Ultrasound-Assisted 1,3-Dipolar Cycloadditions Reaction Utilizing Ni-Mg-Fe LDH: A Green and Sustainable Perspective
Abstract
1. Introduction
2. Results and Discussion
2.1. Catalyst Characterization
2.2. Thermal Gravimetric Analysis (TGA)
2.3. X-ray Diffraction (XRD)
2.4. Fourier Transform Infrared Spectroscopy (FTIR)
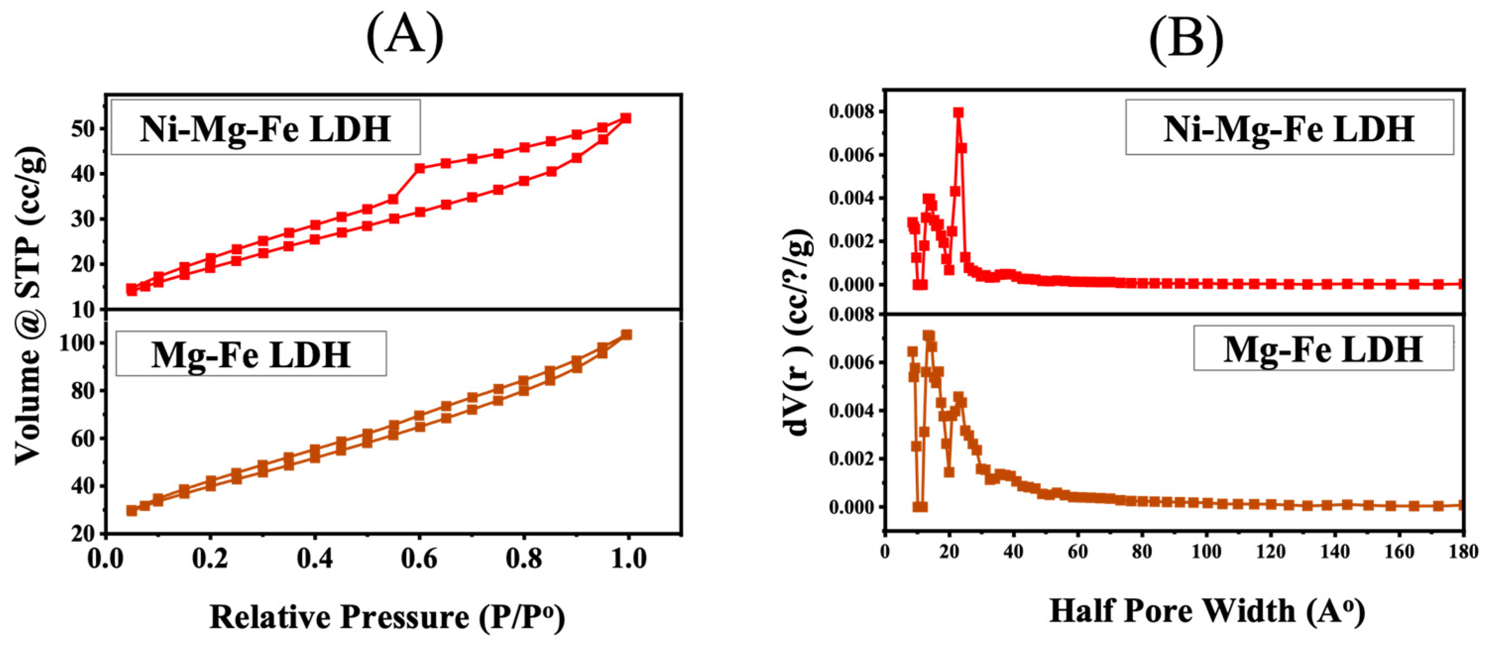
2.5. N2 Physisorption Measurement
2.6. Temperature-Programmed Desorption (TPD-CO2)
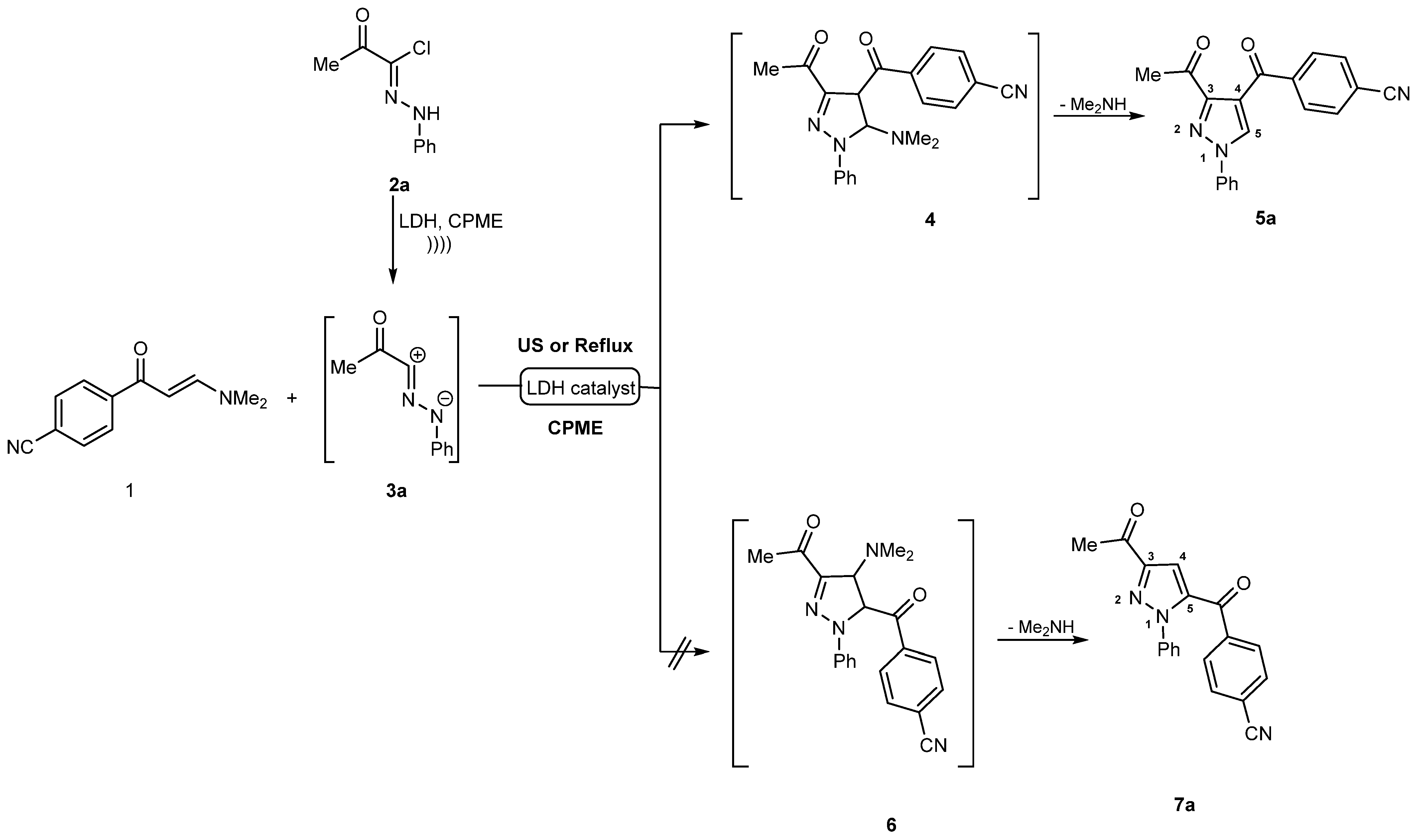
2.7. Catalytic Activity Study
3. Conclusions
4. Experimental
4.1. General
4.1.1. Materials for Catalyst Synthesis
4.1.2. Catalyst Characterization Techniques
Thermogravimetric Analysis (TGA)
X-ray Diffraction (XRD)
Fourier Transform Infrared Spectroscopy (FTIR)
Temperature-Programmed Desorption (TPD-CO2)
Nitrogen Adsorption/Desorption (N2 Physisorption)
4.1.3. Catalytic Organic Reaction
4.2. General Procedures for the Synthesized Pyrazoles 5a–d Derivatives
4.2.1. Method A (under Ultrasonic Irradiations (US))
4.2.2. Method B (Silent Reaction—Without Ultrasonic Irradiation)
4.2.3. 4-(3-Acetyl-1-phenyl-1H-pyrazole-4-carbonyl)benzonitrile (5a)
4.2.4. 4-(3-Acetyl-1-(p-tolyl)-1H-pyrazole-4-carbonyl)benzonitrile (5b)
4.2.5. Ethyl 4-(4-Cyanobenzoyl)-1-phenyl-1H-pyrazole-3-carboxylate (5c)
4.2.6. Ethyl 4-(4-Cyanobenzoyl)-1-(p-tolyl)-1H-pyrazole-3-carboxylate (5d)
Supplementary Materials
Author Contributions
Funding
Data Availability Statement
Acknowledgments
Conflicts of Interest
References
- Fustero, S.; Sanchez-Rosello, M.; Barrio, P.; Simon-Fuentes, A. From 2000 to mid-2010: A fruitful decade for the synthesis of pyrazoles. Chem. Rev. 2011, 111, 6984–7034. [Google Scholar] [CrossRef] [PubMed]
- Liu, X.-H.; Cui, P.; Song, B.-A.; Bhadury, P.S.; Zhu, H.-L.; Wang, S.F. Synthesis, structure and antibacterial activity of novel 1-(5-substituted-3-substituted-4, 5-dihydropyrazol-1-yl) ethanone oxime ester derivatives. Bioorganic Med. Chem. 2008, 16, 4075–4082. [Google Scholar] [CrossRef] [PubMed]
- Foks, H.; Pancechowska-Ksepko, D.; Kędzia, A.; Zwolska, Z.; Janowiec, M.; Augustynowicz-Kopeć, E. Synthesis and antibacterial activity of 1H-pyrazolo [3, 4-b] pyrazine and-pyridine derivatives. Farmaco 2005, 60, 513–517. [Google Scholar] [CrossRef]
- Gilbert, A.M.; Failli, A.; Shumsky, J.; Yang, Y.; Severin, A.; Singh, G.; Hu, W.; Keeney, D.; Petersen, P.J.; Katz, A.H. Pyrazolidine-3, 5-diones and 5-hydroxy-1 H-pyrazol-3 (2 H)-ones, inhibitors of UDP-N-acetylenolpyruvyl glucosamine reductase. J. Med. Chem. 2006, 49, 6027–6036. [Google Scholar] [CrossRef]
- Shamroukh, A.; Zaki, M.; Morsy, E.; Abdel-Motti, F.; Abdel-Megeid, F. Preparation and identification of some new pyrazolo pyrin derivatives. Arch. Pharm. Chem. Life Sci. 2007, 14, 340–345. [Google Scholar]
- Prakash, O.; Kumar, R.; Parkash, V. Synthesis and antifungal activity of some new 3-hydroxy-2-(1-phenyl-3-aryl-4-pyrazolyl) chromones. Eur. J. Med. Chem. 2008, 43, 435–440. [Google Scholar] [CrossRef] [PubMed]
- Storer, R.; Ashton, C.J.; Baxter, A.D.; Hann, M.M.; Marr, C.L.; Mason, A.M.; Mo, C.-L.; Myers, P.L.; Noble, S.A.; Penn, C.R. The synthesis and antiviral activity of 4-fluoro-1-β-D-ribofuranosyl-1H-pyrazole-3-carboxamide. Nucleosides Nucleotides Nucleic Acids 1999, 18, 203–216. [Google Scholar] [CrossRef]
- Genin, M.J.; Biles, C.; Keiser, B.J.; Poppe, S.M.; Swaney, S.M.; Tarpley, W.G.; Yagi, Y.; Romero, D.L. Novel 1, 5-diphenylpyrazole nonnucleoside HIV-1 reverse transcriptase inhibitors with enhanced activity versus the delavirdine-resistant P236L mutant: Lead identification and SAR of 3-and 4-substituted derivatives. J. Med. Chem. 2000, 43, 1034–1040. [Google Scholar] [CrossRef]
- Daidone, G.; Maggio, B.; Plescia, S.; Raffa, D.; Musiu, C.; Milia, C.; Perra, G.; Marongiu, M.E. Antimicrobial and antineoplastic activities of new 4-diazopyrazole derivatives. Eur. J. Med. Chem. 1998, 33, 375–382. [Google Scholar] [CrossRef]
- Gamage, S.A.; Spicer, J.A.; Rewcastle, G.W.; Milton, J.; Sohal, S.; Dangerfield, W.; Mistry, P.; Vicker, N.; Charlton, P.A.; Denny, W.A. Structure—Activity relationships for pyrido-, imidazo-, pyrazolo-, pyrazino-, and pyrrolophenazinecarboxamides as topoisomerase-targeted anticancer agents. Eur. J. Med. Chem. 2002, 45, 740–743. [Google Scholar] [CrossRef]
- Comber, R.N.; Gray, R.J.; Secrist, J.A., III. Acyclic analogues of pyrazofurin: Syntheses and antiviral evaluation. Carbohydr. Res. 1992, 216, 441–452. [Google Scholar] [CrossRef] [PubMed]
- Ebenezer, O.; Shapi, M.; Tuszynski, J.A. A Review of the Recent Development in the Synthesis and Biological Evaluations of Pyrazole Derivatives. Biomedicines 2022, 10, 1124. [Google Scholar] [CrossRef] [PubMed]
- El-Sehemi, A.G.; Bondock, S.; Ammar, Y.A. Transformations of naproxen into pyrazolecarboxamides: Search for potent anti-inflammatory, analgesic and ulcerogenic agents. Med. Chem. Res. 2014, 23, 827–838. [Google Scholar] [CrossRef]
- Kadam, P.; Karpoormath, R.; Omondi, B.; Chenia, H.; Ramjugernath, D.; Koorbanally, N.A. Stereo-selective synthesis, structural and antibacterial studies of novel glycosylated b2,3-amino acid analogues. Med. Chem. Res. 2015, 24, 3174–3193. [Google Scholar] [CrossRef]
- Aggarwal, R.; Bansal, A.; Rozas, I.; Diez-Cecilia, E. P-Toluenesulfonic acid-catalyzed solventfree synthesis and biological evaluation of new 1-(40,60-dimethylpyrimidin-20-yl)-5-amino-4H-3-arylpyrazole derivatives. Med. Chem. Res. 2014, 23, 1454–1464. [Google Scholar] [CrossRef]
- Sawant, S.D.; Lakshma Reddy, G.; Dar, M.I.; Srinivas, M.; Gupta, G.; Sahu, P.K.; Mahajan, P.; Nargotra, A.; Singh, S.; Sharma, S.C.; et al. Discovery of novel pyrazolopyrimidinone analogs as potent inhibitors of phosphodiesterase type-5. Bioorg. Med. Chem. 2015, 23, 2121–2128. [Google Scholar] [CrossRef] [PubMed]
- Küçükgüzel, S.G.; Senkardes, S. Recent advances in bioactive pyrazoles. Eur. J. Med. Chem. 2015, 97, 786–815. [Google Scholar] [CrossRef]
- Tseng, S.L.; Hung, M.S.; Chang, C.P.; Song, J.S.; Tai, C.L.; Chiu, H.H.; Hsieh, W.P.; Lin, Y.; Chung, W.L.; Kuo, C.; et al. Bioisosteric replacement of the pyrazole 5-sryl moiety of N-(piperidin-1-yl)-5-(4-chlorophenyl)-1-(2,4-dichlorophenyl)-4-methyl-1H-pyrazole-3-carboxamide (SR141716A). A novel series of alkynylthiophenes as potent and selective cannabinoid-1 receptor antagonists. J. Med. Chem. 2008, 51, 5397–5412. [Google Scholar]
- Guo, Y.H.; Wang, G.D.; Wei, L.; Wan, J.P. Domino C-H Sulfonylation and Pyrazole Annulation for Fully Substituted Pyrazole Synthesis in Water Using Hydrophilic Enaminones. J. Org. Chem. 2019, 84, 2984–2990. [Google Scholar] [CrossRef]
- Xu, Y.H.; Chen, Q.L.; Tian, Y.S.; Wu, W.; You, Y.; Weng, Z.Q. Silver-catalyzed synthesis of 5-aryl-3-trifluoromethyl pyrazoles. Tetrahedron Lett. 2020, 61, 151455. [Google Scholar] [CrossRef]
- Golovanov, A.A.; Odin, I.S.; Gusev, D.M.; Vologzhanina, A.V.; Sosnin, I.M.; Grabovskiy, S.A. Reactivity of Cross-Conjugated Enynones in Cyclocondensations with Hydrazines: Synthesis of Pyrazoles and Pyrazolines. J. Org. Chem. 2021, 86, 7229–7241. [Google Scholar] [CrossRef]
- Fang, Z.; Yin, H.; Lin, L.; Wen, S.; Xie, L.; Huang, Y.; Weng, Z. Collaborative Activation of Trifluoroacetyl Diazoester by a Lewis Acid and Base for the Synthesis of Polysubstituted 4-Trifluoromethylpyrazoles. J. Org. Chem. 2020, 85, 8714–8722. [Google Scholar] [CrossRef] [PubMed]
- Veerakanellore, G.B.; Smith, C.M.; Vasiliu, M.; Oliver, A.G.; Dixon, D.A.; Carrick, J.D. Synthesis of 1H-Pyrazol-5-yl-pyridin-2-yl-1,2,4 triazinyl Soft-Lewis Basic Complexants via Metal and Oxidant Free 3+2 Dipolar Cycloaddition of Terminal Ethynyl Pyridines with Tosylhydrazides. J. Org. Chem. 2019, 84, 14558–14570. [Google Scholar] [CrossRef] [PubMed]
- Abd Al-Mohson, Z.M. Synthesis of novel pyrazole derivatives containing tetrahydrocarbazole, antimicrobail evaluation and molecular properties. Eurasian Chem. Commun. 2021, 3, 421–434. [Google Scholar]
- Salih, A.; Al-Messri, Z.A.K. Synthesis of pyranopyrazole and pyranopyrimidine derivatives using magnesium oxide nanoparticles and evaluation as corrosion inhibitors for lubricants. Eurasian Chem. Commun. 2021, 3, 533–541. [Google Scholar]
- Farag, A.M.; Mayhoub, A.S.; Barakat, S.E.; Bayomi, A.H. Regioselective synthesis and antitumor screening of some novel N-phenylpyrazole derivatives. Bioorganic Med. Chem. 2008, 16, 881–889. [Google Scholar] [CrossRef] [PubMed]
- Donohue, S.R.; Halldin, C.; Pike, V.W. A facile and regioselective synthesis of rimonabant through an enamine-directed 1, 3-dipolar cycloaddition. Tetrahedron Lett. 2008, 49, 2789–2791. [Google Scholar] [CrossRef]
- Saleh, T.S.; Narasimharao, K.; Ahmed, N.S.; Basahel, S.N.; Al-Thabaiti, S.A.; Mokhtar, M.J. Mg–Al hydrotalcite as an efficient catalyst for microwave assisted regioselective 1, 3-dipolar cycloaddition of nitrilimines with the enaminone derivatives: A green protocol. J. Mol. Catal. A Chem. 2013, 367, 12–22. [Google Scholar] [CrossRef]
- Cavani, F.; Trifiro, F.; Vaccari, A. Hydrotalcite-type anionic clays: Preparation, properties and applications. Catal. Today 1991, 11, 173–301. [Google Scholar] [CrossRef]
- Miyata, S. Anion-exchange properties of hydrotalcite-like compounds. Clays Clay Miner. 1983, 31, 305–311. [Google Scholar] [CrossRef]
- Yamaoka, T.; Abe, M.; Tsuji, M. Synthesis of Cu Al hydrotalcite like compound and its ion exchange property. Mater. Res. Bull. 1989, 24, 1183–1199. [Google Scholar] [CrossRef]
- Kirm, I.; Medina, F.; Rodríguez, X.; Cesteros, Y.; Salagre, P.; Sueiras, J. Epoxidation of styrene with hydrogen peroxide using hydrotalcites as heterogeneous catalysts. Appl. Catal. A Gen. 2004, 272, 175–185. [Google Scholar] [CrossRef]
- Erickson, K.L.; Bostrom, T.E.; Frost, R.L. A study of structural memory effects in synthetic hydrotalcites using environmental SEM. Mater. Lett. 2005, 59, 226–229. [Google Scholar] [CrossRef]
- Choudary, B.M.; Kantam, M.L.; Reddy, C.R.V.; Rao, K.K.; Figueras, F. The first example of Michael addition catalysed by modified Mg–Al hydrotalcite. J. Mol. Catal. A Chem. 1999, 146, 279–284. [Google Scholar] [CrossRef]
- Leofanti, G.; Padovan, M.; Tozzola, G.; Venturelli, B. Surface area and pore texture of catalysts. Catal. Today 1998, 41, 207–219. [Google Scholar] [CrossRef]
- Wang, J.; Ma, J.; Li, X.; Li, Y.; Zhang, G.; Zhang, F.; Fan, X. Cu2O mesoporous spheres with a high internal diffusion capacity and improved catalytic ability for the aza-Henry reaction driven by visible light. Chem. Commun. 2014, 50, 14237–14240. [Google Scholar] [CrossRef] [PubMed]
- Ng, E.-P.; Awala, H.; Ghoy, J.-P.; Vicente, A.; Ling, T.C.; Ng, Y.H.; Mintova, S.; Adam, F. Effects of ultrasonic irradiation on crystallization and structural properties of EMT-type zeolite nanocrystals. Mater. Chem. Phys. 2015, 159, 38–45. [Google Scholar] [CrossRef]
- Cheong, Y.-W.; Wong, K.-L.; Ling, T.C.; Ng, E.-P. Rapid synthesis of nanocrystalline zeolite W with hierarchical mesoporosity as an efficient solid basic catalyst for nitroaldol Henry reaction of vanillin with nitroethane. Mater. Express 2018, 8, 463–468. [Google Scholar] [CrossRef]
- Wang, Z.; Huang, L.; Reina, T.R.; Efstathiou, A.M.; Wang, Q. Aqueous Miscible Organic LDH Derived Ni-Based Catalysts for Efficient CO2 Methanation. Catalysts 2020, 10, 1168. [Google Scholar] [CrossRef]
- Nope, E.; Sathicq, Á.G.; Martínez, J.J.; Rojas, H.A.; Luque, R.; Romanelli, G.P. Ternary Hydrotalcites in the Multicomponent Synthesis of 4H-Pyrans. Catalysts 2020, 10, 70. [Google Scholar] [CrossRef]
- Nope, E.; Sathicq, G.; Martinez, J.; Rojas, H.; Luque, R.; Romanelli, G. Hydrotalcites in Organic Synthesis: Multicomponent Reactions. Curr. Org. Synth. 2018, 15, 1073–1090. [Google Scholar] [CrossRef]
- Cravotto, G.; Cintas, P. Power ultrasound in organic synthesis: Moving cavitational chemistry from academia to innovative and large-scale applications. Chem. Soc. Rev. 2006, 35, 180–196. [Google Scholar] [CrossRef] [PubMed]
- Cravotto, G.; Cintas, P. Harnessing mechanochemical effects with ultrasound-induced reactions. Chem. Sci. 2012, 3, 295–307. [Google Scholar] [CrossRef]
- Lévêque, J.-M.; Cravotto, G. Microwaves, power ultrasound, and ionic liquids. A new synergy in green organic synthesis. Chimia 2006, 60, 313. [Google Scholar] [CrossRef]
- Tagliapietra, S.; Gaudino, E.C.; Cravotto, G. The use of power ultrasound for organic synthesis in green chemistry. In Power ultrasonics; Elsevier: Amsterdam, The Netherlands; Woodhead Publishing: Sawston, Cambridge, UK, 2015; pp. 997–1022. [Google Scholar]
- Martínez, R.F.; Cravotto, G.; Cintas, P. Organic Sonochemistry: A Chemist’s Timely Perspective on Mechanisms and Reactivity. J. Org. Chem. 2021, 86, 13833–13856. [Google Scholar] [CrossRef]
- Lupacchini, M.; Mascitti, A.; Giachi, G.; Tonucci, L.; d’Alessandro, N.; Martinez, J.; Colacino, E. Sonochemistry in non-conventional, green solvents or solvent-free reactions. Tetrahedron 2017, 73, 609–653. [Google Scholar] [CrossRef]
- Azzena, U.; Carraro, M.; Pisano, L.; Monticelli, S.; Bartolotta, R.; Pace, V. Cyclopentyl methyl ether: An elective ecofriendly ethereal solvent in classical and modern organic chemistry. ChemSusChem 2019, 12, 40–70. [Google Scholar] [CrossRef]
- de Gonzalo, G.; Alcántara, A.R.; Domínguez de María, P. Cyclopentyl methyl ether (CPME): A versatile eco-friendly solvent for applications in biotechnology and biorefineries. ChemSusChem 2019, 12, 2083–2097. [Google Scholar] [CrossRef]
- Al-Bogami, A.S.; Saleh, T.S.; Zayed, E.M. Divergent reaction pathways for one-pot, three-component synthesis of novel 4H-pyrano [3, 2-h] quinolines under ultrasound irradiation. Ultrason. Sonochem. 2013, 20, 1194–1202. [Google Scholar] [CrossRef]
- Mokhtar, M.; Saleh, T.; Ahmed, N.; Al-Thabaiti, S.; Al-Shareef, R. An eco-friendly N-sulfonylation of amines using stable and reusable Zn–Al–hydrotalcite solid base catalyst under ultrasound irradiation. Ultrason. Sonochem. 2011, 18, 172–176. [Google Scholar] [CrossRef]
- Saleh, T.S.; Al-Bogami, A.S.; Mekky, A.E.; Alkhathlan, H.Z. Sonochemical synthesis of novel pyrano [3, 4-e][1, 3] oxazines: A green protocol. Ultrason. Sonochem. 2017, 36, 474–480. [Google Scholar] [CrossRef] [PubMed]
- Ahmed, N.S.; Saleh, T.S.; H El-Mossalamy, E.-S. An efficiently sonochemical synthesis of novel pyrazoles, bipyrazoles and pyrazol-3-ylPyrazolo [3, 4-d] pyrimidines incorporating 1H-benzoimidazole Moiety. Curr. Org. Chem. 2013, 17, 194–202. [Google Scholar] [CrossRef]
- Saleh, T.S.; Eldebss, T.M.; Albishri, H.M. Ultrasound assisted one-pot, three-components synthesis of pyrimido [1, 2-a] benzimidazoles and pyrazolo [3, 4-b] pyridines: A new access via phenylsulfone synthon. Ultrason. Sonochem. 2012, 19, 49–55. [Google Scholar] [CrossRef] [PubMed]
- Theiss, F.L.; Ayoko, G.A.; Frost, R.L. Thermogravimetric analysis of selected layered double hydroxides. J. Therm. Anal. Calorim. 2013, 112, 649–657. [Google Scholar] [CrossRef]
- Puttaswamy, N.; Kamath, P.V. Reversible thermal behaviour of layered double hydroxides: A thermogravimetric study. J. Mater. Chem. 1997, 7, 1941–1945. [Google Scholar] [CrossRef]
- Theiss, F.L.; Palmer, S.J.; Ayoko, G.A.; Frost, R.L. Sulfate intercalated layered double hydroxides prepared by the reformation effect. J. Therm. Anal. Calorim. 2012, 107, 1123–1128. [Google Scholar] [CrossRef]
- Nakahira, A.; Kubo, T.; Murase, H. Synthesis of LDH-type clay substituted with Fe and Ni ion for arsenic removal and its application to magnetic separation. IEEE Trans. Magn. 2007, 43, 2442–2444. [Google Scholar] [CrossRef]
- Guo, Y.; Gong, Z.; Li, C.; Gao, B.; Li, P.; Wang, X.; Zhang, B.; Li, X. Efficient removal of uranium (VI) by 3D hierarchical Mg/Fe-LDH supported nanoscale hydroxyapatite: A synthetic experimental and mechanism studies. Chem. Eng. J. 2020, 392, 123682. [Google Scholar] [CrossRef]
- Zobon, R.K.; Jassim, T.E. WITHDRAWN: Preparation of Mg-Fe-LDH to study its effectiveness in adsorption of lead from its aqueous solution. Mater. Today Proc. 2021, 05, 524. [Google Scholar] [CrossRef]
- Sanati, S.; Rezvani, Z. Ultrasound-assisted synthesis of NiFe-layered double hydroxides as efficient electrode materials in supercapacitors. Ultrason. Sonochem. 2018, 48, 199–206. [Google Scholar] [CrossRef]
- Zubair, M.; Aziz, H.A.; Ahmad, M.A.; Ihsanullah, I.; Al-Harthi, M.A. Adsorption and reusability performance of M-Fe (M = Co, Cu, Zn and Ni) layered double hydroxides for the removal of hazardous Eriochrome Black T dye from different water streams. J. Water Process Eng. 2021, 42, 102060. [Google Scholar] [CrossRef]
- Guo, Y.; Zhu, Z.; Qiu, Y.; Zhao, J. Synthesis of mesoporous Cu/Mg/Fe layered double hydroxide and its adsorption performance for arsenate in aqueous solutions. J. Environ. Sci. 2013, 25, 944–953. [Google Scholar] [CrossRef]
- Thommes, M.; Kaneko, K.; Neimark, A.V.; Olivier, J.P.; Rodriguez-Reinoso, F.; Rouquerol, J.; Sing, K.S. Physisorption of gases, with special reference to the evaluation of surface area and pore size distribution (IUPAC Technical Report). Pure Appl. Chem. 2015, 87, 1051–1069. [Google Scholar] [CrossRef]
- Pérez-Verdejo, A.; Sampieri, A.; Pfeiffer, H.; Ruiz-Reyes, M.; Santamaría, J.-D.; Fetter, G. Nanoporous composites prepared by a combination of SBA-15 with Mg–Al mixed oxides. Water vapor sorption properties. Beilstein J. Nanotechnol. 2014, 5, 1226–1234. [Google Scholar] [CrossRef] [PubMed]
- Le, T.A.; Kim, J.; Jeong, Y.R.; Park, E.D. CO2 Methanation over Ni/Al@ MAl2O4 (M = Zn, Mg, or Mn) Catalysts. Catalysts 2019, 9, 599. [Google Scholar] [CrossRef]
- Gupta, P.; Mahajan, A. Green chemistry approaches as sustainable alternatives to conventional strategies in the pharmaceutical industry. RSC Adv. 2015, 5, 26686–26705. [Google Scholar] [CrossRef]
- Mekky, A.E.; Saleh, T.S.; Al-Bogami, A.S. Synthesis of novel pyrazoles incorporating a phenothiazine moiety: Unambiguous structural characterization of the regioselectivity in the 1, 3-dipolar cycloaddition reaction using 2D HMBC NMR spectroscopy. Tetrahedron 2013, 69, 6787–6798. [Google Scholar] [CrossRef]
- Prime, R.B.; Bair, H.E.; Vyazovkin, S.; Gallagher, P.K.; Riga, A. Thermogravimetric Analysis (TGA); John Wiley & Sons, Inc.: New York, NY, USA, 2009; pp. 241–317. [Google Scholar]
- Bunaciu, A.A.; UdriŞTioiu, E.G.; Aboul-Enein, H.Y. Aboul-Enein, X-ray diffraction: Instrumentation and applications. Crit. Rev. Anal. Chem. 2015, 45, 289–299. [Google Scholar] [CrossRef] [PubMed]
- Fifield, F.W.; Kealey, D. Principles and Practice of Analytical Chemistry; Blackwell Science: Oxford, UK, 2000; p. 324. [Google Scholar]
- Webb, P.A.; Orr, C.; Camp, R.; Olivier, J.; Yunes, S. Analytical Methods in Fine Particle Technology; Micromeritics Instrument Corporation: Norcross, GA, USA, 1997. [Google Scholar]
- Amenomiya, Y.; Cvetanovic, R.J.T.; Chenier, J.H.B. Application of Flash-Desorption Method to Catalyst Studies. IV. Adsorption of Ammonia on Alumina and Its Effect on Adsorption of Ethylene. J. Phys. Chem. 1964, 68, 52–57. [Google Scholar] [CrossRef]
- Olsen, R.E. Synthesis, Characterization, and Application of High Surface Area, Mesoporous, Stabilized Anatase TiO2 Catalyst Supports. Brigh. Young Univ. 2013, 3613345, 77–85. [Google Scholar]
- Sing, K.J.C. The use of nitrogen adsorption for the characterisation of porous materials. Physicochem. Eng. Asp. 2001, 187, 3–9. [Google Scholar] [CrossRef]
- Rouquerol, J.; Rouquerol, F.; Llewellyn, P.; Maurin, G.; Sing, K.S. Adsorption by Powders and Porous Solids: Principles, Methodology and Applications; Academic Press: Cambridge, MA, USA, 2013; p. 11. [Google Scholar]
- Brunauer, S.; Emmett, P.H.; Teller, E. Adsorption of gases in multimolecular layers. J. Am. Chem. Soc. 1938, 60, 309–319. [Google Scholar] [CrossRef]
- He, Q.; Li, D.; Sun, Q.; Wei, B.; Wang, S. The determination of pore volume and area distributions in porous substances. I. Computations from nitrogen isotherms. Energy 1951, 260, 125100. [Google Scholar] [CrossRef]
- Batten, S.R.; Duriska, M.B.; Jensen, P.; Lu, J. Synthesis and Complexes of the New Scorpionate Ligand Tris [3-(4-benzonitrile)-pyrazol-1-yl] borate. Aust. J. Chem. 2007, 60, 72–74. [Google Scholar] [CrossRef]
- Farag, A.M.; Algharib, M.S. Synthesis and reactions of C-(2-thenoyl)-N-arylformhydrazidoyl bromides. Org. Prep. Proced. Int. 1988, 20, 521–526. [Google Scholar] [CrossRef]











| Sample | SBET (m2/g) | Smicro (m2/g) | Smeso (m2/g) | Vtotal (cc/g) | Vmicro (cc/g) | Vmeso (cc/g) | Average Pore Size (nm) |
|---|---|---|---|---|---|---|---|
| Ni-Mg-Fe LDH | 143 | 35.6 | 27 | 0.08 | 0.03 | 0.05 | 2.3 |
| Mg-Fe LDH | 70 | 76.13 | 57.6 | 0.16 | 0.05 | 0.1 | 2.2 |
| Catalyst | Temp. (°C) | CO2 Uptake (μmol/g) | Total CO2 Uptake (μmol/g) |
|---|---|---|---|
| Ni-Mg-Fe LDH | 288.1 | 439.74 | 626.45 |
| 348.8 | 143.71 | ||
| 422.8 | 43.01 | ||
| Mg-Fe LDH | 156.3 | 59.59 | 1096.44 |
| 333.3 | 593.67 | ||
| 272.9 | 142.12 | ||
| 388.8 | 226.34 | ||
| 550.2 | 74.72 |
| Entry | Catalyst/wt | Solvent | Temp. (°C) | US Irradiation | Silent Condition | ||
|---|---|---|---|---|---|---|---|
| Yield (%) | Time (Min.) | Yield (%) | Time | ||||
| 1 | none | CPME | 80 | - | 180 | - | 10 h |
| 2 | Mg- Fe (lll) LDH [2:1]/0.1 g | CPME | 80 | 90 | 30 | 76 | 4 h |
| 3 | Ni- Mg- Fe (lll) LDH [1:1:1]/0.1 g | CPME | 80 | 98 | 15 | 90 | 1.5 h |
| 4 | Ni- Mg- Fe (lll) LDH [1:1:1]/0.15 g | CPME | 80 | 98 | 15 | 90 | 1.5 h |
| 5 | Ni- Mg -Fe (lll) LDH [1:1:1]/0.1 g | Benzene | 80 | 99 | 15 | 93 | 1.5 h |
| 6 | Ni- Mg -Fe (lll) LDH [1:1:1]/0.1 g | CHCl3 | 80 | 81 | 15 | 69 | 2 h |
| 7 | Ni- Mg -Fe (lll) LDH [1:1:1]/0.1 g | THF | 80 | 89 | 15 | 81 | 2 h |
Disclaimer/Publisher’s Note: The statements, opinions and data contained in all publications are solely those of the individual author(s) and contributor(s) and not of MDPI and/or the editor(s). MDPI and/or the editor(s) disclaim responsibility for any injury to people or property resulting from any ideas, methods, instructions or products referred to in the content. |
© 2023 by the authors. Licensee MDPI, Basel, Switzerland. This article is an open access article distributed under the terms and conditions of the Creative Commons Attribution (CC BY) license (https://creativecommons.org/licenses/by/4.0/).
Share and Cite
Salam, M.A.; Imdadulhaq, E.S.; Al-Romaizan, A.N.; Saleh, T.S.; Mostafa, M.M.M. Ultrasound-Assisted 1,3-Dipolar Cycloadditions Reaction Utilizing Ni-Mg-Fe LDH: A Green and Sustainable Perspective. Catalysts 2023, 13, 650. https://doi.org/10.3390/catal13040650
Salam MA, Imdadulhaq ES, Al-Romaizan AN, Saleh TS, Mostafa MMM. Ultrasound-Assisted 1,3-Dipolar Cycloadditions Reaction Utilizing Ni-Mg-Fe LDH: A Green and Sustainable Perspective. Catalysts. 2023; 13(4):650. https://doi.org/10.3390/catal13040650
Chicago/Turabian StyleSalam, Mohamed Abdel, Eman Saleem Imdadulhaq, Abeer Nasser Al-Romaizan, Tamer S. Saleh, and Mohamed Mokhtar M. Mostafa. 2023. "Ultrasound-Assisted 1,3-Dipolar Cycloadditions Reaction Utilizing Ni-Mg-Fe LDH: A Green and Sustainable Perspective" Catalysts 13, no. 4: 650. https://doi.org/10.3390/catal13040650
APA StyleSalam, M. A., Imdadulhaq, E. S., Al-Romaizan, A. N., Saleh, T. S., & Mostafa, M. M. M. (2023). Ultrasound-Assisted 1,3-Dipolar Cycloadditions Reaction Utilizing Ni-Mg-Fe LDH: A Green and Sustainable Perspective. Catalysts, 13(4), 650. https://doi.org/10.3390/catal13040650

