Co3O4 Catalysts for Complete Toluene Oxidation: Review including Meta-Analysis of Catalyst Activity Data
Abstract
:1. Introduction
- kr, the surface reduction rate constant;
- kox, the surface reoxidation rate constant;
- pVOC, the partial pressure of the VOC;
- , the partial pressure of oxygen;
- γ, the stoichiometric coefficient for the total oxidation.
2. Evaluating the Surface Activity of Co3O4 Catalysts for Complete Toluene Oxidation
2.1. General Information on the Experimental Procedure for Complete Toluene Oxidation
- the specific surface area of Co3O4 or, equivalently, the crystallite size of Co3O4,
- the morphology and, therefore, the exposed crystallographic planes of Co3O4.
- the molar Co3+/Co2+ ratio derived mainly from XPS and H2-TPR analyses.
2.2. Catalytic Evaluation of Co3O4 Catalysts
3. Co3O4 Catalysts and Their Physicochemical Characterization
3.1. Powder X-ray Diffraction (PXRD)
3.2. X-ray Photoelectron Spectroscopy (XPS)
3.3. Raman Spectroscopy and Attenuated Total Reflectance Fourier Transmittance Infrared Spectroscopy (ATR-FTIR)
3.4. Hydrogen Temperature-Programmed Reduction (H2-TPR)
3.5. Oxygen Temperature-Programmed Desorption (O2-TPD)
3.6. Scanning Electron Microscopy (SEM) and High-Resolution Transmission Electron Microscopy (HRTEM)
4. Designing Co3O4 Catalysts
5. Overall Conclusions, Challenges, and Perspectives
Author Contributions
Funding
Conflicts of Interest
References
- Ojala, S.; Koivikko, N.; Laitinen, T.; Mouammine, A.; Seelam, P.; Laassiri, S.; Ainassaari, K.; Brahmi, R.; Keiski, R. Utilization of Volatile Organic Compounds as an Alternative for Destructive Abatement. Catalysts 2015, 5, 1092–1151. [Google Scholar] [CrossRef]
- Ciganek, M.; Neca, J. Chemical Characterization of Volatile Organic Compounds on Animal Farms. Vet. Med. 2008, 53, 641–651. [Google Scholar] [CrossRef]
- Tai, X.H.; Lai, C.W.; Juan, J.C.; Lee, K.M. Nanocatalyst-Based Catalytic Oxidation Processes. In Nanomaterials for Air Remediation; Elsevier: Amsterdam, The Netherlands, 2020; pp. 133–150. ISBN 978-0-12-818821-7. [Google Scholar]
- World Health Organization. Indoor Air Quality: Organic Pollutants. EURO Rep. Stud. 1989, 111, 1–70. [Google Scholar]
- Anand, S.S.; Philip, B.K.; Mehendale, H.M. Volatile Organic Compounds. In Encyclopedia of Toxicology; Elsevier: Amsterdam, The Netherlands, 2014; pp. 967–970. ISBN 978-0-12-386455-0. [Google Scholar]
- Bari, M.d.A.; Kindzierski, W.B.; Wheeler, A.J.; Héroux, M.-È.; Wallace, L.A. Source Apportionment of Indoor and Outdoor Volatile Organic Compounds at Homes in Edmonton, Canada. Build. Environ. 2015, 90, 114–124. [Google Scholar] [CrossRef]
- Sax, S.N.; Bennett, D.H.; Chillrud, S.N.; Kinney, P.L.; Spengler, J.D. Differences in Source Emission Rates of Volatile Organic Compounds in Inner-City Residences of New York City and Los Angeles. J. Expo. Sci. Env. Epidemiol. 2004, 14, S95–S109. [Google Scholar] [CrossRef] [PubMed]
- Son, B.; Breysse, P.; Yang, W. Volatile Organic Compounds Concentrations in Residential Indoor and Outdoor and Its Personal Exposure in Korea. Environ. Int. 2003, 29, 79–85. [Google Scholar] [CrossRef] [PubMed]
- Brown, S.K.; Sim, M.R.; Abramson, M.J.; Gray, C.N. Concentrations of Volatile Organic Compounds in Indoor Air—A Review. Indoor Air 1994, 4, 123–134. [Google Scholar] [CrossRef]
- National Institutes of Health; National Institute of Environmental Health Sciences. Environmental Health Perspectives: Supplements; U.S. Department of Health and Human Services, Public Health Service, National Institutes of Health, National Institute of Environmental Health Sciences: Research Triangle Park, NV, USA, 1993. [Google Scholar]
- Lewandowski, D.A. Design of Thermal Oxidation Systems for Volatile Organic Compounds; CRC Press: Boca Raton, FL, USA, 1999; ISBN 1-56670-410-3. [Google Scholar]
- Deshmukh, S.; Vlachos, D. A Reduced Mechanism for Methane and One-Step Rate Expressions for Fuel-Lean Catalytic Combustion of Small Alkanes on Noble Metals. Combust. Flame 2007, 149, 366–383. [Google Scholar] [CrossRef]
- Badra, J.A.; Masri, A.R. Catalytic Combustion of Selected Hydrocarbon Fuels on Platinum: Reactivity and Hetero–Homogeneous Interactions. Combust. Flame 2012, 159, 817–831. [Google Scholar] [CrossRef]
- Fierro, J.L.G. Metal Oxides: Chemistry and Applications; Taylor & Francis: Boca Raton, FL, USA, 2006; ISBN 978-1-4200-2812-6. [Google Scholar]
- Liotta, L.F. Catalytic Oxidation of Volatile Organic Compounds on Supported Noble Metals. Appl. Catal. B Environ. 2010, 100, 403–412. [Google Scholar] [CrossRef]
- Aznárez, A.; Gil, A.; Korili, S.A. Performance of Palladium and Platinum Supported on Alumina Pillared Clays in the Catalytic Combustion of Propene. RSC Adv. 2015, 5, 82296–82309. [Google Scholar] [CrossRef]
- Saqer, S.M.; Kondarides, D.I.; Verykios, X.E. Catalytic Oxidation of Toluene over Binary Mixtures of Copper, Manganese and Cerium Oxides Supported on γ-Al2O3. Appl. Catal. B Environ. 2011, 103, 275–286. [Google Scholar] [CrossRef]
- Wang, C.-H. Al2O3-Supported Transition-Metal Oxide Catalysts for Catalytic Incineration of Toluene. Chemosphere 2004, 55, 11–17. [Google Scholar] [CrossRef] [PubMed]
- Azalim, S.; Franco, M.; Brahmi, R.; Giraudon, J.-M.; Lamonier, J.-F. Removal of Oxygenated Volatile Organic Compounds by Catalytic Oxidation over Zr–Ce–Mn Catalysts. J. Hazard. Mater. 2011, 188, 422–427. [Google Scholar] [CrossRef] [PubMed]
- Lany, S. Semiconducting Transition Metal Oxides. J. Phys. Condens. Matter 2015, 27, 283203. [Google Scholar] [CrossRef] [PubMed]
- Dissanayake, S.; Wasalathanthri, N.; Shirazi Amin, A.; He, J.; Poges, S.; Rathnayake, D.; Suib, S.L. Mesoporous Co3O4 Catalysts for VOC Elimination: Oxidation of 2-Propanol. Appl. Catal. A Gen. 2020, 590, 117366. [Google Scholar] [CrossRef]
- Li, G.; Zhang, C.; Wang, Z.; Huang, H.; Peng, H.; Li, X. Fabrication of Mesoporous Co3O4 Oxides by Acid Treatment and Their Catalytic Performances for Toluene Oxidation. Appl. Catal. A Gen. 2018, 550, 67–76. [Google Scholar] [CrossRef]
- González-Prior, J.; López-Fonseca, R.; Gutiérrez-Ortiz, J.I.; de Rivas, B. Oxidation of 1,2-Dichloroethane over Nanocube-Shaped Co3O4 Catalysts. Appl. Catal. B Environ. 2016, 199, 384–393. [Google Scholar] [CrossRef]
- De Rivas, B.; López-Fonseca, R.; Jiménez-González, C.; Gutiérrez-Ortiz, J.I. Highly Active Behaviour of Nanocrystalline Co3O4 from Oxalate Nanorods in the Oxidation of Chlorinated Short Chain Alkanes. Chem. Eng. J. 2012, 184, 184–192. [Google Scholar] [CrossRef]
- Zhao, Q.; Shih, W.Y.; Shih, W.-H. Effects of Processing Parameters on the Morphology of Precipitated Manganese Oxide Powders. Ind. Eng. Chem. Res. 2009, 48, 1490–1494. [Google Scholar] [CrossRef]
- Yang, X.; Yu, X.; Lin, M.; Ma, X.; Ge, M. Enhancement Effect of Acid Treatment on Mn2O3 Catalyst for Toluene Oxidation. Catal. Today 2019, 327, 254–261. [Google Scholar] [CrossRef]
- Deng, J.; He, S.; Xie, S.; Yang, H.; Liu, Y.; Guo, G.; Dai, H. Ultralow Loading of Silver Nanoparticles on Mn2O3 Nanowires Derived with Molten Salts: A High-Efficiency Catalyst for the Oxidative Removal of Toluene. Environ. Sci. Technol. 2015, 49, 11089–11095. [Google Scholar] [CrossRef] [PubMed]
- Scirè, S.; Minicò, S.; Crisafulli, C.; Galvagno, S. Catalytic Combustion of Volatile Organic Compounds over Group IB Metal Catalysts on Fe2O3. Catal. Commun. 2001, 2, 229–232. [Google Scholar] [CrossRef]
- Gu, Z.; Hohn, K.L. Catalytic Oxidation of Methanol on Nanoscale Copper Oxide and Nickel Oxide. Ind. Eng. Chem. Res. 2004, 43, 30–35. [Google Scholar] [CrossRef]
- Morales, M.; Barbero, B.; Cadus, L. Total Oxidation of Ethanol and Propane over Mn-Cu Mixed Oxide Catalysts. Appl. Catal. B Environ. 2006, 67, 229–236. [Google Scholar] [CrossRef]
- Delimaris, D.; Ioannides, T. VOC Oxidation over CuO–CeO2 Catalysts Prepared by a Combustion Method. Appl. Catal. B Environ. 2009, 89, 295–302. [Google Scholar] [CrossRef]
- Yan, Q.; Li, X.; Zhao, Q.; Chen, G. Shape-Controlled Fabrication of the Porous Co3O4 Nanoflower Clusters for Efficient Catalytic Oxidation of Gaseous Toluene. J. Hazard. Mater. 2012, 209–210, 385–391. [Google Scholar] [CrossRef]
- De Rivas, B.; López-Fonseca, R.; Jiménez-González, C.; Gutiérrez-Ortiz, J.I. Synthesis, Characterisation and Catalytic Performance of Nanocrystalline Co3O4 for Gas-Phase Chlorinated VOC Abatement. J. Catal. 2011, 281, 88–97. [Google Scholar] [CrossRef]
- Smyrnioti, M.; Ioannides, T. Synthesis of Cobalt-Based Nanomaterials from Organic Precursors. In Cobalt; Maaz, K., Ed.; InTech: Rijeka, Croatia, 2017; ISBN 978-953-51-3667-5. [Google Scholar]
- Kong, F.-C.; Li, Y.-F.; Shang, C.; Liu, Z.-P. Stability and Phase Transition of Cobalt Oxide Phases by Machine Learning Global Potential Energy Surface. J. Phys. Chem. C 2019, 123, 17539–17547. [Google Scholar] [CrossRef]
- Qiao, L.; Xiao, H.Y.; Meyer, H.M.; Sun, J.N.; Rouleau, C.M.; Puretzky, A.A.; Geohegan, D.B.; Ivanov, I.N.; Yoon, M.; Weber, W.J.; et al. Nature of the Band Gap and Origin of the Electro-/Photo-Activity of Co3O4. J. Mater. Chem. C 2013, 1, 4628. [Google Scholar] [CrossRef]
- Zhong, J.; Zeng, Y.; Zhang, M.; Feng, W.; Xiao, D.; Wu, J.; Chen, P.; Fu, M.; Ye, D. Toluene Oxidation Process and Proper Mechanism over Co3O4 Nanotubes: Investigation through In-Situ DRIFTS Combined with PTR-TOF-MS and Quasi in-Situ XPS. Chem. Eng. J. 2020, 397, 125375. [Google Scholar] [CrossRef]
- Ren, Q.; Zhao, X.; Zhong, J.; Zhang, J.; Tian, J.; Yan, D.; Liu, P.; Fu, M.; Chen, L.; Wu, J.; et al. Unravelling the Role of Oxygen Species in Toluene Oxidation over Co3O4-Base Catalysts: In Situ DRIFTS Coupled with Quasi in Situ XPS. J. Catal. 2023, 418, 130–140. [Google Scholar] [CrossRef]
- Doornkamp, C.; Ponec, V. The Universal Character of the Mars and Van Krevelen Mechanism. J. Mol. Catal. A Chem. 2000, 162, 19–32. [Google Scholar] [CrossRef]
- Vannice, M.A. An Analysis of the Mars–van Krevelen Rate Expression. Catal. Today 2007, 123, 18–22. [Google Scholar] [CrossRef]
- Carrero, C.A.; Schloegl, R.; Wachs, I.E.; Schomaecker, R. Critical Literature Review of the Kinetics for the Oxidative Dehydrogenation of Propane over Well-Defined Supported Vanadium Oxide Catalysts. ACS Catal. 2014, 4, 3357–3380. [Google Scholar] [CrossRef]
- Xie, X.; Shen, W. Morphology Control of Cobalt Oxide Nanocrystals for Promoting Their Catalytic Performance. Nanoscale 2009, 1, 50. [Google Scholar] [CrossRef]
- Barteau, M.A.; Vohs, J.M. Structure Sensitivity of Reactions on Metal Oxide Surfaces. In Studies in Surface Science and Catalysis; Elsevier: Amsterdam, The Netherlands, 1989; Volume 44, pp. 89–95. ISBN 978-0-444-87146-6. [Google Scholar]
- Boudart, M. Catalysis by Supported Metals. In Advances in Catalysis; Elsevier: Amsterdam, The Netherlands, 1969; Volume 20, pp. 153–166. ISBN 978-0-12-007820-2. [Google Scholar]
- Zafiris, G.S.; Gorte, R.J. CO Oxidation on Pt/α-Al2O3(0001): Evidence for Structure Sensitivity. J. Catal. 1993, 140, 418–423. [Google Scholar] [CrossRef]
- Hicks, R.; Qi, H.; Young, M.L.; Lee, R.G. Structure Sensitivity of Methane Oxidation over Platinum and Palladium. J. Catal. 1990, 122, 280–294. [Google Scholar] [CrossRef]
- Yokota, S.; Okumura, K.; Niwa, M. Support Effect of Metal Oxide on Rh Catalysts in the CH4-CO2 Reforming Reaction. Catal. Lett. 2002, 84, 131–134. [Google Scholar] [CrossRef]
- Haruta, M. Novel Catalysis of Gold Deposited on Metal Oxides. Catal. Surv. Jpn. 1997, 1, 61–73. [Google Scholar] [CrossRef]
- Volta, J.C.; Portefaix, J.L. Structure Sensitivity of Mild Oxidation Reactions on Oxide Catalysts—A Review. Appl. Catal. 1985, 18, 1–32. [Google Scholar] [CrossRef]
- Ginés, M.J.L.; Amadeo, N.; Laborde, M.; Apesteguía, C.R. Activity and Structure-Sensitivity of the Water-Gas Shift Reaction over CuZnAl Mixed Oxide Catalysts. Appl. Catal. A Gen. 1995, 131, 283–296. [Google Scholar] [CrossRef]
- Tatibouet, J.; Phichitkul, C.; Germain, J.E. Structure-Sensitive Catalytic Oxidation of Butenes on Molybdenum Trioxide Crystallites. J. Catal. 1986, 99, 231–234. [Google Scholar] [CrossRef]
- Natile, M.M.; Glisenti, A. Study of Surface Reactivity of Cobalt Oxides: Interaction with Methanol. Chem. Mater. 2002, 14, 3090–3099. [Google Scholar] [CrossRef]
- Zhou, K.; Liu, J.; Wen, P.; Hu, Y.; Gui, Z. Morphology-Controlled Synthesis of Co3O4 by One Step Template-Free Hydrothermal Method. Mater. Res. Bull. 2015, 67, 87–93. [Google Scholar] [CrossRef]
- Hosseini, S.; Niaei, A.; Salari, D. Preparation and Characterization of Nano- and Non-Nanoscale Co3O4 Spinels Obtained from Different Methods and Study of Their Performance in Combustion of Aromatics from Polluted Air-A Comparison with Pt/γ-Al 2O3 Performance. J. Environ. Sci. Health Part A 2012, 47, 1728–1732. [Google Scholar] [CrossRef] [PubMed]
- Wang, X.; Chen, X.; Gao, L.; Zheng, H.; Zhang, Z.; Qian, Y. One-Dimensional Arrays of Co3O4 Nanoparticles: Synthesis, Characterization, and Optical and Electrochemical Properties. J. Phys. Chem. B 2004, 108, 16401–16404. [Google Scholar] [CrossRef]
- Zhou, H.; Lv, B.; Wu, D.; Xu, Y. Synthesis of Polycrystalline Co3O4 Nanowires with Excellent Ammonium Perchlorate Catalytic Decomposition Property. Mater. Res. Bull. 2014, 60, 492–497. [Google Scholar] [CrossRef]
- He, T.; Chen, D.; Jiao, X.; Wang, Y. Co3O4 Nanoboxes: Surfactant-Templated Fabrication and Microstructure Characterization. Adv. Mater. 2006, 18, 1078–1082. [Google Scholar] [CrossRef]
- Liu, Y.; Dai, H.; Deng, J.; Zhang, L.; Zhao, Z.; Li, X.; Wang, Y.; Xie, S.; Yang, H.; Guo, G. Controlled Generation of Uniform Spherical LaMnO3, LaCoO3, Mn2O3, and Co3O4 Nanoparticles and Their High Catalytic Performance for Carbon Monoxide and Toluene Oxidation. Inorg. Chem. 2013, 52, 8665–8676. [Google Scholar] [CrossRef]
- Nguyen, H.; El-Safty, S.A. Meso- and Macroporous Co3O4 Nanorods for Effective VOC Gas Sensors. J. Phys. Chem. C 2011, 115, 8466–8474. [Google Scholar] [CrossRef]
- Ma, X.; Yu, X.; Yang, X.; Lin, M.; Ge, M. Hydrothermal Synthesis of a Novel Double-sided Nanobrush Co3O4 Catalyst and Its Catalytic Performance for Benzene Oxidation. ChemCatChem 2018, 11, cctc.201801539. [Google Scholar] [CrossRef]
- Deng, S.; Liu, X.; Chen, N.; Deng, D.; Xiao, X.; Wang, Y. A Highly Sensitive VOC Gas Sensor Using P-Type Mesoporous Co3O4 Nanosheets Prepared by a Facile Chemical Coprecipitation Method. Sens. Actuators B Chem. 2016, 233, 615–623. [Google Scholar] [CrossRef]
- Li, W.Y.; Xu, L.N.; Chen, J. Co3O4 Nanomaterials in Lithium-Ion Batteries and Gas Sensors. Adv. Funct. Mater. 2005, 15, 851–857. [Google Scholar] [CrossRef]
- Dong, J.; Song, L.; Yin, J.-J.; He, W.; Wu, Y.; Gu, N.; Zhang, Y. Co3O4 Nanoparticles with Multi-Enzyme Activities and Their Application in Immunohistochemical Assay. ACS Appl. Mater. Interfaces 2014, 6, 1959–1970. [Google Scholar] [CrossRef] [PubMed]
- Liotta, L.F.; Wu, H.; Pantaleo, G.; Venezia, A.M. Co3O4 Nanocrystals and Co3O4–MOx Binary Oxides for CO, CH4 and VOC Oxidation at Low Temperatures: A Review. Catal. Sci. Technol. 2013, 3, 3085. [Google Scholar] [CrossRef]
- Kamal, M.S.; Razzak, S.A.; Hossain, M.M. Catalytic Oxidation of Volatile Organic Compounds (VOCs)—A Review. Atmos. Environ. 2016, 140, 117–134. [Google Scholar] [CrossRef]
- Hosseini, S.A. Catalytic Oxidation of Volatile Organic Compounds by Using Spinel Mixed Oxide Catalyst—A Review. Adv. Ceram. Sci. Eng. 2016, 5, 117–134. [Google Scholar] [CrossRef]
- Tang, W.; Liu, G.; Li, D.; Liu, H.; Wu, X.; Han, N.; Chen, Y. Design and Synthesis of Porous Non-Noble Metal Oxides for Catalytic Removal of VOCs. Sci. China Chem. 2015, 58, 1359–1366. [Google Scholar] [CrossRef]
- Bai, G.; Dai, H.; Deng, J.; Liu, Y.; Wang, F.; Zhao, Z.; Qiu, W.; Au, C.T. Porous Co3O4 Nanowires and Nanorods: Highly Active Catalysts for the Combustion of Toluene. Appl. Catal. A Gen. 2013, 450, 42–49. [Google Scholar] [CrossRef]
- Yang, H.; Dai, H.; Deng, J.; Xie, S.; Han, W.; Tan, W.; Jiang, Y.; Au, C.T. Porous Cube-Aggregated Co3O4 Microsphere-Supported Gold Nanoparticles for Oxidation of Carbon Monoxide and Toluene. ChemSusChem 2014, 7, 1745–1754. [Google Scholar] [CrossRef] [PubMed]
- Wang, F.; Dai, H.; Deng, J.; Xie, S.; Yang, H.; Han, W. Nanoplate-Aggregate Co3O4 Microspheres for Toluene Combustion. Chin. J. Catal. 2014, 35, 1475–1481. [Google Scholar] [CrossRef]
- Liu, Y.; Dai, H.; Deng, J.; Xie, S.; Yang, H.; Tan, W.; Han, W.; Jiang, Y.; Guo, G. Mesoporous Co3O4-Supported Gold Nanocatalysts: Highly Active for the Oxidation of Carbon Monoxide, Benzene, Toluene, and o-Xylene. J. Catal. 2014, 309, 408–418. [Google Scholar] [CrossRef]
- Liu, X.; Wang, J.; Zeng, J.; Wang, X.; Zhu, T. Catalytic Oxidation of Toluene over a Porous Co3O4-Supported Ruthenium Catalyst. RSC Adv. 2015, 5, 52066–52071. [Google Scholar] [CrossRef]
- Ren, Q.; Mo, S.; Peng, R.; Feng, Z.; Zhang, M.; Chen, L.; Fu, M.; Wu, J.; Ye, D. Controllable Synthesis of 3D Hierarchical Co3O4 Nanocatalysts with Various Morphologies for the Catalytic Oxidation of Toluene. J. Mater. Chem. A 2018, 6, 498–509. [Google Scholar] [CrossRef]
- Liu, W.; Liu, R.; Zhang, X. Controllable Synthesis of 3D Hierarchical Co3O4 Catalysts and Their Excellent Catalytic Performance for Toluene Combustion. Appl. Surf. Sci. 2020, 507, 145174. [Google Scholar] [CrossRef]
- Xu, W.; Xiao, K.; Lai, S.; Liang, J.; Jiang, X.; Liu, Z.; Li, F.; Zhang, Y.; Wu, X.; Zhou, X. Designing a Dumbbell-Brush-Type Co3O4 for Efficient Catalytic Toluene Oxidation. Catal. Commun. 2020, 140, 106005. [Google Scholar] [CrossRef]
- Scherrer, P. Estimation of the Size and Internal Structure of Colloidal Particles by Means of Röntgen. Nachr. Ges. Wiss. Göttingen 1918, 2, 96–100. [Google Scholar]
- Raveau, B.; Seikh, M. Crystal Chemistry of Cobalt Oxides. In Cobalt Oxides; Wiley-VCH Verlag GmbH & Co. KGaA: Weinheim, Germany, 2012; pp. 3–70. ISBN 978-3-527-64552-7. [Google Scholar]
- Casas-Cabanas, M.; Binotto, G.; Larcher, D.; Lecup, A.; Giordani, V.; Tarascon, J.-M. Defect Chemistry and Catalytic Activity of Nanosized Co3O4. Chem. Mater. 2009, 21, 1939–1947. [Google Scholar] [CrossRef]
- Zhang, W.; Wu, F.; Li, J.; You, Z. Dispersion–Precipitation Synthesis of Highly Active Nanosized Co3O4 for Catalytic Oxidation of Carbon Monoxide and Propane. Appl. Surf. Sci. 2017, 411, 136–143. [Google Scholar] [CrossRef]
- Chuang, T.J.; Brundle, C.R.; Rice, D.W. Interpretation of the X-Ray Photoemission Spectra of Cobalt Oxides and Cobalt Oxide Surfaces. Surf. Sci. 1976, 59, 413–429. [Google Scholar] [CrossRef]
- Jiménez, V.M.; Fernández, A.; Espinós, J.P.; González-Elipe, A.R. The State of the Oxygen at the Surface of Polycrystalline Cobalt Oxide. J. Electron. Spectrosc. Relat. Phenom. 1995, 71, 61–71. [Google Scholar] [CrossRef]
- Diallo, A.; Beye, A.C.; Doyle, T.B.; Park, E.; Maaza, M. Green Synthesis of Co3O4 Nanoparticles via Aspalathus linearis: Physical Properties. Green. Chem. Lett. Rev. 2015, 8, 30–36. [Google Scholar] [CrossRef]
- Lei, J.; Wang, S.; Li, J. Mesoporous Co3O4 Derived from Co-MOFs with Different Morphologies and Ligands for Toluene Catalytic Oxidation. Chem. Eng. Sci. 2020, 220, 115654. [Google Scholar] [CrossRef]
- Davies, T.E.; García, T.; Solsona, B.; Taylor, S.H. Nanocrystalline Cobalt Oxide: A Catalyst for Selective Alkane Oxidation under Ambient Conditions. Chem. Commun. 2006, 32, 3417–3419. [Google Scholar] [CrossRef] [PubMed]
- Xie, H.; Lan, H.; Tan, X.; Wang, W.; Yan, L.; Liu, X.; Zhou, G. High-Efficient Oxidation Removal of Ethanol from Air over Ordered Mesoporous Co3O4/KIT-6 Catalyst. J. Environ. Chem. Eng. 2019, 7, 103480. [Google Scholar] [CrossRef]
- Lei, J.; Wang, S.; Li, J. Mesoporous Co3O4 Derived from Facile Calcination of Octahedral Co-MOFs for Toluene Catalytic Oxidation. Ind. Eng. Chem. Res. 2020, 59, 5583–5590. [Google Scholar] [CrossRef]
- Ren, Z.; Wu, Z.; Song, W.; Xiao, W.; Guo, Y.; Ding, J.; Suib, S.L.; Gao, P.-X. Low Temperature Propane Oxidation over Co3O4 Based Nano-Array Catalysts: Ni Dopant Effect, Reaction Mechanism and Structural Stability. Appl. Catal. B Environ. 2016, 180, 150–160. [Google Scholar] [CrossRef]
- Liotta, L.F.; Di Carlo, G.; Pantaleo, G.; Deganello, G. Catalytic Performance of Co3O4/CeO2 and Co3O4/CeO2–ZrO2 Composite Oxides for Methane Combustion: Influence of Catalyst Pretreatment Temperature and Oxygen Concentration in the Reaction Mixture. Appl. Catal. B Environ. 2007, 70, 314–322. [Google Scholar] [CrossRef]
- Ma, C.Y.; Mu, Z.; Li, J.J.; Jin, Y.G.; Cheng, J.; Lu, G.Q.; Hao, Z.P.; Qiao, S.Z. Mesoporous Co3O4 and Au/Co3O4 Catalysts for Low-Temperature Oxidation of Trace Ethylene. J. Am. Chem. Soc. 2010, 132, 2608–2613. [Google Scholar] [CrossRef]
- Fan, Z.; Zhang, Z.; Fang, W.; Yao, X.; Zou, G.; Shangguan, W. Low-Temperature Catalytic Oxidation of Formaldehyde over Co3O4 Catalysts Prepared Using Various Precipitants. Chin. J. Catal. 2016, 37, 947–954. [Google Scholar] [CrossRef]
- Anke, S.; Bendt, G.; Sinev, I.; Hajiyani, H.; Antoni, H.; Zegkinoglou, I.; Jeon, H.; Pentcheva, R.; Roldan Cuenya, B.; Schulz, S.; et al. Selective 2-Propanol Oxidation over Unsupported Co3O4 Spinel Nanoparticles: Mechanistic Insights into Aerobic Oxidation of Alcohols. ACS Catal. 2019, 9, 5974–5985. [Google Scholar] [CrossRef]
- Fei, X.; Cao, S.; Ouyang, W.; Wen, Y.; Wang, H.; Wu, Z. A Convenient Synthesis of Core-Shell Co3O4@ZSM-5 Catalysts for the Total Oxidation of Dichloromethane (CH2Cl2). Chem. Eng. J. 2020, 387, 123411. [Google Scholar] [CrossRef]
- Hu, L.; Peng, Q.; Li, Y. Selective Synthesis of Co3O4 Nanocrystal with Different Shape and Crystal Plane Effect on Catalytic Property for Methane Combustion. J. Am. Chem. Soc. 2008, 130, 16136–16137. [Google Scholar] [CrossRef] [PubMed]
- Zhao, Q.; Liu, Q.; Zheng, Y.; Han, R.; Song, C.; Ji, N.; Ma, D. Enhanced Catalytic Performance for Volatile Organic Compound Oxidation over In-Situ Growth of MnOx on Co3O4 Nanowire. Chemosphere 2020, 244, 125532. [Google Scholar] [CrossRef] [PubMed]
- Wang, C.; Hua, W.; Chai, G.; Zhang, C.; Guo, Y. Insights into the Morphological Effect of Co3O4 Crystallite on Catalytic Oxidation of Vinyl Chloride. Catalysts 2019, 9, 408. [Google Scholar] [CrossRef]
- Zhou, M.; Zhang, J.; Liao, L.; Wu, W. Enhanced Catalytic Methane Combustion over Co3O4 Nanowire Arrays by Cation Substitution. Mater. Res. Express 2017, 4, 125006. [Google Scholar] [CrossRef]
- Ren, Q.; Feng, Z.; Mo, S.; Huang, C.; Li, S.; Zhang, W.; Chen, L.; Fu, M.; Wu, J.; Ye, D. 1D-Co3O4, 2D-Co3O4, 3D-Co3O4 for Catalytic Oxidation of Toluene. Catal. Today 2019, 332, 160–167. [Google Scholar] [CrossRef]
- Liu, S.; Liu, P.; Niu, R.; Wang, S.; Li, J. Facile Synthesis of Mesoporous Co3O4 Nanoflowers for Catalytic Combustion of Ventilation Air Methane. Chem. Res. Chin. Univ. 2017, 33, 965–970. [Google Scholar] [CrossRef]
- Li, K.; Chen, J.; Bai, B.; Zhao, S.; Hu, F.; Li, J. Bridging the Reaction Route of Toluene Total Oxidation and the Structure of Ordered Mesoporous Co3O4: The Roles of Surface Sodium and Adsorbed Oxygen. Catal. Today 2017, 297, 173–181. [Google Scholar] [CrossRef]
- Mei, J.; Xie, J.; Qu, Z.; Ke, Y.; Hu, X.; Yan, N. Ordered Mesoporous Spinel Co3O4 as a Promising Catalyst for the Catalytic Oxidation of Dibromomethane. Mol. Catal. 2018, 461, 60–66. [Google Scholar] [CrossRef]
- Deng, J.; Zhang, L.; Dai, H.; Xia, Y.; Jiang, H.; Zhang, H.; He, H. Ultrasound-Assisted Nanocasting Fabrication of Ordered Mesoporous MnO2 and Co3O4 with High Surface Areas and Polycrystalline Walls. J. Phys. Chem. C 2010, 114, 2694–2700. [Google Scholar] [CrossRef]
- Ma, C.; Mu, Z.; He, C.; Li, P.; Li, J.; Hao, Z. Catalytic Oxidation of Benzene over Nanostructured Porous Co3O4-CeO2 Composite Catalysts. J. Environ. Sci. 2011, 23, 2078–2086. [Google Scholar] [CrossRef] [PubMed]
- Ercolino, G.; Stelmachowski, P.; Grzybek, G.; Kotarba, A.; Specchia, S. Optimization of Pd Catalysts Supported on Co3O4 for Low-Temperature Lean Combustion of Residual Methane. Appl. Catal. B Environ. 2017, 206, 712–725. [Google Scholar] [CrossRef]
- Puértolas, B.; Smith, A.; Vázquez, I.; Dejoz, A.; Moragues, A.; Garcia, T.; Solsona, B. The Different Catalytic Behaviour in the Propane Total Oxidation of Cobalt and Manganese Oxides Prepared by a Wet Combustion Procedure. Chem. Eng. J. 2013, 229, 547–558. [Google Scholar] [CrossRef]
- Kirchnerova, J.; Alifanti, M.; Delmon, B. Evidence of Phase Cooperation in the LaCoO3–CeO2–Co3O4 Catalytic System in Relation to Activity in Methane Combustion. Appl. Catal. A Gen. 2002, 231, 65–80. [Google Scholar] [CrossRef]
- Liu, Q.; Wang, L.-C.; Chen, M.; Cao, Y.; He, H.-Y.; Fan, K.-N. Dry Citrate-Precursor Synthesized Nanocrystalline Cobalt Oxide as Highly Active Catalyst for Total Oxidation of Propane. J. Catal. 2009, 263, 104–113. [Google Scholar] [CrossRef]
- Solsona, B.; Vázquez, I.; Garcia, T.; Davies, T.E.; Taylor, S.H. Complete Oxidation of Short Chain Alkanes Using a Nanocrystalline Cobalt Oxide Catalyst. Catal. Lett. 2007, 116, 116–121. [Google Scholar] [CrossRef]
- Zhang, M.; Zou, S.; Zhang, Q.; Mo, S.; Zhong, J.; Chen, D.; Fu, M.; Chen, P.; Ye, D. Macroscopic Hexagonal Co3 O4 Tubes Derived from Controllable Two-Dimensional Metal-Organic Layer Single Crystals: Formation Mechanism and Catalytic Activity. Inorg. Chem. 2020, 59, 3062–3071. [Google Scholar] [CrossRef]
- Zhao, J.; Tang, Z.; Dong, F.; Zhang, J. Controlled Porous Hollow Co3O4 Polyhedral Nanocages Derived from Metal-Organic Frameworks (MOFs) for Toluene Catalytic Oxidation. Mol. Catal. 2019, 463, 77–86. [Google Scholar] [CrossRef]

Co3O4-HT,
Co3O4-HT-PEG,
Co3O4-HT-CTAB,
Co3O4-ME-CTAB, and
bulk Co3O4 (Inset: typical HRTEM images of the studied catalysts (calculated with data from [68]).
Co3O4-HT,
Co3O4-HT-PEG,
Co3O4-HT-CTAB,
Co3O4-ME-CTAB, and
bulk Co3O4 (Inset: typical HRTEM images of the studied catalysts (calculated with data from [68]).
bulk Co3O4 and
bulk Co3O4 microspheres (Inset: indicative HRTEM image for the Co3O4 microsphere) [69]. (B) Specific reaction rate (SRR) vs. 1000/T (K−1) vs. temperature (°C) for
bulk Co3O4 and
Co3O4 microspheres (calculated with data from [70]).
bulk Co3O4 and
bulk Co3O4 microspheres (Inset: indicative HRTEM image for the Co3O4 microsphere) [69]. (B) Specific reaction rate (SRR) vs. 1000/T (K−1) vs. temperature (°C) for
bulk Co3O4 and
Co3O4 microspheres (calculated with data from [70]).
bulk Co3O4 and
meso-Co3O4 (calculated with data from [71]).
bulk Co3O4 and
meso-Co3O4 (calculated with data from [71]).
bulk Co3O4 and
Co3O4-MOF; (B) HRTEM image for Co3O4-MOF catalyst (calculated with data from [72]).
bulk Co3O4 and
Co3O4-MOF; (B) HRTEM image for Co3O4-MOF catalyst (calculated with data from [72]).
Co3O4-C,
Co3O4-P,
Co3O4-N, and
Co3O4-S. (B) HRTEM images for (a) Co3O4-C,(b) Co3O4-P, (c) Co3O4-N, and (d) Co3O4-S (calculated with data from [73]).
Co3O4-C,
Co3O4-P,
Co3O4-N, and
Co3O4-S. (B) HRTEM images for (a) Co3O4-C,(b) Co3O4-P, (c) Co3O4-N, and (d) Co3O4-S (calculated with data from [73]).
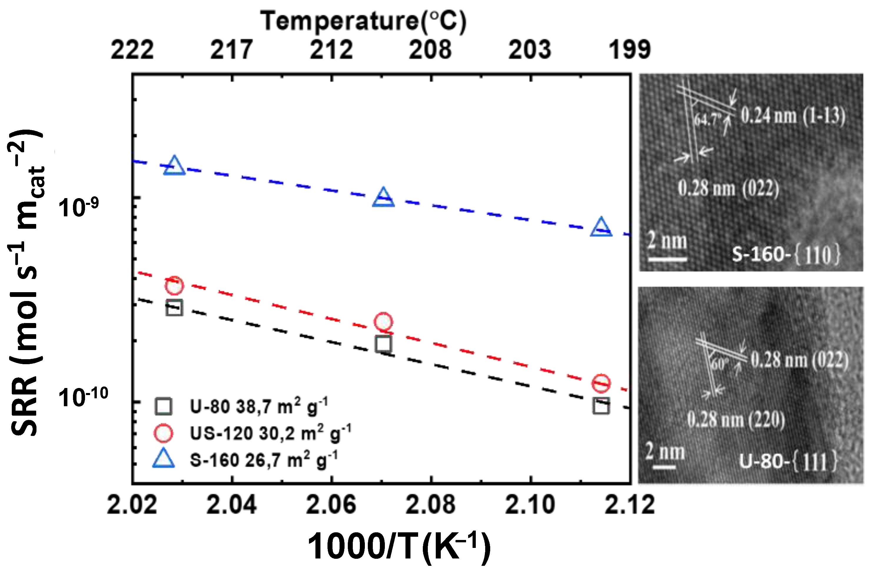
U-80,
US-120, and
US-160: HRTEM image for U-160 and U-80 (calculated with data from [74]).
U-80,
US-120, and
US-160: HRTEM image for U-160 and U-80 (calculated with data from [74]).
Co3O4-D,
Co3O4-S, and
Co3O4-R, HRTEM images: Co3O4-D, Co3O4-S, and Co3O4-R (calculated with data from [75]).
Co3O4-D,
Co3O4-S, and
Co3O4-R, HRTEM images: Co3O4-D, Co3O4-S, and Co3O4-R (calculated with data from [75]).











| Catalyst | Preparation Method | Morphology | SBET (m2 g−1) | Co3+/Co2+ Ratio | GHSV (ml g−1 h−1) | SRR (200 °C) (×10−10 mol s−1 m−2) | Ref. |
|---|---|---|---|---|---|---|---|
| Co3O4-HT | hydrothermal | irregular | 41.9 | 2.13 | 20,000 | 4.00 | [68] |
| Co3O4-HT-PEG | hydrothermal | nanowires /nanorods | 50.9 | 2.01 | 20,000 | 5.68 | [68] |
| Co3O4-HT-CTAB | hydrothermal | nanowires /nanorods | 51.7 | 1.72 | 20,000 | 33.4 | [68] |
| Co3O4-ME-CTAB | microemulsion | nanowires /nanorods | 46.5 | 2.05 | 20,000 | 7.02 | [68] |
| Co3O4- microsphere | solvothermal | microspheres | 17.4 | 1.36 | 20,000 | 6.36 | [69] |
| Co3O4-bulk | thermal decomposition | irregular | 8.4 | 1.47 | 20,000 | 5.86 | [69] |
| Co3O4- microsphere | hydrothermal | microspheres | 66 | 1.44 | 20,000 | 4.88 | [70] |
| Co3O4-bulk | thermal decomposition | polyhedra | 9.8 | 1.65 | 20,000 | 11.2 | [70] |
| Meso-Co3O4 | KIT-nanocasting | 3D ordered mesoporous | 94.1 | 1.33 | 20,000 | 16.3 | [71] |
| Co3O4-bulk | thermal decomposition | - | 8 | 1.74 | 20,000 | 12.4 | [71] |
| Co3O4-MOF | MOF precursors calcination | distorted nanocubes | 94.1 | - | 60,000 | 4.53 | [72] |
| Co3O4-bulk | precipitation | - | 66.2 | - | 60,000 | 5.64 | [72] |
| Co3O4-C | hydrothermal | 3D hierarchical cubes | 83.1 | 1.67 | 48,000 | 3.58 | [73] |
| Co3O4-P | hydrothermal | plates | 58.8 | 1.02 | 48,000 | 2.00 | [73] |
| Co3O4-N | hydrothermal | 3D hierarchical needles | 25.9 | 1.02 | 48,000 | 2.36 | [73] |
| Co3O4-S | hydrothermal | 3D hierarchical sheets | 53.2 | 1.02 | 48,000 | 0.10 | [73] |
| U-80 | hydrothermal | urchin-like | 38.7 | 0.31 | 60,000 | 0.96 | [74] |
| US-120 | hydrothermal | urchin/shale-like | 30.2 | 0.38 | 60,000 | 1.23 | [74] |
| S-160 | hydrothermal | shale-like | 26.7 | 0.61 | 60,000 | 6.90 | [74] |
| Co3O4-D | hydrothermal | dumbbell-brush-type | 50.8 | 2.14 | 60,000 | 7.18 | [75] |
| Co3O4-R | solvothermal | mesoporous nanorods | 26 | 1.62 | 60,000 | 3.27 | [75] |
| Co3O4-S | sol-gel | mesoporous nanosheets | 35.9 | 1.95 | 60,000 | 2.02 | [75] |
| Catalysts | SBET (m2 g−1) | dPXRD (nm) |
|---|---|---|
| CoDP | 82 | 11.9 |
| CoAP | 37 | 21.6 |
Disclaimer/Publisher’s Note: The statements, opinions and data contained in all publications are solely those of the individual author(s) and contributor(s) and not of MDPI and/or the editor(s). MDPI and/or the editor(s) disclaim responsibility for any injury to people or property resulting from any ideas, methods, instructions or products referred to in the content. |
© 2023 by the authors. Licensee MDPI, Basel, Switzerland. This article is an open access article distributed under the terms and conditions of the Creative Commons Attribution (CC BY) license (https://creativecommons.org/licenses/by/4.0/).
Share and Cite
Georgiou, Y.; Smyrnioti, M.; Ioannides, T. Co3O4 Catalysts for Complete Toluene Oxidation: Review including Meta-Analysis of Catalyst Activity Data. Catalysts 2023, 13, 1454. https://doi.org/10.3390/catal13111454
Georgiou Y, Smyrnioti M, Ioannides T. Co3O4 Catalysts for Complete Toluene Oxidation: Review including Meta-Analysis of Catalyst Activity Data. Catalysts. 2023; 13(11):1454. https://doi.org/10.3390/catal13111454
Chicago/Turabian StyleGeorgiou, Yiannis, Maria Smyrnioti, and Theophilos Ioannides. 2023. "Co3O4 Catalysts for Complete Toluene Oxidation: Review including Meta-Analysis of Catalyst Activity Data" Catalysts 13, no. 11: 1454. https://doi.org/10.3390/catal13111454
APA StyleGeorgiou, Y., Smyrnioti, M., & Ioannides, T. (2023). Co3O4 Catalysts for Complete Toluene Oxidation: Review including Meta-Analysis of Catalyst Activity Data. Catalysts, 13(11), 1454. https://doi.org/10.3390/catal13111454

