Abstract
N-Heterocyclic carbenes (NHCs) are nowadays one of the most widely employed ligands in organometallic chemistry and homogeneous catalysis due to the inherent stability of the metal-carbene bond and the ease of modification of the backbone as well as the N-wingtips substituents of these ligands. The functionalization of NHCs with hydrophilic groups offers the possibility of using NHC-metal complexes in aqueous catalysis, a hot topic within the Green Chemistry context due to the positive implications associated with the use of water as a reaction medium. In line with the enormous interest aroused by gold complexes in catalysis, significant efforts have been directed in the last years to the design and application of hydrophilic NHC-gold catalysts. This review is aimed to summarize the research in this area. The catalytic applications of water-soluble gold nanoparticles stabilized by hydrophilic NHCs are also covered.
1. Introduction
Organometallic catalysis in aqueous systems has attracted enormous interest during the last two decades, both from an academic and an industrial point of view [1,2,3,4,5]. Undoubtedly, the successful development of the Ruhrchemie/Rhône-Poulenc aqueous-phase Rh-catalyzed hydroformylation process in 1984 [6] represented a major cornerstone in the field and substantiated the progress of this creative research area. In addition to environmental concerns, accessibility and cost, metal catalysis in water or in biphasic aqueous media offers additional advantages when compared with classical processes performed in organic solvents, such as the simplification of the separation of the catalyst from the products, thus favoring the recycling of the former, the improvement of the reaction rates (hydrophobic, H-bonding and polarity effects [7]) and, in some cases, the observation of different selectivities to those shown in purely organic environments [1,2,3,4,5,7]. The introduction of hydrophilic ligands in the coordination sphere of a transition metal is probably the most popular strategy for designing water-soluble catalysts, with phosphines functionalized with ionic groups (sulfonate, ammonium, carboxylate, etc.) or neutral ones capable of establishing H-bond networks with water playing a leading role [8,9,10,11,12,13,14].
N-Heterocyclic carbenes (NHCs) offer some advantages over classical tertiary phosphines, such as higher electron donation and complex stability, which has led them to rank among the most popular ligands currently employed in homogeneous catalysis [15,16,17,18,19]. In addition, NHCs have also found application as stabilizers of metal nanoparticles (NPs), some of them featuring relevant photophysical, biomedical and catalytic properties [20,21,22,23,24]. In 1997, Herrmann and co-workers reported the preparation of the first transition-metal NHC complexes featuring water solubility, A and B in Figure 1, by introducing hydrophilic carboxylate substituents on the N-atoms of the carbene ligand [25] and, since then, research on the synthesis and applications in catalysis and biomedicine of water-soluble NHC transition metal complexes has grown considerably [26,27,28,29,30,31].
Figure 1.
Structure of the first water-soluble NHC-metal complexes reported in the literature.
On the other hand, throughout the last two decades, gold catalysis has emerged as a powerful tool in synthetic organic chemistry [32,33,34,35,36,37,38,39,40,41], a research field in which substantial progress has been achieved by making use of Au-NHC complexes owing to their enhanced stability, versatility, high catalytic activities and selectivities [42,43,44,45,46,47]. Similarly, significant attention has also been paid to the use of Au NPs stabilized by N-heterocyclic carbenes in catalysis [23,48,49]. In this review article, the application in the aqueous-phase catalysis of gold complexes and nanoparticles stabilized by hydrophilic NHC ligands is comprehensively discussed.
2. N-Heterocyclic Carbene Ligands Functionalized with Ionic Groups
2.1. Sulfonate-Tagged NHC Ligands
The introduction of sulfonate groups is the most reliable and popular strategy for the preparation of water-soluble ligands [8,9,12,14] and, in line with this, the most frequently employed method for rendering NHCs and their metal complexes soluble in water [26,27,28,29,30,31]. The synthesis of the first gold complexes with sulfonated NHCs was reported by Joó and co-workers in 2010, employing the imidazolium sulfonate zwitterions 1a-f as starting materials (Scheme 1) [50]. Transmetallation from the corresponding bis-carbene silver(I) complexes 2a-f, generated by reacting 1a-f with Ag2O, to [AuCl(tht)] (tht = tetrahydrothiophene), led to mixtures of the mono-carbene complexes 3a-f and the bis-carbene derivatives 4a-f (please note that 3f was not observed at all and only 4f was formed).
Scheme 1.
First examples of gold complexes with sulfonated NHC ligands.
The lower solubility of the minor bis-carbene products 4a-e in alcohols allowed the easy purification of complexes 3a-e just by precipitation of 4a-e from a concentrated aqueous solution of the mixtures by the addition of a small amount of methanol. In addition, 4a-e could be prepared in pure form by reacting equimolar amounts of the silver(I) bis-carbenes 2a-e and [AuCl(tht)]. Joó and co-workers also found that the mono-carbene Au(I) chloride complexes 3a-e are active catalysts for the selective Markovnikov hydration of phenylacetylene in a refluxing H2O/MeOH mixture (Scheme 2), the turnover frequencies (TOF) reached (13–16 h−1) being comparable to those previously reported with water-soluble Au(I)-phosphine catalysts [50]. The authors explored the effect of different additives (Brønsted acids and silver(I) salts) on the hydration of phenylacetylene by complex 3a, observing an increase in the reaction rate when 10 mol% of H2SO4 was added to the reaction medium (TOF = 102 h−1). Conversely, the addition of silver(I) salts turned out to be detrimental, drastically decreasing the acetophenone yield.
Scheme 2.
Markovnikov hydration of phenylacetylene catalyzed by complexes 3a-e.
In a subsequent study, the same group described the preparation of sulfonated analogous of the well-known gold(I) complexes [AuCl(IMes)] (IMes = 1,3-bis(2,4,6-trimethylphenyl)imidazol-2-ylidene) and [AuCl(SIMes)] (SIMes = 1,3-bis(2,4,6-trimethylphenyl)-4,5-dihydroimidazol-2-ylidene), 8 and 10, respectively (see Scheme 3) [51]. As exemplified for 8, the corresponding imidazolium chloride precursor 6 was synthesized in high yield by direct sulfonation of [IMesH]Cl 5 with fuming sulfuric acid. Subsequent treatment of a methanolic suspension of 6 with Ag2O under refluxing conditions afforded the isolable silver(I)-bis-carbene 7, from which the complex 8 was easily generated by carbene transfer to [AuCl(tht)]. Complex 10 was obtained from [ISMesH]Cl 9 by following the same reaction sequence.
Scheme 3.
Synthesis of the sulfonated NHC-gold(I) complexes 8 and 10.
The authors also explored the catalytic behavior of 8 and 10 in alkyne hydration reactions. Compared to the sulfoalkyl-substituted Au(I)-NHC derivatives 3a-e just commented, they turned out to be more effective for the Markovnikov hydration of terminal alkynes HC≡CR (R = Ph, 4-C6H4Me, 4-C6H4OMe, CH2OH) showing high catalytic activities in methanol-water mixtures or in purely aqueous solutions at low catalysts loadings (down to 0.07 mol% or 97 ppm; refluxing conditions). They performed well even in the absence of an acid co-catalyst (e.g., TOF values of 760 and 600 h−1 were reached in the hydration of 4-ethynylanisole with 8 and 10, respectively, under acid- and silver(I)-free conditions) and showed to be stable on air for long periods. Hydration of the internal alkyne diphenylacetylene was also attempted obtaining markedly poorer results (TOF up to 3.6 h−1 with H2SO4 as co-catalyst).
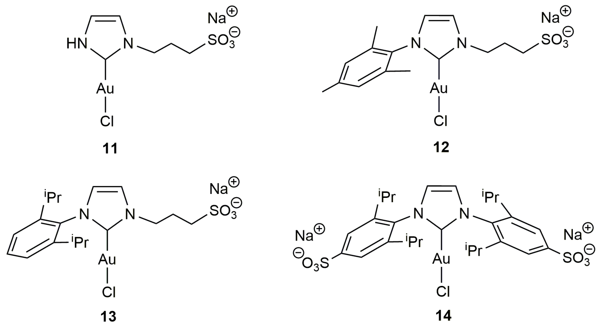
Complexes 11–14, generated from the corresponding imidazolium salts and [AuCl(tht)] through the silver oxide route, are additional examples of sulfonated NHC-gold(I) complexes whose biological and catalytic properties were evaluated by Silbestri’s group (Figure 2) [52,53,54,55,56]. The application of the silver oxide route was crucial to obtain these complexes in a selective manner; the direct reaction of the imidazolium sulfonate zwitterions with [AuCl(tht)] in the presence of a base leading to mixtures of the [AuCl(NHC)] derivatives 11–14 and the corresponding bis-carbenes [Au(NHC)2]+. As in the precedent cases, all of them were stable in air in the solid state and could be stored for long periods when protected from light. However, regarding their stability in aqueous solution, complex 12 was found to evolve rapidly into the corresponding bis-carbene [Au(NHC)2]+, with concomitant generation of colloidal gold nanoparticles (NPs), even at room temperature. In contrast, 11, 13 and 14 were found to be stable, and decomposition was only observed when the solutions were heated at 100 °C [52].
Figure 2.
Structure of the water-soluble NHC-Au(I) complexes 11–14.
The catalytic studies with 11–14 focused again on the hydration reactions of alkynes. Thus, in a preliminary work, Silbestri and co-workers found that complexes 12 and 14, when combined with the halide abstractor KPF6, are more effective than their non-sulfonated analogs in the Markovnikov hydration of phenylacetylene, being capable of operating at 80 °C in a water/methanol solvent mixture in the absence of acid (using a metal loading of 1 mol%, the quantitative conversion of phenylacetylene to acetophenone was reached after 12 h of heating; 55–60% conversion with the non-sulfonated analogs under identical conditions) [52]. In addition, they showed high levels of recyclability, i.e., up to 9 consecutive runs until total inactivation of the catalysts. This fact was quite unexpected, particularly for complex 12, since, as we have just commented, it decomposes rapidly in an aqueous solution. Transition electron microscopy (TEM) measurements indicated the absence of colloidal Au NPs at the end of the reactions, suggesting enhanced stability under the catalytic conditions employed. In a subsequent study, the catalytic behavior and scope of these NHC-Au(I) complexes were explored in depth, and 14 turned out to be the most effective of all, not requiring most of the alkynes employed the use of methanol as co-solvent or the presence of a chloride abstractor (see Scheme 4); mandatory in the case of 11–13 to reach good conversions [54]. Density Functional Theory (DFT) calculations indicated that the lower effectiveness of complexes 11–13 vs. 14 is associated with their lower electrophilicity (the computed atomic charges for gold in 11 and 14 were +0.07 and +0.55, respectively) and stronger steric hindrance on the gold center exerted by the 3-sulfonatepropyl chain folds (the flexibility of the 3-sulfonatepropyl chain allows the intramolecular interaction between the sulfonate group and the metal center) [55]. An additional study from the same group also demonstrated that the use of microwave (MW) and ultrasonic (US) irradiations contributes to the improvement of the catalytic process, shortening the reaction times required under classical thermal conditions [56].
Scheme 4.
Hydration of alkynes catalyzed by the sulfonated NHC-Au(I) complex 14.
Very recently, Guérard-Hélaine and co-workers developed an efficient chemoenzymatic approach for the production of monosaccharides 19 using propargyl alcohol 17 and different aldehydes as the starting materials (Scheme 5) by combining the ammonium salt of the sulfonated NHC-Au(I) derivative 14, i.e., complex 16, with the aldolase FSA (fructose-6-phosphate aldolase) [57]. Complex 16, generated by reacting the zwitterionic imidazolium salt 15 with [AuCl(tht)] and aqueous ammonia, catalyzed the initial hydration of propargyl alcohol 17 into hydroxyacetone 18 in pure water at 60 °C. After the hydration step was finished, the pH of the solution was adjusted to 7, and the corresponding aldehyde and the enzyme FSA were added to the medium, leading to the aldol adducts 19 in good yields, and with complete stereoselectivity, after 5–24 h of stirring at room temperature.
Scheme 5.
One-pot, two-step synthesis of optically pure monosaccharides 19.
The application of sulfonated NHC-gold complexes in other catalytic transformations in aqueous environments has also been described. A relevant example is the cycloisomerization of γ-alkynoic acids. This type of reaction represents an easy and atom-economical methodology to produce unsaturated lactones [58,59], for which gold-based systems are among the most effective catalysts currently known [60]. Works by Michelet, Conejero, Cadierno and co-workers demonstrated the utility of water-soluble Au(I) and Au(III) complexes containing NHC ligands decorated with 3-sulfonatopropyl and protonated 2-pyridyl, 2-pycolyl or 2-pyridylethyl groups, i.e., compounds 22a-c and 23b-c in Scheme 6, in these cyclization processes [61,62]. Their synthesis involved the initial generation of the zwitterionic imidazolium salts 21a-c by reaction of imidazoles 20a-c with 1,3-propane sultone. Subsequent silver-mediated carbene transfer to [AuCl(SMe2)] in dichloromethane solution, followed by protonation of the pyridyl units with p-toluene sulfonic acid, led to the Au(I) derivatives 22a-c, which readily precipitated in the medium thus facilitating their isolation and purification. Oxidation of 22b-c with iodobenzene dichloride cleanly afforded the respective gold(III) complexes 23b-c.
Scheme 6.
Synthetic route employed in the preparation of complexes 22a-c and 23b-c.
As illustrated in Scheme 7, all these complexes were capable of catalyzing the cycloisomerization of different γ-alkynoic acids in a biphasic toluene/water medium under mild conditions (r.t.) and, more importantly, in the absence of silver(I) additives. Please note that the participation of Ag(I) salts is commonly required for the generation of vacant coordination sites on the metal when related transformations are performed with gold complexes in organic media [60]. In addition, they showed exquisite chemoselectivity, and the formation of hydration/hydrolysis byproducts was not observed even when extra carbon-carbon triple bonds were present in the substrates, e.g., the transformation of 1,6-diynes 26 into enol lactones 27. No major differences in reactivity between the Au(I) and Au(III) were found, all of them showing comparable efficiency and selectivity. Regarding this last point, the 5-exo-dig cyclization path was exclusively observed when γ-alkynoic acids featuring terminal C≡C bonds were employed as substrates (i.e., cyclization of 24 and 26 into the five-membered ring lactones 25 and 27, respectively). In contrast, mixtures of the corresponding 5- and 6-membered ring lactones 29 (5-exo-dig cyclization) and 30 (6-endo-dig cyclization), respectively, were systematically obtained starting from the internal γ-alkynoic acids 28 (an increase in the metal loading from 0.1 to 2.5 mol% was also required with these less reactive substrates). The recycling of the catalysts was additionally explored, their high solubility in water enabling their reuse for ten consecutive runs by simple separation of the organic phase containing the enol-lactone products [62]. In this regard, some differences were observed between 22a-c and 23b-c, the recyclability of the gold(III) species 23b-c being more effective due to their enhanced stability in water (in aqueous solution the Au(I) complexes 22a-c undergo with time partial decomposition into catalytically inactive Au(0) NPs, decomposition that also suffer 23b-c but more slowly). It should be mentioned at this point that the cycloisomerization of terminal γ-alkynoic acids to five-membered enol-lactones at room temperature in a toluene/water biphasic medium was also described by Pleixats and co-workers employing a silica-supported NHC-AuCl catalyst [63]. The participation of a silver(I) co-catalyst was not necessary either, and the catalytic system could be reused in up to six consecutive cycles.
Scheme 7.
Au-catalyzed cyclization of γ-alkynoic acids in a biphasic toluene/water medium.
On the other hand, despite the growing interest in water-soluble NHC-stabilized Au NPs [64], examples involving sulfonated NHCs are still scarce [65,66,67], and only in one work, they were applied in aqueous-phase catalysis [67]. Thus, Dimitratos, Casini and co-workers reported the preparation of the gold NPs 32 and 33, stabilized by mono- and bidentate sulfonated NHCs, respectively, by direct reduction of the corresponding Au(I) bis-carbene derivatives 4d and 31 with sodium borohydride (Scheme 8). Complexes 4d and 31 were accessed from the corresponding imidazolium salts via silver-mediated carbene transfer to the Au(I) precursor [AuCl(SMe2)]. As shown in Scheme 8, NPs 32 and 33 were capable of promoting the reduction of 4-nitrophenol into 4-aminophenol in pure water employing excess NaBH4 as the reductant, with 32 being more active than 33 due to the higher accessibility to the Au sites associated with the lower NHC-surface coverage in the former. These Au NPs were also catalytically active in the reduction of 2-nitrophenol, 3-nitrophenol and resazurin, but conversions were lower compared to 4-nitrophenol. We should finally mention that the stabilization of gold NPs by sulfonated imidazolium salts has been additionally reported [68,69,70,71], with some of the resulting systems also showing catalytic potential for the reduction of nitroaromatic compounds in water [69,70].
Scheme 8.
Synthesis and application in the catalytic reduction of 4-nitrophenol in an aqueous medium of the water-soluble Au NPs 32 and 33.
2.2. Ammonium-Tagged NHC Ligands
The use of auxiliary ligands functionalized with ammonium units is another strategy frequently employed to solubilize metal complexes in water [12], so it is not surprising that some gold complexes containing ammonium-tagged NHC complexes have appeared in the literature. The first examples were described in 2015 by Belger and Krause [72]. They synthesized the Au(I) complexes 38a-b and demonstrated their catalytic potential in the cycloisomerization of the allenic and acetylenic alcohols 39 and 41 (Scheme 9). The synthetic route employed for the preparation of complexes 38a-b involved the initial cyclization of the diimine 34 into the imidazolium salt 35 upon treatment with paraformaldehyde and chlorotrimethylsilane. Subsequent transformation of 35 into dichloride 36 with thionyl chloride, followed by a reaction with an excess of the corresponding amine, gave the water-soluble imidazolium salts 37a-b, from which complexes 38a-b could be obtained by treatment with [AuCl(SMe2)] and KOtBu in refluxing methanol. Concerning their catalytic behavior, both complexes were able to promote the cyclization of compounds 39 and 41 in pure water without the assistance of any additive, with the triethylammonium-substituted catalyst 38a being, in general, more active than its tri-n-butylammonium-substituted counterpart 38b. In addition, they could be easily recycled (up to 5 times) after extraction of the heterocyclic products 40 and 42 with pentane and diethyl ether. Only a slight loss of activity over the successive cycles was observed due to the slow degradation of the catalysts into gold NPs, a decomposition process that is suppressed if LiCl is added to the reaction medium. It should be mentioned at this point that the cyclization of allenylic alcohols related to 39 in aqueous micellar media was also successfully accomplished by Krause and co-workers employing gold(I)-NHC-functionalized amphiphilic block copolymers as catalysts [73].
Scheme 9.
Synthesis of the Au(I) complexes 38a-b bearing ammonium-tagged NHC ligands and their application as catalysts in cyclization reactions.
Belger and Krause additionally reported the synthesis of the related water-soluble Au(I) derivatives 46a-f, featuring, in this case, unsymmetrically substituted ammonium salt-tagged NHC ligands (Scheme 10) [74]. The precursor imidazolium salts 45a-f were accessed from the corresponding N-arylimidazoles 43 and the benzyl chloride derivative 44 following a reaction sequence similar to that commented above for the preparation of compounds 38a-b. Complexes 46a-f catalyzed the selective 5-exo-dig cyclization of the terminal γ-alkynoic acids 47 and amides 49 into the respective enol-lactones 48 and lactams 50 (Scheme 10). These cycloisomerizations reactions proceeded cleanly, under mild conditions, and in high yields when an aqueous triethylammonium buffer solution was employed as the reaction medium, with the use of pure water leading in general to compounds 48 and 50 in lower yields due to the partial decomposition of the gold complexes in the acidic medium generated by the substrates. As in the precedent case, no silver(I) co-catalysts were needed, and complexes 46a-f could be reused up to five times after extraction of the products from the aqueous solution with diethyl ether.
Scheme 10.
Synthesis of the water-soluble Au(I) complexes 46a-f and their application as catalysts in cyclization reactions.
In the same work, the authors also developed a synthetic route for the furanocoumarin-functionalized lactone 52, an epimer of the natural product clausemarine A, in which the key lactone ring was assembled by cycloisomerization of the internal γ-alkynoic acid 51. As shown in Scheme 11, the cyclization process proceeded in high yield employing 1 mol% of complex 46b in the aqueous triethylammonium buffer solution (containing now a small amount of THF as co-solvent to facilitate the solubility of the substrate).
Scheme 11.
Synthesis of 2-epi-clausemarine A 52 from alkynoic acid 51.
On the other hand, Gautier and co-workers described the high-yield synthesis of the symmetrically substituted imidazolium salt 54, featuring trimethylammonium groups, by orthoformate cyclization of the diamine dihydrochloride 53 (Scheme 12) [75]. The reaction of a methanolic solution of 54 with HAuCl4, in the presence of the reducing agent thiodiglycol and NaOH, afforded the water-soluble Au(I)-NHC complex 55, which was isolated in 59% yield. Attempts to generate complex 55 employing the classical Au(I) sources [AuCl(SMe2)] or [AuCl(tht)] were not made by the authors. Moreover, oxidation of 55 with iodobenzene dichloride allowed access to the corresponding Au(III)-NHC complex 56. Complexes 55 and 56 behaved as efficient catalysts for the Markovnikov hydration of terminal alkynes functionalized with hydrophilic alcohol and amide groups, in neat water, under acid- and silver-free conditions (see Scheme 12). Regardless of the complex employed, complete conversion of the alkynes into the corresponding methyl-ketones was achieved by performing the reactions with a metal loading of 0.5 mol% at 50–80 °C for 20–40 h. However, we must note that kinetic and DFT studies indicated that, in the presence of water and the alkyne, the Au(III) derivative 56 is reduced in situ to the Au(I) one 55 with concomitant formation of a chloro-ketone, being therefore 55 responsible for the catalytic activity observed.
Scheme 12.
Synthesis of complexes 55 and 56, active in the hydration of hydrophilic alkynes.
3. N-Heterocyclic Carbene Ligands Functionalized with Neutral Hydrophilic Groups
3.1. PEG-Tagged NHC Ligands
Polyethylene glycol (PEG) based ligands are very useful for rendering metal complexes soluble in water [12]. In this context, Taira, Imura and co-workers reported in 2016 the synthesis of the amphiphilic imidazolium salt 58 by the reaction of 1-dodecylimidazole 57 with octaethylene glycol monomethyl ether bromide (Scheme 13) [76], from which some water-soluble Pd(II)-, Ag(I)- and Au(I)-NHC complexes could be accessed [76,77,78,79]. In particular, the treatment of 58 with equimolar amounts of [AuCl(SMe2)] and K2CO3 in refluxing acetone cleanly afforded the Au(I)-NHC complex 59, which spontaneously forms spherical micelles (ca. 3.0 nm of diameter) in water [78]. The appearance of gold nanoparticles, presumably protected on the surface by the NHC ligand, was also observed when complex 59 was dissolved in water above the critical micelle concentration (1.3 × 10−5 M) [78,79]. As shown in Scheme 13, when combined with the halide abstractor KB(C6F5)4, 59 was able to catalyze the selective hydration of 1-dodecyne to 2-dodecanone in pure water, with the mechanistic investigations performed by the authors suggesting that the hydration process is mainly facilitated by the Au NPs in situ generated in the reaction medium [78].
Scheme 13.
Synthesis of complex 59 and its application to the catalytic hydration of 1-dodecyne.
In line with the work just commented, it is worth mentioning that water-soluble gold nanoparticles and nanoclusters stabilized by PEGylated N-heterocyclic carbenes have gained attention in recent years for biomedical and biological applications [80,81,82,83]. However, the use of such nanomaterials in catalysis remains virtually unexplored. In fact, only a recent work published by Nazemi and co-workers can be currently found in the literature [84]. Thus, they reported the preparation of the robust water-soluble gold NPs 65 and 66, stabilized by mesoionic NHC ligands, capable of catalyzing the reduction of 4-nitrophenol into 4-aminophenol by NaBH4 in an aqueous solution [84]. The synthetic route employed for the preparation of 65 is detailed in Scheme 14.
Scheme 14.
Synthesis of water-soluble gold NPs stabilized with PEGylated NHC ligands.
It involves the initial Cu-catalyzed “click” coupling of the PEGylated alkyne 60 with azide 61 to generate the 1,2,3-triazole derivative 62, which was subsequently transformed into the corresponding triazolium salt 63 by methylation. Treatment of 63 with [AuCl(SMe2)] and K2CO3 in refluxing acetone led to the monomeric and isolable Au(I)-NHC complex 64, from which NPs 65 were obtained by slow addition of the reductant NaBH4. The same synthetic approach, starting from the appropriate dialkyne- and diazide-functionalized monomers, was employed for the synthesis of NPs 66, capped in this case by a mesoionic NHC polymer. Concerning their performances in the catalytic reduction of 4-nitrophenol, the reaction which was performed at r.t. with a 5-fold excess of NaBH4, the UV-Vis monitoring indicated that NPs 65 are 10 times more active than NPs 66, due to the smaller size and larger surface area of the former, as well as to their more accessible surface for substrate binding. As stated by the authors, the catalytic behavior of 65 is comparable, or even superior, to other non-PEGylated NHC-protected Au NPs previously described in the literature. At this point, we should also mention that Au NPs stabilized by PEG-tagged imidazolium salts were successfully employed by Pleixats and coworkers as recyclable catalysts for the cycloisomerization of γ-alkynoic acids to enol-lactones in a biphasic water/toluene medium [85].
On the other hand, besides complex 59, mentioned above, other Au(I) derivatives with PEGylated NHC ligands have been applied in aqueous catalysis. For example, Fujita and co-workers described the preparation of a series of dendritic NHC-gold(I) complexes 68a-e having a poly(benzyl ether) dendron decorated on the periphery with ethylene glycol units [86,87]. As shown in Scheme 15, they were obtained in high yield from the corresponding imidazolium salts 67a-e using the silver oxide transmetallation route.
Scheme 15.
Synthesis of the dendritic Au(I) complex 68a-e containing PEGylated NHC ligands.
All these hydrophilic complexes proved to be catalytically active in the carboxylative cyclization of propargylic amines under mild conditions (r.t.) and an atmospheric pressure of CO2, and more importantly, employing pure water as solvent [86,87]. Among them, the best performances were achieved with 68b, having penta(ethylene glycol) units, which allowed access to a variety of 2-oxazolidinones in moderate to high yields (see Scheme 16). In addition, the authors also demonstrated its reusability in the sequential carboxylative cyclization by the successive addition of the propargyl amine substrate to the reaction medium. Also of note is the fact that, due probably to steric reasons, the second- and third-generation dendrimers 68d and 68e led in general to lower yields when compared to the first-generation one 68a (all of them featuring tri(ethylene glycol) as the hydrophilic units).
Scheme 16.
Aqueous media carboxylative cyclization of propargylic amines with CO2 catalyzed by the dendritic Au(I) complex 68b.
Che and co-workers reported the preparation of the PEGylated NHC-Au(I) derivative 70 from the imidazolium salt 69, generated by alkylation of 1-(2,6-diisopropylphenyl)imidazole with mesylated PEG (MeOPEG2000OMs), and [AuCl(SMe2)] through the silver oxide route [88]. Complex 70 proved to be an efficient and selective catalyst for the 5-exo-dig cyclization of γ-alkynoic acids, being able to operate in pure water, under mild conditions (r.t.), and in the absence of additives. A clear proof of its effectiveness and synthetic potential is the double cyclization of the dialkynoic acids 71 into the spiro enol-lactones 72, which were isolated in excellent yields (see Scheme 17). Remarkably, when the same double cyclization reactions were performed in dichloromethane with classical Au(I) catalysts, such as [AuCl(IPr)] or [AuCl(JohnPhos)], mixtures of regioisomers were obtained. Another important aspect is that, after extraction of the lactone product with diethyl ether, the aqueous solution containing 70 could be reused seven consecutive times while maintaining good catalytic behavior. However, we must note that slight losses of activity were observed after the second recycling cycle due to the generation of catalytically inactive Au NPs.
Scheme 17.
Synthesis of the Au(I) complex 70 and its application in the synthesis of spiro enol-lactones.
As shown in Scheme 18, employing 70 as a catalyst, the fused polycyclic indoles 77 could also be easily assembled in water by coupling tryptamine 73 with the γ-alkynoic acids 74 [88]. The initial step of this cascade process is the generation of the corresponding enol-lactones 75, which are subsequently converted into the respective linear keto-amides 76 by aminolysis of the ester unit. Final cyclization of 76 gives the fused polycyclic indole products 77, a process facilitated at high temperature (60 °C; the same reactions performed at room temperature allowed the isolation of intermediates 76).
Scheme 18.
Access to polycyclic indoles 77 by Au-catalyzed coupling of alkynoic acids and tryptamine in water.
Complexes 78a-b and 79, described very recently by Krause and co-workers, are additional examples of Au(I) complexes with PEGylated NHC ligands (see Figure 3) [89]. In them, regioisomeric mixtures of polyethylene glycol ubiquinol succinate units are linked to one of the nitrogen atoms of the NHC skeleton, conferring their water solubility and amphiphilic character.
Figure 3.
Structure of the amphiphilic N-heterocyclic carbene-gold(I) complexes 78a-b and 79.
Complex 78a was successfully applied as a recyclable catalyst in the dehydrative cyclization of several alkynediols 80 to furans 81 in water, showing the best performances when the co-surfactant sodium dodecyl sulfate (SDS) was added to the reaction medium (Scheme 19) [89]. Although in less detail, the usefulness of 78a-b and 79 to promote the cyclization of γ-alkynoic acids and allenic alcohols was also demonstrated.
Scheme 19.
Dehydrative cyclization of alkynediols 80 to furans 81 catalyzed by complex 78a in an aqueous micellar medium.
3.2. Alcohol-Tagged NHC Ligands
The inclusion of alcohol substituents in NHC ligands backbone can also be employed for the design of water-soluble transition-metal complexes [27,31]. In this context, Miriconda, Longo and co-workers have described several hydrophilic Au(I) and Ag(I) derivatives containing OH-functionalized NHCs with anticancer and antibacterial properties [90,91,92], some of them also showing catalytic potential. In particular, they found that the ionic bis-NHC gold(I) complexes 84, prepared from the imidazolium salts, 82 by transmetalation between the corresponding in-situ generated silver bis-carbenes, 83, and [AuCl(SMe2)] [90,91,92], are capable of promoting the synthesis of propargylamines by A3-coupling of aldehydes with piperidine and phenylacetylene (Scheme 20) [93]. Although the catalytic reactions were routinely performed under solvent-free conditions, it should be noted the successful use of formaldehyde in an aqueous solution.
Scheme 20.
Synthesis of bis-NHC gold(I) complexes 84 and their application in A3-coupling processes.
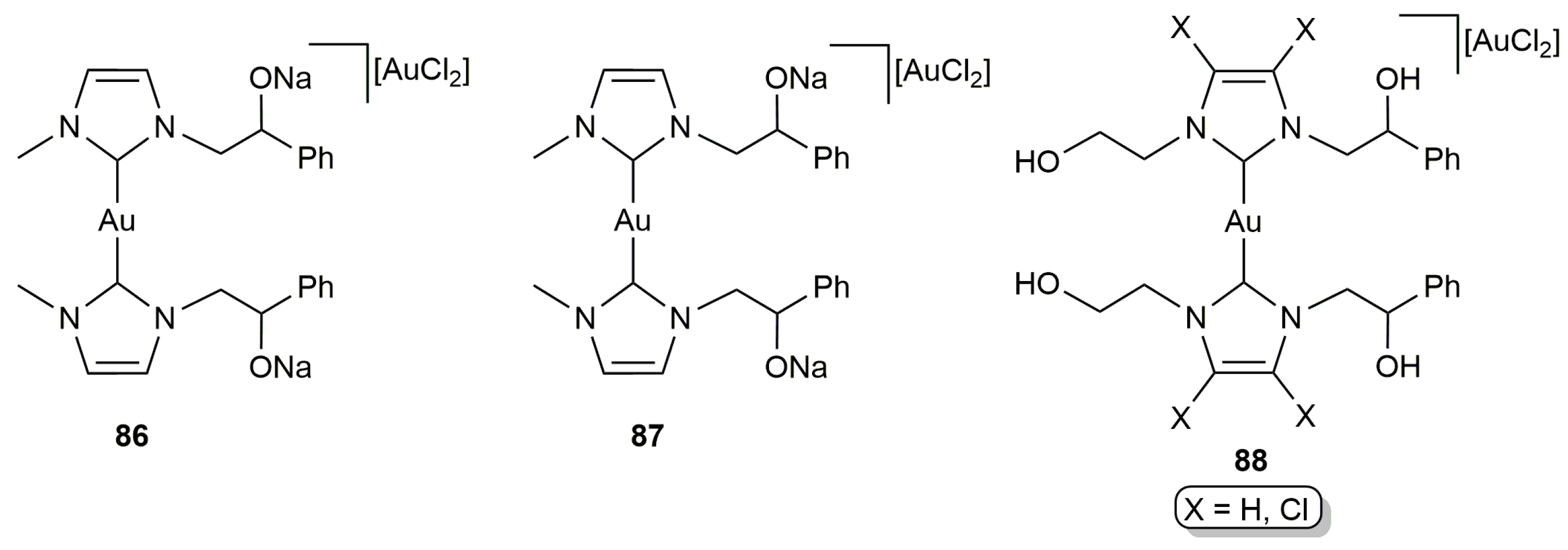
The authors explored in parallel the catalytic behavior of the isolated bis-NHC silver(I) intermediates 83, which showed to be generally less performing than their gold analogs 84 [93]. It should also be mentioned that given the presence of the [AuCl2]- counteranion, complex 84 exists in solution in equilibrium with the corresponding neutral species 85 (see Scheme 20), and is considered responsible for the catalytic activity observed (the same behavior in solution was also assumed for the bis-NHC silver(I) complex 83). Further studies by the same authors also demonstrated the utility of the related bis-NHC-Au(I) complexes 86–88 (see Figure 4), which, analogously to 84, are supposed to exist in equilibrium with the corresponding non-ionic monocarbenic species [AuCl(NHC)] in solution, as catalysts in analogous A3-coupling reactions of aldehydes (including aqueous formaldehyde), amines and alkynes [94,95].
Figure 4.
Structure of the hydrophilic bis-NHC gold(I) complexes 86–88.
Complexes 89–93 (see Figure 5) are additional examples of gold complexes containing OH-functionalized NHC ligands that can be found in the literature [96,97,98,99,100]. Although some of them were found to be catalytically active in olefin cyclopropanation reactions, i.e., complex 90 [96], and the alkoxycyclization of 1,6-enynes, i.e., complexes 90–93 [98], an organic solvent was in all the cases employed as the reaction medium, and nothing was mentioned about their behavior in aqueous environments.
Figure 5.
Structure of the hydrophilic bis-NHC gold(I) complexes 89–93.
3.3. Carbohydrate-Tagged NHC Ligands
Cyclodextrin-based metal catalysts have attracted considerable attention in the last few years, and plentiful applications can be found in the literature [101]. In the context of the present review, Krause and co-workers demonstrated the utility of water-soluble β-cyclodextrin (β-CD)-tagged NHC-gold(I) derivatives in aqueous catalysis [102]. In the first approach, they synthesized complex 97 through the initial alkylation of N-methylimidazole with the tosyl-substituted peracetylated β-CD 94, followed by TsO-/Cl- anion exchange with the Amberlite IRA-900 Cl resin to afford the imidazolium chloride 95, the subsequent generation of the NHC-gold(I) complex 96 via the corresponding Ag-NHC intermediate, and final liberation of the secondary hydroxy groups of 96 by removal of the acetyl protecting groups with a diluted NaOMe solution in methanol (Scheme 21). Starting from the tosyl-substituted permethylated β-CD 98, the related gold complexes 99a-c were also obtained using the same alkylation/Ag-assisted coordination sequence.
Scheme 21.
Access to the cyclodextrin-tagged NHC-Au(I) complexes 97 and 99a-c and their involvement in catalysis.
As shown in the bottom of Scheme 21, both 97 and 99a-c were capable of catalyzing the cycloisomerization of the α-hydroxyallene 100 into the trisubstituted 2,5-dihydrofuran 101 in pure water and under mild and silver-free conditions. Among them, 99a proved to be the most effective, allowing the quantitative conversion of allene 100 after 24 h at room temperature. Interestingly, while the activity of 97 increased upon the addition of AgOTf to the reaction medium (5 mol%; 91% conversion after 24 h), the effectiveness of 99a-c remained virtually unchanged. This fact suggests a faster dissociation of the chloride ligand in 99a-c vs. 97 when dissolved in water, a step required to generate the corresponding catalytically active cationic Au(I) species. The recyclability of 99a was demonstrated by the authors (it could be reused 4 times after extraction of the dihydrofuran product 101 from the aqueous reaction mixture with pentane and diethyl ether, with only a slight decrease in activity in the fourth cycle). In the same work, Krause and co-workers also reported the preparation of the Au(I) complexes 103–106, in which the NHC ligands are connected to the permethylated β-CD skeleton through 1,4-disubstituted triazole linkers (Figure 6) [102]. All of them were obtained from the propargyl ether-functionalized cyclodextrin 102, employing copper-catalyzed azide-alkyne cycloaddition reactions (CuAAC; complexes 103 and 104) or ruthenium-catalyzed azide-alkyne cycloadditions (RuAAC; complexes 105 and 106), to construct the respective 1,4-disubstituted triazole linkers. In these key reactions, the corresponding azido-substituted imidazolium salts were used as the coupling partners, with the final access to complexes 103–106 being achieved by subsequent treatment of the resulting cycloaddition products with Ag2O and [AuCl(SMe2)].
Figure 6.
Structure of propargyl ether 102 and the NHC-Au(I) complexes 103–106.
Following a related approach, the NHC-gold(I) derivatives 108 and 109, containing a 1,4-disubstituted triazole linker, were additionally accessed from the β-CD-derived azide 107 through initial CuAAC coupling with the corresponding alkyne-substituted imidazolium salt, and subsequent coordination via Ag-Au transmetallation (Figure 7) [102]. Complexes 103–106, 108, and 109 catalyzed the cycloisomerization of the α-hydroxyallene 100 in water and in the absence of a silver additive, all of them showing effectiveness and recyclability comparable to that of 99a.
Figure 7.
Structure of azide 107 and the cyclodextrin-tagged NHC-Au(I) complexes 108 and 109.
In addition to the works by Krause and co-workers, Sollogoub’s group has described a large number of NHC-containing cyclodextrins and their corresponding gold complexes [103,104,105,106,107,108,109], some of them showing catalytic potential [103,104,105,106]. In particular, relevant to the topic addressed in the present review are the water-soluble encapsulated gold(I) complexes 110 and 111, based on an NHC-capped permethylated α- and β-cyclodextrin, respectively (Figure 8) [106].
Figure 8.
Structure of the NHC-Au(I) complexes 110 and 111.
Thus, as shown in Scheme 22, these complexes were able to promote the hydration of hydrophilic alkynes 112 into ketones 113, the cycloisomerization of γ-alkynoic acids 114 into enol lactones 115, and intramolecular hydroarylation of alkynoic esters 116 and 118 in pure water, under mild conditions, and without the assistance of any silver or acid additive. With the exception of the hydroarylation reactions of 118, which afforded mixtures of the separable regioisomers 119 and 120, exquisite regioselectivity was observed regardless of the catalyst employed. However, we must note that the reactivity of 110 was, in general, lower than that of 111 due to the steric constraint imposed by the smaller α-CD cavity.
Scheme 22.
Catalytic reactions promoted by complexes 110 and 111 in pure water.
It should finally be mentioned that complexes 110 and 111 were capable of inducing enantiocontrol in the cycloisomerization of enyne 121 (Scheme 23) [106]. In contrast to the previous examples, the process was not found to proceed in the absence of a silver(I) co-catalyst, and although the cyclized product 122 was generated in low yield, satisfactory enantioselectivities (60–81% ee) were reached. The highest ee was obtained by performing the reaction at room temperature with the larger β-CD-based catalyst 111, which proved to be also effective in the hydroxycyclization of the 1,6-enyne 123, affording the cyclized alcohol 124 in 79% yield and 97% ee under silver-free conditions (Scheme 23).
Scheme 23.
Application of complexes 110 and 111 in asymmetric catalysis.
On the other hand, despite the growing interest in metal complexes with NHC ligands functionalized with monosaccharide residues for catalysis and biological applications [110], examples involving gold are yet very rare [111,112]. Thus, to the best of our knowledge, only the catalytic potential of the galactopyranoside-substituted N-heterocyclic carbene gold(I) complex 126, generated as a mixture of the α and β anomers from the imidazolium salt 125 through the classical silver oxide transmetallation route, has been very recently explored by Silbestri and co-workers [112]. As shown in Scheme 24, complex 126 was able to efficiently promote the Markovnikov hydration of phenylacetylene at 100 °C when methanol was used as a solvent, being completely inoperative in a pure aqueous medium and not very effective in an H2O/MeOH mixture.
Scheme 24.
Synthesis of the NHC-Au(I) complex 126 and its catalytic behavior in the hydration of phenylacetylene.
4. Conclusions
Great attention has been devoted in the last three decades to synthetic organic chemistry in water, and research, particularly in the field of catalysis, has increased exponentially. The design of new ligand architectures enabling the solubility of metal complexes in aqueous environments represents a cornerstone in the field, and the initial works focused on hydrophilic phosphine ligands have rapidly expanded to other classes of ligands, including NHCs. In this review article, we have tried to highlight the potential of water-soluble gold complexes and nanoparticles featuring hydrophilic NHC ligands in aqueous catalysis. In addition to the classical Markovnikov hydration of terminal alkynes, several cyclization reactions of functionalized alkynes and allenes, as well as the reduction of nitroaromatic compounds, have been successfully developed employing this type of catalysts and, more importantly, in most cases, they could be easily recovered and reused by selective extraction of the final reaction products from the aqueous phase. Although there is already a body of work in the area, it can be anticipated that many further advances will appear in the near future as gold is currently one of the most versatile metals involved in organic catalytic synthesis [32,33,34,35,36,37,38,39,40,41,42,43,44,45,46,47,113,114,115,116,117,118,119,120,121,122]. We hope that this contribution serves to stimulate future research in this direction.
Author Contributions
Both authors participated equally in the conceptualization and redaction of the manuscript. All authors have read and agreed to the published version of the manuscript.
Funding
This research received no external funding.
Institutional Review Board Statement
Not applicable.
Informed Consent Statement
Not applicable.
Data Availability Statement
Not applicable.
Conflicts of Interest
The authors declare no conflict of interest.
References
- Horváth, I.T.; Joó, F. (Eds.) Aqueous Organometallic Chemistry and Catalysis; Kluwer Academic Publishers: Dordrecht, The Netherlands, 1995. [Google Scholar]
- Cornils, B.; Herrmann, W.A. (Eds.) Aqueous-Phase Organometallic Catalysis: Concepts and Applications, 2nd ed.; Wiley-VCH: Weinheim, Germany, 2004. [Google Scholar]
- Cornils, B.; Herrmann, W.A.; Horváth, I.T.; Leitner, W.; Mecking, S.; Olivier-Bourbigou, H.; Vogt, D. (Eds.) Multiphase Homogeneous Catalysis; Wiley-VCH: Weinheim, Germany, 2005. [Google Scholar]
- Dixneuf, P.H.; Cadierno, V. (Eds.) Metal-Catalyzed Reactions in Water; Wiley-VCH: Weinheim, Germany, 2013. [Google Scholar]
- Gonsalvi, L. (Ed.) Homogeneous Catalysis and Mechanisms in Water and Biphasic Media; MDPI: Basel, Switzerland, 2019. [Google Scholar]
- Cornils, B.; Kuntz, E.G. Introducing TPPTS and related ligands for industrial biphasic processes. J. Organomet. Chem. 1995, 502, 177–186. [Google Scholar] [CrossRef]
- Butler, R.N.; Coyne, A.G. Water: Nature’s reaction enforcer-comparative effects for organic synthesis “in-water” and “on-water”. Chem. Rev. 2010, 110, 6302–6337. [Google Scholar] [CrossRef] [PubMed]
- Kalck, P.; Monteil, F. Use of water-soluble ligands in homogeneous catalysis. Adv. Organomet. Chem. 1992, 34, 219–284. [Google Scholar]
- Herrmann, W.A.; Kohlpaintner, C.W. Water-soluble ligands, metal complexes, and catalysis: Synergism of homogeneous and heterogeneous catalysis. Angew. Chem. Int. Ed. Engl. 1993, 32, 1524–1544. [Google Scholar] [CrossRef]
- Pinault, N.; Bruce, D.W. Homogeneous catalysts based on water-soluble phosphines. Coord. Chem. Rev. 2003, 241, 1–25. [Google Scholar] [CrossRef]
- Phillips, A.D.; Gonsalvi, L.; Romerosa, A.; Vizza, F.; Peruzzini, M. Coordination chemistry of 1,3,5-triaza-7-phosphaadamantane (PTA): Transition metal complexes and related catalytic, medicinal and photoluminescent applications. Coord. Chem. Rev. 2004, 248, 955–993. [Google Scholar] [CrossRef]
- Shaughnessy, K.H. Hydrophilic ligands and their application in aqueous-phase metal-catalyzed reactions. Chem. Rev. 2009, 109, 643–710. [Google Scholar] [CrossRef]
- Tilloy, S.; Binkowski-Machut, C.; Menuel, S.; Bricout, H.; Monflier, E. Phosphane-based cyclodextrins as mass transfer agents and ligands for aqueous organometallic catalysis. Molecules 2012, 17, 13062–13072. [Google Scholar] [CrossRef]
- Schlatzer, T.; Breinbauer, R. Synthesis of hydrophilic phosphorus ligands and their application in aqueous-phase metal-catalyzed reactions. Adv. Synth. Catal. 2021, 363, 668–687. [Google Scholar] [CrossRef]
- Nolan, S.P. (Ed.) N-Heterocyclic Carbenes in Synthesis; Wiley-VCH: Weinheim, Germany, 2006. [Google Scholar]
- Glorius, F. (Ed.) N-Heterocyclic Carbenes in Transition Metal Catalysis; Springer: Heidelberg, Germany, 2007. [Google Scholar]
- Cazin, C.S.J. (Ed.) N-Heterocyclic Carbenes in Transition Metal Catalysis and Organocatalysis; Springer: Dordrecht, The Netherlands, 2011. [Google Scholar]
- Nolan, S.P. (Ed.) N-Heterocyclic Carbenes: Effective Tools for Organometallic Synthesis; Wiley-VCH: Weinheim, Germany, 2014. [Google Scholar]
- Díez-González, S. (Ed.) N-Heterocyclic Carbenes: From Laboratory Curiosities to Efficient Synthetic Tools, 2nd ed.; RSC Publishing: Cambridge, UK, 2017. [Google Scholar]
- Smith, C.A.; Narouz, M.R.; Lummis, P.A.; Singh, I.; Nazemi, A.; Li, C.-H.; Crudden, C.M. N-Heterocyclic carbenes in materials chemistry. Chem. Rev. 2019, 119, 4986–5056. [Google Scholar] [CrossRef]
- An, Y.-Y.; Yu, J.-G.; Han, Y.-F. Recent advances in the chemistry of N-heterocyclic-carbene-functionalized metal-nanoparticles and their applications. Chin. J. Chem. 2019, 37, 76–87. [Google Scholar] [CrossRef]
- Cerezo-Navarrete, C.; Lara, P.; Martínez-Prieto, L.M. Organometallic nanoparticles ligated by NHCs: Synthesis, surface chemitry and ligand effects. Catalysts 2020, 10, 1144. [Google Scholar] [CrossRef]
- Eisen, C.; Chin, J.M.; Reithofer, M.R. Catalytically active gold nanomaterials stabilized by N-heterocyclic carbenes. Chem. Asian J. 2021, 16, 3026–3037. [Google Scholar] [CrossRef]
- Shen, H.; Tian, G.; Xu, Z.; Wang, L.; Wu, Q.; Zhang, Y.; Teo, B.K.; Zheng, N. N-Heterocyclic carbene coordinated metal nanoparticles and nanoclusters. Coord. Chem. Rev. 2022, 458, 214425. [Google Scholar] [CrossRef]
- Herrmann, W.A.; Gooβen, L.J.; Spiegler, M. Functionalized imidazoline-2-ylidene complexes of rhodium and palladium. J. Organomet. Chem. 1997, 547, 357–366. [Google Scholar] [CrossRef]
- Velazquez, H.D.; Verpoort, F. N-Heterocyclic transition metal complexes for catalysis in aqueous media. Chem. Soc. Rev. 2012, 41, 7032–7060. [Google Scholar] [CrossRef]
- Schaper, L.-A.; Hock, S.J.; Herrmann, W.A.; Kühn, F.E. Synthesis and application of water-soluble NHC transition-metal complexes. Angew. Chem. Int. Ed. 2013, 52, 270–289. [Google Scholar] [CrossRef]
- Levin, E.; Ivry, E.; Diesendruck, C.E.; Lemcoff, N.G. Water in N-heterocyclic carbene-assisted catalysis. Chem. Rev. 2015, 115, 4607–4692. [Google Scholar] [CrossRef] [PubMed]
- Wang, W.; Cui, L.; Sun, P.; Shi, L.; Yue, C.; Li, F. Reusable N-heterocyclic carbene complex catalysts and beyond: A perspective on recycling strategies. Chem. Rev. 2018, 118, 9843–9929. [Google Scholar] [CrossRef] [PubMed]
- De, S.; Udvardy, A.; Czégéni, C.E.; Joó, F. Poly-N-heterocyclic carbene complexes with applications in aqueous media. Coord. Chem. Rev. 2019, 400, 213038. [Google Scholar] [CrossRef]
- Flores, J.C.; Silbestri, G.F.; de Jesús, E. Water-soluble transition-metal complexes with hydrophilic N-heterocyclic carbene ligands for aqueous-phase applications. Adv. Organomet. Chem. 2022, 77, 169–242. [Google Scholar]
- Hashmi, A.S.K. Gold-catalyzed organic reactions. Chem. Rev. 2007, 107, 3180–3211. [Google Scholar] [CrossRef] [PubMed]
- Arcadi, A. Alternative synthetic methods through new developments in catalysis by gold. Chem. Rev. 2008, 108, 3266–3325. [Google Scholar] [CrossRef] [PubMed]
- Gorin, D.J.; Sherry, B.D.; Toste, F.D. Ligand effects in homogeneous Au catalysis. Chem. Rev. 2008, 108, 3351–3378. [Google Scholar] [CrossRef] [PubMed]
- Corma, A.; Leyva-Pérez, A.; Sabater, M.J. Gold-catalyzed carbon-heteroatom bond-forming reactions. Chem. Rev. 2011, 111, 1657–1712. [Google Scholar] [CrossRef] [PubMed]
- Braun, I.; Asiri, A.M.; Hashmi, A.S.K. Gold catalysis 2.0. ACS Catal. 2013, 3, 1902–1907. [Google Scholar] [CrossRef]
- Zi, W.; Toste, F.D. Recent advances in enantioselective gold catalysis. Chem. Soc. Rev. 2016, 45, 4567–4589. [Google Scholar] [CrossRef]
- Pflaesterer, D.; Hashmi, A.S.K. Gold catalysis in total synthesis—Recent achievements. Chem. Soc. Rev. 2016, 45, 1331–1367. [Google Scholar] [CrossRef]
- Shahzad, S.A.; Sajid, M.A.; Khan, Z.A.; Canseco-González, D. Gold catalysis in organic transformations: A review. Synth. Commun. 2017, 47, 735–755. [Google Scholar] [CrossRef]
- Witzel, S.; Hashmi, A.S.K.; Jin, X. Light in gold catalysis. Chem. Rev. 2021, 121, 8868–8925. [Google Scholar] [CrossRef]
- Michelet, V. Gold-catalyzed reactions towards diversity: From simple substrates to functionalized carbo- and heterocycles. Chem. Rec. 2021, 21, 3884–3896. [Google Scholar] [CrossRef] [PubMed]
- Marion, N.; Nolan, S.P. N-heterocyclic carbenes in gold catalysis. Chem. Soc. Rev. 2008, 37, 1776–1782. [Google Scholar] [CrossRef] [PubMed]
- Nolan, S.P. The development and catalytic uses of N-heterocyclic carbene gold complexes. Acc. Chem. Res. 2011, 44, 91–100. [Google Scholar] [CrossRef] [PubMed]
- Gaillard, S.; Cazin, C.S.J.; Nolan, S.P. N-Heterocyclic carbene gold(I) and copper(I) complexes in C-H bond activation. Acc. Chem. Res. 2012, 45, 778–787. [Google Scholar] [CrossRef] [PubMed]
- Gatineau, D.; Goddard, J.-P.; Mouries-Mansuy, V.; Fensterbank, L. When NHC ligands make a difference in gold catalysis. Isr. J. Chem. 2013, 53, 892–900. [Google Scholar] [CrossRef]
- Tang, X.-T.; Yang, F.; Zhang, T.-T.; Liu, Y.-F.; Liu, S.-Y.; Su, T.-F.; Lv, D.-C.; Shen, W.-B. Recent progress in N-heterocyclic carbene gold-catalyzed reactions of alkynes involving oxidation/amination/cycloaddition. Catalysts 2020, 10, 350. [Google Scholar] [CrossRef]
- Mariconda, A.; Sirignano, M.; Troiano, R.; Russo, S.; Longo, P. N-Heterocyclic carbene gold complexes active in hydroamination and hydration of alkynes. Catalysts 2022, 12, 836. [Google Scholar] [CrossRef]
- Koy, M.; Bellotti, P.; Das, M.; Glorius, F. N-Heterocyclic carbenes as tunable ligands for catalytic metal surfaces. Nat. Catal. 2021, 4, 352–363. [Google Scholar] [CrossRef]
- Kaur, G.; Thimes, R.L.; Camden, J.P.; Jenkins, D.M. Fundamentals and applications of N-heterocyclic carbene functionalized surfaces and nanoparticles. Chem. Commun. 2022, 58, 13188–13197. [Google Scholar] [CrossRef]
- Almássy, A.; Nagy, C.E.; Bényei, A.C.; Joó, F. Novel sulfonated N-heterocyclic carbene gold(I) complexes: Homogeneous gold catalysis for the hydration of terminal alkynes in aqueous media. Organometallics 2010, 29, 2484–2490. [Google Scholar] [CrossRef]
- Czégéni, C.E.; Papp, G.; Kathó, Á.; Joó, F. Water-soluble gold(I)-NHC complexes of sulfonated IMes and SIMes and their catalytic activity in hydration of alkynes. J. Mol. Catal. A: Chem. 2011, 340, 1–8. [Google Scholar] [CrossRef]
- Fernández, G.A.; Picco, A.S.; Ceolín, M.R.; Chopa, A.B.; Silbestri, G.F. Synthesis and structural characterization of water-soluble gold(I) N-heterocyclic carbene complexes. An X-ray absorption fine structure spectroscopy (XAFS) study. Organometallics 2013, 32, 6315–6323. [Google Scholar] [CrossRef]
- Fernández, G.A.; Gurovic, M.S.V.; Olivera, N.L.; Chopa, A.B.; Silbestri, G.F. Antibacterial properties of water-soluble gold(I) N-heterocyclic carbene complexes. J. Inorg. Biochem. 2014, 135, 54–57. [Google Scholar] [CrossRef] [PubMed]
- Fernández, G.A.; Chopa, A.B.; Silbestri, G.F. Structure/catalytic activity study of gold(I)-NHC complexes, recyclable and reusable, in the hydration of alkynes in aqueous medium. Catal. Sci. Technol. 2016, 6, 1921–1929. [Google Scholar] [CrossRef]
- Fernández, G.A.; Dorn, V.; Chopa, A.B.; Silbestri, G.F. Steric hindrance and electronic effects of sulfonatepropyl chain on gold center. An experimental and DFT study. J. Organomet. Chem. 2017, 852, 20–26. [Google Scholar] [CrossRef]
- Fernández, G.A.; Schiel, M.A.; Silbestri, G.F. On the catalytic activity of water-soluble NHC-Au(I) complexes by sonication and microwave irradiation: A comparative assessment. J. Organomet. Chem. 2020, 923, 121452. [Google Scholar] [CrossRef]
- Gastaldi, C.; Mekhloufi, G.; Forano, C.; Gautier, A.; Guérard-Hélaine, C. Mixing chemo- and biocatalysis for rare monosaccharide production by combining alsolase and N-heterocyclic carbene gold catalysts. Green Chem. 2022, 24, 3634–3639. [Google Scholar] [CrossRef]
- Cadierno, V. Recent advances in the transition metal-catalyzed addition of carboxylic acids to alkynes. Curr. Org. Chem. 2021, 25, 2260–2303. [Google Scholar] [CrossRef]
- Francos, J.; Cadierno, V. Metal-catalyzed intra- and intermolecular addition of carboxylic acids to alkynes in aqueous media: A review. Catalysts 2017, 7, 328. [Google Scholar] [CrossRef]
- Cadierno, V. Gold-catalyzed addition of carboxylic acids to alkynes and allenes: Valuable tools for organic synthesis. Catalysts 2020, 10, 1206. [Google Scholar] [CrossRef]
- Tomás-Mendivil, E.; Toullec, P.Y.; Díez, J.; Conejero, S.; Michelet, V.; Cadierno, V. Cycloisomerization versus hydration reactions in aqueous media: A Au(III)-NHC catalyst that makes the difference. Org. Lett. 2012, 14, 2520–2523. [Google Scholar] [CrossRef]
- Tomás-Mendivil, E.; Toullec, P.Y.; Borge, J.; Conejero, S.; Michelet, V.; Cadierno, V. Water-soluble gold(I) and gold(III) complexes with sulfonated N-heterocyclic carbene ligands: Synthesis, characterization, and application in the catalytic cycloisomerization of γ-alkynoic acids into enol-lactones. ACS Catal. 2013, 3, 3086–3098. [Google Scholar] [CrossRef]
- Ferré, M.; Cattoën, X.; Man, M.W.C.; Pleixats, R. Sol-gel immobilized N-heterocyclic carbene gold complex as a recyclable catalyst for the rearrangement of allylic esters and the cycloisomerization of γ-alkynoic acids. ChemCatChem 2016, 8, 2824–2831. [Google Scholar] [CrossRef]
- Thomas, S.R.; Casini, A. N-Heterocyclic carbenes as “smart” gold nanoparticle stabilizers: State-of-the art and perspectives for biomedical applications. J. Organomet. Chem. 2021, 938, 121743. [Google Scholar] [CrossRef]
- Ferry, A.; Schaepe, K.; Tegeder, P.; Richter, C.; Chepiga, K.M.; Ravoo, B.J.; Glorius, F. Negatively charged N-heterocyclic carbene-stabilized Pd and Au nanoparticles and efficient catalysis in water. ACS Catal. 2015, 5, 5414–5420. [Google Scholar] [CrossRef]
- Tegeder, P.; Freitag, M.; Chepiga, K.M.; Muratsugu, S.; Möller, N.; Lamping, S.; Tada, M.; Glorius, F.; Ravoo, B.J. N-Heterocyclic carbene-modified AuPd alloy nanoparticles and their application as biomimetic and heterogeneous catalysts. Chem. Eur. J. 2018, 24, 18682–18688. [Google Scholar] [CrossRef] [PubMed]
- Thomas, S.R.; Yang, W.; Morgan, D.J.; Davies, T.E.; Li, J.J.; Fischer, R.A.; Huang, J.; Dimitratos, N.; Casini, A. Bottom-up synthesis of water-soluble gold nanoparticles stabilized by N-heterocyclic carbenes: From structural characterization to applications. Chem. Eur. J. 2022, 28, e202201575. [Google Scholar] [CrossRef]
- Monti, G.A.; Fernández, G.A.; Correa, N.M.; Falcone, R.D.; Moyano, F.; Silbestri, G.F. Gold nanoparticles stabilized with sulphonated imidazolium salts in water and reverse micelles. R. Soc. Open Sci. 2017, 4, 170481. [Google Scholar] [CrossRef]
- Monti, G.A.; Correa, N.M.; Falcone, R.D.; Silbestri, G.F.; Moyano, F. Gold nanoparticles stabilized by sulfonated-imidazolium salts as promising catalysts in water. ChemistrySelect 2019, 4, 13496–13502. [Google Scholar] [CrossRef]
- Monti, G.A.; Correa, N.M.; Falcone, R.D.; Silbestri, G.F.; Moyano, F. Water-soluble gold nanoparticles: Recyclable catalysts for the reductions of aromatic nitro compounds in water. RSC Adv. 2020, 10, 15065–15071. [Google Scholar] [CrossRef]
- Monti, G.A.; Correa, N.M.; Falcone, R.D.; Silbestri, G.F.; Moyano, F. Understanding metallic nanoparticles stabilization in water by imidazolium salts: A complete physicochemical study. ChemistrySelect 2020, 5, 11264–11271. [Google Scholar] [CrossRef]
- Belger, K.; Krause, N. Ammonium-salt-tagged IMesAuCl complexes and their application in gold-catalyzed cycloisomerization reactions in water. Eur. J. Org. Chem. 2015, 2015, 220–225. [Google Scholar] [CrossRef]
- Petersen, H.; Ballmann, M.; Krause, N.; Weberskirch, R. Gold(I) NHC catalysts immobilized to amphiphilic block copolymers: A versatile approach to micellar gold catalysis in water. ChemCatChem 2022, 14, e202200727. [Google Scholar] [CrossRef]
- Belger, K.; Krause, N. Smaller, faster, better: Modular synthesis of unsymmetrical ammonium salt-tagged NHC-gold(I) complexes and their application as recyclable catalysts in water. Org. Biomol. Chem. 2015, 13, 8556–8560. [Google Scholar] [CrossRef] [PubMed]
- Ibrahim, H.; de Frémont, P.; Braunstein, P.; Théry, V.; Nauton, L.; Cisnetti, F.; Gautier, A. Water-soluble gold-N-heterocyclic carbene complexes for the catalytic homogeneous acid- and silver-free hydration of hydrophilic alkynes. Adv. Synth. Catal. 2015, 357, 3893–3900. [Google Scholar] [CrossRef]
- Taira, T.; Yanagimoto, T.; Sakai, K.; Sakai, H.; Endo, A.; Imura, T. Synthesis of surface-active N-heterocyclic carbene ligand and its Pd-catalyzed aqueous Mirozoki-Heck reaction. Tetrahedron 2016, 72, 4117–4122. [Google Scholar] [CrossRef]
- Taira, T.; Yanagimoto, T.; Sakai, K.; Sakai, H.; Endo, A.; Imura, T. Self-assembling properties of an N-heterocyclic carbene-based metallosurfactant: Pd-coordination induced formation of reactive interfaces in water. J. Oleo Sci. 2018, 67, 1107–1115. [Google Scholar] [CrossRef]
- Taira, T.; Yanagimoto, T.; Fouquet, T.; Sakai, K.; Sakai, H.; Endo, A.; Imura, T. Synthesis of an N-heterocyclic carbene-based Au(I) coordinate surfactant: Application for alkyne hydration based on Au nanoparticle formation. J. Oleo Sci. 2020, 69, 871–882. [Google Scholar] [CrossRef]
- Taira, T.; Yanagimoto, T.; Sakai, K.; Sakai, H.; Endo, A.; Imura, T. Au(I)-, Ag(I)-, and Pd(II)-coordination-driven diverse self-assembly of an N-heterocyclic carbene-based amphiphile. RSC Adv. 2021, 11, 17865–17870. [Google Scholar] [CrossRef]
- MacLeod, M.J.; Johnson, J.A. PEGylated N-heterocyclic carbene anchors designed to stabilize gold nanoparticles in biologically relevant media. J. Am. Chem. Soc. 2015, 137, 7974–7977. [Google Scholar] [CrossRef]
- MacLeod, M.J.; Goodman, A.J.; Ye, H.-Z.; Nguyen, H.V.-T.; Voorhis, T.V.; Johnson, J.A. Robust gold nanorods stabilized by bidentate N-heterocyclic-carbene-thiolate ligands. Nat. Chem. 2019, 11, 57–63. [Google Scholar] [CrossRef]
- Nosratabad, N.A.; Jin, Z.; Du, L.; Thakur, M.; Mattoussi, H. N-Heterocyclic carbene-stabilized gold nanoparticles: Mono- versus multidentate ligands. Chem. Mater. 2021, 33, 921–933. [Google Scholar] [CrossRef]
- Wu, Q.; Peng, R.; Gong, F.; Luo, Y.; Zhang, H.; Cui, Q. Aqueous synthesis of N-heterocyclic carbene-protected gold nanoclusters with intrinsic antibacterial activity. Colloids Surf. A: Physicochem. Eng. Asp. 2022, 645, 128934. [Google Scholar] [CrossRef]
- Nguyen, D.T.H.; Bélanger-Bouliga, M.; Shultz, L.R.; Maity, A.; Jurca, T.; Nazemi, A. Robust water-soluble gold nanoparticles via polymerized mesoionic N-heterocyclic carbene-gold(I) complexes. Chem. Mater. 2021, 33, 9588–9600. [Google Scholar] [CrossRef]
- Fernández, G.; Bernardo, L.; Villanueva, A.; Pleixats, R. Gold nanoparticles stabilized by PEG-tagged imidazolium salts as reciclable catalysts for the synthesis of propargylamines and the cycloisomerization of γ-alkynoic acids. New J. Chem. 2020, 44, 6130–6141. [Google Scholar] [CrossRef]
- Fujita, K.; Sato, J.; Inoue, K.; Tsuchimoto, T.; Yasuda, H. Aqueous media carboxylative cyclization of propargylic amines with CO2 catalyzed by amphiphilic dendritic N-heterocyclic carbene-gold(I) complexes. Tetrahedron Lett. 2014, 55, 3013–3016. [Google Scholar] [CrossRef]
- Fujita, K.; Inoue, K.; Sato, J.; Tsuchimoto, T.; Yasuda, H. Carboxylative cyclization of propargylic amines with CO2 catalyzed by dendritic N-heterocyclic carbene-gold(I) complexes. Tetrahedron 2016, 72, 1205–1212. [Google Scholar] [CrossRef]
- Lin, B.; Zhang, X.; Zhou, C.-Y.; Che, C.-M. A PEGylated N-heterocyclic carbene-gold(I) complex: An efficient catalyst for cyclization reaction in water. Org. Chem. Front. 2021, 8, 1216–1222. [Google Scholar] [CrossRef]
- Ballmann, M.; Ruer, P.C.; Hofnagel, O.; Hiller, W.; Krause, N. Recyclable polyethylene glycol ubiquinol succinate-bound N-heterocyclic carbene-gold(I) complexes: Sustainable micellar catalysts in water. ACS Sustain. Chem. Eng. 2022, 10, 7288–7298. [Google Scholar] [CrossRef]
- Napoli, M.; Saturnino, C.; Cianciulli, E.I.; Varcamonti, M.; Zanfardino, A.; Tommonaro, G.; Longo, P. Silver(I) N-heterocyclic carbene complexes: Synthesis, characterization and antibacterial activity. J. Organomet. Chem. 2013, 725, 46–53. [Google Scholar] [CrossRef]
- Saturnino, C.; Barone, I.; Iacopetta, D.; Mariconda, A.; Sinicropi, M.S.; Rosano, C.; Campana, A.; Catalano, S.; Longo, P.; Andò, S. N-Heterocyclic carbene complexes of silver and gold as new tolos against breast cancer progression. Future Med. Chem. 2016, 8, 2213–2229. [Google Scholar] [CrossRef] [PubMed]
- Iacopetta, D.; Mariconda, A.; Saturnino, C.; Caruso, A.; Palma, G.; Ceramella, J.; Muià, N.; Perri, M.; Sinicropi, M.S.; Caroleo, M.C.; et al. Novel gold and silver carbene complexes exert antitumor effects triggering teh reactive oxygen species dependent intrinsic apoptotic pathway. ChemMedChem 2017, 12, 2054–2065. [Google Scholar] [CrossRef] [PubMed]
- Mariconda, A.; Sirignano, M.; Costabile, C.; Longo, P. New NHC-silver and gold complexes active in A3-coupling (aldehyde-alkyne-amine) reaction. Mol. Catal. 2020, 480, 110570. [Google Scholar] [CrossRef]
- Costabile, C.; Mariconda, A.; Sirignano, M.; Crispini, A.; Scarpelli, F.; Longo, P. A green approach for A3-coupling reactions: An experimental and theoretical study on NHC silver and gold catalysts. New J. Chem. 2021, 45, 18509–18517. [Google Scholar] [CrossRef]
- Sirignano, M.; Mariconda, A.; Vigliotta, G.; Ceramella, J.; Iacopetta, D.; Sinicropi, M.S.; Longo, P. Catalytic and biological activity of silver and gold complexes stabilized by NHC with hydroxyl derivatives on nitrogen atoms. Catalysts 2022, 12, 18. [Google Scholar] [CrossRef]
- Strand, R.B.; Helgerud, T.; Solvang, T.; Dolva, A.; Sperger, C.A.; Friksdahl, A. Asymmetric induction afforded by chiral azolylidene N-heterocyclic carbenes (NHC) catalysts. Tetrahedron Asymmetry 2012, 23, 1350–1359. [Google Scholar] [CrossRef]
- Wurm, T.; Mulks, F.; Böhling, C.R.N.; Riedel, D.; Zargaran, P.; Rudolph, M.; Rominger, F.; Hashmi, A.S.K. Synthesis of different classes of six-membered gold(I) NHC complexes by the isonitrile route. Organometallics 2016, 35, 1070–1080. [Google Scholar] [CrossRef]
- Jónsson, H.F.; Orthaber, A.; Friksdahl, A. Studies on gold(I) and gold(III) alcohol functionalised NHC complexes. Dalton Trans. 2021, 50, 5128–5138. [Google Scholar] [CrossRef]
- Jónsson, H.F.; Friksdahl, A.; Harvei, A.J. Rapid and mild synthesis of Au-NHC complexes in a simple two-phase flow reactor. Dalton Trans. 2021, 50, 7969–7975. [Google Scholar] [CrossRef]
- Pichon-Barré, D.; Zhang, Z.; Cador, A.; Vives, T.; Roisnel, T.; Baslé, O.; Jarrige, L.; Cavallo, L.; Falivene, L.; Mauduit, M. Chiral oxazolidines acting as transient hydroxyalkyl-functionalized N-heterocyclic carbenes: An efficient route to air stable copper and gold complexes for asymmetric catalysis. Chem. Sci. 2022, 13, 8773–8780. [Google Scholar] [CrossRef]
- Molnár, Á. Synthetic application of cyclodextrins in combination with metal ions, complexes, and metal particles. ChemCatChem 2021, 13, 1424–1474. [Google Scholar] [CrossRef]
- Sak, H.; Mawick, M.; Krause, N. Sustainable gold catalysis in water using cyclodextrin-tagged NHC-gold complexes. ChemCatChem 2019, 11, 5821–5829. [Google Scholar] [CrossRef]
- Guitet, M.; Zhang, P.; Marcelo, F.; Tugny, C.; Jiménez-Barbero, J.; Buriez, O.; Amatore, C.; Mouriès-Mansuy, V.; Goddard, J.-P.; Fensterbank, L.; et al. NHC-capped cyclodextrins (ICyDs): Insulated metal complexes, commutable multicoordination sphere, and cavity-dependent catalysis. Angew. Chem. Int. Ed. 2013, 52, 7213–7218. [Google Scholar] [CrossRef] [PubMed]
- Zhang, P.; Tugny, C.; Suárez, J.M.; Guitet, M.; Derat, E.; Vanthuyne, N.; Zhang, Y.; Bistri, O.; Mouriès-Mansuy, V.; Ménand, M.; et al. Artificial chiral metallo-pockets, including a single metal serving as structural probe and catalytic center. Chemistry 2017, 3, 174–191. [Google Scholar] [CrossRef]
- Tugny, C.; del Rio, N.; Koohgard, M.; Vanthuyne, N.; Lesage, D.; Bijouard, K.; Zhang, P.; Suárez, J.M.; Roland, S.; Derat, E.; et al. β-Cyclodextrin-NHC-gold(I) complexes (β-ICyD)AuCl: A chiral nanoreactor for enantioselective and substrate-selective alkoxycyclization reactions. ACS Catal. 2020, 10, 5964–5972. [Google Scholar] [CrossRef]
- Zhu, X.; Xu, G.; Chamoreau, L.-M.; Zhang, Y.; Mouriès-Mansuy, V.; Fensterbank, L.; Bistri-Aslanoff, O.; Roland, S.; Sollogoub, M. Permethylated NHC-capped α- and β-cyclodextrins (ICyDMe) regioselective and enantioselective gold-catalysis in pure water. Chem. Eur. J. 2020, 26, 15901–15909. [Google Scholar] [CrossRef]
- dos Passos Gomes, G.; Xu, G.; Zhu, X.; Chamoreau, L.-M.; Zhang, Y.; Bistri-Aslanoff, O.; Roland, S.; Alabugin, I.V.; Sollogoub, M. Mapping C-H···M interactions in confined spaces: (α-ICyDMe)Au, Ag, Cu complexes reveal “contra-electrostatic H bonds” masquerading as anagostic interactions. Chem. Eur. J. 2021, 27, 8127–8142. [Google Scholar] [CrossRef]
- Wen, Z.; Maisonhaute, E.; Zhang, Y.; Roland, S.; Sollogoub, M. Janus-type homo-, hetero- and mixed valence-bimetallic complexes with one metal encapsulated in a cyclodextrin. Chem. Commun. 2022, 58, 4516–4519. [Google Scholar] [CrossRef]
- Suárez, J.M.; Bistri-Aslanoff, O.; Roland, S.; Sollogoub, M. Cavity-controlled coordination of square planar metal complexes and substrate selectivity by NHC-capped cyclodextrins (ICyDs). ChemCatChem 2022, 14, e202101411. [Google Scholar]
- Zhao, W.; Ferro, V.; Baker, M.V. Carbohydrate-N-heterocyclic carbene metal complexes: Synthesis, catalysis and biological studies. Coord. Chem. Rev. 2017, 339, 1–16. [Google Scholar] [CrossRef]
- Cucciolito, M.E.; Trinchillo, M.; Iannitti, R.; Palumbo, R.; Tesauro, D.; Tuzi, A.; Ruffo, F.; D′Amora, A. Sugar-incorporated N-heterocyclic-carbene-containing gold(I) complexes: Synthesis, characterization, and cytotoxic evaluation. Eur. J. Inorg. Chem. 2017, 2017, 4955–4961. [Google Scholar] [CrossRef]
- Hobsteter, A.W.; Badajoz, M.A.; Fiego, M.J.L.; Silbestri, G.F. Galactopyranoside-substituted N-heterocyclic carbene gold(I) complexes: Synthesis, stability, and catalytic applications to alkyne hydration. ACS Omega 2022, 7, 21788–21799. [Google Scholar] [CrossRef] [PubMed]
- Sohel, S.M.A.; Liu, R.-S. Carbocyclisation of alkynes with External nucleophiles catalysed by gold, platinum and other electrophilic metals. Chem. Soc. Rev. 2009, 38, 2269–2281. [Google Scholar] [CrossRef]
- Leyva- Pérez, A.; Corma, A. Similarities and differences between the “relativistic” triad gold, platinum, and mercury in catalysis. Angew. Chem. Int. Ed. 2012, 51, 614–636. [Google Scholar] [CrossRef] [PubMed]
- Dorel, R.; Echavarren, A.M. Gold(I)-catalyzed activation of alkynes for the construction of molecular complexity. Chem. Rev. 2015, 115, 9028–9072. [Google Scholar] [CrossRef]
- Goodwin, J.A.; Aponick, A. Regioselectivity in the Au-catalyzed hydration and hydroalkoxylation of alkynes. Chem. Commun. 2015, 51, 8730–8741. [Google Scholar] [CrossRef]
- Alyabyev, S.B.; Beletskaya, I.P. Gold as catalyst. Part I. Nucleophilic addition to the triple bond. Russ. Chem. Rev. 2017, 86, 689–749. [Google Scholar] [CrossRef]
- Lu, Z.; Hammond, G.B.; Xu, B. Improving homogeneous cationic gold catalysis through a mechanism-based approach. Acc. Chem. Res. 2019, 52, 1275–1288. [Google Scholar] [CrossRef]
- Leung, C.H.; Baron, M.; Biffis, A. Gold-catalyzed intermolecular alkyne hydrofunctionalizations—Mechanistic insights. Catalysts 2020, 10, 1210. [Google Scholar] [CrossRef]
- Salvio, R.; Bassetti, M. Sustainable hydration of alkynes promoted by first row transition metal complexes. Background, highlights and perspectives. Inorg. Chim. Acta 2021, 522, 120288. [Google Scholar] [CrossRef]
- Lu, Z.; Li, T.; Mudshinge, S.R.; Xu, B.; Hammond, G.B. Optimization of catalysts and conditions in gold(I) catalysis—Counteranion and additive effects. Chem. Rev. 2021, 121, 8452–8477. [Google Scholar] [CrossRef] [PubMed]
- Campeau, D.; Rayo, D.F.L.; Mansour, A.; Muratov, K.; Gagosz, F. Gold-catalyzed reactions of specially activated alkynes, allenes, and alkenes. Chem. Rev. 2021, 121, 8756–8867. [Google Scholar] [CrossRef] [PubMed]
Disclaimer/Publisher’s Note: The statements, opinions and data contained in all publications are solely those of the individual author(s) and contributor(s) and not of MDPI and/or the editor(s). MDPI and/or the editor(s) disclaim responsibility for any injury to people or property resulting from any ideas, methods, instructions or products referred to in the content. |
© 2023 by the authors. Licensee MDPI, Basel, Switzerland. This article is an open access article distributed under the terms and conditions of the Creative Commons Attribution (CC BY) license (https://creativecommons.org/licenses/by/4.0/).































