the N2 flow, H2 pulses (100 μL/pulse) were injected until the effluent area of consecutive pulses was constant. The dispersion of Ni was calculated assuming a stoichiometry of one hydrogen molecule adsorbed on per two surface nickel atoms [46], and it was given by D = Nis/Nit = H/Ni. The metal surface area (Sm, m2.g−1), dispersion (D, %) and metal particle size (d, nm) were determined from the H2 chemisorption amount. H2-temperature programmed desorption (H2-TPD) was performed on the basis of H2-chemisorption, and it was performed in a N2 flow of 50 mL/min and conducted between 303 and 1023 K with a heating rate of 10 K/min. The evolved H2 was detected by an on-line thermal conductivity detector.
3.3. Activity Test
The activity test was carried out in a tubular stainless steel fixed-bed reactor (12 mm ID) in a continuous process under atmospheric pressure, 453 K, and in the absence of ammonia conditions. Before reaction, the catalyst (4.0 g) was reduced by hydrogen (6 l/h) at 623 K for 4 h, and when the temperature decreased to the designated value, the ADN solution in EtOH (volume ratio of ADN to EtOH as 0.25, 5 mL/h) and hydrogen (6.5 l/h) was fed into the reactor. The qualitative analysis of the product samples was carried out on a GC6890-MS5973 (Agilent, Santa Clara, CA, USA) and the quantitative analysis on a gas chromatograph equipped with a flame ionization detector (FID) and a SE-54 capillary column (30 m).
4. Conclusions
Two promoters of K2O and La2O3 were doped into the Ni/α-Al2O3 catalyst prepared with the impregnation method. By reducing the precursor in an H2 atmosphere, it is possible to obtain a catalyst with a very high metal dispersion and small Ni crystallites. In the hydrogenation of adiponitrile, the Ni-based catalyst doped with K2O or K2O and La2O3 showed a better performance to produce ACN than the Ni/α-Al2O3 catalyst, i.e., K2O not only improved the stability of the catalysts but also improved ACN selectivity, while La2O3 mainly improved the catalysts’ stability. On the one hand, K2O could increase the basic property of the catalyst surface; on the other hand, K donated an electron to Ni and made the Ni atom electron-enriched, all of which favored the desorption of ACN and inhibited the further conversion of ACN. XRD, TEM and H2-chemisorption results indicated that La2O3 improved the nickel dispersity and the amount of hydrogen chemisorption. Due to the above reasons, when Ni/α-Al2O3 was co-promoted with La2O3 and K2O, its performance for the partial hydrogenation of ADN increased remarkably.
The activity of the deactivated Ni-based catalyst in the hydrogenation of adiponitrile could be recovered by reducing in the H2 gas phase and by washing with absolute ethanol, although the regenerated catalyst may be deactivated more rapidly. The deposition of the compound including C and N is perhaps the main reason for the deactivation, and further and in-depth investigations are ongoing.
Author Contributions
Writing—review and editing, L.Z. and C.W.; visualization, J.Z.; supervision, J.C.; project administration, Z.N.; funding acquisition, X.L. All authors have read and agreed to the published version of the manuscript.
Funding
This research was funded by the National Natural Science Foundation Project of China (grant number 52066017) and the Key R&D and Transformation Plan of Qinghai Province (grant number 2022-GX-C13).
Data Availability Statement
The data presented in this study is included in the article.
Conflicts of Interest
The authors declare no conflict of interest.
References
- Nwosu, U.; Wang, A.; Palma, B.; Zhao, H.; Khan, M.A.; Kibria, M.; Hu, J. Selective biomass photo reforming for valuable chemicals and fuels: A critical review. Renew. Sustain. Energy Rev. 2021, 148, 111266. [Google Scholar] [CrossRef]
- Davis, K.A.; Yoo, S.; Shuler, E.W.; Sherman, B.D.; Lee, S.; Leem, G. Photocatalytic hydrogen evolution from biomass conversion. Nano Converg. 2021, 8, 256. [Google Scholar] [CrossRef] [PubMed]
- Ibrahim, N.; Kamarudin, S.K.; Minggu, L.J. Biofuel from biomass via photo-electrochemical reactions: An overview. J. Power Sources 2014, 259, 33–42. [Google Scholar] [CrossRef]
- Ruppert, A.M.; Weinberg, K.; Palkovits, R. Hydrogenolysis Goes Bio: From Carbohydrates and Sugar Alcohols to Platform Chemicals. Angew. Chem. Int. Ed. 2012, 51, 2564–2601. [Google Scholar] [CrossRef]
- Yu, Z.; Lu, X.; Wang, X.; Xiong, J.; Li, X.; Zhang, R.; Ji, N. Metal-Catalyzed Hydrogenation of Biomass-Derived Furfural: Particle Size Effects and Regulation Strategies. Chemsuschem 2020, 13, 5185–5198. [Google Scholar] [CrossRef]
- Hu, L.; He, A.; Liu, X.; Xia, J.; Xu, J.; Zhou, S.; Xu, J. Biocatalytic Transformation of 5-Hydroxymethylfurfural into High-Value Derivatives: Recent Advances and Future Aspects. ACS Sustain. Chem. Eng. 2018, 6, 15915–15935. [Google Scholar] [CrossRef]
- Wang, H.; Zhu, C.; Li, D.; Liu, Q.; Tan, J.; Wang, C.; Cai, C.; Ma, L. Recent advances in catalytic conversion of biomass to 5-hydroxymethylfurfural and 2, 5-dimethylfuran. Renew. Sustain. Energy Rev. 2019, 103, 227–247. [Google Scholar] [CrossRef]
- Hu, L.; Xu, J.; Zhou, S.; He, A.; Tang, X.; Lin, L.; Xu, J.; Zhao, Y. Catalytic Advances in the Production and Application of Biomass-Derived 2,5-Dihydroxymethylfuran. ACS Catal. 2018, 8, 2959–2980. [Google Scholar] [CrossRef]
- Li, C.; Na, Y. Recent Advances in Photocatalytic Oxidation of 5-Hydroxymethylfurfural. ChemPhotoChem 2021, 5, 502–511. [Google Scholar] [CrossRef]
- Wu, X.; Xie, S.; Zhang, H.; Zhang, Q.; Sels, B.F.; Wang, Y. Metal Sulfide Photocatalysts for Lignocellulose Valorization. Adv. Mater. 2021, 33, 2007129. [Google Scholar] [CrossRef]
- Wu, X.; Luo, N.; Xie, S.; Zhang, H.; Zhang, Q.; Wang, F.; Wang, Y. Photocatalytic transformations of lignocellulosic biomass into chemicals. Chem. Soc. Rev. 2020, 49, 6198–6223. [Google Scholar] [CrossRef] [PubMed]
- Marzo, L.; Pagire, S.K.; Reiser, O.; König, B. Photokatalyse mit sichtbarem Licht: Welche Bedeutung hat sie für die organische Synthese? Angew. Chem. Int. Ed. 2018, 130, 10188–10228. [Google Scholar] [CrossRef]
- Nie, J.; Xie, J.; Liu, H. Efficient aerobic oxidation of 5-hydroxymethylfurfural to 2,5-diformylfuran on supported Ru catalysts. J. Catal. 2013, 301, 83–91. [Google Scholar] [CrossRef]
- Han, G.; Jin, Y.; Burgess, R.A.; Dickenson, N.E.; Cao, X.; Sun, Y. Visible-Light-Driven Valorization of Biomass Intermediates Integrated with H2 Production Catalyzed by Ultrathin Ni/CdS Nanosheets. J. Am. Chem. Soc. 2017, 139, 15584–15587. [Google Scholar] [CrossRef]
- Zhang, M.; Yu, Z.; Xiong, J.; Zhang, R.; Liu, X.; Lu, X. One-step hydrothermal synthesis of CdxInyS(x+1.5y) for photocatalytic oxidation of biomass-derived 5-hydroxymethylfurfural to 2,5-diformylfuran under ambient conditions. Appl. Catal. B 2022, 300, 120738. [Google Scholar] [CrossRef]
- Bao, X.; Liu, M.; Wang, Z.; Dai, D.; Wang, P.; Cheng, H.; Liu, Y.; Zheng, Z.; Dai, Y.; Huang, B. Photocatalytic Selective Oxidation of HMF Coupled with H2 Evolution on Flexible Ultrathin g-C3 N4 Nanosheets with Enhanced N-H Interaction. ACS Catal. 2022, 12, 1919–1929. [Google Scholar] [CrossRef]
- Tan, Y.; Chai, Z.; Wang, B.; Tian, S.; Deng, X.; Bai, Z.; Chen, L.; Shen, S.; Guo, J.; Cai, M.; et al. Boosted Photocatalytic Oxidation of Toluene into Benzaldehyde on CdIn2S4-CdS: Synergetic Effect of Compact Heterojunction and S-Vacancy. ACS Catal. 2021, 11, 2492–2503. [Google Scholar] [CrossRef]
- Liu, M.; Chen, Y.; Su, J.; Shi, J.; Wang, X.; Guo, L. Photocatalytic hydrogen production using twinned nanocrystals and an unanchored NiSx co-catalyst. Nat. Energy 2016, 1, 16151. [Google Scholar] [CrossRef]
- Kar, P.; Farsinezhad, S.; Mahdi, N.; Zhang, Y.; Obuekwe, U.; Sharma, H.; Shen, J.; Semagina, N.; Shankar, K. Enhanced CH4 yield by photocatalytic CO2 reduction using TiO2 nanotube arrays grafted with Au, Ru, and ZnPd nanoparticles. Nano Res. 2016, 9, 3478–3493. [Google Scholar] [CrossRef]
- Lang, Q.; Yang, Y.; Zhu, Y.; Hu, W.; Jiang, W.; Zhong, S.; Gong, P.; Teng, B.; Zhao, L.; Bai, S. High-index facet engineering of PtCu cocatalysts for superior photocatalytic reduction of CO2 to CH4. J. Mater. Chem. 2017, A5, 6686–6694. [Google Scholar] [CrossRef]
- Zeng, Z.; Yan, Y.; Chen, J.; Zan, P.; Tian, Q.; Chen, P. Boosting the Photocatalytic Ability of Cu2 O Nanowires for CO2 Conversion by MXene Quantum Dots. Adv. Funct. Mater. 2019, 29, 1806500. [Google Scholar] [CrossRef]
- Xiao, R.; Zhao, C.; Zou, Z.; Chen, Z.; Tian, L.; Xu, H.; Tang, H.; Liu, Q.; Lin, Z.; Yang, X. In situ fabrication of 1D CdS nanorod/2D Ti3C2 MXene nanosheet Schottky heterojunction toward enhanced photocatalytic hydrogen evolution. Appl. Catal. B 2020, 268, 118382. [Google Scholar] [CrossRef]
- Li, J.; Li, Y.; Zhang, F.; Tang, Z.; Xu, Y. Visible-light-driven integrated organic synthesis and hydrogen evolution over 1D/2D CdS-Ti3C2Tx MXene composites. Appl. Catal. B 2020, 269, 118783. [Google Scholar] [CrossRef]
- Yang, C.; Tan, Q.; Li, Q.; Zhou, J.; Fan, J.; Li, B.; Sun, J.; Lv, K. 2D/2D Ti3C2 MXene/g-C3N4 nanosheets heterojunction for high efficient CO2 reduction photocatalyst: Dual effects of urea. Appl. Catal. B 2020, 268, 118738. [Google Scholar] [CrossRef]
- Xu, Y.; Yang, M.; Chen, B.; Wang, X.; Chen, H.; Kuang, D.; Su, C. A CsPbBr3 Perovskite Quantum Dot/Graphene Oxide Composite for Photocatalytic CO2 Reduction. J. Am. Chem. Soc. 2017, 139, 5660–5663. [Google Scholar] [CrossRef] [PubMed]
- Zuo, G.; Wang, Y.; Teo, W.L.; Xie, A.; Guo, Y.; Dai, Y.; Zhou, W.; Jana, D.; Xian, Q.; Dong, W.; et al. Ultrathin ZnIn2S4 Nanosheets Anchored on Ti3C2TX MXene for Photocatalytic H2 Evolution. Angew. Chem. Int. Ed. 2020, 59, 11287–11292. [Google Scholar] [CrossRef] [PubMed]
- Cao, S.; Shen, B.; Tong, T.; Fu, J.; Yu, J. 2D/2D Heterojunction of Ultrathin MXene/Bi2 WO6 Nanosheets for Improved Photocatalytic CO2 Reduction. Adv. Funct. Mater. 2018, 28, 1800136. [Google Scholar] [CrossRef]
- Chen, P.; Liu, F.; Ding, H.; Chen, S.; Chen, L.; Li, Y.; Au, C.; Yin, S. Porous double-shell CdS@C3N4 octahedron derived by in situ supramolecular self-assembly for enhanced photocatalytic activity. Appl. Catal. B 2019, 252, 33–40. [Google Scholar] [CrossRef]
- Liu, F.; Xiao, C.; Meng, L.; Chen, L.; Zhang, Q.; Liu, J.; Shen, S.; Guo, J.; Au, C.; Yin, S. Facile Fabrication of Octahedral CdS-ZnS by Cation Exchange for Photocatalytic Toluene Selective Oxidation. ACS Sustain. Chem. Eng. 2020, 8, 1302–1310. [Google Scholar] [CrossRef]
- Wang, S.; Guan, B.Y.; Lu, Y.; Lou, X.W.D. Formation of Hierarchical In2S3-CdIn2S4 Heterostructured Nanotubes for Efficient and Stable Visible Light CO2 Reduction. J. Am. Chem. Soc. 2017, 139, 17305–17308. [Google Scholar] [CrossRef]
- Pan, A.; Ma, X.; Huang, S.; Wu, Y.; Jia, M.; Shi, Y.; Liu, Y.; Wangyang, P.; He, L.; Liu, Y. CsPbBr3 Perovskite Nanocrystal Grown on MXene Nanosheets for Enhanced Photoelectric Detection and Photocatalytic CO2 Reduction. J. Phys. Chem. Lett. 2019, 10, 6590–6597. [Google Scholar] [CrossRef] [PubMed]
- Bharti, B.; Kumar, S.; Lee, H.; Kumar, R. Formation of oxygen vacancies and Ti3+ state in TiO2 thin film and enhanced optical properties by air plasma treatment. Sci. Rep. 2016, 6, 32355. [Google Scholar] [CrossRef]
- Shao, Y.; Gao, W.; Yan, H.; Li, R.; Abdelwahab, I.; Chi, X.; Rogée, L.; Zhuang, L.; Fu, W.; Lau, S.P.; et al. Unlocking surface octahedral tilt in two-dimensional Ruddlesden-Popper perovskites. Nat. Commun. 2022, 13, 27747. [Google Scholar] [CrossRef] [PubMed]
- Regulacio, M.D.; Han, M. Multinary I-III-VI2 and I2-II-IV-VI4 Semiconductor Nanostructures for Photocatalytic Applications. Acc. Chem. Res. 2016, 49, 511–519. [Google Scholar] [CrossRef]
- Zhang, Z.; Yates, J.T. Band Bending in Semiconductors: Chemical and Physical Consequences at Surfaces and Interfaces. Chem. Rev. 2012, 112, 5520–5551. [Google Scholar] [CrossRef] [PubMed]
- Wang, L.; Zhao, X.; Lv, D.; Liu, C.; Lai, W.; Sun, C.; Su, Z.; Xu, X.; Hao, W.; Dou, S.X.; et al. Promoted Photocharge Separation in 2D Lateral Epitaxial Heterostructure for Visible-Light-Driven CO2 Photoreduction. Adv. Mater. 2020, 32, 2004311. [Google Scholar] [CrossRef]
- Huang, H.; Li, X.; Wang, J.; Dong, F.; Chu, P.K.; Zhang, T.; Zhang, Y. Anionic Group Self-Doping as a Promising Strategy: Band-Gap Engineering and Multi-Functional Applications of High-Performance CO32−-Doped Bi2O2CO3. ACS Catal. 2015, 5, 4094–4103. [Google Scholar] [CrossRef]
- Huang, H.; Tu, S.; Zeng, C.; Zhang, T.; Reshak, A.H.; Zhang, Y. Macroscopic Polarization Enhancement Promoting Photo-and Piezoelectric-Induced Charge Separation and Molecular Oxygen Activation. Angew. Chem. Int. Ed. 2017, 56, 11860–11864. [Google Scholar] [CrossRef]
- Li, Y.; Ouyang, S.; Xu, H.; Wang, X.; Bi, Y.; Zhang, Y.; Ye, J. Constructing Solid–Gas-Interfacial Fenton Reaction over Alkalinized-C3N4 Photocatalyst to Achieve Apparent Quantum Yield of 49% at 420 nm. J. Am. Chem. Soc. 2016, 138, 13289–13297. [Google Scholar] [CrossRef]
- Zhang, H.; Wu, Q.; Guo, C.; Wu, Y.; Wu, T. Photocatalytic Selective Oxidation of 5-Hydroxymethylfurfural to 2,5-Diformylfuran over Nb2O5 under Visible Light. ACS Sustain. Chem. Eng. 2017, 5, 3517–3523. [Google Scholar] [CrossRef]
- Krivtsov, I.; García-López, E.I.; Marcì, G.; Palmisano, L.; Amghouz, Z.; García, J.R.; Ordóñez, S.; Díaz, E. Selective photocatalytic oxidation of 5-hydroxymethyl-2-furfural to 2,5-furandicarboxyaldehyde in aqueous suspension of g-C3N4. Appl. Catal. B 2017, 204, 430–439. [Google Scholar] [CrossRef]
- Su, F.; Mathew, S.C.; Lipner, G.; Fu, X.; Antonietti, M.; Blechert, S.; Wang, X. mpg-C3N4-Catalyzed Selective Oxidation of Alcohols Using O2 and Visible Light. J. Am. Chem. Soc. 2010, 132, 16299–16301. [Google Scholar] [CrossRef] [PubMed]
- Duan, Y.; Wang, R.; Liu, Q.; Qin, X.; Li, Z. Tungsten Promoted Ni/Al2O3 as a Noble-Metal-Free Catalyst for the Conversion of 5-Hydroxymethylfurfural to 1-Hydroxy-2,5-Hexanedione. Front Chem. 2022, 10, 857199. [Google Scholar] [CrossRef] [PubMed]
- Braun, J.V.; Blessing, G.; Zobel, F. Katalytische Hydrierungen unter Druck bei Gegenwart von Nickelsalzen, VI.: Nitrile. Chem. Ges. 1923, 56, 1988–2001. [Google Scholar] [CrossRef]
- Huang, L.; Li, D.; Liu, J.; Yang, L.; Dai, C.; Ren, N.; Feng, Y. Enhanced mass transfer and service time of mesh Ti/Sb-SnO(2) electrode for electro-catalytic oxidation of phenol. Environ. Sci. Pollut. Res. Int. 2020, 27, 42072–42081. [Google Scholar] [CrossRef] [PubMed]
- Cao, X.; Chen, Z.; Lin, R.; Cheong, W.; Liu, S.; Zhang, J.; Peng, Q.; Chen, C.; Han, T.; Tong, X.; et al. A photochromic composite with enhanced carrier separation for the photocatalytic activation of benzylic C-H bonds in toluene. Nat. Catal. 2018, 1, 704–710. [Google Scholar] [CrossRef]
- Ye, L.; Han, Y.; Xi, J.; Wang, X.; Lu, X. Differences of Short Straight-Chain Monoalcohols in the Value-Added Conversion of Furfural Catalyzed by Zr3Al1-MMO: Effect of Hydroxyl Position and Carbochain Length. ACS Sustain. Chem. Eng. 2021, 9, 13312–13323. [Google Scholar] [CrossRef]
Disclaimer/Publisher’s Note: The statements, opinions and data contained in all publications are solely those of the individual author(s) and contributor(s) and not of MDPI and/or the editor(s). MDPI and/or the editor(s) disclaim responsibility for any injury to people or property resulting from any ideas, methods, instructions or products referred to in the content. |
© 2023 by the authors. Licensee MDPI, Basel, Switzerland. This article is an open access article distributed under the terms and conditions of the Creative Commons Attribution (CC BY) license (https://creativecommons.org/licenses/by/4.0/).










