Highly Efficient Copper Doping LaFeO3 Perovskite for Bisphenol A Removal by Activating Peroxymonosulfate
Abstract
:1. Introduction
2. Results
2.1. Physicochemical Characteristics of LCFO
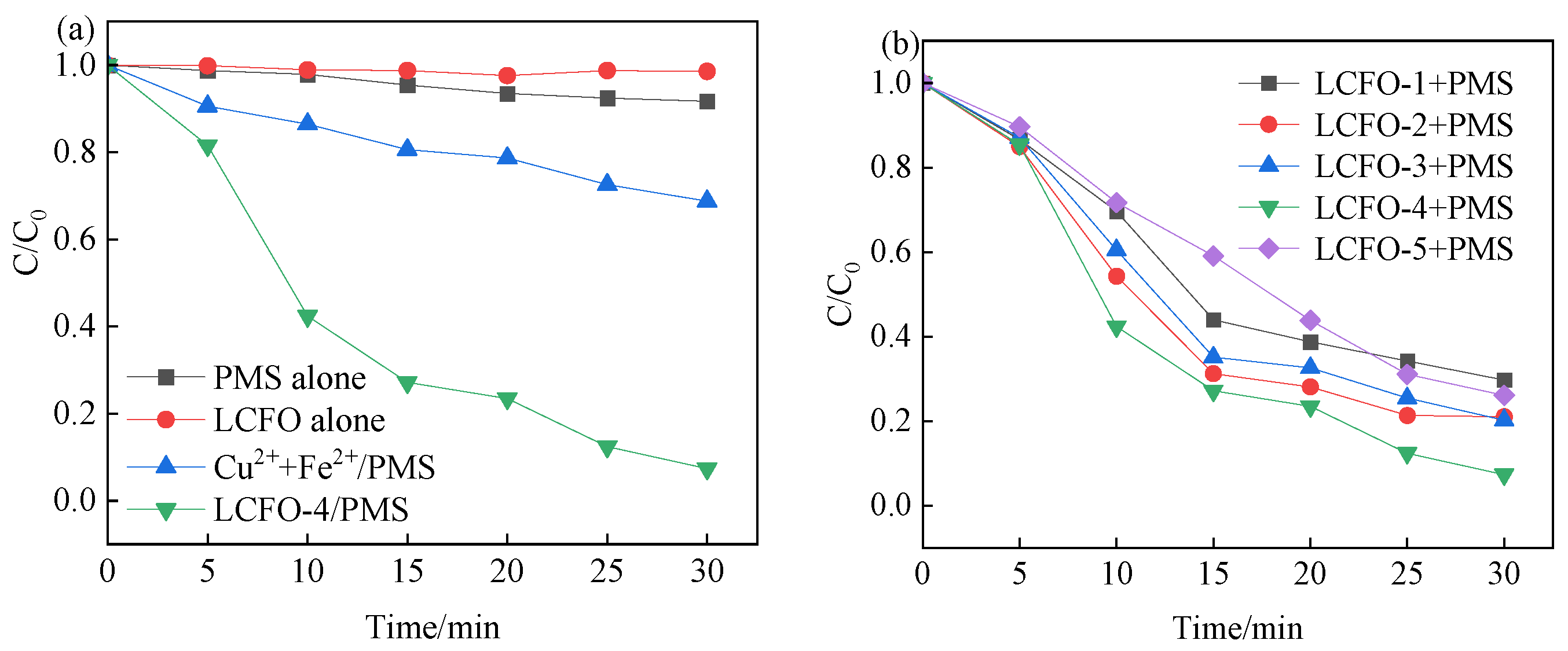
2.2. Catalytic Activity of Catalyst
2.3. Effect of Catalyst Dosage
2.4. Effect of PMS Concentration
2.5. Effect of pH Value
2.6. Effect of Co-Existing Ions
2.7. Identification of Reactive Oxidant Species
3. Mechanism of the PMS Activation on LCFO
4. Materials and Methods
4.1. Chemicals
4.2. Preparation of LCFO
4.3. Experimental Procedures
4.4. Catalyst Characterization and Analytical Methods
5. Conclusions
Author Contributions
Funding
Data Availability Statement
Acknowledgments
Conflicts of Interest
References
- Kumar, A.; Khan, M.; He, J.; Lo, I.M.C. Recent developments and challenges in practical application of visible-light-driven TiO2-based heterojunctions for PPCP degradation: A critical review. Water Res. 2020, 170, 115356. [Google Scholar] [CrossRef] [PubMed]
- He, M.J.; Wan, Z.H.; Tsang, D.C.W.; Sun, Y.Q.; Khan, E.; Hou, D.Y.; Graham, N.J.D. Performance indicators for a holistic evaluation of catalyst-based degradation—A case study of selected pharmaceuticals and personal care products (PPCPs). J. Hazard. Mater. 2021, 402, 123460. [Google Scholar] [CrossRef]
- Kujawska, A.; Kiełkowska, U.; Atisha, A.; Yanful, E.; Kujawski, W. Comparative analysis of separation methods used for the elimination of pharmaceuticals and personal care products (PPCPs) from water—A critical review. Sep. Purif. Technol. 2022, 290, 120797. [Google Scholar] [CrossRef]
- Peng, J.; Wang, Z.; Wang, S.; Liu, J.; Zhang, Y.; Wang, B.; Gong, Z.; Wang, M.; Dong, H.; Shi, J.; et al. Enhanced removal of methylparaben mediated by cobalt/carbon nanotubes (Co/CNTs) activated peroxymonosulfate in chloride-containing water: Reaction kinetics, mechanisms and pathways. Chem. Eng. J. 2021, 409, 128176. [Google Scholar] [CrossRef]
- Dai, Y.; Qi, C.; Cao, H.; Wen, Y.; Zhao, Y.; Xu, C.; Yang, S.; He, H. Enhanced degradation of sulfamethoxazole by microwave-activated peracetic acid under alkaline condition: Influencing factors and mechanism. Sep. Purif. Technol. 2022, 288, 120716. [Google Scholar] [CrossRef]
- Dai, Y.; Cao, H.; Qi, C.; Zhao, Y.; Wen, Y.; Xu, C.; Zhong, Q.; Sun, D.; Zhou, S.; Yang, B.; et al. L-cysteine boosted Fe(III)-activated peracetic acid system for sulfamethoxazole degradation: Role of L-cysteine and mechanism. Chem. Eng. J. 2023, 451, 138588. [Google Scholar] [CrossRef]
- Li, J.F.; Ding, Y.F.; Gao, J.; Yan, K.; Zhang, J.D. Laccase-coupled photoelectrocatalytic system for highly efficient degradation of bisphenol A. Chemosphere 2022, 308, 136245. [Google Scholar] [CrossRef]
- Latif, A.; Maqbool, A.; Sun, K.; Si, Y.B. Immobilization of Trametes Versicolor laccase on Cu-alginate beads for biocatalytic degradation of bisphenol A in water: Optimized immobilization, degradation and toxicity assessment. J. Environ. Chem. Eng. 2022, 10, 107089. [Google Scholar] [CrossRef]
- Zhu, X.T.; Zhang, Y.Y.; Zhang, S.X.; Yang, S.S.; Xu, Q. Synthesis of magnetic FeCo/BC composite by one-step pyrolysis for degradation of bisphenol A through peroxymonosulfate/peroxydisulfate activization. J. Alloy. Compd. 2022, 924, 166500. [Google Scholar] [CrossRef]
- Li, C.Q.; Yang, S.S.; Bian, R.Z.; Tan, Y.; Zhang, X.W.; Zheng, S.L.; Sun, Z.M. Efficient catalytic degradation of bisphenol A coordinated with peroxymonosulfate via anchoring monodispersed zero-valent iron on natural kaolinite. Chem. Eng. J. 2022, 448, 137746. [Google Scholar] [CrossRef]
- Qi, C.; Wen, Y.; Zhao, Y.; Dai, Y.; Li, Y.; Xu, C.; Yang, S.; He, H. Enhanced degradation of organic contaminants by Fe(III)/peroxymonosulfate process with l-cysteine. Chinese Chem. Lett. 2022, 33, 2125–2128. [Google Scholar] [CrossRef]
- Yu, C.X.; Xiong, Z.K.; Zhou, H.Y.; Zhou, P.; Zhang, H.; Huang, R.F.; Yao, G.; Lai, B. Marriage of membrane filtration and sulfate radical-advanced oxidation processes (SR-AOPs) for water purification: Current developments, challenges and prospects. Chem. Eng. J. 2022, 433, 133802. [Google Scholar] [CrossRef]
- Giannakis, S.; Lin, K.Y.A.; Ghanbari, F. A review of the recent advances on the treatment of industrial wastewaters by Sulfate Radical-based Advanced Oxidation Processes (SR-AOPs). Chem. Eng. J. 2021, 406, 127083. [Google Scholar] [CrossRef]
- Oyekunle, D.T.; Cai, J.Y.; Gendy, E.A.; Chen, Z.Q. Impact of chloride ions on activated persulfates based advanced oxidation process (AOPs): A mini review. Chemosphere 2021, 280, 130949. [Google Scholar] [CrossRef]
- Yi, X.H.; Ji, H.D.; Wang, C.C.; Li, Y.; Li, Y.H.; Zhao, C.; Wang, A.; Fu, H.F.; Wang, P.; Zhao, X.; et al. Photocatalysis-activated SR-AOP over PDINH/MIL-88A(Fe) composites for boosted chloroquine phosphate degradation: Performance, mechanism, pathway and DFT calculations. Appl. Catal. B-Environ. 2021, 293, 120229. [Google Scholar] [CrossRef]
- Chen, C.B.; Feng, H.; Deng, Y. Re-evaluation of sulfate radical based–advanced oxidation processes (SR-AOPs) for treatment of raw municipal landfill leachate. Water Res. 2019, 153, 100–107. [Google Scholar] [CrossRef]
- Fedorov, K.; Sun, X.; Boczkaj, G. Combination of hydrodynamic cavitation and SR-AOPs for simultaneous degradation of BTEX in water. Chem. Eng. J. 2021, 417, 128081. [Google Scholar] [CrossRef]
- Deng, Y.; Ezyske, C.M. Sulfate radical-advanced oxidation process (SR-AOP) for simultaneous removal of refractory organic contaminants and ammonia in landfill leachate. Water Res. 2011, 45, 6189–6194. [Google Scholar] [CrossRef]
- Zhang, X.J.; Zhu, X.B.; Li, H.; Wang, C.H.; Zhang, T.T. Combination of peroxymonosulfate and Fe(Ⅵ) for enhanced degradation of sulfamethoxazole: The overlooked roles of high-valent iron species. Chem. Eng. J. 2023, 453, 139742. [Google Scholar] [CrossRef]
- Du, C.Y.; Yang, S.J.; Ding, D.H.; Cai, T.M.; Chen, R.Z. Origin of synergistic effect between Fe/Mn minerals and biochar for peroxymonosulfate activation. Chem. Eng. J. 2023, 453, 139899. [Google Scholar] [CrossRef]
- Long, X.H.; Xiong, Z.K.; Huang, R.F.; Yu, Y.H.; Zhou, P.; Zhang, H.; Yao, G.; Lai, B. Sustainable Fe(III)/Fe(II) cycles triggered by co-catalyst of weak electrical current in Fe(III)/peroxymonosulfate system: Collaboration of radical and non-radical mechanisms. Appl. Catal. B-Environ. 2022, 317, 121716. [Google Scholar] [CrossRef]
- Zhang, L.Y.; Deng, J.W.; Ou, J.L.; Zhou, G.F.; Fu, Y.S.; Liu, Y.Q. Boric acid enhanced degradation of organic pollutant by Cu(II)/peroxymonosulfate: Performance and mechanism. Sep. Purif. Technol. 2022, 293, 121135. [Google Scholar] [CrossRef]
- Zhang, B.; Han, Z.W.; Xin, Y.J.; Zhang, Y.J.; Li, W.Q.; Li, B.D.; Ding, A.; Ma, J.; He, X. Peroxymonosulfate activation by vacuum ultraviolet and trace copper ions: A new way to boost Cu(II)/Cu(I) redox cycle. Chem. Eng. J. 2022, 450, 138097. [Google Scholar] [CrossRef]
- Chen, F.; Wu, X.L.; Yang, L.; Chen, C.F.; Lin, H.J.; Chen, J.R. Efficient degradation and mineralization of antibiotics via heterogeneous activation of peroxymonosulfate by using graphene supported single-atom Cu catalyst. Chem. Eng. J. 2020, 394, 124904. [Google Scholar] [CrossRef]
- Dong, Z.Y.; Lin, Y.L.; Zhang, T.Y.; Hu, C.Y.; Pan, Y.; Pan, R.J.; Tang, Y.L.; Xu, B.; Gao, N.Y. Enhanced coagulation and oxidation by the Mn(VII)-Fe(III)/peroxymonosulfate process: Performance and mechanisms. Water Res. 2022, 226, 119200. [Google Scholar] [CrossRef]
- Zhou, C.Y.; Liang, Y.T.; Xia, W.; Almatrafi, E.; Song, B.; Wang, Z.W.; Zeng, Y.X.; Yang, Y.; Shang, Y.; Wang, C.H.; et al. Single atom Mn anchored on N-doped porous carbon derived from spirulina for catalyzed peroxymonosulfate to degradation of emerging organic pollutants. J. Hazard. Mater. 2023, 441, 129871. [Google Scholar] [CrossRef] [PubMed]
- Zhao, Y.; Zhan, X.H.; Sun, Y.P.; Wang, H.; Chen, L.; Liu, J.Y.; Shi, H.X. MnOx@N-doped carbon nanosheets derived from Mn-MOFs and g-C3N4 for peroxymonosulfate activation: Electron-rich Mn center induced by N doping. Chemosphere 2023, 310, 136937. [Google Scholar] [CrossRef]
- Yao, M.Y.; Xie, M.; Zhang, S.Y.; Yuan, J.P.; Zhao, L.X.; Zhao, R.S. Co nanoparticles encapsulated in nitrogen-doped nanocarbon derived from cobalt-modified covalent organic framework as peroxymonosulfate activator for sulfamerazine degradation. Sep. Purif. Technol. 2022, 302, 122145. [Google Scholar] [CrossRef]
- Xu, C.; Liu, Q.Y.; Wei, M.; Guo, S.H.; Fang, Y.P.; Ni, Z.B.; Yang, X.A.; Zhang, S.S.; Qiu, R.L. Co@CoO encapsulated with N-doped carbon nanotubes activated peroxymonosulfate for efficient purification of organic wastewater. Sep. Purif. Technol. 2022, 295, 121347. [Google Scholar] [CrossRef]
- Lei, Y.; Guo, X.; Jiang, M.; Sun, W.; He, H.; Chen, Y.; Thummavichai, K.; Ola, O.; Zhu, Y.; Wang, N. Co-ZIF reinforced cow manure biochar (CMB) as an effective peroxymonosulfate activator for degradation of carbamazepine. Appl. Catal. B-Environ. 2022, 319, 121932. [Google Scholar] [CrossRef]
- Liu, L.; Han, C.J.; Ding, G.F.; Yu, M.Y.; Li, Y.F.; Liu, S.N.; Xie, Y.X.; Liu, J. Oxygen vacancies-enriched Cu/Co bimetallic oxides catalysts for high-efficiency peroxymonosulfate activation to degrade TC: Insight into the increase of Cu+ triggered by Co doping. Chem. Eng. J. 2022, 450, 138302. [Google Scholar] [CrossRef]
- Zhou, X.F.; Li, J.C.; Guo, H.C.; Zhang, Y.L.; Yang, L.B.; Chen, J.B. LaRuO3 perovskites as effective and reusable heterogeneous catalysts to activate peroxymonosulfate for carbamazepine degradation. Sep. Purif. Technol. 2023, 304, 122359. [Google Scholar] [CrossRef]
- Koo, P.L.; Jaafar, N.F.; Yap, P.S.; Oh, W.D. A review on the application of perovskite as peroxymonosulfate activator for organic pollutants removal. J. Environ. Chem. Eng 2022, 10, 107093. [Google Scholar] [CrossRef]
- Shen, Y.; Vidales, M.J.M.; Gorni, G.; Rivero, M.J.; Ortiz, I.; Dos santos-García, A.J. Enhanced peroxymonosulfate activation in the morphotropic phase boundary of molybdenum doped LaCoO3-δ perovskite. Chem. Eng. J. 2022, 446, 137352. [Google Scholar] [CrossRef]
- Jia, M.; Fan, Y.; Sun, Z.; Hu, X. ZrO2 supported perovskite activation of peroxymonosulfate for sulfamethoxazole removal from aqueous solution. Chemosphere 2022, 298, 134339. [Google Scholar] [CrossRef] [PubMed]
- Østergaard, M.B.; Strunck, A.B.; Boffa, V.; Jørgensen, M.K. Kinetics of Strontium Carbonate Formation on a Ce-Doped SrFeO3 Perovskite. Catalysts 2022, 12, 265. [Google Scholar] [CrossRef]
- Zhang, R.; Alamdari, H.; Kaliaguine, S. SO2 poisoning of LaFe0.8Cu0.2O3 perovskite prepared by reactive grinding during NO reduction by C3H6. Appl. Catal.A-Gen. 2008, 340, 140–151. [Google Scholar] [CrossRef]
- Xu, Z.; Wu, Y.; Wang, X.; Ji, Q.; Li, T.; He, H.; Song, H.; Yang, S.; Li, S.; Yan, S.; et al. Identifying the role of oxygen vacancy on cobalt-based perovskites towards peroxymonosulfate activation for efficient iohexol degradation. Appl. Catal. B-Environ. 2022, 319, 121901. [Google Scholar] [CrossRef]
- Wang, G.; Cheng, C.; Zhu, J.; Wang, L.; Gao, S.; Xia, X. Enhanced degradation of atrazine by nanoscale LaFe1-xCuxO3-δ perovskite activated peroxymonosulfate: Performance and mechanism. Sci. Total. Environ. 2019, 673, 565–575. [Google Scholar] [CrossRef]
- Chen, H.; Xu, Y.; Zhu, K.; Zhang, H. Understanding oxygen-deficient La2CuO4-δ perovskite activated peroxymonosulfate for bisphenol A degradation: The role of localized electron within oxygen vacancy. Appl. Catal. B-Environ. 2021, 284, 119732. [Google Scholar] [CrossRef]
- Hung, C.M.; Huang, C.P.; Chen, C.W.; Dong, C.D. Degradation of organic contaminants in marine sediments by peroxymonosulfate over LaFeO3 nanoparticles supported on water caltrop shell-derived biochar and the associated microbial community responses. J. Hazard. Mater. 2021, 420, 126553. [Google Scholar] [CrossRef]
- Zhang, L.; Zhang, Y.; Wei, J.; Liu, W. Perovskite LaFexCo1-xO3-λ deposited SiO2 catalytic membrane for deeply cleaning wastewater. Chem. Eng. J. 2021, 403, 126386. [Google Scholar] [CrossRef]
- Zhang, L.; Fan, L.; Fan, J.; Li, Y.; Sun, P.; Han, J.; Fan, Z. Synergistic effects of Vis/H2O2/LaFe1−xCuxO3 and Vis/PDS/LaFe1−xCuxO3 for quinoline degradation: Performance and mechanism. J. Environ. Chem. Eng. 2022, 10, 108322. [Google Scholar] [CrossRef]
- Margelloua, A.; Manos, D.; Petrakis, D.; Konstantinou, I. Activation of persulfate by LaFe1-xCoxO3 perovskite catalysts for the degradation of phenolics: Effect of synthetic method and metal substitution. Sci. Total. Environ. 2022, 832, 155063. [Google Scholar] [CrossRef] [PubMed]
- Caronna, T.; Fontana, F.; Sora, I.N.; Pelosato, R. Chemical synthesis and structural characterization of the substitution compound LaFe1−xCuxO3 (x = 0–0.40). Mater. Chem. Phys. 2009, 116, 645–648. [Google Scholar] [CrossRef]
- Mandal, R.; Mahton, Y.; Sowjanya, C.; Sanket, K.; Behera, S.K.; Pratihar, S.K. Electrocatalytic behaviour of Cu-substituted La0.5Sr0.5Co0.8Fe0.2-xCuxO3−δ (x = 0–0.2) perovskite oxides. J. Solid. State. Chem. 2023, 317, 123668. [Google Scholar] [CrossRef]
- Rao, Y.; Zhang, Y.; Fan, J.; Wei, G.; Wang, D.; Han, F.; Huang, Y.; Croue, J.-P. Enhanced peroxymonosulfate activation by Cu-doped LaFeO3 with rich oxygen vacancies: Compound-specific mechanisms. Chem. Eng. J. 2022, 435, 134882. [Google Scholar] [CrossRef]
- Lin, K.Y.A.; Chen, Y.C.; Lin, Y.F. LaMO3 perovskites (M=Co, Cu, Fe and Ni) as heterogeneous catalysts for activating peroxymonosulfate in water. Chem. Eng. J. 2017, 160, 96–105. [Google Scholar] [CrossRef]
- Ghorbani-Moghadam, T.; Kompany, A.; Golmohammad, M. The comparative study of doping Cu and Fe on the cathodic properties of La0.7Sr1.3CoO4 layered perovskite compound: To be used in IT-SOFC. J. Alloy. Compd. 2022, 926, 166928. [Google Scholar] [CrossRef]
- Yang, W.J.; Yang, L.H.; Peng, H.J.; Lv, S.H.; Sharif, H.M.A.; Sun, W.; Li, W.; Yang, C.; Lin, H. Perovskite oxide LaMO3−δ (M = Fe, Co, Ni and Cu) cathode for efficient electroreduction of nitrate. Sep. Purif. Technol. 2022, 295, 121278. [Google Scholar] [CrossRef]
- Haque, A.; Das, R.; Vasundhara, M.; Ghosh, D.; Gayen, A.; Mahata, P.; Kundu, A.K.; Seikh, M.M. Ambient pressure synthesis and magnetic properties of La[Cu3−xMnx][Mn4−yTiy]O12 (x = 0 & 1; y = 0.5 & 1) quadruple perovskite. J. Alloy. Compd. 2021, 875, 159984. [Google Scholar]
- Dokuchits, E.V.; Larina, T.V.; Gerasimov, E.Y.; Pochtar, A.A.; Minyukova, T.P. Syngas conversion over perovskite-like LaCuxTi1−xO3/KIT-6 catalysts. Appl. Catal. A-Gen. 2020, 608, 117834. [Google Scholar] [CrossRef]
- Pan, F.; Zhang, W.; Ferronato, C.; Valverde, J.L.; Giroir-Fendler, A. Boosting propene oxidation activity over LaFeO3 perovskite catalysts by cobalt substitution. Appl. Catal. A-Gen. 2022, 643, 118779. [Google Scholar] [CrossRef]
- Jing, J.; Pervez, M.N.; Sun, P.; Cao, C.; Li, B.; Naddeo, V.; Jin, W.; Zhao, Y. Highly efficient removal of bisphenol A by a novel Co-doped LaFeO3 perovskite/PMS system in salinity water. Sci. Total. Environ. 2021, 801, 149490. [Google Scholar] [CrossRef]
- Gao, P.; Yan, S.; Tian, X.; Nie, Y.; Wang, Y.; Deng, Y.; Tu, J. Identification and manipulation of active centers on perovskites to enhance catalysis of peroxymonosulfate for degradation of emerging pollutants in water. J. Hazard. Mater. 2022, 424, 127384. [Google Scholar] [CrossRef] [PubMed]
- Zhao, Y.; Huang, B.; An, H.; Dong, G.; Feng, J.; Wei, T.; Ren, Y.; Ma, J. Enhanced activation of peroxymonosulfate by Sr-doped LaFeO3 perovskite for Orange I degradation in the water. Sep. Purif. Technol. 2021, 256, 117838. [Google Scholar] [CrossRef]
- Kumar, A.; Prasad, B. Mechanistic approach of SO4•−/•OH radical toward target pollutants degradation simultaneously enhanced activity and stability of perovskite-like catalyst SrCuxNi1−xO3. Sep. Purif. Technol. 2021, 279, 119677. [Google Scholar] [CrossRef]
- Cheng, C.; Gao, S.; Zhu, J.; Wang, G.; Wang, L.; Xia, X. Enhanced performance of LaFeO3 perovskite for peroxymonosulfate activation through strontium doping towards 2,4-D degradation. Chem. Eng. J. 2020, 384, 123377. [Google Scholar] [CrossRef]
- Hu, H.; Zhang, Q.; Wang, C.; Chen, M.; Wang, Q. Facile synthesis of CaMn1−xFexO3 to incorporate Fe(IV) at high ratio in perovskite structure for efficient in situ adsorption-oxidation of As(III). Chem. Eng. J. 2022, 435, 134894. [Google Scholar] [CrossRef]
- Geng, G.; Cai, M.; Fang, R.; Luan, Q.; Zhang, Z.; Song, J.; Zhang, J. Metal-organic frameworks-derived perovskite catalysts for efficient degradation of 2, 4-dichlorophenol via peroxymonosulfate activation. Appl. Surf. Sci. 2020, 534, 147467. [Google Scholar] [CrossRef]
- Li, X.; Li, M.; Ma, X.; Miao, J.; Ran, R.; Zhou, W.; Wang, S.; Shao, Z. Nonstoichiometric perovskite for enhanced catalytic oxidation through excess A-site cation. Chem. Eng. J. 2020, 219, 115596. [Google Scholar] [CrossRef]
- Qi, C.; Liu, X.; Ma, J.; Lin, C.; Li, X.; Zhang, H. Activation of peroxymonosulfate by base: Implications for the degradation of organic pollutants. Chemosphere 2016, 151, 280–288. [Google Scholar] [CrossRef] [PubMed]
- Wang, D.; Luo, X.; Yang, S.; Xue, G. Tourmaline/Perovskite composite material as heterogeneous catalysts for activation peroxymonosulfate to remove organic dye in water. J. Environ. Chem. Eng. 2021, 9, 105221. [Google Scholar] [CrossRef]
- Lu, S.; Wang, G.; Chen, S.; Yu, H.; Ye, F.; Quan, X. Heterogeneous activation of peroxymonosulfate by LaCo1−xCuxO3 perovskites for degradation of organic pollutants. J. Hazard. Mater. 2018, 353, 401–409. [Google Scholar] [CrossRef]
- Gao, P.; Tian, X.; Nie, Y.; Yang, C.; Zhou, Z.; Wang, Y. Promoted peroxymonosulfate activation into singlet oxygen over perovskite for ofloxacin degradation by controlling the oxygen defect concentration. Chem. Eng. J. 2019, 359, 828–839. [Google Scholar] [CrossRef]
- Yang, Q.; Niu, X.; Zhu, Y.; Cui, Y.; Chao, Y.; Liang, P.; Zhang, C.; Wang, S. Modulating anion defect in La0.6Sr0.4Co0.8Fe0.2O3−δ for enhanced catalytic performance on peroxymonosulfate activation: Importance of hydrated electrons and metal-oxygen covalency. J. Hazard. Mater. 2022, 432, 128686. [Google Scholar] [CrossRef]
- Niu, B.; Wang, L.; Li, M.; Yao, W.; Zang, K.; Zhou, L.; Hu, X.; Zheng, Y. Lattice B-doping evolved ferromagnetic perovskite-like catalyst for enhancing persulfate-based degradation of norfloxacin. J. Hazard. Mater. 2022, 425, 127949. [Google Scholar] [CrossRef]
- Lin, N.; Gong, Y.; Wang, R.; Wang, Y.; Zhang, X. Critical review of perovskite-based materials in advanced oxidation system for wastewater treatment: Design, applications and mechanisms. J. Hazard. Mater. 2022, 424, 127637. [Google Scholar] [CrossRef]
- Wang, T.; Qian, X.; Yue, D.; Yan, X.; Yamashita, H.; Zhao, Y. CaMnO3 perovskite nanocrystals for efficient peroxydisulfate activation. Chem. Eng. J. 2020, 398, 125638. [Google Scholar] [CrossRef]
- Wang, Y.; Chi, Z.; Chen, C.; Su, C.; Liu, D.; Liu, Y.; Duan, X.; Wang, S. Facet- and defect-dependent activity of perovskites in catalytic evolution of sulfate radicals. Appl. Catal. B-Environ. 2020, 272, 118972. [Google Scholar] [CrossRef]










Disclaimer/Publisher’s Note: The statements, opinions and data contained in all publications are solely those of the individual author(s) and contributor(s) and not of MDPI and/or the editor(s). MDPI and/or the editor(s) disclaim responsibility for any injury to people or property resulting from any ideas, methods, instructions or products referred to in the content. |
© 2023 by the authors. Licensee MDPI, Basel, Switzerland. This article is an open access article distributed under the terms and conditions of the Creative Commons Attribution (CC BY) license (https://creativecommons.org/licenses/by/4.0/).
Share and Cite
Zhong, X.; Liu, J.; Jie, H.; Wu, W.; Jiang, F. Highly Efficient Copper Doping LaFeO3 Perovskite for Bisphenol A Removal by Activating Peroxymonosulfate. Catalysts 2023, 13, 575. https://doi.org/10.3390/catal13030575
Zhong X, Liu J, Jie H, Wu W, Jiang F. Highly Efficient Copper Doping LaFeO3 Perovskite for Bisphenol A Removal by Activating Peroxymonosulfate. Catalysts. 2023; 13(3):575. https://doi.org/10.3390/catal13030575
Chicago/Turabian StyleZhong, Xin, Junjie Liu, Haonan Jie, Wenting Wu, and Fubin Jiang. 2023. "Highly Efficient Copper Doping LaFeO3 Perovskite for Bisphenol A Removal by Activating Peroxymonosulfate" Catalysts 13, no. 3: 575. https://doi.org/10.3390/catal13030575
APA StyleZhong, X., Liu, J., Jie, H., Wu, W., & Jiang, F. (2023). Highly Efficient Copper Doping LaFeO3 Perovskite for Bisphenol A Removal by Activating Peroxymonosulfate. Catalysts, 13(3), 575. https://doi.org/10.3390/catal13030575
